Assessment of the Urban Impact on Surface and Screen-Level Temperature in the ALADIN-Climate Driven SURFEX Land Surface Model for Budapest
Abstract
1. Introduction
2. Data and Methods
2.1. The SURFEX Land Surface Model
2.2. The Driving ALADIN-Climate Model
2.3. Experimental Design
2.4. Observations
2.4.1. MODIS LST Product
2.4.2. Gridded Observational Dataset and Station Measurements of 2 m Temperature
2.5. Evaluation Methods
2.5.1. Surface Temperature and SUHI in SURFEX-EI
2.5.2. 2 m Temperature in SURFEX-ARP
2.5.3. UHI in SURFEX-EI and SURFEX-ARP
3. Results
3.1. Surface Temperature and SUHI
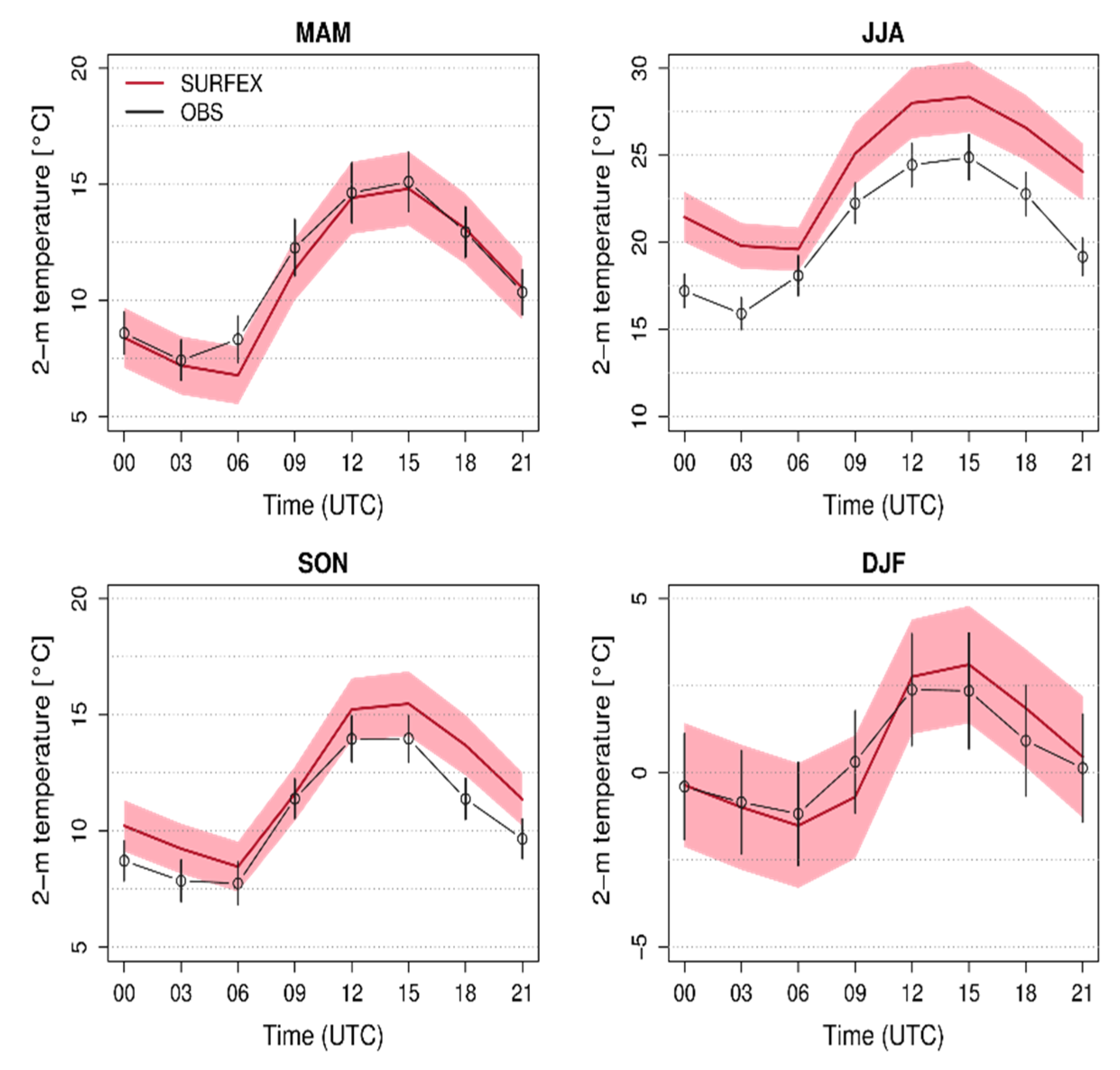
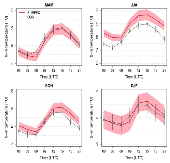
3.2. 2-m Temperature and UHI Climatology
3.3. Comparison of SURFEX-EI and SURFEX-ARP for Simulating the UHI
4. Discussion
5. Conclusions
Author Contributions
Funding
Institutional Review Board Statement
Informed Consent Statement
Data Availability Statement
Acknowledgments
Conflicts of Interest
References
- Oke, T.R. The energetic basis of the urban heat island. Q. J. R. Soc. Meteorol. Soc. 1982, 108, 1–24. [Google Scholar] [CrossRef]
- Elvidge, C.D.; Tuttle, B.T.; Sutton, P.C.; Baugh, K.E.; Howard, A.T.; Milesi, C.; Bhaduri, B.; Nemani, R. Global Distribution and Density of Constructed Impervious Surfaces. Sensors 2007, 7, 1962–1979. [Google Scholar] [CrossRef] [PubMed]
- Finta, S.; Maczák, J.; Kovács, B.; Mátrai, R. Budapest 2030; Long term urban development plan (in Hungarian). Municipality of Budapest Mayor’s Office: Budapest, Hungary, 2013. [Google Scholar]
- Revi, A.; Satterthwaite, D.E.; Aragón-Durand, F.; Corfee-Morlot, J.; Kiunsi, R.B.R.; Pelling, M.; Roberts, D.C.; Solecki, W. Urban areas. In Climate Change 2014: Impacts, Adaptation, and Vulnerability; Field, C.B., Barros, V.R., Dokken, D.J., Mach, K.J., Mastrandrea, M.D., Bilir, T.E., Chatterjee, M., Ebi, K.L., Estrada, Y.O., Genova, R.C., et al., Eds.; Part A: Global and Sectoral Aspects. Contribution of Working Group II to the Fifth Assessment Report of the Intergovernmental Panel on Climate Change; Cambridge University Press: Cambridge, UK; New York, NY, USA, 2014; pp. 535–612. [Google Scholar]
- Hoegh-Guldberg, O.; Jacob, D.; Taylor, M.; Bindi, M.; Brown, S.; Camilloni, I.; Diedhiou, A.; Djalante, R.; Ebi, K.L.; Engelbrecht, F.; et al. Impacts of 1.5 °C Global Warming on Natural and Human Systems. In Global Warming of 1.5 °C; An IPCC Special Report on the Impacts of Global Warming of 1.5 °C above Pre-Industrial Levels and Related Global Greenhouse Gas Emission Pathways, in the Context of Strengthening the Global Response to the Threat of Climate Change, Sustainable Development, and Efforts to Eradicate Poverty; Masson-Delmotte, V., Zhai, P., Pörtner, H.-O., Roberts, D., Skea, J., Shukla, P.R., Pirani, A., Moufouma-Okia, W., Péan, C., Pidcock, R., et al., Eds.; IPCC: Geneva, Switzerland, 2018. [Google Scholar]
- Oleson, K.W.; Bonan, G.B.; Feddema, J.; Jackson, T. An examination of urban heat island characteristics in a global climate model. Int. J. Climatol. 2011, 31, 1848–1865. [Google Scholar] [CrossRef]
- Katzfey, J.; Schlünzen, H.; Hoffmann, P.; Thatcher, M. How an urban parameterization affects a high-resolution global climate simulation. Q. J. R. Meteorol. Soc. 2020, 146, 3808–3829. [Google Scholar] [CrossRef]
- Daniel, M.; Lemonsu, A.; Déqué, M.; Somot, S.; Alias, A.; Masson, V. Benefits of explicit urban parameterization in regional climate modeling to study climate and city interactions. Clim. Dyn. 2019, 52, 2745–2764. [Google Scholar] [CrossRef]
- Hamdi, R.; Van de Vyver, H.; De Troch, R.; Termonia, P. Assessment of three dynamical urban climate downscaling methods: Brussels’s future urban heat island under an A1B emission scenario: Brussels’ future urban heat island. Int. J. Climatol. 2014, 34, 978–999. [Google Scholar] [CrossRef]
- Langendijk, G.S.; Rechid, D.; Jacob, D. Urban Areas and Urban–Rural Contrasts under Climate Change: What Does the EURO-CORDEX Ensemble Tell Us?—Investigating near Surface Humidity in Berlin and Its Surroundings. Atmosphere 2019, 10, 730. [Google Scholar] [CrossRef]
- Lin, C.-Y.; Chen, W.-C.; Chang, P.-L.; Sheng, Y.-F. Impact of the Urban Heat Island Effect on Precipitation over a Complex Geographic Environment in Northern Taiwan. J. Appl. Meteorol. Clim. 2011, 50, 339–353. [Google Scholar] [CrossRef]
- Grimmond, C.S.B.; Blackett, M.; Best, M.J.; Barlow, J.; Baik, J.-J.; Belcher, S.E.; Bohnenstengel, S.I.; Calmet, I.; Chen, F.; Dandou, A.; et al. The International Urban Energy Balance Models Comparison Project: First Results from Phase 1. J. Appl. Meteorol. Clim. 2010, 49, 1268–1292. [Google Scholar] [CrossRef]
- Hamdi, R.; Giot, O.; De Troch, R.; Deckmyn, A.; Termonia, P. Future climate of Brussels and Paris for the 2050s under the A1B scenario. Urban Clim. 2015, 12, 160–182. [Google Scholar] [CrossRef]
- Zsebeházi, G.; Szépszó, G. Modeling the urban climate of Budapest using the SURFEX land surface model driven by the ALADIN-Climate regional climate model results. Időjárás 2020, 124, 191–207. [Google Scholar] [CrossRef]
- Kotlarski, S.; Keuler, K.; Christensen, O.B.; Colette, A.; Déqué, M.; Gobiet, A.; Goergen, K.; Jacob, D.; Lüthi, D.; Van Meijgaard, E.; et al. Regional climate modeling on European scales: A joint standard evaluation of the EURO-CORDEX RCM ensemble. Geosci. Model Dev. 2014, 7, 1297–1333. [Google Scholar] [CrossRef]
- Cornes, R.C.; van der Schrier, G.; van den Besselaar, E.J.; Jones, P.D. An ensemble version of the E-OBS temperature and precipitation data sets. J. Geophys. Res. Atmos. 2018, 123, 9391–9409. [Google Scholar] [CrossRef]
- Bihari, Z.; Lakatos, M.; Szentimrey, T. Gridded observational datasets based on surface observations at the Hungarian Meteorological Service (in Hungarian). Légkör 2017, 62, 148–151. [Google Scholar]
- Oke, T.R. Initial guidance to obtain representative meteorological observations at urban sites. In WMO Instruments and Observing Methods; WMO/TD-No. 1250; IOM Report-No. 81; World Meteorological Organisation: Geneva, Switzerland, 2006. [Google Scholar]
- Hu, L.; Brunsell, N.A.; Monaghan, A.J.; Barlage, M.; Wilhelmi, O.V. How can we use MODIS land surface temperature to validate long-term urban model simulations? J. Geophyss. Res. Atmos. 2014, 119, 3185–3201. [Google Scholar] [CrossRef]
- Caluwaerts, S.; Hamdi, R.; Top, S.; Lauwaet, D.; Berckmans, J.; Degrauwe, D.; Dejonghe, H.; De Ridder, K.; De Troch, R.; Duchêne, F.; et al. The Urban Climate of Ghent, Belgium: A Case Study Combining a High-Accuracy Monitoring Network with Numerical Simulations. Urban Clim. 2020, 31, 100565. [Google Scholar] [CrossRef]
- Muller, C.L.; Chapman, L.; Grimmond, C.S.B.; Young, D.T.; Cai, X. Sensors and the city: A review of urban meteorological networks. Int. J. Climatol. 2013, 33, 1585–1600. [Google Scholar] [CrossRef]
- Unger, J.; Savic, S.; Gál, T.; Milosevic, D. Urban Climate and Monitoring Network System in Central European Cities; European Union: Novi Sad, Serbia, 2014; 101p, ISBN 987-86-7031-341-5. [Google Scholar]
- Le Roy, B.; Lemonsu, A.; Kounkou-Arnaud, R.; Brion, D.; Masson, V. Long time series spatialized data for urban climatological studies: A case study of Paris, France. Int. J. Climatol. 2020, 40, 3567–3584. [Google Scholar] [CrossRef]
- Tomlinson, C.J.; Chapman, L.; Thornes, J.E.; Baker, C. Remote sensing land surface temperature for meteorology and climatology: A review. Meteorol. App. 2011, 18, 296–306. [Google Scholar] [CrossRef]
- Hamdi, R.; Van de Vyver, H. Estimating urban heat island effects on near-surface air temperature records of Uccle (Brussels, Belgium): An observational and modeling study. Adv. Sci. Res. 2011, 6, 27–34. [Google Scholar] [CrossRef]
- Masson, V.; Le Moigne, P.; Martin, E.; Faroux, S.; Alias, A.; Alkama, R.; Belamari, S.; Barbu, A.; Boone, A.; Bouyssel, F.; et al. The SURFEXv7.2 Land and Ocean Surface Platform for Coupled or Offline Simulation of Earth Surface Variables and Fluxes. Geosci. Model Dev. 2013, 6, 929–960. [Google Scholar] [CrossRef]
- Masson, V.; Champeaux, J.-L.; Chauvin, F.; Meriguet, C.; Lacaze, R. A Global Database of Land Surface Parameters at 1-Km Resolution in Meteorological and Climate Models. J. Clim. 2003, 16, 1261–1282. [Google Scholar] [CrossRef]
- Boone, A.; Calvet, J.-C.; Noilhan, J. Inclusion of a Third Soil Layer in a Land Surface Scheme Using the Force–Restore Method. J. Appl. Meteorol. 1999, 38, 1611–1630. [Google Scholar] [CrossRef]
- Masson, V. A Physically-Based Scheme for The Urban Energy Budget In Atmospheric Models. Bound. Lay. Meteorol. 2000, 94, 357–397. [Google Scholar] [CrossRef]
- Hamdi, R.; Masson, V. Inclusion of a Drag Approach in the Town Energy Balance (TEB) Scheme: Offline 1D Evaluation in a Street Canyon. J. Appl. Meteorol. Clim. 2008, 47, 2627–2644. [Google Scholar] [CrossRef]
- Masson, V.; Seity, Y. Including Atmospheric Layers in Vegetation and Urban Offline Surface Schemes. J. Appl. Meteorol. Clim. 2009, 48, 1377–1397. [Google Scholar] [CrossRef]
- Colin, J.; Déqué, M.; Radu, R.; Somot, S. Sensitivity Study of Heavy Precipitation in Limited Area Model Climate Simulations: Influence of the Size of the Domain and the Use of the Spectral Nudging Technique. Tellus A 2010, 62, 591–604. [Google Scholar] [CrossRef]
- Voldoire, A.; Sanchez-Gomez, E.; Salas y Mélia, D.; Decharme, B.; Cassou, C.; Sénési, S.; Valcke, S.; Beau, I.; Alias, A.; Chevallier, M.; et al. The CNRM-CM5.1 Global Climate Model: Description and Basic Evaluation. Clim. Dyn. 2013, 40, 2091–2121. [Google Scholar] [CrossRef]
- Mlawer, E.J.; Taubman, S.J.; Brown, P.D.; Iacono, M.J.; Clough, S.A. Radiative Transfer for Inhomogeneous Atmospheres: RRTM, a Validated Correlated-k Model for the Longwave. J. Geophys. Res. 1997, 102, 16663–16682. [Google Scholar] [CrossRef]
- Fouquart, Y.; Bonnel, B. Computations of solar heating of the earth’s atmosphere: A new parameterization. Beitr. Phys. Atmosph. 1980, 53, 35–62. [Google Scholar]
- Smith, R.N.B. Scheme for Predicting Layer Clouds and Their Water Content in a General Circulation Model. Q. J. R. Meteorol. Soc. 1990, 116, 435–460. [Google Scholar] [CrossRef]
- Bougeault, P. A Simple Parameterization of the Large-Scale Effects of Cumulus Convection. Mon. Weather Rev. 1985, 113, 2108–2121. [Google Scholar] [CrossRef]
- Geleyn, J.-F. Interpolation of Wind, Temperature and Humidity Values from Model Levels to the Height of Measurement. Tellus A 1988, 40A, 347–351. [Google Scholar] [CrossRef]
- Dee, D.P.; Uppala, S.M.; Simmons, A.J.; Berrisford, P.; Poli, P.; Kobayashi, S.; Andrae, U.; Balmaseda, M.A.; Balsamo, G.; Bauer, P.; et al. The ERA-Interim Reanalysis: Configuration and Performance of the Data Assimilation System. Q. J. R. Meteorol. Soc. 2011, 137, 553–597. [Google Scholar] [CrossRef]
- Wan, Z.; Hook, S.; Hulley, G. MOD11A1 MODIS/Terra Land Surface Temperature/Emissivity Daily L3 Global 1 km SIN Grid V006 LST_Day_1km, Day_View_Time, LST_Night_1km, Night_view_time. NASA EOSDIS Land Process DAAC 2015. [Google Scholar] [CrossRef]
- Wan, Z.; Hook, S.; Hulley, G. MYD11A1 MODIS/Aqua Land Surface Temperature/Emissivity Daily L3 Global 1km SIN Grid V006 LST_Day_1km, Day_View_Time, LST_Night_1km, Night_view_time. NASA EOSDIS Land Processes DAAC 2015. [Google Scholar] [CrossRef]
- Justice, C.O.; Townshend, J.R.G.; Vermote, E.F.; Masuoka, E.; Wolfe, R.E.; Saleous, N.; Roy, D.P.; Morisette, J.T. An overview of MODIS Land data processing and product status. Remote Sens. Environ. 2002, 83, 3–15. [Google Scholar] [CrossRef]
- Wan, Z.; Dozier, J. A generalized split-window algorithm for retrieving land-surface temperature from space. IEEE T. Geosci. Remote 1996, 34, 892–905. [Google Scholar] [CrossRef]
- Cover, M.L.; Change, L.C. MODIS Land Cover Product Algorithm Theoretical Basis Document (ATBD) Version 5.0. MODIS Documentation; Boston University: Boston, MA, USA, 1999; pp. 42–47. [Google Scholar]
- Friedl, M.; Sulla-Menashe, D. MCD12Q1 MODIS/Terra+Aqua Land Cover Type Yearly L3 Global 500m SIN Grid V006 LC_Type1. NASA EOSDIS Land Processes DAAC 2019. Available online: https://doi.org/10.5067/MODIS/MCD12Q1.006 (accessed on 28 July 2020).
- Szentimrey, T. Development of MASH homogenization procedure for daily data. In Proceedings of the Fifth Seminar for Homogenization and Quality Control in Climatological Databases, Budapest, Hungary, 29 May–2 June 2006. [Google Scholar]
- Zhang, J.; Wang, Y. Study of the Relationships between the Spatial Extent of Surface Urban Heat Islands and Urban Characteristic Factors Based on Landsat ETM+ Data. Sensors 2008, 8, 7453–7468. [Google Scholar] [CrossRef]
- Stewart, I.D.; Oke, T.R. Local Climate Zones for Urban Temperature Studies. Bull. Am. Meteorol. Soc. 2012, 93, 1879–1900. [Google Scholar] [CrossRef]
- Redon, E.; Lemonsu, A.; Masson, V. An urban trees parameterization for modeling microclimatic variables and thermal comfort conditions at street level with the Town Energy Balance model (TEB-SURFEX v8.0). Geosci. Model Dev. 2020, 13, 385–399. [Google Scholar] [CrossRef]
- Wang, C.; Wang, Z.-H.; Ryu, Y.-H. A single-layer urban canopy model with transmissive radiation exchange between trees and street canyons. Build. Environ. 2021, 191, 107593. [Google Scholar] [CrossRef]
- Ghent, D.; Veal, K.; Trent, T.; Dodd, E.; Sembhi, H.; Remedios, J. A new approach to defining uncertainties for MODIS land surface temperature. Remote Sens. 2019, 11, 1021. [Google Scholar] [CrossRef]
- Freitas, S.C.; Trigo, I.F.; Bioucas-Dias, J.M.; Gottsche, F.M. Quantifying the uncertainty of land surface temperature retrievals from SEVIRI/Meteosat. IEEE Trans. Geosci. Remote Sens. 2009, 48, 523–534. [Google Scholar] [CrossRef]












| Aqua | Terra | |
|---|---|---|
| Day | 11:30 | 9:54 |
| Night | 0:43 | 20:42 |
| Reference | Resolution | Temporal Frequency | Investigation Period | Validated Variable |
|---|---|---|---|---|
| MODIS | 1 km | 4 times/day | 2003–2005 | LST, SUHI |
| CarpatClim-Hu | 10 km | daily | 1971–2000 | 2 m temperature |
| Station measurement | - | daily, 3 h | 1971–2000 | 2 m temperature |
| Nighttime (around 00 UTC) | Daytime (around 12 UTC) | ||||||||
|---|---|---|---|---|---|---|---|---|---|
| MAM | JJA | SON | DJF | MAM | JJA | SON | DJF | ||
| Rural | MODIS | 3.4 | 14.4 | 5.9 | −7.9 | 24.6 | 31.9 | 18.7 | 1.7 |
| SURFEX | 2.8 | 16.9 | 5.3 | −7.1 | 18.6 | 35.7 | 22.0 | 2.6 | |
| Urban | MODIS | 4.7 | 15.7 | 7.0 | −6.4 | 26.3 | 34.7 | 20.0 | 2.5 |
| SURFEX | 6.8 | 21.0 | 8.4 | −5.9 | 25.5 | 43.0 | 25.4 | 3.3 | |
| Annual | MAM | JJA | SON | DJF | |
|---|---|---|---|---|---|
| ALADIN-ARP | −0.4 | −2.0 | 2.9 | −0.7 | −2.0 |
| SURFEX-ARP | 0.4 | −1.2 | 3.0 | 0.6 | −0.7 |
| Annual | MAM | JJA | SON | DJF | |
|---|---|---|---|---|---|
| Observation | 0.7 | 1.0 | 0.9 | 0.9 | 1.6 |
| SURFEX-ARP | 1.0 | 1.4 | 1.7 | 1.2 | 1.7 |
Publisher’s Note: MDPI stays neutral with regard to jurisdictional claims in published maps and institutional affiliations. |
© 2021 by the authors. Licensee MDPI, Basel, Switzerland. This article is an open access article distributed under the terms and conditions of the Creative Commons Attribution (CC BY) license (https://creativecommons.org/licenses/by/4.0/).
Share and Cite
Zsebeházi, G.; Mahó, S.I. Assessment of the Urban Impact on Surface and Screen-Level Temperature in the ALADIN-Climate Driven SURFEX Land Surface Model for Budapest. Atmosphere 2021, 12, 709. https://doi.org/10.3390/atmos12060709
Zsebeházi G, Mahó SI. Assessment of the Urban Impact on Surface and Screen-Level Temperature in the ALADIN-Climate Driven SURFEX Land Surface Model for Budapest. Atmosphere. 2021; 12(6):709. https://doi.org/10.3390/atmos12060709
Chicago/Turabian StyleZsebeházi, Gabriella, and Sándor István Mahó. 2021. "Assessment of the Urban Impact on Surface and Screen-Level Temperature in the ALADIN-Climate Driven SURFEX Land Surface Model for Budapest" Atmosphere 12, no. 6: 709. https://doi.org/10.3390/atmos12060709
APA StyleZsebeházi, G., & Mahó, S. I. (2021). Assessment of the Urban Impact on Surface and Screen-Level Temperature in the ALADIN-Climate Driven SURFEX Land Surface Model for Budapest. Atmosphere, 12(6), 709. https://doi.org/10.3390/atmos12060709

