A Penalized Regression Method for Genomic Prediction Reduces Mismatch between Training and Testing Sets
Abstract
1. Introduction
2. Material and Methods
2.1. Datasets
2.2. Statistical Model
2.3. Proposed Approach
- Step 1. We assume that we have a uni-environment or single-environment dataset in which there are at least two families, and for each family, there are some lines. Since our goal is to predict a complete family, the information of this family constitutes the testing set , }, and the information of the remaining families is the training set {, }. Then, in the original dataset {, , , }, we remove the original response variable column {, } and add a fictitious (new) response variable column { } that replaces the source of the data with zero (that is, = 0) for samples (observations) on the training set and with one (i.e., = 1) for the samples in the testing set [17]. In other words, the fictitious response variables with 0 s correspond to the remaining families, and those with 1 s correspond to the family we want to predict. Note that since the response variable is a fictitious response variable, with a training label ( = 0) and a testing label ( = 1), not the original response variable, we should avoid any complication in defining these two populations when performing the random cross-validation and also avoid any type of data leakage confusion.
- Step 2. We then implement the Lasso regression with inputs {, , , } and we extract the β coefficients for each marker.
- Step 3. The next step is to compute weights as = 1/abs(), where denotes the number of markers.
- Step 4. Then, the weights computed in step 3 are used to train a weighted Lasso and Ridge regression. Regarding the Weighted Lasso (WLasso), the loss function used to train the models is given as follows:
2.4. How to Avoid Data Leakage
2.5. Evaluation of Prediction Accuracy
3. Results
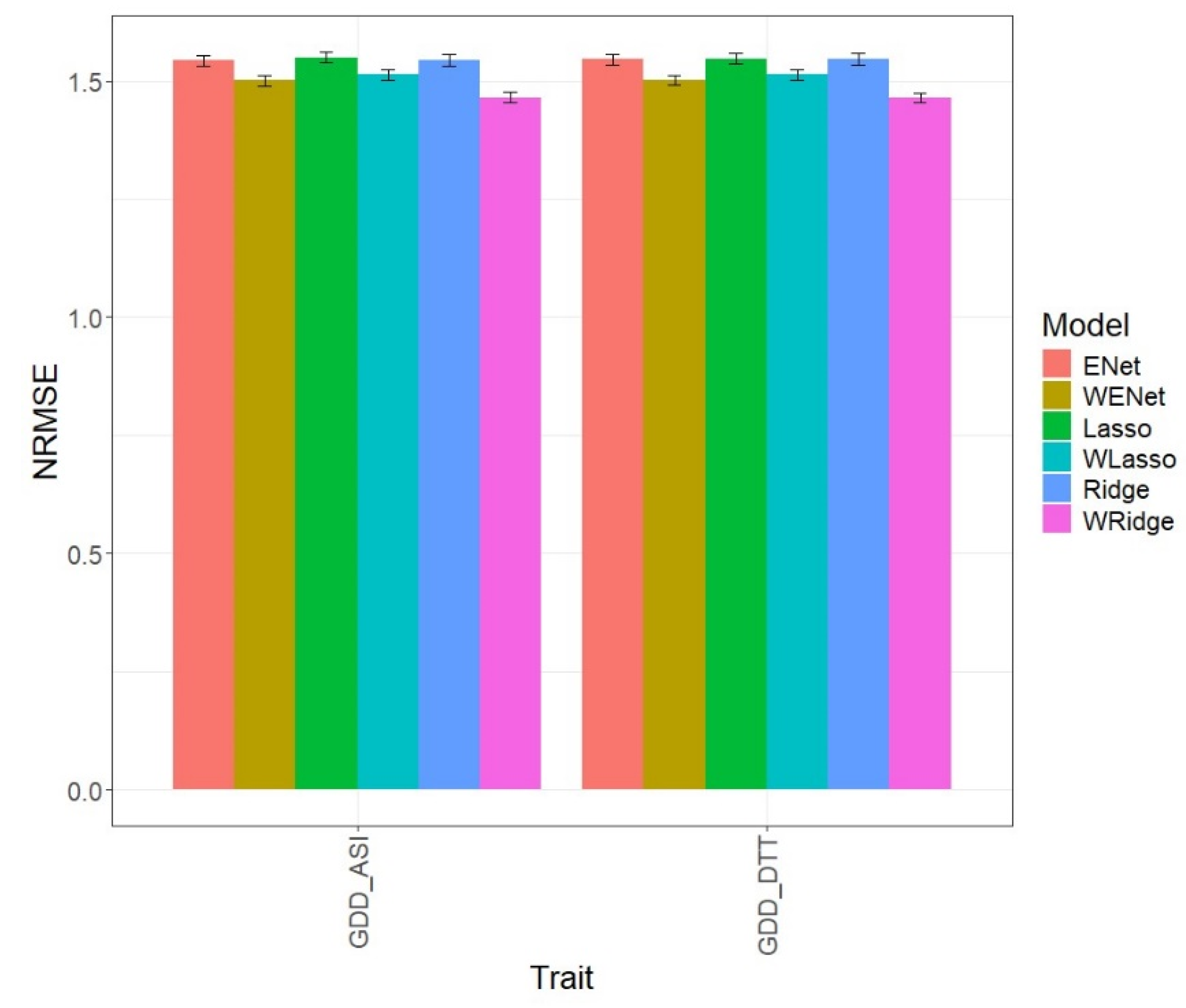
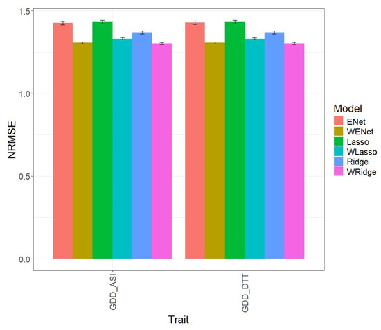
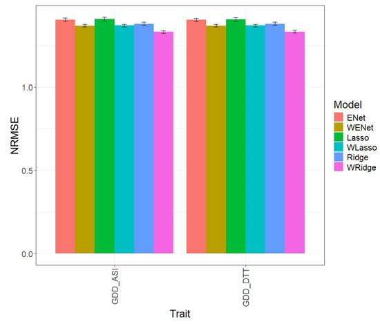
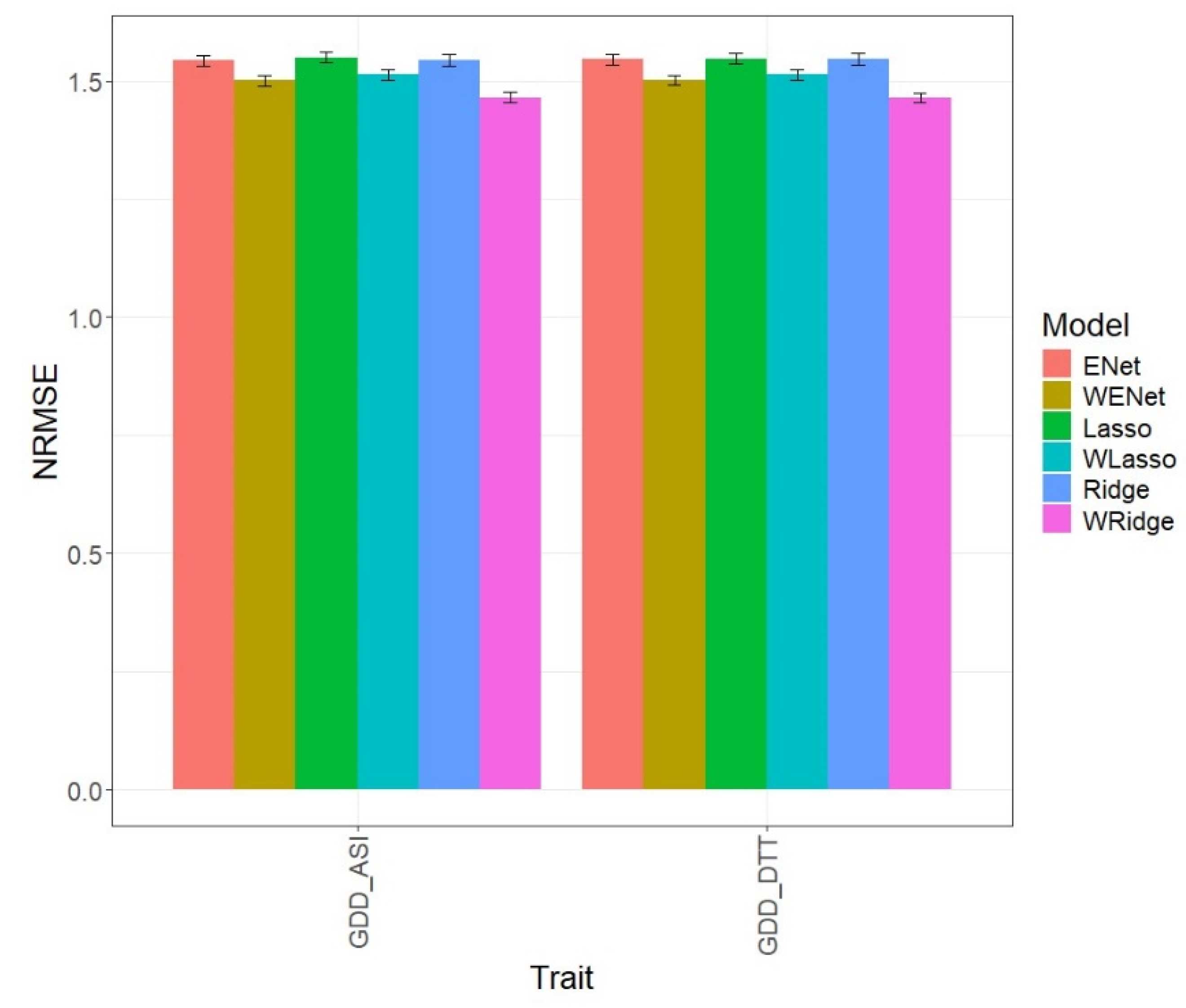
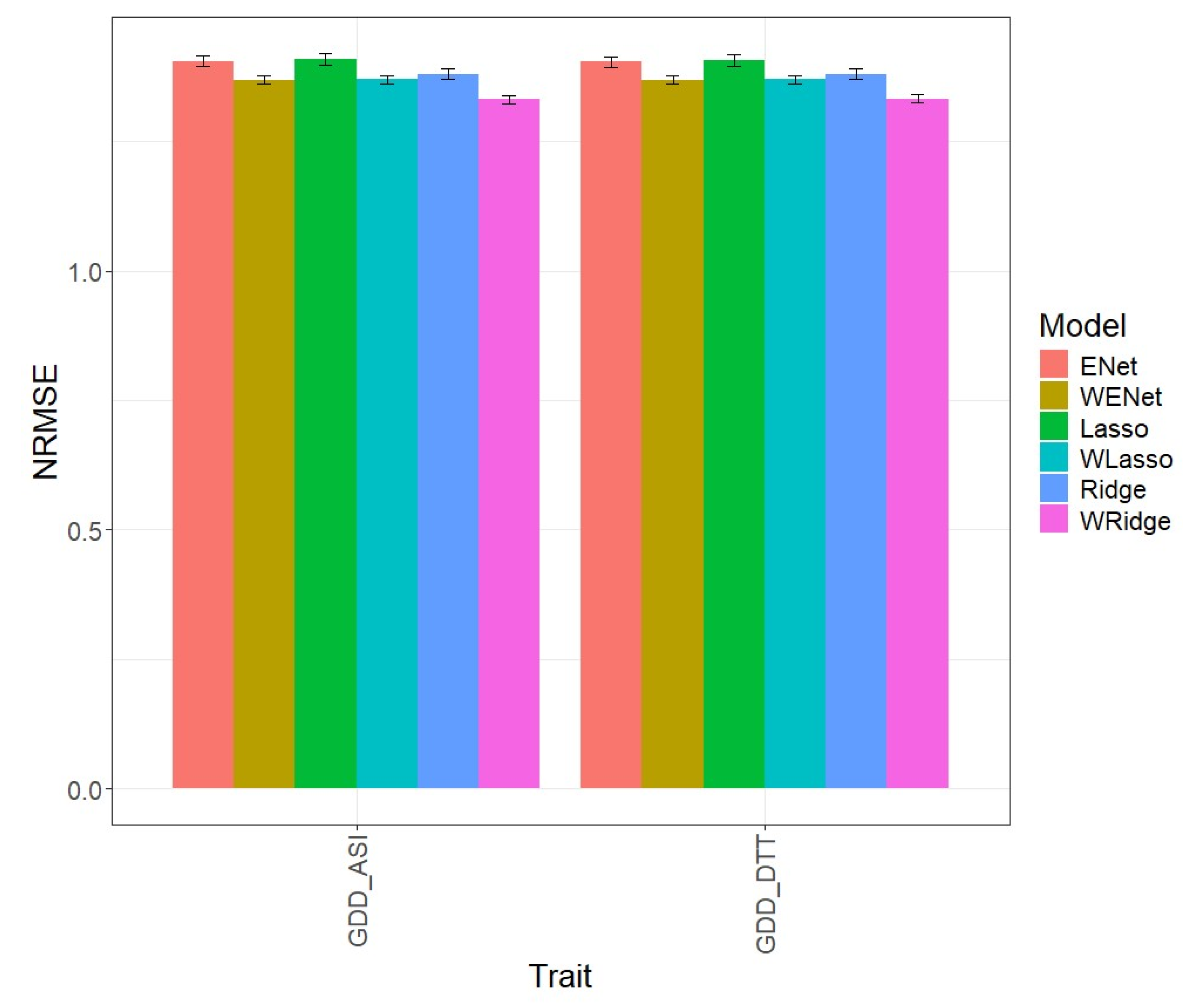
3.1. Maize_1

3.2. Maize_3

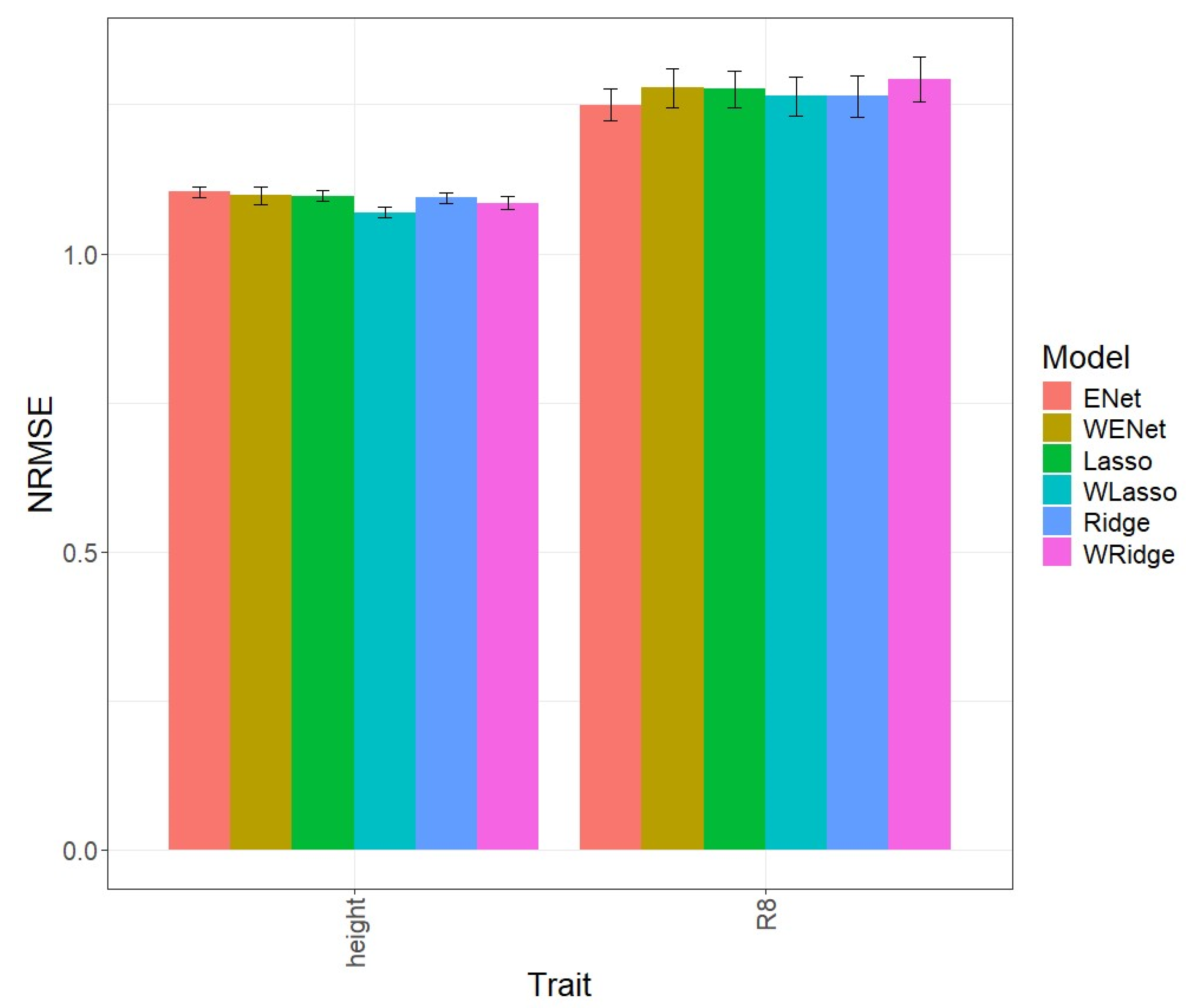
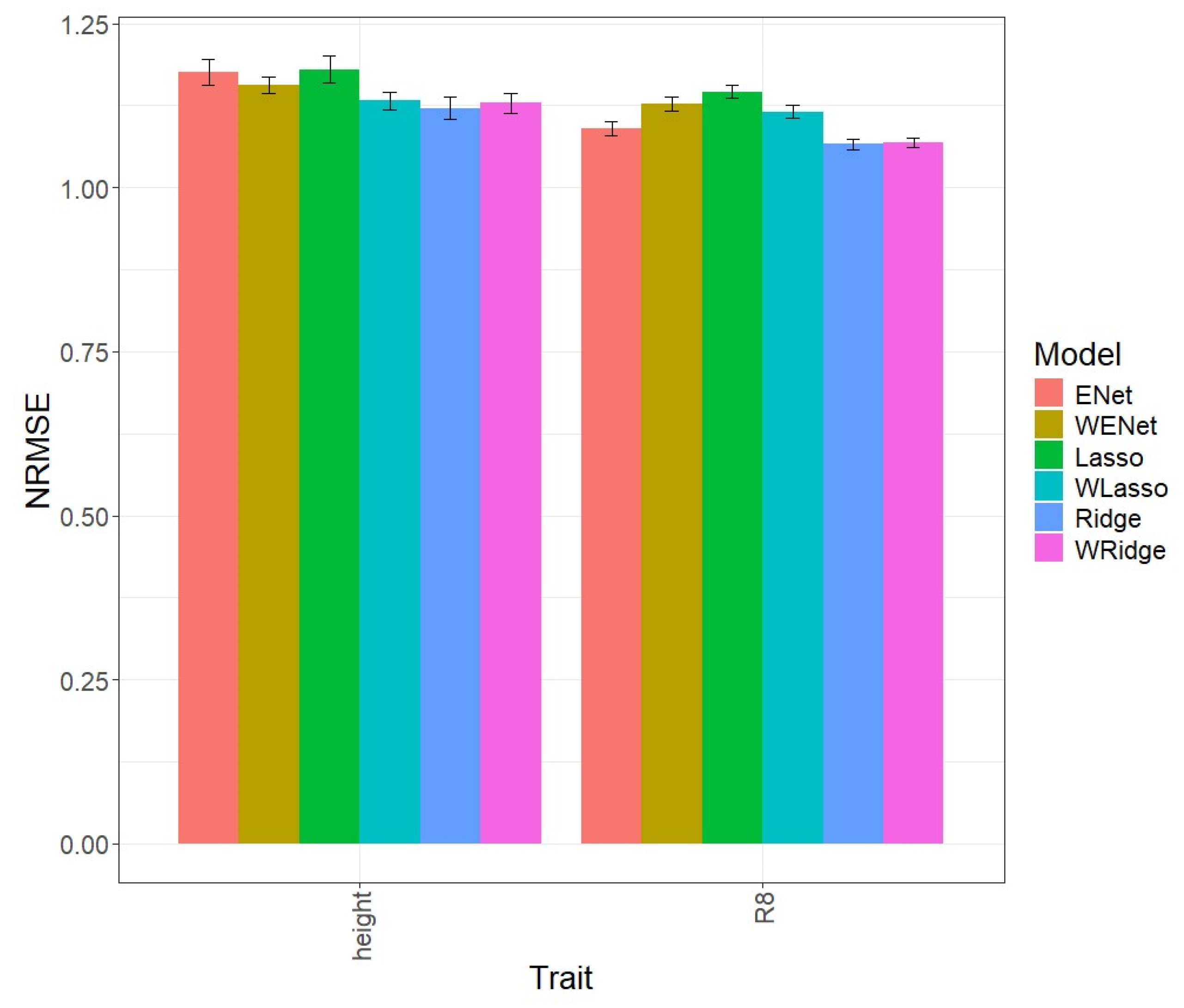
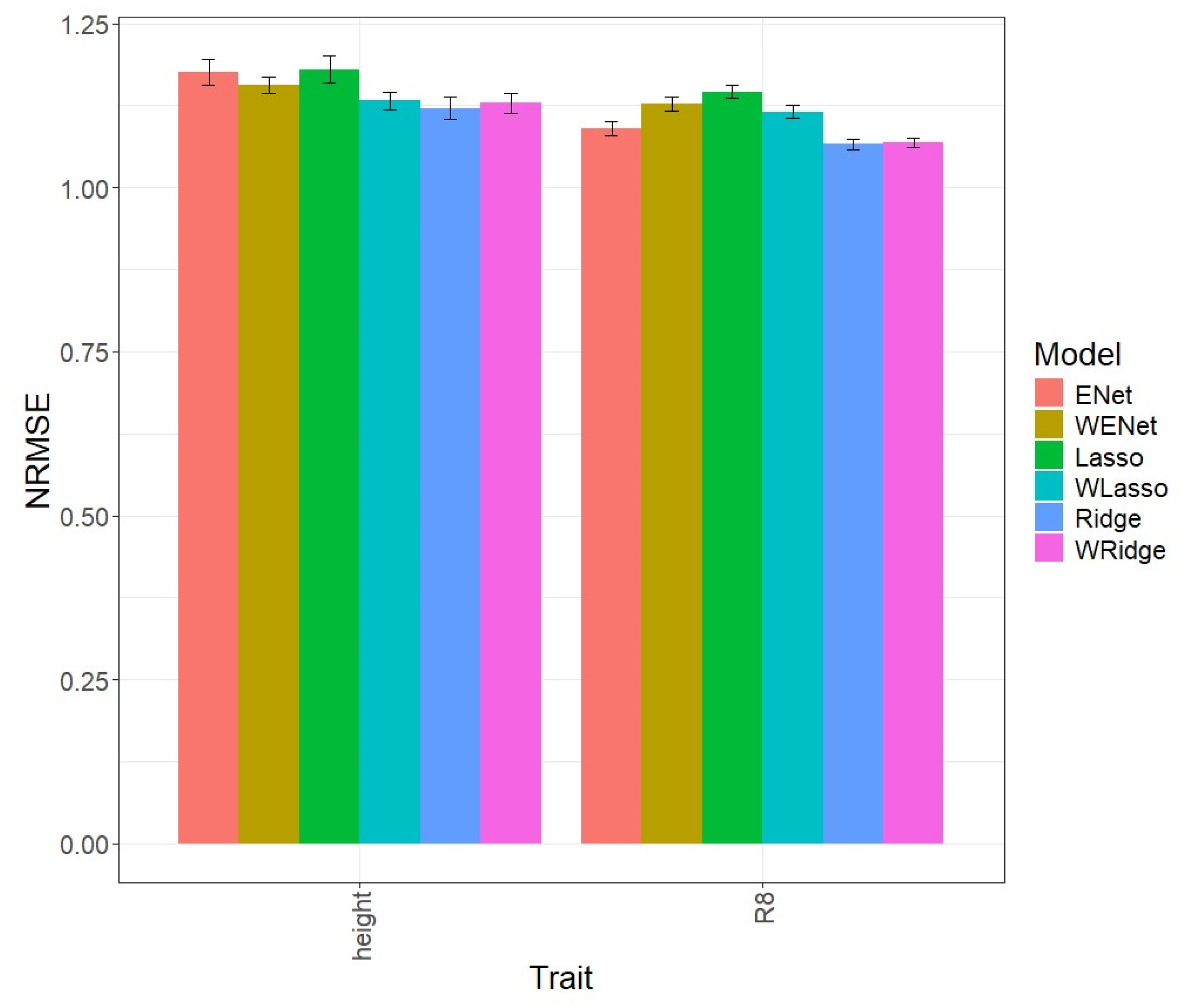
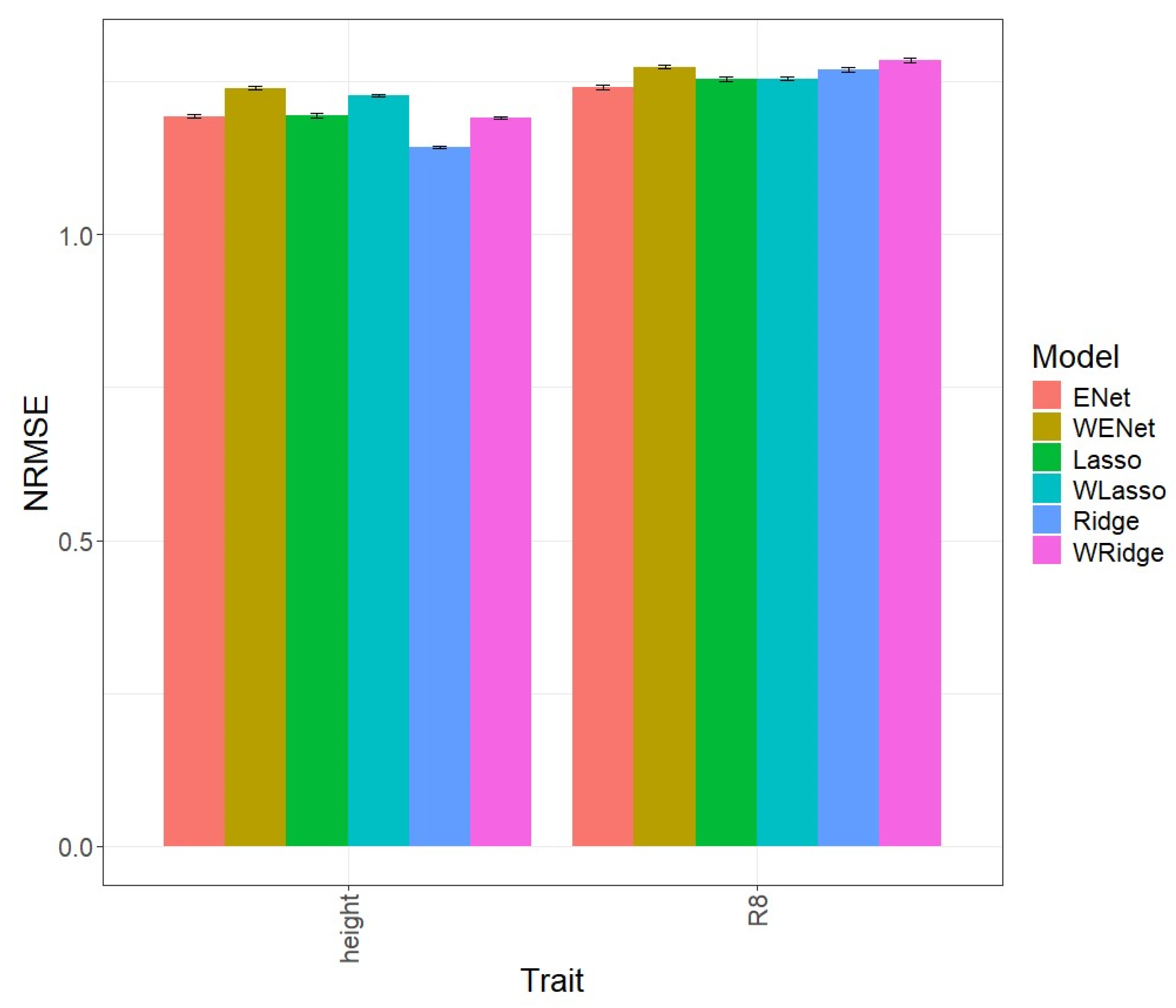
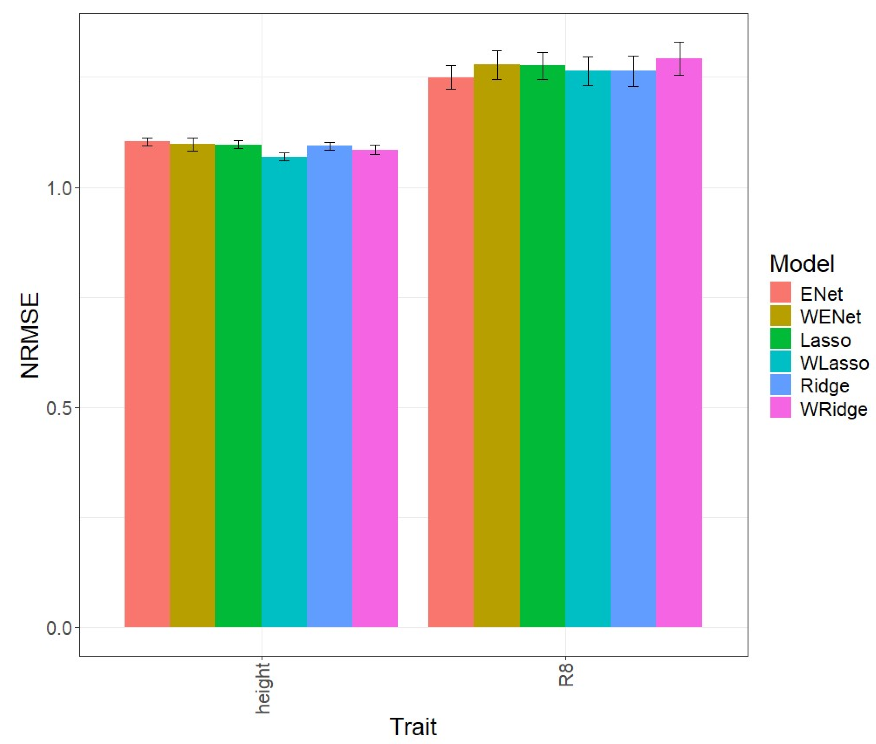
3.3. Soybean_1

3.4. Soybean_2

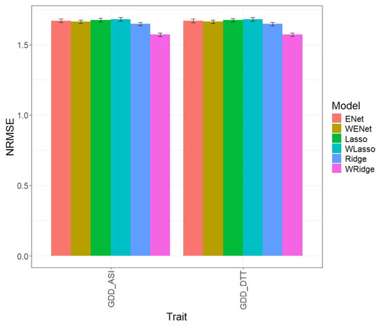
3.5. Across_Data

4. Discussion
4.1. Why Weighting Markers Might Be Useful for Enhancing Genomic Prediction
4.2. Specific Considerations for Genomic Prediction
5. Conclusions
Author Contributions
Funding
Institutional Review Board Statement
Informed Consent Statement
Data Availability Statement
Conflicts of Interest
Appendix A
| Dataset | Model | Trait | NRMSE | NRMSE_SD |
|---|---|---|---|---|
| Maize_2 | ENet | GDD_ASI | 1.669 | 0.012 |
| Maize_2 | ENet | GDD_DTT | 1.669 | 0.012 |
| Maize_2 | Lasso | GDD_ASI | 1.674 | 0.012 |
| Maize_2 | Lasso | GDD_DTT | 1.674 | 0.012 |
| Maize_2 | Ridge | GDD_ASI | 1.647 | 0.013 |
| Maize_2 | Ridge | GDD_DTT | 1.647 | 0.013 |
| Maize_2 | WENet | GDD_ASI | 1.662 | 0.013 |
| Maize_2 | WENet | GDD_DTT | 1.662 | 0.013 |
| Maize_2 | WLasso | GDD_ASI | 1.679 | 0.013 |
| Maize_2 | WLasso | GDD_DTT | 1.679 | 0.013 |
| Maize_2 | WRidge | GDD_ASI | 1.571 | 0.012 |
| Maize_2 | WRidge | GDD_DTT | 1.571 | 0.012 |
| Maize_4 | ENet | GDD_ASI | 1.544 | 0.011 |
| Maize_4 | ENet | GDD_DTT | 1.546 | 0.011 |
| Maize_4 | Lasso | GDD_ASI | 1.550 | 0.011 |
| Maize_4 | Lasso | GDD_DTT | 1.547 | 0.011 |
| Maize_4 | Ridge | GDD_ASI | 1.544 | 0.012 |
| Maize_4 | Ridge | GDD_DTT | 1.546 | 0.012 |
| Maize_4 | WENet | GDD_ASI | 1.501 | 0.010 |
| Maize_4 | WENet | GDD_DTT | 1.502 | 0.010 |
| Maize_4 | WLasso | GDD_ASI | 1.513 | 0.011 |
| Maize_4 | WLasso | GDD_DTT | 1.513 | 0.011 |
| Maize_4 | WRidge | GDD_ASI | 1.465 | 0.011 |
| Maize_4 | WRidge | GDD_DTT | 1.464 | 0.011 |
| Soybean_3 | ENet | R8 | 1.250 | 0.028 |
| Soybean_3 | ENet | Height | 1.104 | 0.009 |
| Soybean_3 | Lasso | R8 | 1.276 | 0.030 |
| Soybean_3 | Lasso | Height | 1.097 | 0.009 |
| Soybean_3 | Ridge | R8 | 1.264 | 0.034 |
| Soybean_3 | Ridge | Height | 1.093 | 0.009 |
| Soybean_3 | WENet | R8 | 1.278 | 0.033 |
| Soybean_3 | WENet | Height | 1.097 | 0.015 |
| Soybean_3 | WLasso | R8 | 1.264 | 0.032 |
| Soybean_3 | WLasso | Height | 1.069 | 0.009 |
| Soybean_3 | WRidge | R8 | 1.292 | 0.037 |
| Soybean_3 | WRidge | Height | 1.085 | 0.011 |
| Soybean_4 | ENet | R8 | 1.090 | 0.010 |
| Soybean_4 | ENet | Height | 1.176 | 0.019 |
| Soybean_4 | Lasso | R8 | 1.146 | 0.010 |
| Soybean_4 | Lasso | Height | 1.180 | 0.020 |
| Soybean_4 | Ridge | R8 | 1.066 | 0.008 |
| Soybean_4 | Ridge | Height | 1.121 | 0.018 |
| Soybean_4 | WENet | R8 | 1.127 | 0.010 |
| Soybean_4 | WENet | Height | 1.156 | 0.013 |
| Soybean_4 | WLasso | R8 | 1.116 | 0.010 |
| Soybean_4 | WLasso | Height | 1.132 | 0.013 |
| Soybean_4 | WRidge | R8 | 1.069 | 0.008 |
| Soybean_4 | WRidge | Height | 1.129 | 0.015 |




References
- Montesinos López, O.A.; Montesinos-López, A.; Crossa, J. Multivariate statistical machine learning methods for genomic prediction. In Multivariate Statistical Machine Learning Methods for Genomic Prediction; Springer: Cham, Switzerland, 2022. [Google Scholar]
- Heffner, E.L.; Sorrells, M.E.; Jannink, J.L. Genomic selection for crop improvement. Crop Sci. 2009, 49, 1–12. [Google Scholar] [CrossRef]
- Montesinos-López, A.; Montesinos-López, O.A.; Crossa, J.; Toledo, F.H.; Pérez-Hernández, O.; Eskridge, K.M.; Rutkoski, J. A Genomic Bayesian Multi-trait and Multi-environment Model. G3 Genes Genomes Genet. 2016, 6, 2725–2744. [Google Scholar] [CrossRef] [PubMed]
- Crossa, J.; Beyene, Y.; Kassa, S.; Pérez, P.; Hickey, J.M.; Chen, C.; de los Campos, G.; Burgueño, J.; Windhausen, V.S.; Buckler, E.; et al. Genomic prediction in maize breeding populations with genotyping-by-sequencing. G3 Genes Genomes Genet. 2013, 3, 1903–1926. [Google Scholar] [CrossRef] [PubMed]
- Spindel, J.; Begum, H.; Akdemir, D.; Virk, P.; Collard, B.; Redoña, E.; Atlin, G.; Jannink, J.-L.; McCouch, S.R. Genomic selection and association mapping in rice (Oryza sativa): Effect of trait genetic architecture, training population composition, marker number and statistical model on accuracy of rice genomic selection in elite, tropical rice breeding lines. PLoS Genet. 2015, 11, e1004982. [Google Scholar]
- Bartholomé, J.; Prakash, P.T.; Cobb, J.N. Genomic prediction: Progress and perspectives for rice improvement. In Genomic Prediction of Complex Traits: Methods and Protocols; Humana: New York, NY, USA, 2022; pp. 569–617. [Google Scholar]
- Zhang, J.; Song, Q.; Cregan, P.B.; Jiang, G.L. Genome-wide association study, genomic prediction and marker-assisted selection for seed weight in soybean (Glycine max). Theor. Appl. Genet. 2016, 129, 117–130. [Google Scholar] [CrossRef] [PubMed]
- Jean, M.; Cober, E.; O’Donoughue, L.; Rajcan, I.; Belzile, F. Improvement of key agronomical traits in soybean through genomic prediction of superior crosses. Crop Sci. 2021, 61, 3908–3918. [Google Scholar] [CrossRef]
- Nielsen, N.H.; Jahoor, A.; Jensen, J.D.; Orabi, J.; Cericola, F.; Edriss, V.; Jensen, J. Genomic prediction of seed quality traits using advanced barley breeding lines. PLoS ONE 2016, 11, e0164494. [Google Scholar] [CrossRef] [PubMed]
- Lorenz, A.J.; Smith, K.P. Adding genetically distant individuals to training populations reduces genomic prediction accuracy in barley. Crop Sci. 2015, 55, 2657–2667. [Google Scholar] [CrossRef]
- Yonis, B.O.; Pino del Carpio, D.; Wolfe, M.; Jannink, J.L.; Kulakow, P.; Rabbi, I. Improving root characterisation for genomic prediction in cassava. Sci. Rep. 2020, 10, 8003. [Google Scholar] [CrossRef] [PubMed]
- Long, E.M.; Romay, M.C.; Ramstein, G.; Buckler, E.S.; Robbins, K.R. Utilizing evolutionary conservation to detect deleterious mutations and improve genomic prediction in cassava. Front. Plant Sci. 2023, 13, 1041925. [Google Scholar] [CrossRef] [PubMed]
- Adams, J.; de Vries, M.; van Eeuwijk, F. Efficient genomic prediction of yield and dry matter in hybrid potato. Plants 2023, 12, 2617. [Google Scholar] [CrossRef] [PubMed]
- Habyarimana, E.; Parisi, B.; Mandolino, G. Genomic prediction for yields, processing and nutritional quality traits in cultivated potato (Solanum tuberosum L.). Plant Breed. 2017, 136, 245–252. [Google Scholar] [CrossRef]
- de Los Campos, G.; Hickey, J.M.; Pong-Wong, R.; Daetwyler, H.D.; Calus, M.P. Whole-genome regression and prediction methods applied to plant and animal breeding. Genetics 2013, 193, 327–345. [Google Scholar] [CrossRef] [PubMed]
- Friedman, J.; Hastie, T.; Tibshirani, R. Regularization Paths for Generalized Linear Models via Coordinate Descent. J. Stat. Softw. 2010, 33, 1–22. [Google Scholar] [CrossRef] [PubMed]
- Montesinos-López, O.A.; Kismiantini Montesinos-López, A. Designing optimal training sets for genomic prediction using adversarial validation with probit regression. Plant Breed. 2023, 142, 594–606. [Google Scholar] [CrossRef]
- Christensen, P. Plane Answers to Complex Questions: The Theory of Linear Models; Springer Science+Business Media: New York, NY, USA, 2011. [Google Scholar]
- Wakefield, J. Bayesian and Frequentist Regression Methods; Springer Science+Business Media: New York, NY, USA, 2013. [Google Scholar]
- R Core Team. R: A Language and Environment for Statistical Computing; R Foundation for Statistical Computing: Vienna, Austria, 2024; Available online: https://www.R-project.org/ (accessed on 21 July 2024).
- Hall, C.; Dawson, T.P.; Macdiarmid, J.I.; Matthews, R.B.; Smith, P. The impact of population growth and climate change on food security in Africa: Looking ahead to 2050. Int. J. Agric. Sustain. 2017, 15, 124–135. [Google Scholar] [CrossRef]
| Dataset Number | Dataset (Crop and Number) | Cultivars (Number) | Markers (Number) | Environments (Number) | Traits (Number) | Families (Number) |
|---|---|---|---|---|---|---|
| Dataset 1 | Maize_1 | 1000 | 4085 | 11 | 4 | 6 |
| Dataset 2 | Maize_2 | 1000 | 4085 | 11 | 4 | 6 |
| Dataset 3 | Maize_3 | 1000 | 4085 | 11 | 4 | 6 |
| Dataset 4 | Maize_4 | 999 | 4085 | 11 | 4 | 6 |
| Dataset 5 | Soybean_1 | 1044 | 1810 | 8 | 6 | 10 |
| Dataset 6 | Soybean_2 | 691 | 1808 | 8 | 6 | 10 |
| Dataset 7 | Soybean_3 | 70 | 1809 | 8 | 6 | 10 |
| Dataset 8 | Soybean_4 | 59 | 1803 | 8 | 6 | 10 |
| Dataset | Model | Trait | NRMSE | NRMSE_SD |
|---|---|---|---|---|
| Maize_1 | ENet | GDD_ASI | 1.427 | 0.010 |
| Maize_1 | ENet | GDD_DTT | 1.429 | 0.010 |
| Maize_1 | Lasso | GDD_ASI | 1.433 | 0.011 |
| Maize_1 | Lasso | GDD_DTT | 1.433 | 0.010 |
| Maize_1 | Ridge | GDD_ASI | 1.371 | 0.009 |
| Maize_1 | Ridge | GDD_DTT | 1.371 | 0.009 |
| Maize_1 | WENet | GDD_ASI | 1.307 | 0.005 |
| Maize_1 | WENet | GDD_DTT | 1.307 | 0.005 |
| Maize_1 | WLasso | GDD_ASI | 1.332 | 0.006 |
| Maize_1 | WLasso | GDD_DTT | 1.332 | 0.006 |
| Maize_1 | WRidge | GDD_ASI | 1.303 | 0.006 |
| Maize_1 | WRidge | GDD_DTT | 1.303 | 0.006 |
| Maize_3 | ENet | GDD_ASI | 1.405 | 0.011 |
| Maize_3 | ENet | GDD_DTT | 1.404 | 0.011 |
| Maize_3 | Lasso | GDD_ASI | 1.409 | 0.011 |
| Maize_3 | Lasso | GDD_DTT | 1.407 | 0.011 |
| Maize_3 | Ridge | GDD_ASI | 1.380 | 0.010 |
| Maize_3 | Ridge | GDD_DTT | 1.381 | 0.010 |
| Maize_3 | WENet | GDD_ASI | 1.369 | 0.007 |
| Maize_3 | WENet | GDD_DTT | 1.369 | 0.007 |
| Maize_3 | WLasso | GDD_ASI | 1.370 | 0.008 |
| Maize_3 | WLasso | GDD_DTT | 1.370 | 0.008 |
| Maize_3 | WRidge | GDD_ASI | 1.331 | 0.008 |
| Maize_3 | WRidge | GDD_DTT | 1.333 | 0.008 |
| Soybean_1 | ENet | R8 | 1.241 | 0.003 |
| Soybean_1 | ENet | Height | 1.193 | 0.003 |
| Soybean_1 | Lasso | R8 | 1.254 | 0.003 |
| Soybean_1 | Lasso | Height | 1.195 | 0.003 |
| Soybean_1 | Ridge | R8 | 1.270 | 0.004 |
| Soybean_1 | Ridge | Height | 1.143 | 0.002 |
| Soybean_1 | WENet | R8 | 1.274 | 0.003 |
| Soybean_1 | WENet | Height | 1.239 | 0.003 |
| Soybean_1 | WLasso | R8 | 1.255 | 0.003 |
| Soybean_1 | WLasso | Height | 1.227 | 0.003 |
| Soybean_1 | WRidge | R8 | 1.284 | 0.004 |
| Soybean_1 | WRidge | Height | 1.191 | 0.003 |
| Soybean_2 | ENet | R8 | 1.554 | 0.004 |
| Soybean_2 | ENet | Height | 1.361 | 0.002 |
| Soybean_2 | Lasso | R8 | 1.559 | 0.004 |
| Soybean_2 | Lasso | Height | 1.357 | 0.002 |
| Soybean_2 | Ridge | R8 | 1.545 | 0.004 |
| Soybean_2 | Ridge | Height | 1.342 | 0.002 |
| Soybean_2 | WENet | R8 | 1.470 | 0.003 |
| Soybean_2 | WENet | Height | 1.316 | 0.002 |
| Soybean_2 | WLasso | R8 | 1.473 | 0.003 |
| Soybean_2 | WLasso | Height | 1.313 | 0.002 |
| Soybean_2 | WRidge | R8 | 1.515 | 0.004 |
| Soybean_2 | WRidge | Height | 1.332 | 0.002 |
| Model | NRMSE_Mean | NRMSE_Mean_SD |
|---|---|---|
| Enet | 1.409 | 0.001 |
| Lasso | 1.413 | 0.001 |
| Ridge | 1.387 | 0.001 |
| WENet | 1.378 | 0.001 |
| WLasso | 1.377 | 0.001 |
| WRidge | 1.369 | 0.001 |
Disclaimer/Publisher’s Note: The statements, opinions and data contained in all publications are solely those of the individual author(s) and contributor(s) and not of MDPI and/or the editor(s). MDPI and/or the editor(s) disclaim responsibility for any injury to people or property resulting from any ideas, methods, instructions or products referred to in the content. |
© 2024 by the authors. Licensee MDPI, Basel, Switzerland. This article is an open access article distributed under the terms and conditions of the Creative Commons Attribution (CC BY) license (https://creativecommons.org/licenses/by/4.0/).
Share and Cite
Montesinos-López, O.A.; Pulido-Carrillo, C.D.; Montesinos-López, A.; Larios Trejo, J.A.; Montesinos-López, J.C.; Agbona, A.; Crossa, J. A Penalized Regression Method for Genomic Prediction Reduces Mismatch between Training and Testing Sets. Genes 2024, 15, 969. https://doi.org/10.3390/genes15080969
Montesinos-López OA, Pulido-Carrillo CD, Montesinos-López A, Larios Trejo JA, Montesinos-López JC, Agbona A, Crossa J. A Penalized Regression Method for Genomic Prediction Reduces Mismatch between Training and Testing Sets. Genes. 2024; 15(8):969. https://doi.org/10.3390/genes15080969
Chicago/Turabian StyleMontesinos-López, Osval A., Cristian Daniel Pulido-Carrillo, Abelardo Montesinos-López, Jesús Antonio Larios Trejo, José Cricelio Montesinos-López, Afolabi Agbona, and José Crossa. 2024. "A Penalized Regression Method for Genomic Prediction Reduces Mismatch between Training and Testing Sets" Genes 15, no. 8: 969. https://doi.org/10.3390/genes15080969
APA StyleMontesinos-López, O. A., Pulido-Carrillo, C. D., Montesinos-López, A., Larios Trejo, J. A., Montesinos-López, J. C., Agbona, A., & Crossa, J. (2024). A Penalized Regression Method for Genomic Prediction Reduces Mismatch between Training and Testing Sets. Genes, 15(8), 969. https://doi.org/10.3390/genes15080969

