Identification of Reference Genes for RT-qPCR Analysis in Gleditsia microphylla under Abiotic Stress and Hormone Treatment
Abstract
:1. Introduction
2. Materials and Methods
2.1. Plant Materials and Treatment
2.2. Extraction of Total RNA and cDNA Synthesis
2.3. Screening of Candidate Reference Gene and Primer Design
2.4. Real-Time PCR
2.5. Statistical Analysis of Gene Expression and Comparison of Normalization Methods
2.6. Validation of Reference Genes by Expression Analysis of Stress-Responding Genes
3. Results
3.1. Specificity of Primers for Candidate Reference Genes and Target Genes
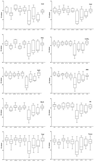
3.2. Expression Profiling of Candidate Reference Genes
3.3. Expression Stability of Candidate Reference Genes
3.3.1. geNorm Analysis
3.3.2. NormFinder Analysis
3.3.3. BestKeeper Analysis
3.3.4. RefFinder Analysis
3.4. Validation of Selected Reference Genes
4. Discussion
5. Conclusions
Supplementary Materials
Author Contributions
Funding
Institutional Review Board Statement
Informed Consent Statement
Data Availability Statement
Conflicts of Interest
References
- Wong, M.L.; Medrano, J.F. Real-time PCR for mRNA quantitation. Biotechniques 2005, 39, 75–85. [Google Scholar] [CrossRef] [PubMed]
- Jain, M.; Nijhawan, A.; Tyagi, A.K.; Khurana, J.P. Validation of housekeeping genes as internal control for studying gene expression in rice by quantitative real-time PCR. Biochem. Biophys. Res. Commun. 2006, 345, 646–651. [Google Scholar] [CrossRef] [PubMed]
- Paolacci, A.R.; Tanzarella, O.A.; Porceddu, E.; Ciaffi, M. Identification and validation of reference genes for quantitative RT-PCR normalization in wheat. BMC Mol. Biol. 2009, 10, 11. [Google Scholar] [CrossRef] [PubMed] [Green Version]
- Artico, S.; Nardeli, S.M.; Brilhante, O.; Grossi-de-Sa, M.; Alves-Ferreira, M. Identification and evaluation of new reference genes in Gossypium hirsutum for accurate normalization of real-time quantitative RT-PCR data. BMC Plant Biol. 2010, 10, 49. [Google Scholar] [CrossRef] [Green Version]
- Galli, V.; da Silva Messias, R.; dos Anjos e Silva, S.D.; Rombaldi, C.V. Selection of reliable reference genes for quantitative real-time polymerase chain reaction studies in maize grains. Plant Cell Rep. 2013, 32, 1869–1877. [Google Scholar] [CrossRef] [Green Version]
- Zhao, J.; Zhou, M.; Meng, Y. Identification and validation of reference genes for RT-qPCR analysis in switchgrass under heavy metal stresses. Genes 2020, 11, 502. [Google Scholar] [CrossRef]
- Cassol, D.; Cruz, F.P.; Espindola, K.; Mangeon, A.; Müller, C.; Loureiro, M.E.; Corrêa, R.L.; Sachetto-Martins, G. Identification of reference genes for quantitative RT-PCR analysis of microRNAs and mRNAs in castor bean (Ricinus communis L.) under drought stress. Plant Physiol. Biochem. 2016, 106, 101–107. [Google Scholar] [CrossRef]
- Velada, I.; Ragonezi, C.; Arnholdt-Schmitt, B.; Cardoso, H. Reference genes selection and normalization of oxidative stress responsive genes upon different temperature stress conditions in Hypericum perforatum L. PLoS ONE 2014, 9, e115206. [Google Scholar] [CrossRef]
- Duan, M.; Wang, J.; Zhang, X.; Yang, H.; Wang, H.; Qiu, Y.; Song, J.; Guo, Y.; Li, X. Identification of optimal reference genes for expression analysis in radish (Raphanus sativus L.) and its relatives based on expression stability. Front. Plant Sci. 2017, 8, 1605. [Google Scholar] [CrossRef] [Green Version]
- Thellin, O.; Zorzi, W.; Lakaye, B.; De Borman, B.; Coumans, B.; Hennen, G.; Grisar, T.; Igout, A.; Heinen, E. Housekeeping genes as internal standards: Use and limits. J. Biotechnol. 1999, 75, 291–295. [Google Scholar] [CrossRef] [Green Version]
- Bustin, S.A.; Nolan, T. Pitfalls of quantitative real-time reverse-transcription polymerase chain reaction. J. Biomol. Tech. 2004, 15, 155–166. [Google Scholar]
- Radonić, A.; Thulke, S.; Mackay, I.M.; Landt, O.; Siegert, W.; Nitsche, A. Guideline to reference gene selection for quantitative real-time PCR. Biochem. Biophys. Res. Commun. 2004, 313, 856–862. [Google Scholar] [CrossRef] [PubMed]
- Gutierrez, L.; Mauriat, M.; Guénin, S.; Pelloux, J.; Lefebvre, J.F.; Louvet, R.; Rusterucci, C.; Moritz, T.; Guerineau, F.; Bellini, C.; et al. The lack of a systematic validation of reference genes: A serious pitfall undervalued in reverse transcription-polymerase chain reaction (RT-PCR) analysis in plants. Plant Biotechnol. J. 2008, 6, 609–618. [Google Scholar] [CrossRef] [PubMed] [Green Version]
- Hruz, T.; Wyss, M.; Docquier, M.; Pfaffl, M.W.; Masanetz, S.; Borghi, L.; Verbrugghe, P.; Kalaydjieva, L.; Bleuler, S.; Laule, O.; et al. RefGenes: Identification of reliable and condition specific reference genes for RT-qPCR data normalization. BMC Genom. 2011, 12, 156. [Google Scholar] [CrossRef] [PubMed] [Green Version]
- Vandesompele, J.; De Preter, K.; Pattyn, F.; Poppe, B.; Van Roy, N.; De Paepe, A.; Speleman, F. Accurate normalization of real-time quantitative RT-PCR data by geometric averaging of multiple internal control genes. Genome Biol. 2002, 3, 1–12. [Google Scholar] [CrossRef] [Green Version]
- Hellemans, J.; Mortier, G.; De Paepe, A.; Speleman, F.; Vandesompele, J. qBase relative quantification framework and software for management and automated analysis of real-time quantitative PCR data. Genome Biol. 2007, 8, R19. [Google Scholar] [CrossRef] [Green Version]
- Andersen, C.L.; Jensen, J.L.; Orntoft, T.F. Normalization of real-time quantitative reverse transcription-PCR data: A model-based variance estimation approach to identify genes suited for normalization, applied to bladder and colon cancer data sets. Cancer Res. 2004, 64, 5245–5250. [Google Scholar] [CrossRef] [Green Version]
- Pfaffl, M.W.; Tichopad, A.; Prgomet, C.; Neuvians, T.P. Determination of stable housekeeping genes, differentially regulated target genes and sample integrity: BestKeeper-Excel-Based tool using pair-wise correlations. Biotechnol. Lett. 2004, 26, 509–515. [Google Scholar] [CrossRef]
- Xie, F.; Xiao, P.; Chen, D.; Xu, L.; Zhang, B. miRDeepFinder: A miRNA analysis tool for deep sequencing of plant small RNAs. Plant Mol. Biol. 2012, 80, 75–84. [Google Scholar] [CrossRef]
- Yi, S.Y.; Lin, Q.W.; Zhang, X.J.; Wang, J.; Miao, Y.Y.; Tan, N.H. Selection and validation of appropriate reference genes for quantitative RT-PCR analysis in Rubia yunnanensis diels based on transcriptome data. Biomed Res. Int. 2020, 2020, 5824841. [Google Scholar] [CrossRef] [Green Version]
- Yang, Z.; Zhang, R.; Zhou, Z. Identification and validation of reference genes for gene expression analysis in Schima superba. Genes 2021, 12, 732. [Google Scholar] [CrossRef]
- De Oliveira, L.F.; Piovezani, A.R.; Ivanov, D.A.; Yoshida, L.; Segal Floh, E.I.; Kato, M.J. Selection and validation of reference genes for measuring gene expression in Piper species at different life stages using RT-qPCR analysis. Plant Physiol. Biochem. 2022, 171, 201–212. [Google Scholar] [CrossRef] [PubMed]
- Yang, H.T.; Bai, S.T.; Gao, B.S. Observation of biological features of Gleditsis microphylla. Hebei J. For. Orchard Res. 2003, 18, 28–32. [Google Scholar]
- Zhang, W.M.; Xiao, Z.C.; Shi, J.S. Development, Research and Utilization of Plant Gum Resources in China, 1st ed.; Southeast University Press: Nanjing, China, 2008; pp. 46–49. [Google Scholar]
- Jiang, J.X.; Zhang, W.M.; Zhu, L.W.; Li, X.P. Exploitation and distribution of Gleditsia microphylla Resources. Chin. Wild Plant Resour. 2003, 22, 22–23, 33. [Google Scholar]
- Zhu, C.L.; Sun, D.F.; Shi, J.S. Study on the preparation of isolation protein from residual of Gleditsia sinensis Lam. gum. Chin. Wild Plant Resour. 2007, 26, 48–50. [Google Scholar]
- Li, G.; Han, F.Y.; Luo, A.; Zhao, F.Y. Effects of different treatments on seed germination of Gleditsia microphylla and Gleditsia sinensis. J. Sichuan For. Sci. Technol. 2020, 41, 79–83. [Google Scholar] [CrossRef]
- Datta, R.; Kumar, D.; Sultana, A.; Hazra, S.; Bhattacharyya, D.; Chattopadhyay, S. Glutathione regulates 1-aminocyclopropane-1-carboxylate synthase transcription via WRKY33 and 1-aminocyclopropane-1-carboxylate oxidase by modulating messenger RNA stability to induce ethylene synthesis during stress. Plant Physiol. 2015, 169, 2963–2981. [Google Scholar] [CrossRef]
- Zhang, X.L.; Jiang, L.; Xin, Q.; Liu, Y.; Tan, J.X.; Chen, Z.Z. Structural basis and functions of abscisic acid receptors PYLs. Front. Plant Sci. 2015, 6, 88. [Google Scholar] [CrossRef] [Green Version]
- Yadav, S.K.; Santosh Kumar, V.V.; Verma, R.K.; Yadav, P.; Saroha, A.; Wankhede, D.P.; Chaudhary, B.; Chinnusamy, V. Genome-wide identification and characterization of ABA receptor PYL gene family in rice. BMC Genom. 2020, 21, 676. [Google Scholar] [CrossRef]
- Lee, S.C.; Kwon, S.Y.; Kim, S.R. Ectopic expression of a cold-responsive CuZn superoxide dismutase gene, SodCc1, in transgenic rice (Oryza sativa L.). J. Plant Biol. 2009, 52, 154–160. [Google Scholar] [CrossRef]
- Zhang, L.; Ma, H.J.; Chen, T.T.; Pen, J.; Yu, S.X.; Zhao, X.H. Morphological and physiological responses of cotton (Gossypium hirsutum L.) plants to salinity. PLoS ONE 2014, 9, e112807. [Google Scholar] [CrossRef] [PubMed] [Green Version]
- Livak, K.J.; Schmittgen, T.D. Analysis of relative gene expression data using real-time quantitative PCR and the 2−ΔΔCT method. Methods 2001, 25, 402–408. [Google Scholar] [CrossRef] [PubMed]
- Gao, D.; Kong, F.; Sun, P.; Bi, G.; Mao, Y. Transcriptome-wide identification of optimal reference genes for expression analysis of Pyropia yezoensis responses to abiotic stress. BMC Genom. 2018, 19, 251. [Google Scholar] [CrossRef] [PubMed] [Green Version]
- Vera Hernández, F.P.; Martínez Núñez, M.; Ruiz Rivas, M.; Vázquez Portillo, R.E.; Bibbins Martínez, M.D.; Luna Suárez, S.; Rosas Cárdenas, F.F. Reference genes for RT-qPCR normalisation in different tissues, developmental stages and stress conditions of amaranth. Plant Biol. 2018, 20, 713–721. [Google Scholar] [CrossRef]
- Zhao, Y.C.; Luo, J.; Xu, S.; Wang, W.; Liu, T.T.; Han, C.; Chen, Y.J.; Kong, L.Y. Selection of reference genes for gene expression normalization in Peucedanum praeruptorum Dunn under abiotic stresses, hormone treatments and different tissues. PLoS ONE 2016, 11, e0152356. [Google Scholar] [CrossRef] [Green Version]
- Tang, X.; Zhang, N.; Si, H.; Calderón-Urrea, A. Selection and validation of reference genes for RT-qPCR analysis in potato under abiotic stress. Plant Methods 2017, 13, 85. [Google Scholar] [CrossRef]
- Saraiva, K.D.C.; de Melo, D.F.; Morais, V.D.; Vasconcelos, I.M.; Costa, J.H. Selection of suitable soybean EF1α genes as internal controls for real-time PCR analyses of tissues during plant development and under stress conditions. Plant Cell Rep. 2014, 33, 1453–1465. [Google Scholar] [CrossRef]
- Zhang, Z.; Li, C.; Zhang, J.; Chen, F.; Gong, Y.F.; Li, Y.R.; Su, Y.J.; Wei, Y.J.; Zhao, Y.C. Selection of the reference gene for expression normalization in Papaver somniferum L. under abiotic stress and hormone treatment. Genes 2020, 11, 124. [Google Scholar] [CrossRef] [Green Version]
- Xie, H.; Li, B.; Chang, Y.; Hou, X.Y.; Zhang, Y.; Guo, S.Y.; Miao, Y.C.; Wang, Q.H.; Chen, S.X.; Su, Y.H.; et al. Selection and validation of reference genes for RT-qPCR analysis in Spinacia oleracea under abiotic stress. BioMed Res. Int. 2021, 2021, 4853632. [Google Scholar] [CrossRef]
- Pu, Q.; Li, Z.; Nie, G.; Zhou, J.Q.; Liu, L.; Peng, Y. Selection and validation of reference genes for quantitative real-time PCR in white clover (Trifolium repens L.) involved in five abiotic stresses. Plants 2020, 9, 996. [Google Scholar] [CrossRef]
- Mu, H.; Sun, T.; Xu, C.; Wang, L.; Yue, Y.; Li, H.; Yang, X. Identification and validation of reference genes for gene expression studies in sweet osmanthus (Osmanthus fragrans) based on transcriptomic sequence data. J. Genet. 2017, 96, 273–281. [Google Scholar] [CrossRef] [PubMed]
- Takamori, L.M.; Pereira, A.V.C.; Maia Souza, G.; Vieira, L.G.E.; Ferreira Ribas, A. Identification of endogenous reference genes for RT-qPCR expression analysis in Urochloa brizantha under abiotic stresses. Sci. Rep. 2017, 7, 8502. [Google Scholar] [CrossRef] [PubMed]
- Ma, R.; Xu, S.; Zhao, Y.; Xia, B.; Wang, R. Selection and validation of appropriate reference genes for quantitative real-time PCR analysis of gene expression in Lycoris aurea. Front. Plant Sci. 2016, 7, 536. [Google Scholar] [CrossRef] [PubMed] [Green Version]
- Jatav, P.K.; Sharma, A.; Dahiya, D.K.; Khan, A.; Agarwal, A.; Kothari, S.L.; Kachhwaha, S. Identification of suitable internal control genes for transcriptional studies in Eleusine coracana under different abiotic stress conditions. Physiol. Mol. Biol. Plants 2018, 24, 793–807. [Google Scholar] [CrossRef] [PubMed]
- Sudhakar Reddy, P.; Srinivas Reddy, D.; Sivasakthi, K.; Bhatnagar-Mathur, P.; Vadez, V.; Sharma, K.K. Evaluation of sorghum [Sorghum bicolor (L.)] reference genes in various tissues and under abiotic stress conditions for quantitative real-time PCR data normalization. Front. Plant Sci. 2016, 7, 529. [Google Scholar] [CrossRef]
- Dos Santos, C.P.; da Cruz Saraiva, K.D.; Batista, M.C.; Germano, T.A.; Costa, J.H. Identification and evaluation of reference genes for reliable normalization of real-time quantitative PCR data in acerola fruit, leaf, and flower. Mol. Biol. Rep. 2020, 47, 953–965. [Google Scholar] [CrossRef]





| Group | Organ | Rank | Best Combination | ||||||||
|---|---|---|---|---|---|---|---|---|---|---|---|
| 1 | 2 | 3 | 4 | 5 | 6 | 7 | 8 | 9 | |||
| Total | RSL | TBP1(0.342) | EIF4A1(0.422) | eIF2(0.462) | ACT7(0.493) | CBP20(0.501) | TUB1(0.618) | EF-1α(0.663) | GAPB(0.825) | GAPA(1.301) | CBP20/eIF2 |
| R | TBP1(0.257) | EIF4A1(0.299) | GAPB(0.351) | TUB1(0.486) | GAPA(0.630) | eIF2(0.707) | ACT7(0.761) | CBP20(0.773) | EF-1α(1.024) | ||
| S | GAPB(0.261) | EIF4A1(0.369) | TUB1(0.402) | TBP1(0.419) | GAPA(0.503) | CBP20(0.515) | eIF2(0.543) | EF-1α(0.571) | ACT7(0.688) | ||
| L | GAPB(0.210) | eIF2(0.442) | TUB1(0.485) | TBP1(0.497) | EIF4A1(0.643) | CBP20(0.707) | EF-1α(0.743) | GAPA(0.760) | ACT7(0.781) | ||
| Cold | RSL | eIF2(0.188) | TBP1(0.214) | EIF4A1(0.453) | CBP20(0.494) | ACT7(0.636) | TUB1(0.724) | EF-1α(1.027) | GAPB(1.065) | GAPA(1.489) | TBP1/eIF2 |
| R | TBP1(0.051) | TUB1(0.051) | eIF2(0.064) | GAPB(0.173) | CBP20(0.315) | EIF4A1(0.435) | ACT7(0.814) | GAPA(0.898) | EF-1α(0.908) | ||
| S | EF-1α(0.094) | CBP20(0.096) | TUB1(0.099) | eIF2(0.100) | EIF4A1(0.103) | TBP1(0.109) | GAPA(0.126) | GAPB(0.127) | ACT7(0.402) | ||
| L | TUB1(0.110) | GAPB(0.114) | EIF4A1(0.166) | eIF2(0.220) | GAPA(0.417) | TBP1(0.437) | ACT7(0.787) | EF-1α(0.811) | CBP20(0.828) | ||
| Heat | RSL | eIF2(0.161) | TBP1(0.393) | CBP20(0.606) | TUB1(0.664) | EIF4A1(0.674) | EF-1α(0.684) | ACT7(0.711) | GAPB(0.937) | GAPA(1.300) | TBP1/eIF2 |
| R | GAPA(0.047) | eIF2(0.047) | GAPB(0.077) | TUB1(0.184) | EIF4A1(0.328) | TBP1(0.354) | EF-1α(0.749) | ACT7(0.860) | CBP20(0.920) | ||
| S | eIF2(0.063) | TBP1(0.101) | GAPA(0.214) | CBP20(0.251) | GAPB(0.255) | EIF4A1(0.331) | TUB1(0.385) | EF-1α(0.505) | ACT7(0.588) | ||
| L | TUB1(0.106) | TBP1(0.223) | eIF2(0.251) | EIF4A1(0.251) | GAPB(0.256) | GAPA(0.446) | ACT7(0.640) | CBP20(0.653) | EF-1α(0.730) | ||
| PEG | RSL | EIF4A1(0.399) | TBP1(0.471) | CBP20(0.538) | TUB1(0.663) | ACT7(0.781) | eIF2(0.822) | GAPB(1.062) | GAPA(1.380) | EF-1α(1.483) | ACT7/eIF2 |
| R | GAPB(0.037) | EIF4A1(0.039) | eIF2(0.065) | TBP1(0.156) | CBP20(0.268) | ACT7(0.272) | GAPA(0.277) | EF-1α(0.474) | TUB1(0.550) | ||
| S | EIF4A1(0.066) | eIF2(0.097) | GAPB(0.227) | ACT7(0.242) | TBP1(0.325) | TUB1(0.342) | CBP20(0.471) | GAPA(0.502) | EF-1α(0.976) | ||
| L | EIF4A1(0.043) | TUB1(0.043) | GAPB(0.070) | eIF2(0.227) | TBP1(0.228) | GAPA(0.377) | CBP20(0.598) | ACT7(0.768) | EF-1α(0.818) | ||
| CuSO4 | RSL | TBP1(0.405) | ACT7(0.406) | EF-1α(0.511) | GAPB(0.561) | eIF2(0.609) | EIF4A1(0.657) | TUB1(0.699) | CBP20(0.917) | GAPA(1.677) | GAPB/TUB1 |
| R | TBP1(0.054) | eIF2(0.078) | GAPB(0.086) | EF-1α(0.139) | EIF4A1(0.232) | TUB1(0.417) | ACT7(0.482) | GAPA(0.513) | CBP20(0.668) | ||
| S | GAPA(0.071) | GAPB(0.120) | eIF2(0.165) | TBP1(0.182) | EIF4A1(0.265) | TUB1(0.286) | EF-1α(0.373) | CBP20(0.433) | ACT7(0.562) | ||
| L | CBP20(0.206) | EF-1α(0.269) | eIF2(0.319) | TBP1(0.343) | ACT7(0.343) | TUB1(0.390) | GAPB(0.397) | GAPA(0.705) | EIF4A1(0.891) | ||
| NaCl | RSL | TBP1(0.258) | eIF2(0.307) | EIF4A1(0.460) | CBP20(0.611) | ACT7(0.714) | TUB1(0.739) | GAPB(0.962) | EF-1α(1.116) | GAPA(1.361) | EIF4A1/eIF2 |
| R | EIF4A1(0.071) | eIF2(0.071) | GAPB(0.181) | TUB1(0.182) | GAPA(0.232) | TBP1(0.252) | EF-1α(0.498) | CBP20(0.937) | ACT7(1.099) | ||
| S | TBP1(0.201) | eIF2(0.205) | EF-1α(0.274) | GAPB(0.282) | CBP20(0.367) | GAPA(0.403) | ACT7(0.410) | EIF4A1(0.417) | TUB1(0.434) | ||
| L | eIF2(0.133) | TBP1(0.266) | GAPB(0.311) | TUB1(0.346) | GAPA(0.529) | EIF4A1(0.593) | CBP20(0.617) | EF-1α(0.638) | ACT7(0.669) | ||
| ABA | RSL | EF-1α(0.237) | EIF4A1(0.346) | eIF2(0.547) | TBP1(0.576) | CBP20(0.627) | TUB1(0.815) | GAPB(0.860) | ACT7(0.897) | GAPA(1.408) | TBP1/eIF2 |
| R | EF-1α(0.039) | EIF4A1(0.048) | ACT7(0.051) | TBP1(0.205) | GAPB(0.224) | CBP20(0.301) | eIF2(0.468) | TUB1(0.476) | GAPA(0.546) | ||
| S | EF-1α(0.136) | GAPB(0.137) | eIF2(0.296) | TUB1(0.359) | TBP1(0.360) | EIF4A1(0.371) | CBP20(0.498) | GAPA(0.701) | ACT7(0.896) | ||
| L | EF-1α(0.093) | GAPB(0.093) | eIF2(0.139) | TBP1(0.340) | EIF4A1(0.631) | TUB1(0.644) | CBP20(0.995) | ACT7(0.996) | GAPA(1.351) | ||
| MeJA | RSL | TBP1(0.358) | eIF2(0.417) | EIF4A1(0.444) | ACT7(0.512) | CBP20(0.543) | TUB1(0.554) | EF-1α(0.611) | GAPB(0.774) | GAPA(1.083) | EIF4A1/eIF2 |
| R | TUB1(0.133) | GAPB(0.167) | eIF2(0.253) | EIF4A1(0.351) | TBP1(0.372) | GAPA(0.427) | EF-1α(0.471) | ACT7(0.496) | CBP20(0.557) | ||
| S | TUB1(0.019) | GAPB(0.046) | eIF2(0.068) | GAPA(0.203) | TBP1(0.262) | EIF4A1(0.274) | CBP20(0.276) | EF-1α(0.400) | ACT7(0.497) | ||
| L | TUB1(0.040) | GAPB(0.090) | EIF4A1(0.097) | TBP1(0.149) | eIF2(0.176) | ACT7(0.453) | CBP20(0.456) | GAPA(0.499) | EF-1α(0.559) | ||
| SA | RSL | EIF4A1(0.476) | eIF2(0.520) | CBP20(0.526) | TBP1(0.602) | TUB1(0.615) | ACT7(0.657) | EF-1α(0.687) | GAPB(0.831) | GAPA(1.326) | EIF4A1/eIF2 |
| R | eIF2(0.086) | GAPB(0.103) | TUB1(0.194) | EIF4A1(0.219) | TBP1(0.283) | CBP20(0.541) | GAPA(0.729) | ACT7(0.753) | EF-1α(1.184) | ||
| S | EIF4A1(0.085) | TUB1(0.085) | CBP20(0.318) | GAPB(0.442) | GAPA(0.560) | ACT7(0.724) | eIF2(0.730) | EF-1α(0.806) | TBP1(0.848) | ||
| L | ACT7(0.053) | eIF2(0.053) | GAPB(0.126) | GAPA(0.359) | CBP20(0.462) | TBP1(0.553) | EIF4A1(0.596) | EF-1α(0.612) | TUB1(0.793) | ||
| Tissue | RSLF | TBP1(0.378) | EIF4A1(0.394) | eIF2(0.482) | TUB1(0.676) | ACT7(0.730) | CBP20(0.877) | GAPB(1.001) | EF-1α(1.092) | GAPA(1.291) | EIF4A1/eIF2 |
| R | TBP1(0.210) | GAPB(0.331) | EIF4A1(0.434) | ACT7(0.466) | TUB1(0.536) | GAPA(0.587) | EF-1α(0.714) | CBP20(0.723) | eIF2(0.724) | ||
| S | EIF4A1(0.183) | eIF2(0.222) | TBP1(0.232) | GAPA(0.269) | CBP20(0.367) | GAPB(0.394) | ACT7(0.421) | EF-1α(0.454) | TUB1(0.594) | ||
| L | TUB1(0.312) | EIF4A1(0.319) | eIF2(0.376) | EF-1α(0.408) | TBP1(0.440) | GAPB(0.440) | CBP20(0.488) | GAPA(0.490) | ACT7(0.560) | ||
| F | GAPB(0.135) | TBP1(0.163) | EIF4A1(0.169) | ACT7(0.323) | TUB1(0.331) | CBP20(0.460) | eIF2(0.472) | GAPA(0.756) | EF-1α(0.927) | ||
| Group | Organ | Rank * | ||||||||
|---|---|---|---|---|---|---|---|---|---|---|
| 1 | 2 | 3 | 4 | 5 | 6 | 7 | 8 | 9 | ||
| Total | RSL | CBP20 | EIF4A1 | TUB1 | TBP1 | EF-1α | ACT7 | eIF2 | GAPB | GAPA |
| 3.00 ± 0.93 | 3.08 ± 0.94 | 3.16 ± 0.96 | 3.27 ± 1.01 | 3.92 ± 1.19 | 4.12 ± 1.23 | 6.41 ± 1.81 | 8.42 ± 2.40 | 11.38 ± 2.96 | ||
| R | TBP1 | GAPB | EIF4A1 | CBP20 | TUB1 | GAPA | eIF2 | ACT7 | EF-1α | |
| 1.48 ± 0.47 | 1.54 ± 0.49 | 1.59 ± 0.50 | 2.27 ± 0.72 | 2.53 ± 0.79 | 2.80 ± 0.85 | 3.27 ± 1.01 | 3.95 ± 1.21 | 4.60 ± 1.42 | ||
| S | TBP1 | CBP20 | EIF4A1 | TUB1 | GAPB | GAPA | EF-1α | eIF2 | ACT7 | |
| 2.28 ± 0.70 | 2.39 ± 0.74 | 2.73 ± 0.82 | 2.90 ± 0.86 | 2.94 ± 0.81 | 3.03 ± 0.75 | 3.08 ± 0.93 | 3.16 ± 0.86 | 3.49 ± 1.02 | ||
| L | CBP20 | EIF4A1 | TUB1 | GAPB | TBP1 | GAPA | eIF2 | EF-1α | ACT7 | |
| 2.19 ± 0.66 | 2.33 ± 0.70 | 2.57 ± 0.79 | 2.63 ± 0.68 | 2.92 ± 0.87 | 2.99 ± 0.69 | 3.07 ± 0.82 | 3.63 ± 1.09 | 3.90 ± 1.15 | ||
| Cold | RSL | TUB1 | CBP20 | EIF4A1 | EF-1α | ACT7 | TBP1 | eIF2 | GAPB | GAPA |
| 2.05 ± 0.60 | 3.23 ± 1.01 | 3.24 ± 0.99 | 3.29 ± 0.98 | 4.06 ± 1.14 | 4.24 ± 1.27 | 6.06 ± 1.57 | 10.12 ± 2.83 | 12.77 ± 3.30 | ||
| R | CBP20 | TUB1 | TBP1 | EIF4A1 | eIF2 | GAPB | GAPA | EF-1α | ACT7 | |
| 0.02 ± 0.01 | 0.91 ± 0.27 | 0.91 ± 0.29 | 1.11 ± 0.35 | 1.74 ± 0.49 | 1.83 ± 0.59 | 3.48 ± 1.07 | 3.90 ± 1.19 | 3.92 ± 1.16 | ||
| S | CBP20 | EIF4A1 | TBP1 | eIF2 | TUB1 | GAPB | EF-1α | GAPA | ACT7 | |
| 0.09 ± 0.03 | 0.45 ± 0.13 | 0.47 ± 0.14 | 0.55 ± 0.14 | 0.65 ± 0.19 | 0.74 ± 0.20 | 0.62 ± 0.18 | 0.92 ± 0.22 | 1.53 ± 0.42 | ||
| L | GAPA | CBP20 | eIF2 | TBP1 | TUB1 | GAPB | EIF4A1 | EF-1α | ACT7 | |
| 0.65 ± 0.15 | 0.99 ± 0.30 | 1.53 ± 0.38 | 1.86 ± 0.53 | 2.38 ± 0.70 | 2.85 ± 0.71 | 3.09 ± 0.92 | 5.20 ± 1.55 | 5.33 ± 1.46 | ||
| Heat | RSL | EIF4A1 | CBP20 | TUB1 | TBP1 | EF-1α | ACT7 | eIF2 | GAPB | GAPA |
| 2.52 ± 0.76 | 2.74 ± 0.84 | 2.91 ± 0.87 | 3.29 ± 0.98 | 3.70 ± 1.10 | 4.01 ± 1.18 | 5.04 ± 1.40 | 8.97 ± 2.47 | 11.65 ± 2.99 | ||
| R | EIF4A1 | TBP1 | GAPA | eIF2 | GAPB | CBP20 | TUB1 | EF-1α | ACT7 | |
| 0.56 ± 0.17 | 0.76 ± 0.24 | 1.21 ± 0.36 | 1.32 ± 0.40 | 1.81 ± 0.57 | 1.93 ± 0.61 | 2.41 ± 0.75 | 3.99 ± 1.24 | 4.40 ± 1.35 | ||
| S | GAPA | TBP1 | EIF4A1 | eIF2 | TUB1 | CBP20 | GAPB | EF-1α | ACT7 | |
| 0.52 ± 0.13 | 0.52 ± 0.16 | 0.65 ± 0.19 | 0.68 ± 0.18 | 0.72 ± 0.21 | 0.80 ± 0.24 | 1.99 ± 0.53 | 2.33 ± 0.68 | 2.84 ± 0.82 | ||
| L | GAPA | TBP1 | TUB1 | GAPB | eIF2 | EIF4A1 | CBP20 | ACT7 | EF-1α | |
| 0.73 ± 0.17 | 1.08 ± 0.31 | 1.31 ± 0.39 | 1.33 ± 0.33 | 1.74 ± 0.46 | 2.23 ± 0.67 | 2.36 ± 0.70 | 3.10 ± 0.90 | 3.61 ± 1.06 | ||
| PEG | RSL | EF-1α | EIF4A1 | TBP1 | ACT7 | TUB1 | CBP20 | eIF2 | GAPB | GAPA |
| 2.64 ± 0.75 | 2.88 ± 0.87 | 2.91 ± 0.88 | 3.07 ± 0.88 | 3.37 ± 1.01 | 3.67 ± 1.14 | 8.28 ± 2.35 | 9.78 ± 2.73 | 11.34 ± 2.98 | ||
| R | CBP20 | EIF4A1 | GAPB | TBP1 | eIF2 | EF-1α | ACT7 | GAPA | TUB1 | |
| 0.41 ± 0.13 | 0.41 ± 0.13 | 0.43 ± 0.14 | 0.69 ± 0.22 | 0.93 ± 0.30 | 1.12 ± 0.31 | 1.20 ± 0.35 | 1.29 ± 0.40 | 2.10 ± 0.66 | ||
| S | EF-1α | TBP1 | ACT7 | EIF4A1 | eIF2 | GAPB | TUB1 | CBP20 | GAPA | |
| 0.48 ± 0.14 | 1.79 ± 0.54 | 2.06 ± 0.58 | 3.23 ± 0.95 | 3.25 ± 0.87 | 4.20 ± 1.11 | 4.56 ± 1.30 | 4.59 ± 1.40 | 5.90 ± 1.44 | ||
| L | eIF2 | TBP1 | TUB1 | EIF4A1 | GAPB | GAPA | CBP20 | ACT7 | EF-1α | |
| 0.14 ± 0.04 | 0.29 ± 0.08 | 0.73 ± 0.22 | 0.86 ± 0.26 | 0.97 ± 0.25 | 1.09 ± 0.26 | 1.24 ± 0.37 | 3.96 ± 1.12 | 4.17 ± 1.18 | ||
| CuSO4 | RSL | TUB1 | EF-1α | CBP20 | TBP1 | EIF4A1 | ACT7 | GAPB | eIF2 | GAPA |
| 2.22 ± 0.70 | 2.29 ± 0.72 | 2.39 ± 0.75 | 2.76 ± 0.86 | 2.87 ± 0.89 | 3.73 ± 1.14 | 6.76 ± 1.94 | 7.11 ± 2.02 | 13.10 ± 3.47 | ||
| R | EF-1α | GAPB | TBP1 | ACT7 | TUB1 | eIF2 | EIF4A1 | GAPA | CBP20 | |
| 0.36 ± 0.12 | 0.55 ± 0.17 | 0.87 ± 0.28 | 1.04 ± 0.34 | 1.10 ± 0.36 | 1.16 ± 0.36 | 1.55 ± 0.50 | 2.16 ± 0.69 | 2.88 ± 0.91 | ||
| S | GAPB | EIF4A1 | eIF2 | GAPA | EF-1α | TBP1 | TUB1 | CBP20 | ACT7 | |
| 0.02 ± 0.01 | 0.56 ± 0.17 | 0.57 ± 0.15 | 0.93 ± 0.23 | 1.27 ± 0.39 | 1.32 ± 0.41 | 1.66 ± 0.51 | 1.87 ± 0.58 | 2.05 ± 0.61 | ||
| L | EF-1α | GAPB | ACT7 | TUB1 | TBP1 | CBP20 | eIF2 | GAPA | EIF4A1 | |
| 1.08 ± 0.33 | 1.16 ± 0.31 | 1.26 ± 0.38 | 1.76 ± 0.56 | 1.83 ± 0.56 | 2.13 ± 0.66 | 2.87 ± 0.77 | 2.97 ± 0.69 | 3.72 ± 1.14 | ||
| NaCl | RSL | CBP20 | TBP1 | EF-1α | EIF4A1 | TUB1 | ACT7 | eIF2 | GAPB | GAPA |
| 2.47 ± 0.76 | 2.51 ± 0.78 | 2.79 ± 0.87 | 2.93 ± 0.92 | 3.23 ± 1.01 | 4.11 ± 1.25 | 4.85 ± 1.39 | 7.50 ± 2.18 | 10.43 ± 2.69 | ||
| R | GAPA | TUB1 | TBP1 | EIF4A1 | eIF2 | GAPB | CBP20 | EF-1α | ACT7 | |
| 0.85 ± 0.25 | 1.08 ± 0.35 | 1.26 ± 0.40 | 1.51 ± 0.48 | 1.84 ± 0.56 | 2.22 ± 0.71 | 2.55 ± 0.81 | 3.58 ± 1.09 | 5.85 ± 1.83 | ||
| S | GAPA | TBP1 | TUB1 | CBP20 | GAPB | ACT7 | EF-1α | eIF2 | EIF4A1 | |
| 0.56 ± 0.14 | 1.12 ± 0.34 | 1.73 ± 0.52 | 1.78 ± 0.55 | 1.79 ± 0.50 | 2.41 ± 0.71 | 2.52 ± 0.78 | 2.73 ± 0.76 | 3.19 ± 0.99 | ||
| L | eIF2 | TBP1 | GAPB | CBP20 | GAPA | TUB1 | ACT7 | EF-1α | EIF4A1 | |
| 0.18 ± 0.05 | 0.62 ± 0.19 | 0.75 ± 0.20 | 1.49 ± 0.45 | 1.56 ± 0.36 | 2.22 ± 0.71 | 2.74 ± 0.84 | 2.87 ± 0.91 | 3.13 ± 0.97 | ||
| ABA | RSL | TBP1 | TUB1 | ACT7 | EF-1α | CBP20 | EIF4A1 | eIF2 | GAPB | GAPA |
| 2.14 ± 0.67 | 2.23 ± 0.67 | 2.39 ± 0.74 | 3.15 ± 0.97 | 3.21 ± 0.98 | 3.28 ± 0.99 | 6.00 ± 1.74 | 7.93 ± 2.28 | 10.69 ± 2.78 | ||
| R | CBP20 | TBP1 | TUB1 | EIF4A1 | EF-1α | ACT7 | GAPB | eIF2 | GAPA | |
| 0.22 ± 0.07 | 0.38 ± 0.12 | 0.56 ± 0.17 | 0.77 ± 0.24 | 0.98 ± 0.32 | 1.36 ± 0.42 | 1.91 ± 0.61 | 2.70 ± 0.85 | 3.02 ± 0.91 | ||
| S | eIF2 | TBP1 | ACT7 | GAPB | TUB1 | EF-1α | EIF4A1 | CBP20 | GAPA | |
| 0.96 ± 0.27 | 1.09 ± 0.34 | 1.57 ± 0.48 | 1.64 ± 0.46 | 1.96 ± 0.57 | 2.17 ± 0.66 | 3.42 ± 1.01 | 3.74 ± 1.13 | 5.41 ± 1.33 | ||
| L | EF-1α | GAPB | eIF2 | EIF4A1 | TBP1 | TUB1 | ACT7 | CBP20 | GAPA | |
| 0.23 ± 0.07 | 0.29 ± 0.08 | 1.27 ± 0.35 | 2.17 ± 0.64 | 2.17 ± 0.68 | 2.21 ± 0.67 | 3.53 ± 1.09 | 4.02 ± 1.21 | 5.68 ± 1.33 | ||
| MeJA | RSL | TUB1 | EF-1α | EIF4A1 | ACT7 | CBP20 | TBP1 | eIF2 | GAPB | GAPA |
| 2.11 ± 0.64 | 2.23 ± 0.66 | 2.43 ± 0.74 | 2.49 ± 0.73 | 2.69 ± 0.82 | 2.80 ± 0.87 | 5.80 ± 1.64 | 7.74 ± 2.20 | 9.69 ± 2.51 | ||
| R | GAPB | TUB1 | EF-1α | ACT7 | EIF4A1 | eIF2 | TBP1 | CBP20 | GAPA | |
| 0.48 ± 0.15 | 0.70 ± 0.22 | 0.89 ± 0.27 | 1.16 ± 0.35 | 1.19 ± 0.38 | 1.65 ± 0.51 | 1.77 ± 0.57 | 2.17 ± 0.69 | 2.19 ± 0.65 | ||
| S | ACT7 | eIF2 | TUB1 | GAPB | EF-1α | TBP1 | CBP20 | EIF4A1 | GAPA | |
| 0.81 ± 0.23 | 0.83 ± 0.23 | 1.08 ± 0.32 | 1.23 ± 0.34 | 1.50 ± 0.44 | 1.99 ± 0.61 | 2.00 ± 0.61 | 2.03 ± 0.61 | 2.09 ± 0.52 | ||
| L | TUB1 | EIF4A1 | eIF2 | GAPB | TBP1 | ACT7 | EF-1α | CBP20 | GAPA | |
| 0.34 ± 0.10 | 0.63 ± 0.19 | 0.75 ± 0.20 | 0.77 ± 0.20 | 1.11 ± 0.34 | 1.31 ± 0.38 | 1.62 ± 0.47 | 2.28 ± 0.68 | 3.12 ± 0.72 | ||
| SA | RSL | ACT7 | TUB1 | TBP1 | EF-1α | EIF4A1 | CBP20 | eIF2 | GAPB | GAPA |
| 2.11 ± 0.65 | 2.22 ± 0.69 | 2.22 ± 0.70 | 2.88 ± 0.90 | 3.15 ± 0.98 | 3.59 ± 1.12 | 6.35 ± 1.86 | 8.05 ± 2.35 | 10.77 ± 2.86 | ||
| R | GAPB | TBP1 | ACT7 | eIF2 | EIF4A1 | TUB1 | EF-1α | CBP20 | GAPA | |
| 1.11 ± 0.36 | 1.74 ± 0.56 | 1.77 ± 0.55 | 1.92 ± 0.61 | 2.41 ± 0.76 | 2.73 ± 0.85 | 3.19 ± 1.02 | 3.74 ± 1.19 | 4.23 ± 1.28 | ||
| S | TBP1 | TUB1 | EF-1α | ACT7 | EIF4A1 | CBP20 | GAPB | GAPA | eIF2 | |
| 0.96 ± 0.30 | 2.13 ± 0.66 | 2.16 ± 0.68 | 2.45 ± 0.75 | 2.70 ± 0.85 | 3.03 ± 0.95 | 4.18 ± 1.22 | 4.63 ± 1.21 | 5.23 ± 1.51 | ||
| L | eIF2 | ACT7 | TUB1 | EF-1α | GAPB | EIF4A1 | CBP20 | TBP1 | GAPA | |
| 1.15 ± 0.32 | 1.16 ± 0.35 | 1.85 ± 0.56 | 1.87 ± 0.57 | 2.00 ± 0.52 | 2.25 ± 0.67 | 2.63 ± 0.79 | 2.72 ± 0.84 | 3.32 ± 0.77 | ||
| Tissue | RSLF | ACT7 | TBP1 | EF-1α | EIF4A1 | CBP20 | TUB1 | eIF2 | GAPB | GAPA |
| 2.77 ± 0.79 | 2.87 ± 0.87 | 3.12 ± 0.92 | 4.03 ± 1.19 | 4.43 ± 1.34 | 4.81 ± 1.41 | 5.77 ± 1.64 | 9.32 ± 2.57 | 11.63 ± 2.95 | ||
| R | GAPB | eIF2 | TBP1 | ACT7 | GAPA | CBP20 | EIF4A1 | TUB1 | EF-1α | |
| 0.70 ± 0.23 | 1.46 ± 0.46 | 1.59 ± 0.50 | 1.81 ± 0.53 | 1.86 ± 0.57 | 2.22 ± 0.70 | 2.64 ± 0.82 | 3.19 ± 0.98 | 3.33 ± 0.96 | ||
| S | EF-1α | EIF4A1 | eIF2 | TBP1 | CBP20 | ACT7 | GAPA | TUB1 | GAPB | |
| 1.41 ± 0.42 | 1.52 ± 0.45 | 1.58 ± 0.44 | 1.70 ± 0.52 | 1.73 ± 0.53 | 1.83 ± 0.53 | 2.36 ± 0.57 | 2.80 ± 0.82 | 3.12 ± 0.84 | ||
| L | TBP1 | CBP20 | GAPA | eIF2 | EIF4A1 | TUB1 | GAPB | EF-1α | ACT7 | |
| 1.34 ± 0.39 | 1.58 ± 0.48 | 1.79 ± 0.40 | 1.92 ± 0.52 | 2.01 ± 0.58 | 2.32 ± 0.69 | 2.35 ± 0.58 | 2.85 ± 0.84 | 3.32 ± 0.94 | ||
| F | TBP1 | CBP20 | GAPB | ACT7 | TUB1 | EIF4A1 | eIF2 | GAPA | EF-1α | |
| 1.59 ± 0.47 | 1.86 ± 0.50 | 2.25 ± 0.59 | 2.57 ± 0.72 | 2.66 ± 0.70 | 2.85 ± 0.77 | 3.06 ± 0.83 | 3.14 ± 0.73 | 3.58 ± 1.05 | ||
| Group | Organ | Rank * | ||||||||
|---|---|---|---|---|---|---|---|---|---|---|
| 1 | 2 | 3 | 4 | 5 | 6 | 7 | 8 | 9 | ||
| Total | RSL | TBP1(1.41) | CBP20(2.11) | EIF4A1(2.21) | TUB1(3.66) | eIF2(4.92) | ACT7(5.73) | EF-1α(6.19) | GAPB(8.00) | GAPA(9.00) |
| R | TBP1(1.00) | EIF4A1(1.86) | GAPB(2.71) | TUB1(4.23) | GAPA(5.23) | CBP20(6.05) | eIF2(6.48) | ACT7(7.74) | EF-1α(9.00) | |
| S | GAPB(1.86) | EIF4A1(2.21) | CBP20(2.91) | TBP1(3.13) | GAPA(4.16) | TUB1(4.21) | eIF2(6.44) | EF-1α(8.00) | ACT7(9.00) | |
| L | GAPB(1.32) | eIF2(2.11) | TBP1(3.03) | CBP20(4.36) | TUB1(4.56) | EIF4A1(5.14) | GAPA(5.26) | EF-1α(7.48) | ACT7(9.00) | |
| Cold | RSL | TBP1(1.86) | eIF2(1.93) | EIF4A1(2.91) | TUB1(3.66) | CBP20(3.72) | ACT7(5.23) | EF-1α(5.66) | GAPB(8.00) | GAPA(9.00) |
| R | TBP1(1.73) | TUB1(1.86) | eIF2(2.34) | CBP20(3.34) | GAPB(4.43) | EIF4A1(5.42) | GAPA(7.48) | ACT7(7.48) | EF-1α(9.00) | |
| S | EF-1α(1.68) | eIF2(1.86) | CBP20(2.21) | EIF4A1(3.22) | GAPA(5.32) | TBP1(6.40) | GAPB(6.62) | TUB1(6.74) | ACT7(9.00) | |
| L | TUB1(2.11) | eIF2(2.45) | GAPA(2.94) | GAPB(3.31) | TBP1(3.46) | EIF4A1(4.74) | CBP20(5.63) | ACT7(7.48) | EF-1α(8.74) | |
| Heat | RSL | eIF2(1.63) | TBP1(2.00) | EIF4A1(3.13) | CBP20(3.31) | TUB1(3.41) | EF-1α(5.48) | ACT7(6.74) | GAPB(8.00) | GAPA(9.00) |
| R | eIF2(2.00) | EIF4A1(2.24) | GAPA(2.45) | TBP1(2.91) | GAPB(3.87) | TUB1(5.09) | EF-1α(7.24) | CBP20(8.13) | ACT7(8.24) | |
| S | eIF2(1.57) | GAPA(1.57) | TBP1(3.13) | CBP20(3.16) | EIF4A1(4.61) | GAPB(5.86) | TUB1(6.48) | EF-1α(8.00) | ACT7(9.00) | |
| L | TBP1(1.68) | TUB1(2.00) | eIF2(2.59) | GAPA(3.83) | GAPB(4.16) | EIF4A1(4.36) | CBP20(7.24) | ACT7(7.74) | EF-1α(9.00) | |
| PEG | RSL | EIF4A1(1.41) | TBP1(1.68) | CBP20(3.57) | TUB1(4.23) | ACT7(4.40) | EF-1α(5.20) | eIF2(6.24) | GAPB(7.24) | GAPA(8.24) |
| R | GAPB(1.32) | EIF4A1(2.06) | eIF2(2.11) | TBP1(4.00) | CBP20(4.61) | ACT7(6.19) | GAPA(6.48) | EF-1α(8.00) | TUB1(9.00) | |
| S | EIF4A1(2.24) | eIF2(3.13) | GAPB (3.83) | ACT7(4.28) | CBP20(4.45) | TBP1(4.68) | GAPA(4.90) | TUB1(5.01) | EF-1α(5.20) | |
| L | TUB1 (1.86) | EIF4A1(2.21) | GAPB(2.45) | TBP1(3.13) | eIF2(3.34) | GAPA(5.73) | CBP20(7.00) | ACT7(8.00) | EF-1α(9.00) | |
| CuSO4 | RSL | TBP1(2.21) | EF-1α(2.34) | ACT7(2.63) | EIF4A1(2.91) | CBP20(4.43) | TUB1(4.73) | GAPB(5.45) | eIF2(7.48) | GAPA(9.00) |
| R | TBP1(1.19) | EF-1α(1.41) | GAPB(3.22) | eIF2(4.12) | EIF4A1(5.44) | TUB1(5.73) | ACT7(6.09) | GAPA(8.00) | CBP20(9.00) | |
| S | GAPB(1.57) | eIF2 (1.86) | GAPA(2.00) | EIF4A1(3.87) | TBP1(4.68) | TUB1(6.24) | EF-1α(6.65) | CBP20(7.74) | ACT7(9.00) | |
| L | CBP20(2.21) | ACT7(2.21) | EF-1α(2.45) | GAPB(2.91) | TBP1(4.16) | eIF2(4.68) | TUB1(6.44) | GAPA(7.74) | EIF4A1(9.00) | |
| NaCl | RSL | TBP1(1.00) | CBP20(2.38) | eIF2(3.03) | EIF4A1(3.46) | TUB1(5.00) | ACT7(6.00) | EF-1α(6.05) | GAPB(7.48) | GAPA(9.00) |
| R | EIF4A1(1.73) | GAPA (1.97) | TUB1(2.00) | eIF2(3.76) | GAPB(4.82) | TBP1(4.90) | EF-1α(7.24) | CBP20(7.74) | ACT7(9.00) | |
| S | eIF2(1.93) | TBP1 (2.21) | EF-1α(2.91) | GAPB(3.72) | GAPA(4.28) | ACT7(5.24) | CBP20(5.62) | EIF4A1(7.09) | TUB1(7.35) | |
| L | eIF2(1.00) | TBP1(1.68) | GAPB(3.41) | GAPA(4.16) | TUB1(4.90) | CBP20(5.38) | EIF4A1(7.42) | EF-1α(7.74) | ACT7(8.45) | |
| ABA | RSL | EF-1α(1.50) | EIF4A1(2.21) | TBP1(2.91) | TUB1(3.66) | CBP20(4.47) | eIF2(4.92) | ACT7(5.63) | GAPB (7.74) | GAPA(9.00) |
| R | EF-1α(1.78) | ACT7(1.86) | EIF4A1 (3.22) | TBP1(3.36) | CBP20(3.66) | GAPB(5.69) | TUB1(5.86) | eIF2(7.74) | GAPA(9.00) | |
| S | GAPB(1.73) | eIF2(1.73) | TBP1(2.66) | EF-1α(3.13) | TUB1(4.95) | EIF4A1(5.63) | CBP20(7.24) | ACT7(7.35) | GAPA(8.24) | |
| L | GAPB(1.57) | EF-1α(2.21) | eIF2(3.08) | TUB1(3.34) | EIF4A1(3.46) | TBP1(5.09) | ACT7(6.74) | CBP20(8.00) | GAPA(9.00) | |
| MeJA | RSL | ACT7(1.97) | EIF4A1(2.00) | TBP1(3.08) | TUB1(3.74) | eIF2(3.96) | EF-1α(4.12) | CBP20(5.73) | GAPB(8.00) | GAPA(9.00) |
| R | TUB1(1.41) | GAPB(2.45) | ACT7(3.36) | EF-1α(3.46) | eIF2(4.05) | TBP1(5.09) | EIF4A1(5.44) | GAPA(7.48) | CBP20(9.00) | |
| S | eIF2 (1.57) | GAPB (1.86) | TUB1(2.06) | GAPA(4.43) | EIF4A1(5.92) | ACT7(6.18) | CBP20(6.45) | TBP1(6.85) | EF-1α(7.11) | |
| L | TUB1(1.00) | EIF4A1(1.86) | GAPB(3.13) | eIF2(3.87) | TBP1(4.47) | ACT7(6.70) | CBP20(6.70) | GAPA(7.97) | EF-1α(8.45) | |
| SA | RSL | EIF4A1(1.50) | CBP20(2.21) | TBP1(3.36) | ACT7(3.66) | TUB1(3.87) | eIF2(4.58) | EF-1α(5.86) | GAPB(8.00) | GAPA(9.00) |
| R | GAPB(1.41) | eIF2(1.68) | EIF4A1(3.56) | TBP1(3.87) | TUB1(4.05) | ACT7(5.66) | CBP20(6.45) | GAPA(7.45) | EF-1α(8.45) | |
| S | TUB1(2.11) | EIF4A1(2.51) | CBP20(2.71) | GAPA(3.64) | GAPB(4.43) | TBP1(5.20) | ACT7(5.86) | EF-1α(6.26) | eIF2(6.90) | |
| L | eIF2(1.32) | ACT7(1.41) | GAPB(2.71) | GAPA(4.60) | CBP20(5.62) | TBP1(6.64) | EIF4A1(6.74) | EF-1α(7.11) | TUB1(7.35) | |
| Tissue | RSLF | EIF4A1(1.41) | TBP1(1.86) | ACT7(3.16) | TUB1 (4.36) | eIF2(4.41) | EF-1α(5.12) | CBP20(5.18) | GAPB(8.00) | GAPA(9.00) |
| R | TBP1(1.97) | GAPB(2.00) | EIF4A1(2.82) | TUB1(3.76) | ACT7(3.94) | GAPA(5.63) | eIF2(6.18) | EF-1α(7.17) | CBP20(7.44) | |
| S | EIF4A1(2.00) | TBP1(2.34) | eIF2(2.45) | GAPA(3.25) | EF-1α(4.60) | CBP20(5.23) | ACT7(5.86) | GAPB(6.64) | TUB1(8.74) | |
| L | EIF4A1(2.24) | GAPA(2.74) | TBP1(2.78) | eIF2(2.83) | TUB1(4.74) | CBP20(4.74) | EF-1α(5.57) | GAPB(5.63) | ACT7(9.00) | |
| F | TBP1(1.41) | GAPB(1.73) | TUB1(2.99) | EIF4A1(3.98) | CBP20(4.36) | ACT7(4.95) | eIF2(7.24) | GAPA(7.44) | EF-1α(9.00) | |
Publisher’s Note: MDPI stays neutral with regard to jurisdictional claims in published maps and institutional affiliations. |
© 2022 by the authors. Licensee MDPI, Basel, Switzerland. This article is an open access article distributed under the terms and conditions of the Creative Commons Attribution (CC BY) license (https://creativecommons.org/licenses/by/4.0/).
Share and Cite
Yang, J.; Han, F.; Yang, L.; Wang, J.; Jin, F.; Luo, A.; Zhao, F. Identification of Reference Genes for RT-qPCR Analysis in Gleditsia microphylla under Abiotic Stress and Hormone Treatment. Genes 2022, 13, 1227. https://doi.org/10.3390/genes13071227
Yang J, Han F, Yang L, Wang J, Jin F, Luo A, Zhao F. Identification of Reference Genes for RT-qPCR Analysis in Gleditsia microphylla under Abiotic Stress and Hormone Treatment. Genes. 2022; 13(7):1227. https://doi.org/10.3390/genes13071227
Chicago/Turabian StyleYang, Jiaqi, Fengying Han, Li Yang, Jin Wang, Feng Jin, An Luo, and Fuyong Zhao. 2022. "Identification of Reference Genes for RT-qPCR Analysis in Gleditsia microphylla under Abiotic Stress and Hormone Treatment" Genes 13, no. 7: 1227. https://doi.org/10.3390/genes13071227
APA StyleYang, J., Han, F., Yang, L., Wang, J., Jin, F., Luo, A., & Zhao, F. (2022). Identification of Reference Genes for RT-qPCR Analysis in Gleditsia microphylla under Abiotic Stress and Hormone Treatment. Genes, 13(7), 1227. https://doi.org/10.3390/genes13071227

