Heterozygous NPR2 Variants in Idiopathic Short Stature
Abstract
:1. Introduction
2. Materials and Methods
2.1. Participants
2.2. Methods
2.2.1. Clinical Procedures
2.2.2. Laboratory Procedures
DNA Isolation
Next-Generation Sequencing and Variant Interpretation
Sanger Sequencing
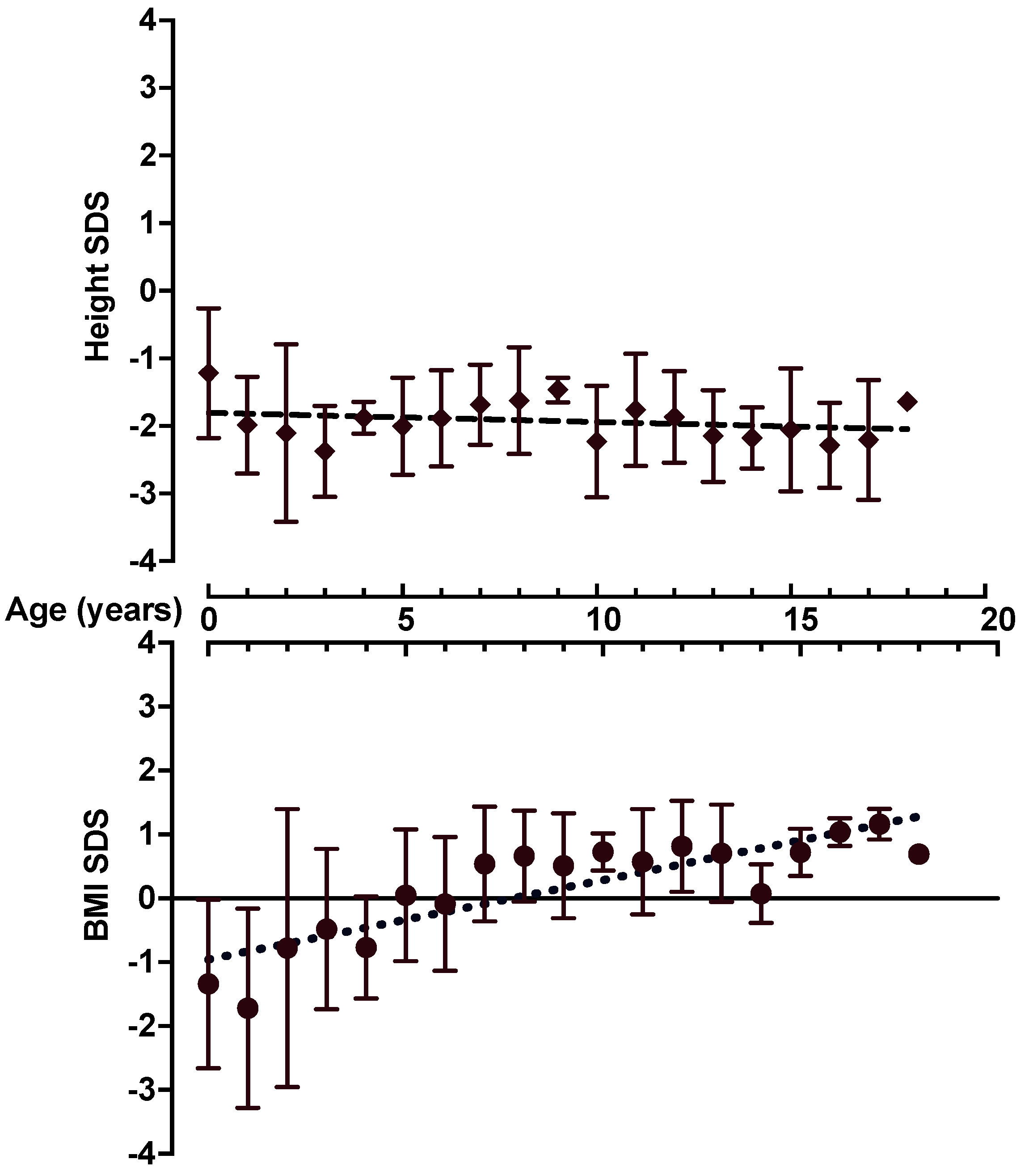
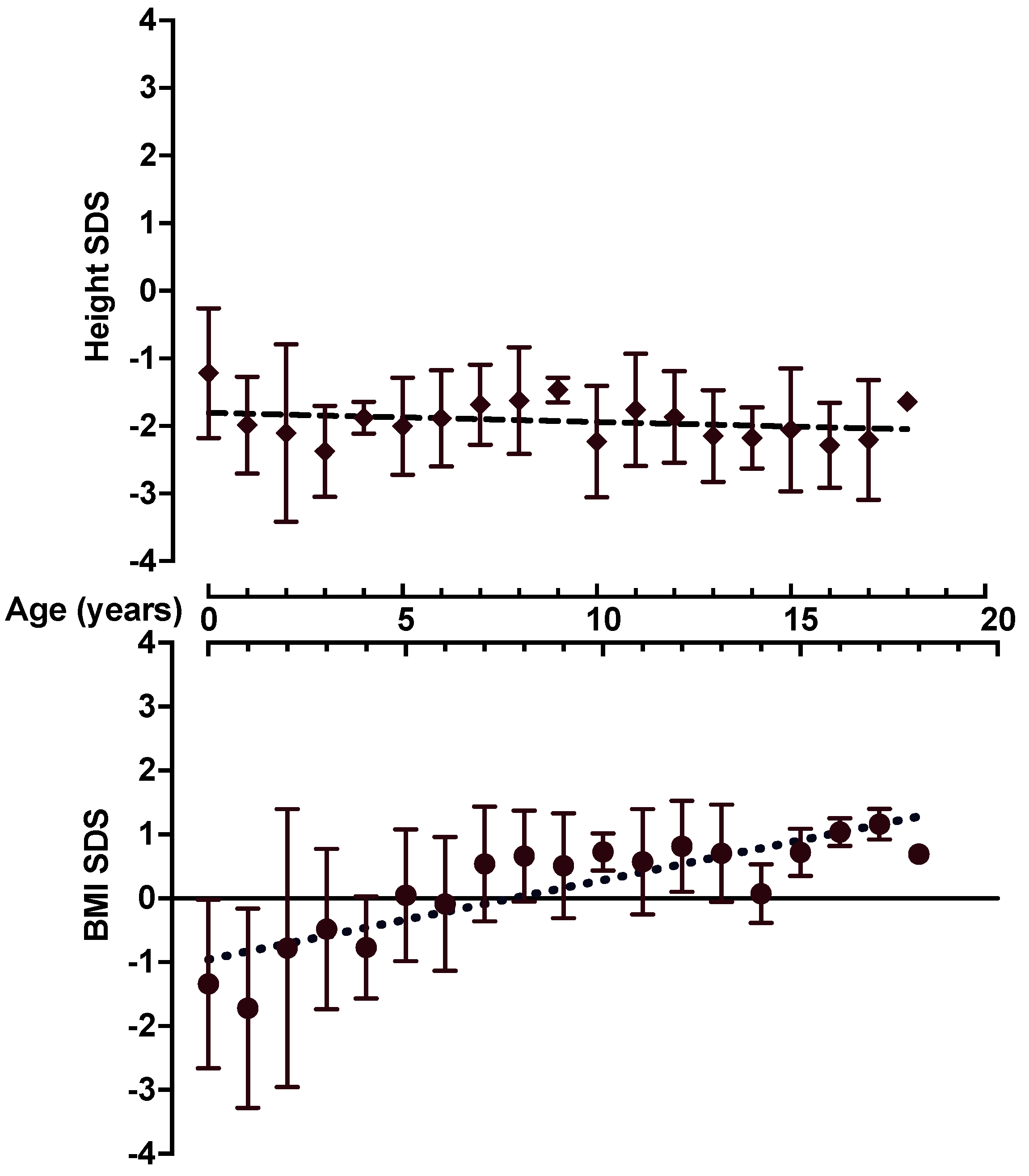
3. Results
Phenotypic Characteristics of Individuals with Heterozygous NPR2 Variants
4. Discussion
5. Conclusions
Supplementary Materials
Author Contributions
Funding
Institutional Review Board Statement
Informed Consent Statement
Data Availability Statement
Acknowledgments
Conflicts of Interest
References
- Cohen, P.; Rogol, A.D.; Deal, C.L.; Saenger, P.; Reiter, E.O.; Ross, J.L.; Chernausek, S.D.; Savage, M.O.; Wit, J.M. Consensus statement on the diagnosis and treatment of children with idiopathic short stature: A summary of the Growth Hormone Research Society, the Lawson Wilkins Pediatric Endocrine Society, and the European Society for Paediatric Endocrinology Workshop. J. Clin. Endocrinol. Metab. 2008, 93, 4210–4217. [Google Scholar] [CrossRef] [PubMed] [Green Version]
- Yuan, K.; Chen, J.; Chen, Q.; Chen, H.; Zhu, J.; Fang, Y.; Wang, C. NPR2 gene variants in familial short stature: A single-center study. J. Pediatr. Endocrinol. Metab. 2022, 35, 185–190. [Google Scholar] [CrossRef] [PubMed]
- Jee, Y.H.; Baron, J.; Nilsson, O. New developments in the genetic diagnosis of short stature. Curr. Opin. Pediatr. 2018, 30, 541–547. [Google Scholar] [CrossRef] [PubMed]
- Hwang, I.T.; Mizuno, Y.; Amano, N.; Lee, H.J.; Shim, Y.S.; Nam, H.K.; Rhie, Y.J.; Yang, S.; Lee, K.H.; Hasegawa, T.; et al. Role of NPR2 mutation in idiopathic short stature: Identification of two novel mutations. Mol. Genet. Genom. Med. 2020, 8, 1–9. [Google Scholar] [CrossRef] [PubMed] [Green Version]
- Ke, X.; Liang, H.; Miao, H.; Yang, H.; Wang, L.; Gong, F.; Pan, H.; Zhu, H. Clinical Characteristics of Short-Stature Patients With an NPR2 Mutation and the Therapeutic Response to rhGH. J. Clin. Endocrinol. Metab. 2021, 106, 431. [Google Scholar] [CrossRef] [PubMed]
- Plachy, L.; Dusatkova, P.; Maratova, K.; Petruzelkova, L.; Zemkova, D.; Elblova, L.; Kucerova, P.; Toni, L.; Kolouskova, S.; Snajderova, M.; et al. NPR2 Variants Are Frequent among Children with Familiar Short Stature and Respond Well to Growth Hormone Therapy. J. Clin. Endocrinol. Metab. 2020, 105. [Google Scholar] [CrossRef] [PubMed]
- Hanley, P.C.; Kanwar, H.S.; Martineau, C.L. Short Stature is Progressive in Patients with Heterozygous NPR2 Mutations. J. Clin. Endocrinol. Metab. 2020, 105, 31. [Google Scholar] [CrossRef] [PubMed]
- Zeb, A.; Shinwari, N.; Shah, K.; Gilani, S.Z.T.; Khan, S.; Lee, K.W.; Raza, S.I.; Hussain, S.; Liaqat, K.; Ahmad, W. Molecular and in silico analyses validates pathogenicity of homozygous mutations in the NPR2 gene underlying variable phenotypes of Acromesomelic dysplasia, type Maroteaux. Int. J. Biochem. Cell Biol. 2018, 102, 76–86. [Google Scholar] [CrossRef]
- ul Ain, N.; Iqbal, M.; Valta, H.; Emerling, C.A.; Ahmed, S.; Makitie, O.; Naz, S. Novel variants in natriuretic peptide receptor 2 in unrelated patients with acromesomelic dysplasia type Maroteaux. Eur. J. Med. Genet. 2019, 62, 103554. [Google Scholar] [CrossRef] [Green Version]
- Vasques, G.A.; Amano, N.; Docko, A.J.; Funari, M.F.A.; Quedas, E.P.S.; Nishi, M.Y.; Arnhold, I.J.P.; Hasegawa, T.; Jorge, A.A.L. Heterozygous mutations in natriuretic peptide receptor-B (NPR2) gene as a cause of short stature in patients initially classified as idiopathic short stature. J. Clin. Endocrinol. Metab. 2013, 98, 1636–1644. [Google Scholar] [CrossRef] [Green Version]
- Ranke, M.B. Growth Hormone Deficiency: Diagnostic Principles and Practice. In Diagnostics of Endocrine Function in Children and Adolescents; KARGER: Basel, Switzerland, 2011; pp. 102–137. Available online: https://www.karger.com/Article/FullText/327405 (accessed on 14 June 2022).
- Thodberg, H.H.; Kreiborg, S.; Juul, A.; Pedersen, K.D. The BoneXpert Method for Automated Determination of Skeletal Maturity. IEEE Trans. Med. Imaging 2009, 28, 52–66. [Google Scholar] [CrossRef] [PubMed]
- Cole, T.J. The LMS method for constructing normalized growth standards. Eur. J. Clin. Nutr. 1990, 44, 45–60. Available online: http://www.ncbi.nlm.nih.gov/pubmed/2354692 (accessed on 14 June 2022). [PubMed]
- Kovač, J.; Macedoni Lukšič, M.; Trebušak Podkrajšek, K.; Klančar, G.; Battelino, T. Rare single nucleotide polymorphisms in the regulatory regions of the superoxide dismutase genes in autism spectrum disorder. Autism Res. 2014, 7, 138–144. [Google Scholar] [CrossRef] [PubMed]
- Li, H. Aligning sequence reads, clone sequences and assembly contigs with BWA-MEM. arXiv 2013, arXiv:1303.3997. [Google Scholar] [CrossRef]
- Li, H.; Handsaker, B.; Wysoker, A.; Fennell, T.; Ruan, J.; Homer, N.; Marth, G.; Abecasis, G.; Durbin, R. The Sequence Alignment/Map format and SAMtools. Bioinformatics 2009, 25, 2078–2079. [Google Scholar] [CrossRef] [Green Version]
- Tarasov, A.; Vilella, A.J.; Cuppen, E.; Nijman, I.J.; Prins, P. Sambamba: Fast processing of NGS alignment formats. Bioinformatics 2015, 31, 2032–2034. [Google Scholar] [CrossRef]
- Poplin, R.; Ruano-Rubio, V.; DePristo, M.A.; Fennell, Y.J.; Carneiro, M.O.; Ven der Auwera, G.A.; Kling, D.E.; Gauthier, L.D.; Levy-Moonshine, A.; Roazen, D.; et al. Scaling accurate genetic variant discovery to tens of thousands of samples. bioRxiv 2018, 1–22. [Google Scholar] [CrossRef] [Green Version]
- Desvignes, J.P.; Bartoli, M.; Delague, V.; Krahn, M.; Miltgen, M.; Béroud, C.; Salgado, D. VarAFT: A variant annotation and filtration system for human next generation sequencing data. Nucleic Acids Res. 2018, 46, W545–W553. [Google Scholar] [CrossRef]
- Talevich, E.; Shain, A.H.; Botton, T.; Bastian, B.C. CNVkit: Genome-Wide Copy Number Detection and Visualization from Targeted DNA Sequencing. PLoS Comput. Biol. 2016, 12, e1004873. [Google Scholar] [CrossRef]
- Richards, S.; Aziz, N.; Bale, S.; Bick, D.; Das, S.; Gastier-Foster, J.; Grody, W.W.; Hegde, M.; Lyon, E.; Spector, E.; et al. Standards and guidelines for the interpretation of sequence variants: A joint consensus recommendation of the American College of Medical Genetics and Genomics and the Association for Molecular Pathology. Genet. Med. 2015, 17, 405–423. [Google Scholar] [CrossRef] [Green Version]
- Baralle, D.; Baralle, M. Splicing in action: Assessing disease causing sequence changes. J. Med. Genet. 2005, 42, 737. [Google Scholar] [CrossRef] [PubMed] [Green Version]
- Bartels, C.F.; Bükülmez, H.; Padayatti, P.; Rhee, D.K.; van Ravenswaaij-Arts, C.; Pauli, R.M.; Mundlos, S.; Chitayat, D.; Shih, L.; Al-Gazali, L.I.; et al. Mutations in the transmembrane natriuretic peptide receptor NPR-B impair skeletal growth and cause acromesomelic dysplasia, type Maroteaux. Am. J. Hum. Genet. 2004, 75, 27–34. [Google Scholar] [CrossRef] [PubMed] [Green Version]
- Geister, K.A.; Brinkmeier, M.L.; Hsieh, M.; Faust, S.M.; Karolyi, I.J.; Perosky, J.E.; Kozloff, K.M.; Marco Conti, S.A.C. A novel loss-of-function mutation in Npr2 clarifies primary role in female reproduction and reveals a potential therapy for acromesomelic dysplasia, Maroteaux type. Hum. Mol. Genet. 2013, 22, 345. [Google Scholar] [CrossRef] [PubMed] [Green Version]
- Giacomozzi, C. Genetic Screening for Growth Hormone Therapy in Children Small for Gestational Age: So Much to Consider, Still Much to Discover. Front. Endocrinol. 2021, 12, 586. [Google Scholar] [CrossRef]
- Wang, S.R.; Jacobsen, C.M.; Carmichael, H.; Edmund, A.B.; Robinson, J.W.; Olney, R.C.; Miller, T.C.; Moon, J.E.; Mericq, V.; Potter, L.R.; et al. Heterozygous mutations in natriuretic peptide receptor-B (NPR2) gene as a cause of short stature. Hum. Mutat. 2015, 36, 474–481. [Google Scholar] [CrossRef] [Green Version]
- Freire, B.L.; Homma, T.K.; Funari, M.F.A.; Lerario, A.M.; Vasques, G.A.; Malaquias, A.C.; Arnhold, I.J.P.; Jorge, A.A.L. Multigene sequencing analysis of children born small for gestational age with isolated short stature. J. Clin. Endocrinol. Metab. 2019, 104, 2023–2030. [Google Scholar] [CrossRef]
- Del Ry, S.; Cabiati, M.; Bianchi, V.; Caponi, L.; Maltinti, M.; Caselli, C.; Kozakova, M.; Palombo, C.; Morizzo, C.; Marchetti, S.; et al. C-type natriuretic peptide is closely associated to obesity in Caucasian adolescents. Clin. Chim. Acta 2016, 460, 172–177. [Google Scholar] [CrossRef]
- Del Ry, S.; Cabiati, M.; Bianchi, V.; Storti, S.; Caselli, C.; Prescimone, T.; Clerico, A.; Saggese, G.; Giannessi, D.; Federico, G. C-type natriuretic peptide plasma levels are reduced in obese adolescents. Peptides 2013, 50, 50–54. [Google Scholar] [CrossRef]
- Bae, C.R.; Hino, J.; Hosoda, H.; Son, C.; Makino, H.; Tokudome, T.; Tomita, T.; Hosoda, K.; Miyazato, M.; Kangawa, K. Adipocyte-specific expression of C-type natriuretic peptide suppresses lipid metabolism and adipocyte hypertrophy in adipose tissues in mice fed high-fat diet. Sci. Rep. 2018, 8, 1–11. [Google Scholar] [CrossRef]
- Flechtner, I.; Lambot-Juhan, K.; Teissier, R.; Colmenares, A.; Baujat, G.; Beltrand, J.; Ajaltouni, Z.; Pauwels, C.; Pinto, G.; Samara-Boustani, D.; et al. Unexpected high frequency of skeletal dysplasia in idiopathic short stature and small for gestational age patients. Eur. J. Endocrinol. 2014, 170, 677–684. [Google Scholar] [CrossRef] [Green Version]
- Caliebe, J.; Broekman, S.; Boogaard, M.; Bosch, C.A.J.; Ruivenkamp, C.A.L.; Oostdijk, W.; Kant, S.G.; Binder, G.; Ranke, M.B.; Wit, J.M.; et al. IGF1, IGF1R and SHOX mutation analysis in short children born small for gestational age and short children with normal birth size (idiopathic short stature). Horm. Res. Paediatr. 2012, 77, 250–260. [Google Scholar] [CrossRef] [PubMed]
- Finken, M.J.J.; Van Der Steen, M.; Smeets, C.C.J.; Walenkamp, M.J.E.; De Bruin, C.; Hokken-Koelega, A.C.S.; Wit, J.M. Children Born Small for Gestational Age: Differential Diagnosis, Molecular Genetic Evaluation, and Implications. Endocr. Rev. 2018, 39, 851–894. [Google Scholar] [CrossRef] [PubMed] [Green Version]
- Vasques, G.A.; Hisado-Oliva, A.; Funari, M.F.A.; Lerario, A.M.; Quedas, E.P.S.; Solberg, P.; Heath, K.E.; Jorge, A.A.L. Long-term response to growth hormone therapy in a patient with short stature caused by a novel heterozygous mutation in NPR2. J. Pediatr. Endocrinol. Metab. 2017, 30, 111–116. [Google Scholar] [CrossRef] [PubMed]

| Participant (No.) | Gender (f/m) | Age (yrs) | Height (cm) | Height (SDS) | Weight (SDS) | BMI (SDS) | Birth Weight (SDS) | Birth Length (SDS) | GH Therapy (Yes/No) | Additional Skeletal Findings | Final Height of NPR2 Parent | Heterozygous Mutation in NPR2 Gene * |
|---|---|---|---|---|---|---|---|---|---|---|---|---|
| P1 | m | 12.13 | 140.6 | −1.17 | 0.11 | 1.0 | 0.48 | −0.48 | no | / | −2.76 | c.595C>T, p.Gln199Ter |
| P2 | m | 12.93 | 132.1 | −2.84 | −0.45 | 1.6 | 0.22 | −0.1 | no | / | −2.06 | c.1571dupA, p.Tyr524Ter |
| P3 | m | 14.35 | 146.8 | −2.17 | −1.72 | −0.63 | −2.14 | −1.61 | yes | / | −1.91 | c.1636A>T, p.Asn546Tyr |
| P4 | f | 14.15 | 150.2 | −1.53 | −0.47 | 0.5 | −2.32 | −2.26 | no | Shortened proximal part of lower and upper extremities, shortened metacarpal bone of 4th finger | −0.6 | c. 2644-1G>A |
| P5 | m | 8.59 | 124 | −1.26 | −1.06 | −0.41 | −1.58 | −1.89 | no | Micrognathia, clinodactyly | N/A | mosaic c.532C>T, p.Arg178Trp |
| P6 | f | 17.35 | 146 | −2.83 | −0.75 | 0.99 | −1.87 | −1.96 | no | / | −2.2 | c. 2644G>A, p.Val882Ile |
| P7 | m | 16.5 | 156.9 | −2.43 | −0.79 | 0.87 | −1.22 | −1.52 | yes | Shortened metacarpal bone of 4th and 5th finger, clinodactyly | −0.6 | c. 2761C>T, p.Arg921Ter |
| P8 | m | 14.14 | 144 | −2.33 | −1.35 | 0.11 | −0.85 | −1.08 | no | / | N/A | c. 844C>T, p.Gln282Ter |
| P9 | m | 17.52 | 165.1 | −1.64 | −0.45 | 0.69 | −1.05 | −0.02 | no | / | −1.43 | c. 2761C>T, p.Arg921Ter |
| P10 | f | 6.71 | 109.4 | −2.0 | −2.07 | −1.07 | −1.46 | −1.61 | yes | / | −1.6 | c.595C>T, p.Gln199Ter |
| P11 | m | 3.54 | 92.6 | −1.74 | −2.24 | −1.44 | −1.7 | −2.02 | no | / | −1.76 | c.2633C>T, p.Thr878Ile |
| P12 | m | 13.17 | 149 | −0.88 | 0.19 | 0.94 | N/A | N/A | no | / | −0.11 | c.1517G>A, p.Arg506His |
| Proband | Peak GH Arginine (μg/L) | Peak GH L-DOPA (μg/L) | Height before GH (SDS) | Height with GH (SDS) | Age at GH Introduction (Years) | GH Therapy Duration (Months) |
|---|---|---|---|---|---|---|
| P3 | / | / | −2.16 | −2.17 | 13.27 * | 13 |
| P7 | 16.2 | / | −3.14 | −2.43 | 10.78 ** | 68 |
| P10 | / | 9.38 | −2.64 | −2.00 | 6 | 8.5 |
Publisher’s Note: MDPI stays neutral with regard to jurisdictional claims in published maps and institutional affiliations. |
© 2022 by the authors. Licensee MDPI, Basel, Switzerland. This article is an open access article distributed under the terms and conditions of the Creative Commons Attribution (CC BY) license (https://creativecommons.org/licenses/by/4.0/).
Share and Cite
Stavber, L.; Gaia, M.J.; Hovnik, T.; Jenko Bizjan, B.; Debeljak, M.; Kovač, J.; Omladič, J.Š.; Battelino, T.; Kotnik, P.; Dovč, K. Heterozygous NPR2 Variants in Idiopathic Short Stature. Genes 2022, 13, 1065. https://doi.org/10.3390/genes13061065
Stavber L, Gaia MJ, Hovnik T, Jenko Bizjan B, Debeljak M, Kovač J, Omladič JŠ, Battelino T, Kotnik P, Dovč K. Heterozygous NPR2 Variants in Idiopathic Short Stature. Genes. 2022; 13(6):1065. https://doi.org/10.3390/genes13061065
Chicago/Turabian StyleStavber, Lana, Maria Joao Gaia, Tinka Hovnik, Barbara Jenko Bizjan, Maruša Debeljak, Jernej Kovač, Jasna Šuput Omladič, Tadej Battelino, Primož Kotnik, and Klemen Dovč. 2022. "Heterozygous NPR2 Variants in Idiopathic Short Stature" Genes 13, no. 6: 1065. https://doi.org/10.3390/genes13061065
APA StyleStavber, L., Gaia, M. J., Hovnik, T., Jenko Bizjan, B., Debeljak, M., Kovač, J., Omladič, J. Š., Battelino, T., Kotnik, P., & Dovč, K. (2022). Heterozygous NPR2 Variants in Idiopathic Short Stature. Genes, 13(6), 1065. https://doi.org/10.3390/genes13061065

