Abstract
RT-qPCR is considered a rapid and reliable technique for analyzing gene expression. This technique is commonly used to analyze the expression of various genes at diverse transcriptional levels in different samples. However, few studies have characterized ornamental Koelreuteria species for reliable reference genes. In this study, eight reference genes were evaluated as controls in RT-qPCR with SYBR green to quantify gene expression in different Koelreuteria paniculata samples. All selected reference genes showed a broad range of Ct values in all samples, which was supportive of their variable expression. Our results showed significant variation in the stable expression of K. paniculata genes. Sample data, analyzed using geNorm, NormFinder, and BestKeeper, showed that phospholipase (PLA2) and β-actin (ACT) were the most suitable and statistically reliable reference genes, whereas ribosomal protein L13 (RPL13) and elongation factor 1-α (EF1α) were less stable and unsuitable for use as internal controls. To compare gene expression levels, two or more reference genes should be used for data normalization. Thus, the stability and expression of both PLA2 and ACT were believed to provide better normalization and quantification of the transcript levels for gene expression studies in K. paniculata.
1. Introduction
Reverse transcriptase quantitative real-time polymerase chain reaction (RT-qPCR) is a sensitive, specific, and reproducible technique used to examine the mRNA transcription levels of a specific gene of interest [,,,]. It can be used to compare RNAs that show significant variation. RT-qPCR amplification products are often detected using two approaches; one approach is based on the relative quantification method of housekeeping genes (HKGs) as reference genes, while the other method is absolute quantification, in which the expression level of DNA is determined using a standard curve [].
Relative quantification is one of the simplest and most effective techniques used to detect changes in gene expression levels. To avoid misinterpreting data and reporting inaccurate experimental results, most studies use a reference gene. Data generated through RT-qPCR are normalized by simultaneously expressing and detecting the target gene expression levels and the reference gene in the same sample [,,,].
Internal reference or control genes under various conditions—such as in different developmental stages or tissue types—should be expressed at a constant level and should not be affected by experimental parameters []. In recent studies, the stability of several housekeeping genes, including 18S ribosomal RNA (18SrRNA), ACT, and glyceraldehydes-3-phosphate dehydrogenase (GAPDH), was questioned based on their diverse behaviors under different experimental conditions [,,,,]. Moreover, analyses of second-generation sequencing data from various species and their internal reference gene expression have shown species-specific expression and unique expression in different tissues. Additionally, expression of these reference genes is affected by environmental factors, such as water, light, and temperature [,,,,,]. Therefore, at least two reference genes should be expressed at constant levels under various conditions to normalize the relative quantitative results.
Internal reference genes should be validated in specific experimental models. Previous studies have identified internal reference genes in several species, including wheat [], tomato [], potato [], flax [], eucalyptus [], Arabidopsis [], rice [], sesame [], and Papaya []. However, to the best of our knowledge, there have been no reports of RT-qPCR studies on the differential expression of reference genes in K. paniculata.
In this study, eight reference genes were selected to evaluate the stability of normalization in Koelreuteria gene expression. We established a regeneration system for K. paniculata and obtained a sterile tissue culture, allowing us to perform this study in vitro. We also selected the interested genes for validation by referring to the transcriptome data. Statistical methods incorporated in geNorm [], NormFinder [], and BestKeeper [] were used.
2. Materials and Methods
2.1. Plant Materials
Immature seeds from K. paniculata were collected from October to November and planted at Beijing Forestry University (Beijing, China). Seeds were aseptically cultured to obtain sterile seedlings, after which embryogenic callus was induced to obtain plants from somatic embryogenesis and the embryos were collected. Embryo development was divided into three phases: early embryogenesis, late embryogenesis, and mature cotyledon embryogenesis. Fully mature cotyledon embryos developed into whole plants in rooting medium, and samples were collected []. The roots, stems, and leaves of the sterile plants were collected after 3 months of growth. Tissue culture materials were cultured at 25 ± 2 °C. Light culture materials were placed in a 16/8 h photoperiod environment with a light intensity of 40 μmol m−2 s−1. Additionally, leaves of two different K. paniculata (wild type and yellow leaf mutant) were obtained from adult trees in a nursery at Xiangyuan (Changzhi, China), and the leaves were used for further expression validation analyses. All samples were immediately frozen in liquid nitrogen and stored at −80 °C until further use.
2.2. Total RNA Isolation and cDNA Synthesis
Total RNA was extracted using the SV Total RNA Isolation System (Promega, Madison, WI, USA). RNA was quantified based on absorbance at OD260 using the NanoDrop-2000 spectrophotometer (Thermo Scientific, Waltham, MA, USA). The absorbance ratios at OD260/280 and OD260/230 were used to assess the purity of all RNA samples. RNA samples were used for further analysis with an OD260/280 ratio (protein contamination) between 1.8–2.0 and OD260/230 (organic pollutant) higher than 2.0. RNA integrity was verified based on 2% agar gel electrophoresis and ethidium bromide staining. One microgram of RNA was reverse-transcribed using the SYBR PrimeScript RT-PCR kit II (TaKaRa, Dalian, China) for first-strand cDNA synthesis according to the manufacturer’s instructions. Before transcription, RNA and primers were mixed and incubated at 70 °C for 5 min, followed by immediate cooling on ice. First-strand cDNA synthesis was initiated after adding the transcription mixture at 37 °C, and the reverse transcriptase reaction was performed for 15min. Finally, the PrimeScript Reverse Transcriptase was inactivated by heating the reaction mixture for 15 min at 75 °C. All cDNA samples were stored at −20 °C before being used as templates for RT-qPCR analysis.
2.3. Selection of Candidate K. paniculata Genes and Primer Design
Eight genes were selected to identify the most stably expressed reference genes in RT-qPCR studies. Genes included are considered typical internal reference genes commonly used for gene expression studies, such as GAPDH, 18S rRNA, ACT, and others, based on previous reports [,,]. As the complete K. paniculata genome was not available at the time of this study, we identified the gene identifiers and gene sequences of eight candidate genes from K. paniculata transcriptome sequencing results (unpublished). These genes included: ACT, EF1α, GAPDH, RPL13, PLA2, ubiquitin (UBQ), cyclophilin (CYP2), and RNA polymerase II (RP II) (Table 1). Before primer design, alignments were made with the DNA sequence of relevant orthologs in Arabidopsis, and the chosen candidate gene sequences were used to query the Arabidopsis database using BLAST to obtain a description of K. paniculata reference genes. Primers were designed with Primer Premier 5 with melting temperatures of 60 °C, for 22bp and about 50% GC content (Table 2). Each pair of primers was tested using endpoint PCR before RT-qPCR.

Table 1.
Reference genes used for gene expression normalization in K. paniculate.

Table 2.
Reference gene primer sequences and amplicon characteristics.
2.4. Quantitative Real-Time PCR Analysis
RT-qPCR was performed using a DNA Engine (MJ Research, New Haven, CT, USA) and the SYBR Premix Ex Taq polymerase (TaKaRa, Toyoto, Japan). The PCR reaction volume was 25 μL containing 2 μL of diluted cDNA, 12.5 μL 2 × SYBR Premix and 0.2 μM of each primer. The RT-qPCR programs were as follows: a pre-denaturation of 95 °C/2 min, followed by 40 cycles of 94 °C/15 s, 60 °C/20 s, and 72 °C/15 s. The amplification efficiency was calculated using the following formula: efficiency = 10(−1/slope) − 1. Moreover, a melting curve analysis was performed at the end of program to determine the validity of experimental results. All reactions were performed in triplicate for technical and biological replicates, and each biological repetition was performed by mixing the tissue sample from three individuals.
2.5. Reference Gene Validation
RNA-seq data were obtained from two different K. paniculata leaves (wild type and yellow leaf mutant) using Illumina Hiseq platform. The yellow leaves mutant was originated from the wild type using grafting techniques under the same growth conditions; based on the RNA-seq data, individual genes had different expression levels across all tested samples. Therefore, we focused on the related genes in the chlorophyll metabolism pathway based on the leaf color of K. paniculata.
In total, 6 genes (2 upregulated, 2 downregulated, and 2 with no change in transcript abundance) were selected from the K. paniculata transcriptome sequencing results (unpublished data) for validation. Four candidate genes (PLA2, ACT, RPL13 and EF1α) were selected as the reference gene for normalization using the 2−ΔΔCt method. The sequences of the genes selected for validation and the primers used are summarized in Table S1.
2.6. Data Analysis
The expression levels of the tested reference genes were determined by calculating cycle threshold (Ct) values. All amplification plots were analyzed with a threshold fluorescence value of 0.1 to obtain Ct values using the MJ Opticon Monitor analysis software version 3.1 (MJ Research). Results from the MJ Opticon Monitor analysis software were imported into Microsoft Excel and transformed to relative quantities using the comparative Ct method and specific efficiencies for each gene. The data were obtained and converted to correct input files, according to the requirements of the software, and analyzed using three different VBA applets: geNorm [], NormFinder [], and BestKeeper [].
3. Results
RT-qPCR assays based on SYBR green detection were designed for eight genes (ACT, EF1α, GAPDH, UBQ, CYP2, RPL13, PLA2, and RP II; Table 1) in order to identify reliable genes with which to study K. paniculata gene expression. The specificity of the amplification was confirmed based on the presence of a single band of the expected size for each primer pair in agarose gels following electrophoresis and a single-peak melting curve analysis of the PCR products (Figures S1 and S2). The melting temperature of each gene after RT-qPCR amplification showed no primer dimer and could be used for subsequent RT-qPCR experiments. The effectiveness of PCR reactions varied from 1.79 for CYP2 to 2.10 for ACT.
3.1. Expression Profiles of Reference Genes
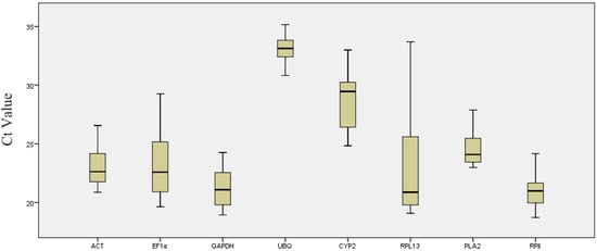
Ct values of all candidate internal reference genes were obtained by analyzing data results from different samples. The results showed significant variation among the expression levels of HKGs across all samples (Figure 1). The Ct values for the eight studied genes varied from 18.72 to 35.17. However, most values ranged between 18 and 26.

Figure 1.
RT-qPCR Ct values for reference genes. Expression data are shown as Ct values for each reference gene in all K. paniculata samples. A line across the box depicts the median. The box indicates the 25th and 75th percentiles. Whiskers represent the maximum and minimum values.
Among the studied reference genes, ACT, GAPGH, UBQ, PAL2, and RP II showed lower (fewer than 6 cycles) gene expression, whereas EF1α and RPL13 showed higher (more than 9 cycles) expression variations. The RP II encoding genes had the highest expression levels and reached the threshold after 18.72 cycles of amplification; however, the Ct average of all reference genes within the datasets was approximately 24.8 cycles. The least abundant transcripts were CYP2 and UBQ, with Ct values of 28.79 and 33.17, respectively. The expression levels of HKGs differed under different conditions. The widespread expression of the eight tested reference genes confirmed that no single reference gene had a constant expression in different K. paniculata samples. Therefore, in order to analyze the experimental results, it was important to choose a reliable reference gene.
3.2. GeNorm Analysis
The statistical software geNorm was used to rank the gene expression stability of these eight reference genes. The M-value is the average degree of change in the expression level of a given gene relative to that of other HKGs. The expression M values of the eight reference genes are plotted in Figure 2. The reference gene, with a low M value, was marked as a highly stable expressed gene, whereas genes with high M values showed the least stable expression. In accordance with these principles, geNorm removed a candidate housekeeping gene with the lowest stability each time, gradually eliminating the less stable housekeeping candidate genes until the last two HKGs, with the highest stability, were selected as internal reference genes.

Figure 2.
Gene expression stability and ranking of the eight reference genes as caculated by geNorm. Expression stability and ranking of the eight reference genes as caculated with geNorm in all samples (a), different vegetative tissues (b), and embryonic developmental stages (c). A lower average expression stability (M value) indicates more stable expression.
All samples were taken together, as shown in Figure 2a. The average expression stability values (M) of ACT and GAPDH were lowest, whereas that of RPL13 was highest, indicating that ACT and GAPDH had the most stable expression and RPL13 was expressed most variably. Similarly, in different tissue samples, ACT and GAPDH were the most stable genes, whereas RPL13 was the least stable (Figure 2b). Overall, ACT and PLA2 were the most stable genes, whereas EF1α, which had the highest M value, had the most variable expression during embryonic developmental stages (Figure 2c).
3.3. NormFinder Analysis
NormFinder is a Visual Basic application tool for Microsoft Excel that mainly uses the model method to identify the best genes among a set of candidate genes. The dataset that the program requires to import into the algorithm contains at least three candidate HKGs, and each gene is expressed in more than two samples. In this mathematical design, estimates of gene expression stability values include estimates of intra- and inter-group variation and individual analysis of sample-subgroup expression levels. More stable gene expression is indicated by a lower average expression stability value. Under our experimental conditions, candidate internal reference genes should have a stability value corresponding to a specific HKG that is small or even close to zero. In our study, six sample-subgroups were established for geNorm analysis. Moreover, expression data were combined into “plant tissues” (stems, roots, leaves) and “embryonic developmental stages” (early embryogenesis, late embryogenesis, and mature cotyledon embryogenesis) sample-subgroups. Meanwhile, all samples without subgroups were also analyzed using this method. The results of the NormFinder analyses are shown in Table 3. Of note, the description of the sample-subgroups had a significant effect on the NormFinder output. However, the NormFinder output with different sample-subgroups and with no subgroups showed two common features: the ACT and PLA2 expression levels had higher stability, whereas the expressions of RPL13 and EF1α were unstable. Additionally, they were always among the least stable reference genes.

Table 3.
Ranking of candidate reference genes in order of their expression stability as calculated by NormFinder.
While expressing the other sample series, GAPDH was the most reliable gene in different plant tissues. However, RPL13 remained the most variable. In samples of different embryonic development stages, PLA2 was the most stable gene, whereas EF1α was the least stable, with stability values of 0.035 and 0.107, respectively.
3.4. BestKeeper Analysis
BestKeeper is a program used to analyze internal reference genes and target gene expression, as well as the inter-gene relationships of the possible reference gene pairs, estimated by performing multiple pairwise correlation analysis using the raw Ct values of each gene. Using this software, one can obtain the correlation coefficient (r) and the coefficient of variation (CV) of pairing between each gene, after which internal reference genes with better stability can be identified by comparing the magnitudes of the respective values. The lower the CV value of HKGs, the more stable the expression level of the gene. We ranked the stability of eight candidate genes by comparing CV and r values (Table 4). According to the CV values, the expression levels of UBQ and PLA2 were relatively stable in all samples, embryonic developmental stages, and tissues. However, the expression levels of EF1α and RPL13 were always the most unstable. Our analysis showed that the majority of the eight reference genes had good correlation; ACT, and PLA2, and RPL13 had particularly strong intergenic correlations (r > 0.9). The high Pearson’s correlation coefficients indicated that these gene pairs had very similar overall expression patterns. Compared with the previous CV results, PLA2 and ACT were identified as the most reliable standardized reference genes, whereas EF1α, RPL13, and UBQ were unstable and therefore could not be used as reference genes.

Table 4.
Ranking of the eight genes according to correlations between reference genes and BestKeeper index.
3.5. Validation of Selected Reference Genes
To validate the reliability of the selected reference genes, six interested target gene transcripts (KpHEMB, KpHEME, KpCLH, KpAPRR, KpMCS and KpCHLG) were selected to evaluate the expression level of the mutant sample and the wild type sample by RT-qPCR. The 4 candidate genes (PLA2, ACT, RPL13 and EF1α) were selected as reference genes, among which PLA2 and ACT were identified as the most reliable standardized reference genes, while RPL13 and EF1α performed poorly and were unstable as reference genes in our analysis. The expression stability varied considerably between the target genes under different reference genes used. The expression levels of the target genes were in general agreement with RNA seq data when we selected PLA2 and ACT as reference genes. However, the target genes’ expression levels varied greatly in the case of RPL13 and EF1α, especially when EF1α was used (Figure 3).

Figure 3.
Relative quantification of six genes’ expression between wild type and mutant in K. paniculata, as determined by RNA-seq and RT-qPCR with 4 HKGs. Error bars represent standard error of the mean; data shown are means ± SE.
4. Discussion
K. paniculata is an important landscape tree. It is resistant to stress and can adapt to adverse environmental conditions. Additionally, K. paniculata has some unique flavonoids with potential medical value. Their synthesis depends on the phenylalanine-initiated flavonoid synthesis pathway. To identify the anabolic metabolism of these unique compounds, the species must be studied at the molecular level. However, previous studies on K. paniculata have focused primarily on biological characteristics and pharmaceutical and chemical compositions. At the time of this study, only limited molecular information was available on K. paniculata [,,,]. Therefore, identifying suitable internal reference genes could provide a powerful tool for gene expression analysis in this species. This study was, to the authors’ knowledge, the first to characterize the stability of genes that can be used as internal controls for RT-qPCR studies in K. paniculata. The use of internal reference genes could increase the reliability of RT-qPCR data, and the transcriptional level of reference genes should be constant under different experimental conditions.
Reference genes are commonly used to quantify gene expression. Several methods have been proposed to characterize the stability of gene expression and identify the best reference gene in the context of relevant experimental conditions. However, at this time, no consensus has been reached on which method should be used to evaluate the stability of reference gene expression. In Arabidopsis thaliana, housekeeping genes, such as those involving basic cellular processes (EF1α, UBQ and CYP) or cell structure maintenance (ACT, TUB), are generally used as internal reference genes. Under specific experimental conditions, other housekeeping genes have been used as internal reference genes []. However, their level of expression is not independent of experimental conditions [,], suggesting that the expression stability of any proposed reference gene needs to be tested in advance. We applied three different algorithms to evaluate our references genes. These algorithms (geNorm, NormFinder, BestKeeper) were all Excel-based data operations. In these three operations, the NormFinder and BestKeeper algorithms detected Ct values, whereas the geNorm algorithm used relative quantification to estimate the difference in amplification efficiency between PCR reactions. This difference could have affected the determination of stability. Additionally, the BestKeeper algorithm can obtain two different analysis parameters: the CV value and the r2 value. By comparing and analyzing the two parameters, it is possible to eliminate the influence of the existing deviation.
The most important observation deriving from the completed analyses provided by the three programs was that each software generated a different set of ranked reference genes—which was not surprising because the three programs were based on different algorithms. Overall, our analyses indicated that PLA2, ACT, and GAPDH were the most reliable internal controls for accurate normalization when evaluating the expression dataset as a whole because these three genes were always classified among the four best-performing reference genes. On the other hand, EF1α and RPL13 ranked poorly in all three software programs, indicating that these two genes were not consistently expressed and should be avoided as internal controls when performing gene expression studies. Selecting more than two reference genes can increase the reliability of the gene expression results, which has been confirmed in soybean [], peach [], grape [], and silkworm []. Therefore, when monitoring small changes in gene expression, the use of a single reference gene alone does not always yield accurate quantification results, and a combination of several internal reference genes is required.
Because the genome of K. paniculata had not yet been revealed, we identified the gene sequences of eight candidate genes from the K. paniculata transcriptome sequencing results and compared these sequences to the Arabidopsis database using BLAST. Finally, the primers were designed using the results of the alignment to clone the gene fragments. This method could ensure the efficient cloning of HKGs genes in K. paniculata and provide a reference for other species to clone unknown gene sequences. The 18SrRNA gene is commonly used as an internal reference gene; however, because the expression of 18SrRNA is relatively high, the quantitative results are less accurate when the target gene abundance is low []. Additionally, the ratio of rRNA to mRNA in the tissues and organs of different physiological states is not constant, and mRNA usually accounts for 5–10% of the total RNA []. Although the regulation of rRNA synthesis is independent of mRNA, the transcription of rRNA is susceptible to various biological factors and drugs, and its expression level is not constant. During mitosis, 18SrRNA significantly reduces or stops expression. Therefore, 18SrRNA was not selected as a candidate gene in this study.
Selection of a suitable and stably-expressed reference gene is dependent on the tissues, cells, and experimental conditions, including the biological or abiotic stress and hormone effects. Therefore, selecting a suitable reference gene is important because it serves as a basis for comparison of the expression changes in the target genes under various experimental conditions. The internal reference genes need to be evaluated and identified under different experimental systems [,].
Similar to other species, the expression levels of housekeeping genes are not identical in different tissues or plant developmental stages in K. paniculata. Previous studies have analyzed the expression stability of 10 soybean reference genes (ACT2/7, ACT11, TUA, TUB, EF1α, UBC2, ELF1b, CYP2, G6PD, and UBQ10) in 21 different developmental stages, tissues, and organs []. Their results showed that the expression levels of ELF1b and CYP2 were the most stable in all samples, whereas ACT2/7 and TUA were stably expressed only in samples across different developmental stages. Similarly, the expression stability of 10 traditional reference genes (UBQ11, TUA, 18SrRNA, ACT2, UBQ7, EF1b, TUB, ACT11, EIF4b, and CYP) in eight different developmental stages of poplar was analyzed by [], who showed that various genes were unstable. The expression of 18S rRNA was highest and the expression of TUA was lowest. Meanwhile, UBQ11 and TUA had the smallest coefficients of variation among different samples, and their expression was most stable, whereas the stability of CYP was lowest. Overall, there were relatively stable candidate internal reference genes, even under different experimental conditions and in multiple tissues and organs. Therefore, selection of an appropriate internal reference gene for the specific sample type was an important step for RT-qPCR analysis.
K. paniculata is an important ornamental and medicinal plant with features of biotic and abiotic stresses. It is grown widely in China, and has been introduced into the United States, several countries in Europe, Japan, and elsewhere. Currently, this species has only been studied for its biological characteristics and its pharmaceutical and chemical composition. However, there have been no reports, to date, of molecular research on K. paniculata in the world. The selection of internal reference genes was the basis for the subsequent study of target genes’ expression patterns. The differentially-expressed target genes in K. paniculata populations will be screened through internal reference genes, and a series of molecular markers will be developed further in order to facilitate studies on population diversity and genetic differentiation.
5. Conclusions
Our study showed that the expression stability varied among the eight candidate reference genes in different tissues and embryonic developmental stages of K. paniculata. Analysis by three programs (BestKeeper, geNorm, and NormFinder) showed that PLA2 and ACT were the best reference genes for RT-qPCR analysis. GAPDH and PLA2 were suitable for different tissues and embryonic developmental stages. However, RPL13 and EF1α were not suitable for use as internal controls because their expression was very unstable. These results were validated in the transcriptome using the expression levels of the interest genes. Our study revealed that multiple reference genes should be used as internal controls to obtain reliable experimental results. Moreover, we screened the internal reference genes and provided a foundation for detailed studies on gene expression in K. paniculata.
Supplementary Materials
The following supporting information can be downloaded at: https://www.mdpi.com/article/10.3390/genes13050714/s1, Figure S1: Melt curves of the eight candidate reference genes; Figure S2: Electrophoresis gel of the eight candidate reference genes; Table S1: The sequences and primers of the genes selected for validation.
Author Contributions
Data curation, K.G.; Formal analysis, S.H.; Funding acquisition, X.A.; Project administration, K.G. and X.A.; Resources, X.Y. and B.G.; Software, T.G.; Validation, R.W.; Writing—original draft, K.G. and W.U.K.; Writing—review & editing, K.G., W.U.K. and J.L. All authors have read and agreed to the published version of the manuscript.
Funding
This work was supported by the Natural Science Foundation of China (31870652), the Opening Foundation of Key Laboratory of Urban Agriculture (North China), Ministry of Agriculture, P. R. China (kf2018012), the project from Science and Technology Development Center of State Forestry Administration (KJZXSA2018030).
Institutional Review Board Statement
Not applicable.
Informed Consent Statement
Not applicable.
Data Availability Statement
The data presented in this study are available on request from the corresponding author.
Acknowledgments
We gratefully acknowledge the infrastructure support of the National Engineering Laboratory for Tree Breeding, College of Biological Sciences and Biotechnology, Beijing Forestry University.
Conflicts of Interest
The authors declare no conflict of interest.
References
- Ginzinger, D.G. Gene quantification using real-time quantitative PCR: An emerging technology hits the mainstream. Exp. Hematol. 2002, 30, 503–512. [Google Scholar] [CrossRef]
- Ponchel, F.; Toomes, C.; Bransfield, K.; Leong, F.T.; Douglas, S.H.; Field, S.L.; Bell, S.M.; Combaret, V.; Puisieux, A.; Mighell, A.J.; et al. Real-time PCR based on SYBR-Green I fluorescence: An alternative to the TaqMan assay for a relative quantification of gene rearrangements, gene amplifications and micro gene deletions. BMC Biotechnol. 2003, 3, 18. [Google Scholar] [CrossRef] [PubMed] [Green Version]
- Wan, L.C.; Wang, F.; Guo, X.; Lu, S.; Qiu, Z.; Zhao, Y.; Zhang, H.; Lin, J. Identification and characterization of small non-coding RNAs from Chinese fir by high throughput sequencing. BMC Plant Biol. 2012, 12, 146. [Google Scholar] [CrossRef] [PubMed] [Green Version]
- Bustin, S.A.; Benes, V.; Nolan, T.; Pfaffl, M.W. Quantitative real-time RT-PCR—A perspective. J. Mol. Endocrinol. 2005, 34, 597–601. [Google Scholar] [CrossRef] [Green Version]
- Huis, R.; Hawkins, S.; Neutelings, G. Selection of reference genes for quantitative gene expression normalization in flax (Linum usitatissimum L.). BMC Plant Biol. 2010, 10, 71. [Google Scholar] [CrossRef] [Green Version]
- Dheda, K.; Huggett, J.F.; Chang, J.S.; Kim, L.U.; Bustin, S.A.; Johnson, M.A.; Rook, G.A.; Zumla, A. The implications of using an inappropriate reference gene for real-time reverse transcription PCR data normalization. Anal. Biochem. 2005, 344, 141–143. [Google Scholar] [CrossRef]
- Strube, C.; Buschbaum, S.; Wolken, S.; Schnieder, T. Evaluation of reference genes for quantitative real-time PCR to investigate protein disulfide isomerase transcription pattern in the bovine lungworm Dictyocaulus viviparus. Gene 2008, 425, 36–43. [Google Scholar] [CrossRef]
- Yang, C.; Pan, H.; Liu, Y.; Zhou, X. Stably expressed housekeeping genes across developmental stages in the two-spotted spider mite, Tetranychus urticae. PLoS ONE 2015, 10, e0120833. [Google Scholar] [CrossRef]
- Thellin, O.; Zorzi, W.; Lakaye, B.; De Borman, B.; Coumans, B.; Hennen, G.; Grisar, T.; Igout, A.; Heinen, E. Housekeeping genes as internal standards: Use and limits. J. Biotechnol. 1999, 75, 291–295. [Google Scholar] [CrossRef] [Green Version]
- Dheda, K.; Huggett, J.F.; Bustin, S.A.; Johnson, M.A.; Rook, G.; Zumla, A. Validation of housekeeping genes for normalizing RNA expression in real-time PCR. BioTechniques 2004, 37, 112–114. [Google Scholar] [CrossRef] [Green Version]
- Bas, A.; Forsberg, G.; Hammarstrom, S.; Hammarstrom, M.L. Utility of the housekeeping genes 18S rRNA, beta-actin and glyceraldehyde-3-phosphate-dehydrogenase for normalization in real-time quantitative reverse transcriptase-polymerase chain reaction analysis of gene expression in human T lymphocytes. Scand. J. Immunol. 2004, 59, 566–573. [Google Scholar] [CrossRef] [PubMed]
- Yperman, J.; De Visscher, G.; Holvoet, P.; Flameng, W. Beta-actin cannot be used as a control for gene expression in ovine interstitial cells derived from heart valves. J. Heart Valve Dis. 2004, 13, 848–853. [Google Scholar] [PubMed]
- Sinha, P.; Saxena, R.K.; Singh, V.K.; Krishnamurthy, L.; Varshney, R.K. Selection and Validation of Housekeeping Genes as Reference for Gene Expression Studies in Pigeonpea (Cajanus cajan) under Heat and Salt Stress Conditions. Front. Plant Sci. 2015, 6, 1071. [Google Scholar] [CrossRef] [PubMed] [Green Version]
- Nicot, N.; Hausman, J.F.; Hoffmann, L.; Evers, D. Housekeeping gene selection for real-time RT-PCR normalization in potato during biotic and abiotic stress. J. Exp. Bot. 2005, 56, 2907–2914. [Google Scholar] [CrossRef]
- Morse, A.M.; Peterson, D.G.; Islam-Faridi, M.N.; Smith, K.E.; Magbanua, Z.; Garcia, S.A.; Kubisiak, T.L.; Amerson, H.V.; Carlson, J.E.; Nelson, C.D.; et al. Evolution of genome size and complexity in Pinus. PLoS ONE 2009, 4, e4332. [Google Scholar] [CrossRef] [Green Version]
- Guo, J.; Ling, H.; Wu, Q.; Xu, L.; Que, Y. The choice of reference genes for assessing gene expression in sugarcane under salinity and drought stresses. Sci. Rep. 2014, 4, 7042. [Google Scholar] [CrossRef] [Green Version]
- Podevin, N.; Krauss, A.; Henry, I.; Swennen, R.; Remy, S. Selection and validation of reference genes for quantitative RT-PCR expression studies of the non-model crop Musa. Mol. Breeding. 2012, 30, 1237–1252. [Google Scholar] [CrossRef] [Green Version]
- Guenin, S.; Mauriat, M.; Pelloux, J.; Van Wuytswinkel, O.; Bellini, C.; Gutierrez, L. Normalization of qRT-PCR data: The necessity of adopting a systematic, experimental conditions-specific, validation of references. J. Exp. Bot. 2009, 60, 487–493. [Google Scholar] [CrossRef] [Green Version]
- Bao, W.; Qu, Y.; Shan, X.; Wan, Y. Screening and Validation of Housekeeping Genes of the Root and Cotyledon of Cunninghamia lanceolata under Abiotic Stresses by Using Quantitative Real-Time PCR. Int. J. Mol. Sci. 2016, 17, 1198. [Google Scholar] [CrossRef] [Green Version]
- Paolacci, A.R.; Tanzarella, O.A.; Porceddu, E.; Ciaffi, M. Identification and validation of reference genes for quantitative RT-PCR normalization in wheat. BMC Mol. Biol. 2009, 10, 11. [Google Scholar] [CrossRef] [Green Version]
- Exposito-Rodriguez, M.; Borges, A.A.; Borges-Perez, A.; Perez, J.A. Selection of internal control genes for quantitative real-time RT-PCR studies during tomato development process. BMC Plant Biol. 2008, 8, 131. [Google Scholar] [CrossRef] [PubMed] [Green Version]
- de Oliveira, L.A.; Breton, M.C.; Bastolla, F.M.; Camargo Sda, S.; Margis, R.; Frazzon, J.; Pasquali, G. Reference genes for the normalization of gene expression in Eucalyptus species. Plant Cell Physiol. 2012, 53, 405–422. [Google Scholar] [CrossRef] [PubMed]
- Czechowski, T.; Stitt, M.; Altmann, T.; Udvardi, M.K.; Scheible, W.R. Genome-wide identification and testing of superior reference genes for transcript normalization in Arabidopsis. Plant Physiol. 2005, 139, 5–17. [Google Scholar] [CrossRef] [PubMed] [Green Version]
- Jain, M.; Nijhawan, A.; Tyagi, A.K.; Khurana, J.P. Validation of housekeeping genes as internal control for studying gene expression in rice by quantitative real-time PCR. Biochem. Biophys. Res. Commun. 2006, 345, 646–651. [Google Scholar] [CrossRef] [PubMed]
- Wei, L.; Miao, H.; Zhao, R.; Han, X.; Zhang, T.; Zhang, H. Identification and testing of reference genes for Sesame gene expression analysis by quantitative real-time PCR. Planta 2013, 237, 873–889. [Google Scholar] [CrossRef] [Green Version]
- Zhu, X.; Li, X.; Chen, W.; Chen, J.; Lu, W.; Chen, L.; Fu, D. Evaluation of new reference genes in papaya for accurate transcript normalization under different experimental conditions. PLoS ONE 2012, 7, e44405. [Google Scholar] [CrossRef]
- Vandesompele, J.; De Preter, K.; Pattyn, F.; Poppe, B.; Van Roy, N.; De Paepe, A.; Speleman, F. Accurate normalization of real-time quantitative RT-PCR data by geometric averaging of multiple internal control genes. Genome Biol. 2002, 3, RESEARCH0034. [Google Scholar] [CrossRef] [Green Version]
- Andersen, C.L.; Jensen, J.L.; Orntoft, T.F. Normalization of real-time quantitative reverse transcription-PCR data: A model-based variance estimation approach to identify genes suited for normalization, applied to bladder and colon cancer data sets. Cancer Res. 2004, 64, 5245–5250. [Google Scholar] [CrossRef] [Green Version]
- Pfaffl, M.W.; Tichopad, A.; Prgomet, C.; Neuvians, T.P. Determination of stable housekeeping genes, differentially regulated target genes and sample integrity: BestKeeper—Excel-based tool using pair-wise correlations. Biotechnol. Lett. 2004, 26, 509–515. [Google Scholar] [CrossRef]
- Yang, X.; Yang, X.; Guo, T.; Gao, K.; Zhao, T.; Chen, Z.; An, X. High-Efficiency Somatic Embryogenesis from Seedlings of Koelreuteria paniculata Laxm. Forests 2018, 9, 769. [Google Scholar] [CrossRef] [Green Version]
- Brunner, A.M.; Yakovlev, I.A.; Strauss, S.H. Validating internal controls for quantitative plant gene expression studies. BMC Plant Biol. 2004, 4, 14. [Google Scholar] [CrossRef] [PubMed] [Green Version]
- Radonic, A.; Thulke, S.; Mackay, I.M.; Landt, O.; Siegert, W.; Nitsche, A. Guideline to reference gene selection for quantitative real-time PCR. Biochem. Biophys. Res. Commun. 2004, 313, 856–862. [Google Scholar] [CrossRef] [PubMed]
- Tang, X.; Wang, H.; Shao, C.; Shao, H. Reference Gene Selection for qPCR Normalization of Kosteletzkya virginica under Salt Stress. BioMed Res. Int. 2015, 2015, 823806. [Google Scholar] [CrossRef] [PubMed] [Green Version]
- Huang, Z.; Xiang, W.; Ma, Y.; Lei, P.; Tian, D.; Deng, X.; Yan, W.; Fang, X. Growth and heavy metal accumulation of Koelreuteria paniculata seedlings and their potential for restoring manganese mine wastelands in Hunan, China. Int. J. Environ. Res. Public Health 2015, 12, 1726–1744. [Google Scholar] [CrossRef] [Green Version]
- Mostafa, A.E.; El-Hela, A.A.; Mohammad, A.I.; Cutler, S.J.; Ross, S.A. New triterpenoidal saponins from Koelreuteria paniculata. Phytochem. Lett. 2016, 17, 213–218. [Google Scholar] [CrossRef] [Green Version]
- Qu, Q.H.; Zhang, L.; Bao, H.; Zhang, J.H.; You, X.J.; Wang, J.X. Chemical constituents of flavonoids from flowers of Koelreuteria paniculata. J. Chin. Med. Mater. 2011, 34, 1716–1719. [Google Scholar]
- Lei, H.M.; Li, Q.; Bi, W.; Bai, D.; Lin, W.H. A new saponin from Koelreuteria paniculata. Acta Pharm. Sin. 2007, 42, 171–173. [Google Scholar]
- Huggett, J.; Dheda, K.; Bustin, S.; Zumla, A. Real-time RT-PCR normalisation; strategies and considerations. Genes Immun. 2005, 6, 279–284. [Google Scholar] [CrossRef] [Green Version]
- Hu, R.; Fan, C.; Li, H.; Zhang, Q.; Fu, Y.F. Evaluation of putative reference genes for gene expression normalization in soybean by quantitative real-time RT-PCR. BMC Mol. Biol. 2009, 10, 93. [Google Scholar] [CrossRef] [Green Version]
- Tong, Z.; Gao, Z.; Wang, F.; Zhou, J.; Zhang, Z. Selection of reliable reference genes for gene expression studies in peach using real-time PCR. BMC Mol. Biol. 2009, 10, 71. [Google Scholar] [CrossRef] [Green Version]
- Reid, K.E.; Olsson, N.; Schlosser, J.; Peng, F.; Lund, S.T. An optimized grapevine RNA isolation procedure and statistical determination of reference genes for real-time RT-PCR during berry development. BMC Plant Biol. 2006, 6, 27. [Google Scholar] [CrossRef] [PubMed] [Green Version]
- Guo, H.; Jiang, L.; Xia, Q. Selection of reference genes for analysis of stress-responsive genes after challenge with viruses and temperature changes in the silkworm Bombyx mori. Mol. Genet. Genom. 2016, 291, 999–1004. [Google Scholar] [CrossRef] [PubMed]
- Solanas, M.; Moral, R.; Escrich, E. Unsuitability of using ribosomal RNA as loading control for Northern blot analyses related to the imbalance between messenger and ribosomal RNA content in rat mammary tumors. Anal. Biochem. 2001, 288, 99–102. [Google Scholar] [CrossRef] [PubMed]
- Jian, B.; Liu, B.; Bi, Y.; Hou, W.; Wu, C.; Han, T. Validation of internal control for gene expression study in soybean by quantitative real-time PCR. BMC Mol. Biol. 2008, 9, 59. [Google Scholar] [CrossRef] [PubMed] [Green Version]
Publisher’s Note: MDPI stays neutral with regard to jurisdictional claims in published maps and institutional affiliations. |
© 2022 by the authors. Licensee MDPI, Basel, Switzerland. This article is an open access article distributed under the terms and conditions of the Creative Commons Attribution (CC BY) license (https://creativecommons.org/licenses/by/4.0/).