The Relationship between Alcohol Consumption and Gout: A Mendelian Randomization Study
Abstract
1. Introduction
2. Methods
2.1. Exposure and Outcome Datasets
2.2. Mendelian Randomization Study Design
2.3. Sample Recruitment and Serum Uric Acid Analysis
2.4. Statistical Analysis
3. Results
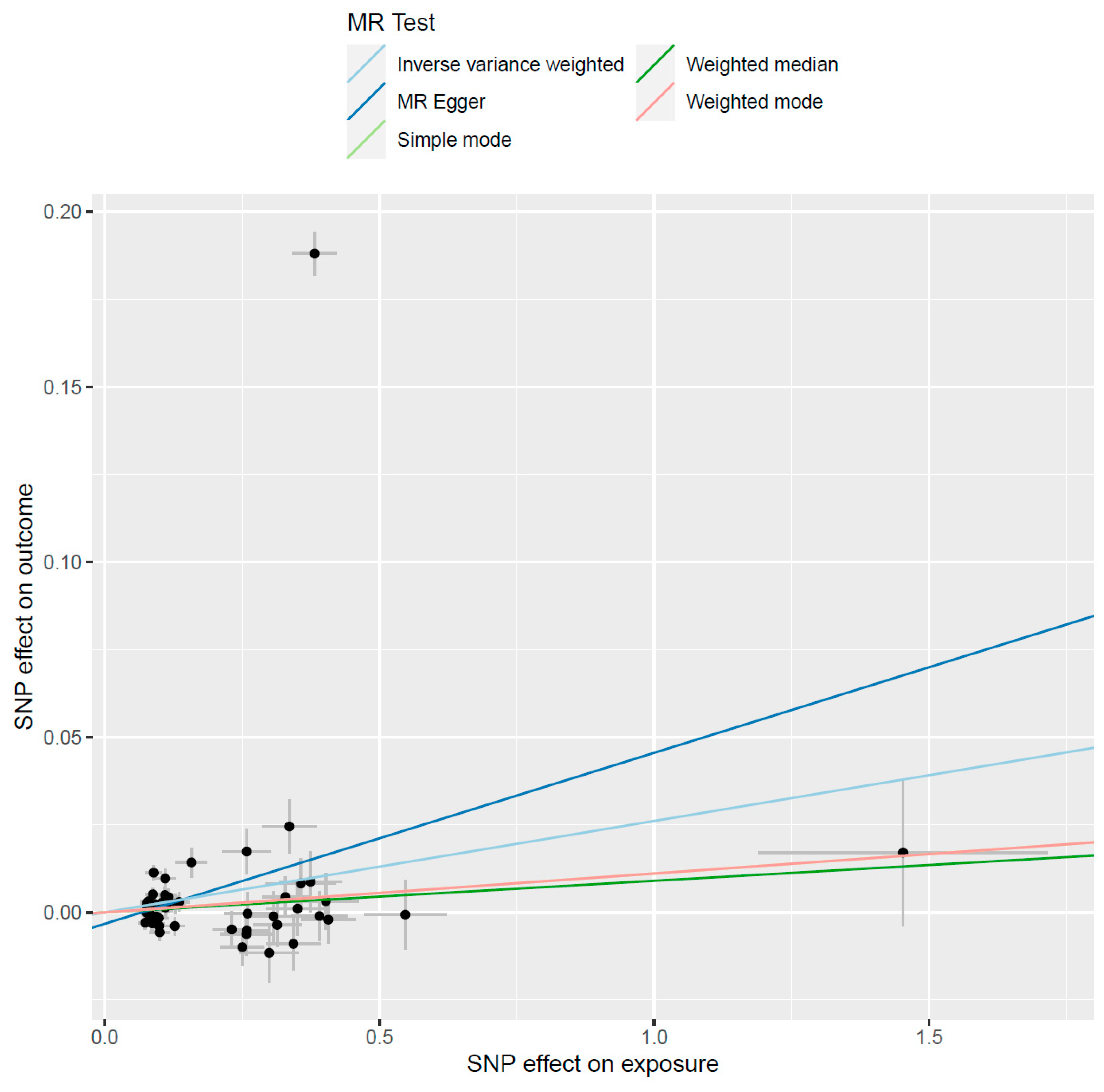
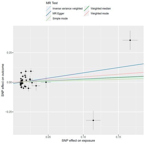
3.1. Mendelian Randomization
3.2. Serum Uric Acid Analysis
4. Discussion
5. Conclusions
Author Contributions
Funding
Institutional Review Board Statement
Informed Consent Statement
Data Availability Statement
Acknowledgments
Conflicts of Interest
References
- Dalbeth, N.; Choi, H.K.; Joosten, L.A.; Khanna, P.P.; Matsuo, H.; Perez-Ruiz, F.; Stamp, L.K. Gout (Primer). Nat. Rev. Dis. Prim. 2019, 5, 69. [Google Scholar] [CrossRef] [PubMed]
- Tang, S.C. Gout: A Disease of Kings. Contrib. Nephrol. 2018, 192, 77–81. [Google Scholar] [PubMed]
- Hanova, P.; Pavelka, K.; Dostal, C.; Holcatova, I.; Pikhart, H. Epidemiology of rheumatoid arthritis, juvenile idiopathic arthritis and gout in two regions of the Czech Republic in a descriptive population-based survey in 2002–2003. Clin. Exp. Rheumatol. 2006, 24, 499–507. [Google Scholar] [PubMed]
- Reis, C.; Queiroz, M.V. Prevalence of self-reported rheumatic diseases in a Portuguese population. Acta Reum. Port. 2014, 39, 54–59. [Google Scholar]
- Zhu, Y.; Pandya, B.J.; Choi, H.K. Prevalence of gout and hyperuricemia in the US general population: The National Health and Nutrition Examination Survey 2007–2008. Arthritis Rheum. 2011, 63, 3136–3141. [Google Scholar] [CrossRef]
- Kippen, I.; Klinenberg, J.R.; Weinberger, A.; Wilcox, W.R. Factors affecting urate solubility in vitro. Ann. Rheum. Dis. 1974, 33, 313–317. [Google Scholar] [CrossRef]
- Mattiuzzi, C.; Lippi, G. Recent updates on worldwide gout epidemiology. Clin. Rheumatol. 2020, 39, 1061–1063. [Google Scholar] [CrossRef]
- Isomäki, H.A.; Takkunen, H. Gout and Hyperuricemia in a Finnish Rural Population. Acta Rheumatol. Scand. 1969, 15, 112–120. [Google Scholar] [CrossRef]
- Popert, A.J.; Hewitt, J.V. Gout and Hyperuricaemia in Rural and Urban Populations. Ann. Rheum. Dis. 1962, 21, 154–163. [Google Scholar] [CrossRef]
- Maynard, J.W.; DeMarco, M.A.M.; Baer, A.N.; Köttgen, A.; Folsom, A.R.; Coresh, J.; Gelber, A.C. Incident Gout in Women and Association with Obesity in the Atherosclerosis Risk in Communities (ARIC) Study. Am. J. Med. 2012, 125, 717.e9–717.e17. [Google Scholar] [CrossRef][Green Version]
- Kuo, C.-F.; Grainge, M.J.; Mallen, C.; Zhang, W.; Doherty, M. Comorbidities in patients with gout prior to and following diagnosis: Case-control study. Ann. Rheum. Dis. 2016, 75, 210–217. [Google Scholar] [CrossRef] [PubMed]
- Yang, Q.; Guo, C.-Y.; Cupples, L.A.; Levy, D.; Wilson, P.W.; Fox, C.S. Genome-wide search for genes affecting serum uric acid levels: The Framingham Heart Study. Metabolism 2005, 54, 1435–1441. [Google Scholar] [CrossRef] [PubMed]
- Vitart, V.; Rudan, I.; Hayward, C.; Gray, N.; Floyd, J.; Palmer, C.; Knott, S.A.; Kolcic, I.; Polasek, O.; Graessler, J.; et al. SLC2A9 is a newly identified urate transporter influencing serum urate concentration, urate excretion and gout. Nat. Genet. 2008, 40, 437–442. [Google Scholar] [CrossRef] [PubMed]
- Enomoto, A.; Kimura, H.; Chairoungdua, A.; Shigeta, Y.; Jutabha, P.; Cha, S.H.; Hosoyamada, M.; Takeda, M.; Sekine, T.; Igarashi, T.; et al. Molecular identification of a renal urate–anion exchanger that regulates blood urate levels. Nature 2002, 417, 447–452. [Google Scholar] [CrossRef] [PubMed]
- Dehghan, A.; Köttgen, A.; Yang, Q.; Hwang, S.-J.; Kao, W.L.; Rivadeneira, F.; Boerwinkle, E.; Levy, D.; Hofman, A.; Astor, B.C.; et al. Association of three genetic loci with uric acid concentration and risk of gout: A genome-wide association study. Lancet 2008, 372, 1953–1961. [Google Scholar] [CrossRef]
- Choi, H.K.; Atkinson, K.; Karlson, E.W.; Willett, W.; Curhan, G. Alcohol intake and risk of incident gout in men: A prospective study. Lancet 2004, 363, 1277–1281. [Google Scholar] [CrossRef]
- Williams, P.T. Effects of diet, physical activity and performance, and body weight on incident gout in ostensibly healthy, vigorously active men. Am. J. Clin. Nutr. 2008, 87, 1480–1487. [Google Scholar] [CrossRef]
- Nielsen, S.M.; Zobbe, K.; Kristensen, L.E.; Christensen, R. Nutritional recommendations for gout: An update from clinical epidemiology. Autoimmun. Rev. 2018, 17, 1090–1096. [Google Scholar] [CrossRef]
- Andrews, S.J.; Goate, A.; Anstey, K.J. Anstey, Association between alcohol consumption and Alzheimer’s disease: A Mendelian randomization study. Alzheimer’s Dement. 2020, 16, 345–353. [Google Scholar] [CrossRef]
- Larsson, S.C.; Burgess, S.; Mason, A.M.; Michaëlsson, K. Alcohol Consumption and Cardiovascular Disease: A Mendelian Randomization Study. Circ. Genom. Precis. Med. 2020, 13, e002814. [Google Scholar] [CrossRef]
- Zhu, C.; Chen, Q.; Si, W.; Li, Y.; Chen, G.; Zhao, Q. Alcohol Use and Depression: A Mendelian Randomization Study from China. Front. Genet. 2020, 11, 585351. [Google Scholar] [CrossRef] [PubMed]
- Jordan, D.M.; Choi, H.K.; Verbanck, M.; Topless, R.; Won, H.-H.; Nadkarni, G.; Merriman, T.R.; Do, R. No causal effects of serum urate levels on the risk of chronic kidney disease: A Mendelian randomization study. PLoS Med. 2019, 16, e1002725. [Google Scholar] [CrossRef]
- Larsson, S.C.; Carlström, M. Coffee consumption and gout: A Mendelian randomisation study. Ann. Rheum. Dis. 2018, 77, 1544–1546. [Google Scholar] [CrossRef] [PubMed]
- Syed, A.A.S.; He, L.; Shi, Y. The Potential Effect of Aberrant Testosterone Levels on Common Diseases: A Mendelian Randomization Study. Genes 2020, 11, 721. [Google Scholar] [CrossRef] [PubMed]
- Liu, M.; Jiang, Y.; Wedow, R.; Li, Y.; Brazel, D.M.; Chen, F.; Datta, G.; Davila-Velderrain, J.; McGuire, D.; Tian, C.; et al. Association studies of up to 1.2 million individuals yield new insights into the genetic etiology of tobacco and alcohol use. Nat. Genet. 2019, 51, 237–244. [Google Scholar] [CrossRef]
- Tin, A.; Marten, J.; Halperin Kuhns, V.L.; Li, Y.; Wuttke, M.; Kirsten, H.; Sieber, K.B.; Qiu, C.; Gorski, M.; Yu, Z.; et al. Target genes, variants, tissues and transcriptional pathways influencing human serum urate levels. Nat. Genet. 2019, 51, 1459–1474. [Google Scholar] [CrossRef] [PubMed]
- WWang, M.; Jiang, X.; Wu, W.; Zhang, D. A meta-analysis of alcohol consumption and the risk of gout. Clin. Rheumatol. 2013, 32, 1641–1648. [Google Scholar] [CrossRef]
- Jee, Y.H.; Jung, K.J.; Park, Y.; Spiller, W.; Jee, S.H. Causal effect of alcohol consumption on hyperuricemia using a Mendelian randomization design. Int. J. Rheum. Dis. 2019, 22, 1912–1919. [Google Scholar] [CrossRef]




| Exposure | Outcome | n SNPs | IVW(se) | p-Value | WM-p Value | MR–Egger–p-Value | MR–Egger Intercept (p-Value) |
|---|---|---|---|---|---|---|---|
| DPW | Gout | 49 | 0.285 (0.30) | 0.35 | 0.31 | 0.21 | 0.35 |
| DPW | SUA | 50 | 0.033 (0.09) | 0.73 | 0.44 | 0.62 | 0.695 |
| Gout | DPW | 56 | 0.026 (0.125) | 0.037 | 0.048 | 0.053 | 0.29 |
| Group | Hyp A− | Hyp A+ | Gout A− | Gout A+ | Control |
|---|---|---|---|---|---|
| Age (year) | 45.1 (13.84) | 49.5 (8.61) | 41.8 (13.53) | 53.0 (5.89) | 41.8 (13.53) |
| Duration of Hyperuricemia (year) | 0.9 (1.45) | 2.4 (4.20) | 12.89 (7.82) | 11.2 (3.83) | 0 |
| Duration of gout (year) | / | / | 11.70 (8.15) | 11.56 (3.58) | / |
| Duration of drinking(year) | / | 22.0 (8.882) | / | 27.67 (13.88) | / |
| sUA (μmol/L) | 460.7 (38.57) | 480.30 (32.43) | 479.3 (158.91) | 485.4 (138.19) | 316.2 (60.88) |
| Tophus (%) | 0 | 0 | 6 (60%) | 2 (20%) | / |
| Hypertension (%) | 4 (40%) | 3 (30%) | 6 (60%) | 4 (40%) | / |
| Diabetes (%) | 0 | 0 | 1 (10%) | 2 (20%) | / |
| Coronary heart disease (%) | 0 | 0 | 0 | 0 | / |
| Hyperlipidemia (%) | 1 (10%) | 0 | 6 (60%) | 4 (40%) | / |
Publisher’s Note: MDPI stays neutral with regard to jurisdictional claims in published maps and institutional affiliations. |
© 2022 by the authors. Licensee MDPI, Basel, Switzerland. This article is an open access article distributed under the terms and conditions of the Creative Commons Attribution (CC BY) license (https://creativecommons.org/licenses/by/4.0/).
Share and Cite
Syed, A.A.S.; Fahira, A.; Yang, Q.; Chen, J.; Li, Z.; Chen, H.; Shi, Y. The Relationship between Alcohol Consumption and Gout: A Mendelian Randomization Study. Genes 2022, 13, 557. https://doi.org/10.3390/genes13040557
Syed AAS, Fahira A, Yang Q, Chen J, Li Z, Chen H, Shi Y. The Relationship between Alcohol Consumption and Gout: A Mendelian Randomization Study. Genes. 2022; 13(4):557. https://doi.org/10.3390/genes13040557
Chicago/Turabian StyleSyed, Ali Alamdar Shah, Aamir Fahira, Qiangzhen Yang, Jianhua Chen, Zhiqiang Li, Haibing Chen, and Yongyong Shi. 2022. "The Relationship between Alcohol Consumption and Gout: A Mendelian Randomization Study" Genes 13, no. 4: 557. https://doi.org/10.3390/genes13040557
APA StyleSyed, A. A. S., Fahira, A., Yang, Q., Chen, J., Li, Z., Chen, H., & Shi, Y. (2022). The Relationship between Alcohol Consumption and Gout: A Mendelian Randomization Study. Genes, 13(4), 557. https://doi.org/10.3390/genes13040557

