The Caucasian Clover Gene TaMYC2 Responds to Abiotic Stress and Improves Tolerance by Increasing the Activity of Antioxidant Enzymes
Abstract
:1. Introduction
2. Materials and Methods
2.1. Plant Materials, Growth Conditions, and Stress Treatments
2.2. Cloning of the TaMYC2 Gene and Quantitative Real-Time PCR (qRT–PCR) Analysis of Gene Expression
2.3. Bioinformatic Analysis
2.4. Construction of TaMYC2 Overexpression and Transient Expression Vectors in Tobacco
2.5. Subcellular Localization
2.6. TaMYC2-Overexpressing Tobacco
2.7. Physiological Measurements
2.8. Statistical Analysis
3. Results
3.1. Cloning of the TaMYC2 Gene from Caucasian Clover
3.2. Bioinformatic Analysis of TaMYC2
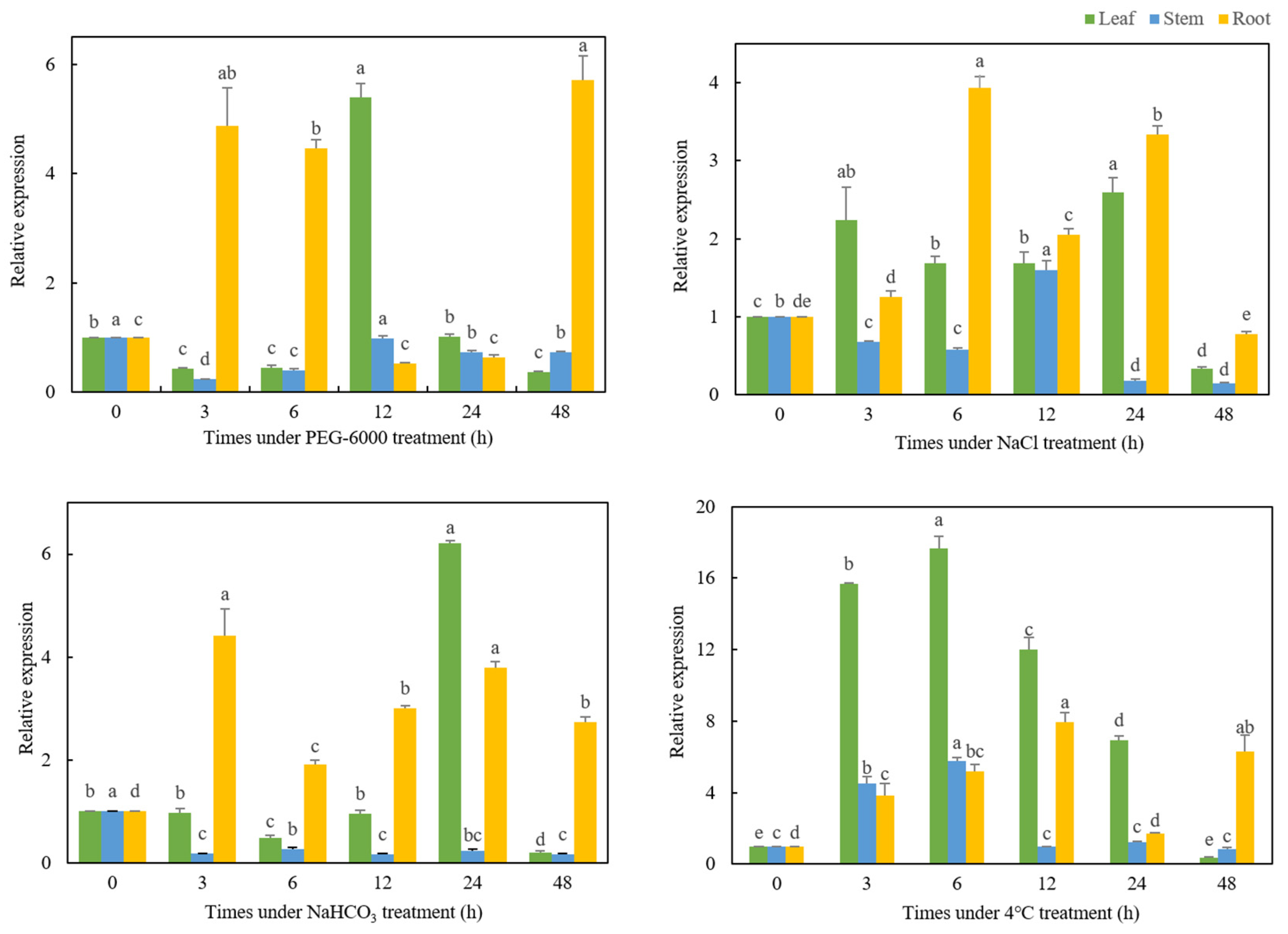
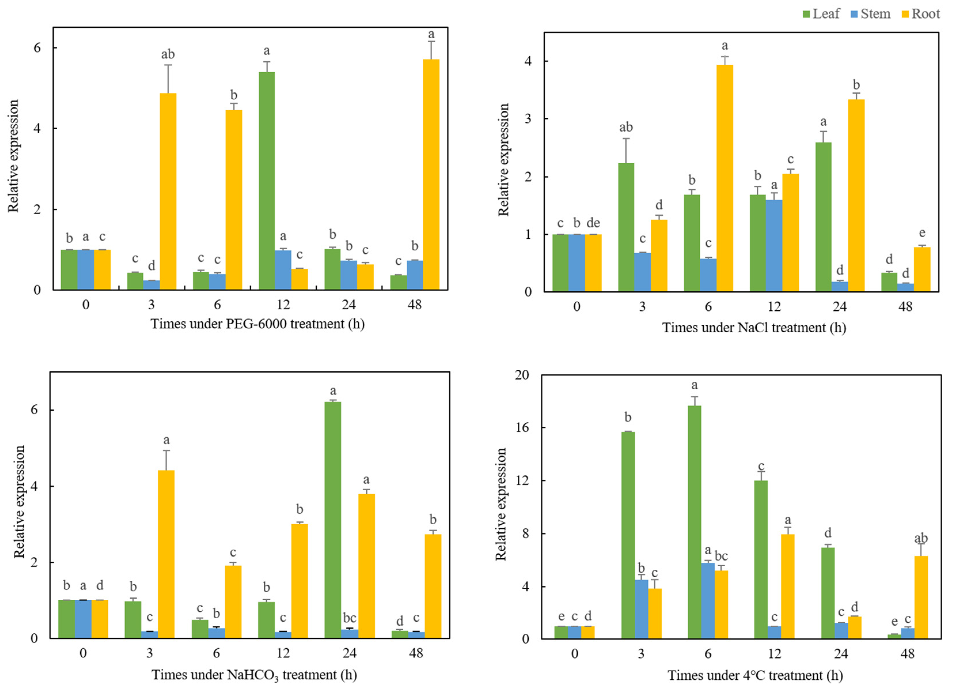
3.3. Expression Analysis of TaMYC2 in Response to Abiotic Stress
3.4. Analysis of TaMYC2 Expression Patterns in Response to Hormone Treatments
3.5. The TaMYC2 Protein Localizes to the Nucleus
3.6. Functional Verification of TaMYC2-Overexpressing Tobacco in Response to Abiotic Stress
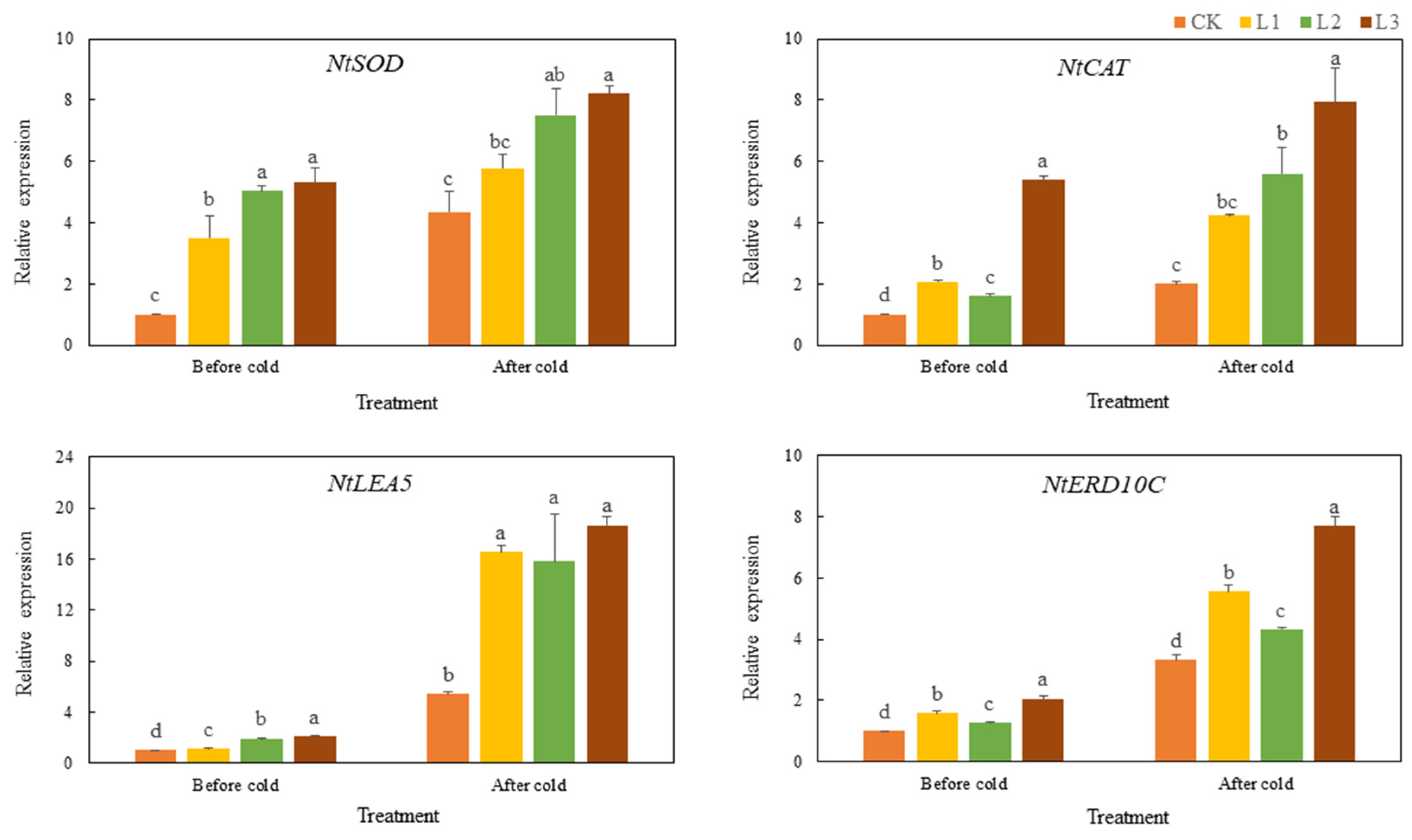
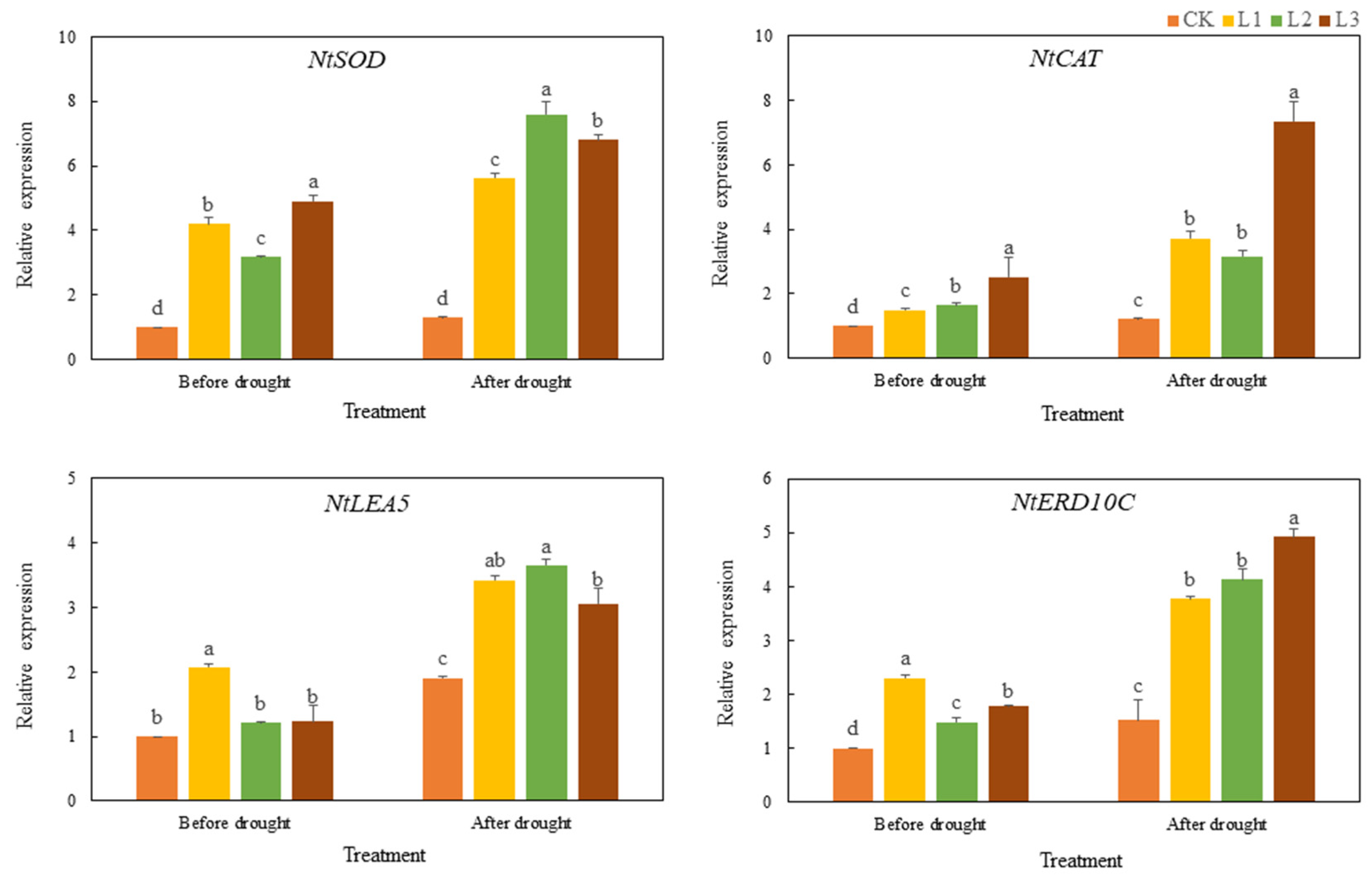
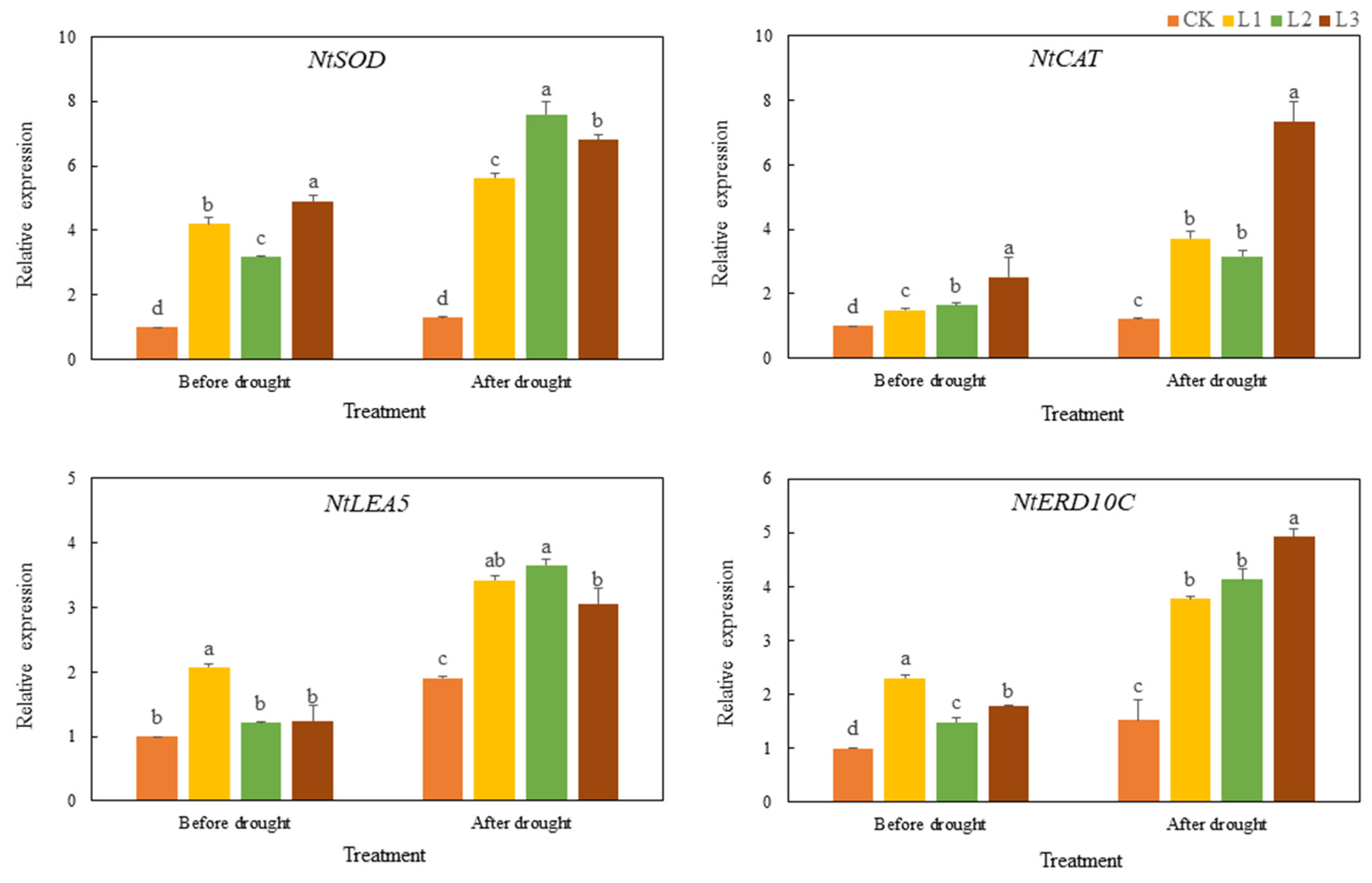
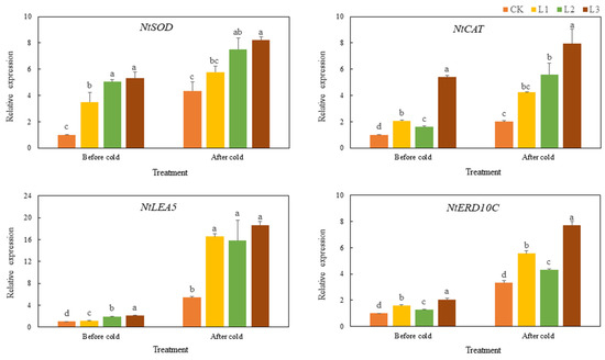
3.7. Expression Analysis of Reactive Oxygen Species (ROS) Scavenging-Related and Stress-Responsive Genes in Transgenic and WT Plants before and after Treatment
4. Discussion
5. Conclusions
Supplementary Materials
Author Contributions
Funding
Institutional Review Board Statement
Informed Consent Statement
Conflicts of Interest
References
- Lane, I.; Watkins, E.; Spivak, M. Turfgrass species affect the establishment and bloom of Kura clover (Trifolium ambiguum) in lawns. Hortscience 2019, 54, 824–828. [Google Scholar] [CrossRef]
- Black, A.D.; Lucas, R.J. Caucasian clover was more productive than white clover in grass mixtures under drought conditions. NZGA 2000, 62, 183–188. [Google Scholar] [CrossRef]
- Davis, P.H. Flora of Turkey and the East Aegean Islands. Q. Rev. Biol. 1965, 35, 103–104. [Google Scholar]
- Sheaffer, C.C.; Marten, G.C. Kura clover forage yield, forage quality, and stand dynamics. Can. J. Plant. Sci. 1991, 71, 1169–1172. [Google Scholar] [CrossRef]
- Taylar, N.L.; Smith, R.R. Kura Clover (Trifolium ambiguum M. B.) Breeding, Culture, and Utilization. Adv. Agron. 1997, 63, 153–178. [Google Scholar]
- Brummer, E.C.; Moore, K.J. Persistence of perennial cool-season grass and legume cultivars under continuous grazing by beef cattle. Agron. J. 2000, 92, 466–471. [Google Scholar] [CrossRef]
- Black, A.; Lucas, R.J.; Moot, D. Net photosynthesis rate and chlorophyII content of Caucasian and white clover leaves under different temperature regimes. Dep. Agric. Sci. 2015, 200–220. [Google Scholar]
- Xiujie, Y.; Kun, Y.; Yihang, Z.; Yao, H.; Xu, L.; Taotao, H.; Jiaxue, L.; Guowen, C. Revealing the full-length transcriptome of caucasian clover rhizome development. BMC Plant Biol. 2020, 20, 429. [Google Scholar]
- Rhaman, M.S.; Imran, S.; Karim, M.M.; Chakrobortty, J.; Mahamud, M.A.; Sarker, P.; Arif, M.T.U.; Robin, A.H.K.; Wenxue, Y.; Murata, Y.; et al. 5-aminolevulinic acid-mediated plant adaptive responses to abiotic stress. Plant Cell Rep. 2021, 40, 1451–1469. [Google Scholar] [CrossRef]
- Haidong, L.; Jiquan, X.; Dongwei, G. Efficacy of planting date adjustment as a cultivation strategy to cope with drought stress and increase rainfed maize yield and water-use efficiency. Agric. Water Manag. 2017, 179, 227–235. [Google Scholar]
- Sytar, O.; Brestic, M.; Zivcak, M.; Olsovska, K.; Kovar, M.; Hongbo, S.; Xiaolan, H. Applying hyperspectral imaging to explore natural plant diversity towards improving salt stress tolerance. Sci. Total Environ. 2017, 578, 90–99. [Google Scholar] [CrossRef] [PubMed]
- Zörb, C.; Geilfus, C.-M.; Mühling, K.H.; Ludwig-Müller, J. The influence of salt stress on ABA and auxin concentrations in two maize cultivars differing in salt resistance. J. Plant Physiol. 2013, 170, 220–224. [Google Scholar] [CrossRef] [PubMed]
- Wani, K.I.; Naeem, M.; Castroverde, C.D.M.; Kalaji, H.M.; Albaqami, M.; Aftab, T. Molecular Mechanisms of Nitric Oxide (NO) Signaling and Reactive Oxygen Species (ROS) Homeostasis during Abiotic Stresses in Plants. Int. J. Mol. Sci. 2021, 22, 9656. [Google Scholar] [CrossRef] [PubMed]
- Naing, A.H.; Kim, C.K. Abiotic stress-induced anthocyanins in plants: Their role in tolerance to abiotic stresses. Physiol. Plant. 2021, 172, 1711–1723. [Google Scholar] [CrossRef]
- Ding, Y.; Jia, Y.; Shi, Y. OST1-mediated BTF3L phosphorylation positively regulates CBFs during plant cold responses. EMBO J. 2018, 37, e98228. [Google Scholar] [CrossRef]
- Dong, C.; Xi, Y.; Chen, X.; Cheng, Z.-M. Genome-wide identification of AP2/EREBP in Fragaria vesca and expression pattern analysis of the FvDREB subfamily under drought stress. BMC Plant Biol. 2021, 21, 295. [Google Scholar] [CrossRef]
- Zhao, Q.; Xiang, X.; Liu, D.; Yang, A.; Wang, Y. Tobacco Transcription Factor NtbHLH123 Confers Tolerance to Cold Stress by Regulating the NtCBF Pathway and Reactive Oxygen Species Homeostasis. Front. Plant Sci. 2018, 9, 381. [Google Scholar] [CrossRef]
- Wan, F.-X.; Gao, J.; Wang, G.-L.; Niu, Y.; Wang, L.-Z.; Zhang, X.-G.; Wang, Y.-Q.; Pan, Y. Genome-wide identification of NAC transcription factor family and expression analysis of ATAF subfamily members under abiotic stress in eggplant. Sci. Hortic. 2021, 289, 110424. [Google Scholar] [CrossRef]
- Li, J.; Li, X.; Han, P.; Liu, H.; Gong, J.; Zhou, W.; Shi, B.; Liu, A.; Xu, L. Genome-wide investigation of bHLH genes and expression analysis under different biotic and abiotic stresses in Helianthus annuus L. Int. J. Biol. Macromol. 2021, 189, 72–83. [Google Scholar] [CrossRef]
- Chini, A.; Boter, M.; Solano, R. Plant oxylipins: COI1/JAZs/MYC2 as the core jasmonic acid-signalling module. FEBS J. 2009, 276, 4682–4692. [Google Scholar] [CrossRef]
- Staswick, P.E. JAZing up jasmonate signaling. Trends Plant Sci. 2008, 13, 66–71. [Google Scholar] [CrossRef] [PubMed]
- Thines, B.; Katsir, L.; Melotto, M.; Niu, Y.; Mandaokar, A.D.; Liu, G.; Nomura, K.; He, S.Y.; Howe, G.A.; Browse, J. JAZ repressor proteins are targets of the SCFCOI1 complex during jasmonate signalling. Nature 2007, 448, 661–665. [Google Scholar] [CrossRef] [PubMed]
- Srivastava, A.K.; Dutta, S.; Chattopadhyay, S. MYC2 regulates ARR16, a component of cytokinin signaling pathways, in Arabidopsis seedling development. Plant Direct 2019, 3, e00177. [Google Scholar] [CrossRef] [PubMed] [Green Version]
- Verma, D.; Bhagat, P.K.; Sinha, A.K. MKK3-MPK6-MYC2 module positively regulates ABA biosynthesis and signalling in Arabidopsis. J. Plant Biochem. Biotechnol. 2020, 29, 785–795. [Google Scholar] [CrossRef]
- Chen, D.; Shi, X.; Wang, W.; Wang, F.; Zhang, H. The Brassica napus MYC2 regulates drought tolerance by monitoring stomatal closure. Eur. J. Hortic. Sci. 2020, 85, 226–231. [Google Scholar] [CrossRef]
- Yastreb, T.; Kolupaev, Y.E.; Havva, E.N.; Horielova, E.I.; Dmitriev, A.P. Involvement of the JIN1/MYC2 Transcription Factor in Inducing Salt Resistance in Arabidopsis Plants by Exogenous Hydrogen Sulfide. Cytol. Genet. 2020, 54, 96–102. [Google Scholar] [CrossRef]
- Schmoyer, T.E. Apparatus and Method for Removing and Retarding Paraffin Buildup on Surfaces in Contact with Crude Oil and Natural Gas. U.S. Patent 2019/0152781A1, 23 May 2019. [Google Scholar]
- Feng, X.-M.; Zhao, Q.; Zhao, L.-L.; Qiao, Y.; Xie, X.-B.; Li, H.-F.; Yao, Y.-X.; You, C.-X.; Hao, Y.-J. The cold-induced basic helix-loop-helix transcription factor gene MdCIbHLH1encodes an ICE-like protein in apple. BMC Plant Biol. 2012, 12, 22. [Google Scholar] [CrossRef] [Green Version]
- Goujon, M.; McWilliam, H.; Li, W.; Valentin, F.; Squizzato, S.; Paern, J.; López, R. A new bioinformatics analysis tools framework at EMBL-EBI. Nucleic Acids Res. 2010, 38, W695–W699. [Google Scholar] [CrossRef]
- Atchley, W.R.; Terhalle, W.; Dress, A. Positional Dependence, Cliques, and Predictive Motifs in the bHLH Protein Domain. J. Mol. Evol. 1999, 48, 501–516. [Google Scholar] [CrossRef]
- Li, X.; Duan, X.; Jiang, H.; Sun, Y.; Tang, Y.; Yuan, Z.; Guo, J.; Liang, W.; Chen, L.; Yin, J.; et al. Genome-Wide Analysis of Basic/Helix-Loop-Helix Transcription Factor Family in Rice and Arabidopsis. Plant Physiol. 2006, 141, 1167–1184. [Google Scholar] [CrossRef] [Green Version]
- Nesi, N.; Debeaujon, I.; Jond, C.; Pelletier, G.; Caboche, M.; Lepiniec, L. The TT8 Gene Encodes a Basic Helix-Loop-Helix Domain Protein Required for Expression of DFR and BAN Genes in Arabidopsis Siliques. Plant Cell 2000, 12, 1863–1878. [Google Scholar] [CrossRef] [PubMed] [Green Version]
- Polichuk, D.R.; Zhang, Y.; Reed, D.; Schmidt, J.F.; Covello, P.S. A glandular trichome-specific monoterpene alcohol dehydrogenase from Artemisia annua. Phytochemistry 2010, 71, 1264–1269. [Google Scholar] [CrossRef] [PubMed] [Green Version]
- Anfang, M.; Shani, E. Transport mechanisms of plant hormones. Curr. Opin. Plant Biol. 2021, 63, 102055. [Google Scholar] [CrossRef] [PubMed]
- Pires, N.; Dolan, L. Origin and Diversification of Basic-Helix-Loop-Helix Proteins in Plants. Mol. Biol. Evol. 2010, 27, 862–874. [Google Scholar] [CrossRef] [PubMed] [Green Version]
- Fu, J.; Liu, L.; Liu, Q.; Shen, Q.; Wang, C.; Yang, P.; Zhu, C.; Wang, Q. ZmMYC2 exhibits diverse functions and enhances JA signaling in transgenic Arabidopsis. Plant Cell Rep. 2019, 39, 273–288. [Google Scholar] [CrossRef]
- Aleman, F.; Yazaki, J.; Lee, M.; Takahashi, Y.; Kim, A.Y.; Li, Z.; Kinoshita, T.; Ecker, J.; Schroeder, J.I. An ABA-increased interaction of the PYL6 ABA receptor with MYC2 Transcription Factor: A putative link of ABA and JA signaling. Sci. Rep. 2016, 6, 28941. [Google Scholar] [CrossRef]
- Kemal, K.; John, M.M. MYC2: The Master in Action. Mol. Plant 2013, 6, 686–703. [Google Scholar]
- Fu, J.; Xiao, Y.; Wang, Y.-F.; Liu, Z.-H.; Yang, K. Saline–alkaline stress in growing maize seedlings is alleviated by Trichoderma asperellum through regulation of the soil environment. Sci. Rep. 2021, 11, 11152. [Google Scholar] [CrossRef]
- Xu, X.; Zhang, J.; Yan, B.; Wei, Y.; Ge, S.; Li, J.; Han, Y.; Li, Z.; Zhao, C.; Xu, J. The Adjustment of Membrane Lipid Metabolism Pathways in Maize Roots Under Saline–Alkaline Stress. Front. Plant Sci. 2021, 12, 635327. [Google Scholar] [CrossRef]
- Verma, D.; Jalmi, S.; Bhagat, P.K.; Verma, N.; Sinha, A.K. A bHLH transcription factor, MYC2, imparts salt intolerance by regulating proline biosynthesis in Arabidopsis. FEBS J. 2019, 287, 2560–2576. [Google Scholar] [CrossRef]
- Todaka, D.; Shinozaki, K.; Yamaguchi-Shinozaki, K. Recent advances in the dissection of drought-stress regulatory networks and strategies for development of drought-tolerant transgenic rice plants. Front. Plant 2015, 6, 84. [Google Scholar] [CrossRef] [PubMed] [Green Version]
- Jeong, J.S.; Kim, Y.S.; Redillas, M.C.F.R.; Jang, G.; Jung, H.; Bang, S.W.; Choi, Y.D.; Ha, S.-H.; Reuzeau, C.; Kim, J.-K. OsNAC5overexpression enlarges root diameter in rice plants leading to enhanced drought tolerance and increased grain yield in the field. Plant Biotechnol. J. 2012, 11, 101–114. [Google Scholar] [CrossRef] [PubMed]
- Ritonga, F.N.; Ngatia, J.N.; Wang, Y.; Khoso, M.A.; Farooq, U.; Chen, S. AP2/ERF, an important cold stress-related transcription factor family in plants: A review. Physiol. Mol. Biol. Plants 2021, 27, 1953–1968. [Google Scholar] [CrossRef] [PubMed]
- He, H.; Lei, Y.; Yi, Z.; Raza, A.; Zeng, L.; Yan, L.; Xiaoyu, D.; Yong, C.; Xiling, Z. Study on the mechanism of exogenous serotonin improving cold tolerance of rapeseed (Brassica napus L.) seedlings. Plant Growth Regul. 2021, 94, 161–170. [Google Scholar] [CrossRef]
- Xiong, H.; Yu, J.; Miao, J.; Li, J.; Zhang, H.; Wang, X.; Liu, P.; Zhao, Y.; Jiang, C.; Yin, Z.; et al. Natural Variation in OsLG3 Increases Drought Tolerance in Rice by Inducing ROS Scavenging. Plant Physiol. 2018, 178, 451–467. [Google Scholar] [CrossRef] [Green Version]
- Jiang, D.; Lu, B.; Liu, L.; Duan, W.; Meng, Y.; Li, J.; Zhang, K.; Sun, H.; Zhang, Y.; Dong, H.; et al. Exogenous melatonin improves the salt tolerance of cotton by removing active oxygen and protecting photosynthetic organs. BMC Plant Biol. 2021, 21, 331. [Google Scholar] [CrossRef]
- Hu, H.; Liu, H.; Du, G.; Fei, Y.; Deng, G.; Yang, Y.; Feihu, L. Fiber and seed type of hemp (Cannabis sativa L.) responded differently to salt-alkali stress in seedling growth and physiological indices. Ind. Crop. Prod. 2019, 129, 624–630. [Google Scholar] [CrossRef]
- Yue, X.; Zhang, G.; Zhao, Z.; Yue, J.; Pu, X.; Sui, M.; Zhan, Y.; Shi, Y.; Wang, Z.; Meng, G.; et al. A Cryophyte Transcription Factor, CbABF1, Confers Freezing, and Drought Tolerance in Tobacco. Front. Plant Sci. 2019, 10, 699. [Google Scholar] [CrossRef]
- Zhang, L.; Guo, X.; Zhang, Z.; Wang, A.; Zhu, J. Cold-regulated gene LeCOR413PM2 confers cold stress tolerance in tomato plants. Gene 2021, 764, 145097. [Google Scholar] [CrossRef]
- Gangwar, R.; Kumari, P.; Chatrath, A.; Prasad, R. Characterisation of recombinant thermostable manganese-superoxide dismutase (NeMnSOD) from Nerium oleander. Mol. Biol. Rep. 2020, 47, 3251–3270. [Google Scholar] [CrossRef]
- Lin, K.-H.; Sei, S.-C.; Su, Y.-H.; Chiang, C.-M. Overexpression of the Arabidopsis and winter squash superoxide dismutase genes enhances chilling tolerance via ABA-sensitive transcriptional regulation in transgenic Arabidopsis. Plant Signal. Behav. 2019, 14, 1685728. [Google Scholar] [CrossRef] [PubMed]
- Tounsi, S.; Feki, K.; Kamoun, Y.; Saïdi, M.N.; Jemli, S.; Ghorbel, M.; Alcon, C.; Brini, F. Highlight on the expression and the function of a novel MnSOD from diploid wheat (T. monococcum) in response to abiotic stress and heavy metal toxicity. Plant Physiol. Biochem. 2019, 142, 384–394. [Google Scholar] [CrossRef] [PubMed]
- Divya, K.; Palakolanu, S.R.; Kishor, P.K.; Rajesh, A.S.; Vadez, V.; Sharma, K.K.; Mathur, P.B. Functional characterization of late embryogenesis abundant genes and promoters in pearl millet (Pennisetum glaucum L.) for abiotic stress tolerance. Physiol. Plant. 2021, 173, 1616–1628. [Google Scholar] [CrossRef] [PubMed]










Publisher’s Note: MDPI stays neutral with regard to jurisdictional claims in published maps and institutional affiliations. |
© 2022 by the authors. Licensee MDPI, Basel, Switzerland. This article is an open access article distributed under the terms and conditions of the Creative Commons Attribution (CC BY) license (https://creativecommons.org/licenses/by/4.0/).
Share and Cite
Zhao, Y.; Yang, Y.; Jiang, J.; Zhang, X.; Ma, Z.; Meng, L.; Cui, G.; Yin, X. The Caucasian Clover Gene TaMYC2 Responds to Abiotic Stress and Improves Tolerance by Increasing the Activity of Antioxidant Enzymes. Genes 2022, 13, 329. https://doi.org/10.3390/genes13020329
Zhao Y, Yang Y, Jiang J, Zhang X, Ma Z, Meng L, Cui G, Yin X. The Caucasian Clover Gene TaMYC2 Responds to Abiotic Stress and Improves Tolerance by Increasing the Activity of Antioxidant Enzymes. Genes. 2022; 13(2):329. https://doi.org/10.3390/genes13020329
Chicago/Turabian StyleZhao, Yihang, Yupeng Yang, Jingwen Jiang, Xiaomeng Zhang, Zewang Ma, Lingdong Meng, Guowen Cui, and Xiujie Yin. 2022. "The Caucasian Clover Gene TaMYC2 Responds to Abiotic Stress and Improves Tolerance by Increasing the Activity of Antioxidant Enzymes" Genes 13, no. 2: 329. https://doi.org/10.3390/genes13020329
APA StyleZhao, Y., Yang, Y., Jiang, J., Zhang, X., Ma, Z., Meng, L., Cui, G., & Yin, X. (2022). The Caucasian Clover Gene TaMYC2 Responds to Abiotic Stress and Improves Tolerance by Increasing the Activity of Antioxidant Enzymes. Genes, 13(2), 329. https://doi.org/10.3390/genes13020329
