Abstract
The sustainability of rice cropping systems is jeopardized by the large number and variety of populations of polyploid Echinochloa spp. resistant to ALS inhibitors. Better knowledge of the Echinochloa species present in Italian rice fields and the study of ALS genes involved in target-site resistance could significantly contribute to a better understanding of resistance evolution and management. Using a CAPS-rbcL molecular marker, two species, E. crus-galli (L.) P. Beauv. and E. oryzicola (Vasinger) Vasing., were identified as the most common species in rice in Italy. Mutations involved in ALS inhibitor resistance in the different species were identified and associated with the ALS homoeologs. The relative expression of the ALS gene copies was evaluated. Molecular characterization led to the identification of three ALS genes in E. crus-galli and two in E. oryzicola. The two species also carried different point mutations conferring resistance: Ala122Asn in E. crus-galli and Trp574Leu in E. oryzicola. Mutations were carried in the same gene copy (ALS1), which was significantly more expressed than the other copies (ALS2 and ALS3) in both species. These results explain the high resistance level of these populations and why mutations in the other ALS copies are not involved in herbicide resistance.
1. Introduction
The genus Echinochloa includes about approximately 50 annual summer species, widespread in both tropical and temperate regions and in dry (e.g., maize and soybean) or water flooded soils (e.g., rice) [1]. Several classification keys have been proposed in the last century, but none of them have been able to adequately fulfill the task; Echinochloa species are often very difficult to distinguish due to wide intraspecific morphological and phenological variability [2]. A rough first classification can be done on the basis of macro-phenological differences, dividing Echinochloa species in two groups: the “red” (i.e., E. crus-galli (L.) P. Beav. and E. hispidula (Retz.) Nees) and “white” species (e.g., E. oryzicola (Vasinger) Vasing. and E. oryzoides (Ard.) Fritsch). E. oryzicola (late watergrass) and E. crus-galli (barnyard grass) are the most common members of the two categories in Italian paddy fields. E. oryzicola is the dominant and most persistent due to its complex survival strategy in flooded rice [3]. The species of both groups are annual with a C4 photosynthetic pathway [3,4] and show a great competitive advantage when they grow together with C3 crops.
Echinochloa spp. are weedy plants that have evolved resistance to several herbicide classes, among which acetolactate synthase (ALS) inhibitors are the most used for their control. The ALS-inhibiting herbicides are commonly used because of their high activity at low doses against a broad spectrum of weeds, the possibility of post-emergence grass weed control, the low mammalian toxicity and low costs [5]. Furthermore, the introduction of the Clearfield® technology, i.e., imidazolinone-tolerant rice varieties, has further increased the use of these herbicides, reducing the diversity of sites of action used in rice crops [6]. Their highly specific target, along with their repetitive use on the same cropping system, have favored the selection of resistant populations. In most cases, the resistance to ALS inhibitors is due to point mutations in the ALS gene (i.e., target-site resistance, TSR), that change specific amino acids of the target protein (ALS), thus reducing its affinity for this class of herbicides [7]. So far, TSR to ALS inhibitors in Echinochloa involve three amino acid positions: Ala-122, with three allelic variants (Val [8], Thr [8] and Asn [9], in E. crus-galli), Pro-197, with two allelic variants (Ser and Leu, in E. cru-galli [10]), and Trp-574, with one allelic variant (Leu, in E. crus-galli [10,11] and E. oryzicola [12]).
On the basis of cytological evidence, E. crus-galli is an allohexaploid assumed to have derived from a hybridization between the allotetraploid E. oryzicola and an unknown diploid species [13]. In polyploid species a variable number of each gene can occur. Therefore, the genomic organization is more complex than that of diploid species [14,15]. E. crus-galli and E. oryzicola are allopolyploid species, which contain three and two homologous ALS genes, respectively [16], and each gene copy encoding a protein could evolve resistance-endowing mutations [7]. It is still unclear how many gene copies, and which specific copy/ies, are responsible for the evolution of herbicide resistance in Echinochloa and other polyploid species.
In this study, molecular analyses were performed on several Echinochloa spp. field populations to achieve a better taxonomic classification of “red” E. crus-galli and “white” E. oryzicola species using a CAPS Cleaved Amplified Polymorphic Sequence (CAPS) molecular marker based on the DNA barcoding method. The mutations endowing resistance to ALS inhibitors in the different species were detected and associated with the different ALS gene copies. Lastly, the relative expression of the ALS gene copies was evaluated to explain the high level of ALS inhibitor resistance in these polyploid species.
2. Materials and Methods
2.1. Plant Material
Seven Echinochloa spp. populations were analyzed: 16S, 44R, 45R, 46R, 95R, 100R and 161S (note: S = susceptible and R = resistant). The different populations were preliminarily classified using the Pignatti (1982) [17], Costea and Tardif (2002) [18] and Viggiani and Tabacchi (2017) [19] classification keys. All populations were collected in Italian rice fields (Table S1), and tested for herbicide resistance through greenhouse assays following the protocol described in Panozzo et al. (2015) [20]. Leaf tissue from the survivors of the recommended field dose of penoxsulam (40.8 g a.i. ha−1) were sampled, frozen in liquid nitrogen and conserved at −80 °C until nucleic acids extraction.
2.2. DNA Barcoding and CAPS-rbcL
A DNA barcoding marker was established to assign the tested plants into the two classes of Echinochloa species (“red” or “white”). This was important to avoid misidentifications due to the high heterogeneity of field-collected populations, which can include plants from different species, and because correct identification of the plants was required for the molecular analyses.
A preliminary analysis using MEGA X® software [21] was performed including several nucleotide sequences of Echinochloa spp. cpDNA (chloroplast DNA) gene rbcL [22,23] reported in GenBank database (www.ncbi.nlm.nih.gov/nucleotide accessed on 10 December 2021) and in the Barcode of Life Data Systems (BOLD, http://www.barcodinglife.org/ accessed on 1 September 2021, vouchered specimens only), as well as some rbcL sequences obtained from Echinochloa purified and classified accessions [24].
Genomic DNA (gDNA) was extracted from leaf tissue of five plants for each population using the CTAB method described in Doyle and Doyle (1987) [25]. Concentration and quality of gDNA was determined using a NanoDrop™ 2000 (ThermoFisher Scientific, Waltham, MA, USA). Each sample was diluted with ddH2O to reach a final concentration of 100 ng µL−1 and then stored at −20 °C until use.
PCR amplification was conducted using the GoTaq® G2 Hot Start DNA Polymerase (Promega, Madison, WI, USA) in a 25 µL final volume mixture including 5 µL 5× Go Colorless GoTaq® Reaction Buffer, 2.5 µL MgCl2 25 mM, 0.5 µL dNTPs mix 10 mM, 1 µL of primer rbcL_F1 (5′-GCA GCA TTC CGA GTA ACT CCT CA-3′) [24] 10 µM and 1 µL of primer rbcL_R2 (5′-TTG GTG GAG GAA CTT TAG GAC ATC-3′) 10 µM, 0.2 µL GoTaq® G2 Hot Start DNA Polymerase and 1 µL of gDNA. PCR reaction was conducted in a T1 Thermocycler (Biometra, Göttingen, Germany) using the following program: 2 min at 95 °C, 35 cycles with 30 s at 95 °C, 30 s at 60 °C, and 80 s at 72 °C, plus a final extension step at 72 °C for 5 min. Amplicons were purified using the NucleoSpin® Gel and PCR Clean-Up Kit (Macherey-Nagel, Allentown, PA, USA) and sequenced by BMR genomics (Padova, Italy). Sequences were analyzed with Finch TV 1.4.0 software; consensus sequences were built using the SeqMan software included in the package DNASTAR®. MEGA X® software was used to align the sequences and to build UPGMA dendrograms.
To quickly distinguish the “red” from “white” plants in a heterogeneous population avoiding longer and more expensive sequencing experiments, a chloroplast cpDNA-based Cleaved Amplified Polymorphic Sequence (CAPS) system was designed based on the results of the DNA barcoding marker [26]. Two non-species-specific primers were designed on the multi-species alignment of the rbcL gene sequences, namely CAPS-rbcl-F (5′-CAACTGTTTGGACTGATGGAC-3′) and CAPS-rbcl-R (5′-CGTAGATCCTCCAAACGTAGAGC-3′); only the rbcL sequence of “white” plants had a restriction site for the endonuclease TasI (AATT) (Figure S1).
The PCR of the CAPS assay was performed using the Go Taq® G2 DNA Polymerase (Promega) in a 25 µL final volume mixture adding the required reagents. Amplification was conducted using the following program: DNA denaturation for 2 min at 95 °C, 25 cycles of 30 s at 95 °C, 30 s at 55 °C, and 20 s at 72 °C, and a final extension step of 5 min at 72 °C. PCR products were purified as described above and digestion with the endonuclease TasI (ThermoFisher Scientific, Waltham, MA, USA) was set as follows: purified PCR reaction mixture (5 µL), 10× Buffer B (1 µL) and TasI (1 µL) in a total volume of 16 µL. The reaction mix was incubated at 65 °C for 1 h and the inactivation of TasI was done by incubation at 80 °C for 20 min. EDTA 0.5M pH 8.0 (0.64 µL) was added to prepare the digested DNA for electrophoresis and the run was performed in a 2% agarose gel at 75 V for 90 min. Six to ten individual plants of each population were tested with the CAPS-rbcL to validate the method and then all plants used in the following experiments were preliminarily checked with the molecular marker.
2.3. Southern Blotting with ALS Gene
The plant material consisted of one E. crus-galli population (16S) susceptible to ALS inhibitors and three E. oryzicola populations, one susceptible (161S) and two resistant to ALS inhibitors (45R and 46R) collected in two sites far away from each other. This choice was made to determine whether the different number of copies of the gene could be related to the species and/or to the resistance status and/or to the site of collection.
Seeds of each population were chemically scarified [11] and placed in soil. When seedlings were at three-leaf stage, one gram of the youngest leaf tissue (pooled from 10 plants) per population was ground in liquid nitrogen using a mortar and pestle and gDNA was extracted as described in Section 2.2.
Digoxigenin (DIG)-labeled probe was generated by amplification of a conserved region (around B domain) of the ALS gene from gDNA of susceptible plants (population 16S) using PCR DIG Probe Synthesis Mix (Roche, Basel, Switzerland) and SB-F2 (5′-TGAGTTGGATCAGCAGAAGAG-3′) and SB-R2 (5′-AAGACCTTCACTGGGAGGTTC-3′) primers. GoTaq® Flexi DNA Polymerase (Promega) was used for the amplification. To a final volume of 50 µL, the following reagents were added: 10 µL 5× Colorless GoTaq® Flexi buffer, 2 µL MgCl2 solution 25 mM, 5 µL PCR DIG Probe Synthesis Mix (Roche), 2 µL of each primer 10 µM, 2.5 U of GoTaq® Hot Start DNA Polymerase and 200 ng of gDNA. Amplification was conducted using the following program: 2 min at 95 °C, 30 cycles of 30 s at 95 °C, 30 s at 54 °C, and 40 s at 72 °C, and 5 min of final extension time at 72 °C. The probe was purified using the MinElute PCR purification kit (Qiagen, Hilden, Germany) and stored at −20 °C until the digestion with endonucleases.
Five, 6-nucleotide-recognizing endonucleases that did not cut the probe sequence were selected to perform Southern blotting analysis on the four Echinochloa populations. Three experiments were conducted: (1) gDNA of populations 16S and 45R was digested with two restriction endonucleases, HindIII (Invitrogen, Waltham, MA, USA) and EcoRV (Invitrogen); (2) gDNA of populations 16S and 45R was digested with three restriction endonucleases, XbaI (Invitrogen), KpnI (Invitrogen) and BamHI (NEB); (3) populations 16S, 161S, 45R and 46R gDNA digestion was repeated with HindIII, to confirm the results obtained in the first two experiments.
The genomic DNA (30 μg per sample) was digested overnight at 37 °C in a total volume of 400 μL, following manufacturer’s instructions for each restriction enzyme. Aliquots of the digestion were checked in 1% agarose gel and the digestion stopped when the gDNA was completely digested. DNA was precipitated and re-suspended in 30 μL of ddH2O. Digested DNA and an undigested control were run on a 0.8% agarose gel in TBE buffer overnight using the DNA molecular weight market III DIG-labeled (Roche) for reference.
The gel was immersed in HCl 0.25 M stirring for 15 min at room temperature, followed by 20 min in denaturation buffer (0.5 M NaOH, 1.5 M NaCl). It was then washed in neutralization buffer (0.5 M -Tris-HCl pH 7.5, 1.5 M NaCl) for 30 min. DNA on gel was transferred to positively charged nylon membrane (Roche) by capillary in a 20× SSC buffer (3 M NaCl, 0.3 M sodium citrate, pH 7 and autoclaved) overnight. On the following day, DNA was fixed on the membrane using the Stratalinker® UV Crosslinker with the appropriate program and the hybridization was carried out following the manufacturer’s instructions. DIG-labeled probe was hybridized at 49 °C overnight in DIG Easy Hyb solution (Roche) to detect the homologous DNA fragments on the DNA blot.
2.4. ALS Gene Sequencing and Cloning
Two cloning experiments, with different aims, were conducted. In the first one, the full-length sequences of the ALS gene of two plants of each population were cloned, sequenced and aligned to detect the SNPs and mutations endowing resistance. In the second cloning experiment, the aim was to identify the diverse ALS gene copies of each species and their phylogenetic relationships. As it is technically difficult to clone a 2 kbp amplicon, in this experiment the ALS gene was amplified and cloned in two parts: 620 bp starting from the 5′ of the gene and including the aa position 122, and 1000 bp ending at the 3′ of the gene and including the aa position 574.
Total RNA was extracted from 100 mg of one fresh young leaf using the commercial InviTrap Spin Plant RNA Mini Kit (Invitek, Berlin, Germany). cDNA was synthesized using the ImProm-IITM Reverse Transcriptase System (Promega) following the manufacturer’s instructions and the different parts of the ALS gene were amplified using the primer pairs reported in Table 1. PCR amplifications were conducted using the Advantage 2 PCR Kit (Clontech, Takara) in a 50 µL mixture of 1× Advantage 2 SA PCR Buffer, 1× dNTP mix (10 mM each), 0.2 µM of each primer, 1× Advantage 2 Polymerase Mix and 100 ng cDNA. Amplifications were conducted using the following program: 1 min at 95 °C; 35 cycles of 30 s at 95 °C, 30 s at 60 °C, and 40–120 s (depending on the length of the amplicon) at 68 °C; 3 min at 68 °C. PCR products were purified through columns using MinElute PCR purification kit (Qiagen) and cloned using the TOPO TA Cloning® kit (Invitrogen) following the manufacturer’s instructions. In the first experiment, six colonies in total were selected from two plants per population. Plasmids were extracted from E. coli bacterial cells using the PureYieldTM Plasmid Miniprep System (Promega), quantified in 1% agarose gel and sequenced with universal M13 primers and a forward primer positioned in the middle of the gene (ECH_5F). In the second experiment, 10–20 colonies were selected for each of two plants per population and only the universal M13 primers were used for the sequencing. The nucleotide sequences were edited using DNASTAR® software and phylogenetic analysis was conducted using MEGA X® software to determine specific motifs in the sequences able to distinguish the homologous gene copies. The analysis was hierarchically performed: in the first step cloned sequences of a single plant were analyzed together: then, those of different plants belonging to the same population: then, those of populations belonging to the same species and then all together.
Table 1.
List of primers used to amplify different parts of the ALS gene and their target.
2.5. Relative Expression of ALS Gene Copies
This study was used to analyze the relative expression of the ALS gene copy carrying the mutations responsible for target-site resistance to the ALS inhibitor penoxsulam (ALS1) with respect to the expression of the other ALS gene copies (ALS2-3). Comparisons were also made among populations belonging to different Echinochloa species, having different resistance pattern and collected in sites far away from each other.
Two S populations (16S and 161S) and three R populations (44R, 45R and 46R) were included in the analyses. Twenty seedlings for each population were transplanted into pots (one plant per pot) containing a soil substrate and maintained in a greenhouse until they reached the three-leaf stage. Ten plants for each population were sprayed with penoxsulam 240 g L−1 at the dose of 250 mL ha−1. After 24 h, 50–100 mg of leaf tissue was sampled from three treated (T) and three non-treated (NT) plants of each population. Total RNA was extracted using the TRIzol method [27], purified using the DNase I (Roche) and cDNA was synthesized using the SuperScript® III Reverse Transcriptase (Invitrogen) following the manufacturer’s instructions.
For qPCR analyses, specific primers for the different ALS gene copies were designed based on an ALS gene part including two allele-specific SNPs (Table 2). The resulting amplicon was 140 bp long and included a cutting site for the restriction endonuclease FokI only in ALS1. Therefore, a preliminary check was performed on cDNA samples of different Echinochloa populations to check the specificity of each primer pair.
Eight reference genes (Rubisco, Actin, 18S, CAP, Tubuline, GAPDH, EF1 and Ubiquitine) chosen among those previously tested on Echinochloa spp. [28] were tested on the cDNA of two populations (161S and 45R). Serial dilutions of cDNA template (1:100, 1:50, 1:25 and 1:6.25) were tested to set up the appropriate experimental conditions. Finally, cDNA of T and NT plants of all populations included in the experiment was tested in the qPCR analyses to determine the relative expression of the different ALS gene copies using two reference genes (Rubisco and 18S). qPCR was carried out in three technical replicates using the SYBR Green® kit in a 7300 Real-Time PCR System (Applied Biosystems, Corning, NY, USA) on 96-well plates PCR-96M2-HS-C® (Axygen, Corning, NY, USA) with a sealer MicroAmp® Optical Adhesive Film (Applied Biosystems, Corning, NY, USA). The reactions were performed in a final volume of 20 μL consisting of 10 μL of cDNA (diluted 1:25), 2 μL of 10× buffer, 1.2 μL of MgCl2 solution (50 mM), 0.5 μL of dNTPs (10 μM of each nucleotide), 2 μL of SYBR Green® (Invitrogen), 0.2 μL of ROX Reference Dye (Invitrogen), 0.1 μL of Taq Platinum® (Invitrogen) and 0.4 μL of each of the forward and reverse primers (10 μM). The amplification steps included an initial cycle of 95 °C for 5 min, followed by 40 cycles including a three-step amplification sequence (94 °C for 15 s, 60 °C for 10 s, 72 °C for 15 s), a fourth step where the instrument detects the fluorescence emitted at each cycle (60 °C for 35 s), and a final elongation step of 95 °C for 15 s and 60 °C for 60 s.
Data were analyzed using the Sequence Detection Software (SDS) 1.4 and the Ct values means, the standard deviation and confidence interval per treatment were calculated. The relative expression was calculated on the mean Ct values using the ∆Ct method [29] by the following equation:
where ∆∆Ct is the relative expression of the different ALS gene copies in our case, and the application of the result in 2−(∆∆Ct) gives the variation dimension (Relative Quantity, RQ). The Ct reference values were determined from the average of the two reference genes considered.
Table 2.
List of primers used for the study of relative expression of the different ALS gene copies.
Table 2.
List of primers used for the study of relative expression of the different ALS gene copies.
| Primer Name | Primer Sequence (5′–3′) | Target |
|---|---|---|
| F1_590Tm | GAG CAC ACA CAT ACT TGG GGC AT 1 | Forward primer, pos. 590 Specific for ALS1 |
| F2_590Cm | AGC ACA CAC ATA CTT GGG GCA C 1 | Forward primer, pos. 590 Specific for ALS2-3 |
| R1_621 | GAG CAT CTT CTT AAT TGC TGC ACG G | Reverse primer, pos. 621 Specific for ALS1 |
| R2_621 | GAG CAT CTT CTT GAT TGC TGC ACG T | Reverse primer, pos. 621 Specific for ALS2-3 |
1 Underlined, a further mismatch was introduced to improve the discrimination of the primer [30].
3. Results
3.1. Echinochloa Classification and Herbicide Resistance Patterns
The classification of the populations collected from fields based on the different classification keys led to the assignment of three populations to the “red” genus E. crus-galli (16S, 95R and 100R) due predominantly to the red color of the stems’ base and the small mean size of the seeds (Figure S2). Regarding the other four populations, using the Pignatti classification key, only population 161S could be assigned to E. erecta species. Due to the heterogeneity of plants’ traits, the other three populations (44R, 45R and 46R) could only be assigned to the “white” group. Considering the Pignatti classification key [17], they could be assigned to E. erecta and E. phyllopogon based on the absence or presence, in some plants but not in others, of hairs at the green stems’ base. According to the Costea and Tardif classification key [18], they could be assigned to E. oryzicola species based on the large mean size of the seeds (Figure S2). Finally, considering the Tabacchi and Viggiani classification key [19], they could be assigned to the E. phyllopogon or E. oryzicola genus based on the presence/absence of hairs and to the folding and colors of the leaves.
Herbicide resistance assays showed that two populations, 16S and 161S, were completely controlled by all herbicides tested (i.e., at least two ALS inhibitors and one ACCase inhibitor) (Figure S3), whereas the other five populations, 44R, 45R, 46R, 95R and 100R, showed a high level of resistance to at least one ALS inhibitor (Figure S4): populations 45R, 46R and 95R were highly cross-resistant to imazamox, azimsulfuron and penoxsulam; population 44R was highly resistant to penoxsulam and imazamox, but controlled by azimsulfuron; population 100R was only tested for resistance to penoxsulam and showed high levels of resistance.
3.2. DNA Barcoding and CAPS-rbcL
In a preliminary study [24], some typical DNA barcoding genes were analyzed on a series of previously identified Echinochloa spp. accessions (each accession was a bulk of seeds derived from a single mother plant). The sequences of rbcL obtained from two plants (A and B in Figure 1) of each of seven accessions and from nine vouchered sequences of rbcL from the database of the NCBI GenBank nucleotide were selected and aligned. Phylogenetic analysis highlighted a clear division between two groups of species, the so called “red” (E. crus-galli) and “white” (including E. phyllopogon, E. erecta and E. oryzicola) (Figure 1). The division obtained by the analyses of rbcL DNA-barcoding confirmed the results obtained using the Tabacchi and Viggiani classification key, i.e., all species belonging to the “white” group may be classified as E. oryzicola.
Figure 1.
Cladogram obtained from UPMGA estimation of nine Echinochloa rbcL sequences from GenBank database (identified by GenBank ID, e.g., KT365291.1) and 14 sequences from seven previously identified accessions (e.g., 41A and 41B are two plants derived from seeds of the same mother plant) harvested in Italian rice fields.
Amplification with the generic primers CAPS-rbcL-F and CAPS-rbcL-R produced a single band of 217 bp (Figure S5), which is cut when subjected to a digestion with the endonuclease TasI in two bands of 134 and 87 bp only in plants belonging to a “white” species (Figure S5). Among plants analyzed with the marker CAPS-rbcL for the validation of the method (42 samples in total), it was confirmed that three populations included only plants belonging to “red” species, i.e., E. crus-galli (16S, 95R and 100R), and four populations included only plants belonging to “white” species, i.e., E. oryzicola (161S, 44R, 45R and 46R), confirming the classification conducted using the dichotomous keys (Figure 2).
Figure 2.
Results of CAPS-rbcL molecular marker for a selection of samples tested: plants belonging to “white” species, E. oryzicola (161S, 44R, 45R and 46R), show the two digested bands at 134 and 87 bp, whereas plants belonging to “red” species, E. crus-galli (16S, 95R and 100R) show a single band.
3.3. Southern Blotting with ALS Gene
The DIG-labeled DNA probe of 360 bp corresponding to a conserved region including region B of the ALS gene (corresponding to amino acid positions 573–576) was used to detect the homologous fragments on genomic DNA blots. This led to quantifying the number of ALS loci in different Echinochloa species’ genomes with different herbicide resistance patterns. The experiments gave variable results depending on the endonuclease used: results of hybridization of the DNA fragments digested with HindIII in the first (Figure S6A) and third experiments (Figure 3) and with XbaI (Figure S6B) in the second one revealed that one more copy of the ALS gene was present in the E. crus-galli populations (three) compared with the E. oryzicola populations (two). Furthermore, it seems that the number of ALS gene copies was not linked to the resistant status of the populations: the three E. oryzicola plants had the same profile when digested with HindIII, with two ALS gene copies identified (Figure 3). The visible band at 21,226 bp was not considered because it corresponds to undigested genomic DNA.
Figure 3.
Southern blotting analysis on ALS gene of E. crus-galli (16S) and E. oryzicola (161S, 45R and 46R) genomic DNA extracted from leaf tissue. DNA samples of different populations (reported on the top) were digested with the enzyme HindIII. The numbers on the left show the DIG-labeled molecular ladder. Circles indicate the copies of the ALS gene in the different species.
3.4. ALS Gene Sequencing and Cloning
Analysis of the alignment of cDNA full-length ALS cloned sequences identified many SNPs (data not shown). They may be associated with the presence of homologous copies of the gene that could be subjected to natural modification during evolution. The SNPs detected that are associated with known mutations responsible for ALS inhibitors resistance [31] were analyzed individually. Two such mutations were found: in position 122 a double point mutation GG-AA, giving the amino acid change Ala-Asn, was detected in the resistant populations 95R and 100R of E. crus-galli, and at position 574, a point mutation G-T, giving the amino acid change Trp-Leu, was found in the resistant plants of E. oryzicola populations 44R, 45R and 46R.
Phylogenetic analysis of the full-length cloned sequences allowed the homologous gene copies to be distinguished in the different species. The first step of the analyses included the clones of single plants: an example cladogram including six selected clones of the 16S-1 plant and six clones of the 45R-4 plant (Figure 4A) showed that three clusters are distinguishable: ALS1 includes clones of both plants (the three clones from pop 45R carry the point mutation Trp574Leu), ALS2 includes only sequences of the 45R population (which did not carry the point mutation at 574) and ALS3 includes only clones of the population 16S. If more full-length cloned sequences of the E. crus-galli 16S population are considered (Figure 5A), they are distributed across all three ALS gene clusters. These results are in line with the results obtained with the Southern blotting analyses, which identified two ALS copies for E. oryzicola and three for E. crus-galli (Figure 3).

Figure 4.
(A) Cladogram obtained from UPMGA estimation of twelve ALS full-length clone sequences, six of the S sample 16-1 (population 16S plant 1) and six of the R sample 45-4A (population 45R plant 4A), using MEGA X®; the mutation Trp574Leu was detected in all the sequences of the ALS1 of R samples; (B) cladogram obtained from UPMGA estimation of 79 ALS partial clone sequences starting from 3′-end belonging to the E. oryzicola populations 161S, 44R and 45R, using MEGA X®. The corresponding sequences in ALS1 and ALS2 are highlighted in blue and orange, respectively. Sequences in blue of population 45R carry the mutation 574, other sequences mutated are present in ALS1 but are not highlighted to avoid confusion.

Figure 5.
(A) Cladogram obtained from UPMGA estimation of full-length clone sequences, five of the plant 16L-1 and five of the plant 16L-4 (both plants of S E. crus-galli population 16S) using MEGA X®; these clones were used to define the different ALS gene copies in the R populations of the E. crus-galli species; (B) cladogram obtained from UPMGA estimation of 46 ALS partial clone sequences starting from 5′-end belonging the E. crus-galli populations 16S, 95R and 100R, using MEGA X®; the mutated clones of E. crus-galli populations 95R and 100R are highlighted in red; the sequences of population 16S present in the cladogram of (A) are highlighted in blue (ALS1), orange (ALS2) and green (ALS3), respectively, in the cladogram of (B).
Analyses of the partial sequences of the ALS gene clones identified two and three ALS gene copies for populations belonging to the E. oryzicola and E. crus-galli species, respectively. Figure 4B reports the cladogram obtained from the alignment and phylogenetic analyses of 79 partial sequences obtained from the amplification of the 3′ part of the ALS gene of plants belonging to the E. oryzicola populations 161S, 44R and 45R. Meanmhile, Figure 5B reports a cladogram that includes 46 partial sequences obtained from the amplification of the 5′ part of the ALS gene of plants belonging to the E. crus-galli populations 16S, 95R and 100R. To identify the different gene copies in the cladogram of the partial sequences, the full-length sequences of population 45R for E. oryzicola reported in Figure 4A and those of population 16S for E. crus-galli reported in Figure 5A were used. To identify in which ALS gene copy the mutations 122 and 574 were present, only the 3′-end and 5′-end of the full-length sequences were aligned with the partial sequences of the second cloning experiment. Comparing the clustering of the selected sequences in Figure 4A,B (for E. oryzicola) and in Figure 5A,B (for E. crus-galli), it was possible to conclude that the ALS1 gene copy is the one carrying the mutation in both species (for clarity corresponding clones present in both cladograms are highlighted; furthermore, in the cladogram of E. crus-galli 5′-end sequences, clones including the 122 mutation are highlighted because the correspondence of full-length and partial sequences was achieved using the sequences of susceptible population 16S).
Confirmation of the clustering of ALS homologous genes was obtained with the alignment of 138 cloned partial sequences of the 3′-end of the ALS gene for all populations included in the analyses (Figure S7). Three homologs were identified, 55% of the sequences clustered in ALS1, 30% in ALS2 and 15% in ALS3. In ALS3, only sequences from E. crus-galli populations are present, and all mutated clones from both species clustered in ALS1.
3.5. Relative Expression of ALS Gene Copies
The sequence analyses identified several SNPs among the different gene copies that can be used to distinguish ALS1 from ALS2-3 and for the design of allele-specific primers for the ALS gene copy expression analysis (Table 2). Two SNPs in positions 590 (T/C) and 621 (C/A) of the aa sequences of the ALS gene were detected to specifically identify ALS1 (the copy of the gene that carries the mutations responsible for target-site resistance) from the other homologs (ALS2-3).
Among the eight reference genes analyzed, the two with higher expression, on average, higher and with more primer specificity were chosen as reference genes for the gene expression study, i.e., Rubisco and 18S (an example of amplification plot and dissociation curves obtained for these two genes is reported in Figure S8, whereas all graphs were stored in a dedicated repository [32]). From these reference genes, a robust expression profile for the quantitative expression was obtained of the gene of interest (ALS) and, in particular, of the relative expression of the different ALS gene copies (ALS1 and ALS2-3). The Ct values of the two reference genes were very similar for all populations (Figure S9), from 19.6 to 24.9 for Rubisco and from 20.4 to 23.7 for 18S, and in both treated and untreated plants. Therefore, the mean values of the two reference genes were used for the calculation of the relative expression of the ALS alleles.
The specificity of the primers designed for ALS1 and ALS2-3 was confirmed by the endonuclease analyses performed with FokI (Figure S10): only the amplicon obtained from cDNA samples amplified with the primers F1_590Tm+R1_621 (Table 2) was cut to produce a band of 105 bp, whereas the same cDNA samples amplified with the primers F2_590Cm+R2_621 produced the expected amplicon of 140 bp, which was not cut by FokI. A combination of the two bands was never observed, confirming the specificity of the primer pairs.
Amplification plots obtained from the qPCR analyses of ALS genes with the specific primers indicated that all samples had high template levels, i.e., curves with Ct from 23 to 34 (an example of amplification plot and dissociation curves obtained for ALS1 and ALS2-3 is reported in Figure S11), whereas graphs for all other populations tested were stored in a dedicated repository [32]. On the right of the amplification plot, under the threshold line (green), it is possible to see the amplification of the non-template control (checks including only water). Dissociation curves showed that non-specific products were not amplified by the F1_590Tm + R1_621 primer pair, whereas some secondary peaks are visible in the graph of ALS2-3, most likely indicating some formation of primer dimers. The problem was limited to a few plant replicates, which were removed from the analyses.
The ∆Ct method allows us to relatively quantify (RQ) the expression of genes of interest (ALS1 and ALS2-3 in our case) with respect to reference genes (Rubisco and 18S) choosing as a base the expression of a sample called the “calibrator” (in our case the susceptible non-treated). With two susceptible populations in the experiment (16S and 161S), data were elaborated using the untreated plants of both populations as the calibrator. Ct data showed that the two susceptible populations are slightly different (Figure 6): Ct values were comparable if treated samples were considered (28.3 and 27.6 for population 16S and 161S, respectively) and no differences were reported between ALS1 and ALS 2-3, whereas Ct values for non-treated samples were higher for population 161S. For non-treated samples of both S populations, Ct values were slightly lower for ALS1 compared to ALS2-3, indicating that the expression of ALS1 was higher (Figure 6).
Figure 6.
Ct of ALS1 and ALS2-3 amplified on the susceptible populations, 16S and 161S. Hatched bars indicate the mean values of the untreated plants, whereas dotted bars indicate the mean values of the treated plants. Thin bars represent the standard errors.
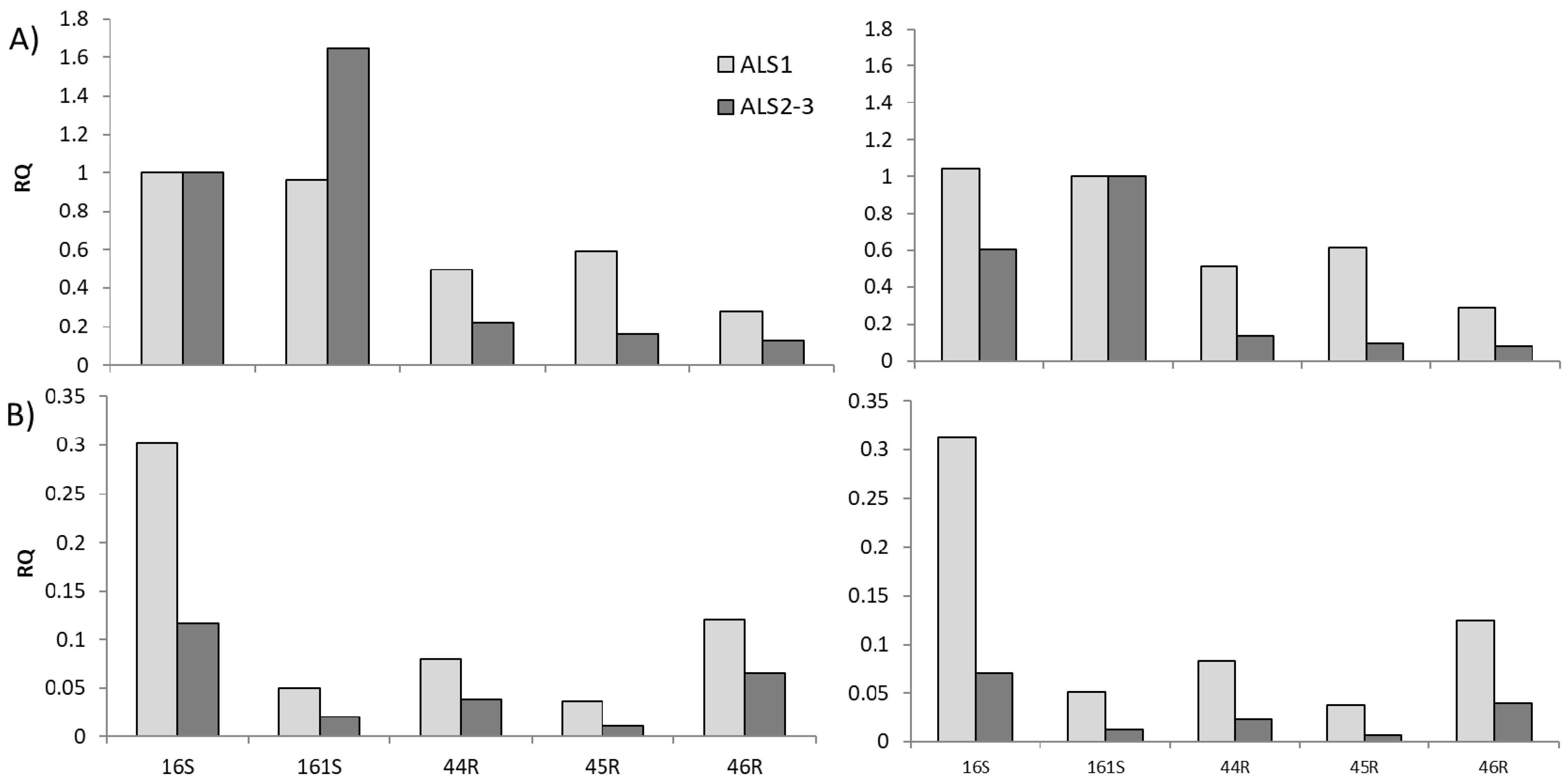
Relative expression data of the different ALS gene copies are reported in Figure 7 for the untreated (Figure 7A) and herbicide treated plants (Figure 7B). The untreated plants showed base level expression for the different alleles, suggesting that in non-stressed plants, ALS1 is, on average, more expressed than ALS2-3. In the treated samples, these differences were highlighted also in the susceptible populations (Figure 7B).
Figure 7.
Relative expression (RQ) of the ALS gene copies (ALS1 light grey bars and ALS2-3 dark grey bars) in the (A) untreated plants and (B) treated plants. The mean data of the two reference genes, Rubisco and 18S, were considered and the untreated control of populations 16S and 161S on the left and right graphs, respectively, were used as calibrator.
4. Discussion
In this study we considered a series of Echinochloa spp. populations collected in rice fields from different areas of Italy with a broad high resistance level to ALS inhibitors. In fact, both phenotypes associated with Ala122Asn and Trp574Leu mutations showed, on average, high resistance levels to all ALS inhibitors tested: penoxsulam, azimsulfuron and imazamox (note that population 100R was tested only for resistance to penoxsulam, therefore no speculation can be made regarding the other ALS inhibitors). An exception was population 44R which showed a slightly different pattern, it was cross-resistant to imazamox and penoxsulam but controlled by azimsulfuron. Furthermore, population 44R was one of the first cases of Echionochloa resistant to the ACCase inhibitor profoxydim detected in Italy [11]. The broad cross-resistance pattern was previously found in other species for mutations in position 122 [33] and also in Echinochloa spp. carrying a mutation in position 574 [11,12], whereas the resistance pattern of population 44R was firstly associated with the mutation in position 574 [31].
The aim of this study was to clearly identify the main Echinochloa species involved in ALS inhibitors resistance in Italian rice fields and to characterize the associated target-site resistance mechanism. Previous studies identified mutations on the ALS gene associated with herbicide resistance, but information about the effect of mutations on the different genomes of this polyploid genus is not available. The morphological observations made according to different classification keys and the molecular data obtained analyzing the rbcL gene of several Echinochloa populations indicate that the two prevalent Echinochloa species infesting Italian rice fields are E. crus-galli and E. oryzicola. This conclusion is supported also by the studies on ITS and cpDNA conducted by Aoki and Hirofumi on several Echinochloa spp. accessions collected in Japan [34]. They demonstrated that E. phyllopogon and E. oryzicola belong to the same species (i.e., similar morphological, cytogenetic, and isozymic features, as well as cross-compatibility) and, therefore, E. phyllopogon is a synonym of E. oryzicola.
DNA-blotting analysis revealed differences in the ALS gene locus number in the different populations investigated. The results of the hybridization of DNA fragments cut with HindIII showed that two copies of the ALS gene are present in the genome of the E. oryzicola susceptible population 161S and resistant populations 45R and 46R, whereas one more copy was detected in the genome of the E. crus-galli susceptible population 16S. These results were confirmed by the ALS gene cloning analyses, which revealed the presence of two shared homologs in all species (ALS1 and ALS2) to which a third copy (ALS3) was added when E. crus-galli populations were included as described also by Runge et al. [35]. The differences in the gene copy numbers are in accordance with the genetic background of E. crus-galli (6n), which is assumed to be evolutionarily derived from interspecific crossing between tetraploid E. oryzicola (4n) and an unidentified diploid Echinochloa spp. (2n) [16]. The additional ALS gene whose orthologue is not in E. oryzicola is likely from the genome of the unidentified diploid Echinochloa spp.
ALS1 was demonstrated to be the gene copy that carries the mutations responsible for target-site resistance. In a study on E. crus-galli [36] it was asserted that all three ALS gene copies identified are involved in the evolution of target-site resistance, even if the results showed that mainly one ALS gene copy (named ALS3) was involved in conferring resistance. This second finding is in line with our qPCR results which identified ALS1 as the gene copy, on average, that was more expressed in both non-treated and herbicide treated samples. Another study on a different weed, Monochoria vaginalis, identified five copies of ALS genes, two of which contributed to the evolution of target-site resistance and were largely more abundant than the other ALS gene copies [37].
It seems that in Echinochloa spp. the higher expression of ALS1 was not linked neither to the species, nor to the resistance status or the origin of the populations. ALS1 was expressed more highly in both population 16S, which belongs to E. crus-galli and in all other populations that belong E. oryzicola. At the same time, ALS1 was expressed more highly in both susceptible, 16S and 161S, and resistant populations 44R, 45R and 46R, which are originated from different parts of Italy. The relatively higher expression of ALS1 was expected considering the outcome of the cloning of the ALS gene. It was observed that, at least for E. oryzicola, ALS1 clones were preferentially selected in the random sampling over ALS2 clones.
The identification of resistance-endowing mutations only in ALS1 is not entirely unexpected [38], since this copy was also found to be the most highly expressed. In a polyploid species with multiple ALS copies, a dilution effect will occur if only one of the copies carries resistance [15,39,40]. The less the resistance-conferring gene is expressed, relative to the other copies, the greater the dilution will be, resulting in a lower level of resistance. Instead, in Avena fatua [39] single ACCase resistance mutations confer relatively low resistance levels, likely due to a dilution effect by susceptible ACCase expressed by homoeologs which led to a slow resistance evolution. The lack of dilution effect observed in Echinochloa spp. [36] may be associated with the rapid evolution of resistance seen in recent years in these species.
Although NTSR mechanisms cannot be ruled out [10,41], TS ALS1 mutations seem to be the most evolutionarily favored mechanism endowing ALS inhibitor resistance in Echinochloa spp. It would be interesting to conduct a broader survey of Echinochloa spp. to determine whether resistance-conferring mutations in the other ALS copies are occasionally present and, if so, to quantify the level of whole-plant resistance that they confer. Other questions that would be interesting to answer are: which ancestral genome does ALS1 belong to? In the case of multiple-resistance, do different resistance-endowing variations occur on the same ancestral genome?
Supplementary Materials
The following are available online at https://www.mdpi.com/article/10.3390/genes12111841/s1, Table S1: Information on the populations included in the studies, Figure S1: Alignment of partial rbcL sequences of “white” (E. oryzicola, OR) and “red”(E. crus-galli, CG) species, Figure S2: Morphological characteristics used to distinguish Echinochloa species, Figure S3: Results of screening test on susceptible populations, Figure S4: Results of screening test on resistant populations, Figure S5. Scheme of gDNA-based molecular marker CAPS-rbcL, Figure S6: Results of the first two Southern blotting analyses, Figure S7: Cladogram including sequences from both E. crus-galli and E. oryzicola populations, Figure S8: qPCR results for reference genes, Figure S9: Ct of reference genes amplified on the different populations included in the experiment, Figure S10: Digestion with the endonuclease FokI, Figure S11: qPCR results for ALS genes.
Author Contributions
Conceptualization, S.P. and L.S.; methodology, S.P., E.M., P.J.T. and G.D.; validation, S.P. and A.M.; formal analysis, S.P., E.M. and G.D.; investigation, S.P.; resources, M.S., P.J.T. and A.J.M.; data curation, S.P.; writing—original draft preparation, S.P.; writing—review and editing, all authors; visualization, S.P.; supervision, M.S., P.J.T. and A.J.M.; project administration, S.P. and M.S.; funding acquisition, M.S. All authors have read and agreed to the published version of the manuscript.
Funding
This research was supported by the National Research Council of Italy (CNR). The first author, S.P., received a grant from the Gini Foundation for an exchange program at the University of Illinois (USA) and a Short-Term Mobility grant from CNR for the research study period spent at the Federal University of Rio Grande do Sul (Brazil).
Institutional Review Board Statement
Not applicable.
Data Availability Statement
The data presented in this study are openly available in “qPCR data of ALS gene copies expression in Echinochloa spp.” at [32].
Acknowledgments
The authors are grateful to Alison Garside for revising the English text and thank GIRE members for collecting Echinochloa spp. seed samples.
Conflicts of Interest
The authors declare no conflict of interest.
References
- Michael, P.W. Taxonomy and distribution of Echinochloa species with special reference to their occurrence as weeds of rice. In Proceedings of the Conference on Weed Control in Rice, Los Baños, Philippines, 31 August–4 September 1983; pp. 291–306. [Google Scholar]
- Tabacchi, M.; Mantegazza, R.; Spada, A.; Ferrero, A. Morphological traits and molecular markers for classification of Echinochloa species from Italian rice fields. Weed Sci. 2006, 54, 1086–1093. [Google Scholar] [CrossRef]
- Yamasue, Y. Strategy of Echinochloa oryzicola Vasing. for survival in flooded rice. Weed Biol. Manag. 2001, 1, 28–36. [Google Scholar] [CrossRef]
- Maun, M.A.; Barrett, S.C.H. The biology of Canadian weeds: 77. Echinochloa crus-galli (L.) Beauv. Can. J. Plant Sci. 1986, 66, 739–759. [Google Scholar] [CrossRef]
- Tranel, P.J.; Wright, T.R. Resistance of weeds to ALS-inhibiting herbicides: What have we learned? Weed Sci. 2002, 50, 700–712. [Google Scholar] [CrossRef]
- Scarabel, L.; Cenghialta, C.; Manuello, D.; Sattin, M. Monitoring and management of imidazolinone-resistant red rice (Oryza sativa L., var. sylvatica) in Clearfield® Italian Paddy Rice. Agronomy 2012, 2, 371–383. [Google Scholar]
- Yu, Q.; Powles, S.B. Resistance to AHAS inhibitor herbicides: Current understanding. Pest Manag. Sci. 2014, 70, 1340–1350. [Google Scholar] [CrossRef]
- Riar, D.S.; Norsworthy, J.K.; Srivastava, V.; Nandula, V.; Bond, J.A.; Scott, R.C. Physiological and molecular basis of acetolactate synthase-inhibiting herbicide resistance in barnyardgrass (Echinochloa crus-galli). J. Agric. Food Chem. 2013, 61, 278–289. [Google Scholar] [CrossRef]
- Panozzo, S.; Scarabel, L.; Rosan, V.; Sattin, M. A new Ala-122-Asn amino acid change confers decreased fitness to ALS-resistant Echinochloa crus-galli. Front. Plant Sci. 2017, 8, 2042. [Google Scholar] [CrossRef] [Green Version]
- Délye, C.; Causse, R.; Gautier, V.; Poncet, C.; Michel, S. Using next-generation sequencing to detect mutations endowing resistance to pesticides: Application to acetolactate-synthase (ALS)-based resistance in barnyard grass, a polyploid grass weed. Pest Manag. Sci. 2015, 71, 675–685. [Google Scholar] [CrossRef]
- Panozzo, S.; Scarabel, L.; Tranel, P.J.; Sattin, M. Target-site resistance to ALS inhibitors in the polyploid species Echinochloa crus-galli. Pestic. Biochem. Physiol. 2013, 105, 93–101. [Google Scholar] [CrossRef]
- Kaloumenos, N.S.; Chatzilazaridou, S.L.; Mylona, P.V.; Polidoros, A.N.; Eleftherohorinos, I.G. Target-site mutation associated with cross-resistance to ALS-inhibiting herbicides in late watergrass (Echinochloa oryzicola Vasing.). Pest Manag. Sci. 2013, 69, 865–873. [Google Scholar] [CrossRef]
- Yabuno, T. Biosystematic study of the genus Echinochloa. Jpn. J. Bot. 1966, 19, 277–323. [Google Scholar]
- Scarabel, L.; Locascio, A.; Furini, A.; Sattin, M.; Varotto, S. Characterisation of ALS genes in the polyploid species Schoenoplectus mucronatus and implications for resistance management. Pest Manag. Sci. 2010, 66, 337–344. [Google Scholar] [CrossRef]
- Iwakami, S.; Uchino, A.; Watanabe, H.; Yamasue, Y.; Inamura, T. Isolation and expression of genes for acetolactate synthase and acetyl-CoA carboxylase in Echinochloa phyllopogon, a polyploid weed species. Pest Manag. Sci. 2012, 68, 1098–1106. [Google Scholar] [CrossRef]
- Iwakami, S.; Hashimoto, M.; Matsushima, K.I.; Watanabe, H.; Hamamura, K.; Uchino, A. Multiple-herbicide resistance in Echinochloa crus-galli var. formosensis, an allohexaploid weed species, in dry-seeded rice. Pestic. Biochem. Physiol. 2015, 119, 1–8. [Google Scholar]
- Pignatti, S. Flora d’Italia; Edagricole: Bologna, Italy, 1982. [Google Scholar]
- Costea, M.; Tardif, F.J. Taxonomy of the most common weedy european Echinochloa species (poaceae: Panicoideae) with special emphasis on characters of the lemma and caryopsis. SIDA Contrib. Bot. 2002, 20, 525–548. [Google Scholar]
- Viggiani, P.; Tabacchi, M. Piante Infestanti di Risaie e Canali; Edagricole: Bologna, Italy, 2017. [Google Scholar]
- Panozzo, S.; Scarabel, L.; Collavo, A.; Sattin, M. Protocols for robust herbicide resistance testing in different weed species. J. Vis. Exp. 2015, 101, e52923. [Google Scholar] [CrossRef] [Green Version]
- Kumar, S.; Stecher, G.; Li, M.; Knyaz, C.; Tamura, K. MEGA X: Molecular evolutionary genetics analysis across computing platforms. Mol. Biol. Evol. 2018, 35, 1547–1549. [Google Scholar] [CrossRef]
- CBOL Plant Working Group; Hollingsworth, P.M.; Forrest, L.L.; Spouge, J.L.; Hajibabaei, M.; Ratnasingham, S.; van der Bank, M.; Chase, M.W.; Cowan, R.S.; Erickson, D.L.; et al. A DNA barcode for land plants. Proc. Natl. Acad. Sci. USA 2009, 106, 12794–12797. [Google Scholar]
- Newmaster, S.G.; Fazekas, A.J.; Ragupathy, S. DNA barcoding in land plants: Evaluation of rbcL in a multigene tiered approach. Can. J. Bot. Can. Bot. 2006, 84, 335–341. [Google Scholar] [CrossRef] [Green Version]
- Mascanzoni, E. Epidemiology of Herbicide Resistance Evolution in Rice Weeds and Variability in Echinochloa spp. Ph.D. Thesis, University of Padova, Legnaro, Italy, 2018. Available online: http://paduaresearch.cab.unipd.it/11446/1/Elisa_Mascanzoni_Tesi.pdf (accessed on 25 September 2021).
- Doyle, J.J.; Doyle, J.L. CTAB DNA extraction in plants. Phytochem. Bull. 1987, 19, 11–15. [Google Scholar]
- Haider, N.; Wilkinson, M.J. Caps DNA barcoding for field laboratory identification of grass species (British grasses as a model). Agriculture 2020, 66, 74–86. [Google Scholar] [CrossRef]
- Simms, D.; Cizdziel, P.; Chomczynski, P. TRIzol: A new reagent for optimal single-step isolation of RNA. Focus 1993, 15, 99–102. [Google Scholar]
- Dalazen, G.; Markus, C.; Merotto Jr, A. Differential expression of genes associated with degradation enhancement of imazethapyr in barnyardgrass (Echinochloa crus-galli). J. Agric. Sci. 2018, 10, 389–401. [Google Scholar] [CrossRef]
- Dussault, A.A.; Pouliot, M. Rapid and simple comparison of messenger RNA levels using real-time PCR. Biol. Proced. Online 2006, 8, 1–10. [Google Scholar] [CrossRef] [Green Version]
- You, F.M.; Huo, N.; Gu, Y.Q.; Luo, M.C.; Ma, Y.; Hane, D.; Lazo, G.R.; Dvorak, J.; Anderson, O.D. BatchPrimer3: A high throughput web application for PCR and sequencing primer design. BMC Bioinform. 2008, 9, 253. [Google Scholar] [CrossRef] [PubMed] [Green Version]
- Tranel, P.J.; Wright, T.R.; Heap, I.M. Mutations in Herbicide-Resistant Weeds to Inhibition of Acetolactate Synthase. Available online: http://www.weedscience.com (accessed on 5 October 2021).
- Panozzo, S. qPCR data of ALS gene copies expression in Echinochloa spp. Mendeley Data 2021. [Google Scholar] [CrossRef]
- Han, H.; Yu, Q.; Purba, E.; Li, M.; Walsh, M.; Friesen, S.; Powles, S.B. A novel amino acid substitution Ala-122-Tyr in ALS confers high-level and broad resistance across ALS-inhibiting herbicides. Pest Manag. Sci. 2012, 68, 1164–1170. [Google Scholar] [CrossRef] [PubMed]
- Aoki, D.; Yamaguchi, H. Genetic relationship between Echinochloa crus-galli and Echinochloa oryzicola accessions inferred from internal transcribed spacer and chloroplast DNA sequences. Weed Biol. Manag. 2008, 8, 233–242. [Google Scholar] [CrossRef]
- Runge, F.; Keil, S.; Löbmann, A.; Petersen, J.; Brändle, F. Methods for investigating allele frequencies and distribution in the acetolactate-synthase (ALS) gene in target-site-resistant Echinochloa crus-galli. Jul. Kühn Arch. 2020, 464, 477–485. [Google Scholar]
- Löbmann, A.; Schulte, M.; Runge, F.; Christen, O.; Petersen, J. Occurrence, resistance factors and cross-resistance patterns to herbicides inhibiting acetolactate synthase (ALS) of Echinochloa crus-galli (L.) Pal. Beauv. in Central Europe. J. Plant Dis. Prot. 2021, 128, 843–852. [Google Scholar] [CrossRef]
- Tanigaki, S.; Uchino, A.; Okawa, S.; Miura, C.; Hamamura, K.; Matsuo, M.; Yoshino, N.; Ueno, N.; Toyama, Y.; Fukumi, N.; et al. Gene expression shapes the patterns of parallel evolution of herbicide resistance in the agricultural weed Monochoria vaginalis. New Phytol. 2021, 232, 928–940. [Google Scholar] [CrossRef]
- Ghio, C.; Ramos, M.L.; Altieri, E.; Bulos, M.; Sala, C.A. Molecular characterization of Als1, an acetohydroxyacid synthase mutation conferring resistance to sulfonylurea herbicides in soybean. Theor. Appl. Genet. 2013, 126, 2957–2968. [Google Scholar] [CrossRef] [PubMed]
- Yu, Q.; Ahmad-Hamdani, M.S.; Han, H.; Christoffers, M.J.; Powles, S.B. Herbicide resistance-endowing ACCase gene mutations in hexaploid wild oat (Avena fatua): Insights into resistance evolution in a hexaploid species. Heredity 2013, 110, 220–231. [Google Scholar] [CrossRef] [PubMed] [Green Version]
- Breccia, G.; Vega, T.; Felitti, S.A.; Picardi, L.; Nestares, G. Differential expression of acetohydroxyacid synthase genes in sunflower plantlets and its response to imazapyr herbicide. Plant Sci. 2013, 208, 28–33. [Google Scholar] [CrossRef] [PubMed]
- Matzenbacher, F.O.; Bortoly, E.D.; Kalsing, A.; Merotto, A. Distribution and analysis of the mechanisms of resistance of barnyardgrass (Echinochloa crus-galli) to imidazolinone and quinclorac herbicides. J. Agric. Sci. 2015, 153, 1044–1058. [Google Scholar] [CrossRef]
Publisher’s Note: MDPI stays neutral with regard to jurisdictional claims in published maps and institutional affiliations. |
© 2021 by the authors. Licensee MDPI, Basel, Switzerland. This article is an open access article distributed under the terms and conditions of the Creative Commons Attribution (CC BY) license (https://creativecommons.org/licenses/by/4.0/).