Identification of Genomic Regions Controlling Chalkiness and Grain Characteristics in a Recombinant Inbred Line Rice Population Based on High-Throughput SNP Markers
Abstract
1. Introduction
2. Materials and Methods
2.1. Plant Material
2.2. Measurement of Grain Characteristics
2.3. Scanning Electron Microscopy
2.4. Correlation of Grain Characteristics in the RIL Population
2.5. Genotyping
2.6. Linkage Map Construction and QTL Analysis
2.7. Identification of Candidate Genes within the QTL Regions
3. Results
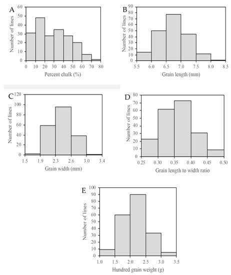
3.1. Distribution of Grain Characteristics in the RIL Population
3.2. Morphology of Starch Granules
3.3. Correlation of Grain Characteristics in the RIL Population
3.4. QTLs for Percent Chalk (PC)
3.5. QTLs for Grain Length (GL)
3.6. QTLs for Grain Width (GW)
3.7. QTLs for Hundred Grain Weight (HGW)
3.8. QTLs for Grain Length to Width Ratio (RGLW)
4. Discussion
5. Conclusions
Author Contributions
Funding
Institutional Review Board Statement
Informed Consent Statement
Data Availability Statement
Acknowledgments
Conflicts of Interest
References
- Sasaki, T.; International Rice Genome Sequencing Project. The map-based sequence of the rice genome. Nature 2005, 436, 793–800. [Google Scholar] [CrossRef] [PubMed]
- Mané, I.; Bassama, J.; Ndong, M.; Mestres, C.; Diedhiou, P.M.; Fliedel, G. Deciphering urban consumer requirements for rice quality gives insights for driving the future acceptability of local rice in Africa: Case study in the city of Saint-Louis in senegal. Food Sci. Nutr. 2021, 9, 1614–1624. [Google Scholar] [CrossRef] [PubMed]
- Ebron, G. In search of the perfect grain. Rice Today 2013, 12, 15–17. [Google Scholar]
- Fitzgerald, M.; McCouch, S.R.; Hall, R. Not just a grain of rice: The quest for quality. Trends Plant Sci. 2009, 14, 133–139. [Google Scholar] [CrossRef]
- Luo, Y.K.; Zhu, Z.W.; Chen, N.G.; Dunan, B.W.; Zhang, L.P. Grain types and related quality characteristics of rice in China. Chin. J. Rice Sci. 2004, 18, 135–139. [Google Scholar]
- Juliano, B.O.; Villareal, C.P. Grain Quality Evaluation of World Rice; International Rice Research Institute: Manila, Philippines, 1993. [Google Scholar]
- Siebenmorgen, T.J.; Grigg, B.C.; Lanning, S.B. Impacts of Preharvest Factors During Kernel Development on Rice Quality and Functionality. Annu. Rev. Food Sci. Technol. 2013, 4, 101–115. [Google Scholar] [CrossRef]
- Singh, N.; Sodhi, N.; Kaur, M.; Saxena, S. Physico-chemical, morphological, thermal, cooking and textural properties of chalky and translucent rice kernels. Food Chem. 2003, 82, 433–439. [Google Scholar] [CrossRef]
- Cheng, F.; Zhong, L.; Wang, F.; Zhang, G. Differences in cooking and eating properties between chalky and translucent parts in rice grains. Food Chem. 2005, 90, 39–46. [Google Scholar] [CrossRef]
- Satoh, H.; Omura, T. New Endosperm Mutations Induced by Chemical Mutagens in Rice Oryza sativa L. Jpn. J. Breed. 1981, 31, 316–326. [Google Scholar] [CrossRef]
- Tan, Y.F.; Xing, Y.Z.; Li, J.X.; Yu, S.B.; Xu, C.G.; Zhang, Q. Genetic bases of appearance quality of rice grains in Shanyou 63, an elite rice hybrid. Theor. Appl. Genet. 2000, 101, 823–829. [Google Scholar] [CrossRef]
- Li, J.; Xiao, J.; Grandillo, S.; Jiang, L.; Wan, Y.; Deng, Q.; Yuan, L.; McCouch, S.R. QTL detection for rice grain quality traits using an interspecific backcross population derived from cultivated Asian (O. sativa L.) and African (O. glaberrima S.) rice. Genome 2004, 47, 697–704. [Google Scholar] [CrossRef]
- Ashida, K.; Iida, S.; Yasui, T. Morphological, Physical, and Chemical Properties of Grain and Flour from Chalky Rice Mutants. Cereal Chem. J. 2009, 86, 225–231. [Google Scholar] [CrossRef]
- Pandey, M.K.; Rani, N.S.; Madhav, M.S.; Sundaram, R.; Varaprasad, G.; Ranjani, S.; Bohra, A.; Kumar, G.R.; Kumar, A. Different isoforms of starch-synthesizing enzymes controlling amylose and amylopectin content in rice (Oryza sativa L.). Biotechnol. Adv. 2012, 30, 1697–1706. [Google Scholar] [CrossRef]
- Counce, P.A.; Bryant, R.J.; Bergman, C.J.; Bautista, R.C.; Wang, Y.-J.; Siebenmorgen, T.J.; Moldenhauer, K.A.K.; Meullenet, J.-F.C. Rice Milling Quality, Grain Dimensions, and Starch Branching as Affected by High Night Temperatures. Cereal Chem. J. 2005, 82, 645–648. [Google Scholar] [CrossRef]
- Yamakawa, H.; Hirose, T.; Kuroda, M.; Yamaguchi, T. Comprehensive Expression Profiling of Rice Grain Filling-Related Genes under High Temperature Using DNA Microarray. Plant Physiol. 2007, 144, 258–277. [Google Scholar] [CrossRef] [PubMed]
- Lanning, S.B.; Siebenmorgen, T.J.; Counce, P.A.; Ambardekar, A.A.; Mauromoustakos, A. Extreme nighttime air temperatures in 2010 impact rice chalkiness and milling quality. Field Crop. Res. 2011, 124, 132–136. [Google Scholar] [CrossRef]
- Ambardekar, A.A.; Siebenmorgen, T.J.; Counce, P.A.; Lanning, S.B.; Mauromoustakos, A. Impact of field-scale nighttime air temperatures during kernel development on rice milling quality. Field Crop. Res. 2011, 122, 179–185. [Google Scholar] [CrossRef]
- Del Rosario, A.R.; Briones, V.P.; Vidal, A.J.; Juliano, B.O. Composition and endosperm structure of developing and mature rice kernel. Cereal Chem. 1968, 45, 225–235. [Google Scholar]
- Childs, N. Rice Yearbook 2016. USDA ERS. Available online: www.ers.usda.gov/data-products/rice-yearbook.aspx (accessed on 19 August 2021).
- Nagato, K.; Ebata, M. Studies on White-Core Rice Kernel: II. On the physical properties of the kernel. Jpn. J. Crop. Sci. 1959, 28, 46–50. [Google Scholar] [CrossRef]
- Chun, A.; Song, J.; Kim, K.-J.; Lee, H.-J. Quality of head and chalky rice and deterioration of eating quality by chalky rice. J. Crop. Sci. Biotechnol. 2009, 12, 239–244. [Google Scholar] [CrossRef]
- Lisle, A.J.; Martin, M.; Fitzgerald, M.A. Chalky and Translucent Rice Grains Differ in Starch Composition and Structure and Cooking Properties. Cereal Chem. J. 2000, 77, 627–632. [Google Scholar] [CrossRef]
- Kang, H.-G.; Park, S.; Matsuoka, M.; An, G. White-core endosperm floury endosperm-4 in rice is generated by knockout mutations in the C4-type pyruvate orthophosphate dikinase gene (OsPPDKB). Plant J. 2005, 42, 901–911. [Google Scholar] [CrossRef] [PubMed]
- Singh, N.; Kaur, L.; Sandhu, K.S.; Kaur, J.; Nishinari, K. Relationships between physicochemical, morphological, thermal, rheological properties of rice starches. Food Hydrocoll. 2006, 20, 532–542. [Google Scholar] [CrossRef]
- Fujita, N.; Yoshida, M.; Kondo, T.; Saito, K.; Utsumi, Y.; Tokunaga, T.; Nishi, A.; Satoh, H.; Park, J.-H.; Jane, J.-L.; et al. Characterization of SSIIIa-Deficient Mutants of Rice: The Function of SSIIIa and Pleiotropic Effects by SSIIIa Deficiency in the Rice Endosperm. Plant Physiol. 2007, 144, 2009–2023. [Google Scholar] [CrossRef] [PubMed]
- Kumar, A.; Yingling, S.; Ruiz, C.; Dwiningsih, Y.; Gupta, C.; Thomas, J.; Counce, P.; Moldenhauer, K.A.K.; Siebenmorgen, T.J.; Pereira, A. Screening of Indica and Japonica Rice Subspesies for Grain Yield and Quality under High Nighttime Temperature; Arkansas Agricultural Experiment Station, University of Arkansas System: Fayetteville, NC, USA, 2019; Volume 659, pp. 61–66. [Google Scholar]
- Kepiro, J.; McClung, A.; Chen, M.; Yeater, K.; Fjellstrom, R. Mapping QTLs for milling yield and grain characteristics in a tropical japonica long grain cross. J. Cereal Sci. 2008, 48, 477–485. [Google Scholar] [CrossRef]
- Wang, D.; Sun, W.; Yuan, Z.; Sun, Q.; Fan, K.; Zhang, C.; Yu, S. Identification of a novel QTL and candidate gene associated with grain size using chromosome segment substitution lines in rice. Sci. Rep. 2021, 11, 189. [Google Scholar] [CrossRef]
- Li, Q.; Lu, L.; Liu, H.; Bai, X.; Zhou, X.; Wu, B.; Yuan, M.; Yang, L.; Xing, Y. A minor QTL, SG3, encoding an R2R3-MYB protein, negatively controls grain length in rice. Theor. Appl. Genet. 2020, 133, 2387–2399. [Google Scholar] [CrossRef] [PubMed]
- Chen, J.; Zhou, H.; Gu, Y.; Xia, D.; Wu, B.; Gao, G.; Zhang, Q.; He, Y. Mapping and verification of grain shape QTLs based on high-throughput SNP markers in rice. Mol. Breed. 2019, 39, 42. [Google Scholar] [CrossRef]
- Hu, Z.; Lu, S.-J.; Wang, M.-J.; He, H.; Sun, L.; Wang, H.; Liu, X.-H.; Jiang, L.; Sun, J.-L.; Xin, X.; et al. A Novel QTL qTGW3 Encodes the GSK3/SHAGGY-Like Kinase OsGSK5/OsSK41 that Interacts with OsARF4 to Negatively Regulate Grain Size and Weight in Rice. Mol. Plant 2018, 11, 736–749. [Google Scholar] [CrossRef]
- Edwards, J.; Jackson, A.; McClung, A.M. Genetic architecture of grain chalk in rice and interactions with a low phytic acid locus. Field Crop. Res. 2017, 205, 116–123. [Google Scholar] [CrossRef]
- Gao, F.-Y.; Zeng, L.-H.; Qiu, L.; Lu, X.-J.; Ren, J.-S.; Wu, X.-T.; Su, X.-W.; Gao, Y.-M.; Ren, G.-J. QTL mapping of grain appearance quality traits and grain weight using a recombinant inbred population in rice (Oryza sativa L.). J. Integr. Agric. 2016, 15, 1693–1702. [Google Scholar] [CrossRef]
- Sun, W.; Zhou, Q.; Yao, Y.; Qiu, X.; Xie, K.; Yu, S. Identification of Genomic Regions and the Isoamylase Gene for Reduced Grain Chalkiness in Rice. PLoS ONE 2015, 10, e0122013. [Google Scholar] [CrossRef]
- Li, Y.; Fan, C.; Xing, Y.; Yun, P.; Luo, L.; Yan, B.; Peng, B.; Xie, W.; Wang, G.; Li, X.; et al. Chalk5 encodes a vacuolar H+-translocating pyrophosphatase influencing grain chalkiness in rice. Nat. Genet. 2014, 46, 398–404. [Google Scholar] [CrossRef]
- Ishimaru, K.; Hirotsu, N.; Madoka, Y.; Murakami, N.; Hara, N.; Onodera, H.; Kashiwagi, T.; Ujiie, K.; Shimizu, B.-I.; Onishi, A.; et al. Loss of function of the IAA-glucose hydrolase gene TGW6 enhances rice grain weight and increases yield. Nat. Genet. 2013, 45, 707–711. [Google Scholar] [CrossRef]
- Wang, S.; Wu, K.; Yuan, Q.; Liu, X.; Liu, Z.; Lin, X.; Zeng, R.; Zhu, H.; Dong, G.; Qian, Q.; et al. Control of grain size, shape and quality by OsSPL16 in rice. Nat. Genet. 2012, 44, 950–954. [Google Scholar] [CrossRef] [PubMed]
- Shao, G.; Wei, X.; Chen, M.; Tang, S.; Luo, J.; Jiao, G.; Xie, L.; Hu, P. Allelic variation for a candidate gene for GS7, responsible for grain shape in rice. Theor. Appl. Genet. 2012, 125, 1303–1312. [Google Scholar] [CrossRef] [PubMed]
- Qiu, X.; Gong, R.; Tan, Y.; Yu, S. Mapping and characterization of the major quantitative trait locus qSS7 associated with increased length and decreased width of rice seeds. Theor. Appl. Genet. 2012, 125, 1717–1726. [Google Scholar] [CrossRef] [PubMed]
- Li, Y.; Fan, C.; Xing, Y.; Jiang, Y.; Luo, L.; Sun, L.; Shao, D.; Xu, C.; Li, X.; Xiao, J.; et al. Natural variation in GS5 plays an important role in regulating grain size and yield in rice. Nat. Genet. 2011, 43, 1266–1269. [Google Scholar] [CrossRef] [PubMed]
- Zhou, L.; Chen, L.; Jiang, L.; Zhang, W.; Liu, L.; Liu, X.; Zhao, Z.; Liu, S.; Zhang, L.; Wang, J.; et al. Fine mapping of the grain chalkiness QTL qPGWC-7 in rice (Oryza sativa L.). Theor. Appl. Genet. 2008, 118, 581–590. [Google Scholar] [CrossRef]
- Weng, J.; Gu, S.; Wan, X.; Gao, H.; Guo, T.; Su, N.; Lei, C.; Zhang, X.; Cheng, Z.; Guo, X.; et al. Isolation and initial characterization of GW5, a major QTL associated with rice grain width and weight. Cell Res. 2008, 18, 1199–1209. [Google Scholar] [CrossRef] [PubMed]
- Shomura, A.; Izawa, T.; Ebana, K.; Ebitani, T.; Kanegae, H.; Konishi, S.; Yano, M. Deletion in a gene associated with grain size increased yields during rice domestication. Nat. Genet. 2008, 40, 1023–1028. [Google Scholar] [CrossRef]
- Song, X.-J.; Huang, W.; Shi, M.; Zhu, M.-Z.; Lin, H.-X. A QTL for rice grain width and weight encodes a previously unknown RING-type E3 ubiquitin ligase. Nat. Genet. 2007, 39, 623–630. [Google Scholar] [CrossRef] [PubMed]
- Fan, C.; Xing, Y.; Mao, H.; Lu, T.; Han, B.; Xu, C.; Li, X.; Zhang, Q. GS3, a major QTL for grain length and weight and minor QTL for grain width and thickness in rice, encodes a putative transmembrane protein. Theor. Appl. Genet. 2006, 112, 1164–1171. [Google Scholar] [CrossRef]
- Rutger, J.; Tai, T. Registration of K/Z Mapping Population of Rice. Crop. Sci. 2005, 45, 2671–2672. [Google Scholar] [CrossRef]
- Yan, W.; Dilday, R.H.; Tai, T.H.; Gibbons, J.W.; McNew, R.W.; Rutger, J.N. Differential Response of Rice Germplasm to Straighthead Induced by Arsenic. Crop. Sci. 2005, 45, 1223–1228. [Google Scholar] [CrossRef]
- Murray, M.; Thompson, W. Rapid isolation of high molecular weight plant DNA. Nucleic Acids Res. 1980, 8, 4321–4326. [Google Scholar] [CrossRef]
- Meng, L.; Li, H.; Zhang, L.; Wang, J. QTL IciMapping: Integrated software for genetic linkage map construction and quantitative trait locus mapping in biparental populations. Crop. J. 2015, 3, 269–283. [Google Scholar] [CrossRef]
- Kosambi, D.D. The estimation of map distances from recombination values. Ann. Eugen. 1943, 12, 172–175. [Google Scholar] [CrossRef]
- Solis, J.; Gutierrez, A.; Mangu, V.; Sanchez, E.; Bedre, R.; Linscombe, S.; Baisakh, N. Genetic Mapping of Quantitative Trait Loci for Grain Yield under Drought in Rice under Controlled Greenhouse Conditions. Front. Chem. 2018, 5, 129. [Google Scholar] [CrossRef]
- McCouch, S.R. Gene Nomenclature System for Rice. Rice 2008, 1, 72–84. [Google Scholar] [CrossRef]
- Dwiningsih, Y.; Rahmaningsih, M.; Alkahtani, J. Development of Single Nucleotide Polymorphism (SNP) Markers in Tropical Crops. Adv. Sustain. Sci. Eng. Technol. 2020, 2, 14065. [Google Scholar] [CrossRef]
- Jiang, G.-H.; Hong, X.-Y.; Xu, C.-G.; Li, X.-H.; He, Y.-Q. Identification of Quantitative Trait Loci for Grain Appearance and Milling Quality Using a Doubled-Haploid Rice Population. J. Integr. Plant Biol. 2005, 47, 1391–1403. [Google Scholar] [CrossRef]
- Tan, Y.F.; Sun, M.; Xing, Y.Z.; Hua, J.P.; Sun, X.L.; Zhang, Q.F.; Corke, H. Mapping quantitative trait loci for milling quality, protein content and color characteristics of rice using a recombinant inbred line population derived from an elite rice hybrid. Theor. Appl. Genet. 2001, 103, 1037–1045. [Google Scholar] [CrossRef]
- Dong, Y.; Tsuzuki, E.; Lin, D.; Kamiunten, H.; Terao, H.; Matsuo, M.; Cheng, S. Molecular genetic mapping of quantitative trait loci for milling quality in rice (Oryza sativa L.). J. Cereal Sci. 2004, 40, 109–114. [Google Scholar] [CrossRef]
- Wan, X.Y.; Wan, J.M.; Weng, J.F.; Jiang, L.; Bi, J.C.; Wang, C.M.; Zhai, H.Q. Stability of QTLs for rice grain dimension and endosperm chalkiness characteristics across eight environments. Theor. Appl. Genet. 2005, 110, 1334–1346. [Google Scholar] [CrossRef]
- Zheng, T.Q.; Xu, J.L.; Li, Z.K.; Zhai, H.Q.; Wan, J.M. Genomic regions associated with milling quality and grain shape identified in a set of random introgression lines of rice (Oryza sativa L.). Plant Breed. 2007, 126, 158–163. [Google Scholar] [CrossRef]
- Kumar, A.; Thomas, J.; Yingling, S.; Dwiningsih, Y.; Ramegowda, V.; Gaspar, J.; Henry, C.; Counce, P.; Siebenmorgen, T.J.; Moldenhauer, K.A.K.; et al. Screening of Diverse Rice Cultivars for Heat Tolerance and Grain Quality under High Nighttime Temperature; BR Wells Rice Research Studies-Arkansas Agricultural Experiment Station, University of Arkansas System: Fayetteville, NC, USA, 2017; Volume 643, pp. 61–67. [Google Scholar]
- Dwiningsih, Y.; Kumar, A.; Thomas, J.; Ruiz, C.; Alkahtani, J.; Baisakh, N.; Pereira, A. Quantitative Trait Loci and Candidate Gene Identification for Chlorophyll Content in RIL Rice Population under Drought Conditions. Indones. J. Nat. Pigment. 2021, 3, 54. [Google Scholar] [CrossRef]
- Shi, C.H.; Zhu, J. Analysis of genetic covariances between plant agronomic traits and milling quality traits of indica rice. J. Zhejiang Agric. Univ. 1997, 23, 331–337. [Google Scholar]
- Patindol, J.; Wang, Y.-J. Fine Structures and Physicochemical Properties of Starches from Chalky and Translucent Rice Kernels. J. Agric. Food Chem. 2003, 51, 2777–2784. [Google Scholar] [CrossRef] [PubMed]
- Gupta, P.K.; Rustgi, S.; Mir, R.R. Array-based high-throughput DNA markers for crop improvement. Heredity 2008, 101, 5–18. [Google Scholar] [CrossRef] [PubMed]
- Dwiningsih, Y. Molecular Genetic Analysis of Drought Resistance and Productivity Traits of Rice Genotypes; University of Arkansas: Fayetteville, NC, USA, 2020. [Google Scholar]
- Sreenivasulu, N.; Butardo, V.M.; Misra, G.; Cuevas, R.P.; Anacleto, R.; Kishor, P.B.K. Designing climate-resilient rice with ideal grain quality suited for high-temperature stress. J. Exp. Bot. 2015, 66, 1737–1748. [Google Scholar] [CrossRef] [PubMed]
- Hanashiro, I.; Itoh, K.; Kuratomi, Y.; Yamazaki, M.; Igarashi, T.; Matsugasako, J.-I.; Takeda, Y. Granule-Bound Starch Synthase I is Responsible for Biosynthesis of Extra-Long Unit Chains of Amylopectin in Rice. Plant Cell Physiol. 2008, 49, 925–933. [Google Scholar] [CrossRef] [PubMed]
- Martin, C.; Smith, A.M. Starch biosynthesis. Plant Cell 1995, 7, 971–985. [Google Scholar] [CrossRef] [PubMed]
- Wang, E.; Wang, J.; Zhu, X.; Hao, W.; Wang, L.; Li, Q.; Zhang, L.; He, W.; Lu, B.; Lin, H.; et al. Control of rice grain-filling and yield by a gene with a potential signature of domestication. Nat. Genet. 2008, 40, 1370–1374. [Google Scholar] [CrossRef] [PubMed]
- Bond, D.M.; Dennis, E.S.; Finnegan, E.J. Hypoxia: A novel function for VIN3. Plant Signal. Behav. 2009, 4, 773–776. [Google Scholar] [CrossRef][Green Version]
- Landoni, M.; Badone, F.C.; Haman, N.; Schiraldi, A.; Fessas, D.; Cesari, V.; Toschi, I.; Cremona, R.; Delogu, C.; Villa, D.; et al. Low Phytic Acid 1 Mutation in Maize Modifies Density, Starch Properties, Cations, and Fiber Contents in the Seed. J. Agric. Food Chem. 2013, 61, 4622–4630. [Google Scholar] [CrossRef]
- Kawasaki, T.; Mizuno, K.; Shimada, H.; Satoh, H.; Kishimoto, N.; Okumura, S.; Ichikawa, N.; Baba, T. Coordinated Regulation of the Genes Participating in Starch Biosynthesis by the Rice Floury-2 Locus. Plant Physiol. 1996, 110, 89–96. [Google Scholar] [CrossRef]
- Liu, X.; Wang, Y.; Wang, S. QTL analysis of percentage of grains with chalkiness in Japonica rice (Oryza sativa). Genet. Mol. Res. 2012, 11, 717–724. [Google Scholar] [CrossRef]
- Peng, C.; Wang, Y.; Liu, F.; Ren, Y.; Zhou, K.; Lv, J.; Zheng, M.; Zhao, S.; Zhang, L.; Wang, C.; et al. FLOURY ENDOSPERM6encodes a CBM48 domain-containing protein involved in compound granule formation and starch synthesis in rice endosperm. Plant J. 2014, 77, 917–930. [Google Scholar] [CrossRef]
- Amjad, M.S.; Qaeem, M.F.; Ahmad, I.; Khan, S.U.; Chaudhari, S.K.; Malik, N.Z.; Shaheen, H.; Khan, A.M. A descriptive study of plant resources in the context of the ethnomedicinal relevance of indigenous flora: A case study from Toli Peer National Park, Azad Jammu and Kashmir, Pakistan. PLoS ONE 2017, 12, e0171896. [Google Scholar] [CrossRef]



| Trait 1 | KBNT lpa (Mean ± SD) | ZHE733 (Mean ± SD) | K/Z RIL Population | |
|---|---|---|---|---|
| (Mean ± SD) | Range | |||
| PC (%) | 3.15 ± 0.14a 2 | 35.15 ± 0.57b | 28.54 ± 2.47 | 3.05–73.22 |
| GL (mm) | 7.28 ± 0.05a | 6.52 ± 0.03b | 6.73 ± 0.07 | 5.56–8.08 |
| GW (mm) | 2.12 ± 0.01a | 2.54 ± 0.04a | 2.39 ± 0.03 | 1.86–3.01 |
| RGLW | 0.29 ± 0.00a | 0.38 ± 0.00b | 0.36 ± 0.01 | 0.25–0.48 |
| HGW (g) | 2.55 ± 0.01a | 2.63 ± 0.01a | 2.14 ± 0.07 | 1.28–3.19 |
| PC | GL | GW | RGLW | |
|---|---|---|---|---|
| GL | 0.11 | |||
| GW | 0.56 * | −0.18 * | ||
| RGLW | 0.33 * | 0.69 * | 0.82 * | |
| HGW | 0.06 | 0.06 | 0.05 | 0.08 |
| Trait Name | QTLs | Chro-Mo-Some | LOD | PVE (%) | Peak Marker | Positi-on (cM) | Candidate Gene Position (bp) | Number of Genes within a 25 kb Interval of the Marker Closest to the QTL Peak | Gene Annotation |
|---|---|---|---|---|---|---|---|---|---|
| PC | qPC1.1 | 1 | 4.11 | 7.29 | KZ12316 | 594 | 20880897 | 4 | Transposon protein |
| qPC2.1 | 2 | 3.06 | 5.45 | KZ24375 | 565 | 30984762 | 5 | Matrix metalloproteinase | |
| qPC3.1 | 3 | 3.68 | 6.88 | KZ34590 | 269 | 20457764 | 4 | Transposon protein | |
| qPC4.1 | 4 | 3.67 | 6.13 | KZ45081 | 132 | 3411195 | 4 | Gene MEG family precursor | |
| qPC4.2 | 4 | 3.61 | 6.09 | KZ45056 | 146 | 2031785 | 2 | Protein kinase | |
| qPC4.3 | 4 | 3.6 | 6.11 | KZ44765 | 166 | 14885436 | 2 | ulp1 protease family | |
| qPC4.4 | 4 | 3.04 | 6.36 | KZ44529 | 442 | 1743647 | 2 | Similar to Subtilase | |
| qPC5.1 | 5 | 3.25 | 3.87 | KZ55580 | 139 | 356032 | 4 | Lysine ketoglutarate reductase | |
| qPC5.2 | 5 | 3.08 | 3.47 | KZ56699 | 237 | 22985131 | 2 | Thiamine pyrophosphate enzyme | |
| qPC6.1 | 6 | 3.59 | 6.07 | KZ67354 | 39 | 17834132 | 4 | ABC-2 type protein | |
| qPC7.1 | 7 | 3.32 | 3.04 | KZ79405 | 300 | 28879166 | 2 | Calmodulin protein kinases | |
| qPC9.1 | 9 | 3.96 | 3.27 | KZ100068 | 106 | 1182883 | 3 | Nodulation receptor kinase | |
| qPC10.1 | 10 | 3.33 | 3.05 | KZ101986 | 274 | 1449944 | 4 | CAF1 family ribonuclease | |
| qPC11.1 | 11 | 3.26 | 3.89 | KZ104730 | 198 | 24102991 | 3 | Retrotransposon protein | |
| qPC12.1 | 12 | 3.53 | 3.23 | KZ105777 | 394 | 10678981 | 4 | Retrotransposon protein | |
| GL | qGL11.1 | 11 | 4.96 | 8.44 | KZ104292 | 405 | 2464998 | 1 | b-ZIP transcription factor 79 |
| qGL12.1 | 12 | 2.81 | 7.07 | KZ105819 | 263 | 12920333 | 1 | Hypothetical protein | |
| GW | qGW1.1 | 1 | 2.62 | 5.7 | KZ14572 | 20 | 40865364 | 5 | Thiamin pyrophosphokinase 1 |
| qGW6.1 | 6 | 3.42 | 8.52 | KZ67890 | 32 | 23243264 | 5 | Similar to Hemoglobin Hb2 | |
| qGW10.1 | 10 | 2.81 | 7.06 | KZ102022 | 272 | 1917072 | 3 | Powdery mildew resistance protein | |
| qGW11.1 | 11 | 3.07 | 7.21 | KZ105089 | 275 | 27785210 | 3 | WRKY gene 41 | |
| RGLW | qRGLW3.1 | 3 | 2.67 | 2.51 | KZ33510 | 169 | 1393131 | 4 | Homeobox domain protein |
| qRGLW4.1 | 4 | 2.61 | 2.81 | KZ45357 | 76 | 21827001 | 4 | Zinc finger protein 28 | |
| qRGLW4.2 | 4 | 2.91 | 2.77 | KZ45359 | 390 | 21827105 | 4 | Zinc finger protein 28 | |
| qRGLW11.1 | 11 | 2.62 | 3.13 | KZ104416 | 120 | 3740185 | 5 | Zinc finger protein | |
| qRGLW11.2 | 11 | 2.79 | 2.65 | KZ104272 | 407 | 2255547 | 4 | PHD finger protein 42 | |
| HGW | qHGW3.1 | 3 | 7.25 | 16.26 | KZ35937 | 507 | 35611464 | 2 | Expressed protein |
| qHGW6.1 | 6 | 3.19 | 6.79 | KZ67895 | 107 | 23359587 | 2 | Enoyl-CoA hydratase protein |
Publisher’s Note: MDPI stays neutral with regard to jurisdictional claims in published maps and institutional affiliations. |
© 2021 by the authors. Licensee MDPI, Basel, Switzerland. This article is an open access article distributed under the terms and conditions of the Creative Commons Attribution (CC BY) license (https://creativecommons.org/licenses/by/4.0/).
Share and Cite
Dwiningsih, Y.; Kumar, A.; Thomas, J.; Ruiz, C.; Alkahtani, J.; Al-hashimi, A.; Pereira, A. Identification of Genomic Regions Controlling Chalkiness and Grain Characteristics in a Recombinant Inbred Line Rice Population Based on High-Throughput SNP Markers. Genes 2021, 12, 1690. https://doi.org/10.3390/genes12111690
Dwiningsih Y, Kumar A, Thomas J, Ruiz C, Alkahtani J, Al-hashimi A, Pereira A. Identification of Genomic Regions Controlling Chalkiness and Grain Characteristics in a Recombinant Inbred Line Rice Population Based on High-Throughput SNP Markers. Genes. 2021; 12(11):1690. https://doi.org/10.3390/genes12111690
Chicago/Turabian StyleDwiningsih, Yheni, Anuj Kumar, Julie Thomas, Charles Ruiz, Jawaher Alkahtani, Abdulrahman Al-hashimi, and Andy Pereira. 2021. "Identification of Genomic Regions Controlling Chalkiness and Grain Characteristics in a Recombinant Inbred Line Rice Population Based on High-Throughput SNP Markers" Genes 12, no. 11: 1690. https://doi.org/10.3390/genes12111690
APA StyleDwiningsih, Y., Kumar, A., Thomas, J., Ruiz, C., Alkahtani, J., Al-hashimi, A., & Pereira, A. (2021). Identification of Genomic Regions Controlling Chalkiness and Grain Characteristics in a Recombinant Inbred Line Rice Population Based on High-Throughput SNP Markers. Genes, 12(11), 1690. https://doi.org/10.3390/genes12111690

