Identification of Pathways Associated with Placental Adaptation to Maternal Nutrient Restriction in Sheep
Abstract
1. Introduction
2. Materials and Methods
2.1. Animals, Experimental Design, and Tissue Collection
2.2. RNA Extraction and Affymetrix GeneChip Array Analysis
2.3. Database for Annotation, Visualization, and Integrated Discovery
2.4. cDNA Synthesis and qPCR Analyses
2.5. Cloning of Partial cDNAs
2.6. In Situ Hybridization
2.7. Statistical Analysis
3. Results
3.1. Microarray Analysis
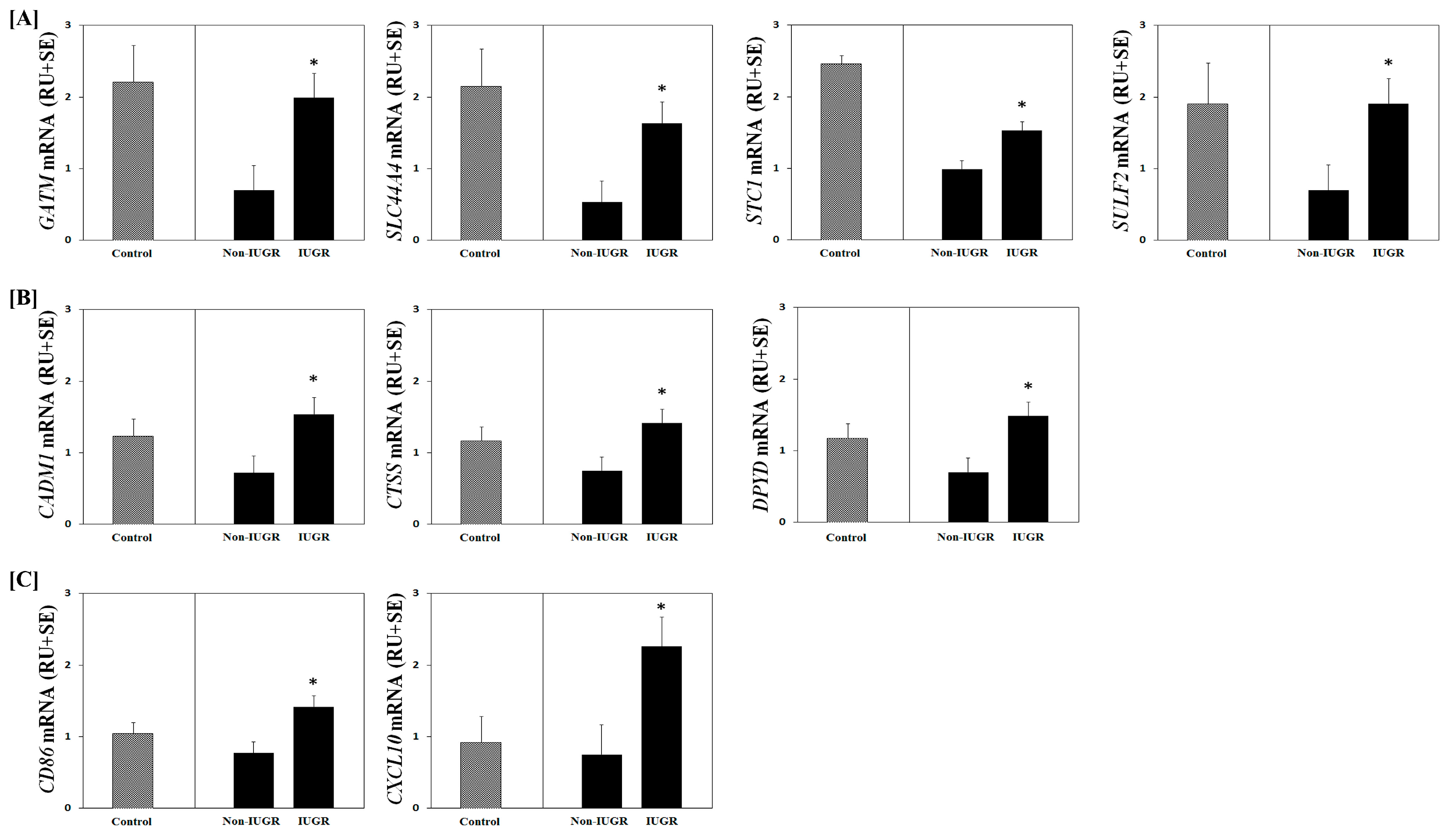
3.2. Validation of Selected Genes
3.3. Bioinformatics
4. Discussion
5. Conclusions
Supplementary Materials
Author Contributions
Funding
Conflicts of Interest
References
- Wallace, J.M.; Regnault, T.R.; Limesand, S.W.; Hay, W.W., Jr.; Anthony, R.V. Investigating the causes of low birth weight in contrasting ovine paradigms. J. Physiol. 2005, 565, 19–26. [Google Scholar] [CrossRef]
- Wu, G.; Bazer, F.W.; Wallace, J.M.; Spencer, T.E. Board-invited review: Intrauterine growth retardation: Implications for the animal sciences. J. Anim. Sci. 2006, 84, 2316–2337. [Google Scholar] [CrossRef]
- Bell, A.W.; Ehrhardt, R.A. Regulation of placental nutrient transport and implications for fetal growth. Nutr. Res. Rev. 2002, 15, 211–230. [Google Scholar] [CrossRef]
- NRC, N.R.C. Nutrient Requirements for Sheep; Natl Acad Press: Washington, DC, USA, 1985. [Google Scholar]
- Marsal, K. Intrauterine growth restriction. Curr. Opin. Obstet. Gynecol. 2002, 14, 127–135. [Google Scholar] [CrossRef]
- Barker, D.J.P. The origins of the developmental origins theory. J. Intern. Med. 2007, 261, 412–417. [Google Scholar] [CrossRef]
- Wu, G.; Bazer, F.W.; Cudd, T.A.; Meininger, C.J.; Spencer, T.E. Maternal nutrition and fetal development. J. Nutr. 2004, 134, 2169–2172. [Google Scholar] [CrossRef]
- Ford, S.P.; Long, N.M. Evidence for similar changes in offspring phenotype following either maternal undernutrition or overnutrition: Potential impact on fetal epigenetic mechanisms. Reprod. Fertil. Dev. 2011, 24, 105–111. [Google Scholar] [CrossRef]
- Bell, A.W.; Ehrhardt, R.A. Placental Regulation of Nutrient Partitioning During Pregnancy. Nutr. Reprod. 1998, 8, 229–254. [Google Scholar]
- Heasman, L.; Clarke, L.; Stephenson, T.J.; Symonds, M.E. The influence of maternal nutrient restriction in early to mid-pregnancy on placental and fetal development in sheep. Proc. Nutr. Soc. India 1999, 58, 283–288. [Google Scholar] [CrossRef]
- Reynolds, L.P.; Borowicz, P.P.; Vonnahme, K.A.; Johnson, M.L.; Grazul-Bilska, A.T.; Wallace, J.M.; Caton, J.S.; Redmer, D.A. Animal models of placental angiogenesis. Placenta 2005, 26, 689–708. [Google Scholar] [CrossRef]
- Reynolds, L.P.; Redmer, D.A. Angiogenesis in the placenta. Biol. Reprod. 2001, 64, 1033–1040. [Google Scholar] [CrossRef]
- Owens, J.A.; Falconer, J.; Robinson, J.S. Effect of restriction of placental growth on umbilical and uterine blood flows. Am. J. Physiol. 1986, 250, R427–R434. [Google Scholar] [CrossRef]
- Long, N.M.; Vonnahme, K.A.; Hess, B.W.; Nathanielsz, P.W.; Ford, S.P. Effects of early gestational undernutrition on fetal growth, organ development, and placentomal composition in the bovine. J. Anim. Sci. 2009, 87, 1950–1959. [Google Scholar] [CrossRef]
- Edwards, A.K.; McKnight, S.M.; Askelson, K.; McKnight, J.R.; Dunlap, K.A.; Satterfield, M.C. Adaptive responses to maternal nutrient restriction alter placental transport in ewes. Placenta 2020, 96, 1–9. [Google Scholar] [CrossRef]
- Cross, J.C.; Mickelson, L. Nutritional influences on implantation and placental development. Nutr. Rev. 2006, 64, S12–S18. [Google Scholar] [CrossRef]
- Mellor, D.J. Nutritional and placental determinants of foetal growth rate in sheep and consequences for the newborn lamb. Br. Vet. J. 1983, 139, 307–324. [Google Scholar] [CrossRef]
- Lassala, A.; Bazer, F.W.; Cudd, T.A.; Datta, S.; Keisler, D.H.; Satterfield, M.C.; Spencer, T.E.; Wu, G. Parenteral administration of L-arginine prevents fetal growth restriction in undernourished ewes. J. Nutr. 2010, 140, 1242–1248. [Google Scholar] [CrossRef]
- Borowicz, P.P.; Arnold, D.R.; Johnson, M.L.; Grazul-Bilska, A.T.; Redmer, D.A.; Reynolds, L.P. Placental growth throughout the last two thirds of pregnancy in sheep: Vascular development and angiogenic factor expression. Biol. Reprod. 2007, 76, 259–267. [Google Scholar] [CrossRef]
- Sandoval, C.; Lambo, C.A.; Beason, K.; Dunlap, K.A.; Satterfield, M.C. Effect of maternal nutrient restriction on skeletal muscle mass and associated molecular pathways in SGA and Non-SGA sheep fetuses. Domest. Anim. Endocrinol. 2020, 72, 106443. [Google Scholar] [CrossRef]
- Spencer, T.E.; Forde, N.; Dorniak, P.; Hansen, T.R.; Romero, J.J.; Lonergan, P. Conceptus-derived prostaglandins regulate gene expression in the endometrium prior to pregnancy recognition in ruminants. Reproduction 2013, 146, 377–387. [Google Scholar] [CrossRef]
- Irizarry, R.A.; Hobbs, B.; Collin, F.; Beazer-Barclay, Y.D.; Antonellis, K.J.; Scherf, U.; Speed, T.P. Exploration, normalization, and summaries of high density oligonucleotide array probe level data. Biostatistics 2003, 4, 249–264. [Google Scholar] [CrossRef]
- Dennis, G., Jr.; Sherman, B.T.; Hosack, D.A.; Yang, J.; Gao, W.; Lane, H.C.; Lempicki, R.A. DAVID: Database for Annotation, Visualization, and Integrated Discovery. Genome Biol. 2003, 4, P3. [Google Scholar] [CrossRef]
- Huang, D.W.; Sherman, B.T.; Lempicki, R.A. Systematic and integrative analysis of large gene lists using DAVID bioinformatics resources. Nat. Protoc. 2009, 4, 44–57. [Google Scholar] [CrossRef] [PubMed]
- Satterfield, M.C.; Song, G.; Kochan, K.J.; Riggs, P.K.; Simmons, R.M.; Elsik, C.G.; Adelson, D.L.; Bazer, F.W.; Zhou, H.; Spencer, T.E. Discovery of candidate genes and pathways in the endometrium regulating ovine blastocyst growth and conceptus elongation. Physiol. Genom. 2009, 39, 85–99. [Google Scholar] [CrossRef] [PubMed]
- Stewart, M.D.; Johnson, G.A.; Gray, C.A.; Burghardt, R.C.; Schuler, L.A.; Joyce, M.M.; Bazer, F.W.; Spencer, T.E. Prolactin receptor and uterine milk protein expression in the ovine endometrium during the estrous cycle and pregnancy. Biol. Reprod. 2000, 62, 1779–1789. [Google Scholar] [CrossRef] [PubMed]
- Satterfield, M.C.; Hayashi, K.; Song, G.; Black, S.G.; Bazer, F.W.; Spencer, T.E. Progesterone regulates FGF10, MET, IGFBP1, and IGFBP3 in the endometrium of the ovine uterus. Biol. Reprod. 2008, 79, 1226–1236. [Google Scholar] [CrossRef][Green Version]
- Spencer, T.E.; Stagg, A.G.; Joyce, M.M.; Jenster, G.; Wood, C.G.; Bazer, F.W.; Wiley, A.A.; Bartol, F.F. Discovery and characterization of endometrial epithelial messenger ribonucleic acids using the ovine uterine gland knockout model. Endocrinology 1999, 140, 4070–4080. [Google Scholar] [CrossRef]
- Dunlap, K.; Brown, J.; Keith, A.; Satterfield, M. Factors controlling nutrient availability to the developing fetus in ruminants. J. Animal. Sci. Biotechnol. 2015, 6, 1–10. [Google Scholar] [CrossRef]
- Ma, Y.; Zhu, M.J.; Uthlaut, A.B.; Nijland, M.J.; Nathanielsz, P.W.; Hess, B.W.; Ford, S.P. Upregulation of growth signaling and nutrient transporters in cotyledons of early to mid-gestational nutrient restricted ewes. Placenta 2011, 32, 255–263. [Google Scholar] [CrossRef]
- Redmer, D.A.; Aitken, R.P.; Milne, J.S.; Reynolds, L.P.; Wallace, J.M. Influence of maternal nutrition on messenger RNA expression of placental angiogenic factors and their receptors at midgestation in adolescent sheep. Biol. Reprod. 2005, 72, 1004–1009. [Google Scholar] [CrossRef]
- Reynolds, L.P.; Caton, J.S.; Redmer, D.A.; Grazul-Bilska, A.T.; Vonnahme, K.A.; Borowicz, P.P.; Luther, J.S.; Wallace, J.M.; Wu, G.; Spencer, T.E. Evidence for altered placental blood flow and vascularity in compromised pregnancies. J. Physiol. 2006, 572, 51–58. [Google Scholar] [CrossRef] [PubMed]
- Lang, U.; Baker, R.S.; Braems, G.; Zygmunt, M.; Kunzel, W.; Clark, K.E. Uterine blood flow--a determinant of fetal growth. Eur. J. Obstet. Gynecol. Reprod. Biol. 2003, 110, S55–S61. [Google Scholar] [CrossRef]
- Meng, X.; Guo, A.; Gong, W.; Jia, W.; Luo, X.; Zhai, J.; Dou, Y.; Cai, X. Molecular characterization, tissue distribution and expression analysis of interleukin-12 receptor beta2 chain in sheep. Gene 2012, 499, 124–129. [Google Scholar] [CrossRef] [PubMed]
- Rogge, L.; Barberis-Maino, L.; Biffi, M.; Passini, N.; Presky, D.H.; Gubler, U.; Sinigaglia, F. Selective expression of an interleukin-12 receptor component by human T helper 1 cells. J. Exp. Med. 1997, 185, 825–831. [Google Scholar] [CrossRef] [PubMed]
- Rogge, L.; Papi, A.; Presky, D.H.; Biffi, M.; Minetti, L.J.; Miotto, D.; Agostini, C.; Semenzato, G.; Fabbri, L.M.; Sinigaglia, F. Antibodies to the IL-12 receptor beta 2 chain mark human Th1 but not Th2 cells in vitro and in vivo. J. Immunol. 1999, 162, 3926–3932. [Google Scholar]
- Barbulescu, K.; Becker, C.; Schlaak, J.F.; Schmitt, E.; Meyer zum Buschenfelde, K.H.; Neurath, M.F. IL-12 and IL-18 differentially regulate the transcriptional activity of the human IFN-gamma promoter in primary CD4+ T lymphocytes. J. Immunol. 1998, 160, 3642–3647. [Google Scholar]
- Wegmann, T.G.; Lin, H.; Guilbert, L.; Mosmann, T.R. Bidirectional cytokine interactions in the maternal-fetal relationship: Is successful pregnancy a TH2 phenomenon? Immunol. Today 1993, 14, 353–356. [Google Scholar] [CrossRef]
- D’Angelo, M.A.; Gomez-Cavazos, J.S.; Mei, A.; Lackner, D.H.; Hetzer, M.W. A change in nuclear pore complex composition regulates cell differentiation. Dev. Cell 2012, 22, 446–458. [Google Scholar] [CrossRef]
- Olsson, M.; Ekblom, M.; Fecker, L.; Kurkinen, M.; Ekblom, P. cDNA cloning and embryonic expression of mouse nuclear pore membrane glycoprotein 210 mRNA. Kidney Int. 1999, 56, 827–838. [Google Scholar] [CrossRef]
- Forhead, A.J.; Fowden, A.L. Thyroid hormones in fetal growth and prepartum maturation. J. Endocrinol. 2014, 221, R87–R103. [Google Scholar] [CrossRef]
- Sun, Y.N.; Liu, Y.J.; Zhang, L.; Ye, Y.; Lin, L.X.; Li, Y.M.; Yan, Y.Q.; Chen, Z.P. Expression of organic anion transporting polypeptide 1c1 and monocarboxylate transporter 8 in the rat placental barrier and the compensatory response to thyroid dysfunction. PLoS ONE 2014, 9, e96047. [Google Scholar] [CrossRef]
- Hagenbuch, B. Cellular entry of thyroid hormones by organic anion transporting polypeptides. Best Pract. Res. Clin. Endocrinol. Metab. 2007, 21, 209–221. [Google Scholar] [CrossRef] [PubMed]
- Kilby, M.D.; Verhaeg, J.; Gittoes, N.; Somerset, D.A.; Clark, P.M.; Franklyn, J.A. Circulating thyroid hormone concentrations and placental thyroid hormone receptor expression in normal human pregnancy and pregnancy complicated by intrauterine growth restriction (IUGR). J. Clin. Endocrinol. Metab. 1998, 83, 2964–2971. [Google Scholar] [CrossRef] [PubMed]
- Rae, M.T.; Rhind, S.M.; Kyle, C.E.; Miller, D.W.; Brooks, A.N. Maternal undernutrition alters triiodothyronine concentrations and pituitary response to GnRH in fetal sheep. J. Endocrinol. 2002, 173, 449–455. [Google Scholar] [CrossRef] [PubMed]
- Clark, D.A.; Arck, P.C.; Chaouat, G. Why did your mother reject you? Immunogenetic determinants of the response to environmental selective pressure expressed at the uterine level. Am. J. Reprod. Immunol. 1999, 41, 5–22. [Google Scholar] [CrossRef] [PubMed]
- Hansen, P.J. Regulation of uterine immune function by progesterone--lessons from the sheep. J. Reprod. Immunol. 1998, 40, 63–79. [Google Scholar] [CrossRef]
- Hahn-Zoric, M.; Hagberg, H.; Kjellmer, I.; Ellis, J.; Wennergren, M.; Hanson, L.A. Aberrations in placental cytokine mRNA related to intrauterine growth retardation. Pediatr. Res. 2002, 51, 201–206. [Google Scholar] [CrossRef]
- Bartha, J.L.; Romero-Carmona, R.; Comino-Delgado, R. Inflammatory cytokines in intrauterine growth retardation. Acta Obstet. Gynecol. Scand. Suppl. 2003, 82, 1099–1102. [Google Scholar] [CrossRef]
- Bertucci, M.C.; Loose, J.M.; Wallace, E.M.; Jenkin, G.; Miller, S.L. Anti-inflammatory therapy in an ovine model of fetal hypoxia induced by single umbilical artery ligation. Reprod. Fertil. Dev. 2011, 23, 346–352. [Google Scholar] [CrossRef]
- Bronte, V.; Zanovello, P. Regulation of immune responses by L-arginine metabolism. Nat. Rev. Immunol. 2005, 5, 641–654. [Google Scholar] [CrossRef]
- Yu, Y.; Singh, U.; Shi, W.; Konno, T.; Soares, M.J.; Geyer, R.; Fundele, R. Influence of murine maternal diabetes on placental morphology, gene expression, and function. Arch. Physiol. Biochem. 2008, 114, 99–110. [Google Scholar] [CrossRef] [PubMed]
- Sandell, L.L.; Guan, X.J.; Ingram, R.; Tilghman, S.M. Gatm, a creatine synthesis enzyme, is imprinted in mouse placenta. Proc. Natl. Acad. Sci. USA 2003, 100, 4622–4627. [Google Scholar] [CrossRef] [PubMed]
- McMinn, J.; Wei, M.; Schupf, N.; Cusmai, J.; Johnson, E.B.; Smith, A.C.; Weksberg, R.; Thaker, H.M.; Tycko, B. Unbalanced placental expression of imprinted genes in human intrauterine growth restriction. Placenta 2006, 27, 540–549. [Google Scholar] [CrossRef] [PubMed]
- Oliveira, L.J.; McClellan, S.; Hansen, P.J. Differentiation of the endometrial macrophage during pregnancy in the cow. PLoS ONE 2010, 5, e13213. [Google Scholar] [CrossRef] [PubMed]
- Yeung, B.H.; Law, A.Y.; Wong, C.K. Evolution and roles of stanniocalcin. Mol. Cell. Endocrinol. 2012, 349, 272–280. [Google Scholar] [CrossRef] [PubMed]
- Uuskula, L.; Mannik, J.; Rull, K.; Minajeva, A.; Koks, S.; Vaas, P.; Teesalu, P.; Reimand, J.; Laan, M. Mid-gestational gene expression profile in placenta and link to pregnancy complications. PLoS ONE 2012, 7, e49248. [Google Scholar] [CrossRef]
- Song, G.; Bazer, F.W.; Wagner, G.F.; Spencer, T.E. Stanniocalcin (STC) in the endometrial glands of the ovine uterus: Regulation by progesterone and placental hormones. Biol. Reprod. 2006, 74, 913–922. [Google Scholar] [CrossRef][Green Version]
- Song, G.; Bazer, F.W.; Spencer, T.E. Differential expression of cathepsins and cystatin C in ovine uteroplacental tissues. Placenta 2007, 28, 1091–1098. [Google Scholar] [CrossRef]
- Song, G.; Spencer, T.E.; Bazer, F.W. Cathepsins in the ovine uterus: Regulation by pregnancy, progesterone, and interferon tau. Endocrinology 2005, 146, 4825–4833. [Google Scholar] [CrossRef]
- Riese, R.J.; Wolf, P.R.; Bromme, D.; Natkin, L.R.; Villadangos, J.A.; Ploegh, H.L.; Chapman, H.A. Essential role for cathepsin S in MHC class II-associated invariant chain processing and peptide loading. Immunity 1996, 4, 357–366. [Google Scholar] [CrossRef]
- Riese, R.J.; Mitchell, R.N.; Villadangos, J.A.; Shi, G.P.; Palmer, J.T.; Karp, E.R.; De Sanctis, G.T.; Ploegh, H.L.; Chapman, H.A. Cathepsin S activity regulates antigen presentation and immunity. J. Clin. Investig. 1998, 101, 2351–2363. [Google Scholar] [CrossRef] [PubMed]
- Shi, G.P.; Villadangos, J.A.; Dranoff, G.; Small, C.; Gu, L.; Haley, K.J.; Riese, R.; Ploegh, H.L.; Chapman, H.A. Cathepsin S required for normal MHC class II peptide loading and germinal center development. Immunity 1999, 10, 197–206. [Google Scholar] [CrossRef]
- Hsieh, C.S.; deRoos, P.; Honey, K.; Beers, C.; Rudensky, A.Y. A role for cathepsin L and cathepsin S in peptide generation for MHC class II presentation. J. Immunol. 2002, 168, 2618–2625. [Google Scholar] [CrossRef] [PubMed]
- Davies, C.J.; Eldridge, J.A.; Fisher, P.J.; Schlafer, D.H. Evidence for expression of both classical and non-classical major histocompatibility complex class I genes in bovine trophoblast cells. Am. J. Reprod. Immunol. 2006, 55, 188–200. [Google Scholar] [CrossRef]
- Davies, C.J.; Fisher, P.J.; Schlafer, D.H. Temporal and regional regulation of major histocompatibility complex class I expression at the bovine uterine/placental interface. Placenta 2000, 21, 194–202. [Google Scholar] [CrossRef]
- Streyl, D.; Kenngott, R.; Herbach, N.; Wanke, R.; Blum, H.; Sinowatz, F.; Wolf, E.; Zerbe, H.; Bauersachs, S. Gene expression profiling of bovine peripartal placentomes: Detection of molecular pathways potentially involved in the release of foetal membranes. Reproduction 2012, 143, 85–105. [Google Scholar] [CrossRef]
- Zeisel, S.H. Choline: Critical role during fetal development and dietary requirements in adults. Annu. Rev. Nutr. 2006, 26, 229–250. [Google Scholar] [CrossRef]



| Gene Symbol | Gene Name | Fold Change | Gene Symbol | Gene Name | Fold Change |
|---|---|---|---|---|---|
| A4IFS4 | Pregnancy-associated glycoprotein 16 | 2.11 | LBP | Lipopolysaccharide binding protein | −1.68 |
| ADH6 | Alcohol dehydrogenase 6 (class V) | −1.99 | LIPG | Endothelial lipase | 2.00 |
| AGR2 | Anterior gradient protein 2 homolog | −2.32 | Mamu-DRA | Mamu class II histocompatibility antigen, DR alpha chain | −1.78 |
| AGTR2 | Angiotensin II receptor, type 2 | −1.89 | MCEMP1 | Mast cell-expressed membrane protein 1 | 1.70 |
| AKR1C1 | Aldo-keto reductase family 1 member C1 | −2.13 | MICB | MHC class I polypeptide-related sequence B | −1.75 |
| ALDH1A1 | Aldehyde dehydrogenase 1 family, member A1 | −1.54 | MILR1 | Allergin-1 | −1.57 |
| B3GALT2 | Beta-1,3-galactosyltransferase 2 | 1.57 | MIR186 | MicroRNA mir-186 | −2.16 |
| B3GNT3 | Beta-1,3-N-acetylglucosaminyltransferase BGnT-3 | 1.74 | MIR29A | MicroRNA mir-29a | 1.53 |
| BCL2L15 | Bcl-2-like protein 15 | −2.17 | MIR329B | MicroRNA mir-329b | −1.55 |
| BOLA-DRA | Major histocompatibility complex, class II, DR alpha | −1.69 | MS4A8A | Membrane-spanning 4-domains subfamily A member 8A | −1.72 |
| BOLA-DRB3 | Major histocompatibility complex, class II, DRB3 | −1.65 | MSLN | Mesothelin | −1.56 |
| C1QB | Complement C1q subcomponent subunit B | −1.67 | MSR1 | Macrophage scavenger receptor types I and II | −1.65 |
| C4ORF19 | Uncharacterized protein C4orf19 | −1.60 | MUC16 | Mucin-16 | −1.64 |
| CADM1 | Cell adhesion molecule 1 | −1.58 | NUP210 | Nuclear pore membrane glycoprotein 210 | 1.77 |
| CCKN | Cholecystokinin Precursor | 1.77 | OCIAD2 | OCIA domain-containing protein2 | −1.55 |
| CD200R1 | Cell surface glycoprotein CD200 receptor 1 | −1.51 | OGN | Mimecan | −1.88 |
| CD37 | Leukocyte antigen CD37 | −1.59 | OR52E1 | Olfactory receptor 52E1 | 1.53 |
| CD86 | T-lymphocyte activation antigen CD86 | −1.51 | OSTP | Osteopontin Precursor | −1.52 |
| CFD | Complement factor D | −1.55 | P2RY12 | P2Y purinoceptor 12 | −1.61 |
| CH3L1 | Chitinase 3-like protein 1 Precursor | −2.13 | PAM | Peptidyl-glycine alpha-amidating monooxygenase | −1.58 |
| CHRM2 | Muscarinic acetylcholine receptor M2 | −1.53 | PDCD2L | Programmed cell death protein 2-like | 1.83 |
| CP | Ceruloplasmin (ferroxidase) | −2.25 | PDZK1IP1 | PDZK1-interacting protein 1 | −1.61 |
| CPE | Carboxypeptidase E | −1.60 | PEBP4 | Phosphatidylethanolamine-binding protein 4 | −2.46 |
| CR2 | Complement receptor type 2 | −2.93 | PRR15 | Proline-rich protein 15 | −1.70 |
| CST6 | Cystatin-M | −1.59 | QSOX1 | Quiescin Q6 sulfhydryl oxidase 1 | −1.63 |
| CTSS | Cathepsin S | −1.54 | RBP4 | Retinol-binding protein 4 | −1.59 |
| CXCL10 | C-X-C motif chemokine 10 | −1.85 | RNASE6 | Ribonuclease K6 | −1.67 |
| CXCL14 | C-X-C motif chemokine 14 | −2.17 | S100A7 | S100 calcium binding protein A7 | −1.51 |
| CYP26A1 | Cytochrome P450, family 26, subfamily A, polypeptide 1 | −1.57 | SAA3 | Serum amyloid A 3 | −2.08 |
| CYP4F22 | Cytochrome P450 4F22 | 1.51 | SDS | L-serine dehydratase/L-threonine deaminase | −1.66 |
| DLK1 | Protein delta homolog 1 | −1.62 | SERPINE2 | Glia-derived nexin | −1.62 |
| DPYD | Dihydropyrimidine dehydrogenase | −1.51 | SESN3 | Sestrin-3 | −1.61 |
| EHF | ETS homologous factor | −1.60 | SIGLEC1 | Sialic acid binding Ig-like lectin 1, sialoadhesin | −1.54 |
| EMP1 | Epithelial membrane protein 1 | −1.53 | SLC1A1 | Excitatory amino acid transporter3 | −1.72 |
| EVI2B | Ecotropic Viral Integration Site 2B | −1.59 | SLC26A3 | Chloride anion exchanger | −1.82 |
| FAM134B | Reticulophagy Regulator 1 | −1.71 | SLC37A2 | Sugar phosphate exchanger 2 | −1.68 |
| FCGR3 | Low affinity immunoglobulin gamma Fc region receptor III | −1.61 | SLC44A4 | Choline transporter-like protein 4 | −2.19 |
| FGFR1 | Fibroblast growth factor receptor 1 | −1.60 | SLC7A2 | Low affinity cationic amino acid transporter 2 | −2.22 |
| FOLR2 | Folate receptor beta | −1.54 | SLC7A9 | B(0,+)-type amino acid transporter1 | −1.82 |
| GATA6 | Transcription factor GATA-6 | −1.66 | SLCO1C1 | Solute carrier organic anion transporter family member 1C1 | 1.78 |
| GATM | Glycine amidinotransferase, mitochondrial | −2.01 | SPP1 | Secreted phosphoprotein 1 | −1.56 |
| GHR | Growth hormone receptor | −1.55 | STC1 | Stanniocalcin-1 | −1.91 |
| GPR115 | Probable G-protein coupled receptor 115 | −1.66 | SULF2 | Extracellular sulfatase Sulf-2 | −1.64 |
| GPR151 | Probable G-protein coupled receptor 151 | 2.20 | TC2N | Tandem C2 domains nuclear protein | −2.26 |
| GRM7 | Metabotropic glutamate receptor 7 | −2.66 | TFEC | Transcription factor EC | −1.51 |
| HDAC11 | Histone deacetylase 11 | 1.58 | TFPI2 | Tissue factor pathway inhibitor 2 | −1.64 |
| HTR4 | Serotonin 5-HTA receptor | −2.78 | THBS4 | Thrombospondin-4 | −1.62 |
| IL12RB2 | Interleukin-12 receptor subunit beta-2 | 1.88 | TIMD4 | T-cell immunoglobulin and mucin domain containing 4 | −1.59 |
| INHBA | Inhibin, beta A | −1.85 | VNN1 | Pantetheinase | −1.53 |
| KLF5 | Krueppel-like factor 5 | −1.54 | WNT11 | Protein Wnt-11 | −1.81 |
| KNG2 | Kininogen-2 | −1.68 |
| Gene Symbol | Microarray Fold Change a | qPCR Fold Change | qPCR p-Value |
|---|---|---|---|
| AGR2 | −2.32 | −2.69 | 0.05 |
| B3GALT2 | 1.57 | 1.67 | 0.09 |
| CADM1 | −1.58 | −2.14 | 0.03 |
| CD37 | −1.59 | −1.73 | 0.07 |
| CD86 | −1.51 | −1.84 | 0.01 |
| CTSS | −1.54 | −1.88 | 0.03 |
| CXCL10 | −1.85 | −3.01 | 0.03 |
| CXCL14 | −2.17 | −2.79 | 0.12 |
| DPYD | −1.51 | −2.12 | 0.03 |
| GATM | −2.01 | −2.84 | 0.02 |
| HDAC11 | 1.58 | 1.85 | 0.17 |
| IL12RB2 | 1.88 | 6.40 | 0.00 |
| LIPG | 2.00 | 2.02 | 0.28 |
| NUP210 | 1.77 | 2.50 | 0.03 |
| SLC44A4 | −2.19 | −3.07 | 0.03 |
| SLCO1C1 | 1.78 | 2.04 | 0.05 |
| SPP1 | −1.56 | −3.41 | 0.09 |
| STC1 | −1.91 | −1.54 | 0.03 |
| SULF2 | −1.64 | −2.74 | 0.03 |
| Annotation Cluster a | Enrichment Score b | Biological Terms c |
|---|---|---|
| 1 | 1.27 | Transmembrane region (7); Transmembrane (7); GO:0016021 ~ integral to membrane (7); GO:0031224 ~ intrinsic to membrane (7) |
| 2 | 0.51 | Receptor (3); GO:0007166 ~ cell surface receptor linked signal transduction (3); Topological domain: Extracellular (3) |
| 3 | 0.15 | Signal (3); Signal peptide (3); Alternative splicing (3); Splice variant (3) |
| Annotation Cluster a | Enrichment Score b | Biological Terms c |
|---|---|---|
| 1 | 3.40 | GO:0031667 ~ response to nutrient levels (7); GO:0007584 ~ response to nutrient (6); GO:0009991 ~ response to extracellular stimulus (7); |
| 2 | 2.01 | GO:0050778 ~ positive regulation of immune response (6); GO:0002252 ~ immune effector process (5); GO:0048584 ~ positive regulation of response to stimulus (6); Immune response (5) |
| 3 | 2.01 | Transmembrane region (32); Transmembrane (32); Membrane (37); GO:0031224 ~ intrinsic to membrane (36); GO:0016021 ~ integral to membrane (33) |
| 4 | 1.91 | GO:0005624 ~ membrane fraction (11); GO:0005626 ~ insoluble fraction (11); GO:0000267 ~ cell fraction (12) |
| 5 | 1.67 | Ig-like V-type (5); CD80-like, immunoglobulin C2-set (3); IG (4); Immunoglobulin subtype (4) |
| 6 | 1.66 | GO:0006865 ~ amino acid transport (4); GO:0015837 ~ amine transport (4); GO:0015171 ~ amino acid transmembrane transporter activity (3); GO:0046942 ~ carboxylic acid transport (4); GO:0015849 ~ organic acid transport (4); GO:0005275 ~amine transmembrane transporter activity (3) |
| 7 | 1.62 | Immunoglobulin-like (7); Immunoglobulin-like fold (7); Immunoglobulin domain (6) |
| 8 | 1.61 | GO:0042803 ~ protein homodimerization activity (6); GO:0046983 ~ protein dimerization (7); GO:0042802~identical protein binding (7) |
| 9 | 1.54 | GO:0051605 ~ protein maturation by peptide bond cleavage (4); GO:0002253 ~ activation of immune response (4); GO:0016485 ~ protein processing (4); GO:0006956 ~ complement activation (3); GO:0002541 ~ activation of plasma proteins involved in acute inflammatory response (3); GO:0051604 ~ protein maturation (4); Innate immunity (3); GO:0006959 ~ humoral immune response (3); Complement and coagulation cascades (3); GO:0006508 ~ proteolysis (5) |
| 10 | 1.31 | GO:0002449 ~ lymphocyte mediated immunity (3); GO:0002250 ~ adaptive immune response (3); GO:0002460 ~ adaptive immune response based on somatic recombination of immune receptors built from immunoglobulin superfamily domains (3); GO:0002443 ~ leukocyte mediated immunity (3) |
© 2020 by the authors. Licensee MDPI, Basel, Switzerland. This article is an open access article distributed under the terms and conditions of the Creative Commons Attribution (CC BY) license (http://creativecommons.org/licenses/by/4.0/).
Share and Cite
Edwards, A.K.; Dunlap, K.A.; Spencer, T.E.; Satterfield, M.C. Identification of Pathways Associated with Placental Adaptation to Maternal Nutrient Restriction in Sheep. Genes 2020, 11, 1031. https://doi.org/10.3390/genes11091031
Edwards AK, Dunlap KA, Spencer TE, Satterfield MC. Identification of Pathways Associated with Placental Adaptation to Maternal Nutrient Restriction in Sheep. Genes. 2020; 11(9):1031. https://doi.org/10.3390/genes11091031
Chicago/Turabian StyleEdwards, Ashley K., Kathrin A. Dunlap, Thomas E. Spencer, and M. Carey Satterfield. 2020. "Identification of Pathways Associated with Placental Adaptation to Maternal Nutrient Restriction in Sheep" Genes 11, no. 9: 1031. https://doi.org/10.3390/genes11091031
APA StyleEdwards, A. K., Dunlap, K. A., Spencer, T. E., & Satterfield, M. C. (2020). Identification of Pathways Associated with Placental Adaptation to Maternal Nutrient Restriction in Sheep. Genes, 11(9), 1031. https://doi.org/10.3390/genes11091031

