Polycystin-2 Mediated Calcium Signalling in the Dictyostelium Model for Autosomal Dominant Polycystic Kidney Disease
Abstract
1. Introduction
2. Materials and Methods
2.1. Gene Cloning and Sequence Analysis
2.2. Dictyostelium Transformation
2.3. Strains and Culture Conditions
2.4. Estimation of Plasmid Copy Number Using Quantitative Real-Time PCR
2.5. Quantification of mRNA Expression Levels
2.6. Plaque Expansion Rates on Bacterial Lawns and Determination of Generation Times of Axenically Growing Cultures
2.7. Endocytosis Assays
2.8. Morphology
2.9. Quantification of LysoSensor™ Blue DND-167 Staining in Cells
2.10. Determination of Spore Viability
2.11. Calcium Experiments
2.12. Statistical Analysis
3. Results
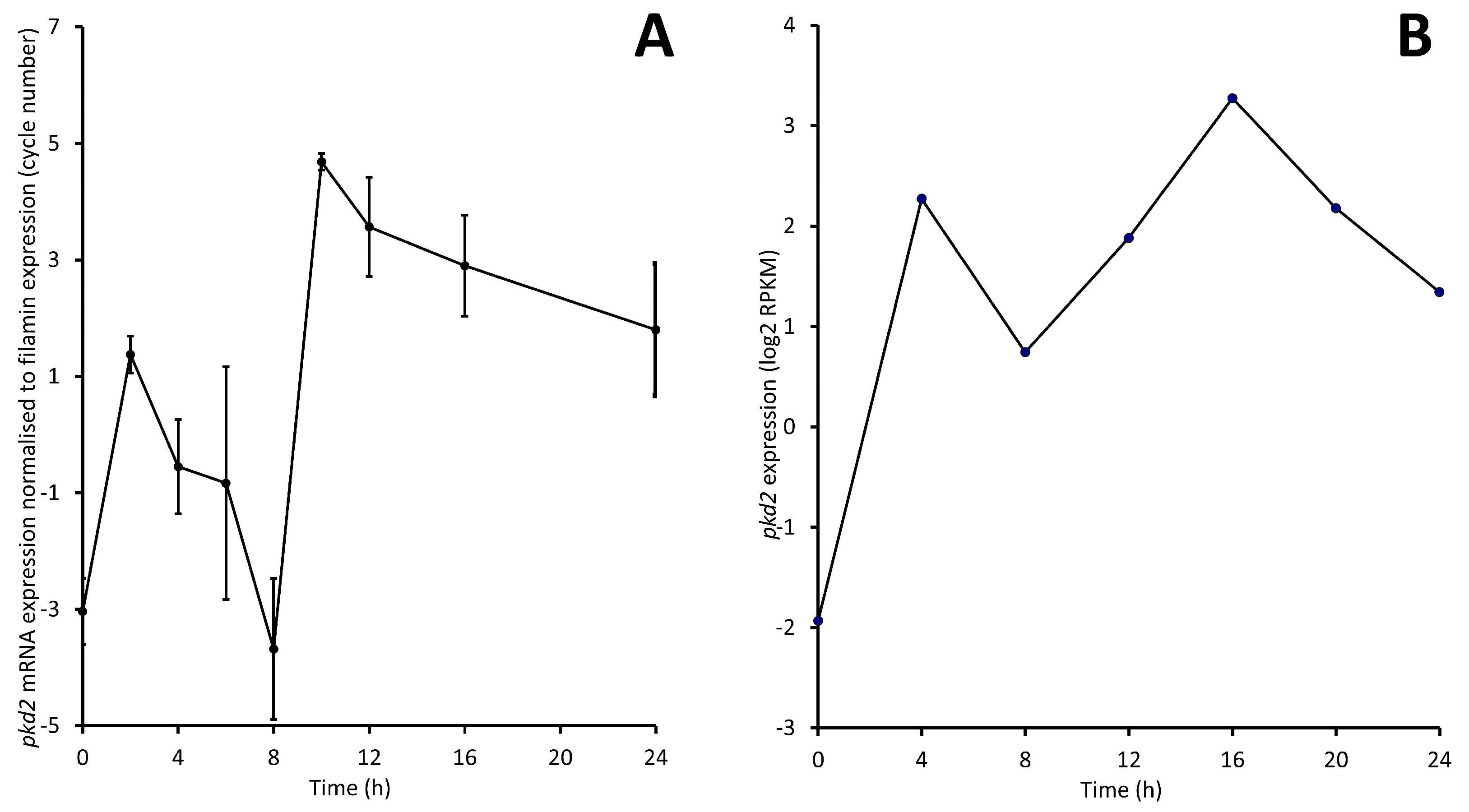
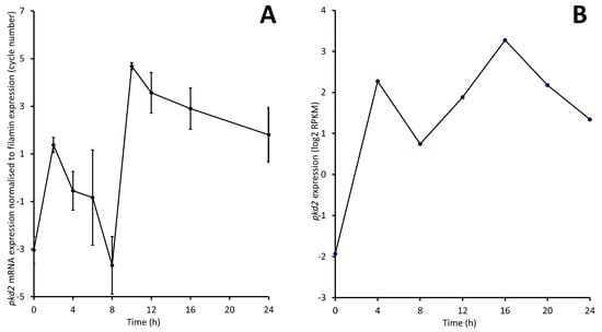
3.1. Developmental Expression of pkd2
3.2. Genetic Manipulation of pkd2 Expression by Transformation of D. discoideum with Plasmid Constructs
3.3. Polycystin-2 Contributes to Chemotactic Calcium Responses in Dictyostelium
3.3.1. Analysis of the Kinetics of Ca2+ Responses to Chemoattractant
3.3.2. Resting Ca2+ Levels Are Altered by Changing pkd2 Expression
3.4. pkd2 Expression Levels Affect Fruiting Body Morphologies and Spore Viability
3.5. Polycystin-2 Positively Regulates Growth Rates and Nutrient Uptake via Phagocytosis and Pinocytosis
3.6. Polycystin-2 Expression Affects the Endolysosomal Vesicles
4. Discussion
5. Conclusions
Author Contributions
Funding
Institutional Review Board Statement
Informed Consent Statement
Data Availability Statement
Conflicts of Interest
References
- Wu, G.; D’Agati, V.; Cai, Y.; Markowitz, G.; Park, J.H.; Reynolds, D.M.; Maeda, Y.; Le, T.C.; Hou, H.; Kucherlapati, R.; et al. Somatic Inactivation of Polycystin 2 Results in Polycystic Kidney Disease. Cell 1998, 93, 177–188. [Google Scholar] [CrossRef] [PubMed]
- Roitbak, T.; Ward, C.J.; Harris, P.C.; Bacallao, R.; Ness, S.A.; Wandinger-Ness, A. A Polycystin-1 Multiprotein Complex Is Disrupted in Polycystic Kidney Disease Cells. Mol. Biol. Cell 2004, 15, 1334–1346. [Google Scholar] [CrossRef] [PubMed]
- Fallah, H.P.; Ahuja, E.; Lin, H.; Qi, J.; He, Q.; Gao, S.; An, H.; Zhang, J.; Xie, Y.; Liang, D. A Review on the Role of TRP Channels and Their Potential as Drug Targets: An Insight Into the TRP Channel Drug Discovery Methodologies. Front. Pharmacol. 2022, 13, 914499. [Google Scholar] [CrossRef] [PubMed]
- Luo, Y.; Vassilev, P.M.; Li, X.; Kawanabe, Y.; Zhou, J. Native Polycystin-2 Functions as a Plasma Membrane Ca2+-Permeable Cation Channel in Renal Epithelia. Mol. Cell Biol. 2003, 23, 2600–2607. [Google Scholar] [CrossRef] [PubMed]
- Ma, R.; Li, W.P.; Rundle, D.; Kong, J.; Akbarali, H.I.; Tsiokas, L. PKD2 Functions as an Epidermal Growth Factor-Activated Plasma Membrane Channel. Mol. Cell Biol. 2005, 25, 8285–8298. [Google Scholar] [CrossRef] [PubMed]
- Nauli, S.M.; Alenghat, F.J.; Luo, Y.; Williams, E.; Vassilev, P.; Li, X.; Elia, A.E.H.; Lu, W.; Brown, E.M.; Quinn, S.J.; et al. Polycystins 1 and 2 Mediate Mechanosensation in the Primary Cilium of Kidney Cells. Nat. Genet. 2003, 33, 129–137. [Google Scholar] [CrossRef]
- Pazour, G.J.; San Agustin, J.T.; Follit, J.A.; Rosenbaum, J.L.; Witman, G.B. Polycystin-2 Localizes to Kidney Cilia, and the Ciliary Level Is Elevated in Orpk Mice with Polycystic Kidney Disease. Curr. Biol. 2002, 12, R378–R380. [Google Scholar] [CrossRef] [PubMed]
- Cai, Y.; Maeda, Y.; Cedzich, A.; Torres, V.E.; Wu, G.; Hayashi, T.; Mochizuki, T.; Park, J.H.; Witzgall, R.; Somlo, S. Identification and Characterization of Polycystin-2, the PKD2 Gene Product. J. Biol. Chem. 1999, 274, 28557–28565. [Google Scholar] [CrossRef] [PubMed]
- Koulen, P.; Cai, Y.; Geng, L.; Maeda, Y.; Nishimura, S.; Witzgall, R.; Ehrlich, B.E.; Somlo, S. Polycystin-2 Is an Intracellular Calcium Release Channel. Nat. Cell Biol. 2002, 4, 191–197. [Google Scholar] [CrossRef]
- Hanaoka, K.; Qian, F.; Boletta, A.; Bhunia, A.K.; Piontek, K.; Tsiokas, L.; Sukhatme, V.P.; Guggino, W.B.; Germino, G.G. Co-assembly of Polycystin-1 and -2 Produces Unique Cation-Permeable Currents. Nature 2000, 408, 990–994. [Google Scholar] [CrossRef]
- Padhy, B.; Xie, J.; Wang, R.; Lin, F.; Huang, C.L. Channel Function of Polycystin-2 in the Endoplasmic Reticulum Protects Against Autosomal Dominant Polycystic Kidney Disease. J. Am. Soc. Nephrol. 2022, 33, 1501–1516. [Google Scholar] [CrossRef]
- Liu, X.; Tang, J.; Chen, X.Z. Role of PKD2 in the Endoplasmic Reticulum Calcium Homeostasis. Front. Physiol. 2022, 13, 962571. [Google Scholar] [CrossRef] [PubMed]
- Li, Y.; Wright, J.M.; Qian, F.; Germino, G.G.; Guggino, W.B. Polycystin 2 Interacts with Type I Inositol 1,4,5-Trisphosphate Receptor to Modulate Intracellular Ca2+ Signaling. J. Biol. Chem. 2005, 280, 41298–41306. [Google Scholar] [CrossRef] [PubMed]
- Anyatonwu, G.I.; Estrada, M.; Tian, X.; Somlo, S.; Ehrlich, B.E. Regulation of Ryanodine Receptor-Dependent Calcium Signalling by Polycystin-2. Proc. Natl. Acad. Sci. USA 2007, 104, 6454–6459. [Google Scholar] [CrossRef] [PubMed]
- Sammels, E.; Devogelaere, B.; Mekahli, D.; Bultynck, G.; Missiaen, L.; Parys, J.B.; Cai, Y.; Somlo, S.; De Smedt, H. Polycystin-2 Activation by Inositol 1,4,5-Trisphosphate-Induced Ca2+ Release Requires Its Direct Association with the Inositol 1,4,5-Trisphosphate Receptor in a Signaling Microdomain. J. Biol. Chem. 2010, 285, 18794–18805. [Google Scholar] [CrossRef] [PubMed]
- Yamaguchi, T.; Wallace, D.P.; Magenheimer, B.S.; Hempson, S.J.; Grantham, J.J.; Calvet, J.P. Calcium restriction allows cAMP activation of the B-Raf/ERK pathway, switching cells to a cAMP-dependent growth-stimulated phenotype. J. Biol. Chem. 2004, 279, 40419–40430. [Google Scholar] [CrossRef] [PubMed]
- Ye, M.; Grantham, J.J. The Secretion of Fluid by Renal Cysts from Patients with Autosomal Dominant Polycystic Kidney Disease. N. Engl. J. Med. 1993, 329, 310–313. [Google Scholar] [CrossRef] [PubMed]
- Li, L.X.; Fan, L.X.; Zhou, J.X.; Grantham, J.J.; Calvet, J.P.; Sage, J.; Li, X. Lysine Methyltransferase SMYD2 Promotes Cyst Growth in Autosomal Dominant Polycystic Kidney Disease. J. Clin. Investig. 2017, 127, 2751–2764. [Google Scholar] [CrossRef] [PubMed]
- Brill, A.L.; Ehrlich, B.E. Polycystin 2: A calcium channel, channel partner, and regulator of calcium homeostasis in ADPKD. Cell Signal. 2020, 66, 109490. [Google Scholar] [CrossRef]
- Kahveci, A.S.; Barnatan, T.T.; Kahveci, A.; Adrian, A.E.; Arroyo, J.; Eirin, A.; Harris, P.C.; Lerman, A.; Lerman, L.O.; Torres, V.E.; et al. Oxidative Stress and Mitochondrial Abnormalities Contribute to Decreased Endothelial Nitric Oxide Synthase Expression and Renal Disease Progression in Early Experimental Polycystic Kidney Disease. Int. J. Mol. Sci. 2020, 21, 1994. [Google Scholar] [CrossRef]
- Lu, Y.; Sun, Y.; Liu, Z.; Lu, Y.; Zhu, X.; Lan, B.; Mi, Z.; Dang, L.; Li, N.; Zhan, W.; et al. Activation of NRF2 Ameliorates Oxidative Stress and Cystogenesis in Autosomal Dominant Polycystic Kidney Disease. Sci. Transl. Med. 2020, 12, eaba3613. [Google Scholar] [CrossRef] [PubMed]
- Fan, L.X.; Zhou, X.; Sweeney, W.E., Jr.; Wallace, D.P.; Avner, E.D.; Grantham, J.J.; Li, X. Smac-Mimetic–Induced Epithelial Cell Death Reduces the Growth of Renal Cysts. J. Am. Soc. Nephrol. 2013, 24, 2010–2022. [Google Scholar] [CrossRef] [PubMed]
- Nowak, K.L.; Edelstein, C.L. Apoptosis and Autophagy in Polycystic Kidney Disease (PKD). Cell Signal. 2020, 68, 109518. [Google Scholar] [CrossRef] [PubMed]
- Sieben, C.J.; Harris, P.C. Experimental Models of Polycystic Kidney Disease: Applications and Therapeutic Testing. Kidney360 2023, 4, 1155–1173. [Google Scholar] [CrossRef] [PubMed]
- Ward, C.J.; Sharma, M. Polycystic Kidney Disease: Lessons Learned from Caenorhabditis elegans Mating Behavior. Curr. Biol. 2015, 25, R1168–R1170. [Google Scholar] [CrossRef] [PubMed]
- Watnick, T.J.; Jin, Y.; Matunis, E.; Kernan, M.J.; Montell, C. A Flagellar Polycystin-2 Homolog Required for Male Fertility in Drosophila. Curr. Biol. 2003, 13, 2179–2184. [Google Scholar] [CrossRef]
- Van Goethem, E.; Silva, E.A.; Xiao, H.; Franc, N.C. The Drosophila TRPP Cation Channel, PKD2 and Dmel/Ced-12 Act in Genetically Distinct Pathways During Apoptotic Cell Clearance. PLoS ONE 2012, 7, e31488. [Google Scholar] [CrossRef]
- Menezes, L.F.; Germino, G.G. Murine Models of Polycystic Kidney Disease. Drug Discov. Today Dis. Mech. 2013, 10, e153–e158. [Google Scholar] [CrossRef]
- Wilczynska, Z.; Schlatterer, C.; Muller-Taubenberger, A.; Malchow, D.; Fisher, P.R. Release of Ca2+ from the Endoplasmic Reticulum Contributes to Ca2+ Signalling in Dictyostelium. Eukaryot. Cell 2005, 4, 1513–1525. [Google Scholar] [CrossRef]
- Lima, W.C.; Vinet, A.; Pieters, J.; Cosson, P. Role of PKD2 in Rheotaxis in Dictyostelium. PLoS ONE 2014, 9, e88682. [Google Scholar] [CrossRef]
- Traynor, D.; Kay, R.R. A Polycystin-Type Transient Receptor Potential (Trp) Channel That Is Activated by ATP. Biology Open 2017, 6, 200–209. [Google Scholar] [CrossRef] [PubMed]
- Fey, P.; Dodson, R.J.; Basu, S.; Chisholm, R.L. One stop shop for everything Dictyostelium: DictyBase and the Dicty Stock Center in 2012. Methods Mol. Biol. 2013, 983, 59–92. [Google Scholar] [CrossRef] [PubMed]
- Waheed, A.; Ludtmann, M.H.R.; Pakes, N.; Robery, S.; Kuspa, A.; Dinh, C.; Baines, D.; Williams, R.S.B.; A Carew, M. Naringenin Inhibits the Growth of Dictyostelium and MDCK-Derived Cysts in a Polycystin-2 (TRPP2)-Dependent Manner. Br. J. Pharmacol. 2014, 171, 2659–2670. [Google Scholar] [CrossRef] [PubMed]
- Allan, C.Y. Calcium Signalling in Dictyostelium. Ph.D. Thesis, La Trobe University Australia, Bundoora, Australia, 2022. [Google Scholar]
- Artemenko, Y.; Axiotakis, L., Jr.; Borleis, J.; Iglesias, P.A.; Devreotes, P.N. Chemical and Mechanical Stimuli Act on Common Signal Transduction and Cytoskeletal Networks. Proc. Natl. Acad. Sci. USA 2016, 113, E7500–E7509. [Google Scholar] [CrossRef] [PubMed]
- Wilczynska, Z.; Barth, C.; Fisher, P.R. Mitochondrial mutations impair signal transduction in Dictyostelium discoideum slugs. Biochem. Biophys. Res. Commun. 1997, 234, 39–43. [Google Scholar] [CrossRef] [PubMed]
- Kotsifas, M.; Barth, C.; Lay, S.T.; Lozanne, A.; Fisher, P.R. Chaperonin 60 and mitochondrial disease in Dictyostelium. J. Muscle Res. Cell Motil. 2002, 23, 839–852. [Google Scholar] [CrossRef] [PubMed]
- Bokko, P.B.; Francione, L.; Bandala-Sanchez, E.; Ahmed, A.U.; Annesley, S.J.; Huang, X.; Khurana, T.; Kimmel, A.R.; Fisher, P.R. Diverse cytopathologies in mitochondrial disease are caused by AMP-activated protein kinase signalling. Mol. Biol. Cell 2007, 18, 1874–1886. [Google Scholar] [CrossRef] [PubMed]
- Nellen, W.; Silan, C.; Firtel, R.A. DNA-Mediated transformation in Dictyostelium discoideum: Regulated expression of an actin gene fusion. Mol. Cell Biol. 1984, 4, 2890–2898. [Google Scholar] [CrossRef]
- Wilczynska, Z.; Fisher, P.R. Analysis of a complex plasmid insertion in a phototaxis-deficient transformant of Dictyostelium discoideum selected on a Micrococcus luteus lawn. Plasmid 1994, 32, 182–194. [Google Scholar] [CrossRef]
- Allan, C.Y.; Fisher, P.R. The Dictyostelium Model for Mucolipidosis Type IV. Front. Cell Dev. Biol. 2022, 10, 741967. [Google Scholar] [CrossRef]
- Maselli, A.; Laevsky, G.; Knecht, D.A. Kinetics of binding, uptake and degradation of live fluorescent (DsRed) bacteria by Dictyostelium discoideum. Microbiology 2002, 148, 413–420. [Google Scholar] [CrossRef] [PubMed]
- Cotter, D.A.; Raper, K.B. Spore germination in Dictyostelium discoideum. Proc. Natl. Acad. Sci. USA 1966, 56, 880–887. [Google Scholar] [CrossRef] [PubMed]
- Cotter, D.A.; Raper, K.B. Properties of germinating spores of Dictyostelium discoideum. J. Bacteriol. 1968, 96, 1680–1689. [Google Scholar] [CrossRef] [PubMed]
- Kessin, R.H. Dictyostelium—Evolution, Cell Biology, and the Development of Multicellularity; Cambridge University Press: New York, NY, USA, 2001. [Google Scholar]
- Van Driessche, N.; Shaw, C.; Katoh, M.; Morio, T.; Sucgang, R.; Ibarra, M.; Kuwayama, H.; Saito, T.; Urushihara, H.; Maeda, M.; et al. A transcriptional profile of multicellular development in Dictyostelium discoideum. Development 2002, 129, 1543–1552. [Google Scholar] [CrossRef] [PubMed]
- Parikh, A.; Miranda, E.R.; Katoh-Kurasawa, M.; Fuller, D.; Rot, G.; Zagar, L.; Curk, T.; Sucgang, R.; Chen, R.; Zupan, B.; et al. Conserved developmental transcriptomes in evolutionarily divergent species. Genome. Biol. 2010, 11, R35. [Google Scholar] [CrossRef] [PubMed]
- Stajdohar, M.; Jeran, L.; Kokosar, J.; Blenkus, D.; Janez, T.; Kuspa, A.; Shaulsky, G.; Zupan, B. dictyExpress: Visual Analytics of NGS Gene Expression in Dictyostelium. 2015. Available online: https://www.dictyexpress.org (accessed on 20 March 2024).
- Stajdohar, M.; Rosengarten, R.D.; Kokosar, J.; Jeran, L.; Blenkus, D.; Shaulsky, G.; Zupan, B. dictyExpress: A web-based platform for sequence data management and analytics in Dictyostelium and beyond. BMC Bioinform. 2017, 18, 291. [Google Scholar] [CrossRef] [PubMed]
- Barth, C.; Fraser, D.J.; Fisher, P.R. Co-insertional replication is responsible for tandem multimer formation during plasmid integration into the Dictyostelium genome. Sci. Direct. 1998, 39, 141–153. [Google Scholar] [CrossRef]
- Nebl, T.; Fisher, P.R. Intracellular Ca2+ responses by Dictyostelium amoebae to nanomolar chemoattractant stimuli are mediated exclusively by Ca2+ influx. J. Cell Sci. 1997, 110, 2845–2853. [Google Scholar] [CrossRef]
- Giusti, C.; Tresse, E.; Luciani, M.F.; Golstein, P. Autophagic cell death: Analysis in Dictyostelium. Biochim. Biophys. Acta. 2009, 1793, 1422–1431. [Google Scholar] [CrossRef]
- Giusti, C.; Luciani, M.F.; Ravens, S.; Gillet, A.; Golstein, P. Autophagic cell death in Dictyostelium requires the receptor histidine kinase DhkM. Mol. Biol. Cell 2010, 21, 1825–1835. [Google Scholar] [CrossRef]
- Poloz, Y.; O’Day, D.H. Ca2+ signaling regulates ecmB expression, cell differentiation and slug regeneration in Dictyostelium. Differentiation 2012, 84, 163–175. [Google Scholar] [CrossRef] [PubMed]
- Schaap, P.; Nebl, T.; Fisher, P.R. A slow sustained increase in cytosolic Ca2+ levels mediates stalk gene induction by differentiation-inducing factor in Dictyostelium. EMBO J. 1996, 15, 5177–5183. [Google Scholar] [CrossRef] [PubMed]
- Cotter, D.A.; Sands, T.W.; Virdy, K.J.; North, M.J.; Klein, G.; Satre, M. Patterning of development in Dictyostelium discoideum factors regulating growth, differentiation, spore dormancy and germination. Biochem. Cell Biol. 1992, 70, 892–919. [Google Scholar] [CrossRef] [PubMed]
- Lydan, M.A.; Cotter, D.A. The role of Ca2+ during spore germination in Dictyostelium: Autoactivation is mediated by the mobilization of Ca2+ while amoebal emergence requires entry of external Ca2+. J. Cell Sci. 1995, 108, 1921–1930. [Google Scholar] [CrossRef] [PubMed]
- Gundu, C.; Arruri, V.K.; Yadav, P.; Navik, U.; Kumar, A.; Amalkar, V.S.; Vikram, A.; Gaddam, R.R. Dynamin-Independent Mechanisms of Endocytosis and Receptor Trafficking. Cells 2022, 11, 2557. [Google Scholar] [CrossRef] [PubMed]
- Pryor, P.R.; Mullock, B.M.; Bright, N.A.; Gray, S.R.; Luzio, J.P. The role of intraorganellar Ca2+ in late endosome-lysosome heterotypic fusion and in the reformation of lysosomes from hybrid organelles. J. Cell Biol. 2000, 149, 1053–1062. [Google Scholar] [CrossRef] [PubMed]
- Brunger, A.T.; Leitz, J.; Zhou, Q.; Choi, U.B.; Lai, Y. Ca2+-Triggered Synaptic Vesicle Fusion Initiated by Release of Inhibition. Trends. Cell Biol. 2018, 28, 631–645. [Google Scholar] [CrossRef] [PubMed]
- Nunes, P.; Demaurex, N. The role of calcium signaling in phagocytosis. J. Leukocyte Biol. 2010, 88, 57–68. [Google Scholar] [CrossRef]
- Traynor, D.; Milne, J.L.; Insall, R.H.; Kay, R.R. Ca2+ signalling is not required for chemotaxis in Dictyostelium. EMBO J. 2000, 19, 4846–4854. [Google Scholar] [CrossRef]
- Ludlow, M.J.; Traynor, D.; Fisher, P.R.; Ennion, S.J. Purinergic-mediated Ca2+ influx in Dictyostelium discoideum. Cell Calcium 2008, 44, 567–579. [Google Scholar] [CrossRef]
- Luzio, J.P.; Bright, N.A.; Pryor, P.R. The role of calcium and other ions in sorting and delivery in the late endocytic pathway. Biochem. Soc. Trans. 2007, 35, 1088–1091. [Google Scholar] [CrossRef] [PubMed]
- Patel, S.; Cai, X. Evolution of acidic Ca2+ stores and their resident Ca2+-permeable channels. Cell Calcium 2015, 57, 222–230. [Google Scholar] [CrossRef] [PubMed]
- Pan, M.; Xu, X.; Chen, Y.; Jin, T. Identification of a chemoattractant G Protein-Coupled Receptor for folic acid that controls both chemotaxis and phagocytosis. Dev. Cell 2016, 36, 428–439. [Google Scholar] [CrossRef] [PubMed]
- Pikzack, C.; Prassler, J.; Furukawa, R.; Fechheimer, M.; Rivero, F. Role of calcium-dependent actin-bundling proteins: Characterization of Dictyostelium mutants lacking fimbrin and the 34-kilodalton protein. Cell Motil. Cytoskel. 2005, 62, 210–231. [Google Scholar] [CrossRef] [PubMed]
- Muller-Taubenberger, A.; Lupas, A.N.; Li, H.; Ecke, M.; Simmeth, E.; Gerisch, G. Calreticulin and calnexin in the endoplasmic reticulum are important for phagocytosis. EMBO J. 2001, 20, 6772–6782. [Google Scholar] [CrossRef] [PubMed]
- Gerasimenko, J.V.; Tepikin, A.V.; Petersen, O.H.; Gerasimenko, O.V. Calcium uptake via endocytosis with rapid release from acidifying endosomes. Curr. Biol. 1998, 8, 1335–1338. [Google Scholar] [CrossRef] [PubMed]
- Birgisdottir, Å.B.; Johansen, T. Autophagy and endocytosis—Interconnections and interdependencies. J. Cell Sci. 2020, 133, jcs228114. [Google Scholar] [CrossRef]
- Medina, D.L.; Di Paola, S.; Peluso, I.; Armani, A.; De Stefani, D.; Venditti, R.; Montefusco, S.; Scotto-Rosato, A.; Prezioso, C.; Forrester, A.; et al. Lysosomal calcium signalling regulates autophagy through calcineurin and TFEB. Nat. Cell Biol. 2015, 17, 288–299. [Google Scholar] [CrossRef]
- Morgan, A.J.; Davis, L.C.; Galione, A. Choreographing endo-lysosomal Ca2+ throughout the life of a phagosome. Biochim. Biophys. Acta. Mol. Cell Res. 2021, 1868, 119040. [Google Scholar] [CrossRef]
- Saran, S.; Azhar, M.; Manogaran, P.S.; Pande, G.; Nanjundiah, V. The level of sequestered calcium in vegetative amoebae of Dictyostelium discoideum can predict post-aggregative cell fate. Differentiation 1994, 57, 163–169. [Google Scholar] [CrossRef]
- Azhar, M.; Saran, S.; Nanjundiah, V. Spatial gradients of calcium in the slug of Dictyostelium discoideum. Curr. Sci. 1995, 68, 337–342. [Google Scholar]
- Azhar, M.; Manogaran, P.S.; Kennady, P.K.; Pande, G.; Nanjundiah, V. A Ca2+-dependent early functional heterogeneity in amoebae of Dictyostelium discoideum revealed by flow cytometry. Exp. Cell Res. 1996, 227, 344–351. [Google Scholar] [CrossRef] [PubMed]
- Azhar, M.; Kennady, P.K.; Pande, G.; Nanjundiah, V. Stimulation by DIF causes an increase of intracellular Ca2+ in Dictyostelium discoideum. Exp. Cell Res. 1997, 230, 403–406. [Google Scholar] [CrossRef] [PubMed]
- Aguilar, A. Polycystic kidney disease: Autophagy boost to treat ADPKD? Nat. Rev. Nephrol. 2017, 13, 134. [Google Scholar] [CrossRef] [PubMed]
- Criollo, A.; Altamirano, F.; Pedrozo, Z.; Schiattarella, G.G.; Li, D.L.; Rivera-Mejías, P.; Sotomayor-Flores, C.; Parra, V.; Villalobos, E.; Battiprolu, P.K.; et al. Polycystin-2-dependent control of cardiomyocyte autophagy. J. Mol. Cell Cardiol. 2018, 118, 110–121. [Google Scholar] [CrossRef] [PubMed]
- Pan, F.; Bu, L.; Wu, K.; Wang, A.; Xu, X. PKD2/Polycystin-2 inhibits LPS-induced acute lung injury in vitro and in vivo by activating autophagy. BMC Pulm. Med. 2023, 23, 171. [Google Scholar] [CrossRef] [PubMed]
- Peña-Oyarzun, D.; Troncoso, R.; Kretschmar, C.; Hernando, C.; Budini, M.; Morselli, E.; Lavandero, S.; Criollo, A. Hyperosmotic stress stimulates autophagy via Polycystin-2. Oncotarget 2017, 8, 55984–55997. [Google Scholar] [CrossRef] [PubMed]
- Lu, J.; Boheler, K.R.; Jiang, L.; Chan, C.W.; Tse, W.W.; Keung, W.; Ny Poon, E.; Li, R.A.; Yao, X. Polycystin-2 plays an essential role in glucose starvation-induced autophagy in human embryonic stem cell-derived cardiomyocytes. Stem Cells 2018, 36, 501–513. [Google Scholar] [CrossRef]
- Tresse, E.; Giusti, C.; Kosta, A.; Luciani, M.F.; Golstein, P. Autophagy and autophagic cell death in Dictyostelium. Methods Enzymol. 2008, 451, 343–358. [Google Scholar] [CrossRef]
- Calvo Garrido, J.; Carilla-Latorre, S.; Kubohara, Y.; Santos-Rodrigo, N.; Mesquita, A.; Soldati, T.; Golstein, P.; Escalante, R. Autophagy in Dictyostelium: Genes and pathways, cell death and infection. Autophagy 2010, 6, 686–701. [Google Scholar] [CrossRef]
- Swer, P.B.; Lohia, R.; Saran, S. Analysis of rapamycin-induced autophagy in Dictyostelium discoideum. Indian J. Exp. Biol. 2014, 52, 295–304. [Google Scholar] [PubMed]
- Swer, P.B.; Mishra, H.; Lohia, R.; Saran, S. Overexpression of TOR (target of rapamycin) inhibits cell proliferation in Dictyostelium discoideum. J. Basic Microbiol. 2016, 56, 510–519. [Google Scholar] [CrossRef] [PubMed]
- Jaiswal, P.; Majithia, A.R.; Rosel, D.; Liao, X.H.; Khurana, T.; Kimmel, A.R. Integrated actions of mTOR complexes 1 and 2 for growth and development of Dictyostelium. Int. J. Dev. Biol. 2019, 63, 521–527. [Google Scholar] [CrossRef]
- Gross, J.D.; Pears, C.J. Possible Involvement of the Nutrient and Energy Sensors mTORC1 and AMPK in Cell Fate Diversification in a Non-Metazoan Organism. Front. Cell Dev. Biol. 2021, 9, 758317. [Google Scholar] [CrossRef] [PubMed]











Disclaimer/Publisher’s Note: The statements, opinions and data contained in all publications are solely those of the individual author(s) and contributor(s) and not of MDPI and/or the editor(s). MDPI and/or the editor(s) disclaim responsibility for any injury to people or property resulting from any ideas, methods, instructions or products referred to in the content. |
© 2024 by the authors. Licensee MDPI, Basel, Switzerland. This article is an open access article distributed under the terms and conditions of the Creative Commons Attribution (CC BY) license (https://creativecommons.org/licenses/by/4.0/).
Share and Cite
Allan, C.Y.; Sanislav, O.; Fisher, P.R. Polycystin-2 Mediated Calcium Signalling in the Dictyostelium Model for Autosomal Dominant Polycystic Kidney Disease. Cells 2024, 13, 610. https://doi.org/10.3390/cells13070610
Allan CY, Sanislav O, Fisher PR. Polycystin-2 Mediated Calcium Signalling in the Dictyostelium Model for Autosomal Dominant Polycystic Kidney Disease. Cells. 2024; 13(7):610. https://doi.org/10.3390/cells13070610
Chicago/Turabian StyleAllan, Claire Y., Oana Sanislav, and Paul R. Fisher. 2024. "Polycystin-2 Mediated Calcium Signalling in the Dictyostelium Model for Autosomal Dominant Polycystic Kidney Disease" Cells 13, no. 7: 610. https://doi.org/10.3390/cells13070610
APA StyleAllan, C. Y., Sanislav, O., & Fisher, P. R. (2024). Polycystin-2 Mediated Calcium Signalling in the Dictyostelium Model for Autosomal Dominant Polycystic Kidney Disease. Cells, 13(7), 610. https://doi.org/10.3390/cells13070610

