Abstract
Developmental and Epileptic Encephalopathies (DEEs) represent a clinically and genetically heterogeneous group of rare and severe epilepsies. DEEs commonly begin early in infancy with frequent seizures of various types associated with intellectual disability and leading to a neurodevelopmental delay or regression. Disease-causing genomic variants have been identified in numerous genes and are implicated in over 100 types of DEEs. In this context, genes encoding voltage-gated ion channels (VGCs) play a significant role, and part of the large phenotypic variability observed in DEE patients carrying VGC mutations could be explained by the presence of genetic modifier alleles that can compensate for these mutations. This review will focus on the current knowledge of the compensatory effect of DEE-associated voltage-gated ion channels and their therapeutic implications in DEE. We will enter into detailed considerations regarding the sodium channels SCN1A, SCN2A, and SCN8A; the potassium channels KCNA1, KCNQ2, and KCNT1; and the calcium channels CACNA1A and CACNA1G.
1. Introduction
Developmental and Epileptic Encephalopathies (DEEs) refer to a group of neurologic disorders that are clinically and genetically heterogeneous. They are characterized by intractable epileptic seizures starting in infancy, accompanied by developmental delay and cognitive impairments, difficulties with motor control, and a high susceptibility to sudden unexpected death in epilepsy (SUDEP) [1,2]. Most DEEs are rare genetically determined disorders, but due to their genetic heterogeneity, their precise and specific epidemiology remains difficult to evaluate, while the overall annual incidence of single-gene epilepsies has been estimated at around 1 per 2100 live births [3,4]. The vast majority of DEE disease-causing genomic variants arise de novo, and a few are inherited from an unaffected mosaic parent [5,6]. These mutations include gain or loss of function (GOF/LOF) in genes that control neuronal excitability, synapse function, and brain development. Several types of mutations have been described, including small insertions, deletions, frameshifts, nonsense, missense, splice-site mutations, and full exon deletions or duplications [7,8]. Voltage-gated ion channels (VGCs) are transmembrane proteins mediating ion fluxes across membranes. They include sodium, potassium, calcium, and chloride channels, coordinating the flux of cationic and anionic currents to regulate the electrical features of neurons. They are the core to the regulation of membrane resting potential, generation, and conduction of action potential (AP), modulation of cell excitability, and neurotransmitter release. While they are broadly distributed throughout the brain, their expression varies across different regions of the brain and is differentially regulated within dendrites and axons. This tight distribution and regulation allow them to generate action potential firing patterns and integrate synaptic inputs properly [9]. This review will examine the latest understanding of the compensatory effects of specific voltage-gated ion channels associated with DEE and their therapeutic implications. The ion channels under consideration include three sodium channels, SCN1A, SCN2A, and SCN8A; three potassium channels, KCNA1, KCNQ2, and KCNT1; and two calcium channels, CACNA1A and CACNA1G (the summary of these channels is provided in Table 1). We will begin with an introduction to these channels and their regulation pattern throughout brain development, followed by an exploration of their compensatory effects as a potential therapeutic strategy in DEE.
Table 1.
Summary of Selected Ion Channels.
2. Voltage-Gated Sodium Channels
Voltage-gated sodium channels (Nav) in the brain include one large, pore-forming α-subunit and two smaller β-subunits [10]. The α-subunit has roughly 2000 amino acids and includes four homologous domains (DI to DIV), each containing six highly conserved transmembrane segments (S1 to S6). The α-subunit is responsible for conducting ion currents, whereas the β-subunits control trafficking and some electrophysiological properties of the α-subunit [11,12]. SCN1A (encoding Nav1.1) is highly expressed in the CNS, and its expression steadily increases from 4–5 months of age [13]. At the cellular level, it is predominantly expressed in the GABAergic interneurons (particularly in parvalbumin neurons), regulating neuronal excitability, and at the subcellular level, it is found predominantly in the axon initiation segment (AIS) of neurons, where it is thought to control setting the action potential initiation threshold [14]. SCN1A is the most common genetic cause for DEE, with GOF or LOF mutations that scatter across almost all regions of the protein [15]. More than 1700 disease-causing variants have been reported for SCN1A, and more than 1500 of them are related to epileptic disease (SCN1A mutation database; caae.org.cn). Dravet syndrome (DEE6A) is the most common DEE due to LOF mutations (missense, nonsense, or truncations/deletions) in SCN1A. Most patients (~90%) have de novo heterozygous mutations, whereas 5–10% carry inherited autosomal dominant mutations from an asymptomatic or mildly affected parent [11]. The incidence of DEE6A is estimated at 1 in 20,900 in the US population [16], 1 in 22,000 in the Danish population [17], and 1 in 40,900 in the UK population [18], where the average age at the onset of a seizure is 6 months. Development is commonly normal during the first year, but many patients develop cognitive, intellectual, and motor co-morbidities during the second year of life [19]. The severity of the phenotype varies even among family members with the same pathogenic variant [20]. Similarly, the lethal seizure shows incomplete penetrance in the mouse models of Dravet syndrome, with 50% of Scn1a+/− mice remaining unaffected. This may be explained by compensatory upregulation of other sodium channels to compensate for the LOF of SCN1A [21,22]. SCN2A (encoding Nav1.2) is widely expressed throughout the human central nervous system but not in peripheral tissues [23]. It is highly expressed in the fetal brain with a close developmental correlation with SCN8A, where it peaks during early development and is successively replaced by SCN8A during the first month of life [24]. It is expressed predominantly, but not exclusively, in excitatory glutamatergic neurons, where it is more localized in proximal axon initial segments (AIS) and involved in the initiation and propagation of action potential [25]. It is also localized to the soma and dendrites of pyramidal neurons [26]. It is transcribed in neonatal and adult isoforms, each with different characteristics, where the neonatal splice isoform of SCN2A is less excitable than that of adults. This reduced excitability in the neonatal isoform provides a protective role against seizures. In contrast, the adult Scn2a isoform in mice is associated with increased seizure susceptibility [27]. More than 100 mutations have been reported for this gene, where GOF mutations are related to epilepsy due to neuronal hyperexcitability, and LOF mutations are related to autism and the intellectual disability phenotype. Early-onset (EO) and late-onset (LO) forms of the disorder have been reported. In EO form, seizure onset occurs before 3 months of age, and it is related to GOF mutations. In LO form, seizure onset occurs after 3 months of age, and it is linked with partial or complete LOF of SCN2A, including missense, frameshift, nonsense, and splice site mutations [11,24,28]. SCN8A (encoding Nav1.6) is expressed in the central and peripheral nervous systems ubiquitously. At the cellular level, it is expressed predominantly in excitatory neurons, especially in cerebellar granule cells, as well as pyramidal and granule cells of the hippocampus. Nav1.6 is expressed prenatally, and the expression begins to increase shortly after birth, reaching its highest level during the first years of life. At the subcellular level, it is widely expressed in the distal AIS and nodes of Ranvier of myelinated axons. The distal AIS is where the action potentials are triggered, and Nav1.6 exhibits a 40-fold higher concentration of the AIS than the soma and proximal dendrites [29]. SCN8A plays a crucial role in initiating action potentials at the distal AIS, and the absence of Nav1.6 leads to an elevated threshold for action potential initiation [30,31]. More than 200 mutations have been reported in SCN8A, where these mutations can manifest as both GOF and LOF, with the majority of epilepsy-linked variants being de novo GOF missense mutations [32,33]. It has been shown that overexpression of Nav1.6 in the AIS results in an increase in spontaneous and repetitive firing [25,34], a possible rationale for why epilepsy-related mutations in SCN8A are mainly GOF with an effect on the action potential threshold.
3. Voltage-Gated Potassium Channels
Voltage-gated potassium channels (Kv) are the largest ion channel group with substantial expression in CNS. They are tetramers composed of four pore-forming α-subunits and modulatory β-subunits. Each α-subunit contains six transmembrane segments (S1–S6) where S1–S4 form the voltage-sensor domain, and the S5–S6 linker form the pore region. They control resting membrane potential (RMP) by producing outward K+ currents followed by limiting neuronal excitability [35,36,37]. KCNA1 (encodes Kv1.1) is widely expressed throughout the central nervous system, with particularly high levels of expression in the hippocampus [38]. It assembles as a heteromer with KCNA2 (encodes Kv1.2) to regulate outward potassium currents, orchestrate action potentials, and finely tune neurotransmitter release. KCNA1 is predominantly localized in the axon initial segment, axon preterminal, and the juxta-paranodal (JPN) domain besides the nodes of Ranvier [39]. In the neocortex, they are located at the AIS of fast-spiking neocortical GABAergic interneurons and regulate their excitability [40]. In the cerebellum, they are at the terminal of basket cells, where they suppress the hyperexcitability of Purkinje cells by promoting GABA release [41]. Mutations in the KCNA1 gene induce LOF defects and change the biophysical properties of heteromeric Kv1 channels, causing epilepsy or Episodic Ataxia Type 1 (EA1) or a mixed phenotype [35]. KCNQ2 (encoding Kv7.2) acts as homo-tetramers or hetero-tetramers with KCNQ3 (Kv7.3) to mediate the M-current, a slow, non-inactivating K+ current that regulates membrane potential at the subthreshold voltage range, thus limiting action potential initiation and repetitive firing frequency. It is widely expressed in the brain and enriched in the AIS and nodes of Ranvier in pyramidal neurons [39,42]. KCNQ2 variants might cause either benign epilepsies or DEE, depending on the protein domain affected by the mutation. The majority of KCNQ2 and KCNQ3 variants are LOF. HoweverGOF, some de novo GOF variants are also related to DEE [43]. KCNT1 encodes the sodium-activated potassium channel KNa1.1 (also known as Slo2.2 or Slack), which, in collaboration with KNa1.2 (encoded by KCNT2), mediates a delayed outward rectifying K+ current, thus modulating neuronal excitability and adaptability in response to high-frequency stimulation [44]. Slack channels are widely expressed in different regions of the brain, including the cortex, hippocampus, thalamus, olfactory bulb, midbrain cerebellum, and brainstem [45,46]. The activity of KCNT1 is, like that of KCNT2, weakly voltage-dependent and can be modulated by the intracellular sodium level. Mutation in KCNT1 shows a strong GOF effect, which results in augmented channel activity and an increase in potassium current up to 22-fold compared to wild-type channels [47,48]. KCNT1 channels are expressed in both inhibitory and excitatory neurons and are predominantly localized in some dendritic regions of the neurons. GOF variants impair excitability and AP generation of inhibitory interneurons but not excitatory neurons, leading to the loss of inhibitory regulation and seizure susceptibility [49,50,51].
4. Voltage-Gated Calcium Channels
Voltage-gated calcium (Cav) channels are hetero-multimers proteins that control calcium influx in response to membrane depolarization and regulate neurotransmitter release, intracellular signaling, and gene expression in the CNS. They consist of the pore-forming principal α subunit, which allows calcium entry in response to depolarization, and auxiliary subunits, including β, α2δ, and γ, that regulate channel localization and function. The α subunits are encoded by 10 different genes and contain four domains (DI-DIV), each with six transmembrane segments (S1 to S6), where the S5 and S6 transmembrane segments line the inner pore of the channel [10,52]. CACNA1A encodes the α subunit of high-threshold Cav2.1 P/Q-type voltage-gated calcium channel and regulates neurotransmission in excitatory and inhibitory synapses. Around 1700 CACNA1A variants have been reported, and over 400 of them are pathogenic or likely pathogenic with limited or no clinical or functional data [53]. Mutations in CACNA1A, whether inherited or occurring de novo, have been linked to severe early infantile epileptic encephalopathy in children. This condition manifests due to a specific loss of Cav2.1 channels in parvalbumin-positive GABAergic interneurons located in the cortex and hippocampus. This selective loss leads to impaired GABA release, which in turn triggers seizures [54]. CACNA1G encodes Cav3.1, a low threshold T-type voltage-gated calcium channel conducting transient calcium currents in response to small membrane depolarizations. It is expressed in various areas of the CNS, showing particularly high levels in Purkinje neurons and the deep nuclei of the cerebellum [55]. In mouse adult brains, Cav3.1 is localized in the cell bodies and dendritic shafts of interneurons in the cerebellum and hippocampus [56]. Missense variants of CACNA1G have been reported in DEE patients with a wide variety of seizure types. These variants typically result in a GOF effect by facilitating channel activation and prolonging the channel’s inactivation time. In contrast, the LOF of CACNA1G is protective against absence seizures, although the mechanistic details are unclear [57,58,59,60].
5. Developmental Regulation of Selected Voltage-Gated Ion Channels
Voltage-gated ion channels are developmentally regulated, where the prenatal and postnatal expression patterns differ temporally and spatially. Using the PsychNode dataset [61] (PsychEncode; showing the expression pattern of each gene from postconception week (PCW) 5 to 64 years old), we plotted the expression patterns of aforementioned channels (SCN1A, SCN2A, SCN8A, KCNA1, KCNQ2, KCNT1, CACNA1A, and CANA1G) in different regions of the human brain. The expression of SCN1A is lowest prenatally among the three sodium channels and rises progressively towards adult age (Figure 1A). Prenatal expression of SCN8A is slightly higher than that of SCN1A but follows the same trend as SCN1A (Figure 1B). SCN2A is expressed more prenatally than the two others, shows an increasing pattern until PCW 12, and remains steady across all ages (Figure 1C). Notably, the temporal expression pattern of each of these three genes aligns with the onset of the epilepsy phenotype, meaning channels that are enriched prenatally exhibit seizures earlier than those that are enriched postnatally [62]. Therefore, seizures typically begin earlier in patients with missense variants of SCN2A, usually around 2 weeks after birth, while they start at around 4 months and 6 months in patients carrying missense in SCN8A and SCN1A respectively [28]. Additionally, in utero seizures and dentate-olivary dysplasia have been reported due to mutations in SCN2A, suggesting a role in early neuronal development [63]. SCN2A and SCN8A show a close developmental correlation where SCN2A expression peaks in early development and will gradually be replaced at the AIS and nodes of Ranvier by SCN8A during the first month of life [64]. Milder forms of SCN2A related epilepsy (Benign Familial Infantile Seizures (BFISs)) are a good example of this correlation. The disease is characterized by seizures onset before 12 months, which will be resolved by 2 years of age, probably because SCN2A dysfunction is compensated by the emergence of SCN8A channels, which have a lower threshold for generation of action potential compared to SCN2A. Similarly, Scn2a could compensate for Scn8a in mouse neurons lacking Nav1.6, and that explains why seizures start later with SCN8A mutations compared to SCN2A mutations [24,28,64]. This developmental replacement of SCN2A by SCN8A is brain region dependent; for example, Nav1.2 expression continues throughout development in the cerebellum and is co-expressed with Nav1.6 in unmyelinated axons of excitatory granule cells, which is opposite to the developmental replacement of Nav1.2 in cortical myelinated axons [24,65,66]. The expression pattern of potassium and calcium channels is also highly regulated during brain development, depending on the stage of development and the brain region [67]. KCNA1 (Figure 1D) and KCNT1 (Figure 1E) show a lower level of expression during the early developmental phases and increase as brain development progresses. On the contrary, KCNQ2 shows an opposite pattern, with the highest expression prenatally in immature neurons, followed by a decrease as neuronal maturation progresses and synaptic connections form (Figure 1F). CACNA1A is initially expressed in several brain regions, including the cerebellum and cortex, and its expression gradually increases across most brain areas over time, with the highest levels observed in the cerebellar cortex (CBC), as illustrated in Figure 1G. The expression of CACNA1G shows distinct fluctuations among brain regions. Prenatally, higher expression levels are observed in the CBC and mediodorsal nucleus of the thalamus (MD) compared to other regions, followed by a postnatal increase. Conversely, it reaches a peak during mid-gestation in the striatum (STR) and neocortex (NCX), after which it declines in the striatum but persists in the neocortex, as illustrated in Figure 1H.
Figure 1.
Expression profile of the selected VGCs throughout the human lifespan. Among the sodium channels, the expression of (A) SCN1A is lowest prenatally, while the expression of (B) SCN8A and (C) SCN2A is slightly higher, followed by a rise in all three channels expression towards adulthood. Among potassium channels, (D) KCNA1 and (E) KCNT1 show a lower level of expression during early development and increase as development progresses. On the contrary, (F) KCNQ2 shows the highest expression prenatally, followed by a slight decrease postnatally. (G) CACNA1A has a higher postnatal expression, with the highest level in the cerebellar cortex. (H) CACNA1G shows fluctuation within the brain regions, with the highest expression in the cerebellar cortex. Nine windows (W) include fatal development (W1 to W4), birth (W5), infancy and childhood (W6 to W7), adolescence, and adulthood (W8 to W9) in different regions of the brain, including the neocortex (NCX), hippocampus (HIP), amygdala (AMY), striatum (STR), mediodorsal nucleus of the thalamus (MD), and cerebellar cortex (CBC). The graphs are extracted from the PsychNode dataset; Li et al., 2018 (PsychEncode) [61].
6. Compensatory Effect of Voltage-Gated Ion Channels in DEE
The homeostatic control of intrinsic excitability refers to the fact that a neuron that is dissected out from in vivo and transferred in vitro rebalances its ion channel surface expression and restores intrinsic firing properties over a period of time [68]. Ion channels are the key to keeping the homeostatic state of brain activity, and neurons continuously adjust the expression and functionality of the ion channels. For example, neurons downscale their intrinsic excitability while exposed to chronic excitotoxicity through homeostatic synaptic downscaling, a negative feedback response to chronically elevated network activity to decrease the firing rate of neurons, and/or using the compensatory effects of ion channels on each other’s functions. The compensatory effects of ion channels indicates that they can act as genetic modifiers, meaning they have the ability to affect phenotypic and/or molecular expression of each other, leading to changes in cellular behavior or physiology [69,70,71,72]. This idea—which will be discussed in detail below—is supported by several studies showing that manipulation of an ion channel gene leads to compensatory expression of other ion channels, meaning that ion channel expression is not a fixed parameter tied to cell fate. Instead, a given cell type can maintain its unique firing properties by varying combinations of ion channels.
Different groups have reported the compensatory effect of ion channels, highlighting the co-existence of variants that modulate the clinical phenotypes of the disease. Bergren et al., using the mouse model Scn2aQ54, showed that clinical severity is influenced by genetic background. This finding suggests the presence of dominant modifier alleles that may account for the phenotypic variability in patients with mutations in the SCN2A gene [73]. Martin et al. showed that double heterozygous mice for both Scn1a and Scn8a had a higher threshold for drug-induced seizures and outlived heterozygous Scn1a only mice, suggesting Scn8a acts as a genetic modifier in Scn1a mouse model of Dravet syndrome [74]. This finding is supported by other groups reporting that a reduction of Nav1.6 channels might increase survival and seizure resistance in Scn1a mutant mice [74,75,76]. Hawkins et al., using a combination of human epilepsy-related mutations, demonstrate that variants in Scn2a, Scn8a, and Kcnq2 can noticeably influence the phenotype of mice carrying the Scn1a-R1648H mutation. Combining Scn1aRH/+ with either Scn2aQ54 or Kcnq2VM/+ causes early-onset generalized seizures and juvenile lethality in double heterozygous mice. In contrast, Scn8a mutants exhibit a protective effect by increasing resistance to induced seizures; combining Scn1aRH/+ and Scn8amed-jo alleles restores normal thresholds to flurothyl-induced seizures in Scn1aRH/+ heterozygotes and improved survival of Scn1aRH/RH homozygotes [76]. Moreover, a 25–50% reduction in the Scn8a transcript can delay seizure onset and lethality not only in mouse models of Scn8a encephalopathy but also in the mouse model of Dravet syndrome [77]. While a reduction in Nav1.6 can raise the seizure threshold in the animal model of Dravet syndrome, other sodium channel Scn9A can lower the seizure threshold and worsen the disease compared with Scn1a-only mutants [78,79]. Moreover, administering GS967 -a selective blocker of Nav1.6- reduces spontaneous seizures and prolongs the survival of heterozygous mice of N1768D Scn8a and Scn1a+/− Dravet syndrome [80]. The close developmental correlation between SCN2A and SCN8A -that was discussed earlier- is reinforced by their observed compensatory effects, suggesting a dynamic interplay during development. Nav1.2 was able to compensate for neurons lacking Nav1.6 in Scn8amed (Nav1.6 null) mice [64], and GS967 is able to suppress seizure frequency by >90% and improve the survival of Scn2aQ54 mice [81]. Therefore, the ability to rescue each other’s function shows how closely SCN2A and SCN8A are related.
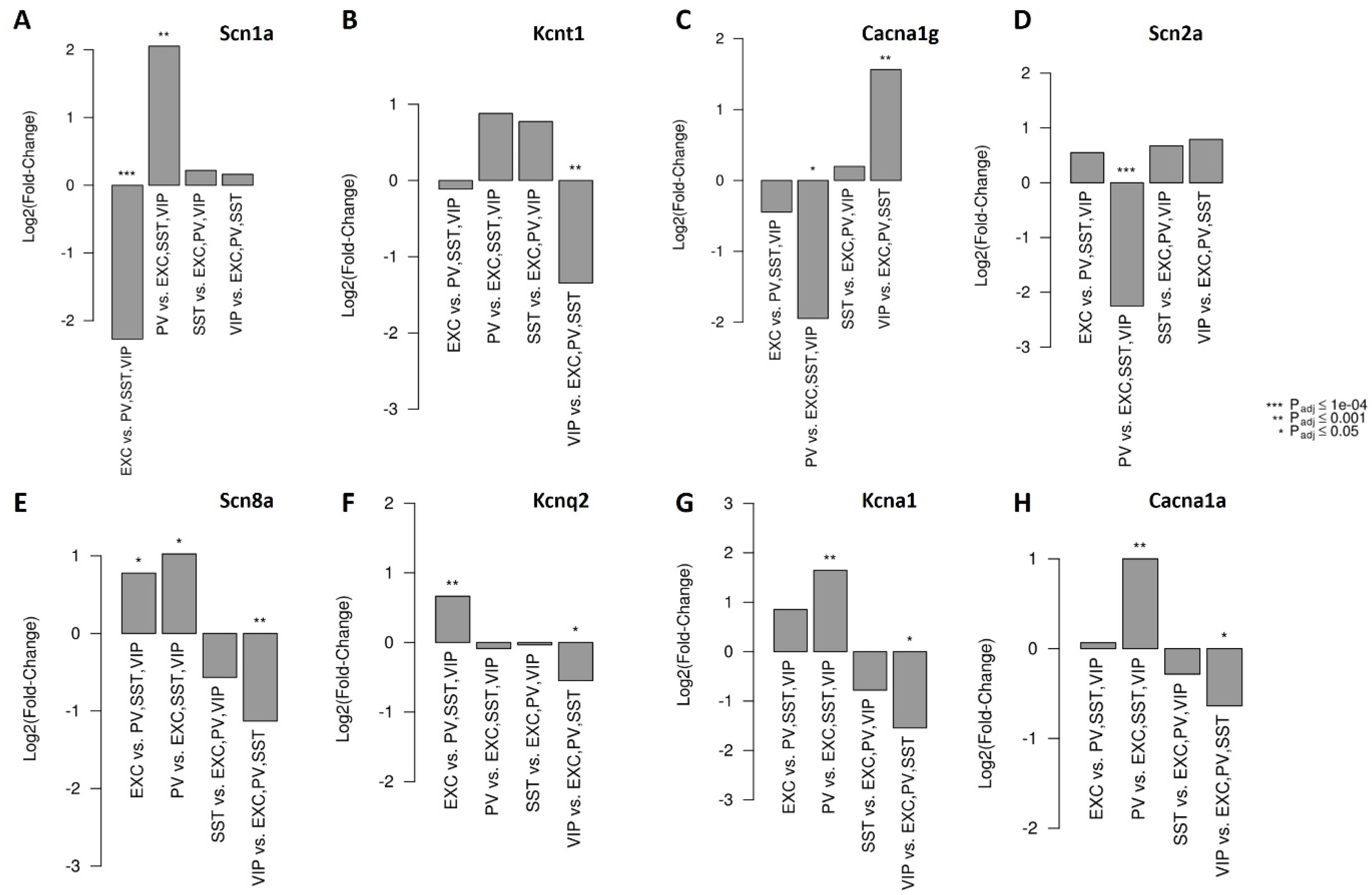
This compensatory mechanism is not only observed in ion channels within the same family (i.e., sodium channels) but it has also been reported in ion channels from different families (i.e., sodium vs. potassium or calcium channels). For example, Scn1a+/− mice with decreased Cacna1g (Cav3.1) expression showed improved survival and reduced spontaneous seizure frequency, suggesting CACNA1G as a possible genetic modifier and a potential drug target for Dravet syndrome patients [82]. In contrast to the ameliorating effect of Cacna1g on the mouse model of Dravet syndrome, CACNA1A has a worsening effect on Dravet syndrome, meaning subjects carrying both SCN1A and CACNA1A variants develop absence seizures earlier and more frequently than patients with only SCN1A mutations [83]. Moreover, targeting Scn8a in both Kcna1 and Kcnq2 mutant mice increases survival in both conditions as well as reducing the seizure frequency in Kcnq2 mutant mice [84]. In addition, targeting Kcnt1 transcript in Scn8a mutant mice doubled their lifespan and extended the survival of Scn1a mutant mice, suggesting KCNT1 could be a therapeutic target for the treatment of SCN1A and SCN8A epilepsy [85]. Mishra et al. showed that heterozygous deletion of the Scn2a gene (Scn2a+/−) acts as a protective genetic modifier in the SUDEP-prone Kcna1−/− mice. Scn2a+/−; Kcna1−/− mice exhibit a two-fold increase in survival and significantly decreased seizure durations compared with Kcna1−/− mice [86]. Moreover, double mutant mice carrying the Scn2aQ54 mutation together with either of the Kcnq2 mutations (Kcnq2VM or Kcnq2Szt1) exhibited severe epilepsy with early onset seizures and lethality by 3 weeks of age [87]. In addition, Cacna1g acts as a modifier gene and influences the severity of the Scn2aQ54 phenotype. Elevated Cacna1g expression causes increased spontaneous seizure frequency in Scn2aQ54 mice, whereas a decrease in the expression of Cacna1g results in decreased seizure frequency [88]. These results demonstrate that genetic interactions can impact disease severity and support the hypothesis that genetic modifiers contribute to the clinical variability observed in the DEE. This, in turn, suggests that targeting a non-causal ion channel could be an alternative useful drug target for a disease-causal mutation in another ion channel. Several questions arise in this context: how can these functional interactions be explained? Why do some of the interactions worsen the epilepsy phenotype while others are protective? Can we predict which ion channel will improve or worsen the phenotype? To answer these questions, it is important to know that an imbalanced excitation/inhibition (E/I) ratio is the root of all types of epilepsies. The neural circuit continuously coordinates their excitatory and inhibitory inputs through two types of neurons: glutamatergic excitatory neurons and GABAergic inhibitory interneurons. Enhanced excitation in excitatory neurons and/or inhibition in inhibitory interneurons leads to an impaired E/I, causing circuit hyperactivity and resulting in epilepsy [89,90]. Therefore, the compensatory effects aim to maintain brain homeostasis by restoring the excitatory/inhibitory balance. To achieve this, understanding the differential expression profiles of each channel across various neuronal types is a must. Huntley et al. explored the transcriptomics of three major classes of inhibitory neurons, including parvalbumin (PV), somatostatin (SST), and vasoactive intestinal peptide (VIP) versus excitatory neurons within the adult mouse cortex. Their findings showed that Scn1a, Kcnt1, and Cacna1g are enriched in inhibitory neurons (Figure 2A–C), whereas Scn2a, Scn8a, Kcnq2, Kcn1a, and Cacna1a display higher enrichment in excitatory neurons compared to their inhibitory counterparts (Figure 2D–H) [91]. Consistent with that, Du et al., using single-cell RNA seq transcriptomic data from humans and mice brains, show that SCN1A is predominantly expressed in inhibitory neurons, while SCN2A and SCN8A are profoundly expressed in excitatory neurons [92]. We hypothesize that a detailed understanding of the expression patterns of these selected VGCs, along with their enrichment in specific cell types, could shed light on their potential compensatory interactions. Therefore, we present a model in Figure 3, where we speculate on the protective or worsening effects of certain VGCs in a mouse model of Dravet syndrome as an example. As previously mentioned, the downregulation of SCN8A [74,75,76,80], KCNT1 [85], and CACNA1G [82] are protective in the DS mouse model. In contrast, variants in CACNA1A [83], Scn2aQ54, and Kcnq2VM [76] worsen the phenotype. How can these opposite effects be explained? In the case of SCN1A LOF, hypo-excitability occurs in inhibitory neurons, leading to hyper-excitability in excitatory neurons and an impaired E/I ratio compared to a healthy condition (Figure 3A,B). To restore the E/I ratio, either excitatory neurons need to be less excitable or inhibitory neurons need to be more excitable. Targeting KCNT1 (Scenario 1 in Figure 3C), enriched in inhibitory neurons, could decrease potassium outward current in PV neurons, normalizing their intrinsic excitability and thus providing a protective effect. Downregulation of SCN8A (Scenario 2 in Figure 3C), which is enriched in excitatory neurons, could reduce the sodium entry to excitatory neurons and probably their excitability and may explain its protective effect.
Figure 2.
Differential expression profile of the selected voltage-gated ion channels in inhibitory (PV, SST, VIP) vs excitatory (EXC) neurons in adult mice cortex. (A) Scn1a, (B) Kcnt1, and (C) Cacna1g show enrichment in inhibitory neurons, whereas (D) Scn2a, (E) Scn8a, (F) Kcnq2, (G) Kcn1a, and (H) Cacna1a display higher enrichment in excitatory neurons (all the graphs extracted from http://research-pub.gene.com/NeuronSubtypeTranscriptomes (accessed on 8 September 2024); Huntley et al., 2020 [91]).
Figure 3.
Model of the compensatory effect of certain VGCs in Dravet syndrome. (A) Enrichment pattern of selected voltage-gated ion channels in excitatory neurons (EN) and inhibitory neurons (IN) in healthy conditions. (B) SCN1A LOF in Dravet syndrome causes hypo-excitability in inhibitory neurons, leading to hyper-excitability of excitatory neurons. (C) Manipulating the excitation/inhibition (E/I) ratio by targeting different genes in Dravet syndrome. Inhibiting KCNT1 (Scenario 1), SCN8A (Scenario 2), and CACNA1G (Scenario 3) improves the seizure phenotype, probably by bringing the E/I ratio closer to its optimal level. In contrast, inducing SCN2A (Scenario 4), KCNQ2 (Scenario 5), and CACNA1A (Scenario 6) worsens the phenotype due to increased excitability in an already hyperexcitable network. Sodium, potassium, and calcium channels are shown in orange, purple, and green, respectively. PV, SST, and VIP show inhibitory neurons, and EN refers to excitatory neurons. The model is generated using BioRender (BioRender: Scientific Image and Illustration Software, www.biorender.com).
The inhibition of pyramidal neurons by PV and SST interneurons is widely acknowledged, and a decrease in their function has been observed in animal models of epilepsy [93,94]. In contrast, VIP interneurons inhibit SST interneurons and, to a lesser extent, PV interneurons, resulting in reduced inhibition of pyramidal neurons [95,96]. Consistent with that, the reduced function of VIP interneurons can oppose seizure induction in animal models [97]. Furthermore, the downregulation of CACNA1G (Scenario 3 in Figure 3C), which is enriched in VIP neurons, could lead to the disinhibition of PV and SST neurons. This would probably enhance the inhibitory effects of PV and SST neurons on excitatory neurons, thereby bringing the excitation/inhibition (E/I) ratio closer to its optimal level. In contrast, the gain of function in SCN2A, KCNQ2, and certain CACNA1A variants (as shown in scenarios 4 to 6 in Figure 3C), which are all enriched in excitatory neurons, increase excitability in an already hyperexcitable network caused by the loss of SCN1A function, thereby worsening the phenotype. We acknowledge the intricate world of ion channels and the fact that it cannot be explained by a simple model. However, the protective or worsening effect of other DEE-causing mutations could be explored using this model. In conclusion, understanding the functional interaction of ion channels and subsequently modulating the balance between excitatory and inhibitory signals may serve as a-if not the key-strategic approach for targeted therapy of DEE. This means that the compensatory effects observed in various studies may open new horizons for leveraging diverse functional interactions as a promising therapeutic tool. This approach has the potential to develop single medications with the capability to target a broader population of patients.
7. Potential Therapeutic Strategy for DEE
Developmental Epileptic Encephalopathies belong to the group of drug-resistant epilepsy where the majority of patients experience persistent or even worsening seizures despite treatment with common antiepileptic drugs (AEDs). This challenging aspect emphasizes the need for innovative therapeutic strategies aimed at the precision treatment of DEEs. Therefore, the development of new therapeutic tools, including Antisense Oligonucleotide (ASO), has been of great interest in recent years. ASOs are synthetic, single-stranded nucleic acids that contain 10 to 30 nucleotides that modulate gene expression at the RNA level. This modulation is achieved either by RNase H1-dependent degradation of the mRNA or steric block of ribosomal activity in order to regulate RNA splicing [98,99]. ASOs have been approved as a therapeutic option for neuromuscular conditions, including spinal muscular atrophy [100], Duchenne’s muscular dystrophy [101], and amyotrophic lateral sclerosis (ALS) [102]. There have been several attempts using ASO to target the DEE-associated gene SCN1A. For example, Hsiao et al., using an ASO blocking SCN1ANAT, were able to induce upregulation of SCN1A both in vitro and in vivo in the brain of a Dravet knock-in mouse model and non-human primate. SCN1ANAT is part of an endogenous RNA-based regulatory mechanism called natural antisense transcripts (NATs), which downregulate the expression of the sense strand of the target gene. This approach led to the upregulation of healthy Scn1a and significant improvements in seizure phenotype and excitability of hippocampal interneurons in postnatal Dravet mice [103]. In another example, an ASO was used to prevent the inclusion of a poison exon (PE), thereby increasing the abundance of the full-length transcript. This approach also rescued seizures in a mouse model of Dravet syndrome and is currently in a clinical trial [104,105]. In addition to ASO, Hm1a, which is a spider venom peptide, serves as a good example of a precision medicine approach for Dravet syndrome. It has been shown that it selectively potentiates Nav1.1 without affecting other sodium or potassium channels. Richard et al. showed that intracerebroventricular infusion of Hm1a rescues seizures and premature death in a Dravet syndrome mouse model. This selective activation of Nav1.1 by Hm1a restores the function of inhibitory interneurons without affecting the firing of excitatory neurons [106,107]. In addition, a targeted reduction in SCN2A expression using an ASO in a mouse model of Scn2a early seizure-onset DEE (Q/+ mice) substantially improved clinical outcomes. While untreated mice presented spontaneous seizures at P1 and did not survive beyond P30, the ASO-treated group showed a reduction in spontaneous seizures and a significantly extended life span [108].
Another therapeutic approach in current pharmacology is small molecules. They are synthesized compounds with low molecular weight (≤1000 Daltons) that can easily diffuse across cell membranes and modulate biological processes. They account for over 90% of marketed drugs, and their adaptability and efficacy make them a key element in treating a wide range of diseases, including cancer, infections, and neurological disorders [109,110]. GS-458967 (GS967) is an example of a small molecule that shows antiepileptic effects in a mouse model of DEE. It was originally reported to inhibit cardiac late sodium current (late INa) in order to suppress ventricular arrhythmias [111,112]. It reduced seizure frequency in Scn2aQ54 mice and greatly improved their survival, along with inhibiting spontaneous action potential firing in pyramidal neurons isolated from Scn2aQ54 mice [81]. Moreover, it suppressed spontaneous seizures and significantly improved the survival of Scn1a+/− mice [80]. Several other small molecules have been designed for Dravet syndrome, each with a distinct mechanism of action, including ataluren (a suppressant of premature stop codons; under clinical evaluation), soticlestat (a 24-hydroxylase cholesterol enzyme inhibitor), SPN-817 (an inhibitor of acetylcholinesterase), EPX-100, EPX-200, fenfluramine (serotonin modulators), and verapamil (a voltage-dependent calcium channel inhibitor) (comprehensive review in Miziak et al.) [113].
Leveraging the compensatory effects of voltage-gated ion channels represents a promising tool for the treatment of DEE. Currently, the treatment paradigm for DEE involves developing a specific drug for each genetically validated mutated gene, a process that can be time-consuming and costly and often leaves many patients without effective treatment options. However, an emerging and promising therapeutic strategy suggests that the same drug could potentially target a broader population of patients with mutations in different genes. This strategy is based on the understanding that mutations in different genes can lead to the same outcome: disruption in neuronal excitability and an impaired E/I ratio. Therefore, modulating other ion channels can potentially restore the brain’s homeostatic state by rebalancing the E/I ratio. This approach not only provides the potential for improved clinical outcomes, offering hope to a wider range of patients but also increases our understanding of the complex compensatory mechanisms underlying DEE. Moreover, it could simplify the drug development process, making it more efficient and cost-effective. It also opens up the possibility of repurposing existing drugs, which could accelerate the availability of new treatments.
In conclusion, continued research into these compensatory mechanisms and the manipulation of ion channel dynamics is crucial. This research could lead to the development of novel interventions that not only target the root causes of DEEs but also provide broader therapeutic options. Ultimately, this could significantly improve the quality of life for patients and their families, offering new hope and better management of this challenging group of disorders.
Author Contributions
Writing—original draft preparation, K.S.; writing—review and editing, J.K., N.L. and E.L.; supervision, H.T. and N.L. All authors have read and agreed to the published version of the manuscript.
Funding
This research was funded by Servier. It did not receive any grant from any funding agencies.
Data Availability Statement
Not applicable.
Acknowledgments
We thank the members of Neurology Therapeutic Area and Cellular Science at Servier for their comments and insightful discussions on the manuscript.
Conflicts of Interest
The authors declare no conflict of interest. All authors are full employee of Servier.
References
- Poke, G.; Stanley, J.; Scheffer, I.E.; Sadleir, L.G. Epidemiology of Developmental and Epileptic Encephalopathy and of Intellectual Disability and Epilepsy in Children. Neurology 2023, 100, E1363–E1375. [Google Scholar] [CrossRef] [PubMed]
- Specchio, N.; Curatolo, P. Developmental and Epileptic Encephalopathies: What We Do and Do Not Know. Brain 2021, 144, 32–43. [Google Scholar] [CrossRef] [PubMed]
- Howell, K.B.; Eggers, S.; Dalziel, K.; Riseley, J.; Mandelstam, S.; Myers, C.T.; McMahon, J.M.; Schneider, A.; Carvill, G.L.; Mefford, H.C.; et al. A Population-Based Cost-Effectiveness Study of Early Genetic Testing in Severe Epilepsies of Infancy. Epilepsia 2018, 59, 1177–1187. [Google Scholar] [CrossRef]
- Symonds, J.D.; Zuberi, S.M.; Stewart, K.; McLellan, A.; O’Regan, M.; MacLeod, S.; Jollands, A.; Joss, S.; Kirkpatrick, M.; Brunklaus, A.; et al. Incidence and Phenotypes of Childhood-Onset Genetic Epilepsies: A Prospective Population-Based National Cohort. Brain 2019, 142, 2303–2318. [Google Scholar] [CrossRef]
- De Lange, I.M.; Koudijs, M.J.; Van’T Slot, R.; Sonsma, A.C.M.; Mulder, F.; Carbo, E.C.; Van Kempen, M.J.A.; Nijman, I.J.; Ernst, R.F.; Savelberg, S.M.C.; et al. Assessment of Parental Mosaicism in SCN1A-Related Epilepsy by Single-Molecule Molecular Inversion Probes and next-Generation Sequencing. J. Med. Genet. 2019, 56, 75–80. [Google Scholar] [CrossRef]
- Feng, Y.C.A.; Howrigan, D.P.; Abbott, L.E.; Tashman, K.; Cerrato, F.; Singh, T.; Heyne, H.; Byrnes, A.; Churchhouse, C.; Watts, N.; et al. Ultra-Rare Genetic Variation in the Epilepsies: A Whole-Exome Sequencing Study of 17,606 Individuals. Am. J. Hum. Genet. 2019, 105, 267–282. [Google Scholar] [CrossRef]
- Imbrici, P.; Liantonio, A.; Camerino, G.M.; De Bellis, M.; Camerino, C.; Mele, A.; Giustino, A.; Pierno, S.; De Luca, A.; Tricarico, D.; et al. Therapeutic Approaches to Genetic Ion Channelopathies and Perspectives in Drug Discovery. Front. Pharmacol. 2016, 7, 121. [Google Scholar] [CrossRef]
- Spillane, J.; Kullmann, D.M.; Hanna, M.G. Genetic Neurological Channelopathies: Molecular Genetics and Clinical Phenotypes. J. Neurol. Neurosurg. Psychiatry 2016, 87, 37–48. [Google Scholar] [CrossRef]
- Duménieu, M.; Oulé, M.; Kreutz, M.R.; Lopez-Rojas, J. The Segregated Expression of Voltage-Gated Potassium and Sodium Channels in Neuronal Membranes: Functional Implications and Regulatory Mechanisms. Front. Cell. Neurosci. 2017, 11, 115. [Google Scholar] [CrossRef]
- Wei, F.; Yan, L.M.; Su, T.; He, N.; Lin, Z.J.; Wang, J.; Shi, Y.W.; Yi, Y.H.; Liao, W.P. Ion Channel Genes and Epilepsy: Functional Alteration, Pathogenic Potential, and Mechanism of Epilepsy. Neurosci. Bull. 2017, 33, 455–477. [Google Scholar] [CrossRef]
- Meisler, M.H.; Hill, S.F.; Yu, W. Sodium Channelopathies in Neurodevelopmental Disorders. Nat. Rev. Neurosci. 2021, 22, 152–166. [Google Scholar] [CrossRef] [PubMed]
- Namadurai, S.; Yereddi, N.R.; Cusdin, F.S.; Huang, C.L.H.; Chirgadze, D.Y.; Jackson, A.P. A New Look at Sodium Channel β Subunits. Open Biol. 2015, 5, 140192. [Google Scholar] [CrossRef] [PubMed]
- Cheah, C.S.; Westenbroek, R.E.; Roden, W.H.; Kalume, F.; Oakley, J.C.; Jansen, L.A.; Catterall, W.A. Correlations in Timing of Sodium Channel Expression, Epilepsy, and Sudden Death in Dravet Syndrome. Channels 2013, 7, 468–472. [Google Scholar] [CrossRef]
- Oyrer, J.; Maljevic, S.; Scheffer, I.E.; Berkovic, S.F.; Petrou, S.; Reid, C.A. Ion Channels in Genetic Epilepsy: From Genes and Mechanisms to Disease-Targeted Therapies. Pharmacol. Rev. 2018, 70, 142–173. [Google Scholar] [CrossRef] [PubMed]
- Bartolini, E. Inherited Developmental and Epileptic Encephalopathies. Neurol. Int. 2021, 13, 555–568. [Google Scholar] [CrossRef] [PubMed]
- Wu, Y.W.; Sullivan, J.; McDaniel, S.S.; Meisler, M.H.; Walsh, E.M.; Li, S.X.; Kuzniewicz, M.W. Incidence of Dravet Syndrome in a US Population. Pediatrics 2015, 136, e1310–e1315. [Google Scholar] [CrossRef]
- Bayat, A.; Hjalgrim, H.; Møller, R.S. The Incidence of SCN1A-Related Dravet Syndrome in Denmark Is 1:22,000: A Population-Based Study from 2004 to 2009. Epilepsia 2015, 56, e36–e39. [Google Scholar] [CrossRef]
- Brunklaus, A.; Ellis, R.; Reavey, E.; Forbes, G.H.; Zuberi, S.M. Prognostic, Clinical and Demographic Features in SCN1A Mutation-Positive Dravet Syndrome. Brain 2012, 135, 2329–2336. [Google Scholar] [CrossRef]
- Guerrini, R.; Falchi, M. Dravet Syndrome and SCN1A Gene Mutation Related-Epilepsies: Cognitive Impairment and Its Determinants. Dev. Med. Child Neurol. 2011, 53, 11–15. [Google Scholar] [CrossRef]
- Miller, I.O.; Sotero De Menezes, M.A. SCN1A Seizure Disorders. In GeneReviews; University of Washington: Seattle, WA, USA, 2019. [Google Scholar]
- Mistry, A.M.; Thompson, C.H.; Miller, A.R.; Vanoye, C.G.; George, A.L.; Kearney, J.A. Strain- and Age-Dependent Hippocampal Neuron Sodium Currents Correlate with Epilepsy Severity in Dravet Syndrome Mice. Neurobiol. Dis. 2014, 65, 1–11. [Google Scholar] [CrossRef]
- Favero, M.; Sotuyo, N.P.; Lopez, E.; Kearney, J.A.; Goldberg, E.M. A Transient Developmental Window of Fast-Spiking Interneuron Dysfunction in a Mouse Model of Dravet Syndrome. J. Neurosci. 2018, 38, 7912–7927. [Google Scholar] [CrossRef] [PubMed]
- Ardlie, K.G.; DeLuca, D.S.; Segrè, A.V.; Sullivan, T.J.; Young, T.R.; Gelfand, E.T.; Trowbridge, C.A.; Maller, J.B.; Tukiainen, T.; Lek, M.; et al. The Genotype-Tissue Expression (GTEx) Pilot Analysis: Multitissue Gene Regulation in Humans. Science 2015, 348, 648–660. [Google Scholar] [CrossRef]
- Sanders, S.J.; Campbell, A.J.; Cottrell, J.R.; Moller, R.S.; Wagner, F.F.; Auldridge, A.L.; Bernier, R.A.; Catterall, W.A.; Chung, W.K.; Empfield, J.R.; et al. Progress in Understanding and Treating SCN2A-Mediated Disorders. Trends Neurosci. 2018, 41, 442–456. [Google Scholar] [CrossRef]
- Hu, W.; Tian, C.; Li, T.; Yang, M.; Hou, H.; Shu, Y. Distinct Contributions of Nav1.6 and Nav1.2 in Action Potential Initiation and Backpropagation. Nat. Neurosci. 2009, 12, 996–1002. [Google Scholar] [CrossRef]
- Spratt, P.W.E.; Ben-Shalom, R.; Keeshen, C.M.; Burke, K.J.; Clarkson, R.L.; Sanders, S.J.; Bender, K.J. The Autism-Associated Gene Scn2a Contributes to Dendritic Excitability and Synaptic Function in the Prefrontal Cortex. Neuron 2019, 103, 673–685.e5. [Google Scholar] [CrossRef]
- Liang, L.; Fazel Darbandi, S.; Pochareddy, S.; Gulden, F.O.; Gilson, M.C.; Sheppard, B.K.; Sahagun, A.; An, J.Y.; Werling, D.M.; Rubenstein, J.L.R.; et al. Developmental Dynamics of Voltage-Gated Sodium Channel Isoform Expression in the Human and Mouse Brain. Genome Med. 2021, 13, 135. [Google Scholar] [CrossRef]
- Brunklaus, A.; Lal, D. Sodium Channel Epilepsies and Neurodevelopmental Disorders: From Disease Mechanisms to Clinical Application. Dev. Med. Child Neurol. 2020, 62, 784–792. [Google Scholar] [CrossRef]
- Menezes, L.F.S.; Sabiá Júnior, E.F.; Tibery, D.V.; Carneiro, L.D.A.; Schwartz, E.F. Epilepsy-Related Voltage-Gated Sodium Channelopathies: A Review. Front. Pharmacol. 2020, 11, 1276. [Google Scholar] [CrossRef]
- Royeck, M.; Horstmann, M.T.; Remy, S.; Reitze, M.; Yaari, Y.; Beck, H. Role of Axonal NaV1.6 Sodium Channels in Action Potential Initiation of CA1 Pyramidal Neurons. J. Neurophysiol. 2008, 100, 2361–2380. [Google Scholar] [CrossRef]
- Katz, E.; Stoler, O.; Scheller, A.; Khrapunsky, Y.; Goebbels, S.; Kirchhoff, F.; Gutnick, M.J.; Wolf, F.; Fleidervish, I.A. Role of Sodium Channel Subtype in Action Potential Generation by Neocortical Pyramidal Neurons. Proc. Natl. Acad. Sci. USA 2018, 115, E7184–E7192. [Google Scholar] [CrossRef]
- Meisler, M.H.; Helman, G.; Hammer, M.F.; Fureman, B.E.; Gaillard, W.D.; Goldin, A.L.; Hirose, S.; Ishii, A.; Kroner, B.L.; Lossin, C.; et al. SCN8A Encephalopathy: Research Progress and Prospects. Epilepsia 2016, 57, 1027–1035. [Google Scholar] [CrossRef] [PubMed]
- Meisler, M.H. SCN8A Encephalopathy: Mechanisms and Models. Epilepsia 2019, 60, S86–S91. [Google Scholar] [CrossRef] [PubMed]
- Sun, W.; Wagnon, J.L.; Mahaffey, C.L.; Briese, M.; Ule, J.; Frankel, W.N. Aberrant Sodium Channel Activity in the Complex Seizure Disorder of Celf4 Mutant Mice. J. Physiol. 2013, 591, 241–255. [Google Scholar] [CrossRef] [PubMed]
- D’Adamo, M.C.; Liantonio, A.; Conte, E.; Pessia, M.; Imbrici, P. Ion Channels Involvement in Neurodevelopmental Disorders. Neuroscience 2020, 440, 337–359. [Google Scholar] [CrossRef]
- Niday, Z.; Tzingounis, A.V. Potassium Channel Gain of Function in Epilepsy: An Unresolved Paradox. Neuroscientist 2018, 24, 368–380. [Google Scholar] [CrossRef]
- Kuang, Q.; Purhonen, P.; Hebert, H. Structure of Potassium Channels. Cell. Mol. Life Sci. 2015, 72, 3677–3693. [Google Scholar] [CrossRef]
- Jan, L.Y.; Jan, Y.N. Voltage-Gated Potassium Channels and the Diversity of Electrical Signalling. J. Physiol. 2012, 590, 2591–2599. [Google Scholar] [CrossRef]
- Trimmer, J.S. Subcellular Localization of K+ Channels in Mammalian Brain Neurons: Remarkable Precision in the Midst of Extraordinary Complexity. Neuron 2015, 85, 238–256. [Google Scholar] [CrossRef]
- Goldberg, E.M.; Clark, B.D.; Zagha, E.; Nahmani, M.; Erisir, A.; Rudy, B. K+ Channels at the Axon Initial Segment Dampen Near-Threshold Excitability of Neocortical Fast-Spiking GABAergic Interneurons. Neuron 2008, 58, 387–400. [Google Scholar] [CrossRef]
- D’adamo, M.C.; Liantonio, A.; Rolland, J.F.; Pessia, M.; Imbrici, P. Kv1.1 Channelopathies: Pathophysiological Mechanisms and Therapeutic Approaches. Int. J. Mol. Sci. 2020, 21, 2935. [Google Scholar] [CrossRef]
- Schwarz, J.R.; Glassmeier, G.; Cooper, E.C.; Kao, T.C.; Nodera, H.; Tabuena, D.; Kaji, R.; Bostock, H. KCNQ Channels Mediate IKs, a Slow K+ Current Regulating Excitability in the Rat Node of Ranvier. J. Physiol. 2006, 573, 17–34. [Google Scholar] [CrossRef] [PubMed]
- Greene, D.L.; Hoshi, N. Modulation of Kv7 Channels and Excitability in the Brain. Cell. Mol. Life Sci. 2017, 74, 495–508. [Google Scholar] [CrossRef] [PubMed]
- Kim, G.E.; Kaczmarek, L.K. Emerging Role of the KCNT1 Slack Channel in Intellectual Disability. Front. Cell. Neurosci. 2014, 8, 209. [Google Scholar] [CrossRef] [PubMed]
- Rizzi, S.; Knaus, H.G.; Schwarzer, C. Differential Distribution of the Sodium-Activated Potassium Channels Slick and Slack in Mouse Brain. J. Comp. Neurol. 2016, 524, 2093–2116. [Google Scholar] [CrossRef] [PubMed]
- Bhattacharjee, A.; Gan, L.; Kaczmarek, L.K. Localization of the Slack Potassium Channel in the Rat Central Nervous System. J. Comp. Neurol. 2002, 454, 241–254. [Google Scholar] [CrossRef]
- Barcia, G.; Fleming, M.R.; Deligniere, A.; Gazula, V.R.; Brown, M.R.; Langouet, M.; Chen, H.; Kronengold, J.; Abhyankar, A.; Cilio, R.; et al. De Novo Gain-of-Function KCNT1 Channel Mutations Cause Malignant Migrating Partial Seizures of Infancy. Nat. Genet. 2012, 44, 1255–1259. [Google Scholar] [CrossRef]
- Milligan, C.J.; Li, M.; Gazina, E.V.; Heron, S.E.; Nair, U.; Trager, C.; Reid, C.A.; Venkat, A.; Younkin, D.P.; Dlugos, D.J.; et al. KCNT1 Gain of Function in 2 Epilepsy Phenotypes Is Reversed by Quinidine. Ann. Neurol. 2014, 75, 581–590. [Google Scholar] [CrossRef]
- Gertler, T.S.; Cherian, S.; DeKeyser, J.M.; Kearney, J.A.; George, A.L. KNa1.1 Gain-of-Function Preferentially Dampens Excitability of Murine Parvalbumin-Positive Interneurons. Neurobiol. Dis. 2022, 168, 105713. [Google Scholar] [CrossRef]
- Shore, A.N.; Colombo, S.; Tobin, W.F.; Petri, S.; Cullen, E.R.; Dominguez, S.; Bostick, C.D.; Beaumont, M.A.; Williams, D.; Khodagholy, D.; et al. Reduced GABAergic Neuron Excitability, Altered Synaptic Connectivity, and Seizures in a KCNT1 Gain-of-Function Mouse Model of Childhood Epilepsy. Cell Rep. 2020, 33, 108303. [Google Scholar] [CrossRef]
- Wu, J.; Quraishi, I.H.; Zhang, Y.; Bromwich, M.; Kaczmarek, L.K. Disease-Causing Slack Potassium Channel Mutations Produce Opposite Effects on Excitability of Excitatory and Inhibitory Neurons. Cell Rep. 2024, 43, 113904. [Google Scholar] [CrossRef]
- Simms, B.A.; Zamponi, G.W. Neuronal Voltage-Gated Calcium Channels: Structure, Function, and Dysfunction. Neuron 2014, 82, 24–45. [Google Scholar] [CrossRef] [PubMed]
- Fox, P.M.; Malepati, S.; Manaster, L.; Rossignol, E.; Noebels, J.L. Developing a Pathway to Clinical Trials for CACNA1A-Related Epilepsies: A Patient Organization Perspective. Ther. Adv. Rare Dis. 2024, 5, 26330040241245725. [Google Scholar] [CrossRef] [PubMed]
- Rossignol, E.; Kruglikov, I.; Van Den Maagdenberg, A.M.J.M.; Rudy, B.; Fishell, G. CaV2.1 Ablation in Cortical Interneurons Selectively Impairs Fast-Spiking Basket Cells and Causes Generalized Seizures. Ann. Neurol. 2013, 74, 209–222. [Google Scholar] [CrossRef]
- Talley, E.M.; Cribbs, L.L.; Lee, J.H.; Daud, A.; Perez-Reyes, E.; Bayliss, D.A. Differential Distribution of Three Members of a Gene Family Encoding Low Voltage-Activated (T-Type) Calcium Channels. J. Neurosci. 1999, 19, 1895–1911. [Google Scholar] [CrossRef]
- Aguado, C.; García-Madrona, S.; Gil-Minguez, M.; Luján, R. Ontogenic Changes and Differential Localization of T-Type Ca2+ Channel Subunits Cav3.1 and Cav3.2 in Mouse Hippocampus and Cerebellum. Front. Neuroanat. 2016, 10, 83. [Google Scholar] [CrossRef]
- Lauerer, R.J.; Lerche, H. Voltage-Gated Calcium Channels in Genetic Epilepsies. J. Neurochem. 2023. online ahead of print. [Google Scholar]
- Berecki, G.; Helbig, K.L.; Ware, T.L.; Grinton, B.; Skraban, C.M.; Marsh, E.D.; Berkovic, S.F.; Petrou, S. Novel Missense Cacna1g Mutations Associated with Infantile-Onset Developmental and Epileptic Encephalopathy. Int. J. Mol. Sci. 2020, 21, 6333. [Google Scholar] [CrossRef]
- Kunii, M.; Doi, H.; Hashiguchi, S.; Matsuishi, T.; Sakai, Y.; Iai, M.; Okubo, M.; Nakamura, H.; Takahashi, K.; Katsumoto, A.; et al. De Novo CACNA1G Variants in Developmental Delay and Early-Onset Epileptic Encephalopathies. J. Neurol. Sci. 2020, 416, 117047. [Google Scholar] [CrossRef]
- Guerrini, R.; Conti, V.; Mantegazza, M.; Balestrini, S.; Galanopoulou, A.S.; Benfenati, F. Developmental and epileptic encephalopathies: From genetic heterogeneity to phenotypic continuum. Physiol. Rev. 2023, 103, 433–513. [Google Scholar] [CrossRef]
- Li, M.; Santpere, G.; Kawasawa, Y.I.; Evgrafov, O.V.; Gulden, F.O.; Pochareddy, S.; Sunkin, S.M.; Li, Z.; Shin, Y.; Zhu, Y.; et al. Integrative Functional Genomic Analysis of Human Brain Development and Neuropsychiatric Risks. Science 2018, 362, eaat7615. [Google Scholar] [CrossRef]
- Smith, R.S.; Walsh, C.A. Ion Channel Functions in Early Brain Development. Trends Neurosci. 2020, 43, 103–114. [Google Scholar] [CrossRef]
- Sauvestre, F.; Moutton, S.; Badens, C.; Broussin, B.; Carles, D.; Houcinat, N.; Lacoste, C.; Marguet, F.; Pecheux, C.; Villard, L.; et al. In Utero Seizures Revealing Dentato-Olivary Dysplasia Caused by SCN2A Mutation. Neuropathol. Appl. Neurobiol. 2017, 43, 631–635. [Google Scholar] [CrossRef] [PubMed]
- Van Wart, A.; Matthews, G. Impaired Firing and Cell-Specific Compensation in Neurons Lacking Nav1.6 Sodium Channels. J. Neurosci. 2006, 26, 7172–7180. [Google Scholar] [CrossRef] [PubMed]
- Martínez-Hernández, J.; Ballesteros-Merino, C.; Fernández-Alacid, L.; Nicolau, J.C.; Aguado, C.; Luján, R. Polarised Localisation of the Voltage-Gated Sodium Channel Na v1.2 in Cerebellar Granule Cells. Cerebellum 2013, 12, 16–26. [Google Scholar] [CrossRef]
- Liao, Y.; Deprez, L.; Maljevic, S.; Pitsch, J.; Claes, L.; Hristova, D.; Jordanova, A.; Ala-Mello, S.; Bellan-Koch, A.; Blazevic, D.; et al. Molecular Correlates of Age-Dependent Seizures in an Inherited Neonatal-Infantile Epilepsy. Brain 2010, 133, 1403–1414. [Google Scholar] [CrossRef]
- Bortolami, A.; Sesti, F. Ion Channels in Neurodevelopment: Lessons from the Integrin-KCNB1 Channel Complex. Neural Regen. Res. 2023, 18, 2365–2369. [Google Scholar] [CrossRef]
- Turrigiano, G.; Abbott, L.F.; Marder, E. Activity-Dependent Changes in the Intrinsic Properties of Cultured Neurons. Science 1994, 264, 974–977. [Google Scholar] [CrossRef]
- Davis, G.W. Homeostatic Signaling and the Stabilization of Neural Function. Neuron 2013, 80, 718–728. [Google Scholar] [CrossRef]
- Davis, G.W.; Bezprozvanny, I. Maintaining the Stability of Neural Function: A Homeostatic Hypothesis. Annu. Rev. Physiol. 2001, 63, 847–869. [Google Scholar] [CrossRef]
- Meier, J.; Semtner, M.; Wolfart, J. Homeostasis of Neuronal Excitability Via Synaptic and Intrinsic Inhibitory Mechanisms. In Homeostatic Control of Brain Function; Oxford Academic: Oxford, UK, 2016. [Google Scholar]
- Siddoway, B.; Hou, H.; Xia, H. Molecular Mechanisms of Homeostatic Synaptic Downscaling. Neuropharmacology 2014, 78, 38–44. [Google Scholar] [CrossRef]
- Bergren, S.K.; Chen, S.; Galecki, A.; Kearney, J.A. Genetic Modifiers Affecting Severity of Epilepsy Caused by Mutation of Sodium Channel Scn2a. Mamm. Genome 2005, 16, 683–690. [Google Scholar] [CrossRef]
- Martin, M.S.; Tang, B.; Papale, L.A.; Yu, F.H.; Catterall, W.A.; Escayg, A. The Voltage-Gated Sodium Channel Scn8a Is a Genetic Modifier of Severe Myoclonic Epilepsy of Infancy. Hum. Mol. Genet. 2007, 16, 2892–2899. [Google Scholar] [CrossRef] [PubMed]
- Wong, J.C.; Makinson, C.D.; Lamar, T.; Cheng, Q.; Wingard, J.C.; Terwilliger, E.F.; Escayg, A. Selective Targeting of Scn8a Prevents Seizure Development in a Mouse Model of Mesial Temporal Lobe Epilepsy. Sci. Rep. 2018, 8, 126. [Google Scholar] [CrossRef] [PubMed]
- Hawkins, N.A.; Martin, M.S.; Frankel, W.N.; Kearney, J.A.; Escayg, A. Neuronal Voltage-Gated Ion Channels Are Genetic Modifiers of Generalized Epilepsy with Febrile Seizures Plus. Neurobiol. Dis. 2011, 41, 655–660. [Google Scholar] [CrossRef] [PubMed]
- Lenk, G.M.; Jafar-Nejad, P.; Hill, S.F.; Huffman, L.D.; Smolen, C.E.; Wagnon, J.L.; Petit, H.; Yu, W.; Ziobro, J.; Bhatia, K.; et al. Scn8a Antisense Oligonucleotide Is Protective in Mouse Models of SCN8A Encephalopathy and Dravet Syndrome. Ann. Neurol. 2020, 87, 339–346. [Google Scholar] [CrossRef] [PubMed]
- Depienne, C.; Trouillard, O.; Gourfinkel-An, I.; Saint-Martin, C.; Bouteiller, D.; Graber, D.; Barthez-Carpentier, M.-A.; Gautier, A.; Villeneuve, N.; Livet, M.-O. Mechanisms for Variable Expressivity of Inherited SCN1A Mutations Causing Dravet Syndrome. J. Med. Genet. 2010, 47, 404–410. [Google Scholar] [CrossRef]
- Singh, N.A.; Pappas, C.; Dahle, E.J.; Claes, L.R.F.; Pruess, T.H.; De Jonghe, P.; Thompson, J.; Dixon, M.; Gurnett, C.; Peiffer, A.; et al. A Role of SCN9A in Human Epilepsies, as a Cause of Febrile Seizures and as a Potential Modifier of Dravet Syndrome. PLoS Genet. 2009, 5, e1000649. [Google Scholar] [CrossRef]
- Anderson, L.L.; Hawkins, N.A.; Thompson, C.H.; Kearney, J.A.; George, A.L. Unexpected Efficacy of a Novel Sodium Channel Modulator in Dravet Syndrome. Sci. Rep. 2017, 7, 1682. [Google Scholar] [CrossRef]
- Anderson, L.L.; Thompson, C.H.; Hawkins, N.A.; Nath, R.D.; Petersohn, A.A.; Rajamani, S.; Bush, W.S.; Frankel, W.N.; Vanoye, C.G.; Kearney, J.A.; et al. Antiepileptic Activity of Preferential Inhibitors of Persistent Sodium Current. Epilepsia 2014, 55, 1274–1283. [Google Scholar] [CrossRef]
- Calhoun, J.D.; Hawkins, N.A.; Zachwieja, N.J.; Kearney, J.A. Cacna1g Is a Genetic Modifier of Epilepsy in a Mouse Model of Dravet Syndrome. Epilepsia 2017, 58, e111–e115. [Google Scholar] [CrossRef]
- Ohmori, I.; Ouchida, M.; Kobayashi, K.; Jitsumori, Y.; Mori, A.; Michiue, H.; Nishiki, T.; Ohtsuka, Y.; Matsui, H. CACNA1A Variants May Modify the Epileptic Phenotype of Dravet Syndrome. Neurobiol. Dis. 2013, 50, 209–217. [Google Scholar] [CrossRef]
- Hill, S.F.; Ziobro, J.M.; Jafar-Nejad, P.; Rigo, F.; Meisler, M.H. Genetic Interaction between Scn8a and Potassium Channel Genes Kcna1 and Kcnq2. Epilepsia 2022, 63, e125–e131. [Google Scholar] [CrossRef] [PubMed]
- Hill, S.F.; Jafar-Nejad, P.; Rigo, F.; Meisler, M.H. Reduction of Kcnt1 Is Therapeutic in Mouse Models of SCN1A and SCN8A Epilepsy. Front. Neurosci. 2023, 17, 1282201. [Google Scholar] [CrossRef] [PubMed]
- Mishra, V.; Karumuri, B.K.; Gautier, N.M.; Liu, R.; Hutson, T.N.; Vanhoof-Villalba, S.L.; Vlachos, I.; Iasemidis, L.; Glasscock, E. Scn2a Deletion Improves Survival and Brain-Heart Dynamics in the Kcna1-Null Mouse Model of Sudden Unexpected Death in Epilepsy (SUDEP). Hum. Mol. Genet. 2017, 26, 2091–2103. [Google Scholar] [CrossRef] [PubMed]
- Kearney, J.A.; Yang, Y.; Beyer, B.; Bergren, S.K.; Claes, L.; DeJonghe, P.; Frankel, W.N. Severe Epilepsy Resulting from Genetic Interaction between Scn2a and Kcnq2. Hum. Mol. Genet. 2006, 15, 1043–1048. [Google Scholar] [CrossRef]
- Calhoun, J.D.; Hawkins, N.A.; Zachwieja, N.J.; Kearney, J.A. Cacna1g Is a Genetic Modifier of Epilepsy Caused by Mutation of Voltage-Gated Sodium Channel Scn2a. Epilepsia 2016, 57, e103–e107. [Google Scholar] [CrossRef]
- Shao, L.R.; Habela, C.W.; Stafstrom, C.E. Pediatric Epilepsy Mechanisms: Expanding the Paradigm of Excitation/Inhibition Imbalance. Children 2019, 6, 23. [Google Scholar] [CrossRef]
- Ferguson, B.R.; Gao, W.J. Pv Interneurons: Critical Regulators of E/I Balance for Prefrontal Cortex-Dependent Behavior and Psychiatric Disorders. Front. Neural Circuits 2018, 12, 37. [Google Scholar] [CrossRef]
- Huntley, M.A.; Srinivasan, K.; Friedman, B.A.; Wang, T.M.; Yee, A.X.; Wang, Y.; Kaminker, J.S.; Sheng, M.; Hansen, D.V.; Hanson, J.E. Genome-Wide Analysis of Differential Gene Expression and Splicing in Excitatory Neurons and Interneuron Subtypes. J. Neurosci. 2020, 40, 958–973. [Google Scholar] [CrossRef]
- Du, J.; Simmons, S.; Brunklaus, A.; Adiconis, X.; Hession, C.C.; Fu, Z.; Li, Y.; Shema, R.; Møller, R.S.; Barak, B.; et al. Differential Excitatory vs Inhibitory SCN Expression at Single Cell Level Regulates Brain Sodium Channel Function in Neurodevelopmental Disorders. Eur. J. Paediatr. Neurol. 2020, 24, 129–133. [Google Scholar] [CrossRef]
- Tai, C.; Abe, Y.; Westenbroek, R.E.; Scheuer, T.; Catterall, W.A. Impaired Excitability of Somatostatin- and Parvalbumin-Expressing Cortical Interneurons in a Mouse Model of Dravet Syndrome. Proc. Natl. Acad. Sci. USA 2014, 111. [Google Scholar] [CrossRef]
- Huusko, N.; Römer, C.; Ndode-Ekane, X.E.; Lukasiuk, K.; Pitkänen, A. Loss of Hippocampal Interneurons and Epileptogenesis: A Comparison of Two Animal Models of Acquired Epilepsy. Brain Struct. Funct. 2015, 220, 153–191. [Google Scholar] [CrossRef] [PubMed]
- Karnani, M.M.; Jackson, J.; Ayzenshtat, I.; Sichani, X.H.; Manoocheri, K.; Kim, S.; Yuste, R. Opening Holes in the Blanket of Inhibition: Localized Lateral Disinhibition by Vip Interneurons. J. Neurosci. 2016, 36, 3471–3480. [Google Scholar] [CrossRef] [PubMed]
- Pi, H.J.; Hangya, B.; Kvitsiani, D.; Sanders, J.I.; Huang, Z.J.; Kepecs, A. Cortical Interneurons That Specialize in Disinhibitory Control. Nature 2013, 503, 521–524. [Google Scholar] [CrossRef]
- Khoshkhoo, S.; Vogt, D.; Sohal, V.S. Dynamic, Cell-Type-Specific Roles for GABAergic Interneurons in a Mouse Model of Optogenetically Inducible Seizures. Neuron 2017, 93, 291–298. [Google Scholar] [CrossRef]
- Crooke, S.T.; Witztum, J.L.; Bennett, C.F.; Baker, B.F. RNA-Targeted Therapeutics. Cell Metab. 2018, 27, 714–739. [Google Scholar] [CrossRef]
- Rinaldi, C.; Wood, M.J.A. Antisense Oligonucleotides: The next Frontier for Treatment of Neurological Disorders. Nat. Rev. Neurol. 2018, 14, 9–22. [Google Scholar] [CrossRef]
- Finkel, R.S.; Mercuri, E.; Darras, B.T.; Connolly, A.M.; Kuntz, N.L.; Kirschner, J.; Chiriboga, C.A.; Saito, K.; Servais, L.; Tizzano, E.; et al. Nusinersen versus Sham Control in Infantile-Onset Spinal Muscular Atrophy. N. Engl. J. Med. 2017, 377, 1723–1732. [Google Scholar] [CrossRef]
- Khan, N.; Eliopoulos, H.; Han, L.; Kinane, T.B.; Lowes, L.P.; Mendell, J.R.; Gordish-Dressman, H.; Henricson, E.K.; McDonald, C.M. Eteplirsen Treatment Attenuates Respiratory Decline in Ambulatory and Non-Ambulatory Patients with Duchenne Muscular Dystrophy. J. Neuromuscul. Dis. 2019, 6, 213–225. [Google Scholar] [CrossRef]
- Miller, T.M.; Cudkowicz, M.E.; Genge, A.; Shaw, P.J.; Sobue, G.; Bucelli, R.C.; Chiò, A.; Van Damme, P.; Ludolph, A.C.; Glass, J.D.; et al. Trial of Antisense Oligonucleotide Tofersen for SOD1 ALS. N. Engl. J. Med. 2022, 387, 1099–1110. [Google Scholar] [CrossRef]
- Hsiao, J.; Yuan, T.Y.; Tsai, M.S.; Lu, C.Y.; Lin, Y.C.; Lee, M.L.; Lin, S.W.; Chang, F.C.; Liu Pimentel, H.; Olive, C.; et al. Upregulation of Haploinsufficient Gene Expression in the Brain by Targeting a Long Non-Coding RNA Improves Seizure Phenotype in a Model of Dravet Syndrome. EBioMedicine 2016, 9, 257–277. [Google Scholar] [CrossRef]
- Lim, K.H.; Han, Z.; Jeon, H.Y.; Kach, J.; Jing, E.; Weyn-Vanhentenryck, S.; Downs, M.; Corrionero, A.; Oh, R.; Scharner, J.; et al. Antisense Oligonucleotide Modulation of Non-Productive Alternative Splicing Upregulates Gene Expression. Nat. Commun. 2020, 11, 3501. [Google Scholar] [CrossRef]
- Han, Z.; Chen, C.; Christiansen, A.; Ji, S.; Lin, Q.; Anumonwo, C.; Liu, C.; Leiser, S.C.; Aznarez, I.; Liau, G.; et al. Antisense Oligonucleotides Increase Scn1a Expression and Reduce Seizures and SUDEP Incidence in a Mouse Model of Dravet Syndrome. Sci. Transl. Med. 2020, 12, eaaz6100. [Google Scholar] [CrossRef] [PubMed]
- Richards, K.L.; Milligan, C.J.; Richardson, R.J.; Jancovski, N.; Grunnet, M.; Jacobson, L.H.; Undheim, E.A.B.; Mobli, M.; Chow, C.Y.; Herzig, V.; et al. Selective NaV1.1 Activation Rescues Dravet Syndrome Mice from Seizures and Premature Death. Proc. Natl. Acad. Sci. USA 2018, 115, E8077–E8085. [Google Scholar] [CrossRef]
- Osteen, J.D.; Herzig, V.; Gilchrist, J.; Emrick, J.J.; Zhang, C.; Wang, X.; Castro, J.; Garcia-Caraballo, S.; Grundy, L.; Rychkov, G.Y.; et al. Selective Spider Toxins Reveal a Role for the Nav1.1 Channel in Mechanical Pain. Nature 2016, 534, 494–499. [Google Scholar] [CrossRef]
- Li, M.; Jancovski, N.; Jafar-Nejad, P.; Burbano, L.E.; Rollo, B.; Richards, K.; Drew, L.; Sedo, A.; Heighway, J.; Pachernegg, S.; et al. Antisense Oligonucleotide Therapy Reduces Seizures and Extends Life Span in an SCN2A Gain-of-Function Epilepsy Model. J. Clin. Investig. 2021, 131, e152079. [Google Scholar] [CrossRef]
- Southey, M.W.Y.; Brunavs, M. Introduction to Small Molecule Drug Discovery and Preclinical Development. Front. Drug Discov. 2023, 3, 1314077. [Google Scholar] [CrossRef]
- Drews, J. Drug Discovery: A Historical Perspective. Science 2000, 287, 1960–1964. [Google Scholar] [CrossRef]
- Sicouri, S.; Belardinelli, L.; Antzelevitch, C. Antiarrhythmic Effects of the Highly Selective Late Sodium Channel Current Blocker GS-458967. Heart Rhythm 2013, 10, 1036–1043. [Google Scholar] [CrossRef]
- Belardinelli, L.; Liu, G.; Smith-Maxwell, C.; Wang, W.Q.; El-Bizri, N.; Hirakawa, R.; Karpinski, S.; Li, C.H.; Hu, L.; Li, X.J.; et al. A Novel, Potent, and Selective Inhibitor of Cardiac Late Sodium Current Suppresses Experimental Arrhythmias. J. Pharmacol. Exp. Ther. 2013, 344, 23–32. [Google Scholar] [CrossRef]
- Miziak, B.; Czuczwar, S. Advances in the Design and Discovery of Novel Small Molecule Drugs for the Treatment of Dravet Syndrome. Expert Opin. Drug Discov. 2021, 16, 579–593. [Google Scholar] [CrossRef]
Disclaimer/Publisher’s Note: The statements, opinions and data contained in all publications are solely those of the individual author(s) and contributor(s) and not of MDPI and/or the editor(s). MDPI and/or the editor(s) disclaim responsibility for any injury to people or property resulting from any ideas, methods, instructions or products referred to in the content. |
© 2024 by the authors. Licensee MDPI, Basel, Switzerland. This article is an open access article distributed under the terms and conditions of the Creative Commons Attribution (CC BY) license (https://creativecommons.org/licenses/by/4.0/).


