Circulating Exosomal miRNA Profiles in Non-Small Cell Lung Cancers
Abstract
1. Introduction
2. Material and Methods
2.1. Exosome Isolation and Characterization
2.2. Plasma Samples and Patients’ Clinical Characteristics
2.3. Exosomal Mature miRNAs Levels Using Realtime-PCR
2.4. Enrichment Analysis of miRNA Targets Using the CancerMIRNome Database
2.5. Functional miRNAs-Target Interactions Network Construction and Visualization
2.6. Diagnostic Values of miRNAs for SQCLC and LUAD Using ROC Curve Analysis
2.7. Statistical Analyses
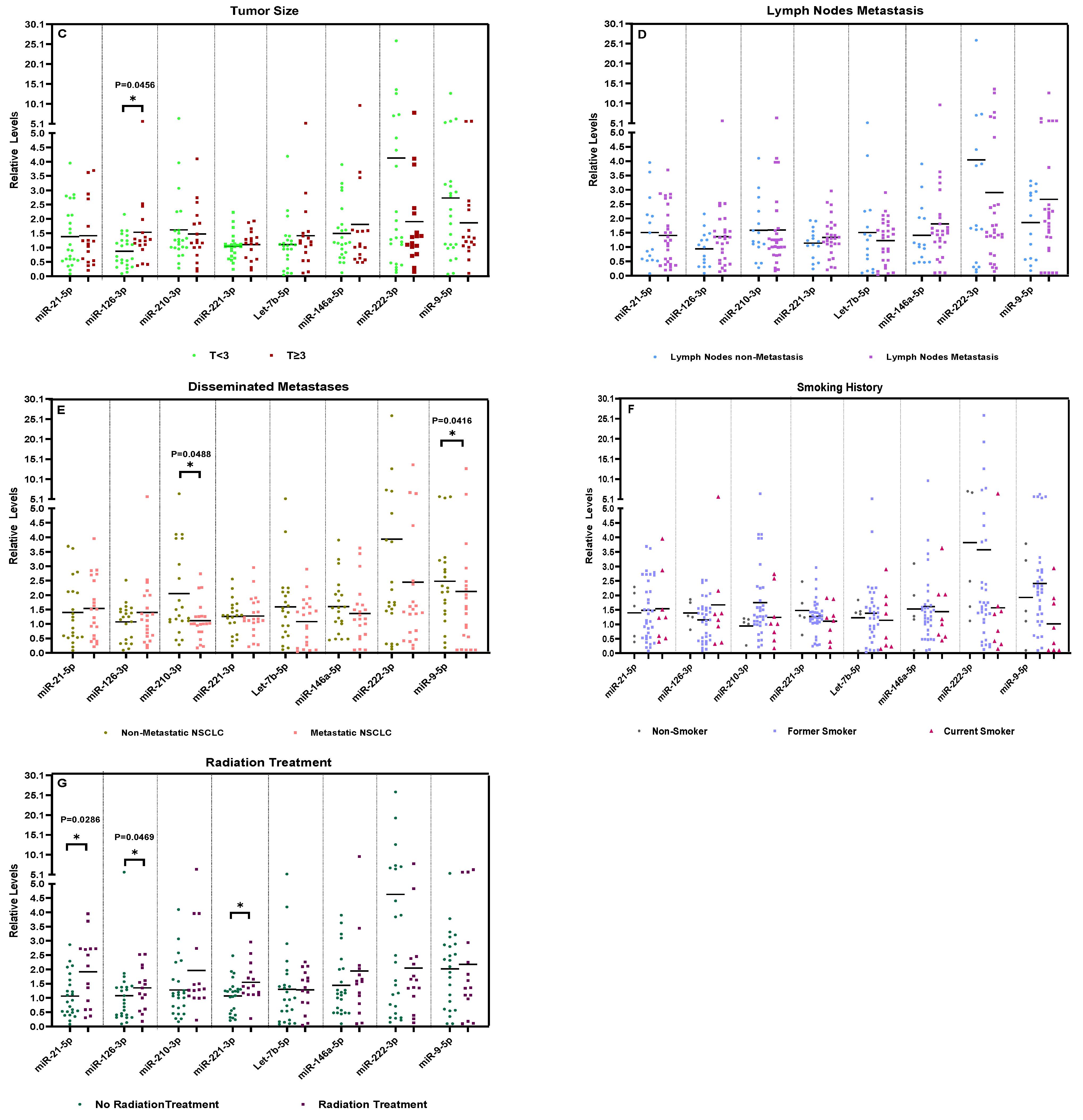
3. Results
3.1. Exosome Characterization
3.2. Exosomal miRNA Profiles
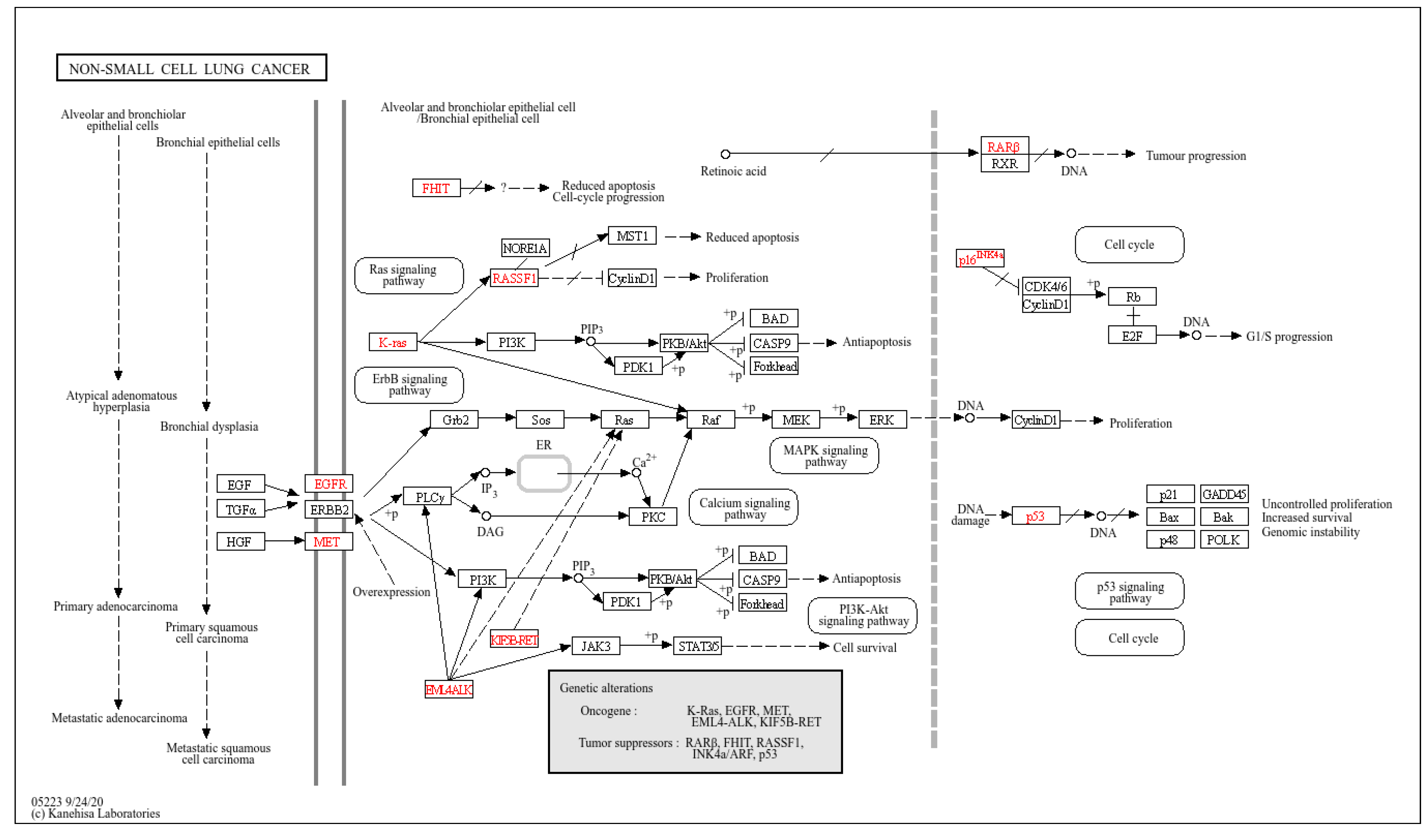
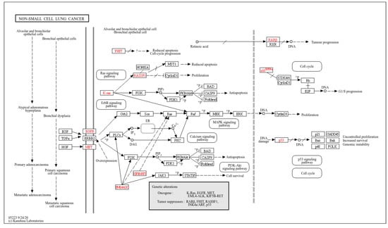
3.3. Enrichment of miRNA Target Genes and Functional Interaction Networks
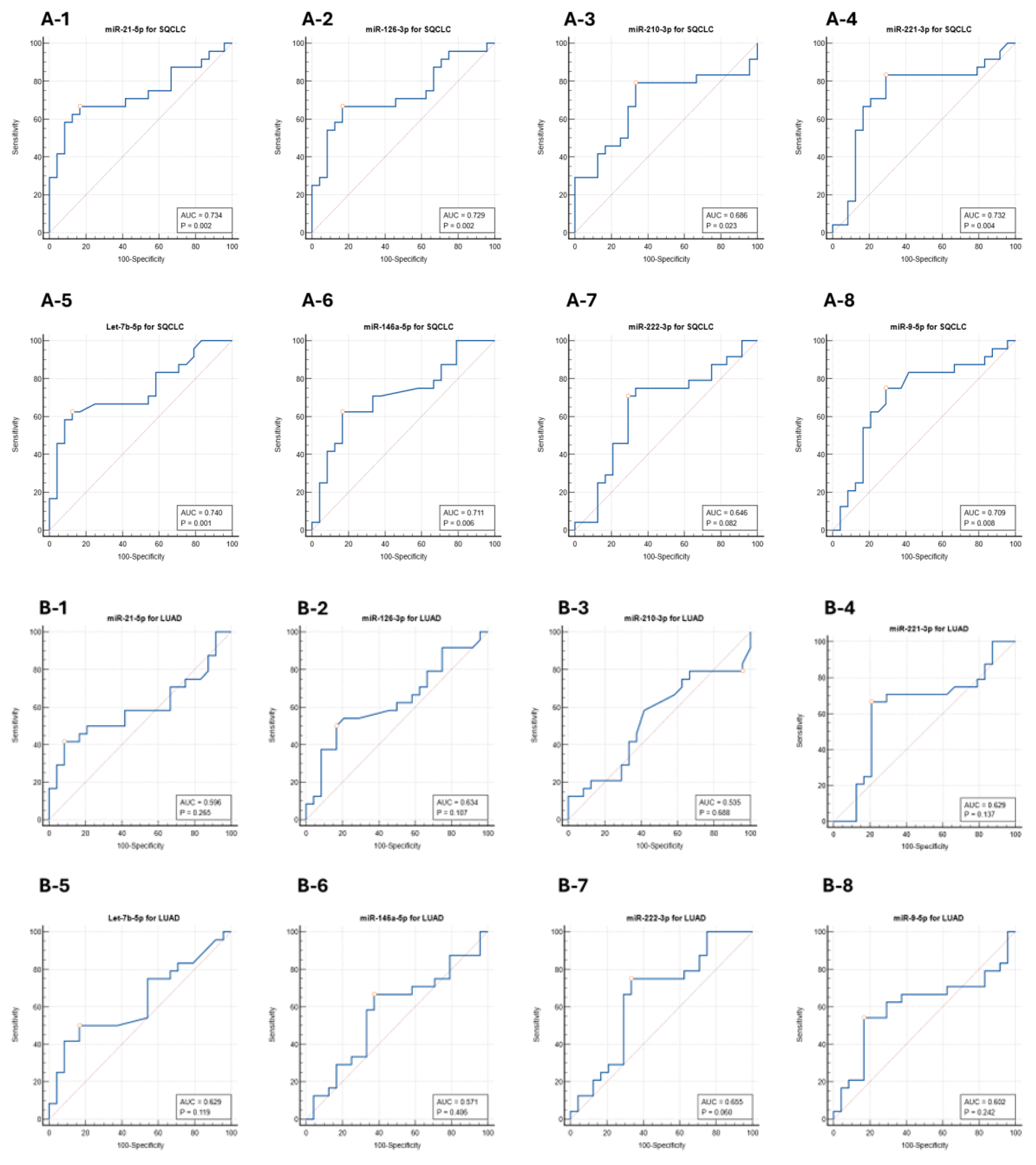
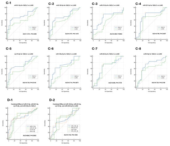
4. Exosomal miRNAs as Cancer Biomarkers
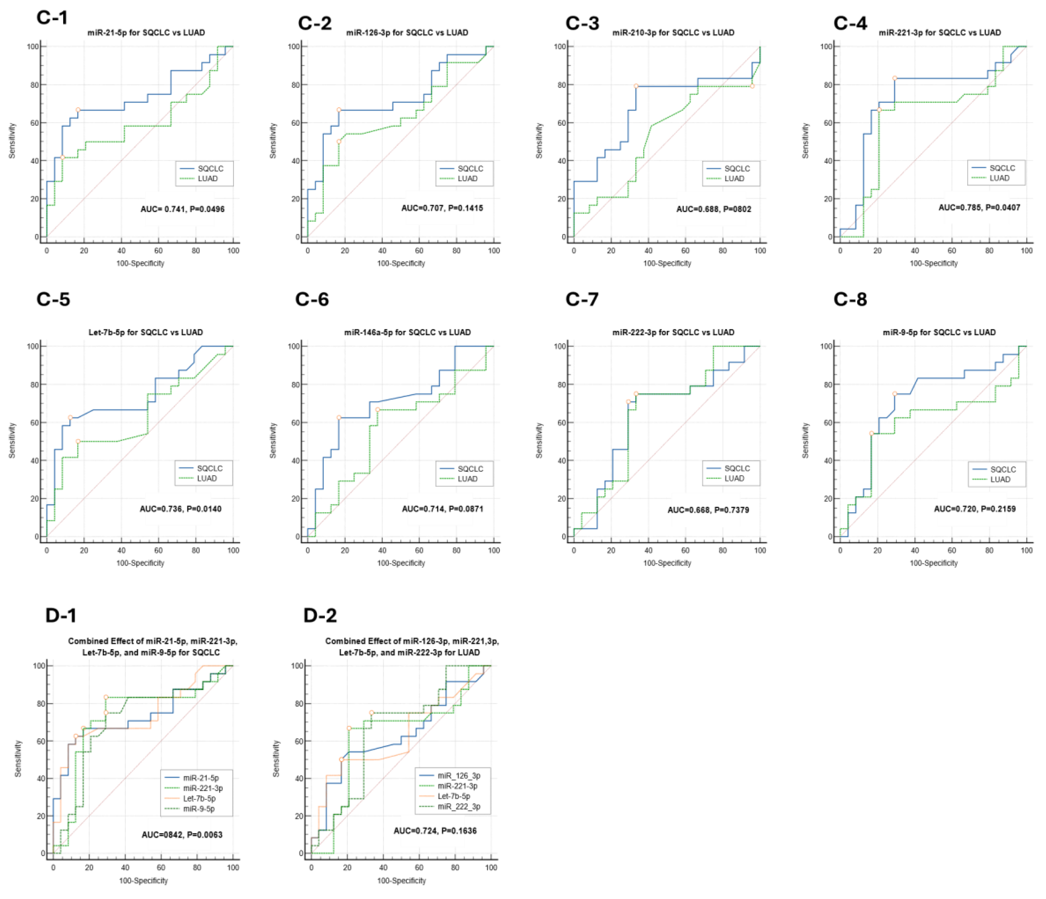
5. External Validation of Training Set Findings
6. Discussion
7. Conclusions
Supplementary Materials
Author Contributions
Funding
Institutional Review Board Statement
Informed Consent Statement
Data Availability Statement
Acknowledgments
Conflicts of Interest
References
- Chen, W.; Zheng, R.; Baade, P.D.; Zhang, S.; Zeng, H.; Bray, F.; Jemal, A.; Yu, X.Q.; He, J. Cancer statistics in China, 2015. CA Cancer J. Clin. 2016, 66, 115–132. [Google Scholar] [CrossRef] [PubMed]
- Miller, K.D.; Goding Sauer, A.; Ortiz, A.P.; Fedewa, S.A.; Pinheiro, P.S.; Tortolero-Luna, G.; Martinez-Tyson, D.; Jemal, A.; Siegel, R.L. Cancer Statistics for Hispanics/Latinos, 2018. CA Cancer J. Clin. 2018, 68, 425–445. [Google Scholar] [CrossRef]
- Siegel, R.L.; Giaquinto, A.N.; Jemal, A. Cancer statistics. CA Cancer J. Clin. 2024, 74, 12–49, Erratum in CA Cancer J. Clin. 2024, 74, 203. [Google Scholar] [CrossRef] [PubMed]
- Yáñez-Mó, M.; Siljander, P.-M.; Andreu, Z.; Bedina Zavec, A.; Borràs, F.E.; Buzas, E.I.; Buzas, K.; Casal, E.; Cappello, F.; Carvalho, J.; et al. Biological properties of extracellular vesicles and their physiological functions. J. Extracell. Vesicles 2015, 4, 27066. [Google Scholar] [CrossRef] [PubMed]
- Cui, S.; Cheng, Z.; Qin, W.; Jiang, L. Exosomes as a liquid biopsy for lung cancer. Lung Cancer 2018, 116, 46–54. [Google Scholar] [CrossRef]
- Raposo, G.; Stoorvogel, W. Extracellular vesicles: Exosomes, microvesicles, and friends. J. Cell Biol. 2013, 200, 373–383. [Google Scholar] [CrossRef]
- Tovar-Camargo, O.A.; Toden, S.; Goel, A. Exosomal microRNA biomarkers: Emerging frontiers in colorectal and other human cancers. Expert Rev. Mol. Diagn. 2016, 16, 553–567. [Google Scholar] [CrossRef]
- Bowers, E.C.; Cavalcante, A.M.; Nguyen, K.; Li, C.; Wang, Y.; El-Zein, R.; Chen, S.-H.; Kim, M.P.; McKay, B.S.; Ramos, K.S. Long Interspersed Nuclear Element-1 Analytes in Extracellular Vesicles as Tools for Molecular Diagnostics of Non-Small Cell Lung Cancer. Int. J. Mol. Sci. 2024, 25, 1169. [Google Scholar] [CrossRef]
- Lee, R.C.; Feinbaum, R.L.; Ambros, V. The C. elegans heterochronic gene lin-4 encodes small RNAs with antisense complementarity to lin-14. Cell 1993, 75, 843–854. [Google Scholar] [CrossRef]
- Aghanoori, M.-R.; Mirzaei, B.; Tavallaei, M. MiRNA molecular profiles in human medical conditions: Connecting lung cancer and lung development phenomena. Asian Pac. J. Cancer Prev. APJCP 2014, 15, 9557–9565. [Google Scholar] [CrossRef]
- Lee, Y.S.; Dutta, A. MicroRNAs in cancer. Annu. Rev. Pathol. 2009, 4, 199–227. [Google Scholar] [CrossRef]
- Iqbal, M.A.; Arora, S.; Prakasam, G.; Calin, G.A.; Syed, M.A. MicroRNA in lung cancer: Role, mechanisms, pathways and therapeutic relevance. Mol. Aspects Med. 2019, 70, 3–20. [Google Scholar] [CrossRef] [PubMed]
- Chen, X.; Ba, Y.; Ma, L.; Cai, X.; Yin, Y.; Wang, K.; Guo, J.; Zhang, Y.; Chen, J.; Guo, X.; et al. Characterization of microRNAs in serum: A novel class of biomarkers for diagnosis of cancer and other diseases. Cell Res. 2008, 18, 997–1006. [Google Scholar] [PubMed]
- Amin, M.B.; Greene, F.L.; Edge, S.B.; Compton, C.C.; Gershenwald, J.E.; Brookland, R.K.; Meyer, L.; Gress, D.M.; Byrd, D.R.; Winchester, D.P. The Eighth Edition AJCC Cancer Staging Manual: Continuing to build a bridge from a population-based to a more “personalized” approach to cancer staging. CA Cancer J. Clin. 2017, 67, 93–99. [Google Scholar] [CrossRef]
- Chang, L.; Zhou, G.; Soufan, O.; Xia, J. miRNet 2.0: Network-based visual analytics for miRNA functional analysis and systems biology. Nucleic Acids Res. 2020, 48, W244–W251. [Google Scholar] [CrossRef]
- Montoya-Durango, D.E.; Ramos, K.A.; Bojang, P.; Ruiz, L.; Ramos, I.N.; Ramos, K.S. LINE-1 silencing by retinoblastoma proteins is affected through the nucleosomal and remodeling deacetylase multiprotein complex. BMC Cancer 2016, 16, 38. [Google Scholar] [CrossRef]
- Ramos, K.S.; He, Q.; Kalbfleisch, T.; Montoya-Durango, D.E.; Teneng, I.; Stribinskis, V.; Brun, M. Computational and biological inference of gene regulatory networks of the LINE-1 retrotransposon. Genomics 2007, 90, 176–185. [Google Scholar] [CrossRef] [PubMed][Green Version]
- Bojang, P., Jr.; Roberts, R.A.; Anderton, M.J.; Ramos, K.S. Reprogramming of the HepG2 genome by long interspersed nuclear element 1. Mol. Oncol. 2013, 7, 812–825. [Google Scholar] [CrossRef]
- Puisségur, M.-P.; Mazure, N.M.; Bertero, T.; Pradelli, L.; Grosso, S.; Robbe-Sermesant, K.; Maurin, T.; Lebrigand, K.; Cardinaud, B.; Hofman, V.; et al. MiR-210 is overexpressed in late stages of lung cancer and mediates mitochondrial alterations associated with modulation of HIF-1 activity. Cell Death Differ. 2011, 18, 465–478. [Google Scholar] [CrossRef]
- Johnson, S.M.; Grosshans, H.; Shingara, J.; Byrom, M.; Jarvis, R.; Cheng, A.; Labourier, E.; Reinert, K.L.; Brown, D.; Slack, F.J. RAS is regulated by the let-7 microRNA family. Cell 2005, 120, 635–647. [Google Scholar] [CrossRef]
- Bommer, G.T.; Gerin, I.; Feng, Y.; Kaczorowski, A.J.; Kuick, R.; Love, R.E.; Zhai, Y.; Giordano, T.J.; Qin, Z.S.; Moore, B.B.; et al. p53-mediated activation of miRNA34 candidate tumor-suppressor genes. Curr. Biol. 2007, 17, 1298–1307. [Google Scholar] [CrossRef] [PubMed]
- Lodygin, D.; Tarasov, V.; Epanchintsev, A.; Berking, C.; Knyazeva, T.; Körner, H.; Knyazev, P.; Diebold, J.; Hermeking, H. Inactivation of miR-34a by aberrant CpG methylation in multiple types of cancer. Cell Cycle 2008, 7, 2591–2600. [Google Scholar] [CrossRef] [PubMed]
- Viswanathan, S.R.; Daley, G.Q.; Gregory, R.I. Selective blockade of microRNA processing by Lin28. Science 2008, 320, 97–100. [Google Scholar] [CrossRef]
- Gallardo, E.; Navarro, A.; Viñolas, N.; Marrades, R.M.; Diaz, T.; Gel, B.; Quera, A.; Bandres, E.; Garcia-Foncillas, J.; Ramirez, J.; et al. miR-34a as a prognostic marker of relapse in surgically resected non-small-cell lung cancer. Carcinogenesis 2009, 30, 1903–1909. [Google Scholar] [CrossRef] [PubMed]
- Vadla, G.P.; Daghat, B.; Patterson, N.; Ahmad, V.; Perez, G.; Garcia, A.; Manjunath, Y.; Kaifi, J.T.; Li, G.; Chabu, C.Y. Combining plasma extracellular vesicle Let-7b-5p, miR-184 and circulating miR-22-3p levels for NSCLC diagnosis and drug resistance prediction. Sci. Rep. 2022, 12, 6693. [Google Scholar] [CrossRef]
- Pop-Bica, C.; Pintea, S.; Magdo, L.; Cojocneanu, R.; Gulei, D.; Ferracin, M.; Berindan-Neagoe, I. The Clinical Utility of miR-21 and let-7 in Non-small Cell Lung Cancer (NSCLC). A Systematic Review and Meta-Analysis. Front. Oncol. 2020, 10, 516850. [Google Scholar] [CrossRef]
- Kim, Y.K.; Yu, J.; Han, T.S.; Park, S.Y.; Namkoong, B.; Kim, D.H.; Hur, K.; Yoo, M.W.; Lee, H.J.; Yang, H.K.; et al. Functional links between clustered microRNAs: Suppression of cell-cycle inhibitors by microRNA clusters in gastric cancer. Nucleic Acids Res. 2009, 37, 1672–1681. [Google Scholar] [CrossRef]
- Howe, E.N.; Cochrane, D.R.; Richer, J.K. The miR-200 and miR-221/222 microRNA families: Opposing effects on epithelial identity. J. Mammary Gland Biol. Neoplasia 2012, 17, 65–77. [Google Scholar] [CrossRef]
- Sun, Y.-J.; Li, J.; Chen, C.-H. Effects of miR-221 on the apoptosis of non-small cell lung cancer cells by lncRNA HOTAIR. Eur. Rev. Med. Pharmacol. Sci. 2019, 23, 4226–4233. [Google Scholar] [CrossRef]
- Han, L.; Wang, W.; Ding, W.; Zhang, L. MiR-9 is involved in TGF-β1-induced lung cancer cell invasion and adhesion by targeting SOX7. J. Cell. Mol. Med. 2017, 21, 2000–2008. [Google Scholar] [CrossRef]
- Li, Y.; Yin, Z.; Fan, J.; Zhang, S.; Yang, W. The roles of exosomal miRNAs and lncRNAs in lung diseases. Signal Transduct. Target. Ther. 2019, 4, 47. [Google Scholar] [CrossRef]
- Wang, R.J.; Zheng, Y.H.; Wang, P.; Zhang, J.Z. Serum miR-125a-5p, miR-145 and miR-146a as diagnostic biomarkers in non-small cell lung cancer. Int. J. Clin. Exp. Pathol. 2015, 8, 765–771. [Google Scholar] [PubMed]
- Chen, G.; Umelo, I.A.; Lv, S.; Teugels, E.; Fostier, K.; Kronenberger, P.; Dewaele, A.; Sadones, J.; Geers, C.; De Grève, J. MiR-146a Inhibits Cell Growth, Cell Migration and Induces Apoptosis in Non-Small Cell Lung Cancer Cells. PLoS ONE 2013, 8, e60317. [Google Scholar] [CrossRef]
- Wei, F.; Ma, C.; Zhou, T.; Dong, X.; Luo, Q.; Geng, L.; Ding, L.; Zhang, Y.; Zhang, L.; Li, N.; et al. Correction to: Exosomes derived from gemcitabine resistant cells transfer malignant phenotypic traits via delivery of miRNA-222-3p. Mol. Cancer 2021, 20, 35. [Google Scholar] [CrossRef] [PubMed]
- Zhuang, G.; Wu, X.; Jiang, Z.; Kasman, I.; Yao, J.; Guan, Y.; Oeh, J.; Modrusan, Z.; Bais, C.; Sampath, D.; et al. Tumour-secreted miR-9 promotes endothelial cell migration and angiogenesis by activating the JAK-STAT pathway. EMBO J. 2012, 31, 3513–3523. [Google Scholar] [CrossRef]
- Grimolizzi, F.; Monaco, F.; Leoni, F.; Bracci, M.; Staffolani, S.; Bersaglieri, C.; Gaetani, S.; Valentino, M.; Amati, M.; Rubini, C.; et al. Exosomal miR-126 as a circulating biomarker in non-small-cell lung cancer regulating cancer progression. Sci. Rep. 2017, 7, 15277. [Google Scholar] [CrossRef]
- Cui, H.J.; Yang, A.L.; Zhou, H.J.; Wang, C.; Luo, J.K.; Lin, Y.; Zong, Y.X.; Tang, T. Buyang huanwu decoction promotes angiogenesis via vascular endothelial growth factor receptor-2 activation through the PI3K/Akt pathway in a mouse model of intracerebral hemorrhage. BMC Complement. Altern. Med. 2015, 15, 91. [Google Scholar] [CrossRef]
- Jiang, Y.; Jia, Y.; Zhang, L. Role of programmed cell death 4 in diseases: A double-edged sword. Cell. Mol. Immunol. 2017, 14, 884–886. [Google Scholar] [CrossRef][Green Version]
- Wang, X.-C.; Wang, L.-Q.; Du, L.-L.; Tian, H.-L.; Wu, X.-Y.; Jiang, H.; Zhang, D.-G.; Li, Y.-Y.; Wang, H.-Y.; Wu, Y.; et al. Expression and function of miRNA in postoperative radiotherapy sensitive and resistant patients of non-small cell lung cancer. Lung Cancer 2011, 72, 92–99. [Google Scholar] [CrossRef]
- Guan, P.; Yin, Z.; Li, X.; Wu, W.; Zhou, B. Meta-analysis of human lung cancer microRNA expression profiling studies comparing cancer tissues with normal tissues. J. Exp. Clin. Cancer Res. 2012, 31, 54. [Google Scholar] [CrossRef]
- Wang, C.; Ding, M.; Xia, M.; Chen, S.; Van Le, A.; Soto-Gil, R.; Shen, Y.; Wang, N.; Wang, J.; Gu, W.; et al. A Five-miRNA Panel Identified from a Multicentric Case–control Study Serves as a Novel Diagnostic Tool for Ethnically Diverse Non-small-cell Lung Cancer Patients. eBioMedicine 2015, 2, 1377–1385. [Google Scholar] [CrossRef] [PubMed]












| miRNA | SQCLC | LUAD | SQCLC vs. LUAD | ||||||
|---|---|---|---|---|---|---|---|---|---|
| AUC (95% CI) | Se | Sp | Criterion | AUC (95% CI) | Se | Sp | Criterion | AUC (95% CI) | |
| miR-21-5p | 0.734 (0.587 to 0.851) | 66.7 | 83.3 | >1.09 | 0.596 (0.445 to 0.735) | 41.7 | 91.7 | >1.23 | 0.741 (0.595 to 0.857) |
| miR-126-3p | 0.729 (0.582 to 0.847) | 66.7 | 83.3 | >1.08 | 0.643 (0.482 to 0.768 | 50 | 83.3 | >1.08 | 0.707 (0.558 to 0.829) |
| miR-210-3p | 0.686 (0.536 to 0.812) | 79.2 | 66.7 | >1.03 | 0.535 (0.385 to 0.680) | 79.2 | 4.2 | >0.46 | 0.688 (0.537 to 0.813) |
| miR-221-3p | 0.732 (0.584 to 0.849) | 83.3 | 70.8 | >1.01 | 0.629 (0.478 to 0.764) | 66.7 | 79.2 | >1.1 | 0.785 (0.642 to 0.890) |
| Let-7b-5p | 0.740 (0.593 to 0.855) | 62.5 | 87.5 | >1.26 | 0.629 (0.478 to 0.7640 | 50 | 83.3 | >1.2 | 0.736 (0.589 to 0.853) |
| miR-146a-5p | 0.711 (0.562 to 0.833) | 62.5 | 83.3 | >1.4 | 0.571 (0.420 to 0.713) | 66.7 | 62.5 | >1 | 0.714 (0.565 to 0.835) |
| miR-222-3p | 0.646 (0.495 to 0.778) | 70.8 | 70.8 | >1.25 | 0.655 (0.503 to 0.786) | 75 | 66.7 | >1.03 | 0.668 (0.518 to 0.797) |
| miR-9-5p | 0.709 (0.560 to 0.831) | 75 | 70.8 | >1.25 | 0.602 (0.451 to 0.741) | 54.2 | 83.3 | >1.86 | 0.720 (0.572 to 0.840) |
| miRNA | SQCLC | LUAD | SQCLC vs. LUAD | ||||||
|---|---|---|---|---|---|---|---|---|---|
| AUC (95% CI) | Se | Sp | Criterion | AUC (95% CI) | Se | Sp | Criterion | AUC (95% CI) | |
| miR-21-5p | 0.788 (0.575 to 0.927) | 75 | 91.7 | >1 | 0.524 (0.313 to 0.730) | 41.7 | 91.7 | ≤0.62 | 0.792 (0.578 to 0.929) |
| miR-126-3p | 0.722 (0.503 to 0.884) | 83.3 | 66.7 | >1 | 0.635 (0.416 to 0.820) | 91.7 | 41.7 | >1.07 | 0.771 (0.555 to 0.916) |
| miR-210-3p | 0.722 (0.503 to 0.884) | 83.3 | 73 | >1.12 | 0.601 (0.383 to 0.793) | 66.7 | 58.3 | >1 | 0.729 (0.511 to 0.888) |
| miR-221-3p | 0.747 (0.529 to 0.900) | 75 | 75 | >1.16 | 0.681 (0.461 to 0.854) | 75 | 66.7 | >1.46 | 0.715 (0.496 to 0.879) |
| Let-7b-5p | 0.764 (0.548 to 0.911) | 75 | 83.3 | >1 | 0.639 (0.419 to 0.823) | 83.3 | 50 | >1.03 | 0.764 (0.548 to 0.911) |
| miR-146a-5p | 0.722 (0.503 to 0.884) | 83.3 | 66.7 | >1 | 0.549 (0.334 to 0.750) | 33.3 | 41.7 | >0.84 | 0.736 (0.518 to 0.893) |
| miR-222-3p | 0.646 (0.426 to 0.828) | 75 | 58.3 | >1 | 0.604 (0.386 to 0.796) | 58.3 | 75 | >1 | 0.653 (0.433 to 0.833) |
| miR-9-5p | 0.743 (0.525 to 0.898) | 66.7 | 91.7 | >1.39 | 0.639 (0.419 to 0.823) | 66.7 | 75 | >1.39 | 0.743 (0.525 to 0.898) |
Disclaimer/Publisher’s Note: The statements, opinions and data contained in all publications are solely those of the individual author(s) and contributor(s) and not of MDPI and/or the editor(s). MDPI and/or the editor(s) disclaim responsibility for any injury to people or property resulting from any ideas, methods, instructions or products referred to in the content. |
© 2024 by the authors. Licensee MDPI, Basel, Switzerland. This article is an open access article distributed under the terms and conditions of the Creative Commons Attribution (CC BY) license (https://creativecommons.org/licenses/by/4.0/).
Share and Cite
Hassanin, A.A.I.; Ramos, K.S. Circulating Exosomal miRNA Profiles in Non-Small Cell Lung Cancers. Cells 2024, 13, 1562. https://doi.org/10.3390/cells13181562
Hassanin AAI, Ramos KS. Circulating Exosomal miRNA Profiles in Non-Small Cell Lung Cancers. Cells. 2024; 13(18):1562. https://doi.org/10.3390/cells13181562
Chicago/Turabian StyleHassanin, Abeer A. I., and Kenneth S. Ramos. 2024. "Circulating Exosomal miRNA Profiles in Non-Small Cell Lung Cancers" Cells 13, no. 18: 1562. https://doi.org/10.3390/cells13181562
APA StyleHassanin, A. A. I., & Ramos, K. S. (2024). Circulating Exosomal miRNA Profiles in Non-Small Cell Lung Cancers. Cells, 13(18), 1562. https://doi.org/10.3390/cells13181562

