Abstract
Cytochrome c (Cc) underwent accelerated evolution from the stem of the anthropoid primates to humans. Of the 11 amino acid changes that occurred from horse Cc to human Cc, five were at Cc residues near the binding site of the Cc:CcO complex. Single-point mutants of horse and human Cc were made at each of these positions. The Cc:CcO dissociation constant KD of the horse mutants decreased in the order: T89E > native horse Cc > V11I Cc > Q12M > D50A > A83V > native human. The largest effect was observed for the mutants at residue 50, where the horse Cc D50A mutant decreased KD from 28.4 to 11.8 μM, and the human Cc A50D increased KD from 4.7 to 15.7 μM. To investigate the role of Cc phosphorylation in regulating the reaction with CcO, phosphomimetic human Cc mutants were prepared. The Cc T28E, S47E, and Y48E mutants increased the dissociation rate constant kd, decreased the formation rate constant kf, and increased the equilibrium dissociation constant KD of the Cc:CcO complex. These studies indicate that phosphorylation of these residues plays an important role in regulating mitochondrial electron transport and membrane potential ΔΨ.
1. Introduction
Cytochrome c (Cc) is a very ancient protein occurring first in anaerobic photosynthetic bacteria over 3 billion years ago, possibly resembling cytochrome c2 (Cc2) in the current photosynthetic bacterium Rhodobacter sphaeroides []. Cc is a very highly conserved protein with the heme iron liganded by a His nitrogen and a Met sulfur (Figure 1) []. Extensive studies have identified a highly conserved ring of positively charged lysines surrounding the heme crevice of Cc that form electrostatic interactions with negatively charged Asp and Glu residues at the binding site of the Cc partners (Figure 1). Chemical modification, mutagenesis, and X-ray crystallography studies have shown that the Rb. sphaeroides Cc2—reaction center complex is stabilized by electrostatic interactions between the ring of lysines surrounding the heme crevice of cyt c2 and Asp and Glu residues on the reaction center [,,]. The rate constant for electron transfer from cyt c2 to the photooxidized chlorophyl dimer D+ was ket = 1.1 × 106 s−1 in both the crystal complex and the complex in solution, demonstrating that the structure of the complex was the same in the crystal and in solution []. The experimental rate constant of ket = 1.1 × 106 s−1 was in good agreement with calculations based on Marcus theory using the closest distance R = 14.2 Å between the conjugated ring atoms of the cyt c2 heme and the chlorophyl dimer D+ [].

Figure 1.
Horse Cc crystal structure (PDB 1HRC) with the heme shown in red, the histidine 18 and methionine 80 iron ligands shown in purple and yellow, and the lysines involved in binding electron transfer partners shown in blue. The amino acids Val 11, Gln 12, Asp 50, Ala 83, and Thr 89 that are mutated in human Cc are also shown.
Chemical modification studies demonstrated that lysines 8, 13, 27, 72, 79, and 87 surrounding the heme crevice of horse Cc are involved in binding negatively charged residues on cytochrome b5, in agreement with a computational model for the Cc–cyt b5 complex [,]. A new laser-activated ruthenium technique was developed to measure the rate constant for intracomplex electron transfer between cyt b5 labeled with a ruthenium complex at Cys-65 (Ru-65-Cyt b5) and Cc to be 4 × 105 s−1, which is in good agreement with theoretical predictions of the rate constant [,].
Chemical modification studies demonstrated that the ring of lysines surrounding the heme crevice of Cc is involved in binding negatively charged residues on yeast cytochrome c peroxidase [,], in agreement with an X-ray crystal structure of the yeast Cc–cytochrome c peroxidase complex []. A new ruthenium-labeled yeast Cc derivative, Ru-39-Cc was designed to measure the actual rate of intracomplex electron transfer to the Trp-191 radical cation and the oxyferryl heme in cytochrome c peroxidase compound I []. Photo-reduced Ru-39-Cc initially transferred an electron to the radical cation in CMPI with rate constant keta = 2 × 106 s−1, and then reduced the oxyferryl heme with rate constant ketb = 5000 s−1. Calculations based on Marcus theory using the distance R = 16 Å between the Ru-39-Cc heme and the Trp-191 radical cation in the X-ray crystal structure gave a rate constant of ketb = 3 × 105 s−1, somewhat less than the experimental rate constant [].
Extensive chemical modification studies have demonstrated that lysines 8, 13, 27, 72, 79, 86, and 87 surrounding the heme crevice of Cc are involved in binding negatively charged residues on both cytochrome bc1 (cyt bc1) and cytochrome c oxidase (CcO) in the mitochondrial respiratory chain, indicated that Cc must first bind to cyt bc1 and accept an electron, then be released, bind to CcO and transfer an electron to CcO [,,,,,,,,,,,]. Lang and Hunte [,] have determined an X-ray crystal structure of the yeast Cc–cyt bc1 complex that is in agreement with the chemical modification studies. Laser excitation of a 1:1 complex between reduced yeast Ru-39-Cc and yeast cyt bc1 at low ionic strength leads to rapid reduction of heme c, followed by intracomplex electron transfer from cyt c1 to heme c with a rate constant of 77,000 s−1 [,]. Mutation of Arg-13 and lysines, 27, 72, 79, 86, and 87 to Ala in yeast Ru-39-Cc resulted in significant decreases in the rate of complex formation with cyt bc1, in agreement with the crystal structure []. There is a Π–cation interaction between Cc Arg-13 and cyt c1 Phe-230 which has been shown to play an important role in the interaction between the two proteins []. Intracomplex electron transfer from laser excited horse Ru-72-Cc to either bovine or Rb. Sphaeroides cyt bc1 heme c1 had a rate constant of 60,000 s−1 []. Mutagenesis studies of the acidic residues Glu-74, Glu-101, Asp-102, Glu-104, Asp-109, Glu-162, Glu-163, and Glu-168 surrounding the heme crevice of Rb. Sphaeroides cyt c1 demonstrated they are involved in binding Cc [], in agreement with the X-ray crystal structure of the yeast Cc–cyt bc1 complex []. Calculations based on Marcus theory using the distance R = 9.4 Ǻ between the Ru-39-Cc heme and the cyt c1 heme in the X-ray crystal structure gave a rate constant of ketb = 1.8 × 105 s−1, somewhat larger than the experimental rate constant [].
CcO is the terminal protein in the electron transport chain of mitochondria as well as many bacteria [,]. Cc binds to subunit II of CcO and transfers an electron to CuA [,,,,,]. Electrons are then transferred sequentially from CuA to heme a, heme a3 and CuB in CcO subunit I, reducing oxygen to water and generating a proton gradient across the membrane. The highly conserved ring of seven lysines surrounding the Cc heme crevice have been shown by chemical modification studies to be involved in electrostatic interactions with CcO [,,,,,,]. The X-ray crystal structures of bovine [], Paracoccus denitrificans [], and Rb. sphaeroides CcO [,] have shown a central hydrophobic domain surrounded by a prominent ring of acidic residues on subunit II involved in the binding of Cc [,,,,,,,]. Computational studies by Roberts and Pique [] indicate that the interaction between horse Cc and bovine CcO involves a central hydrophobic domain surrounded by electrostatic and hydrogen bonding interactions (Figure 2). Laser excitation of the 1:1 complex between horse Ru-39-Cc and bovine CcO at low ionic strength led to electron transfer from heme c to CuA with rate constant k3 = 6 × 104 s−1, followed by electron transfer from CuA to heme a with rate constant k5 = 1.8 s 104 s−1 []. The ruthenium complex is on the backside of Ru-39-Cc, and does not affect any of the steady-state kinetic parameters of the reaction with CcO [] or cyt bc1 []. The K13A, K72A, K86A, and K87A Ru-39-Cc mutants greatly decreased the rate constant k2nd for binding Ru-Cc to CcO at 150 mM ionic strength, indicating that lysines 13, 72, 86, and 87 are involved in electrostatic binding to CcO (Figure 2) []. However, the K13A, K72A, K86A, and K87A Ru-39-Cc mutants had nearly the same intracomplex rate constant k3 as wild-type Ru-39-Cc, demonstrating that these lysines are not involved in the electron transfer pathway (Figure 2) []. The Rb. sphaeroides (Rs) CcO mutants E148Q, E157Q, D195N, and D214 N significantly decreased the second-order rate constant k2nd for the reaction with horse Ru-55-Cc, indicating that the negative charges on E148, E157, D195, and D214 (homologous to bovine CcO E109, D119, D139, and D158) are involved in binding Cc []. The Rb. sphaeroides W143F mutant (bovine W104) decreased k3 by 450-fold but did not affect the dissociation constant KD of the Cc:CcO complex or the redox potential of CuA []. These results are consistent with the computational model for the Cc:CcO complex with the electron transfer pathway: heme c → CcO-W104 → CcO-M207 → CuA, which has a Van-der-Waals interaction between heme c CBC methyl group and the W104 C-H bond, a separation of 2.8 Å between the W104 CH and the sulfur atom of Met-207, and 9 covalent bonds (Figure 2) []. Calculations based on Marcus theory using the distance R = 14.1 Å between the Ru-39-Cc heme and the CuA center in the computational complex give a rate constant of k3 = 5 × 104 s−1, in good agreement with the experimental rate constant k3 = 6 × 104 s−1 []. The 450-fold decrease in k3 caused by the Rb. sphaeroides CcO W143F mutation [] is consistent with an additional 2.4 Å gap between the Cc heme CBC methyl group and CcO F143 [].

Figure 2.
Computational model of the Cc:CcO complex based on the crystal structures of Cc (PDB 1HRC) and CcO (PDB 1OCC) []. Cc is colored blue, CcO subunit II is green, subunit I is grey. subunit 7A is orange, and subunit 7C is green. The positively charged Cc lysine residues are colored blue, and the negatively charged CcO glutamate and aspartate residues are colored red. The Cc amino acids mutated in this study are also shown. Blue arrows show the electron transfer pathway.
A crystal structure for the Cc–CcO complex [] is very different from the computational model of the complex []. The binding domain of the Cc-CcO crystal structure is quite small, with several interactions of Cc residues K8, Q12, K13, and K87 with CcO residues. Calculations based on Marcus theory using the distance R = 18.7 Å between the Ru-39-Cc heme and the CuA center in the crystal structure give a rate constant of k3 = 90 s−1, much smaller than the experimental rate constant k3 = 6 × 104 s−1 []. A new pathway for electron transfer from Cc heme to CuA in the Cc:CcO crystal structure was proposed:
heme c → Cc-C14 → Cc-K13 → CcO-Y105 → CcO-M207 → CuA.
This is a long pathway with a running distance of 41.9 Å [], with a calculated rate constant of ket = 3.3 × 10−5 s−1 using the Beratan tunneling pathway theory []. The Ru-39-Cc K13A mutant had very little effect on the experimental rate constant k3 for electron transfer from Cc heme c to CuA, indicating that Cc Lys 13 is not on the electron transfer pathway []. The Rs CcO subunit II Y144 (bovine Y105) mutation caused only a 3.8-fold decrease in k3, indicating that Y105 is also not on the electron transfer pathway []. The Cc:CcO crystal structure [] is therefore unlikely to be active in electron transfer. The configuration of the Cc:CcO crystals could have been affected by crystal packing forces or by the conditions used in crystallization.
Cc is one of the most highly conserved proteins and is an excellent marker for evolutionary changes in species over the history of life on earth. Cc underwent three periods of accelerated evolution, the first early in vertebrate evolution, the second at the stem of the anthropoid primates, and the third in the catarrhine stem leading to the Old-World monkeys, apes, and humans []. Of the 11 amino acid changes that occurred from horse Cc to human Cc, eight occurred in the lineage from anthropoid primates to humans []. Five of these changes from horse to human Cc occurred at residues near the binding site of the Cc:CcO complex, V11I, M12Q, D50A, A83V, and T89E (Figure 1 and Figure 3). The other six changes occurred farther from the binding site, and may also play a role in the function of Cc: A15S, F47Y, T58I, K70G, E62D, and E92A. There are only two amino acid changes from horse to bovine Cc, K60G and T89G [], which should not affect the function of Cc. The binding site on CcO for Cc underwent a parallel accelerated evolution in the lineage from anthropoid primates to humans []. The CcO residues near the Cc binding site had over four times the number of changes as residues in other regions. It has been suggested that the rapid co-evolution of Cc and CcO has resulted in a very specific interaction between human Cc and human CcO []. One plausible reason for the accelerated evolution of Cc and CcO in primates is the greater need for energy production to support the expansion of the neocortical portion of the brain []. Another reason is the need to regulate the rate of mitochondrial electron transfer and membrane potential ΔΨ to minimize formation of reactive oxygen species (ROS) and support the longer lifespan of humans []. In the present studies, the effect of single-point mutations at residues 11, 12, 50, 83 and 89 in horse and human Cc on electron transfer and binding Cc to CcO was determined. It was found that the dissociation constant KD of the Cc:CcO complex was much smaller for human Cc than for horse Cc, indicating much tighter binding for human Cc. In the human mutants, KD decreased in the order: native horse Cc > human A50D > V83A > I11V > N. Human Cc > M12Q > E89T. Corresponding results were found for horse Cc mutants.

Figure 3.
Structure of the computational horse Cc:CcO complex [] showing the amino acid residues that are mutated from horse to human Cc. Cc lysines and CcO aspartates and glutamates are also shown.
The reaction between Cc and CcO plays a key role in regulating electron transfer and energy production in the entire mitochondrial respiratory chain []. Phosphorylation of key serine, threonine, and tyrosine amino acid residues on Cc and CcO has been found to regulate mitochondrial electron transfer and membrane potential ΔΨ, and minimize formation of ROS [,,,,]. Defects in regulation of the reaction between Cc and CcO have been linked to many degenerative diseases and aging, and also to reperfusion injury following stroke and heart attack []. Cc is also the key activator of apoptosis, which involves release of dephosphorylated Cc from the mitochondria to the cytoplasm, and formation of the apoptosome, leading to cell death []. Phosphorylation of Cc minimizes release from the mitochondria and activation of apoptosis []. Cc can be phosphorylated at five different residues, Tyr97, Tyr48, Thr28, Ser47, and Thr58 in different tissues of the body [,,]. In the present studies, the following phosphomimetic human Cc mutants have been prepared: Cc T28E, S47E, Y48E, Y97E, and the double mutant S47E-Y48E. The negatively charged carboxyl group on the glutamate mimics the phosphorylated serine, threonine or tyrosine. Laser kinetic studies indicated that the Cc T28E, S47E, and Y48E mutants increased the dissociation rate constant kd of the Cc:CcO complex and decreased the formation rate constant kf. Ultracentrifuge studies indicated that the equilibrium dissociation constant KD of the Cc:CcO complex was increased by the Cc T28E, S47E, and Y48E mutants. These studies demonstrate that introduction of a negative charge at Cc T28, S47, or Y48 decreases the strength of the interaction between Cc and CcO, and indicates the phosphorylation of these residues plays an important role in regulating mitochondrial electron transport and membrane potential ΔΨ.
2. Materials and Methods
2.1. Materials
Horse heart cytochrome c (Type VI), lauryl maltoside, carboxyl-2,2,5,5-tetramethyl-1-pyrolidinyloxy free radical (3CP), and aniline were obtained from Sigma-Aldrich, Inc., P.O. Box 14508, St. Louis, MO 68178, United States. The horse cytochrome c mutant, K39C Cc was prepared as described by Engstrom et al. []. Bovine CcO was prepared as described by Pan et al. [].
2.2. Site-Directed Mutagenesis
The native horse Cc and human Cc plasmids were a generous gift from Gary Pielak and are described in Olteanu et al. [,]. Single point mutations in native human or horse plasmid were made using the Strategene QuikChange Site-Directed Mutagenesis Kit. The oligonucleotides for the horse mutations (D50A, V11I, A83V, T89E, and Q12M) and human mutations (A50D, I11V, V83A, E89T, M12Q, T28E, S47E, Y48E, and Y97E) were synthesized by Integrated DNA Technologies, Coralville, IA. Native and mutant Cc plasmids were sequenced by the University of Arkansas DNA resource center, Fayetteville, AR. Expression and purification procedures were followed as described by Olteanu et al. [] except a waters 600 E HPLC and waters 991 photodiode array detector was used. To confirm the total mass and mass of digested protein fragments, MALDI TOF mass spectrometry was done on all mutants at the University of Arkansas Statewide Mass Spectrometry Facility, Fayetteville, AR.
2.3. Analytical Ultracentrifuge Experiments
Solutions for ultracentrifuge experiments contained 5 μM native or mutant Cc, 6 μM bovine CcO, 0.2% lauryl maltoside, and 5 mM phosphate buffer pH 7.0 and 0–350 mM NaCl. The sample and blank were injected into a double sector cell assembly and placed in an AN-60Ti rotor. The sample was spun at 48,000 r.p.m. and 22 °C using a Beckman XL-A analytical ultracentrifuge, and the 410 nm absorbance was measured every 10 min for a total time of 75 min. The sedimentation velocities are unbound Cc: 1.74 S, unbound CcO: 9.7 S and the 1:1 Cc:CcO complex: 11.4 S []. The ultracentrifuge experiments were analyzed assuming that oxidized Ccforms a 1:1 complex with CcO, which has been previously verified under these conditions:
The concentration of free Cc, [Cc], was calculated from the absorbance in the free Cc plateau region using an extinction coefficient of 106 mM−1 cm−1 at 410 nm. The concentration of the 1:1 Cc:CcO complex was [Cc:CcO] = [CcT] − [Cc], and [CcO] = [CcOT] − [CcO], where [CcT] and [CcOT] are the total concentrations of Cc and CcO, respectively. Following each run, the concentration of salt within the sample cell was increased by adding 1 M NaCl. The salt concentrations for each ultracentrifuge run were 0, 70, 100, 120, 150, and 350 mM. The final salt concentration (350 mM) was used to completely inhibit Cc binding to CcO.
2.4. Flash Photolysis Experiments
Laser flash photolysis experiments involving Ru-39-Cc were carried out as previously described [,,]. The reactions of Cc heme, CcO CuA, and CcO heme a were monitored at 550 nm, 830 nm, and 605 nm, respectively [,,,,,].
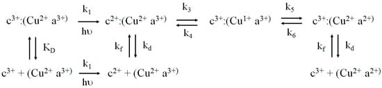
Reactions were carried out in 2 mM sodium phosphate, pH 7.0 or 5 mM TrisCl, pH 8.0 with 0.1 % dodecyl maltoside at 22 °C. 10 mM aniline and 1 mM 3CP were included as sacrificial electron donors D to reduce RuIII to RuII (Scheme 1). Numerical integration was used to fit the time dependence of the absorbances to Scheme 2 [].

Scheme 1.
Mechanism of photoreduction of heme FeIII in Ru-39-Cc.

Scheme 2.
Mechanism of photoinduced electron transfer from Ru-39-Cc to CcO.
At low ionic strength when CcO was in excess of Ru-39-Cc, only a single phase of Ru-39-Cc oxidation was observed, which is due to intracomplex electron transfer from photo-reduced heme c to CcO CuA in the 1:1 Ru-39-Cc:CcO complex. As the ionic strength was increased, a second slow phase with rate constant kobs is observed due the second-order reaction of free Ru-39-Ccr with CcO. At intermediate ionic strength, kf, kd, and KD could be measured from the fraction of the fast phase and the rate constant of the slow second-order phase as shown below []. Previous studies have established that k3 >> kd []. Therefore, the rate equation below is valid for the slow second-order reaction kobs:
d[Ccr]/dt = −kf [CcO][Ccr] = −(kf[CcO])[Ccr] = −kobs [Ccr]
kobs = kf[CcO]···kf = kobs/[CcO]
kobs = kf[CcO]···kf = kobs/[CcO]
The fraction of the fast phase is f = ΔAfast/(ΔAfast + ΔAslow)
[CcT] and [CcOT] are the total concentrations of Cc and CcO.
[Cc] = (1 − f)[CcT]······[Cc:CcO] = f [CcT] [CcO] = [CcOT] − f [CcT]
KD = [Cc][CcO]/[Cc:CcO] = ((1 − f)([CcOT] − f[CcT]))/f
kf = kobs/([CcOT] − f [CcT])
kd = kf KD = kobs (1 − f)/f
At high ionic strength where KD >> [CcOT], and f = 0
kf = kobs/[CcOT]
At low ionic strength where KD << [CcOT], a slow second-order reaction can only be observed when [CcT] > [CcOT]. Under these conditions, f = [CcOT]/[CcT] and
kd = kobs([CcT] − [CcOT])/[CcOT]
Experiments were also carried out to study the kinetics of the reaction between Cc and CcO using laser-excited lumiflavin to rapidly transfer an electron to unbound oxidized Cc to form Ccr [,]. Excited lumiflavin cannot transfer an electron to Cc in the Cc:CcO complex because the heme crevice of Cc is not accessible. Excited lumiflavin also cannot reduce CcO CuA or heme a []. The lumiflavin flash photolysis technique is limited to the measurement of rate constants kobs of less than 2000 s−1. It was used to measure kd at low ionic strength, and kf at high ionic strength.
3. Results
3.1. Effect of Mutations from Horse Cc to Human Cc on the Reaction with CcO
The role of amino acid residues that are mutated from horse Cc to human Cc was studied by preparing horse Cc mutants in which one of the Cc residues V11, Q12, D50, A83, and T89 was changed to the amino acid in human Cc. A similar set of human Cc mutants was prepared.
The effect of the horse and human Cc mutants on the dissociation constant KD of the 1:1 Cc:CcO complex was measured using analytical ultracentrifuge sedimentation velocity experiments of 5 μM Cc and 6 μM CcO in 5 mM sodium phosphate pH 7.0 and 0–300 mM NaCl, as previously described []. At ionic strengths below 50 mM, the KD values of native horse and human Cc were <0.2 μM, too small to measure, indicating very strong binding. At ionic strengths greater than 150 mM, the KD values were >30 μM, indicating very weak binding. The KD values of horse and human Cc and all the mutants at an ionic strength of 110 mM are shown in Table 1. Native human Cc has a KD value of 4.7 μM, compared to 28.4 μM for native horse Cc, indicating much stronger binding of human Cc to bovine CcO. The largest effect of the mutations was at residue 50, where the A50D human Cc mutant increased KD to 15.7 μM, and the D50A horse Cc mutant decreased KD to 11.8 μM. The E89T human Cc mutant decreased KD to 2.1 μM, while the T89E horse Cc mutant increased KD to >35 μM, indicating that the negative charge on E89 decreases binding strength.

Table 1.
Dissociation constants (Kd) of native or mutant Cc complex with bovine CcO.
Kd was measured by an analytical ultracentrifuge using 5 μM native or mutant Cc, 6 μM native Bovine CcO in 5 mM Pi pH 7.0, 100 mM NaCl, 0.2% Lauryl maltoside. The error limits are ±20%.
Horse, human, and human A50D Ru-39-Cc mutants were prepared to study the rapid kinetics of Ru-39-Cc with CcO. Laser excited RuII* transfers an electron to heme c FeIII in Ru-39-Cc to form RuIII–FeII with a rate constant of k1 = 600,000 s−1 (Scheme 1) []. RuIII—FeII is rapidly reduced to RuII—FeII by the sacrificial donors aniline and 3CP to prevent the back reaction k2 []. Laser excitation of a 1:1 complex between human Ru-39-Cc and bovine CcO at low ionic strength led to electron transfer from photoreduced heme c to CuA with rate constants k3 = 62,000 ± 10,000 s−1 and k4 = 30,000 ± 6000 s−1, followed by electron transfer from CuA to heme a with rate constants k5 = 20,000 ± 4000 s−1 and k6 = 2700 ± 600 s−1 (Scheme 2) (Figure 4). The kinetics of heme c, CuA, and heme a were measured at 550 nm, 830 nm, and 605 nm and fitted to the top line of Scheme 2 as previously described []. The ratios k3/k4 and k5/k6 are consistent with the redox potentials of Cc, CuA and heme a [,,]. There was no change in the rate constants from 0 to 60 mM NaCl. At ionic strengths above 60 mM, the amplitude of the fast intracomplex phase decreased, indicating that the Ru-39-Cc:CcO complex partially dissociated. The resulting uncomplexed Ru-39-Cc reacted with uncomplexed CcO in a new slow phase bimolecular reaction (Figure 5, Scheme 2) [,]. The fraction of the fast intracomplex phase was f = 0.5 ± 0.1 at 115 mM ionic strength, and the equilibrium dissociation constant KD = 8.0 ± 2 µM was calculated from Equation (3) in the Section 2. The bimolecular phase had a rate constant of kobs = 2400 ± 300 s−1. and kd = 2400 ± 400 s−1, and kf = 290 ± 40 s−1 µM−1 were calculated from Equations (4) and (5). At NaCl concentrations above 150 mM, no intracomplex phase was detected, KD > 50 μM, and kf could be determined from Equation (6). kf decreased with increasing ionic strength as expected for a reaction involving electrostatic interactions between the partners. The value of kd was determined at low ionic strength in experiments using 10 μM Ru-39-Cc and 5 μM CcO as described in the experimental procedures section. Under these conditions KD < 0.1 and kd could be determined from Equation (7). For the reaction between human Ru-39-Cc and CcO, kd = 16 s−1 at 30 mM NaCl, and increased to 96 s−1 at 70 mM NaCl (Figure 5). Horse Ru-39-Cc dissociated from CcO at a lower ionic strength than human Ru-39-Cc, had a larger kd at low ionic strength, and a smaller kf at high ionic strength (Figure 5). These results are consistent with a stronger electrostatic interaction between Human Cc and CcO. Experiments were carried out in 5 mM sodium phosphate pH 7 buffer as well as in 5 mM TrisCl buffer to determine whether the kinetics were sensitive to pH. The ionic strength dependence of kf for the reaction of human Ru-39-Cc with CcO was nearly the same at pH 8.0 (Figure 5) and pH 7.0 (Figure 6). The value of kf was 290 ± 40 µM−1 s−1 at pH 8.0 and 115 mM ionic strength (Figure 5), compared to kf = 260 ± 40 µM−1 s−1 at pH 7.0 and 110 mM ionic strength (Figure 6). The ionic strength dependence of kf for the reaction of horse Ru-39-Cc with CcO was also nearly the same at pH 8.0 (Figure 5) as at pH 7.0 []. The value of kd was only determined at pH 7.0 (Figure 5 and Figure 6).

Figure 4.
Photoinduced electron transfer from human Ru-39-Cc to bovine CcO showing the laser induced reduction of Cc heme c at 550 nm followed by electron transfer to CcO CuA. The solution contained 7.6 μM Ru-39-Cc and 12 μM CcO in 5 mM TrisCl, pH 8.0, 0.1% dodecyl maltoside, 10 mM aniline, and 1 mM 3CP. The solid line is the best fit to the transient using numerical integration of Scheme 2 as described in the text. k3 = 62,000 s−1 and k4 = 30,000 s−1.

Figure 5.
Laser-induced electron transfer from horse, human, and human A50D Ru-39-Cc to bovine CcO. The rate constants k3, kd, and kf were measured as described in the text. k3 and kd are in s−1, while kf is in μM−1 s−1. The solutions for measuring k3 and kf contained approximately 8 μM Ru-39-Cc and 15 μM CcO in 5 mM TrisCl, pH 8.0, 0.1% dodecyl maltoside, 10 mM aniline, and 1 mM 3CP. The solutions for measuring kd contained 10 µM Ru-39-Cc and 5 µM CcO in 5 mM sodium phosphate, pH 7.0, 0.1% dodecyl maltoside, 10 mM aniline, and 1 mM 3CP.

Figure 6.
Laser-induced electron transfer from native human Cc wild type, T28E, and S47E and S47E-Y48E mutants to bovine CcO. The kd and kf values of the human Cc mutants were measured using the lumiflavin laser flash photolysis method as described in the text. kd is in s−1, while kf is in μM−1 s−1. The samples contained 10 μM human Cc, 5 μM bovine CcO in 5 mM sodium phosphate, pH 7.0, 0.1 % lauryl maltoside, 100 μM lumiflavin, 0.5 mM EDTA and the indicated concentrations of NaCl.
3.2. Effect of Phosphomimetic Mutations of Human Cc on the Reaction with CcO
The phosphomimetic human Cc mutants T28E, S47E, Y48E, and Y97E were prepared to determine the effect of phosphorylation of Cc T28, S47, Y48, and Y97 on the binding of Cc to CcO and the regulation of the reaction. The effect of the human Cc mutants on the dissociation constant KD of the 1:1 Cc:CcO complex was measured using analytical ultracentrifuge sedimentation velocity experiments of 5 μM Cc and 6 μM CcO in 5 mM sodium phosphate pH 7.0 and 0–300 mM NaCl. At ionic strengths below 60 mM, the KD values of native Cc and all the mutants were <0.2 μM, indicating very strong binding. At ionic strengths greater than 150 mM, the KD values were >30 μM, indicating very weak binding. The KD values of wild-type human Cc and all the phosphomimetic mutants could be measured at an ionic strength of 110 mM (Table 2). The KD values of Cc T28E, S47E, Y48E were all significantly larger than that of wild-type human Cc, indicating that introducing a negative charge at that residue decreases the interaction strength. However, the Cc Y97E did not have a significant effect on KD.

Table 2.
Human Phosphomimetic Mutant Kinetics.
Kd, kf, and kd were measured in 5 mM sodium phosphate, pH 7.0 with 100 mM NaCl. Kd was measured by the ultracentrifuge method, and kf, and kd were measured by the laser flash photolysis method. The error limits are ±20%.
The kinetics of the reaction between human Cc phosphomimetic mutants and CcO was studied using laser-excited lumiflavin to rapidly transfer an electron to unbound oxidized Cco to form reduced Ccr [,]. Excited lumiflavin cannot transfer an electron to Cco in the Cco:CcO complex because the heme crevice of Cc is not accessible. Excited lumiflavin also cannot reduce CcO CuA or heme a [,]. The lumiflavin flash photolysis technique is limited to the measurement of rate constants kobs of less than 2000 s−1. Flash photolysis of a sample containing 10 μM human Cc, 4.5 μM CcO, 100 μM lumiflavin, 0.5 mM EDTA, 30 mM NaCl in 5 mM sodium phosphate buffer resulted in reduction of unbound Cc, followed by electron transfer from Ccr to CcO with a rate constant of kobs = 13 s−1. Since KD < 0.1 μM at low ionic strength, kd can be determined from Equation (7) to be kd = 16 s−1 at 30 mM NaCl (Figure 6). As the ionic strength was increased to 100 mM NaCl, kobs increased to 250 s−1, and then decreased with further increases in NaCl. At ionic strengths above 150 mM, KD > 30 μM, and kf can be determined from Equation (6) (Figure 6). The T28E and S47E human Cc mutants significantly increased the value of kd at low ionic strength, and decreased the value of kf at high ionic strength (Figure 6, Table 2). The S47E Y48E double mutant decreased the value of kf more than that of the S47E single mutant. These results indicate that phosphorylation of human Cc T28, S47, and Y48 decreases the strength of the interaction between Cc to CcO.
4. Discussion
The analytical ultracentrifuge experiments indicated that the dissociation constant KD = 4.7 μM for the 1:1 complex of human Cc with bovine CcO compared to 28 μM for the complex of horse Cc with bovine CcO complex at 110 mM ionic strength (Table 1). These results are in agreement with earlier studies showing that human Cc binds more strongly to bovine CcO than does horse Cc []. Five amino acid residues at the Cc binding domain which differ between horse and human Cc have been identified, 11, 12, 50, 83 and 89 (Figure 3). To explore the role of these amino acid residues in binding CcO, single-point mutations at residues 11, 12, 50, 83 and 89 in horse and human Cc were prepared. It was found that for the human mutants KD decreased in the order: native horse Cc > human A50D > V83A > I11V > native human Cc > M12Q > E89T (Table 1). For the horse mutants KD decreased in the order: T89E > native horse Cc > V11I Cc > Q12M > D50A > A83V > native human (Table 1). The largest effect was observed for the mutants at residue 50, where the horse Cc D50A mutant decreased KD from 28.4 to 11.8 μM, and the human Cc A50D increased KD from 4.7 to 15.7 μM. Cc residue 50 is located towards the back of Cc a distance from the main binding site on CcO subunit II (Figure 1, Figure 2 and Figure 3). However, it is close to subunit 7A, and interactions with this subunit might account for the effect of the mutations (Figure 3). A large effect was also observed for mutations at Cc residue 89, where the horse Cc T89E mutant increased KD to >35, and the human Cc E89T decreased KD to 2.1. Residue 89 is near the CcO subunit II binding domain, and electrostatic repulsion by the negatively charged E89 could explain the effects of these mutants (Figure 3). Horse Cc residue A83 is very close to the interaction domain, and the horse A83V mutation could increase the hydrophobic interaction, accounting for the decrease in KD. The horse Q12M and the human M12Q mutations both cause a decrease in KD, which might be due to the location of Q12 within the interaction domain and subtle differences in the orientation of horse and human Cc.
Laser flash photolysis studies indicated that horse, human, and human A50D Ru-39-Cc had nearly the same rate constant k3 = 60,000 s−1 for electron transfer from heme c to CuA in the Ru-39-Cc:CcO complex at low ionic strength (Figure 5). The complex dissociation rate constant kd for both horse and human Ru-39-Cc increased rapidly with increasing ionic strength, consistent with a strong electrostatic interaction between Cc and CcO (Figure 5). At 40 μM NaCl, kd = 592 for horse Ru-39-Cc, compared to kd = 21 for human Ru-39-Cc, indicating much weaker binding for horse Cc at low ionic strength. As the ionic strength was raised above 120 mM the Cc:CcO complex completely dissociated, and the formation rate constant kf was found to decrease with increasing ionic strength, as expected for an electrostatic interaction. The kf values were smaller for horse and human A50D Ru-39-Cc than for human Ru-39-Cc, indicating weaker binding.
The phosphomimetic human Cc mutants T28E, S47E, Y48E, and Y97E were used to study the effect of phosphorylation of Cc T28, S47, Y48, and Y97 on the binding of Cc to CcO (Figure 6, Table 2). The human Cc mutants T28E, S47E, Y48E all increased the value of KD significantly, indicating weaker binding, while the Y97E mutant had no significant effect on KD. The T28E and S47E mutants significantly increased the complex dissociation rate constant kd at low ionic strength, and decreased the complex formation rate constant kf at high ionic strength, consistent with a decrease in the binding strength. Cc T28 is phosphorylated in kidney, causing a 50% decrease in oxygen consumption, and the Vmax of the reaction of the phosphomimetic mutant Cc T28E with CcO was 78% reduced compared to wild-type Cc []. Cc S47 is phosphorylated in brain, causing a 48% decrease in oxygen consumption, and the reaction of the Cc S47E mutant with CcO was decreased by 54% []. Cc Y48 is phosphorylated in liver, and the Km of the reaction of the phosphomimetic mutant Cc Y48E with CcO is 3.6-fold larger than the wild-type Cc, indicating weaker binding []. Cc Y97 is phosphorylated in heart, and the Km for the reaction with CcO is increased 2-fold []. Tyr 97 phosphorylation was also characterized with the replacement of tyrosine with a phosphomimetic, p-carboxymethyl-L-phenylalanine (pCMF), which actually increased the CcO activity [,]. Cc is phosphorylated at T58 in rat kidney, which controls mitochondrial respiration and apoptosis []. However, isoleucine is present at Cc residue 58 in humans, which lack tissue-specific isoforms such as the testis isoform, and only express a single Cc. The present results are in agreement with previous studies and provide more detailed information on how the phosphomimetic Cc mutants affect the kf and kd for the reaction with CcO.
Author Contributions
Conceptualization, L.G., B.D. and F.M.; Methodology, M.S., M.H., C.P., T.E., E.N., K.P. and B.D.; Investigation, S.E.B., M.S., L.G., M.H., C.P., T.E., E.N., K.P., J.S.-N., B.D. and F.M.; Writing—original draft, S.E.B. and F.M.; Writing—review and editing, M.S., L.G., T.E., E.N., J.S.-N. and B.D.; Supervision, M.S. and F.M.; Funding acquisition, F.M. All authors have read and agreed to the published version of the manuscript.
Funding
This work was supported by NIH grants GM20488 and 8P30GM103450 (F.M. and B.D.).
Institutional Review Board Statement
Not applicable.
Informed Consent Statement
Not applicable.
Data Availability Statement
Data supporting these results is available in the Ph.D. and Honors Theses of the co-authors in the University of Arkansas Library.
Conflicts of Interest
The authors declare no conflict of interest.
Abbreviations
Cc | cytochrome c |
CcO | cytochrome c oxidase |
Ru-39-Cc | (dimethylbipyridine)(bisbipyridine)ruthenium-Cys-39-cytochrome c |
Ru-55-Cc | (dimethylbipyridine)(bisbipyridine)ruthenium-Lys-55-cytochrome c |
3CP | carboxyl-2,2,5,5-tetramethyl-1-pyrolidinyloxy free radical |
Ru2Z | Ru(bipyrazine)2-(quaterpyridine) |
Rb. sphaeroides | Rhodobacter sphaeroides |
References
- Fischer, W.; Hemp, J.; Johnson, J.; Jeanloz, R.; Freeman, K. Evolution of Oxygenic Photosynthesis. Annu. Rev. Earth Planet. Sci. 2016, 44, 647–683. [Google Scholar] [CrossRef]
- Dickerson, R. Structure and history of an ancient protein. Sci. Am. 1972, 226, 58. [Google Scholar] [CrossRef] [PubMed]
- Long, J.E.; Durham, B.; Okamura, M.; Millett, F. Role of specific lysine residues in binding cytochrome c2 to the Rhodobacter sphaeroides reaction center in optimal orientation for rapid electron transfer. Biochemistry 1989, 28, 6970–6974. [Google Scholar] [CrossRef] [PubMed]
- Tetreault, M.; Cusanovich, M.; Meyer, T.; Axelrod, H.; Okamura, M. Double mutant studies identify electrostatic interactions that are important for docking cytochrome c(2) onto the bacterial reaction center. Biochemistry 2002, 41, 5807–5815. [Google Scholar] [CrossRef] [PubMed]
- Axelrod, H.L.; Abresch, E.C.; Okamura, M.Y.; Yeh, A.P.; Rees, D.C.; Feher, G. X-ray structure determination of the cytochrome c2: Reaction center electron transfer complex from Rhodobacter sphaeroides. J. Mol. Biol. 2002, 319, 501–515. [Google Scholar] [CrossRef] [PubMed]
- Stonehuerner, J.; Williams, J.B.; Millett, F. Interaction between cytochrome c and cytochrome b5. Biochemistry 1979, 18, 5422–5427. [Google Scholar] [CrossRef] [PubMed]
- Salemme, F. Hypothetical Structure For An Intermolecular Electron-Transfer Complex of Cytochrome-C and Cytochrome-b5. J. Mol. Biol. 1976, 102, 563–568. [Google Scholar] [CrossRef] [PubMed]
- Willie, A.; Stayton, P.; Sligar, S.; Durham, B.; Millett, F. Genetic-Engineering of Redox Donor Sites—Measurement of Intracomplex Electron-Transfer between Ruthenium-65 Cytochrome-B5 and Cytochrome-C. Biochemistry 1992, 31, 7237–7242. [Google Scholar] [CrossRef]
- Durham, B.; Fairris, J.L.; McLean, M.; Millett, F.; Scott, J.R.; Sligar, S.G.; Willie, A. Electron transfer from cytochrome b5 to cytochrome c. J. Bioenerg. Biomembr. 1995, 27, 331–340. [Google Scholar] [CrossRef]
- Kang, C.; Brautigan, D.; Osheroff, N.; Margoliash, E. Definition of Cytochrome-C Binding Domains by Chemical Modification—Reaction of Carboxydinitrophenyl-Cytochromes-C and Trinitrophenyl-Cytochromes-C with Bakers-Yeast Cytochrome-C Peroxidase. J. Biol. Chem. 1978, 253, 6502–6510. [Google Scholar] [CrossRef]
- Smith, M.B.; Millett, F. A 19F nuclear magnetic resonance study of the interaction between cytochrome c and cytochrome c peroxidase. Biochim. Biophys. Acta 1980, 626, 64–72. [Google Scholar] [CrossRef] [PubMed]
- Pelletier, H.; Kraut, J. Crystal structure of a complex between electron transfer partners, cytochrome c peroxidase and cytochrome c. Science 1992, 258, 1748–1755. [Google Scholar] [CrossRef] [PubMed]
- Wang, K.; Mei, H.; Geren, L.; Miller, M.; Saunders, A.; Wang, X.; Waldner, J.; Pielak, G.; Durham, B.; Millett, F. Design of a ruthenium-cytochrome c derivative to measure electron transfer to the radical cation and oxyferryl heme in cytochrome c peroxidase. Biochemistry 1996, 35, 15107–15119. [Google Scholar] [CrossRef] [PubMed]
- Staudenmayer, N.; Smith, M.B.; Smith, H.T.; Spies, F.K.; Millett, F. An enzyme kinetics and 19F nuclear magnetic resonance study of selectively trifluoroacetylated cytochrome c derivatives. Biochemistry 1976, 15, 3198–3205. [Google Scholar] [CrossRef]
- Staudenmayer, N.; Ng, S.; Smith, M.B.; Millett, F. Effect of specific trifluoroacetylation of individual cytochrome c lysines on the reaction with cytochrome oxidase. Biochemistry 1977, 16, 600–604. [Google Scholar] [CrossRef]
- Smith, M.B.; Stonehuerner, J.; Ahmed, A.J.; Staudenmayer, N.; Millett, F. Use of specific trifluoroacetylation of lysine residues in cytochrome c to study the reaction with cytochrome b5, cytochrome c1, and cytochrome oxidase. Biochim. Biophys. Acta 1980, 592, 303–313. [Google Scholar] [CrossRef]
- Smith, H.T.; Staudenmayer, N.; Millett, F. Use of specific lysine modifications to locate the reaction site of cytochrome c with cytochrome oxidase. Biochemistry 1977, 16, 4971–4974. [Google Scholar] [CrossRef]
- Ferguson-Miller, S.; Brautigan, D.L.; Margoliash, E. Definition of cytochrome c binding domains by chemical modification. III. Kinetics of reaction of carboxydinitrophenyl cytochromes c with cytochrome c oxidase. J. Biol. Chem. 1978, 253, 149–159. [Google Scholar] [CrossRef]
- Ahmed, A.J.; Smith, H.T.; Smith, M.B.; Millett, F.S. Effect of specific lysine modification on the reduction of cytochrome c by succinate-cytochrome c reductase. Biochemistry 1978, 17, 2479–2483. [Google Scholar] [CrossRef]
- Speck, S.; Fergusonmiller, S.; Osheroff, N.; Margoliash, E. Definition of Cytochrome-C Binding Domains by Chemical Modification—Kinetics of Reaction with Beef Mitochondrial Reductase and Functional Organization of the Respiratory-Chain. Proc. Natl. Acad. Sci. USA 1979, 76, 155–159. [Google Scholar] [CrossRef]
- Konig, B.; Osheroff, N.; Wilms, J.; Muijsers, A.; Dekker, H.; Margoliash, E. Mapping of the interaction domain for purified cytochrome-C1 on cytochrome-C. FEBS Lett. 1980, 111, 395–398. [Google Scholar] [CrossRef] [PubMed]
- Rieder, R.; Bosshard, H.R. Comparison of the binding sites on cytochrome c for cytochrome c oxidase, cytochrome bc1, and cytochrome c1. Differential acetylation of lysyl residues in free and complexed cytochrome c. J. Biol. Chem. 1980, 255, 4732–4739. [Google Scholar] [CrossRef] [PubMed]
- Rieder, R.; Bosshard, H. Cytochrome-BC1 and cytochrome-oxidase can bind to same surface domain of cytochrome-C molecule. FEBS Lett. 1978, 92, 223–226. [Google Scholar] [CrossRef]
- Bosshard, H.; Zurrer, M.; Schagger, H.; Vonjagow, G. Binding of cytochrome-C to the cytochrome-BC1 complex (Complex-III) and its subunits cytochrome-C1 and cytochrome-B. Biochem. Biophys. Res. Commun. 1979, 89, 250–258. [Google Scholar] [CrossRef] [PubMed]
- Smith, H.T.; Ahmed, A.J.; Millett, F. Electrostatic interaction of cytochrome c with cytochrome c1 and cytochrome oxidase. J. Biol. Chem. 1981, 256, 4984–4990. [Google Scholar] [CrossRef] [PubMed]
- Hunte, C.; Koepke, J.; Lange, C.; Rossmanith, T.; Michel, H. Structure at 2.3 A resolution of the cytochrome bc(1) complex from the yeast Saccharomyces cerevisiae co-crystallized with an antibody Fv fragment. Structure 2000, 8, 669–684. [Google Scholar] [CrossRef] [PubMed]
- Lange, C.; Hunte, C. Crystal structure of the yeast cytochrome bc(1) complex with its bound substrate cytochrome c. Proc. Natl. Acad. Sci. USA 2002, 99, 2800–2805. [Google Scholar] [CrossRef]
- Millett, F.; Havens, J.; Rajagukguk, S.; Durham, B. Design and use of photoactive ruthenium complexes to study electron transfer within cytochrome bc1 and from cytochrome bc1 to cytochrome c. Biochim. Biophys. Acta 2013, 1827, 1309–1319. [Google Scholar] [CrossRef]
- Engstrom, G.; Rajagukguk, R.; Saunders, A.J.; Patel, C.N.; Rajagukguk, S.; Merbitz-Zahradnik, T.; Xiao, K.; Pielak, G.J.; Trumpower, B.; Yu, C.A.; et al. Design of a ruthenium-labeled cytochrome c derivative to study electron transfer with the cytochrome bc1 complex. Biochemistry 2003, 42, 2816–2824. [Google Scholar] [CrossRef]
- Tian, H.; Sadoski, R.; Zhang, L.; Yu, C.; Yu, L.; Durham, B.; Millett, F. Definition of the interaction domain for cytochrome c on the cytochrome bc(1) complex—Steady-state and rapid kinetic analysis of electron transfer between cytochrome c and Rhodobacter sphaeroides cytochrome bc1 surface mutants. J. Biol. Chem. 2000, 275, 9587–9595. [Google Scholar] [CrossRef]
- Ferguson-Miller, S.; Babcock, G.T. Heme/Copper Terminal Oxidases. Chem. Rev. 1996, 96, 2889–2908. [Google Scholar] [CrossRef] [PubMed]
- Babcock, G.T.; Wikström, M. Oxygen activation and the conservation of energy in cell respiration. Nature 1992, 356, 301–309. [Google Scholar] [CrossRef] [PubMed]
- Pan, L.P.; Hibdon, S.; Liu, R.Q.; Durham, B.; Millett, F. Intracomplex electron transfer between ruthenium-cytochrome c derivatives and cytochrome c oxidase. Biochemistry 1993, 32, 8492–8498. [Google Scholar] [CrossRef] [PubMed]
- Geren, L.M.; Beasley, J.R.; Fine, B.R.; Saunders, A.J.; Hibdon, S.; Pielak, G.J.; Durham, B.; Millett, F. Design of a ruthenium-cytochrome c derivative to measure electron transfer to the initial acceptor in cytochrome c oxidase. J. Biol. Chem. 1995, 270, 2466–2472. [Google Scholar] [CrossRef]
- Zaslavsky, D.L.; Smirnova, I.A.; Siletsky, S.A.; Kaulen, A.D.; Millett, F.; Konstantinov, A.A. Rapid kinetics of membrane potential generation by cytochrome c oxidase with the photoactive Ru(II)-tris-bipyridyl derivative of cytochrome c as electron donor. FEBS Lett. 1995, 359, 27–30. [Google Scholar] [CrossRef]
- Hill, B.C. The reaction of the electrostatic cytochrome c-cytochrome oxidase complex with oxygen. J. Biol. Chem. 1991, 266, 2219–2226. [Google Scholar] [CrossRef]
- Wang, K.; Geren, L.; Zhen, Y.; Ma, L.; Ferguson-Miller, S.; Durham, B.; Millett, F. Mutants of the CuA site in cytochrome c oxidase of Rhodobacter sphaeroides: II. Rapid kinetic analysis of electron transfer. Biochemistry 2002, 41, 2298–2304. [Google Scholar] [CrossRef]
- Zhen, Y.; Schmidt, B.; Kang, U.; Antholine, W.; Ferguson-Miller, S. Mutants of the Cu-A site in cytochrome c oxidase of Rhodobacter sphaeroides: I. Spectral and functional properties. Biochemistry 2002, 41, 2288–2297. [Google Scholar] [CrossRef]
- Osheroff, N.; Brautigan, D.; Margoliash, E. Definition of enzymic interaction domains on cytochrome-c—Purification and activity of singly substituted carboxydinitrophenyl-lysine 7, 25, 73, 86, and 99 cytochromes-C. J. Biol. Chem. 1980, 255, 8245–8251. [Google Scholar] [CrossRef]
- Tsukihara, T.; Aoyama, H.; Yamashita, E.; Tomizaki, T.; Yamaguchi, H.; Shinzawa-Itoh, K.; Nakashima, R.; Yaono, R.; Yoshikawa, S. The whole structure of the 13-subunit oxidized cytochrome c oxidase at 2.8 A. Science 1996, 272, 1136–1144. [Google Scholar] [CrossRef]
- Iwata, S.; Ostermeier, C.; Ludwig, B.; Michel, H. Structure at 2.8 A resolution of cytochrome c oxidase from Paracoccus denitrificans. Nature 1995, 376, 660–669. [Google Scholar] [CrossRef] [PubMed]
- Liu, J.; Qin, L.; Ferguson-Miller, S. Crystallographic and online spectral evidence for role of conformational change and conserved water in cytochrome oxidase proton pump. Proc. Natl. Acad. Sci. USA 2011, 108, 1284–1289. [Google Scholar] [CrossRef] [PubMed]
- Qin, L.; Hiser, C.; Mulichak, A.; Garavito, R.M.; Ferguson-Miller, S. Identification of conserved lipid/detergent-binding sites in a high-resolution structure of the membrane protein cytochrome c oxidase. Proc. Natl. Acad. Sci. USA 2006, 103, 16117–16122. [Google Scholar] [CrossRef]
- Millett, F.; de Jong, C.; Paulson, L.; Capaldi, R.A. Identification of specific carboxylate groups on cytochrome c oxidase that are involved in binding cytochrome c. Biochemistry 1983, 22, 546–552. [Google Scholar] [CrossRef] [PubMed]
- Lappalainen, P.; Watmough, N.J.; Greenwood, C.; Saraste, M. Electron transfer between cytochrome c and the isolated CuA domain: Identification of substrate-binding residues in cytochrome c oxidase. Biochemistry 1995, 34, 5824–5830. [Google Scholar] [CrossRef] [PubMed]
- Witt, H.; Malatesta, F.; Nicoletti, F.; Brunori, M.; Ludwig, B. Tryptophan 121 of subunit II is the electron entry site to cytochrome-c oxidase in Paracoccus denitrificans. Involvement of a hydrophobic patch in the docking reaction. J. Biol. Chem. 1998, 273, 5132–5136. [Google Scholar] [CrossRef] [PubMed]
- Witt, H.; Malatesta, F.; Nicoletti, F.; Brunori, M.; Ludwig, B. Cytochrome-c-binding site on cytochrome oxidase in Paracoccus denitrificans. Eur. J. Biochem. 1998, 251, 367–373. [Google Scholar] [CrossRef]
- Wang, K.; Zhen, Y.; Sadoski, R.; Grinnell, S.; Geren, L.; Ferguson-Miller, S.; Durham, B.; Millett, F. Definition of the interaction domain for cytochrome c on cytochrome c oxidase. Ii. Rapid kinetic analysis of electron transfer from cytochrome c to Rhodobacter sphaeroides cytochrome oxidase surface mutants. J. Biol. Chem. 1999, 274, 38042–38050. [Google Scholar] [CrossRef]
- Drosou, V.; Malatesta, F.; Ludwig, B. Mutations in the docking site for cytochrome c on the Paracoccus heme aa3 oxidase. Electron entry and kinetic phases of the reaction. Eur. J. Biochem. 2002, 269, 2980–2988. [Google Scholar] [CrossRef]
- Zhen, Y.; Hoganson, C.W.; Babcock, G.T.; Ferguson-Miller, S. Definition of the interaction domain for cytochrome c on cytochrome c oxidase. I. Biochemical, spectral, and kinetic characterization of surface mutants in subunit ii of Rhodobacter sphaeroides cytochrome aa(3). J. Biol. Chem. 1999, 274, 38032–38041. [Google Scholar] [CrossRef]
- Cao, J.; Shapleigh, J.; Gennis, R.; Revzin, A.; Ferguson-Miller, S. The gene encoding cytochrome c oxidase subunit II from Rhodobacter sphaeroides; comparison of the deduced amino acid sequence with sequences of corresponding peptides from other species. Gene 1991, 101, 133–137. [Google Scholar] [CrossRef] [PubMed]
- Roberts, V.A.; Pique, M.E. Definition of the interaction domain for cytochrome c on cytochrome c oxidase. III. Prediction of the docked complex by a complete, systematic search. J. Biol. Chem. 1999, 274, 38051–38060. [Google Scholar] [CrossRef] [PubMed]
- Scharlau, M.; Geren, L.; Zhen, E.Y.; Ma, L.; Rajagukguk, R.; Ferguson-Miller, S.; Durham, B.; Millett, F. Definition of the Interaction Domain and Electron Transfer Route between Cytochrome c and Cytochrome Oxidase. Biochemistry 2019, 58, 4125–4135. [Google Scholar] [CrossRef] [PubMed]
- Shimada, S.; Shinzawa-Itoh, K.; Baba, J.; Aoe, S.; Shimada, A.; Yamashita, E.; Kang, J.; Tateno, M.; Yoshikawa, S.; Tsukihara, T. Complex structure of cytochrome c-cytochrome c oxidase reveals a novel protein-protein interaction mode. EMBO J. 2017, 36, 291–300. [Google Scholar] [CrossRef] [PubMed]
- Baba, M.; Darga, L.; Goodman, M.; Czelusniak, J. Evolution of cytochrome-c investigated by the maximum parsimony method. J. Mol. Evol. 1981, 17, 197–213. [Google Scholar] [CrossRef]
- Pierron, D.; Wildman, D.; Huttemann, M.; Letellier, T.; Grossman, L.; Kadenbach, B. Evolution of the Couple Cytochrome c and Cytochrome c Oxidase in Primates. Mitochondrial Oxidative Phosphorylation Nucl.-Encoded Genes Enzym. Regul. Pathophysiol. 2012, 748, 185–213. [Google Scholar]
- Pierron, D.; Opazo, J.C.; Heiske, M.; Papper, Z.; Uddin, M.; Chand, G.; Wildman, D.E.; Romero, R.; Goodman, M.; Grossman, L.I. Silencing, Positive Selection and Parallel Evolution: Busy History of Primate Cytochromes c. PLoS ONE 2011, 6, e26269. [Google Scholar] [CrossRef]
- Grossman, L.; Schmidt, T.; Wildman, D.; Goodman, M. Molecular evolution of aerobic energy metabolism in primates. Mol. Phylogen. Evol. 2001, 18, 26–36. [Google Scholar] [CrossRef]
- Kalpage, H.; Wan, J.; Morse, P.; Zurek, M.; Turner, A.; Khobeir, A.; Yazdi, N.; Hakim, L.; Liu, J.; Vaishnav, A.; et al. Cytochrome c phosphorylation: Control of mitochondrial electron transport chain flux and apoptosis. Int. J. Biochem. Cell Biol. 2020, 121, 105704. [Google Scholar] [CrossRef]
- Huttemann, M.; Helling, S.; Sanderson, T.; Sinkler, C.; Samavati, L.; Mahapatra, G.; Varughese, A.; Lu, G.; Liu, J.; Ramzan, R.; et al. Regulation of mitochondrial respiration and apoptosis through cell signaling: Cytochrome c oxidase and cytochrome c in ischemia/reperfusion injury and inflammation. Biochim. Biophys. Acta-Bioenerg. 2012, 1817, 598–609. [Google Scholar] [CrossRef]
- Huttemann, M.; Lee, I.; Grossman, L.; Doan, J.; Sanderson, T.; Kadenbach, B. Phosphorylation of Mammalian Cytochrome c and Cytochrome c Oxidase in the Regulation of Cell Destiny: Respiration, Apoptosis, and Human Disease. Mitochondrial Oxidative Phosphorylation Nuclear-Encoded Genes Enzym. Regul. Pathophysiol. 2012, 748, 237–264. [Google Scholar]
- Kalpage, H.; Vaishnav, A.; Liu, J.; Varughese, A.; Wan, J.; Turner, A.; Ji, Q.; Zurek, M.; Kapralov, A.; Kagan, V.; et al. Serine-47 phosphorylation of cytochrome c in the mammalian brain regulates cytochrome c oxidase and caspase-3 activity. FASEB J. 2019, 33, 13503–13514. [Google Scholar] [CrossRef] [PubMed]
- Mahapatra, G.; Varughese, A.; Ji, Q.; Lee, I.; Liu, J.; Vaishnav, A.; Sinkler, C.; Kapralov, A.; Moraes, C.; Sanderson, T.; et al. Phosphorylation of Cytochrome c Threonine 28 Regulates Electron Transport Chain Activity in Kidney implications for amp kinase. J. Biol. Chem. 2017, 292, 64–79. [Google Scholar] [CrossRef] [PubMed]
- Olteanu, A.; Patel, C.; Dedmon, M.; Kennedy, S.; Linhoff, M.; Minder, C.; Potts, P.; Deshmukh, M.; Pielak, G. Stability and apoptotic activity of recombinant human cytochrome c. Biochem. Biophys. Res. Commun. 2003, 312, 733–740. [Google Scholar] [CrossRef] [PubMed]
- Patel, C.; Lind, M.; Pielak, G. Characterization of horse cytochrome c expressed in Escherichia coli. Protein Expr. Purif. 2001, 22, 220–224. [Google Scholar] [CrossRef] [PubMed]
- Margoliash, E.; Frohwirt, N. Spectrum of horse-heart cytochrome c. Biochem. J. 1959, 71, 570–572. [Google Scholar] [CrossRef]
- Blair, D.F.; Bocian, D.F.; Babcock, G.T.; Chan, S.I. Evidence for modulation of the heme absorptions of cytochrome c oxidase by metal-metal interactions. Biochemistry 1982, 21, 6928–6935. [Google Scholar] [CrossRef]
- Blair, D.; Martin, C.; Gelles, J.; Wang, H.; Brudvig, G.; Stevens, T.; Chan, S. The metal centers of cytochrome-C oxidase–Structures and interactions. Chem. Scr. 1983, 21, 43–53. [Google Scholar]
- Hazzard, J.; Rong, S.; Tollin, G. Ionic-strength dependence of the kinetics of electron-transfer from bovine mitochondrial cytochrome-c to bovine cytochrome-c-oxidase. Biochemistry 1991, 30, 213–222. [Google Scholar] [CrossRef]
- Schroedl, N.; Hartzell, C. Oxidative titrations of reduced cytochrome AA3—Influence of cytochrome-c and carbon-monoxide on midpoint potential values. Biochemistry 1977, 16, 4966–4971. [Google Scholar] [CrossRef]
- Zaslavsky, D.; Sadoski, R.; Wang, K.; Durham, B.; Gennis, R.; Millett, F. Single electron reduction of cytochrome c oxidase compound F: Resolution of partial steps by transient spectroscopy. Biochemistry 1998, 37, 14910–14916. [Google Scholar] [CrossRef] [PubMed]
- Osheroff, N.; Speck, S.; Margoliash, E.; Veerman, E.; Wilms, J.; Konig, B.; Muijsers, A. The reaction of primate cytochromes-c with cytochrome-c oxidase—Analysis of the polarographic assay. J. Biol. Chem. 1983, 258, 5731–5738. [Google Scholar] [CrossRef] [PubMed]
- Pecina, P.; Borisenko, G.; Belikova, N.; Tyurina, Y.; Pecinova, A.; Lee, I.; Samhan-Arias, A.; Przyklenk, K.; Kagan, V.; Huttemann, M. Phosphomimetic Substitution of Cytochrome c Tyrosine 48 Decreases Respiration and Binding to Cardiolipin and Abolishes Ability to Trigger Downstream Caspase Activation. Biochemistry 2010, 49, 6705–6714. [Google Scholar] [CrossRef] [PubMed]
- Lee, I.; Salomon, A.; Yu, K.; Doan, J.; Grossman, L.; Huttemann, M. New prospects for an old enzyme: Mammalian cytochrome c is tyrosine-phosphorylated in vivo. Biochemistry 2006, 45, 9121–9128. [Google Scholar] [CrossRef]
- Guerra-Castellano, A.; Diaz-Quintana, A.; Perez-Mejias, G.; Elena-Real, C.; Gonzalez-Arzola, K.; Garcia-Maurino, S.; De la Rosa, M.; Diaz-Moreno, I. Oxidative stress is tightly regulated by cytochrome c phosphorylation and respirasome factors in mitochondria. Proc. Natl. Acad. Sci. USA 2018, 115, 7955–7960. [Google Scholar] [CrossRef]
- Olloqui-Sariego, J.; Perez-Mejias, G.; Marquez, I.; Guerra-Castellano, A.; Calvente, J.; de la Rosa, M.; Andreu, R.; Diaz-Moreno, I. Electric field-induced functional changes in electrode-immobilized mutant species of human cytochrome c. Biochim. Biophys. Acta-Bioenerg. 2022, 1863, 148570. [Google Scholar] [CrossRef]
- Kalpage, H.A.; Vaishnav, A.; Liu, J.; Lee, I.; Mahapatra, G.; Wan, J.; Kalpage, H.A.; Vaishnav, A.; Liu, J.; Lee, I.; et al. Regulation of Respiration and Apoptosis by Cytochrome c Threonine 58 Phosphorylation. Sci. Rep. 2019, 9, 15815. [Google Scholar]
Publisher’s Note: MDPI stays neutral with regard to jurisdictional claims in published maps and institutional affiliations. |
© 2022 by the authors. Licensee MDPI, Basel, Switzerland. This article is an open access article distributed under the terms and conditions of the Creative Commons Attribution (CC BY) license (https://creativecommons.org/licenses/by/4.0/).