Exploring Dynamic Metabolome of the HepG2 Cell Line: Rise and Fall
Abstract
1. Introduction
2. Materials and Methods
2.1. Cell Culture
2.2. Flow Cytometry
2.3. Sample Preparation for Metabolomic Analysis
2.4. GC × GC-MS Analysis
2.5. Data Processing
3. Results and Discussion
3.1. Physiological Constancy
3.2. Metabolome Content
3.3. Leading Pathways
3.4. KEGG vs. SMPDB Pathway Analysis Results
3.5. Dynamics
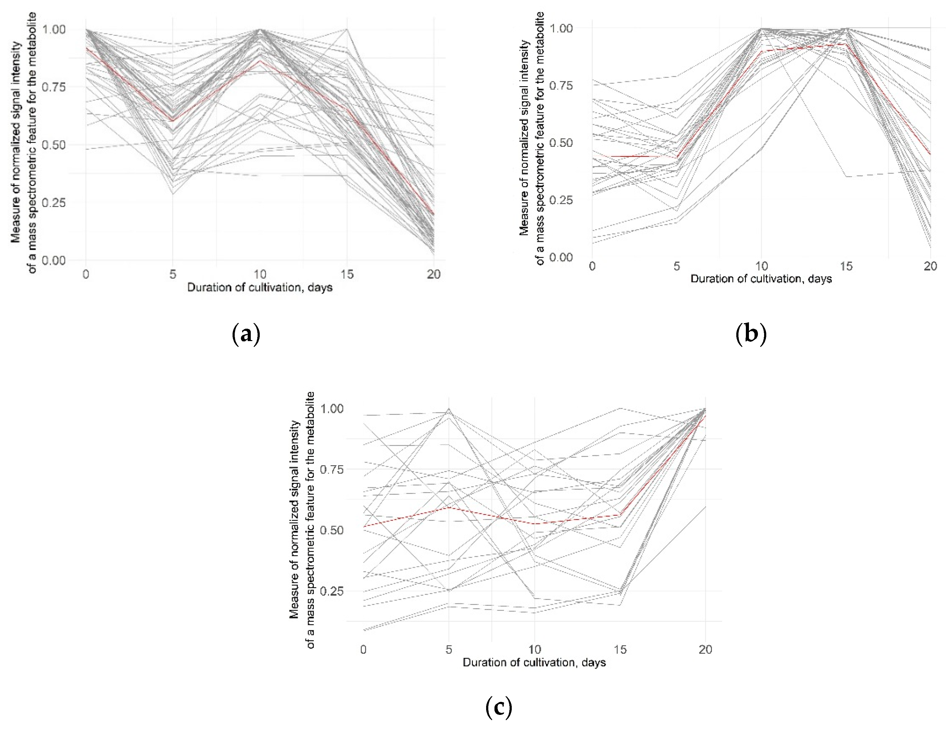
3.6. Fluctuations in Metabolites Abundancies
3.7. Affected Pathways
4. Conclusions
Supplementary Materials
Author Contributions
Funding
Institutional Review Board Statement
Informed Consent Statement
Data Availability Statement
Conflicts of Interest
References
- Liu, Y.; Mi, Y.; Mueller, T.; Kreibich, S.; Williams, E.G.; Van Drogen, A.; Borel, C.; Frank, M.; Germain, P.-L.; Bludau, I.; et al. Multi-omic measurements of heterogeneity in HeLa cells across laboratories. Nat. Biotechnol. 2019, 37, 314–322. [Google Scholar] [CrossRef] [PubMed]
- Al Hrout, A.; Cervantes-Gracia, K.; Chahwan, R.; Amin, A. Modelling liver cancer microenvironment using a novel 3D culture system. Sci. Rep. 2022, 12, 8003. [Google Scholar] [CrossRef] [PubMed]
- Arzumanian, V.A.; Kiseleva, O.I.; Poverennaya, E.V. The Curious Case of the HepG2 Cell Line: 40 Years of Expertise. Int. J. Mol. Sci. 2021, 22, 13135. [Google Scholar] [CrossRef] [PubMed]
- Donato, M.T.; Tolosa, L.; Gómez-Lechón, M.J. Culture and Functional Characterization of Human Hepatoma HepG2 Cells. Methods Mol. Biol. 2015, 1250, 77–93. [Google Scholar] [CrossRef]
- Juaid, N.; Amin, A.; Abdalla, A.; Reese, K.; Alamri, Z.; Moulay, M.; Abdu, S.; Miled, N. Anti-hepatocellular carcinoma biomolecules: Molecular targets insights. Int. J. Mol. Sci. 2021, 22, 10774. [Google Scholar] [CrossRef]
- Póti, Á.; Berta, K.; Xiao, Y.; Pipek, O.; Klus, G.T.; Ried, T.; Csabai, I.; Wilcoxen, K.; Mikule, K.; Szallasi, Z.; et al. Long-term treatment with the PARP inhibitor niraparib does not increase the mutation load in cell line models and tumour xenografts. Br. J. Cancer 2018, 119, 1392–1400. [Google Scholar] [CrossRef]
- Howard, G.R.; Jost, T.A.; Yankeelov, T.E.; Brock, A. Quantification of long-term doxorubicin response dynamics in breast cancer cell lines to direct treatment schedules. PLoS Comput. Biol. 2022, 18, e1009104. [Google Scholar] [CrossRef]
- Okuyama, K.; Suzuki, K.; Naruse, T.; Tsuchihashi, H.; Yanamoto, S.; Kaida, A.; Miura, M.; Umeda, M.; Yamashita, S. Prolonged cetuximab treatment promotes p27Kip1-mediated G1 arrest and autophagy in head and neck squamous cell carcinoma. Sci. Rep. 2021, 11, 5259. [Google Scholar] [CrossRef]
- Underhill, G.H.; Khetani, S.R. Advances in engineered human liver platforms for drug metabolism studies. Drug Metab. Dispos. 2018, 46, 1626–1637. [Google Scholar] [CrossRef]
- Ye, G.; Ding, D.; Gao, H.; Chi, Y.; Chen, J.; Wu, Z.; Lin, Y.; Dong, S. Comprehensive metabolic responses of HepG2 cells to fine particulate matter exposure: Insights from an untargeted metabolomics. Sci. Total Environ. 2019, 691, 874–884. [Google Scholar] [CrossRef]
- Hirschey, M.D.; Deberardinis, R.J.; Diehl, A.M.E.; Janice, E.; Frezza, C.; Green, M.F.; Jones, L.W.; Ko, Y.H.; Lea, M.A.; Locasale, J.W.; et al. Dysregulated metabolism contributes to oncogenesis. Semin. Cancer Biol. 2015, 35, S129–S150. [Google Scholar] [CrossRef] [PubMed]
- Fiehn, O. Metabolomics by Gas Chromatography-Mass Spectrometry: Combined Targeted and Untargeted Profiling. Curr. Protoc. Mol. Biol. 2016, 114, 30.4.1–30.4.32. [Google Scholar] [CrossRef] [PubMed]
- Kind, T.; Wohlgemuth, G.; Lee, D.Y.; Lu, Y.; Palazoglu, M.; Shahbaz, S.; Fiehn, O. FiehnLib: Mass spectral and retention index libraries for metabolomics based on quadrupole and time-of-flight gas chromatography/mass spectrometry. Anal. Chem. 2009, 81, 10038–10048. [Google Scholar] [CrossRef] [PubMed]
- R Core Team. R: The R Project for Statistical Computing; R Core Team: Vienna, Austria; Available online: https://www.r-project.org/ (accessed on 25 March 2020).
- Pang, Z.; Chong, J.; Zhou, G.; De Lima Morais, D.A.; Chang, L.; Barrette, M.; Gauthier, C.; Jacques, P.É.; Li, S.; Xia, J. MetaboAnalyst 5.0: Narrowing the gap between raw spectra and functional insights. Nucleic Acids Res. 2021, 49, W388–W396. [Google Scholar] [CrossRef]
- Kanehisa, M.; Furumichi, M.; Sato, Y.; Ishiguro-Watanabe, M.; Tanabe, M. KEGG: Integrating viruses and cellular organisms. Nucleic Acids Res. 2021, 49, D545–D551. [Google Scholar] [CrossRef]
- Jewison, T.; Su, Y.; Disfany, F.M.; Liang, Y.; Knox, C.; MacIejewski, A.; Poelzer, J.; Huynh, J.; Zhou, Y.; Arndt, D.; et al. SMPDB 2.0: Big improvements to the Small Molecule Pathway Database. Nucleic Acids Res. 2014, 42, D478–D484. [Google Scholar] [CrossRef]
- Louisa, M.; Suyatna, F.; Wanandi, S.; Asih, P.S.; Syafruddin, D. Differential expression of several drug transporter genes in HepG2 and Huh-7 cell lines. Adv. Biomed. Res. 2016, 5, 104. [Google Scholar] [CrossRef]
- Rodrigues, D.; Pinto, J.; Araújo, A.M.; Jerónimo, C.; Henrique, R.; De Lourdes Bastos, M.; De Pinho, P.G.; Carvalho, M. GC-MS metabolomics reveals distinct profiles of low- and high-grade bladder cancer cultured cells. Metabolites 2019, 9, 18. [Google Scholar] [CrossRef]
- He, Y.; Zhang, Z.M.; Ma, P.; Ji, H.C.; Lu, H.M. GC-MS profiling of leukemia cells: An optimized preparation protocol for the intracellular metabolome. Anal. Methods 2018, 10, 1266–1274. [Google Scholar] [CrossRef]
- Kiseleva, O.; Kurbatov, I.; Ilgisonis, E.; Poverennaya, E. Defining blood plasma and serum metabolome by gc-ms. Metabolites 2022, 12, 15. [Google Scholar] [CrossRef]
- Skolik, R.A.; Solocinski, J.; Konkle, M.E.; Chakraborty, N.; Menze, M.A. Global changes to HepG2 cell metabolism in response to galactose treatment. Am. J. Physiol. Cell Physiol. 2021, 320, C778–C793. [Google Scholar] [CrossRef]
- Zheng, J.F.; Lu, J.; Wang, X.Z.; Guo, W.H.; Zhang, J.X. Comparative Metabolomic Profiling of Hepatocellular Carcinoma Cells Treated with Sorafenib Monotherapy vs. Sorafenib-Everolimus Combination Therapy. Med. Sci. Monit. 2015, 21, 1781–1791. [Google Scholar] [CrossRef]
- Liesenfeld, D.B.; Habermann, N.; Owen, R.W.; Scalbert, A.; Ulrich, C.M. Review of mass spectrometry-based metabolomics in cancer research. Cancer Epidemiol. Biomarkers Prev. 2013, 22, 2182–2201. [Google Scholar] [CrossRef] [PubMed]
- Zhou, Z.; Sun, B.; Nie, A.; Yu, D.; Bian, M. Roles of Aminoacyl-tRNA Synthetases in Cancer. Front. Cell Dev. Biol. 2020, 8, 599765. [Google Scholar] [CrossRef]
- Won Lee, S.; Sun Kang, Y.; Kim, S. Multifunctional Proteins in Tumorigenesis: Aminoacyl-tRNA Synthetases and Translational Components. Curr. Proteom. 2007, 3, 233–247. [Google Scholar] [CrossRef]
- Jiang, P.; Du, W.; Wu, M. Regulation of the pentose phosphate pathway in cancer. Protein Cell 2014, 5, 592–602. [Google Scholar] [CrossRef] [PubMed]
- Xiao, W.J.; Ma, T.; Ge, C.; Xia, W.J.; Mao, Y.; Sun, R.B.; Yu, X.Y.; Aa, J.Y.; Wang, G.J. Modulation of the pentose phosphate pathway alters phase I metabolism of testosterone and dextromethorphan in HepG2 cells. Acta Pharmacol. Sin. 2015, 36, 259–267. [Google Scholar] [CrossRef][Green Version]
- Lopera-Rodriguez, J.A.; Zuluaga, M.; Picart-Armada, S.; Lluna, A.P. Metabolic pathway analysis in HepG2 cells exposed to organoclorines using null diffusion-based enrichment. In Proceedings of the 2021 IEEE 2nd International Congress of Biomedical Engineering and Bioengineering (CI-IB&BI), Bogota, Colombia, 13–15 October 2021. [Google Scholar] [CrossRef]
- Huang, S.; Wang, Z.; Zhao, L. The Crucial Roles of Intermediate Metabolites in Cancer. Cancer Manag. Res. 2021, 13, 6291. [Google Scholar] [CrossRef]
- Kennedy, L.; Sandhu, J.K.; Harper, M.E.; Cuperlovic-culf, M. Role of Glutathione in Cancer: From Mechanisms to Therapies. Biomolecules 2020, 10, 1429. [Google Scholar] [CrossRef]
- Fukuuchi, T.; Yamaoka, N.; Kaneko, K. Analysis of Intra- and Extracellular Levels of Purine Bases, Nucleosides, and Nucleotides in HepG2 Cells by High-performance Liquid Chromatography. Anal. Sci. 2015, 31, 895–901. [Google Scholar] [CrossRef]
- Yin, J.; Ren, W.; Huang, X.; Deng, J.; Li, T.; Yin, Y. Potential Mechanisms Connecting Purine Metabolism and Cancer Therapy. Front. Immunol. 2018, 9, 1697. [Google Scholar] [CrossRef]
- Hein, M.Y.; Hubner, N.C.; Poser, I.; Cox, J.; Nagaraj, N.; Toyoda, Y.; Gak, I.A.; Weisswange, I.; Mansfeld, J.; Buchholz, F.; et al. A human interactome in three quantitative dimensions organized by stoichiometries and abundances. Cell 2015, 163, 712–723. [Google Scholar] [CrossRef] [PubMed]
- Marco-Ramell, A.; Palau-Rodriguez, M.; Alay, A.; Tulipani, S.; Urpi-Sarda, M.; Sanchez-Pla, A.; Andres-Lacueva, C. Evaluation and comparison of bioinformatic tools for the enrichment analysis of metabolomics data. BMC Bioinf. 2018, 19, 1. [Google Scholar] [CrossRef] [PubMed]
- Wieder, C.; Frainay, C.; Poupin, N.; Rodríguez-Mier, P.; Vinson, F.; Cooke, J.; Lai, R.P.J.; Bundy, J.G.; Jourdan, F.; Ebbels, T. Pathway analysis in metabolomics: Recommendations for the use of over-representation analysis. PLoS Comput. Biol. 2021, 17, e1009105. [Google Scholar] [CrossRef] [PubMed]
- Anwar, A.; Ahmed, E.; Soudy, M.; Osama, A.; Ezzeldin, S.; Tanios, A.; Mahgoub, S.; Magdeldin, S. Xconnector: Retrieving and visualizing metabolites and pathways information from various database sources. J. Proteom. 2021, 245, 104302. [Google Scholar] [CrossRef]
- Vaupel, P.; Schmidberger, H.; Mayer, A. The Warburg effect: Essential part of metabolic reprogramming and central contributor to cancer progression. Int. J. Radiat. Biol. 2019, 95, 912–919. [Google Scholar] [CrossRef]
- Sun, Q.; Li, S.; Wang, Y.; Peng, H.; Zhang, X.; Zheng, Y.; Li, C.; Li, L.; Chen, R.; Chen, X.; et al. Phosphoglyceric acid mutase-1 contributes to oncogenic mTOR-mediated tumor growth and confers non-small cell lung cancer patients with poor prognosis. Cell Death Differ. 2018, 25, 1160–1173. [Google Scholar] [CrossRef] [PubMed]
- Kovács, T.; Mikó, E.; Vida, A.; Sebő, É.; Toth, J.; Csonka, T.; Boratkó, A.; Ujlaki, G.; Lente, G.; Kovács, P.; et al. Cadaverine, a metabolite of the microbiome, reduces breast cancer aggressiveness through trace amino acid receptors. Sci. Rep. 2019, 9, 1300. [Google Scholar] [CrossRef]
- Liu, R.; Li, P.; Bi, C.W.; Ma, R.; Yin, Y.; Bi, K.; Li, Q.; Liu, R.; Li, P.; Bi, C.W.; et al. Plasma N-acetylputrescine, cadaverine and 1,3-diaminopropane: Potential biomarkers of lung cancer used to evaluate the efficacy of anticancer drugs. Oncotarget 2017, 8, 88575–88585. [Google Scholar] [CrossRef]
- Richter, E.A.; Ruderman, N.B. AMPK and the biochemistry of exercise: Implications for human health and disease. Biochem. J. 2009, 418, 261–275. [Google Scholar] [CrossRef]
- Jeon, S.M.; Hay, N. The double-edged sword of AMPK signaling in cancer and its therapeutic implications. Arch. Pharm. Res. 2015, 38, 346. [Google Scholar] [CrossRef] [PubMed]
- Weissbein, U.; Benvenisty, N.; Ben-David, U. Genome maintenance in pluripotent stem cells. J. Cell Biol. 2014, 204, 153–163. [Google Scholar] [CrossRef]
- Klein, S.G.; Alsolami, S.M.; Arossa, S.; Ramos-Mandujano, G.; Parry, A.J.; Steckbauer, A.; Duarte, C.M.; Li, M. In situ monitoring reveals cellular environmental instabilities in human pluripotent stem cell culture. Commun. Biol. 2022, 5, 119. [Google Scholar] [CrossRef] [PubMed]
- Geraghty, R.J.; Capes-Davis, A.; Davis, J.M.; Downward, J.; Freshney, R.I.; Knezevic, I.; Lovell-Badge, R.; Masters, J.R.W.; Meredith, J.; Stacey, G.N.; et al. Guidelines for the use of cell lines in biomedical research. Br. J. Cancer 2014, 111, 1021–1046. [Google Scholar] [CrossRef] [PubMed]
- Zeki, Ö.C.; Eylem, C.C.; Reçber, T.; Kır, S.; Nemutlu, E. Integration of GC-MS and LC-MS for untargeted metabolomics profiling. J. Pharm. Biomed. Anal. 2020, 190, 113509. [Google Scholar] [CrossRef] [PubMed]





| Pathway | Rank | Match Status | Raw p | Impact | ||||||
|---|---|---|---|---|---|---|---|---|---|---|
| SMPDB | KEGG | SMPDB | KEGG | SMPDB | KEGG | SMPDB | KEGG | |||
| Total | Hits | Total | Hits | |||||||
| Aminoacyl-tRNA biosynthesis | - | 1 | - | - | 48 | 17 | - | 3.22 × 10−9 | - | 0.17 |
| Pentose phosphate pathway | 1 | 2 | 27 | 8 | 22 | 9 | 5.83 × 10−3 | 5.51 × 10−6 | 0.65 | 0.47 |
| Alanine; aspartate and glutamate metabolism | - | 3 | - | - | 28 | 8 | - | 3.62 × 10−4 | - | 0.62 |
| Glutathione metabolism | 28 | 4 | 19 | 3 | 28 | 7 | 3.43 × 10−1 | 2.05 × 10−3 | 0.09 | 0.18 |
| Purine metabolism | 3 | 5 | 63 | 13 | 65 | 11 | 1.41 × 10−2 | 3.54 × 10−3 | 0.22 | 0.32 |
| Glyoxylate and dicarboxylate metabolism | - | 6 | - | - | 32 | 7 | - | 4.64 × 10−3 | - | 0.26 |
| Cysteine and methionine metabolism | - | 7 | - | - | 33 | 7 | - | 5.56 × 10−3 | - | 0.46 |
| Glycine; serine and threonine metabolism | - | 8 | - | - | 33 | 7 | - | 5.56 × 10−3 | - | 0.49 |
| Warburg effect | 2 | - | 49 | 11 | - | - | 1.26 × 10−2 | - | 0.17 | - |
| Galactose metabolism | 4 | 15 | 31 | 8 | 27 | 5 | 1.42 × 10−2 | 3.28 × 10−2 | 0.18 | 0.17 |
| Glycine and serine metabolism | 5 | - | 50 | 11 | - | - | 1.47 × 10−2 | - | 0.12 | - |
| Homocysteine degradation | 6 | - | 7 | 3 | - | - | 3.18 × 10−2 | - | 0.50 | - |
| Database | Name of the Pathway | Total | Hits | Raw p |
|---|---|---|---|---|
| Cluster #1 | ||||
| KEGG | Alanine; aspartate and glutamate metabolism | 28 | 6 | 3.12 × 10−4 |
| KEGG | Pentose phosphate pathway | 22 | 5 | 7.78 × 10−4 |
| KEGG | Arginine biosynthesis | 14 | 4 | 1.09 × 10−3 |
| KEGG | Glutathione metabolism | 28 | 5 | 2.47 × 10−3 |
| KEGG | Glyoxylate and dicarboxylate metabolism | 32 | 5 | 4.53 × 10−3 |
| SMPDB | Homocysteine degradation | 7 | 3 | 4.84 × 10−3 |
| KEGG | Glycine; serine and threonine metabolism | 33 | 5 | 5.20 × 10−3 |
| KEGG | Aminoacyl-tRNA biosynthesis | 48 | 6 | 5.87 × 10−3 |
| KEGG | Nitrogen metabolism | 6 | 2 | 1.69 × 10−2 |
| KEGG | D-Glutamine and D-glutamate metabolism | 6 | 2 | 1.69 × 10−2 |
| SMPDB | Methionine metabolism | 39 | 6 | 1.74 × 10−2 |
| SMPDB | Galactose metabolism | 31 | 5 | 2.46 × 10−2 |
| KEGG | Purine metabolism | 65 | 6 | 2.48 × 10−2 |
| KEGG | Cysteine and methionine metabolism | 33 | 4 | 2.70 × 10−2 |
| KEGG | Pantothenate and CoA biosynthesis | 19 | 3 | 2.74 × 10−2 |
| KEGG | Citrate cycle (TCA cycle) | 20 | 3 | 3.14 × 10−2 |
| SMPDB | Lactose Synthesis | 14 | 3 | 3.81 × 10−2 |
| Cluster #2 | ||||
| KEGG | Aminoacyl-tRNA biosynthesis | 48 | 10 | 1.19 × 10−8 |
| KEGG | Phenylalanine; tyrosine and tryptophan biosynthesis | 4 | 2 | 2.42 × 10−3 |
| KEGG | Pentose and glucuronate interconversions | 18 | 3 | 5.29 × 10−3 |
| KEGG | Purine metabolism | 65 | 5 | 9.29 × 10−3 |
| KEGG | Pentose phosphate pathway | 22 | 3 | 9.43 × 10−3 |
| KEGG | Valine; leucine and isoleucine biosynthesis | 8 | 2 | 1.07 × 10−2 |
| SMPDB | Purine metabolism | 63 | 6 | 1.17 × 10−2 |
| KEGG | Phenylalanine metabolism | 10 | 2 | 1.68 × 10−2 |
| KEGG | Cysteine and methionine metabolism | 33 | 3 | 2.87 × 10−2 |
| Cluster #3 | ||||
| SMPDB | Glycolysis | 20 | 3 | 8.07 × 10−3 |
| KEGG | Biosynthesis of unsaturated fatty acids | 36 | 3 | 8.64 × 10−3 |
| KEGG | Starch and sucrose metabolism | 18 | 2 | 1.94 × 10−2 |
| KEGG | Neomycin; kanamycin and gentamicin biosynthesis | 2 | 1 | 2.44 × 10−2 |
| SMPDB | Alpha linolenic acid and linoleic acid metabolism | 16 | 2 | 4.53 × 10−2 |
Publisher’s Note: MDPI stays neutral with regard to jurisdictional claims in published maps and institutional affiliations. |
© 2022 by the authors. Licensee MDPI, Basel, Switzerland. This article is an open access article distributed under the terms and conditions of the Creative Commons Attribution (CC BY) license (https://creativecommons.org/licenses/by/4.0/).
Share and Cite
Kiseleva, O.I.; Kurbatov, I.Y.; Arzumanian, V.A.; Ilgisonis, E.V.; Vakhrushev, I.V.; Lupatov, A.Y.; Ponomarenko, E.A.; Poverennaya, E.V. Exploring Dynamic Metabolome of the HepG2 Cell Line: Rise and Fall. Cells 2022, 11, 3548. https://doi.org/10.3390/cells11223548
Kiseleva OI, Kurbatov IY, Arzumanian VA, Ilgisonis EV, Vakhrushev IV, Lupatov AY, Ponomarenko EA, Poverennaya EV. Exploring Dynamic Metabolome of the HepG2 Cell Line: Rise and Fall. Cells. 2022; 11(22):3548. https://doi.org/10.3390/cells11223548
Chicago/Turabian StyleKiseleva, Olga I., Ilya Yu. Kurbatov, Viktoriia A. Arzumanian, Ekaterina V. Ilgisonis, Igor V. Vakhrushev, Alexey Yu. Lupatov, Elena A. Ponomarenko, and Ekaterina V. Poverennaya. 2022. "Exploring Dynamic Metabolome of the HepG2 Cell Line: Rise and Fall" Cells 11, no. 22: 3548. https://doi.org/10.3390/cells11223548
APA StyleKiseleva, O. I., Kurbatov, I. Y., Arzumanian, V. A., Ilgisonis, E. V., Vakhrushev, I. V., Lupatov, A. Y., Ponomarenko, E. A., & Poverennaya, E. V. (2022). Exploring Dynamic Metabolome of the HepG2 Cell Line: Rise and Fall. Cells, 11(22), 3548. https://doi.org/10.3390/cells11223548

