Simulating the Interplay between the Uptake of Inorganic Phosphate and the Cell Phosphate Metabolism under Phosphorus Feast and Famine Conditions in Chlorella vulgaris
Abstract
:1. Introduction
2. Materials and Methods
2.1. Differential Equations for the 3-Pool Model of Phosphate Uptake
2.2. Model Calibration Using Experimental Data
3. Results
3.1. Construction of the 3-Pool Model of P Species Interconversions (Version 1)
3.2. Model Validation
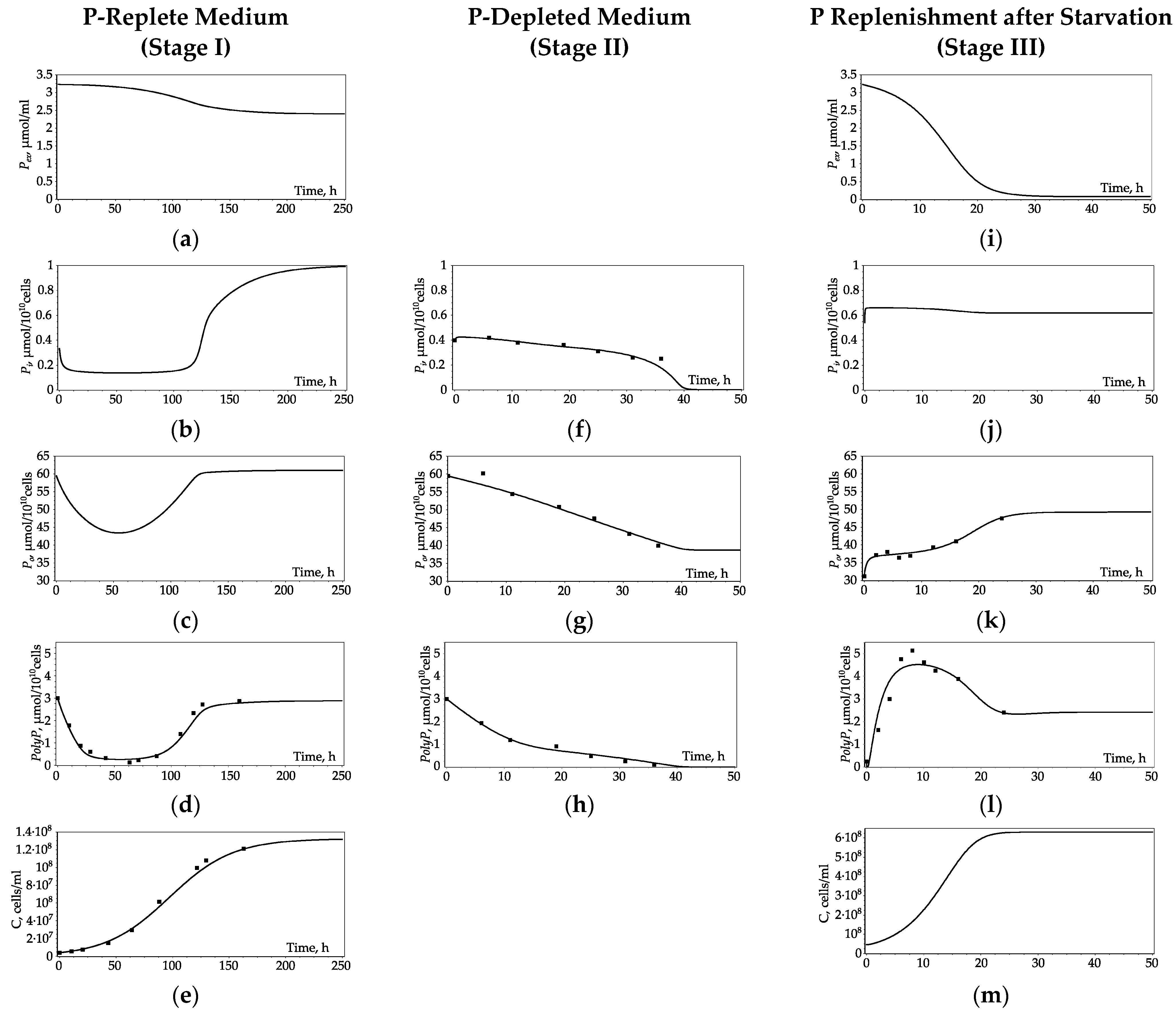
3.2.1. Culture Growth under Ample External Phosphate Conditions (Stage I)
3.2.2. Phosphate Deficiency (Stage II)
3.2.3. Phosphate Replenishment after Starvation (Stage III)
3.3. The Model Update Taking into Account the Regulation of Phosphate Metabolism (Version 2)
3.4. Effect of Duration of Phosphate Starvation
3.5. Conditions for the Maximum PolyP Yield
4. Discussion
4.1. PolyP Accumulation without Prior Starvation (Stage I)
4.2. PolyP Accumulation after P Replenish to Starved Culture (Stage III)
4.2.1. P Addition Activates Culture Growth, and Whereby Is Depleted (Scenario 1)
4.2.2. P Is Added to the Culture at Stationary Growth Phase and Is Not Depleted (Scenario 2)
5. Concluding Remarks: Biotechnological Implications
Supplementary Materials
Author Contributions
Funding
Conflicts of Interest
References
- Muthuraj, M.; Palabhanvi, B.; Misra, S.; Kumar, V.; Sivalingavasu, K.; Das, D. Flux Balance Analysis of Chlorella sp. FC2 IITG under Photoautotrophic and Heterotrophic Growth Conditions. Photosynth. Res. 2013, 118, 167–179. [Google Scholar] [CrossRef]
- Garay, L.A.; Boundy-Mills, K.L.; German, J.B. Accumulation of High-value Lipids in Single-cell Microorganisms: A Mechanistic Approach and Future Perspectives. J. Agric. Food Chem. 2014, 62, 2709–2727. [Google Scholar] [CrossRef] [PubMed]
- Ghirardi, M.L.; Zhang, L.; Lee, J.W.; Flynn, T.; Seibert, M.; Greenbaum, E.; Melis, A. Microalgae: A Green Source of Renewable H2. Trends Biotechnol. 2000, 18, 506–511. [Google Scholar] [CrossRef]
- Zhang, L.; Happe, T.; Melis, A. Biochemical and Morphological Characterization of Sulfur-Deprived and H2-Producing Chlamydomonas reinhardtii (Green Alga). Planta 2002, 214, 552–561. [Google Scholar] [CrossRef] [PubMed]
- Sanz-Luque, E.; Bhaya, D.; Grossman, A.R. Polyphosphate: A Multifunctional Metabolite in Cyanobacteria and Algae. Front. Plant Sci. 2020, 11, 938. [Google Scholar] [CrossRef] [PubMed]
- Solovchenko, A.; Khozin-Goldberg, I.; Selyakh, I.; Semenova, L.; Ismagulova, T.; Lukyanov, A.; Mamedov, I.; Vinogradova, E.; Karpova, O.; Konyukhov, I.; et al. Phosphorus Starvation and Luxury Uptake in Green Microalgae Revisited. Algal Res. 2019, 43, 101651. [Google Scholar] [CrossRef]
- Powell, N.; Shilton, A.N.; Pratt, S.; Chisti, A.U. Factors Influencing Luxury Uptake of Phosphorus by Microalgae in Waste Stabilization Ponds. Environ. Sci. Technol. 2008, 42, 5958–5962. [Google Scholar] [CrossRef] [PubMed]
- Solovchenko, A.; Verschoor, A.M.; Jablonowski, N.D.; Nedbal, L. Phosphorus from Wastewater to Crops: An Alternative Path Involving Microalgae. Biotechnol. Adv. 2016, 34, 550–564. [Google Scholar] [CrossRef] [PubMed]
- Omelon, S.J.; Grynpas, M.D. Relationships between Polyphosphate Chemistry, Biochemistry and Apatite Biomineralization. Chem. Rev. 2008, 108, 4694–4715. [Google Scholar] [CrossRef] [PubMed]
- Singh, D.; Nedbal, L.; Ebenhöh, O. Modelling Phosphorus Uptake in Microalgae. Biochem. Soc. Trans. 2018, 46, 483–490. [Google Scholar] [CrossRef] [PubMed]
- John, E.H.; Flynn, K.J. Modelling Phosphate Transport and Assimilation in Microalgae; How Much Complexity is Warranted? Ecol. Modell. 2000, 125, 145–157. [Google Scholar] [CrossRef]
- Vijay, S.; Yuan, Q. Simplified Empirical Model for Phosphorous Removal in a Facultative Wastewater Lagoon. J. Environ. Manage. 2017, 201, 1–5. [Google Scholar] [CrossRef] [PubMed]
- Carpenter, S.R.; Bennett, E.M. Reconsideration of the Planetary Boundary for Phosphorus. Environ. Res. Lett. 2011, 6, 014009. [Google Scholar] [CrossRef]
- Droop, M.R. Some thoughts on nutrient limitation in algae. J. Phycol. 1973, 9, 264–272. [Google Scholar] [CrossRef]
- Aitchison, P.A.; Butt, V.S. The Relation between the Synthesis of Inorganic Polyphosphate and Phosphate Uptake by Chlorella vulgaris. J. Exp. Bot. 1973, 24, 497–510. [Google Scholar] [CrossRef]
- Gizzatkulov, N.M.; Goryanin, I.I.; Metelkin, E.A.; Mogilevskaya, E.A.; Peskov, K.V.; Demin, O.V. DBSolve Optimum: A Software Package for Kinetic Modeling Which Allows Dynamic Visualization of Simulation Results. BMC Syst. Biol. 2010, 4, 109. [Google Scholar] [CrossRef] [PubMed] [Green Version]
- Slocombe, S.P.; Zuñiga-Burgos, T.; Chu, L.; Wood, N.J.; Camargo-Valero, M.A.; Baker, A. Fixing the Broken Phosphorus Cycle: Wastewater Remediation by Microalgal Polyphosphates. Front. Plant Sci. 2020, 11, 982. [Google Scholar] [CrossRef]
- Lavrinovics, A.; Murby, F.; Zıverte, E.; Mežule, L.; Juhna, T. Increasing Phosphorus Uptake Efficiency by Phosphorus-Starved Microalgae for Municipal Wastewater Post-Treatment. Microorganisms 2021, 9, 1598. [Google Scholar] [CrossRef] [PubMed]
- Andreeva, N.; Trilisenko, L.; Eldarov, M.; Kulakovskaya, T. Polyphosphatase PPN1 of Saccharomyces cerevisiae: Switching of Exopolyphosphatase and Endopolyphosphatase Activities. PLoS ONE 2015, 10, e0119594. [Google Scholar] [CrossRef] [PubMed]
- Cridland, C.; Gillaspy, G. Inositol Pyrophosphate Pathways and Mechanisms: What Can We Learn from Plants? Molecules 2020, 25, 2789. [Google Scholar] [CrossRef] [PubMed]
- Ried, M.K.; Wild, R.; Zhu, J.; Pipercevic, J.; Sturm, K.; Broger, L.; Harmel, R.K.; Abriata, L.A.; Hothorn, L.A.; Fiedler, D.; et al. Inositol Pyrophosphates Promote the Interaction of SPX Domains with the Coiled-coil Motif of PHR Transcription Factors to Regulate Plant Phosphate Homeostasis. Nat. Commun. 2021, 12, 384. [Google Scholar] [CrossRef] [PubMed]
- Austin, S.; Mayer, A. Phosphate Homeostasis—A Vital Metabolic Equilibrium Maintained Through the INPHORS Signaling Pathway. Front. Microbiol. 2020, 11, 1367. [Google Scholar] [CrossRef]
- Solovchenko, A.; Ismagulova, T.; Lukyanov, A.; Vasilieva, S.; Konyukhov, I.; Pogosyan, S.; Lobakova, E.; Gorelova, O. Luxury Phosphorus Uptake in Microalgae. J. Appl. Phycol. 2019, 31, 2755–2770. [Google Scholar] [CrossRef]







| Symbol | Unit | Defenition |
|---|---|---|
| Pex | μmol/mL | Inorganic phosphate in the medium |
| Pi | μmol/1010cells | Inorganic phosphate in cells |
| Po | μmol/1010cells | Phosphometabolites in cells |
| PolyP | μmol/1010cells | Polyphosphates in cells |
| C | Cells/mL | Cell density |
| R | Arbitrary | Regulator in cells |
| μ,μ’ | 1/h | Specific growth rate |
| Vup | μmol/(1010cells∙h) | Inorganic phosphate uptake rate |
| Veff | μmol/(1010cells∙h) | Inorganic phosphate efflux rate |
| Vp | μmol/(1010cells∙h) | Rate of phosphometabolites synthesis |
| Vsyn | μmol/(1010cells∙h) | Rate of polyphosphates synthesis |
| Vt | μmol/(1010cells∙h) | Rate of polyphosphates hydrolysis |
| Process | Equation | Units | |
|---|---|---|---|
| Cell division rate | (1) | ||
| External phosphate Pex uptake by cells | (2) | ||
| Intracellular Pi pool change | (3) | ||
| Intracellular Po pool change | (4) | ||
| Intracellular PolyP pool change | (5) |
| Process | Equation | Units | |
|---|---|---|---|
| Pi uptake rate | (6) | ||
| Specific growth rate of the culture | (7) | ||
| Conversion rate of intracellular Pi to organic P-compounds | (8) | ||
| PolyP formation rate | (9) | ||
| PolyP hydrolysis rate | (10) | ||
| Rate of Pi efflux | (11) |
Publisher’s Note: MDPI stays neutral with regard to jurisdictional claims in published maps and institutional affiliations. |
© 2021 by the authors. Licensee MDPI, Basel, Switzerland. This article is an open access article distributed under the terms and conditions of the Creative Commons Attribution (CC BY) license (https://creativecommons.org/licenses/by/4.0/).
Share and Cite
Plyusnina, T.Y.; Khruschev, S.S.; Fursova, P.V.; Solovchenko, A.E.; Antal, T.K.; Riznichenko, G.Y.; Rubin, A.B. Simulating the Interplay between the Uptake of Inorganic Phosphate and the Cell Phosphate Metabolism under Phosphorus Feast and Famine Conditions in Chlorella vulgaris. Cells 2021, 10, 3571. https://doi.org/10.3390/cells10123571
Plyusnina TY, Khruschev SS, Fursova PV, Solovchenko AE, Antal TK, Riznichenko GY, Rubin AB. Simulating the Interplay between the Uptake of Inorganic Phosphate and the Cell Phosphate Metabolism under Phosphorus Feast and Famine Conditions in Chlorella vulgaris. Cells. 2021; 10(12):3571. https://doi.org/10.3390/cells10123571
Chicago/Turabian StylePlyusnina, Tatiana Yu., Sergei S. Khruschev, Polina V. Fursova, Alexei E. Solovchenko, Taras K. Antal, Galina Yu. Riznichenko, and Andrei B. Rubin. 2021. "Simulating the Interplay between the Uptake of Inorganic Phosphate and the Cell Phosphate Metabolism under Phosphorus Feast and Famine Conditions in Chlorella vulgaris" Cells 10, no. 12: 3571. https://doi.org/10.3390/cells10123571
APA StylePlyusnina, T. Y., Khruschev, S. S., Fursova, P. V., Solovchenko, A. E., Antal, T. K., Riznichenko, G. Y., & Rubin, A. B. (2021). Simulating the Interplay between the Uptake of Inorganic Phosphate and the Cell Phosphate Metabolism under Phosphorus Feast and Famine Conditions in Chlorella vulgaris. Cells, 10(12), 3571. https://doi.org/10.3390/cells10123571

