Wheat Sown with Narrow Spacing Results in Higher Yield and Water Use Efficiency under Deficit Supplemental Irrigation at the Vegetative and Reproductive Stage
Abstract
:1. Introduction
2. Materials and Methods
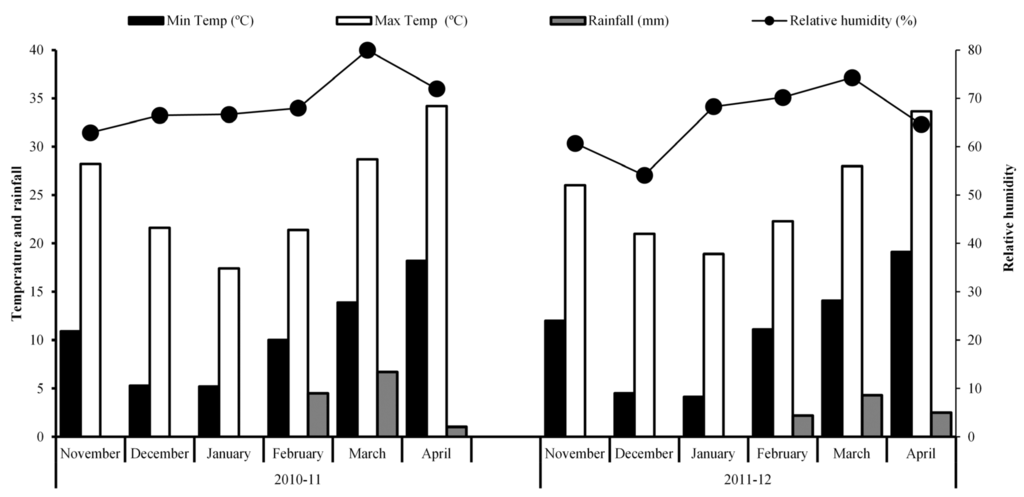
2.1. Experimental Details
2.2. Crop Husbandry
2.3. Measurements
2.4. Statistical and Economic Analysis
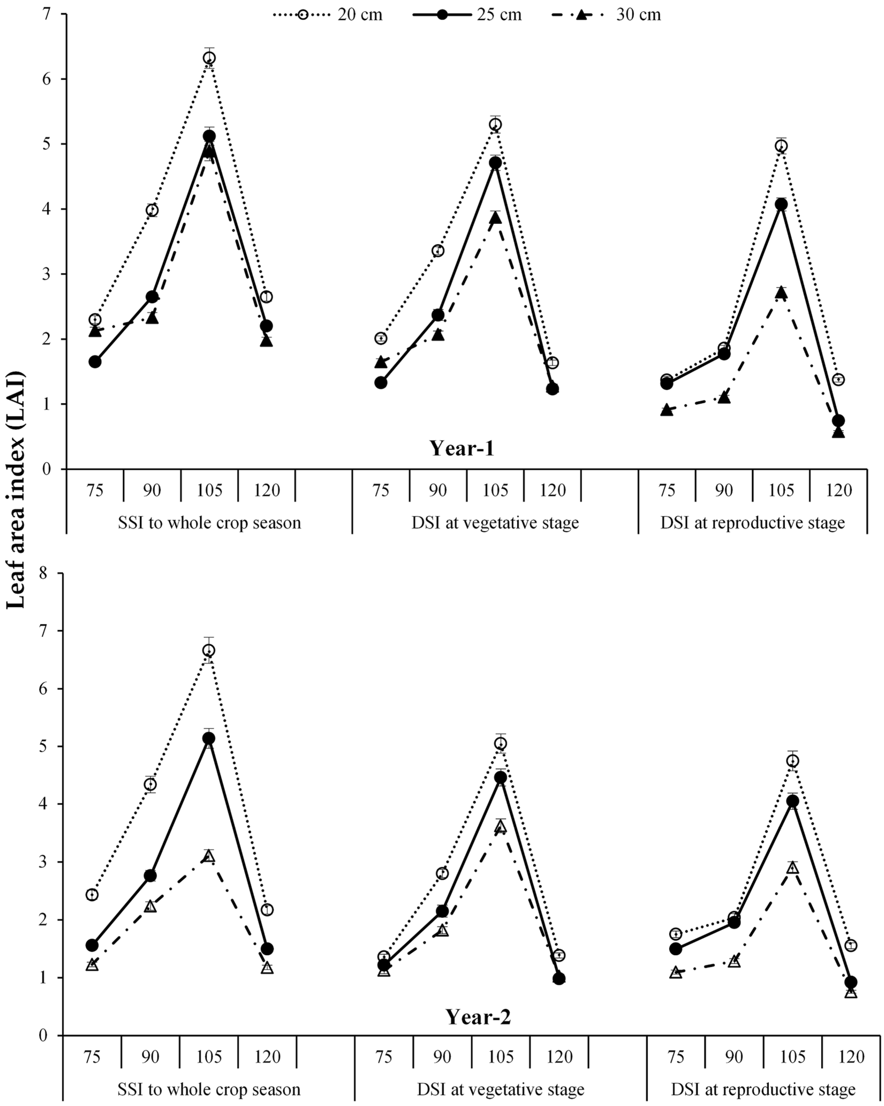
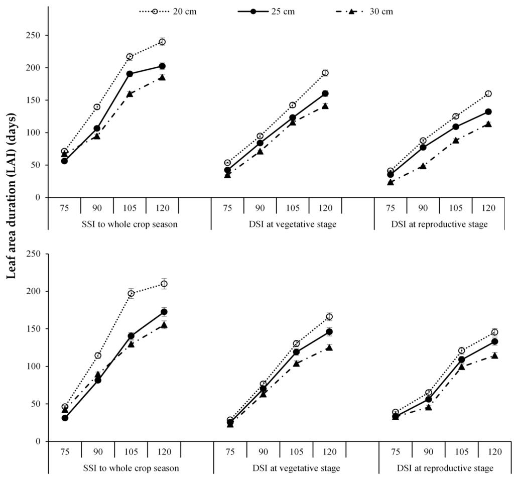
3. Results
4. Discussion
5. Conclusions
Author Contributions
Conflicts of Interest
References
- Food and Agriculture Organization (FAO). Crop Prospects and Food Situation; Food and Agriculture Organization, Global Information and Early Warning System, Trade and Markets Division (EST): Rome, Italy, 2014. [Google Scholar]
- Beddington, J.R. The Future of Food and Farming: Challenges and Choices for Global Sustainability; Final Project Report of the UK Government Foresight Global Food and Farming Futures, The Government Office for Science: London, UK, 2011.
- Araus, J.L.; Bort, J.; Steduto, P.; Villegas, D.; Royo, C. Breeding cereals for Mediterranean conditions: ecophysiology clues for biotechnology application. Ann. Appl. Biol. 2003, 142, 129–141. [Google Scholar] [CrossRef]
- Farooq, M.; Hussain, M.; Siddique, K.H.M. Drought stress in wheat during flowering and grain-filling periods. Crit. Rev. Plant Sci. 2014, 33, 331–349. [Google Scholar] [CrossRef]
- United Nations Economic and Social Commission for Asia and the Pacific (UNESCAP). Building Resilience to Natural Disasters and Major Economic Crises; ECOSOC 70: Bangkok, Thailand, 2013. [Google Scholar]
- WWAP (United Nations World Water Assessment Programme). The United Nations World Water Development Report 2014: Water and Energy; UNESCO: Paris, France.
- Hinrichsen, D.; Tacio, H. The Coming Fresh Water Crisis is Already Here; The linkages between population and water, Woodrow Wilson International Center for Scholars: Washington, DC, USA, 2002. [Google Scholar]
- Kang, S.Z.; Su, X.L.; Tong, L.; Zhang, J.H.; Zhang, L.; Davies, W.J. A warning from an ancient oasis: intensive human activities are leading to potential ecological and social catastrophe. Int. J. Sustain. Dev. World Ecol. 2008, 15, 440–447. [Google Scholar] [CrossRef]
- Kemp, P. New war of words over scarce water. Middle East Econ. Dig. 1996, 49, 2–7. [Google Scholar]
- Rajaram, S. Prospects and promise of wheat breeding in the 21st century. Euphytica 2001, 119, 3–15. [Google Scholar] [CrossRef]
- Pfeiffer, W.H.; Trethowan, R.M.; van Ginkel, M.; Ortiz-Monasterio, I.; Rajaram, S. Breeding for abiotic stress tolerance in wheat. In Abiotic Stresses: Plant Resistance through Breeding and Molecular Approaches, 1st ed.; Ashraf, M., Harris, P.J.C., Eds.; Haworth Press: New York, NY, USA, 2005; pp. 401–489. [Google Scholar]
- Farooq, S.; Shahid, M.; Khan, M.B.; Hussain, M.; Farooq, M. Improving the productivity of bread wheat by good management practices under terminal drought. J. Agron. Crop. Sci. 2015, 201, 173–188. [Google Scholar] [CrossRef]
- Yang, J.C.; Zhang, J.H.; Wang, Z.Q.; Zhu, Q.S.; Liu, L.J. Involvement of abscisic acid and cytokinins in the senescence and remobilization of carbon reserves in wheat subjected to water stress during grain filling. Plant Cell Environ. 2003, 26, 1621–1631. [Google Scholar] [CrossRef]
- Asada, K. Production and scavenging of reactive oxygen species in chloroplasts and their functions. Plant Physiol. 2006, 141, 391–396. [Google Scholar] [CrossRef] [PubMed]
- Saini, H.S.; Aspinall, D. Effect of water deficit on sporogenesis in wheat (Triticum aestivum L.). Ann. Bot. 1981, 48, 623–633. [Google Scholar]
- Dorion, S.; Lalonde, S.; Saini, H.S. Induction of male sterility in wheat (Triticum aestivum L.) by meiotic-stage water deficit is preceded by a decline in invertase activity and changes in carbohydrate metabolism in anthers. Plant Physiol. 1996, 111, 137–145. [Google Scholar] [PubMed]
- Cattivelli, L.; Rizza, F.; Badeckc, F.W.; Mazzucotelli, E.; Mastrangelo, A.M.; Franciaa, E.; Marèa, C.; Tondellia, A.; Stanca, A.M. Drought tolerance improvement in crop plants: An integrated view from breeding to genomics. Field Crops Res. 2008, 105, 1–14. [Google Scholar] [CrossRef]
- Ahmadi, A.; Baker, D.A. The effect of water stress on the activities of key regulatory enzymes of the sucrose to starch pathway in wheat. Plant Growth Regul. 2001, 35, 81–91. [Google Scholar] [CrossRef]
- Venkateswarlu, B.; Visperas, R.M. Source-sink relationships in crop plants. Int. Rice Res. Paper Series. 1987, 125, 1–19. [Google Scholar]
- Liang, J.; Zhang, J.; Cao, X. Grain sink strength may be related to the poor grain filling of indica-japonica rice (Oryza sativa) hybrids. Physiol. Plant. 2001, 112, 470–477. [Google Scholar] [CrossRef] [PubMed]
- Passioura, J.B.; Angus, J.F. Improving productivity of crops in water-limited environments. Adv. Agron. 2010, 106, 37–75. [Google Scholar]
- Zhang, X.; Pei, D. Management of supplemental irrigation of winter wheat for maximum profit. In Deficit Irrigation Practices; Food and Agriculture Organization of the United Nations: Rome, Italy, 2002; pp. 57–65. [Google Scholar]
- Nautiyal, P.C.; Joshi, Y.C.; Dayal, D. Response of groundnut to deficit irrigation during vegetative growth. In Deficit Irrigation Practices; Food and Agriculture Organization of the United Nations: Rome, Italy, 2002; pp. 39–46. [Google Scholar]
- Hussain, M.; Bashir, W.; Farooq, S.; Rehim, A. Root development, allometry and productivity of maize hybrids under terminal drought sown by varying method. Int. J. Agric. Biol. 2013, 15, 1243–1250. [Google Scholar]
- Goodwin, I.; Boland, A.M. Scheduling deficit irrigation of fruit trees for optimizing water use efficiency. In Deficit Irrigation Practices; Food and Agriculture Organization of the United Nations: Rome, Italy, 2002; pp. 67–78. [Google Scholar]
- Hussain, M.; Malik, M.A.; Farooq, M.; Ashraf, M.Y.; Cheema, M.A. Improving drought tolerance by exogenous application of glycinebetaine and salicylic acid in sunflower. J. Agron. Crop. Sci. 2008, 194, 193–199. [Google Scholar] [CrossRef]
- Hussain, M.; Mehmood, Z.; Khan, M.B.; Farooq, S.; Lee, D.J.; Farooq, M. Narrow row spacing ensures higher productivity of low tillering wheat cultivars. Int. J. Agric. Biol. 2012, 14, 413–418. [Google Scholar]
- Hussain, M.; Khan, M.B.; Mehmood, Z.; Zia, A.B.; Jabran, K.; Farooq, M. Optimizing row spacing in wheat cultivars differing in tillering and stature for higher productivity. Arch. Agron. Soil Sci. 2013, 59, 1457–1470. [Google Scholar] [CrossRef]
- Ayaz, S.; Shah, P.; Sharif, H.M.; Ali, I. Yield, yield components and other important agronomic traits of wheat as affected by seed rate and planting geometry. Sarhad J. Agric. 1999, 15, 255–262. [Google Scholar]
- Large, E.C. Growth stages in cereals illustration of the Feekes scale. Plant Pathol. 1954, 3, 128–129. [Google Scholar] [CrossRef]
- Hunt, R. Plant Growth Analysis; Studies in Biology Series No. 96; Edward Arnold Limited: London, UK, 1978. [Google Scholar]
- Viets, F.G., Jr. Fertilizers and the efficient use of water. Adv. Agron. 1962, 14, 223–264. [Google Scholar]
- Steel, R.G.D.; Torrie, J.H.; Deekey, D.A. Principles and Procedures of Statistics: A Biometrical Approach, 3rd ed.; McGraw Hill Book: New York, NY, USA, 1997; pp. 400–428. [Google Scholar]
- The International Maize and Wheat Improvement Center (CIMMYT). From Agronomic Data to Farmer Recommendations: An Economics Training Manual; The International Maize and Wheat Improvement Center: Mexico, DF, USA, 1988. [Google Scholar]
- Khalvati, M.; Hu, Y.; Mozafar, A.; Schmidhalter, U. Quantification of water uptake by arbuscular mycorrhizal hyphae and its significance for leaf growth, water relations, and gas exchange of barley subjected to drought stress. Plant Biol. 2005, 7, 706–712. [Google Scholar] [CrossRef] [PubMed]
- Hussain, M.; Malik, M.A.; Farooq, M.; Khan, M.B.; Akram, M.; Saleem, M.F. Exogenous glycinebetaine and salicylic acid application improves water relations, allometry and quality of hybrid sunflower under water deficit conditions. J. Agron. Crop Sci. 2009, 195, 98–109. [Google Scholar] [CrossRef]
- Dhanda, S.S.; Sethi, G.S. Tolerance to drought stress among selected Indian wheat cultivars. J. Agric. Sci. 2002, 139, 319–326. [Google Scholar] [CrossRef]
- Eskandari, H.; Kazemi, K. Response of different bread wheat (Triticum aestivum L.) genotypes to post-anthesis water deficit. Not. Sci. Biol. 2010, 2, 49–52. [Google Scholar]
- Royo, C.; Abaza, M.; Blanco, R.; Moral, L.F.G. Triticale grain growth and morphometry as affected by drought stress, late sowing and simulated drought stress. Aust. J. Palnt Physiol. 2000, 2, 1051–1059. [Google Scholar] [CrossRef]
- Madani, A.; Rad, A.S.; Pazoki, A.; Nourmohammadi, G.; Zarghami, G. Wheat (Triticum aestivum L.) grain filling and dry matter partitioning responses to source:sink modifications under postanthesis water and nitrogen deficiency. Acta Sci. Agron. 2010, 32, 145–151. [Google Scholar] [CrossRef]
- Wei, T.M.; Chang, X.P.; Min, D.H.; Jing, R.J. Analysis of genetic diversity and trapping elite alleles for plant height in drought-tolerant wheat cultivars. Acta Agron. Sin. 2010, 36, 895–904. [Google Scholar] [CrossRef]
- Debake, P.; Puech, J.; Casals, M.L. Yield build-up in winter wheat under soil water deficit I: lysimeter studies. Agronomie 1996, 16, 3–23. [Google Scholar]
- Dolferus, R.; Ji, X.; Richard, R.A. Abiotic stress and control of grain number in cereals. Plant Sci. 2011, 181, 331–341. [Google Scholar] [CrossRef] [PubMed]
- Tompkins, D.K.; Hultgreen, G.E.; Wrigth, A.T.; Fowler, D.B. Seed rate and row spacing of no-till winter wheat. Agron. J. 1991, 83, 684–689. [Google Scholar] [CrossRef]
- Lee, C.D.; Herbek, J.H. Winter wheat yield response to wide rows varies by year in the southern Ohio River Valley. Crop Manag. 2012, 11, 15–25. [Google Scholar] [CrossRef]
- Shoup, D.E.; Adee, E.A. Evaluation of wheat planted on 15-inch row spacing in Eastern Kansas. Crop Manag. 2014, 13, 1–4. [Google Scholar] [CrossRef]
- Chen, C.; Neill, K. Response of Spring Wheat Yield and Protein to Row Spacing, Plant Density and Nitrogen Application in Central Montana; Fertilizer Fact, Montana State University, Agricultural Experiment Station and Extension Service: Montana, MT, USA, 2006. [Google Scholar]
- Shah, M.A.; Manaf, A.; Hussain, M.; Farooq, S.; Zafar-ul-Hye, M. Sulphur fertilization improves the sesame productivity and economic returns under rainfed conditions. Int. J. Agric. Biol. 201 2013, 15, 1301–1306. [Google Scholar]




| Characteristic | Unit | Value | Status | |
|---|---|---|---|---|
| Physical analysis | ||||
| 2010–2011 | 2011–2012 | |||
| Sand | % | 26.80 | 23.33 | |
| Silt | % | 49.40 | 57.30 | |
| Clay | % | 23.80 | 19.34 | |
| Textural class | Silty clay loam | |||
| Chemical analysis | ||||
| 2010–2011 | 2011–2012 | |||
| pH | 8.60 | 8.90 | Alkaline | |
| Saturation percentage | % | 50.84 | 50.84 | |
| EC | dS m−1 | 2.42 | 3.24 | High |
| Organic matter | % | 0.64 | 0.98 | Very low |
| Total nitrogen | % | 0.14 | 0.06 | Very low |
| Available phosphorus | Ppm | 4.32 | 5.13 | Low |
| Available potassium | Ppm | 210 | 278 | Medium |
| Variable | Irrigation | Row spacing | Irrigation × Row spacing | |||
|---|---|---|---|---|---|---|
| Year-1 | Year-2 | Year-1 | Year-2 | Year-1 | Year-2 | |
| Productive tillers m−2 | 0.002 | 0.001 | 0.000 | 0.002 | 0.010 | 0.030 |
| Spike length (cm) | 0.003 | 0.000 | 0.002 | 0.000 | 0.012 | 0.010 |
| Number of grains spike−1 | 0.001 | 0.002 | 0.003 | 0.001 | 0.042 | 0.020 |
| 1000-grain weight (g) | 0.002 | 0.000 | 0.005 | 0.001 | 0.043 | 0.010 |
| Grain yield kg ha−1 | 0.000 | 0.000 | 0.000 | 0.000 | 0.040 | 0.001 |
| Biological yield kg ha−1 | 0.000 | 0.042 | 0.000 | 0.001 | 0.043 | 0.001 |
| Harvest index (%) | 0.004 | 0.000 | 0.001 | 0.011 | 0.031 | 0.000 |
| WUE (kg m−3) | 0.000 | 0.000 | 0.000 | 0.001 | 0.020 | 0.000 |
| Treatments | Productive tillers m−2 | Spike length (cm) | Number of grains spike−1 | 1000-grain weight (g) | ||||
|---|---|---|---|---|---|---|---|---|
| Year-1 | Year-2 | Year-1 | Year-2 | Year-1 | Year-2 | Year-1 | Year-2 | |
| Irrigation levels (I) | ||||||||
| I1 = SSI throughout whole crop season | 701.8 a | 563.4 a | 17.22 a | 17.25 a | 47.00 a | 45.97 a | 44.59 a | 42.39 a |
| I2 = DSI at vegetative stage | 508.5 c | 431.6 c | 16.05 b | 15.81 b | 43.63 b | 39.67 b | 41.30 b | 35.27 b |
| I3 = DSI at reproductive stage | 607.3 b | 495.4 b | 15.26 c | 14.44 c | 34.64 c | 35.35 c | 36.74 c | 31.85 c |
| LSD at 5% | 33.90 | 36.74 | 0.35 | 0.31 | 0.47 | 1.24 | 0.70 | 1.72 |
| Row spacing (S) | ||||||||
| S1 = 20 cm | 701.7 a | 555.6 a | 16.34 b | 15.79 b | 42.18 b | 39.57 b | 42.10 a | 36.59 b |
| S2 = 25 cm | 594.7 b | 494.2 b | 15.33 c | 15.13 c | 38.25 c | 38.74 b | 37.89 b | 34.00 c |
| S3 = 30 cm | 521.3 c | 440.7 c | 16.85 a | 16.58 a | 44.83 a | 42.67 a | 42.64 a | 38.92 a |
| LSD at 5% | 27.52 | 28.16 | 0.34 | 0.41 | 0.68 | 0.88 | 1.08 | 1.21 |
| Interaction between I × S | ||||||||
| I1S1 | 830.0 a | 740.0 a | 17.56 a | 16.88 b | 47.44 b | 45.31 b | 46.06 a | 42.65 b |
| I1S2 | 664.0 b | 645.3 b | 16.16 c | 16.76 bc | 42.89 c | 44.69 b | 41.77 b | 39.24 c |
| I1S3 | 611.3 c | 605.0 bc | 17.93 a | 18.10 a | 50.66 a | 47.92 a | 45.94 a | 45.29 a |
| I2S1 | 603.3 c | 586.0 cd | 15.99 cd | 16.09 c | 43.83 c | 38.90 d | 42.93 b | 35.60 de |
| I2S2 | 482.7 de | 532.7 e | 15.21 e | 14.98 de | 40.08 d | 38.03 d | 37.65 c | 33.12 fg |
| I2S3 | 439.6 e | 476.0 f | 16.95 b | 16.37 bc | 46.97 b | 42.08 c | 43.32 b | 37.09 d |
| I3S1 | 671.7 b | 540.7 b | 15.47 de | 14.39 e | 35.27 f | 34.51 e | 37.31 c | 31.53 gh |
| I3S2 | 637.3 bc | 504.7 bc | 14.62 f | 13.64 f | 31.79 g | 33.51 e | 34.24 d | 29.65 h |
| I3S3 | 513.0 d | 441.0 de | 15.68 cde | 15.28 d | 36.86 e | 38.02 d | 38.65 c | 34.37 ef |
| LSD at 5% | 47.67 | 48.78 | 0.59 | 0.71 | 1.18 | 1.54 | 1.88 | 2.09 |
| Treatments | Grain yield kg ha−1 | Biological yield kg ha−1 | Harvest index (%) | WUE (kg m−3) | ||||
|---|---|---|---|---|---|---|---|---|
| Year-1 | Year-2 | Year-1 | Year-2 | Year-1 | Year-2 | Year-1 | Year-2 | |
| Irrigation levels (I) | ||||||||
| I1 = SSI throughout whole crop season | 5961 a | 5490 a | 19180 a | 15430 a | 0.30 a | 0.35 a | 1.25 a | 1.30 a |
| I2 = DSI at vegetative stage | 4353 b | 4109 b | 15620 b | 13890 b | 0.27 b | 0.29 b | 1.14 b | 1.25 b |
| I3 = DSI at reproductive stage | 3227 c | 2974 c | 15000 c | 13810 b | 0.21 c | 0.21 c | 0.83 c | 0.82 c |
| LSD at 5% | 216.80 | 121.20 | 521.10 | 1293.00 | 0.018 | 0.030 | 0.041 | 0.041 |
| Row spacing (S) | ||||||||
| S1 = 20 cm | 5402 a | 4619 a | 18030 a | 15190 a | 0.29 a | 0.29 a | 1.28 a | 1.23 a |
| S2 = 25 cm | 4580 b | 4238 b | 16840 b | 14410 b | 0.26 b | 0.29 a | 1.09 b | 1.14 b |
| S3 = 30 cm | 3558 c | 3716 c | 14930 c | 13540 c | 0.23 c | 0.27 b | 0.85 c | 1.00 c |
| LSD at 5% | 208.8 | 81.45 | 408.6 | 613.1 | 0.017 | 0.015 | 0.045 | 0.010 |
| Interaction between I × S | ||||||||
| I1S1 | 6828 a | 6183 a | 20690 a | 19480 a | 0.33 a | 0.31 b | 1.43 a | 1.47 a |
| I1S2 | 6041 b | 5239 b | 19040 b | 18010 b | 0.31 a | 0.29 a | 1.26 b | 1.34 b |
| I1S3 | 5047 d | 4647 c | 17820 c | 16200 bc | 0.28 b | 0.28 bc | 1.05 d | 1.10 e |
| I2S1 | 5455 c | 4431 d | 17250 c | 16420 bc | 0.31 a | 0.26 cd | 1.42 a | 1.34 b |
| I2S2 | 4431 e | 4156 e | 15730 d | 16290 bc | 0.28 b | 0.25 d | 1.16 c | 1.27 c |
| I2S3 | 3172 g | 3739 f | 13870 e | 14370 d | 0.22 cd | 0.26 cd | 0.85 e | 1.15 d |
| I3S1 | 3923 f | 3242 g | 16160 d | 15060 cd | 0.24 c | 0.21 e | 1.00 d | 0.89 f |
| I3S2 | 3268 g | 2917 h | 15760 d | 16330 bc | 0.20 de | 0.17 f | 0.84 e | 0.81 g |
| I3S3 | 2689 h | 2762 i | 13090 f | 15450 bcd | 0.20 e | 0.17 f | 0.74 f | 0.76 h |
| LSD at 5% | 361.6 | 141.1 | 707.6 | 1303 | 0.031 | 0.027 | 0.079 | 0.017 |
| Treatments | Total expenses (US$ ha−1) | Gross income (US$ ha−1) | Net income (US$ ha−1) | BCR | ||||
|---|---|---|---|---|---|---|---|---|
| Year-1 | Year-2 | Year-1 | Year-2 | Year-1 | Year-2 | Year-1 | Year-2 | |
| Irrigation levels (I) | ||||||||
| I1 = SSI throughout whole crop season | 713.2 | 723.1 | 1838.91 | 1693.61 | 1125.68 | 970.51 | 2.58 | 2.34 |
| I2 = DSI at vegetative stage | 693.5 | 703.4 | 1342.86 | 1267.58 | 649.37 | 564.23 | 1.94 | 1.80 |
| I3 = DSI at reproductive stage | 693.5 | 703.4 | 995.50 | 917.45 | 302.01 | 214.09 | 1.44 | 1.30 |
| Row spacing (S) | ||||||||
| S1 = 20 cm | 723.10 | 742.84 | 1693.61 | 1424.91 | 943.36 | 682.07 | 2.30 | 1.92 |
| S2 = 25 cm | 723.10 | 742.84 | 1267.58 | 1307.38 | 689.78 | 564.54 | 1.95 | 1.76 |
| S3 = 30 cm | 723.10 | 742.84 | 917.45 | 1146.35 | 374.51 | 403.50 | 1.52 | 1.54 |
| Interaction between I × S | ||||||||
| I1S1 | 742.84 | 713.23 | 2106.37 | 1907.39 | 1363.52 | 1194.16 | 2.84 | 2.67 |
| I1S2 | 742.84 | 713.23 | 1863.59 | 1616.18 | 1120.74 | 902.95 | 2.51 | 2.27 |
| I1S3 | 742.84 | 713.23 | 1556.95 | 1433.55 | 814.10 | 720.32 | 2.10 | 2.01 |
| I2S1 | 723.10 | 693.48 | 1682.81 | 1366.92 | 959.71 | 673.43 | 2.33 | 1.97 |
| I2S2 | 723.10 | 693.48 | 1366.92 | 1282.08 | 643.82 | 588.60 | 1.89 | 1.85 |
| I2S3 | 723.10 | 693.48 | 978.53 | 1153.44 | 255.43 | 459.96 | 1.35 | 1.66 |
| I3S1 | 723.10 | 693.48 | 1210.20 | 1000.12 | 487.11 | 306.64 | 1.67 | 1.44 |
| I3S2 | 723.10 | 693.48 | 1008.14 | 899.86 | 285.04 | 206.38 | 1.39 | 1.30 |
| I3S3 | 723.10 | 693.48 | 767.83 | 852.05 | 44.73 | 158.56 | 1.06 | 1.23 |
© 2016 by the authors; licensee MDPI, Basel, Switzerland. This article is an open access article distributed under the terms and conditions of the Creative Commons by Attribution (CC-BY) license (http://creativecommons.org/licenses/by/4.0/).
Share and Cite
Hussain, M.; Farooq, S.; Jabran, K.; Ijaz, M.; Sattar, A.; Hassan, W. Wheat Sown with Narrow Spacing Results in Higher Yield and Water Use Efficiency under Deficit Supplemental Irrigation at the Vegetative and Reproductive Stage. Agronomy 2016, 6, 22. https://doi.org/10.3390/agronomy6020022
Hussain M, Farooq S, Jabran K, Ijaz M, Sattar A, Hassan W. Wheat Sown with Narrow Spacing Results in Higher Yield and Water Use Efficiency under Deficit Supplemental Irrigation at the Vegetative and Reproductive Stage. Agronomy. 2016; 6(2):22. https://doi.org/10.3390/agronomy6020022
Chicago/Turabian StyleHussain, Mubshar, Shahid Farooq, Khawar Jabran, Muhammad Ijaz, Abdul Sattar, and Waseem Hassan. 2016. "Wheat Sown with Narrow Spacing Results in Higher Yield and Water Use Efficiency under Deficit Supplemental Irrigation at the Vegetative and Reproductive Stage" Agronomy 6, no. 2: 22. https://doi.org/10.3390/agronomy6020022
APA StyleHussain, M., Farooq, S., Jabran, K., Ijaz, M., Sattar, A., & Hassan, W. (2016). Wheat Sown with Narrow Spacing Results in Higher Yield and Water Use Efficiency under Deficit Supplemental Irrigation at the Vegetative and Reproductive Stage. Agronomy, 6(2), 22. https://doi.org/10.3390/agronomy6020022

