Next Article in Journal
Effects of Field Plot Size on Variation in White Flower Anther Injury by Tarnished Plant Bug for Host Plant Resistance Evaluations in Arkansas Cotton
Previous Article in Journal
Elements of an Integrated Phenotyping System for Monitoring Crop Status at Canopy Level
 
 
Font Type:
Arial Georgia Verdana
Font Size:
Aa Aa Aa
Line Spacing:
Column Width:
Background:
Article

Comparative Evaluation of Common Savannah Grass on a Range of Soils Subjected to Different Stresses II: Root Zone Physical Condition

Department of Food Production, University of the West Indies, St. Augustine, Trinidad
*
Author to whom correspondence should be addressed.
Agronomy 2014, 4(1), 124-143; https://doi.org/10.3390/agronomy4010124
Submission received: 1 November 2013 / Revised: 19 December 2013 / Accepted: 10 February 2014 / Published: 19 February 2014

Abstract

:
The root zone physical condition influences root development and function, which affects turfgrass growth, quality and performance. The temporal variability of root zone properties was investigated in a factorial experiment combining sand layering compaction and moisture stress on the performance of Savannahgrass (SG) (Axonopus compressus), Bermudagrass (BG) (Cynodon dactylon (L.) Pers.) (cv. Tifway 419) and Zoysiagrass (ZG) (Zoysia spp.) grown in four contrasting soils. Four stresses—drought (D), waterlogging (WL), high compaction (HC) and low compaction (LC)—were applied either with or without a surface sand layer. Root zone properties, including root weight (RW), bulk density (BD), surface hardness (SH), redox potential (Eh) and non-capillary pore space (NCPS), were monitored over a four-month growth period. Surface hardness values were greater for the high compaction effort in treatments without sand, but were highest under drought. Sand addition resulted in lower SH for all grass × soil combinations. The soil texture influenced root zone BD for all turfgrasses, with the clay soils recording significantly lower bulk densities (<1.00 g/cm3) than those with coarser fractions. Compaction had a minimal influence on BD, the effect being further modified by grass type. Low BD was associated with high RW. RW was also significantly higher in the sand-amended treatments. Waterlogging reduced Eh for all soils, with higher values recorded in the sand treatments. The redox potential was lowest in River Estate soil and in pots planted with ZG. Across turfgrasses, Princes Town and Talparo soils had significantly lower NCPS for the sand treatment. NCPS was highest for ZG across stress treatments, but values were similar to SG under compaction treatments. Sand layering improved the root zone aeration status, particularly with SG, resulting in a better physical condition.

1. Introduction

In the Caribbean, outside of the major sporting stadia, sport fields, including recreational grounds, are poorly managed and prone to multiple stresses arising from regular use throughout the year, due to a high demand among multiple stakeholders. Persistent traffic often results in a decline in the quality of the playing surface, negatively impacting player performance. Savannahgrass (SG) (Axonopus compressus), Bermudagrass (BG) (Cynodon dactylon (L.) Pers.) (cv. Tifway 419) and Zoysiagrass (ZG) (Zoysia spp.) are the warm season turfgrasses proven to be well adapted to tropical and sub-tropical conditions [1]. Significant strides have been made towards the management of the latter two turfgrasses [2,3,4], with very few studies involving SG.
Turfgrasses are generally known to vary in their tolerance to stress conditions [5,6,7,8]. On sport fields, stresses can originate from biotic, abiotic and/or environmental factors, which can directly affect the growth and quality of turfgrasses. Compaction and water-related stresses are of greatest concern to turfgrass managers in the Caribbean [9]. Lewis et al. [10] indicated that traffic-related compaction influences root zone physical properties, while Vavrek [11] noted that compaction is often considered the hidden effect of traffic, because it affects the underlying soil. Agnew and Carrow [12], investigating compaction under greenhouse conditions, reported increased bulk density (BD) and decreased total pore space and aeration porosity with compaction. They further stated that compaction influenced root distribution, restricting root penetration below 5 cm. Ideally, turfgrasses require a root zone that provides adequate water and nutrients, as well as unrestricted root growth [13]. It was recognized many decades ago that soil compaction was probably the most serious turf problem on recreational sites [14]. O’Neil and Carrow [15] indicated that information concerning the soil compaction tolerance of turfgrass species is limited. Such information has remained sparse, especially for tropical turfgrasses.
Players’ interaction with the playing surface ranges from running, walking and falling on it, and with intense traffic, there is more frequent contact with the playing surface. Brosnan et al. [16] reported that two important properties of any playing surface are its ability to absorb the energy generated upon impact (surface hardness (SH)) and the level of traction it provides to the athlete during play. Modification of the root zone can improve the quality of fields through the addition of organic and inorganic amendments [17]. Murdoch et al. [18] reported that sand is the most popular material used for amending these root zones. Although sand-based root zones allow for the rapid drainage of water from the field during and after rainfall, minimizing waterlogged conditions, very little has been reported about its influence on traffic-related compaction. Agnew and Carrow [12] stated that soil aeration is of prime importance to the growth of recreational turf subjected to compacted conditions. They reported a longer duration of the oxygen diffusion rate readings below the baseline for compacted soil after irrigation. The ability of sand applied as a top layer to modify aeration particularly in clay soils requires investigation.
Sport fields with soil-based root zones are routinely exposed to waterlogged conditions, especially in wet climates and where finer-textured soils dominate. The lack of oxygen is the major cause of poor plant growth in waterlogged conditions [19]. Root growth is slowed, and root tips may be killed, reducing quality, chlorophyll levels, photosynthetic rate and the carbohydrate concentration of turfgrasses [20]. Grass tolerance to water logging or flooding depends on the species and cultivar [21]. Bush et al. [2] reported significantly (p < 0.05) lower root dry weights for ZG, but not for BG and carpetgrass under water logging for 90 days. Jiang and Wang [20] and Wang and Jiang [21] alluded to the limited research available on the responses and tolerance of tropical turfgrasses to waterlogged conditions and their management.
In contrast to waterlogging, responses to drought stress are critical in determining the recuperative potential of the turf, especially under traffic. Drought is known to cause various changes in the physiological and biochemical processes of plants [22], inhibition of photosynthetic processes being one of the major effects [23,24]. Carrow [8] showed that typical shoot growth responses to drought stress included decreased clipping yield (CY) and shoot density (visual quality), but also concluded that responses vary with turfgrass species and are compounded by the edaphic factor. Savannah grass tolerance and recuperative potential after drought stress have not been evaluated. While irrigation can be considered an option in times of drought, the availability of water to irrigate turfgrass areas is becoming a critical concern, due to competing demands on water resources to satisfy other needs [25,26]. Therefore, for rain-fed turfs, the effects of drought could be particularly devastating. Brosnan et al. [16] reported increases in SH in response to a reduction in soil moisture, especially on plots receiving increased levels of soil compaction. Eudoxie et al. [27] showed a significant regression for the influence of moisture content on SH. Increased SH associated with drying in the upper portion of the soil profile has a profound impact on root functionality and plant growth. Where this effect is transient, recovery of root growth has been identified as an important criterion for assessing turfgrass resistance [6].
Many modern sports fields have a surface layer of medium to coarse sand around 10–15 cm thick, which has been reported to be a key feature responsible for improvements in the quality of the playing surface for many sports [28]. However, there is limited information of how this sand layer can influence performance under diverse stresses. Whether SG differs in its performance compared to other popular tropical turfs, when exposed to such stresses, planted in modified root zones remains unanswered. The objective of this study was to investigate differences in the root zone physical condition of three warm-season turfgrasses subjected to preconditioning stresses in different tropical soils reflective of what are found throughout the region.

2. Materials and Methods

The study was established as a pot trial at the Soil Science Greenhouse of the University of the West Indies, St. Augustine Campus, Trinidad and Tobago, in 2010. Four soils of contrasting properties (Table 1) were used in the trial. Particle size distribution was determined by the hydrometer method [29] and organic matter content by the Walkley–Black method described by Nelson and Sommers [30]. Soil pH was measured using a digital pH meter at a soil:water ratio of 1:2.5 [31]. Soils were prepared by air drying, crushing and sieving (0.6-cm mesh). BG (Cynodon dactylon (L.) Pers.) (cv. La Prima), established by seed, and SG (Axonopus compressus) and ZG (Zoysia tenuifolia), established by plugs, were planted to pots (Height: 15 cm, Internal Diamater.: 18 cm) filled either with soil only or amended with a surface sand layer 1:2 v/v. The experiment consisted of the following preconditioning stress treatments: (i) LC, low compaction; (ii) HC, high compaction; (iii) D, drought; and (iv) WL, waterlogging. The experimental design was a fractional factorial consisting of 96 unreplicated treatments (4 soils × 4 stresses × 3 grasses × 2 sand treatments). This design was selected based on the number of factors and the factors levels and the assumption that most of the important and practical effects would be the main effects and simple interactions [32]. Although higher order interaction may not be trivial, their explanation and usefulness was of less importance than screening the effects of the four factors. Pots were arranged in a completely randomized fashion.
Table 1. Selected properties of study soils.
Table 1. Selected properties of study soils.
SeriesUSDA Soil TaxonomyOrganic Matter ClaySandSiltpHDry Bulk Density
Agronomy 04 00124 i001 Mg/m3
TalparoAquentic Chromuderts1.867.050.028.04.21.09 (1.25)
Princes TownAquentic Chromuderts2.768.350.026.76.81.06 (1.21)
River Estate Fluventic Eutropepts1.517.616.965.55.71.16 (1.31)
Piarco Aquoxic Tropudults1.280.051.041.03.81.28 (1.38)
Values in parentheses are for treatments with the sand layer.
Plants were grown for six weeks, allowing canopy establishment and coverage of the entire surface of the pot. Compaction was done using a proctor hammer (4.5 kg) to administer blows to a steel plate cut to fit the internal diameter of the container (0.5 cm-thick). Compaction efforts of 90 kJ/m3 (LC) and 270 kJ/m3 (HC) were administered to simulate light and heavy traffic. These values represent one quarter and one half of the compactive effort of the standard Procter test [33] and simulate vertical stress due to player traffic [34]. Waterlogged conditions were imposed by maintaining a 6.4 mm depth of ponded water in the pots throughout the trial. Drought stress consisted of exposing the grasses to four dry down periods of 1, 2, 3 and 4 weeks in duration. Alternating with successive incremental dry down periods, turfgrasses were allowed to recover for 1, 2 and 3 weeks, during which water was administered to near water holding capacity, every other day, to prevent moisture stress. Exposure to drought occurred on weeks 1, 3 and 4, 7–10 and 13–16 with recovery intervals at Weeks 2, 5 and 6 and 10–12.
All pots were fertigated fortnightly at 45 kg N/ha using a compound fertilizer (13-13-21). Water was applied to the LC and HC treatments to maintain root zone moisture content close to the water holding capacity by irrigation every other day. Soil Eh was measured monthly using an oxygen diffusion rate (ODR) meter (Eijkelkamp Agrisearch Equipment, Giesbeek, Netherlands) for all treatments. Redox measurements were done at least 24 h after an irrigation event. SH was measured monthly using a Clegg Impact Soil Tester (Simon Deakin Instrumentation) following the manufacturer’s instructions. SH measurements were not made on the waterlogged treatments, due to inaccessibility. At the end of the trial, core samples from fabricated galvanized pipe (Ht. 15 cm, Int. Dia. 5.5 cm) were extracted and used to determine non-capillary pore space (NCPS) at 0.033 MPa tension [35] and BD according to Grossman and Reinsch [36]. Root weight (RW) was calculated by dividing the oven dried mass of roots by the core volume [12].

2.1. Statistical Analysis

GenStat Discovery Edition 4 statistical software was used to perform repeated measures analysis of variance (ANOVA) for Eh and SH and General Linear Model (GLM) ANOVA for BD, RW and NCPS to determine significant factors and factor combinations. The variance for the third and fourth order interaction effects were incorporated into the error term and used to test lower order interactions and the main effects for each variable [32], where applicable. Means for significant factors and their interactions were separated by Fisher’s protected Least Significant Difference (LSD) at α = 0.05. Pearson’s correlation analysis was used to determine linear interdependencies between root zone properties.

3. Results and Discussion

Data analysis determined the importance of grass, soil, stress, sand layering and time and their interactions (Table 2) on RW, BD, SH, Eh and NCPS. For all variables, first order interactions and the main effects showed a higher level of significance, with amendment and stress being notable (Table 2). Repeated measure ANOVA showed that measurement date had significant effects only on Eh, indicating that after one month of incubation, compaction no longer influenced root zone variables. Correlation between the last Eh measurement and NCPS was significant (p = 0.01). Low Eh was associated with high NCPS. This relationship, although not strong (R = −0.330) indicates that oxygen concentration was higher in treatments with lower NCPS.
Table 2. Variance ratios for root zone media variables affected by treatments and their interactions.
Table 2. Variance ratios for root zone media variables affected by treatments and their interactions.
Source of VariationRoot WeightBulk DensitySurface HardnessRedox PotentialNon-capillary Pore Space
Soil7.85 **88.17 ***12.73 ***5.67 **23.29 ***
Grass21.68 ***27.97 ***0.033.59 *16.80 ***
Sand4.97 *279.74 ***15.41 **12.24 **16.03 ***
Stress17.64 ***3.76 *49.36 ***61.88 ***11.80 ***
Soil × Grass3.29 *1.710.250.854.95 **
Soil × Sand0.2215.06 ***0.900.074.09 **
Grass × Sand1.884.71 *1.940.370.74
Soil × Stress1.321.182.322.281.63
Grass × Stress5.64 **3.28 *0.752.263.70 *
Sand × Stress1.100.2014.69 ***4.69 **1.08
Soil × Grass × Sand2.482.350.901.842.85 *
Soil × Grass × Stress1.790.731.161.171.90
Soil × Sand × Stress0.880.941.110.600.49
Grass × Sand × Stress0.670.240.172.631..52
Values followed by *, ** and *** represent significance at p < 0.05, 0.01 and 0.001, respectively.

3.1. Root Weight

There was a significant (p = 0.002) interaction between grass and stress on RW (Table 3), indicating significant variation among the grasses in their responses to the applied stresses. The highest RW of 0.512 kg/m3 was obtained for SG for the LC stress. SG also had the highest RW values for the high compaction and drought stresses, which were statistically similar to ZG under waterlogging (WL), although the latter was higher. The data indicates that SG and ZG have a high tolerance to WL, consistent with the greater tolerance of warm-season turfgrasses to prolonged periods of waterlogging, which is associated with their anatomical and morphological adaptations [37]. Low aeration associated with waterlogging may have induced the branching of roots and surface adventitious root formation [38]. ZG had the lowest RW among the grasses, with a value of 0.026 kg/m3 recorded under drought stress. However, BG appeared to be the most vulnerable to preconditioning stresses, recording the lowest RW among the other stresses. All turf grasses were susceptible to drought conditions, resulting in lower RW values. Increased soil strength, due to the dry conditions and other edaphic stresses, are likely to have been responsible for the reduced root biomass production by all three turfgrasses in Bengough et al. [13]. In evaluating commonly used turfgrasses for drought resistance, Carrow [8] ranked Meyer ZG lowest, with very few roots below 10 cm. Tifway BG was ranked highest. Our study showed similar results between BG and SG, which indicates that SG has comparatively good drought tolerance. The superior performance of SG to tropical acid and heavy clay soils makes it a better choice for recreational turfs.
Table 3. Turfgrass RW affected by applied stress.
Table 3. Turfgrass RW affected by applied stress.
Grass typeDrought WaterloggingHigh compactionLow compactionGrass means
Agronomy 04 00124 i002
Bermuda0.036 cd 0.149 cd0.114 cd0.117 cd0.104 c
Savannah0.040 cd0.355 b0.443 ab0.512 a0.338 a
Zoysia0.026 d0.426 ab0.175 c0.161 cd0.197 b
Stress means §0.034 b0.310 a0.244 a0.263 a
Main effect of grass type on RW; Values followed by similar letters are not significantly different at p = 0.05; § Main effect of applied stress on RW.
The main effect of grass type was significant (p < 0.001), with RW values for SG being the highest, followed by ZG and, then, BG, in that order. Morphological differences and physiological adaptations can mostly explain variability across grasses [8]. While there was also a significant (p = 0.05) main effect of stress on RW, only the drought treatment resulted in a significantly lower value compared to other stresses. While overall plant growth, including root development, is expected to be compromised in conditions of low soil moisture [7,8], similar responses were also expected for the compactive stresses. The results indicated that the level of compaction applied was not very influential on RW. For this study, moisture stress was more influential on RW. This result contrasts with Agnew and Carrow [12], but the nature of the compaction and moisture stresses differed. Notably, the compaction treatment was stronger and intermittently applied for Agnew and Carrow [12].
Table 4 shows that RW values among the grasses varied significantly (p = 0.023), depending on the soil. The highest RW was observed for SG grown on Talparo, whilst the lowest was on Princes Town with BG. The RW values for SG were statistically similar for all four soils, ranging from 0.285–0.422 kg/m3, whilst significant variation was observed for the other grasses. This suggests that root development in SG is less sensitive to soil stresses compared to other tropical turfgrasses. The SG used in this experiment is a common cultivar, whilst both the other grasses were hybrids. It may be that SG is less affected by available phosphorus in the root zone compared to the other grasses, which may also explain its superior performance under drought, where reduced phosphorus mobility and availability to plants would have likely been exaggerated [39]. ZG had the second highest RW in the Piarco soil, which was significantly higher than in the other soils. Both ZG and BG recorded extremely low RD values in the two clay soils (Princes Town and Talparo soils), which is largely related to their limited adaptability to heavy soils with adverse physical conditions. Both these clay soils are noted to have vertic properties and high phosphorus fixing capabilities [40], which may have contributed to reducing root growth and development under the applied stresses. The higher root density for Piarco is attributed to its physical condition; being of coarser texture (Table 1), it imparts fewer restrictions on root growth. Juska (1959), as reported by Carrow [12], stated that Meyer ZG may not grow well under low pH. Our data indicates that soil physical conditions may be more influential, as the highest RW was seen in the soil with the lowest pH.
Table 4. Root weight for three turfgrasses planted in four soils.
Table 4. Root weight for three turfgrasses planted in four soils.
SoilBermudaSavannahZoysiaSoil means
Agronomy 04 00124 i003
Piarco0.208 bcd 0.334 ab0.412 a0.318 a
Princes Town0.025 e0.285 ab0.053 e0.121 b
River Estate0.118 cde0.308 ab0.237 bc0.221 ab
Talparo0.065 e0.422 a0.087 de0.191 ab
Main effect of soil type on RW; Values followed by similar letters are not significantly different at p = 0.05.
The main effect of sand layering resulted in a significantly (p = 0.039) higher RW for all turfgrasses (0.245 kg m−3 compared to 0.180 kg m−3 without sand). Sand addition favors increased macroporosity and infiltration, which enhances root growth by reducing impeding stresses [41]. Correlation between RW and NCPS showed a significant (p = 0.05), though weak, relationship between the two indices (R = 0.306), which supports this position.

3.2. Bulk Density

Root zone BD was affected by applied stresses and varied significantly (p = 0.023) among the grasses (Table 5). High compaction applied to BG resulted in the highest BD, which was significantly higher than all other combinations. ZG had the lowest BD values across all stresses, and only two treatments showed BD values higher than 1.3 Mg/m3. The main effects of grass type were also very significant (p = 0.05), with ZG recording the lowest BD value and BG the highest. Christians [5] noted that the leaves of ZG are stiff, due to their high silica content [42], which could buffer the compactive force applied to the surface [43]. Eudoxie et al. [44] also reported that the type of turfgrass cover influenced the effects of compaction on the bulk density of the underlying root zone. Statistically, root zone BD under ZG was similar for all stress treatments, supporting the argument that the root system of this grass may also be responsible for this result. Notably, RW was highest in ZG under WL, which would have contributed to the overall mass of the sample used to measure BD. ZG was shown to be the best at preventing or reducing compactive effects on turf root zones.
Table 5. Root zone BD under three turfgrass and four applied stresses.
Table 5. Root zone BD under three turfgrass and four applied stresses.
Grass typeDrought WaterloggingHigh compactionLow compactionGrass means
Agronomy 04 00124 i004
Bermuda1.27 bc 1.29 b1.43 a1.29 b1.32 a
Savannah1.20 cde1.29 b1.25 bcd1.32 b1.27 b
Zoysia1.16 e1.14 e1.18 de1.20 cde1.17 c
Stress means §1.21 b1.24 ab1.29 a1.27 a
Main effect of grass type on BD; Values followed by similar letters are not significantly different at p = 0.05. § Main effect of applied stress on BD.
The main effect of stress was also significant (p = 0.029) with the compaction treatments recording the highest BD values and the D stress the lowest, but both were statistically similar to the value under WL (Table 5). Across the four stresses. BD did not exceed 1.3 Mg/m3. Houlbrooke et al. [45] showed that ryegrass root growth was not significantly reduced as BD increased from 0.9 to 1.2 Mg/m3. It is noted that the compaction effort was applied only once, and compounded effects can be anticipated for continuous traffic, which would lead to increased BD and decreased turf growth and performance [12,46].
There was a significant (p < 0.001) interaction between soil type and sand layering on root zone BD (Table 6). Sand layering increased BD for all soils, but the effect was more pronounced in the clay soils; Princes Town and Talparo. Sandy soils tend to have higher BD than fine textured soils [39], and additions of sand are therefore likely to have a more pronounced effect on the finer textured soils. The higher BD for Piarco and River Estate soils is linked to their greater proportion of coarse separates (Table 1) and is supported by the means of these coarser textured soils recording significantly (p = 0.05) higher BD than the clays. Ekwue et al. [47] showed that clay content and mineralogy influences soil compaction and, ultimately, bulk density. There is higher moisture retention by the clay particles, due to a greater proportion of micropores, which would create a softer surface, absorbing the energy produced by compaction. Waltz et al. [48] indicated that a BD range of 1.3 to 1.6 Mg/m3 should be the upper limit for achieving good turfgrass growth. BD values in this study ranged from 0.91 to 1.51 Mg/m3, which should therefore allow for adequate root growth and development. This result further supports the previous inference that the HC treatment was not as influential on root zone properties as anticipated.
While having a sand layer above the soil increased the bulk density of root zones under all grasses, this increase was greatest for BG (Figure 1). The lower BD measured for both SG and ZG amended with sand compared with BG is linked to higher RW (Table 3), described previously. Sand addition significantly (p < 0.001) increased BD by 25%, consistent with the initial packing dry bulk densities (Table 1).
Table 6. Sand layering influence on root zone BD across four soils.
Table 6. Sand layering influence on root zone BD across four soils.
SoilSoilSoil + SandSoil means
Agronomy 04 00124 i005
Piarco1.10 d 1.51 a1.31 a
Princes Town0.91 f1.27 c1.09 c
River Estate1.11 d1.41 b1.26 a
Talparo1.01 e1.38 b1.20 b
Sand means §1.03 b1.39 a
Main effect of soil type on BD; Values followed by similar letters are not significantly different at p = 0.05; § Main effect of sand on BD.
Figure 1. Sand layering effect on root zone bulk density for three grasses.
Figure 1. Sand layering effect on root zone bulk density for three grasses.
Agronomy 04 00124 g001

3.3. Surface Hardness

SH was significantly (p < 0.001) higher for treatments without the sand layer under D compared to the other treatment combinations (Table 7). SH among the compaction × sand treatments were statistically similar, which may be attributed to the non-dependence of SH on bulk soil conditions. The correlation index between these variables was weak and non-significant. Eudoxie et al. [27] found a significant dependence of SH on moisture (r2 = 47.4), whilst Baker et al. [49] reported that moisture content was the dominant factor controlling SH. The findings in this experiment further confirm that SH is not related to BD. For the compaction treatments, root zone moisture content was maintained near water holding capacity, indicating that SH can be controlled by proper turf water management, even under traffic. Reduced SH for sand amended treatments is likely related to the loose nature of the sand particles, which may have buffered the underlying soil. Baker et al. [49] also reported greater SH for soil versus sand-amended golf green root zones. Linde [50] reported that greens with a Clegg value of less than 50 gravities were too soft and those with values greater than 140 gravities too hard for sports fields. Therefore, the 164 gravities obtained under D without the sand amendment was an undesirable level of SH.
Table 7. The influence of sand layering and applied stress on surface hardness (SH).
Table 7. The influence of sand layering and applied stress on surface hardness (SH).
SandDroughtHigh compactionLow compactionSand means
Agronomy 04 00124 i006
Soil164 a 91 c82 c112 a
Soil + Sand109 b86 c85 c93 b
Stress means§137 a89 b84 b
Main effect of amendment on SH; Values followed by similar letters are not significantly different at p = 0.05; § Main effect of applied stress on SH.
The data in Figure 2 show that SH for Piarco was significantly (p = 0.05) higher than the other soil types, with values among the other three soils being statistically similar. It is noteworthy that while Piarco showed the highest BD and SH among the soils, it still recorded the highest RW. However, only the SH was above acceptable levels, which may be related to the greater proportion of fine sand in this soil and the associated low water holding capacity.
Figure 2. Main effect of soil type on root zone SH.
Figure 2. Main effect of soil type on root zone SH.
Agronomy 04 00124 g002

3.4. Redox Potential

Eh was significantly (p < 0.001) higher for compaction treatments compared to the other stresses for both sand treatments (Table 8). Inclusion of the surface sand layer significantly lowered the Eh for the compaction treatments. This finding supports the previously mentioned negative correlation between NCPS and Eh. Sand layering reduces capillary movement of water and its loss by evapotranspiration [25], resulting in the greater water contents of the underlying soils. A greater requirement for aeration management might exist for which sand is used to modify turfgrass root zones on clay soils without subsurface drainage. Further, the measurement of Eh was conducted using a probe that did not span the entire length of the pot and might not have included the sand layer, whilst the contribution of all media components was assessed in measuring NCPS. Contrastingly, Eh was similar between sand treatments for both D and WL. Soil drying would encourage aeration, due to the replacement of the pore volume occupied by water with air. Since Eh is proportional to O2 content, which is itself proportional to water content, the later may have nullified the influence of the sand layer under WL.
Table 8. The sand layering influence on root zone Eh across four stress treatments.
Table 8. The sand layering influence on root zone Eh across four stress treatments.
StressNo SandSandStress means
Agronomy 04 00124 i007
Drought312 b 333 b323 b
Waterlogging−12 c−39 c−26 c
High Compaction346 b584 a465 a
Low Compaction353 b522 a437 a
Amendment means §250 b350 a
Main effect of stress on Eh; Values followed by similar letters are not significantly different at p = 0.05; § Main effect of amendment on Eh.
Eh values for all stress treatments, with the exception of WL, remained above 300 mV, indicative of high O2 content. WL resulted in significantly (p < 0.001) lower Eh values in the anaerobic range. Jiang and Wang [20] reported a reduction in Eh with increasing water level below the soil surface. Haung et al. [51] noted that under WL conditions, oxygen deficiency is the major limitation to grass growth and quality. For our study, SG and ZG showed extensive stolon growth in response to WL. Ashraf and Yasmin [52] also reported the low tolerance of BG to WL and related it to its limited ability to uptake and mobilize Fe and Mn to growing shoots. Bush et al. [53] further reported that the opposite was true for SG, which showed increased levels of Fe and Mn during prolonged WL. Comparatively, it can be inferred that BG is less tolerant to WL than SG and ZG.
River Estate recorded the lowest Eh, whilst Piarco the highest among the soils investigated (Figure 3A). Wuddivira et al. [54] showed that River Estate is structurally weak and prone to slaking. Under wetting, this soil quickly loses aggregate stability and collapses, leading to low macroporosity and pore continuity. Inherently low aggregate stability led to the use of larger aggregates during root zone construction. The opposite is true for Piarco, as it is dominated by coarser particles. The heavy clay soils performed intermediary, with the higher clay and organic matter content allowing for greater stability [55]. Eh for BG and SG were significantly higher than ZG (Figure 3B), although all values were in the range of adequate root zone aeration. The lower Eh of ZG may be attributed to lower oxygen concentration and differences in the mechanistic response between turfgrasses. Setter and Belford [19] noted that during WL, root growth is slowed and root tips may be killed. Kramer [56] indicated that increased root porosity under low oxygen conditions has been attributed to mechanisms of adventitious root development, root cell death or ethylene-induced aerenchyma cells. It is plausible that ZG had greater root porosities than BG and SG, noting that RW was significantly higher in the WL treatment. Hence, ZG was less dependent on changes in root zone aeration porosity. Chen et al. [57] reported that root porosity was much higher in flooded plants than in the un-flooded controls after three days of treatment and rose to 43% after 50 days.
Figure 3. The main effects of soil (A) and turfgrass (B) on root zone Eh.
Figure 3. The main effects of soil (A) and turfgrass (B) on root zone Eh.
Agronomy 04 00124 g003
The water related stresses showed similar Eh values through Months 2–4 (Figure 4); however, Eh differed among all stresses over time. The WL treatments had significantly lower Eh at all times, associated with anaerobic conditions from decreasing O2 levels within the root zone. Wang and Jiang [21] noted that excess water in the root environment blocks the transfer of oxygen and other gases between the soil and atmosphere. Average Eh values for WL treatments were slightly >100 mV after one month of incubation. The values decreased below zero at Month 2. Malik et al. [58] reported that in wheat, soil Eh dropped from 600 mV to 40 mV after 28 days of waterlogging. Opposite fluctuations in Eh were observed for the compaction treatments. The variation in Eh for these treatments may be attributed to the changes in root zone moisture content related to periodic wetting, water use, oxygen diffusion and consumption [59].
Figure 4. Applied stresses drought (D), waterlogging (WL) high compaction, (HC) and low compaction (LC) effects on root zone Eh over four months.
Figure 4. Applied stresses drought (D), waterlogging (WL) high compaction, (HC) and low compaction (LC) effects on root zone Eh over four months.
Agronomy 04 00124 g004
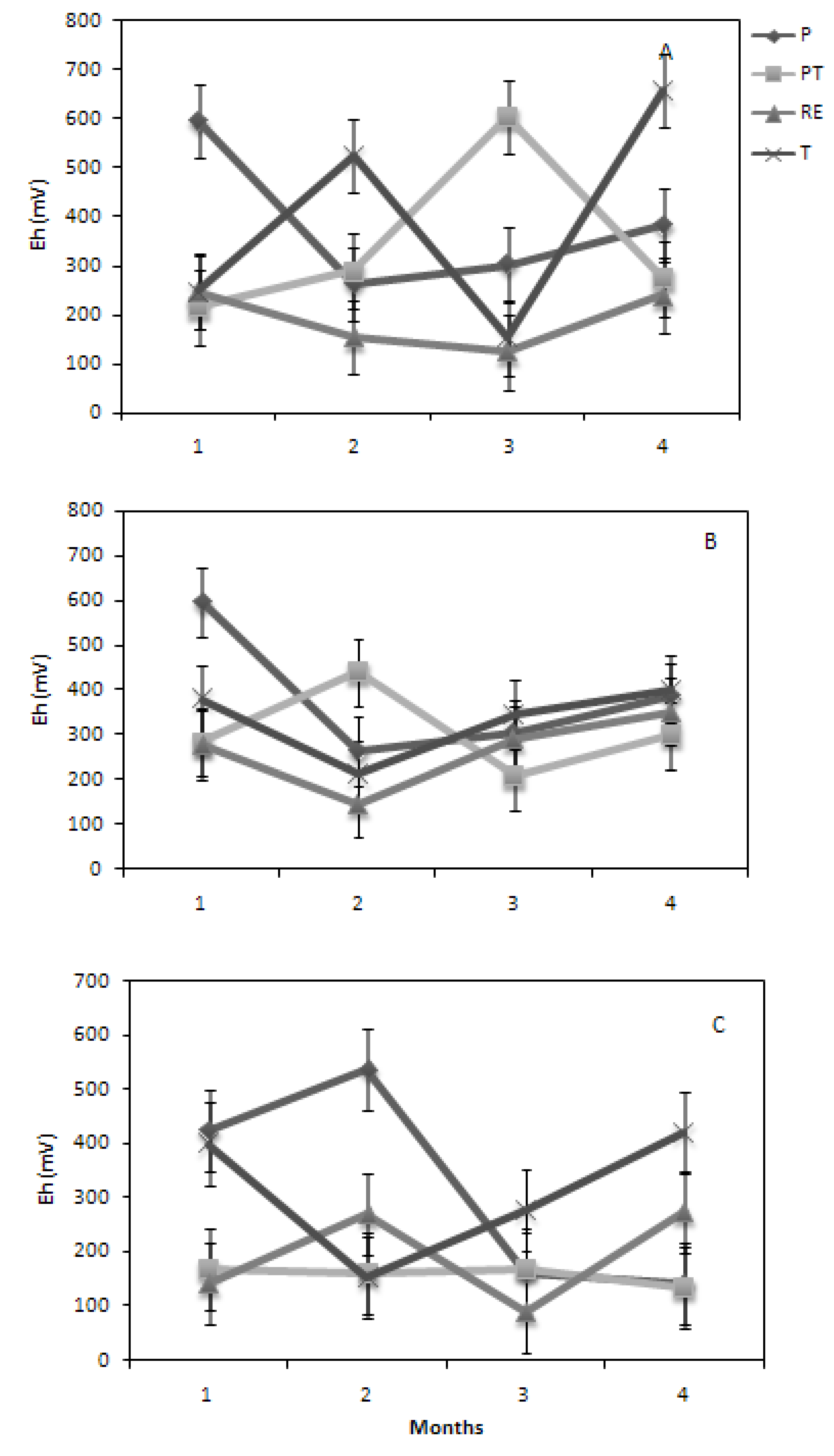
Soil Eh showed a near similar trend for all soils planted with SG over the incubation period, compared to the other grasses (Figure 5). SG had the greatest RW among all soils, which would imply greater macroporosity, as well as water use. Average Eh was greater for SG compared to the other grasses. Wide fluctuations were seen for both BG and ZG across the four soils, reflective of a smaller, less influencing root system. Across all soils, RE showed the lowest Eh values (occurring at different months for the three grasses), which may be attributed to its poor structural stability, especially when physically manipulated. Soil Eh remained consistently lower than 200 mV under ZG over time, especially under compactive treatments. Agnew and Carrow [12] reported reductions in water use for compaction treatments for Kentucky bluegrass and alluded to low oxygen levels inhibiting water uptake. The compactive treatments in the present study was kept near their water holding capacity throughout the study, which may have further added to the low oxygen content of the root zone.
Figure 5. The effects of soils; Piarco (P), Princes Town (PT), River Estate (RE) and Talparo (T) on root zone Eh for (A) Bermuda, (B) Savannah and (C) Zoysia over a four month incubation period.
Figure 5. The effects of soils; Piarco (P), Princes Town (PT), River Estate (RE) and Talparo (T) on root zone Eh for (A) Bermuda, (B) Savannah and (C) Zoysia over a four month incubation period.
Agronomy 04 00124 g005

3.5. Non-Capillary Pore Space

NCPS for ZG under the WL treatment was significantly higher when compared to the other treatments (Table 9). Notably, all treatments showed <10% NCPS, which is below the recommended range (10%–20%) for sports turf and likely influenced by the use of disturbed soil with low structural integrity. Higher NCPS for ZG is probably related to higher root weight and associated aggregation and biopore formation. BG showed the lowest NCPS when subjected to D and HC. An increased compaction effort reduced NCPS for all turfgrasses, although the differences were not statistically significant. This finding was similar to Carrow [60], who performed compaction studies on cool season turfgrasses and reported lower, but non-significantly different, aeration porosities between low and high compaction efforts. In a follow up study, Agnew and Carrow [12] also showed no difference in NCPS between short- and long-term compaction on a silt loam soil.
NCPS was significantly higher for River Estate and Piarco planted to ZG in the no-sand treatments (Table 10). Sand inclusion lowered NCPS for these soils and showed similar values compared to most of the other treatment combinations. Correspondingly, RW was also significantly higher for the combination of River Estate and Piarco and ZG compared to Princes Town and Talparo. Pearson correlation showed a low positive, yet significant, relationship (R = 0.31) between RW and NCPS. Increased RW can result in greater aggregation, especially for the fibrous root system of turfgrasses [61]. This phenomenon is enhanced by the wetting and drying cycles associated with plant growth.
Table 9. Root zone NCPS for three turfgrasses affected by applied stress.
Table 9. Root zone NCPS for three turfgrasses affected by applied stress.
Grass typeDrought WaterloggingHigh CompactionLow CompactionGrass means
Agronomy 04 00124 i008
Bermuda1.944 de 3.013 bc1.788 e2.050 cde2.198 c
Savannah2.039 cde2.988 bc2.888 bcd3.212 b2.782 b
Zoysia3.137 b5.449 a2.579 bc3.150 b3.579 a
Stress means §2.373 c3.816 a2.418 bc2.804 b
Main effect of grass on NCPS; Values followed by similar letters are not significantly different at p = 0.05; § Main effect of stress on NCPS.
Comparing grasses across soils, soil-only treatments showed greater NCPS compared to sand-amended treatments. In this study, the sand amendment was applied as a surface layer, influencing the root distribution and underlying soil properties. Huang et al. [7] indicated that under stress, turfgrass root proliferation occurs mainly in the 0–5 cm of the surface, which in this study, represented the sand layer; this may have resulted in fewer aggregation and biopores and reduced root influence on soil aeration. This inference is supported by the similarly lower Eh of sand-layered treatments. The clay soils resulted in significantly lower NCPS compared to the loam and sandy soil. The lower NCPS is attributed to higher microporosity associated with clay soils [39].
Table 10. Sand layering influence on NCPS across four soils and three turfgrasses.
Table 10. Sand layering influence on NCPS across four soils and three turfgrasses.
SoilBermudaSavannahZoysia
No SandSandNo SandSandNo SandSandSoil means
Agronomy 04 00124 i009
Piarco2.1753.1752.5002.1755.7753.8753.279 b
Princes Town1.2501.4203.3002.4752.2003.1502.299 c
River Estate4.2751.8253.9503.5756.2003.9203.957 a
Talparo2.3001.1682.6251.6532.3751.1351.876 c
Grass means §2.198 c2.782 b3.579 a
LSD0.05 for Soil × Grass × Amendment = 1.421
Main effect of soil on NCPS; Values followed by similar letters are not significantly different at p = 0.05; § Main effect of turfgrass on NCPS.

4. Conclusions

Experimental factors significantly affected turfgrass RW and root zone BD, but the two variables were not significantly (p > 0.05) related. Grasses differed in their responses among the variables, especially across soil types and stresses. Sand layering increased root zone BD and turfgrass RW and also lowered SH, and it has the potential to improve turf performance, even over heavy clay soils. D stress resulted in reduced RW for all three turfgrasses. ZG and BG showed positive and negative responses to WL and compactive stresses, whilst the opposite was true for SG. SH was affected by soil, sand amendment and stress. However, the effects were modified by root zone moisture content. SG was shown to be the most influential on modifying root zone properties and should be considered as a potential alternative to hybrid turfgrasses. Soil Eh was influenced by sand addition, with the no-sand treatments having higher oxygen levels within turfgrass root zones. Soil O2 status was lower in the sand-layered media under D and compactions treatments. WL was shown to significantly reduce soil Eh in all root zone media to the negative range indicative of O2 deprivation. Compared to Piarco and River Estate, Princes Town and Talparo had expectedly lower NCPS. Sand-layered root zone media had lower NCPS, which presents concerns for use.

Acknowledgments

The authors would like to thank the School of Graduate Studies and Research in addition to the Department of Food Production, University of the West Indies, St. Augustine Campus, for monetary contributions towards the purchase of key instruments used during this research.

Conflicts of Interest

The authors declare no conflict of interest.

References

  1. Johns, R. Turfgrass Installation Management and Maintenance; McGraw-Hil: New York, NY, USA, 2004. [Google Scholar]
  2. Bush, E.W.; McCrimmon, J.N.; Owings, A.D. The effect of water stress on growth of several warm-season turf grass species. Hortic. Sci. 2000, 35, 414. [Google Scholar]
  3. Fry, J.D. Submersion tolerance of warm-season turfgrasses. HortScience 1991, 26, 927. [Google Scholar]
  4. Qian, Y.L.; Fry, J.D.; Upham, W.S. Rooting and drought avoidance of warm season turfgrasses and tall fescue in Kansas. Crop Sci. 1997, 37, 905–910. [Google Scholar] [CrossRef]
  5. Christians, N. Fundamentals of Turfgrass Management; John Wiley: Hoboken, NJ, USA, 2004. [Google Scholar]
  6. Huang, B.; Duncan, R.R.; Carrow, R.N. Drought-resistance mechanisms of seven warm-season turfgrasses under surface soil drying: I. Shoot response. Crop Sci. 1997, 37, 1858–1863. [Google Scholar] [CrossRef]
  7. Huang, B.; Duncan, R.R.; Carrow, R.N. Drought-resistance mechanisms of seven warm-season turfgrasses under surface soil drying: I. Root aspects. Crop Sci. 1997, 37, 1863–1869. [Google Scholar] [CrossRef]
  8. Carrow, R.N. Drought resistance aspects of trufgrasses in the southeast: Root-shoot responses. Crop Sci. 1996, 36, 687–694. [Google Scholar]
  9. Raymond, S. Stress and fertility management of tropical turfgrasses under different soil types. MPhil. Thesis, University of the West Indies, St. Augustine, Trinidad, 2012. [Google Scholar]
  10. Lewis, J.D.; Gaussoin, R.E.; Shearman, R.C.; Mamo, M.; Wortmann, C.S. Soil physical properties of aging golf course putting greens. Crop Sci. 2010, 50, 2084–2091. [Google Scholar] [CrossRef]
  11. Vavrek, B. Traffic. How much can you bare? USGA Green Sect. Rec. 2002, 40, 1–6. [Google Scholar]
  12. Agnew, M.L.; Carrow, R.N. Soil compaction and moisture stress preconditioning in Kentucky bluegrass. I. Soil aeration, water use and root responses. Agron. J. 1985, 77, 872–878. [Google Scholar] [CrossRef]
  13. Bengough, A.G.; Bransby, M.F.; Hans, J.; Mckenna, S.J.; Roberts, T.J.; Valentine, T.A. Root responses to soil physical conditions; growth dynamics from field to cell. J. Exp. Bot. 2006, 57, 437–447. [Google Scholar]
  14. Madison, J.H. Principles of Turfgrass Culture; Van Nostrand Reinhold: New York, NY, USA, 1971. [Google Scholar]
  15. O’Neil, K.J.; Carrow, R.N. Kentucky bluegrass growth and water use under different soil compaction and irrigation regimes. Agron J. 1982, 74, 933–936. [Google Scholar] [CrossRef]
  16. Brosnan, J.T.; McNitt, A.S.; Serensits, T.J. Effects of varying surface characteristics on the hardness and traction of baseball field playing surfaces. Int. Turfgrass Res. Soc. J. 2009, 11, 1–13. [Google Scholar]
  17. Bigelow, C.A.; Bowman, D.C.; Cassel, D.K. Physical properties of three sand size classes amended with inorganic materials or sphagnum peat moss for putting green rootzones. Crop Sci. 2004, 44, 900–907. [Google Scholar] [CrossRef]
  18. Murdoch, C.L.; Mitchell, K.; Ragone, D. Physical properties and laboratory performance of mansand-soil mixtures. J. Hawaii Pac. Agric. 1989, 2, 14–18. [Google Scholar]
  19. Setter, T.; Belford, B. Waterlogging: How it reduces plant growth and how plants overcome its effects. West. Aust. J. Agric. 1990, 31, 51–57. [Google Scholar]
  20. Jiang, Y.; Wang, K. Growth, physiological, and anatomical responses of creeping bentgrass cultivars to different depths of waterlogging. Crop Sci. 2006, 46. [Google Scholar] [CrossRef]
  21. Wang, K.; Jiang, Y. Antioxidant responses of creeping bentgrass roots to waterlogging. Crop Sci. 2007, 47, 232–238. [Google Scholar] [CrossRef]
  22. Bray, E.A. Plant responses to water-deficit. Trends Plant Sci. 1997, 2, 48–54. [Google Scholar]
  23. Flexas, J.; Medrano, H. Drought-inhibition of photosynthesis in C3 plants: Stomatal and non-stomatal limitations revised. Ann. Bot. 2002, 89, 183–189. [Google Scholar] [CrossRef]
  24. Lawlor, D.W.; Cornic, G. Photosynthetic carbon assimilation and associated metabolism in relation to water deficits in higher plants. Plant Cell Environ. 2002, 25, 275–294. [Google Scholar] [CrossRef]
  25. White, R.H.; Engelke, M.C.; Anderson, S.J.; Ruemmele, B.A.; Marcum, K.B.; Taylor, G.R., II. Zoysia water relations. Crop Sci. 2001, 41, 133–138. [Google Scholar] [CrossRef]
  26. Richardson, D.M.; Karcher, E.D.; Highnight, K.; Rush, D. Drought tolerance and rooting capacity of Kentucky bluegrass cultivars. Crop Sci. 2008, 48, 2429–2436. [Google Scholar] [CrossRef]
  27. Eudoxie, G.; Gomez, A.; Springer, R. Physical properties of heavy-clay based sports-turf root zone media influenced by inorganic and organic amendments. Trop. Agric. 2010, 86, 83–90. [Google Scholar]
  28. Zhang, J.; Baker, S.W. Sand characteristics and their influence on the physical properties of rootzone mixes used for sport turf. J. Turfgrass Sci. 1999, 75, 66–73. [Google Scholar]
  29. Gee, G.W.; Or, D. Particle-size Analysis. In Methods of Soil Analysis Part (4) Physical Methods; Dane, J.H., Topp, G.C., Eds.; Soil Science Society of America (SSSA): Madison, WI, USA, 2002; pp. 255–294. [Google Scholar]
  30. Nelson, D.W.; Sommers, L.E. Total Carbon, Organic Carbon, and Organic Matter. In Methods of Soil Analysis Part (3) Chemical Methods; Sparks, D.L., Ed.; SSSA: Madison, WI, USA, 1996; pp. 961–1010. [Google Scholar]
  31. Thomas, G.W. Soil pH and Soil Acidity. In Methods of Soil Analysis Part (3) Chemical Methods; Sparks, D.L., Ed.; SSSA: Madison, WI, USA, 1996; pp. 475–490. [Google Scholar]
  32. Quinn, G.P.; Keough, M.J. Experimental Design and Data Analysis for Biologists; Cambridge University Press: Cambridge, UK, 2002. [Google Scholar]
  33. Diaz-Zorita, M.; Grove, J.H.; Perfect, E. Laboratory compaction of soils using a small mold procedure. Soil Sci. Soc. Am. J. 2001, 65, 1593–1598. [Google Scholar] [CrossRef]
  34. Li, D.; Hunt, W.F. Soccer-wear simulation on sport turf mixtures. Trans. CSAE 1997, 13, 164–168. [Google Scholar]
  35. Flint, L.E.; Flint, A.L. Porosity. In Methods of Soil Analysis Part (4) Physical Methods; Dane, J.H., Topp, G.C., Eds.; SSSA: Madison, WI, USA, 2002; pp. 241–254. [Google Scholar]
  36. Grossman, R.B.; Reinsch, T.G. Bulk Density and Linear Extensibility. In Methods of Soil Analysis Part (4) Physical Methods; Dane, J.H., Topp, G.C., Eds.; SSSA: Madison, WI, USA, 2002; pp. 201–225. [Google Scholar]
  37. De Wit, M.C.J. Morphology and Function of Root and Shoot Growth of Crop Plants under Oxygen Deficiency. In Plant Life in Anaerobic Environments; Hook, D.H., Crawford, R.M.M., Eds.; Ann Arbor Science Publishers: Ann Arbor, MI, USA, 1978; pp. 269–297. [Google Scholar]
  38. Insausti, P.; Grimoldi, A.A.; Chaneton, E.J.; Vasellati, V. Flooding induces a suite of adaptive plastic responses in the grass Paspalum dilatatum. New Phytol. 2001, 152, 291–299. [Google Scholar] [CrossRef]
  39. Brady, N.C.; Weil, R.R. The Nature and Properties of Soils, 13th ed.; Prentice Hall: NJ, USA, 2002. [Google Scholar]
  40. Ahmad, N. Soils of the Caribbean; Ian Randle Publishers: Kingston, Jamaica, 2011. [Google Scholar]
  41. Baker, S.W.; Richards, C.W. Rootzone composition and the performance of golf greens. III. Soil physical properties. J. Sports Turf res. Inst. 1993, 69, 38–48. [Google Scholar]
  42. Reinert, J.A.; Engelke, M.C. Resistance in zoysiagrass (Zoysia SPP) to the fall armyworm (Spodoptera frugiperda) (Lepidoptera: Noctuidae). Fla. Entomol. 2010, 93, 254–259. [Google Scholar] [CrossRef]
  43. Samaranayake, H.; Lawson, T.J.; Murphy, J.A. Traffic stress effects on bentgrass putting greens and fairway turf. Crop Sci. 2008, 48, 1193–1202. [Google Scholar] [CrossRef]
  44. Eudoxie, G.; Phillips, D.; Springer, R. Surface hardness as an indicator of soil strength of agricultural soils. Open J. Soil Sci. 2012, 2, 341–346. [Google Scholar] [CrossRef]
  45. Houlbrooke, D.J.; Thom, E.R.; Chapman, R.; McLay, C.D.A. A study of the effects of soil bulk density on root and shoot growth of different ryegrass lines. New Zeal. J. Agr. Res. 1997, 40, 429–435. [Google Scholar] [CrossRef]
  46. Vanini, J.T.; Henderson, J.J.; Sorochan, J.C.; Rogers, J.N., III. Evaluating traffic stress by the Brinkman traffic simulator and Cady traffic simulator on a Kentucky bluegrass stand. Crop Sci. 2007, 47, 782–786. [Google Scholar] [CrossRef]
  47. Ekwue, E.I.; Stone, R.J.; Ramphalie, S. Engineering properties of some wetland soils in Trinidad. Appl. Eng. Agric. 2001, 18, 37–45. [Google Scholar]
  48. Waltz, C.; Burnett, S.; Quisenberry, V.; McCarthy, B. Soil amendments affect compaction, soil strength. Golf Course Manag. 2000, 68, 49–55. [Google Scholar]
  49. Baker, S.W.; Mooney, S.J.; Cook, A. The Effects of sand type and rootzone amendments on golf green performance. 1. Soil properties. J. Turfgrass Sci. 1999, 75, 2–17. [Google Scholar]
  50. Linde, D. Assessing golf course conditions in New Zealand. Golf Course Manag. 2005, February, 110–113. [Google Scholar]
  51. Huang, B.; Liu, X.; Fry, J.D. Effects of high temperature and poor soil aeration on root growth and viability of creeping bentgrass. Crop Sci. 1998, 38, 1618–1622. [Google Scholar] [CrossRef]
  52. Ashraf, M.; Yasmin, H. Differential waterlogging tolerance in three grasses of contrasting habitats: Aeluropus lagopoides (L.) Trin., Cynodon dactylon (L.) Pers. and Leptochloa fusca (L.) Kunth. Environ. Exper. Bot. 1991, 31, 437–445. [Google Scholar] [CrossRef]
  53. Bush, E.W.; Shepard, D.P.; Wilson, P.W.; McCrimmon, J.N. Carpetgrass and centipedegrass tissue iron and manganese accumulation in response to soil waterlogging. J. Plant Nutri. 1999, 22, 435–444. [Google Scholar] [CrossRef]
  54. Wuddivira, M.N.; Ekwue, E.I.; Stone, R.J. Modelling slaking sensitivity to assess degradation potential of humid tropic soils under intense rainfall. Land Degrad. Dev. 2010, 21, 61–73. [Google Scholar]
  55. Wuddivira, M.N.; Stone, R.J.; Ekwue, E. Structural stability of humid tropical soils as influenced by manure incorporation and incubation duration. Soil Sci. Soc. Am. 2009, 73, 1353–1360. [Google Scholar]
  56. Kramer, P.J. Water Relations of Plants; Academic Press: New York, NY, USA, 1983. [Google Scholar]
  57. Chen, H.J.; Qualls, R.G.; Miller, G.C. Adaptive responses of Lepidium latifolium to soil flooding: Boimass allocation, adventitious rooting, aerenchyma formation and ethylene production. Environ. Exper. Bot. 2002, 48, 119–128. [Google Scholar] [CrossRef]
  58. Malik, A.I.; Colmer, T.D.; Lambers, H.; Schortemeyer, M. Changes in physiological and morphological traits of roots and shoots of wheat in response to different depths of waterlogging. Aust. J. Plant Physiol. 2001, 28, 1121–1131. [Google Scholar]
  59. Clay, D.E.; Molina, J.A.E.; Clapp, C.E.; Linden, D.R. Soil tillage impact on the diurnal redox-potential cycle. Soil Sci. Soc. Am. J. 1990, 54, 516–521. [Google Scholar] [CrossRef]
  60. Carrow, R.N. Influence of compaction on three turfgrass species. Agron J. 1980, 72, 1083–1042. [Google Scholar] [CrossRef]
  61. Angers, D.A.; Caron, J. Plant-induced changes in soil structure: Processes and feedbacks. Biogeochemistry 1998, 42, 55–77. [Google Scholar] [CrossRef]

Share and Cite

MDPI and ACS Style

Springer, R.; Eudoxie, G.; Gouveia, G. Comparative Evaluation of Common Savannah Grass on a Range of Soils Subjected to Different Stresses II: Root Zone Physical Condition. Agronomy 2014, 4, 124-143. https://doi.org/10.3390/agronomy4010124

AMA Style

Springer R, Eudoxie G, Gouveia G. Comparative Evaluation of Common Savannah Grass on a Range of Soils Subjected to Different Stresses II: Root Zone Physical Condition. Agronomy. 2014; 4(1):124-143. https://doi.org/10.3390/agronomy4010124

Chicago/Turabian Style

Springer, Raymond, Gaius Eudoxie, and Gregory Gouveia. 2014. "Comparative Evaluation of Common Savannah Grass on a Range of Soils Subjected to Different Stresses II: Root Zone Physical Condition" Agronomy 4, no. 1: 124-143. https://doi.org/10.3390/agronomy4010124

APA Style

Springer, R., Eudoxie, G., & Gouveia, G. (2014). Comparative Evaluation of Common Savannah Grass on a Range of Soils Subjected to Different Stresses II: Root Zone Physical Condition. Agronomy, 4(1), 124-143. https://doi.org/10.3390/agronomy4010124

Article Metrics

Back to TopTop