Sink Strength Governs Yield Ceiling in High-Yield Cotton: Compensation Effects of Source–Sink Damage and Reproductive Stage Regulation
Abstract
1. Introduction
2. Materials and Methods
2.1. Study Site
2.2. Experimental Design and Management
2.3. Sampling and Measurements
2.3.1. Canopy Temperature and Humidity of Cotton
2.3.2. Leaf Area Index (LAI) and Mean Leaf Inclination Angle (MTA)
2.3.3. Photosynthetic Rate (Pn) and Relative Chlorophyll Content (SPAD)
2.3.4. Dry Matter Accumulation, N Content and Yield
2.4. Statistical Analysis
3. Results
3.1. Cotton Yield and Its Components
3.2. Canopy Temperature and Humidity
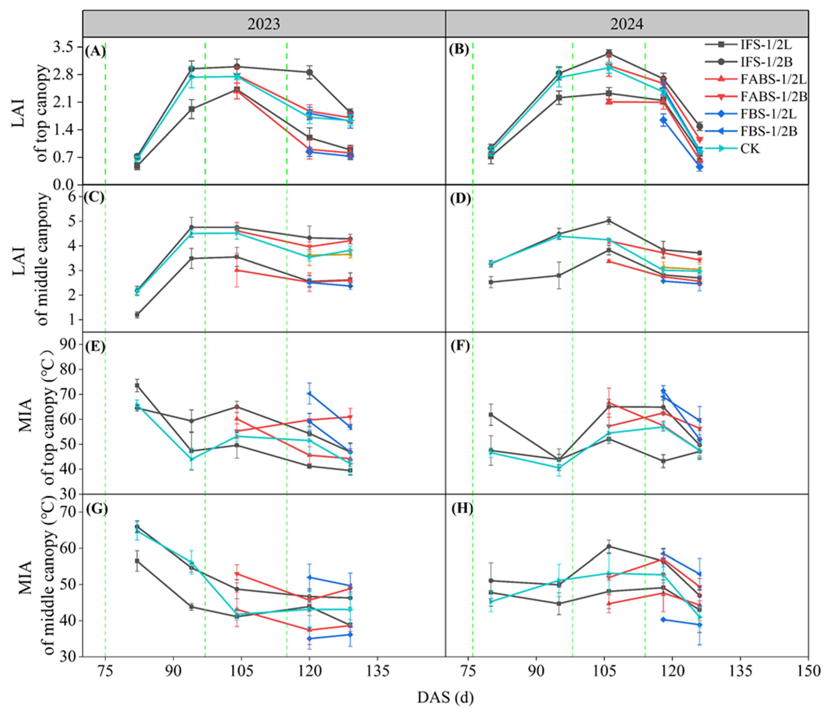
3.3. Leaf Area Indices and Mean Leaf Inclination Angle
3.4. Percentage Change in SPAD and Photosynthesis of Leaf
3.5. Cotton Biomass Accumulation and Allocation
3.6. N Content in Organs of Cotton
3.7. Individual Effect on Sink Dry Weight
3.8. The Relationship Between the Various Factors
4. Discussion
5. Conclusions
Author Contributions
Funding
Informed Consent Statement
Data Availability Statement
Conflicts of Interest
References
- Hu, L.T.; Pan, X.B.; Wang, X.C.; Hu, Q.; Wang, X.R.; Zhang, H.H.; Xue, Q.W.; Song, M.Z. Cotton photosynthetic productivity enhancement through uniform row-spacing with optimal plant density in Xinjiang, China. Crop Sci. 2021, 61, 2745–2758. [Google Scholar] [CrossRef]
- Mason, T.G.; Maskell, E.J. Studies on the Transport of Carbohydrates in the Cotton Plant. Ann. Bot. 1928, os-42, 571–636. [Google Scholar] [CrossRef]
- Xu, G.W.; Zhao, X.H.; Jiang, M.M.; Lu, D.K.; Chen, M.C. Nitrogen forms and irrigation regimes interact to affect rice yield by regulating the source and sink characteristics. Agron. J. 2021, 113, 4022–4036. [Google Scholar] [CrossRef]
- Chang, T.G.; Zhu, X.G. Source–sink interaction: A century old concept under the light of modern molecular systems biology. J. Exp. Bot. 2017, 68, 4417–4431. [Google Scholar] [CrossRef]
- Tan, C.F.; Kwan, S.H.; Lee, C.S.; Soh, Y.N.A.; Ho, Y.S.; Bi, X.Z. Cottonseed meal protein isolate as a new source of alternative proteins: A proteomics perspective. Int. J. Mol. Sci. 2022, 23, 10105. [Google Scholar] [CrossRef] [PubMed]
- Evans, J.R. Photosynthesis and nitrogen relationships in leaves of C3 plants. Oecologia 1989, 78, 9–19. [Google Scholar] [CrossRef]
- Zhong, C.; Jian, S.F.; Huang, J.; Jin, Q.Y.; Cao, X.C. Trade-off of within-leaf nitrogen allocation between photosynthetic nitrogen-use efficiency and water deficit stress acclimation in rice (Oryza sativa L.). Plant Physiol. Biochem. 2019, 135, 41–50. [Google Scholar] [CrossRef] [PubMed]
- Mu, X.H.; Chen, Y.L. The physiological response of photosynthesis to nitrogen deficiency. Plant Physiol. Biochem. 2021, 158, 76–82. [Google Scholar] [CrossRef]
- Cao, X.Z.; Zhu, Q.S.; Yang, J.C.; Gu, Y.F. Cultivation countermeasures of rice varieties with different source-sink types. J. Jiangsu Agric. Coll. 1998, 9, 11–15. [Google Scholar]
- Tu, D.B.; Jiang, Y.; Salah, A.; Cai, M.L.; Peng, W.; Zhang, L.J.; Li, C.F.; Cao, C.G. Response of source-sink characteristics and rice quality to high natural field temperature during reproductive stage in irrigated rice system. Front. Plant Sci. 2022, 13, 911181. [Google Scholar] [CrossRef]
- Abdelrahman, M.; Burritt, D.J.; Gupta, A.; Tsujimoto, H.; Tran, L.S.P. Heat stress effects on source–sink relationships and metabolome dynamics in wheat. J. Exp. Bot. 2020, 71, 543–554. [Google Scholar] [CrossRef] [PubMed]
- Zhang, H.Z.; Luo, H.H.; Zhang, Y.L.; Zhang, W.F. Regulation effects of sink source ratio on yield formation of cotton under different soil moisture contents with under-mulch-drip irrigation. Cotton Sci. 2013, 25, 169–177. (In Chinese) [Google Scholar]
- Ju, F.Y.; Pang, J.L.; Huo, Y.Y.; Zhu, J.J.; Yu, K.; Sun, L.Y.; Loka, D.A.; Hu, W.; Zhou, Z.G.; Wang, S.S.; et al. Potassium application alleviates the negative effects of salt stress on cotton (Gossypium hirsutum L.) yield by improving the ionic homeostasis, photosynthetic capacity and carbohydrate metabolism of the leaf subtending the cotton boll. Field Crop. Res. 2021, 272, 108288. [Google Scholar] [CrossRef]
- Hilty, J.; Muller, B.; Pantin, F.; Leuzinger, S. Plant growth: The what, the how, and the why. New Phytol. 2021, 232, 25–41. [Google Scholar] [CrossRef]
- Wang, Y.; Chen, M.; Liang, F.; Tian, J.; Zhang, Y.; Jiang, C.; Zhang, W. Photosynthates competition within the boll–leaf system is alleviated with the improvement of photosynthetic performance during the succession of Xinjiang cotton cultivars. Ind. Crop. Prod. 2021, 160, 113121. [Google Scholar] [CrossRef]
- Chapepa, B.; Mudada, N.; Mapuranga, R. The impact of plant density and spatial arrangement on light interception on cotton crop and seed cotton yield: An overview. Cotton Res. 2020, 3, 18. [Google Scholar] [CrossRef]
- Chen, Z.K.; Niu, Y.P.; Zhao, R.H.; Han, C.L.; Han, H.Y.; Luo, H.H. The combination of limited irrigation and high plant density optimizes canopy structure and improves the water use efficiency of cotton. Agric. Water Manag. 2019, 218, 139–148. [Google Scholar] [CrossRef]
- Wu, B.J.; Zuo, W.Q.; Yang, P.; Zhang, W.F. Optimal water and nitrogen management increases cotton yield through improving leaf number and canopy light environment. Field Crop. Res. 2023, 290, 108745. [Google Scholar] [CrossRef]
- Guo, S.R.; Lin, T.; Ma, J.; Xu, H.J.; Zeng, Z.P.; Tian, L.W.; Cui, J.P. Topsoil physical and chemical indexes of continuous cropping cotton field in Xinjiang. Chin. Agric. Sci. Bull. 2018, 34, 69–73. (In Chinese) [Google Scholar]
- Ji, C.L.; Yu, J.Z.; Liu, Y.L.; Wu, Y.K. Study on source and sink characteristics of high-yielding cotton varieties. Cotton Sci. 2000, 12, 298–301. (In Chinese) [Google Scholar]
- Liu, Y.T.; Dai, Y.Y.; Liu, Z.Y.; Sun, S.Q.; Wu, S.J.; Du, J.N.; Zhang, X.; Chen, D.H.; Chen, Y. Boll/leaf ratio improves the source–sink relationship and lint yield during the boll setting stage of cotton. Field Crop. Res. 2024, 310, 109342. [Google Scholar] [CrossRef]
- Chen, D.H.; Wu, Y.K.; Dun, H.; Wang, Z.G. Study on the relationship of sink capacity of unit leaf area to yield and regulation effect to source in cotton population. Cotton Sci. 1996, 8, 109–112. (In Chinese) [Google Scholar]
- Sun, H.C.; Li, C.D.; Wang, W.X.; Xie, Z.X.; Zhu, J.J. Study on physiological characteristics of lower boll-leaf system with the changes of source/sink ratios in cotton at the early flowering. Cotton Sci. 2004, 16, 286–290. (In Chinese) [Google Scholar]
- Tian, G.P.; Zhu, Z.H.; Li, Y.N. Effects of clipping, fertilizing, and watering on compensatory growth of Elymus nutans. Chin. J. Ecol. 2010, 29, 869–875. (In Chinese) [Google Scholar]
- Mo, J.H.; McDougall, S.; Beaumont, S.; Munro, S.; Stevens, M.M. Effects of simulated seedling defoliation on growth and yield of cotton in southern New South Wales. Crop Pasture Sci. 2018, 69, 915–925. [Google Scholar] [CrossRef]
- Wilson, L.J.; Sadras, V.O.; Heimoana, S.C.; Gibb, D. How to succeed by doing nothing: Cotton compensation after simulated early season pest damage. Crop Sci. 2003, 43, 2125–2134. [Google Scholar] [CrossRef]
- Dong, B.D.; Zhang, Z.B.; Liu, M.Y.; Xu, P. Research progress on compensation effect of crops under water deficit. Southwest China J. Agric. Sci. 2004, 13, 31–34. (In Chinese) [Google Scholar]
- Kletter, E.; Wallach, D. Effects of fruiting form removal on cotton reproductive development. Field Crop. Res. 1982, 5, 69–84. [Google Scholar] [CrossRef]
- Stewart, S.D.; Layton, M.B.; Williams, M.R.; Ingram, D.; Maily, W. Response of cotton to pre-bloom square loss. J. Econ. Entomol. 2001, 94, 388–396. [Google Scholar] [CrossRef]
- Jones, M.A.; Wells, R.; Guthrie, D.S. Cotton response to seasonal patters of glower removal: I. yield and fiber Quality. Crop Sci. 1996, 36, 633–638. [Google Scholar] [CrossRef]
- Luo, H.H.; Li, J.H.; Zhang, H.Z.; He, Z.J.; Gou, L.; Zhang, W.F. Effects of source and sink manipulation on transportation and allocation of leaf photosynthetic products during flowering and boll-setting stage in high-yield cotton of Xinjiang. Cotton Sci. 2009, 21, 371–377. (In Chinese) [Google Scholar]
- Yan, W.; Li, F.J.; Xu, D.Y.; Du, M.W.; Tian, X.L.; Li, Z.H. Effects of row spacings and nitrogen or mepiquat chloride application on canopy architecture, temperature and relative humity in cotton. Acta Agron. Sin. 2021, 47, 1654–1665. (In Chinese) [Google Scholar]
- Li, T.; Zhang, Y.J.; Dai, J.L.; Dong, H.Z.; Kong, X.Q. High plant density inhibits vegetative branching in cotton by altering hormone contents and photosynthetic production. Field Crop. Res. 2019, 230, 121–131. [Google Scholar] [CrossRef]
- Andres, R.J.; Bowman, D.T.; Jones, D.C.; Kuraparthy, V. Major leaf shapes of cotton: Genetics and agronomic effects in crop production. Cotton Sci. 2016, 20, 330–340. [Google Scholar] [CrossRef]
- Duncan, W.G. Leaf angles, leaf area, and canopy photosynthesis. Crop Sci. 1971, 11, 482–485. [Google Scholar] [CrossRef]
- Lee, E.A.; Tollenaar, M. Physiological basis of successful breeding strategies for maize grain yield. Crop Sci. 2007, 47, S202–S215. [Google Scholar] [CrossRef]
- Ku, L.X.; Zhao, W.M.; Zhang, J.; Wu, L.C.; Wang, C.L.; Wang, P.A.; Zhang, W.Q.; Chen, Y.H. Quantitative trait loci mapping of leaf angle and leaf orientation value in maize (Zea mays L.). Theor. Appl. Genet. 2000, 121, 951–959. [Google Scholar] [CrossRef] [PubMed]
- Li, D.Y.; Jiang, X.Y. Photosynthetic material production of hybrid cotton and its source-sink relationship. Cotton Sci. 1991, 3, 27–34. [Google Scholar] [CrossRef]
- Xie, C.L.; Li, R.L.; Liu, A.Y.; Liu, H.R.; H, Q.L. Effects of cultivation patterns on cotton dry matter production and yield formation. J. Hunan Agric. Univ. (Nat. Sci.) 2018, 44, 240–243. [Google Scholar]
- Chen, X.; Liu, J.Y.; Jiang, X.D. Effect of source-sink change on photosynthate and yield of wheat. J. Anhui Agric. Sci. 2010, 38, 18005–18006. (In Chinese) [Google Scholar]
- Li, J.H.; Wang, Y.Y.; Li, N.N.; Zhao, R.H.; Khan, A.; Wang, J.; Luo, H.H. Cotton leaf photosynthetic characteristics, biomass production, and their correlation analysis under different irrigation and phosphorus application. Photosynthetica 2019, 57, 1066–1075. [Google Scholar] [CrossRef]
- Dong, H.Z.; Niu, Y.H.; Li, W.J.; Zhang, D.M. Effects of cotton rootstock on endogenous cytokinins and abscisic acid in xylem sap and leaves in relation to leaf senescence. J. Exp. Bot. 2008, 59, 1295–1304. [Google Scholar] [CrossRef] [PubMed]
- Dong, H.Z.; Li, W.J.; Tang, W.; Li, Z.H.; Zhang, D.M.; Niu, Y.H. Yield: Quality and leaf senescence of cotton grown at varying planting dates and plant densities in the Yellow River Valley of China. Field Crop. Res. 2006, 98, 106–115. [Google Scholar] [CrossRef]
- Zhang, H.; Jing, W.J.; Zhao, B.H.; Wang, W.L.; Xu, Y.J.; Zhang, W.Y.; Gu, J.F.; Liu, L.J.; Wang, Z.Q.; Yang, J.C. Alternative fertilizer and irrigation practices improve rice yield and resource use efficiency by regulating source-sink relationships. Field Crop. Res. 2021, 265, 108124. [Google Scholar] [CrossRef]
- Sadras, V.O. Compensatory growth in cotton after loss of reproductive organs. Field Crop. Res. 1995, 40, 1–18. [Google Scholar] [CrossRef]
- Niu, R.H.; Dong, H.Z.; Li, W.J.; Li, H.M. Effects of removal of early fruiting branches on yield, fiber quality and premature senescence in BT transgenic cotton. Cotton Sci. 2007, 19, 52–56. (In Chinese) [Google Scholar]
- Yang, Y.Y.; Xu, W.X.; Zhang, J.S. Effects of hail calamity on growth and yield of different breeds (series) of cotton. Xinjiang Agric. Sci. 2004, 41, 402–406. (In Chinese) [Google Scholar]











| Year | Period | Time | Treatment |
|---|---|---|---|
| 2023 | IFS | 6 July | CK |
| 1/2L | |||
| 1/2B | |||
| FABS | 28 July | CK 1/2L 1/2B | |
| FBS | 15 August | CK 1/2L 1/2B | |
| 2024 | IFS | 6 July | CK |
| 1/2L | |||
| 1/2B | |||
| FABS | 28 July | CK | |
| 1/2L | |||
| 1/2B | |||
| FBS | 13 August | CK | |
| 1/2L | |||
| 1/2B |
| Year (Y) | Period (P) | Treatment (T) | Boll Number (Bolls·Plant−1) | Boll Weight (g) | Lint Percentage (%) | Seed Cotton Yield (kg·hm−2) |
|---|---|---|---|---|---|---|
| 2023 | CK | 9.1 ± 1.2 a | 5.7 ± 0.1 bc | 45.7 ± 0.5 a | 5875.5 ± 292.7 a | |
| IFS | 1/2L | 7.7 ± 1.1 ab | 5.7 ± 0.3 bc | 45.5 ± 0.5 a | 5547.0 ± 70.0 a | |
| 1/2B | 6.7 ± 0.8 b | 6.3 ± 0.1 a | 44.8 ± 0.3 a | 4836.0 ± 153.1 b | ||
| FABS | 1/2L | 9.2 ± 0.3 a | 5.4 ± 0.2 c | 46.3 ± 0.5 a | 5618.5 ± 179.5 a | |
| 1/2B | 6.1 ± 0.3 b | 6.1 ± 0.1 ab | 43.9 ± 0.7 a | 4339.0 ± 134.1 b | ||
| FBS | 1/2L | 9.2 ± 1.5a | 5.5 ± 0.3 c | 45.8 ± 0.5 a | 5742.0 ± 409.6 a | |
| 1/2B | 5.7 ± 1.1b | 5.8 ± 0.2 bc | 44.1 ± 0.7 a | 3779.5 ± 353.8 c | ||
| 2024 | CK | 9.8 ± 0.4 a | 5.7 ± 0.1 bc | 44.4 ± 0.6 a | 5947.2 ± 91.7 a | |
| IFS | 1/2L | 8.4 ± 0.3 b | 5.5 ± 0.1 cd | 43.7 ± 0.4 a | 5594.1 ± 466.0 a | |
| 1/2B | 6.6 ± 0.9 c | 6.2 ± 0.1 a | 43.8 ± 0.1 a | 4563.2 ± 144.2 b | ||
| FABS | 1/2L | 8.6 ± 0.9 ab | 5.3 ± 0.1 d | 45.1 ± 0.3 a | 5645.6 ± 124.0 a | |
| 1/2B | 6.2 ± 0.4 c | 5.9 ± 0.1 ab | 42.7 ± 1.0 a | 4087.6 ± 135.4 b | ||
| FBS | 1/2L | 9.5 ± 0.9 ab | 5.5 ± 0.1 cd | 44.8 ± 0.2 a | 5775.4 ± 306.8 a | |
| 1/2B | 4.7 ± 0.1 d | 5.7 ± 0.3 bc | 43.4 ± 1.4 a | 3457.5 ± 185.2 c | ||
| Source of variance | ||||||
| Y | ns | ns | ns | ns | ||
| P | ns | * | ns | ** | ||
| T | ** | ** | ns | ** | ||
| Y × P | ns | ns | ns | ns | ||
| Y × T | ns | ns | ns | ns | ||
| P × T | ns | * | ns | ** | ||
| Y × P × T | ns | ns | ns | ns | ||
Disclaimer/Publisher’s Note: The statements, opinions and data contained in all publications are solely those of the individual author(s) and contributor(s) and not of MDPI and/or the editor(s). MDPI and/or the editor(s) disclaim responsibility for any injury to people or property resulting from any ideas, methods, instructions or products referred to in the content. |
© 2025 by the authors. Licensee MDPI, Basel, Switzerland. This article is an open access article distributed under the terms and conditions of the Creative Commons Attribution (CC BY) license (https://creativecommons.org/licenses/by/4.0/).
Share and Cite
Zhang, Z.; Li, K.; Liao, Q.; Shi, Z.; Yu, K.; Zhu, J.; Jia, X.; Chen, G.; Wan, S.; Lou, S.; et al. Sink Strength Governs Yield Ceiling in High-Yield Cotton: Compensation Effects of Source–Sink Damage and Reproductive Stage Regulation. Agronomy 2025, 15, 2099. https://doi.org/10.3390/agronomy15092099
Zhang Z, Li K, Liao Q, Shi Z, Yu K, Zhu J, Jia X, Chen G, Wan S, Lou S, et al. Sink Strength Governs Yield Ceiling in High-Yield Cotton: Compensation Effects of Source–Sink Damage and Reproductive Stage Regulation. Agronomy. 2025; 15(9):2099. https://doi.org/10.3390/agronomy15092099
Chicago/Turabian StyleZhang, Zhenwang, Kexin Li, Qinghua Liao, Zhijie Shi, Keke Yu, Junqi Zhu, Xiyu Jia, Guodong Chen, Sumei Wan, Shanwei Lou, and et al. 2025. "Sink Strength Governs Yield Ceiling in High-Yield Cotton: Compensation Effects of Source–Sink Damage and Reproductive Stage Regulation" Agronomy 15, no. 9: 2099. https://doi.org/10.3390/agronomy15092099
APA StyleZhang, Z., Li, K., Liao, Q., Shi, Z., Yu, K., Zhu, J., Jia, X., Chen, G., Wan, S., Lou, S., Yang, M., Li, F., Tian, X., Li, Z., & Du, M. (2025). Sink Strength Governs Yield Ceiling in High-Yield Cotton: Compensation Effects of Source–Sink Damage and Reproductive Stage Regulation. Agronomy, 15(9), 2099. https://doi.org/10.3390/agronomy15092099

