Phytolith Characteristics in Leaves and Culm Sheaths of Three Sympodial Bamboo Genera (Bambusoideae) in the Xishuangbanna Tropical Botanical Garden, China
Abstract
1. Introduction
2. Research Area and Methods
2.1. Research Area
2.2. Research Methods
2.2.1. Sampling
2.2.2. Phytolith Extraction
2.2.3. Data Processing
3. Results
3.1. Phytolith Content Analysis
3.2. Phytolith Concentration Analysis
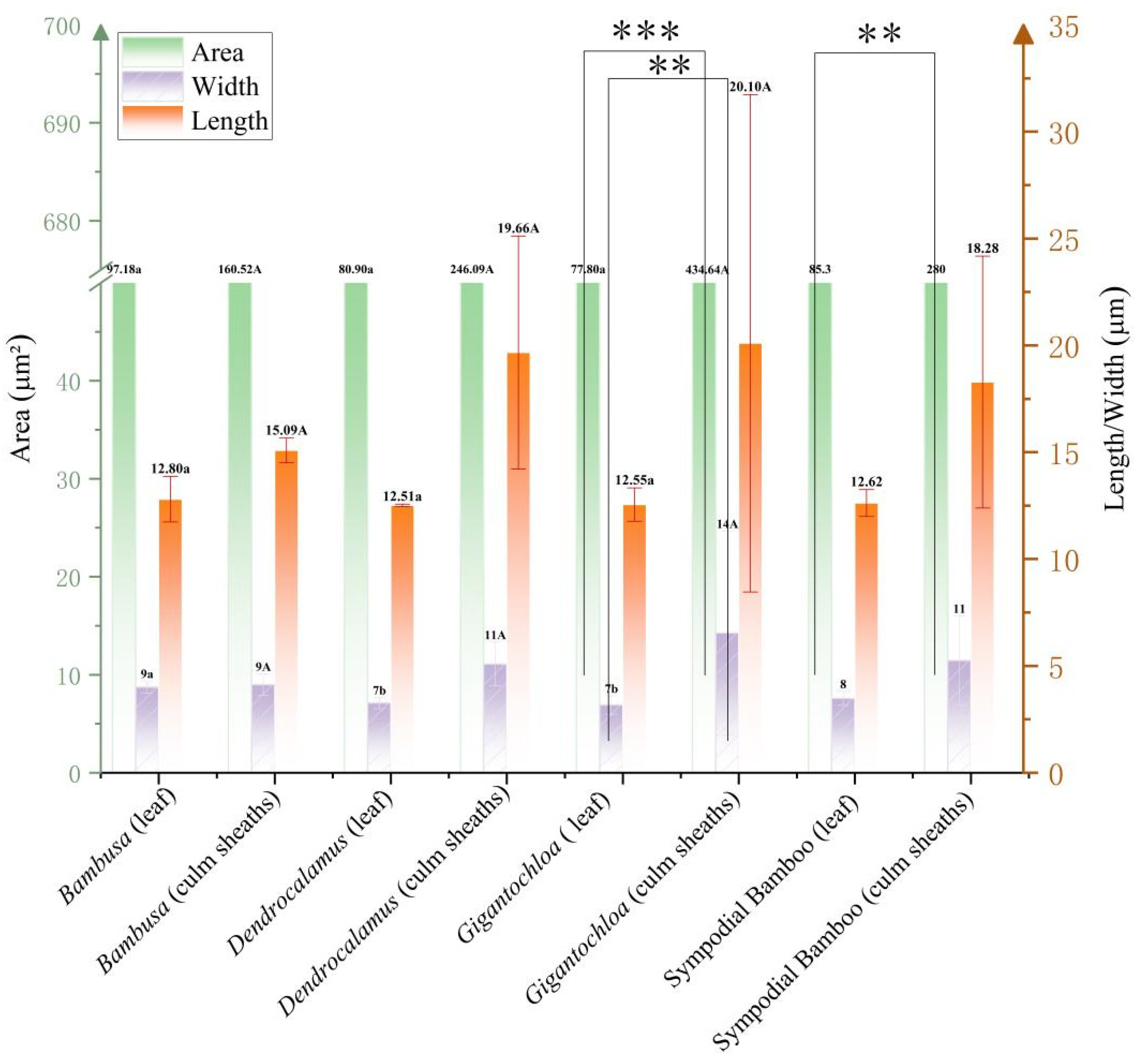
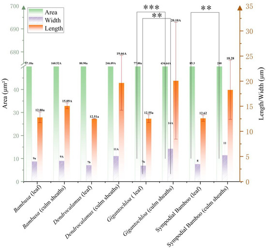
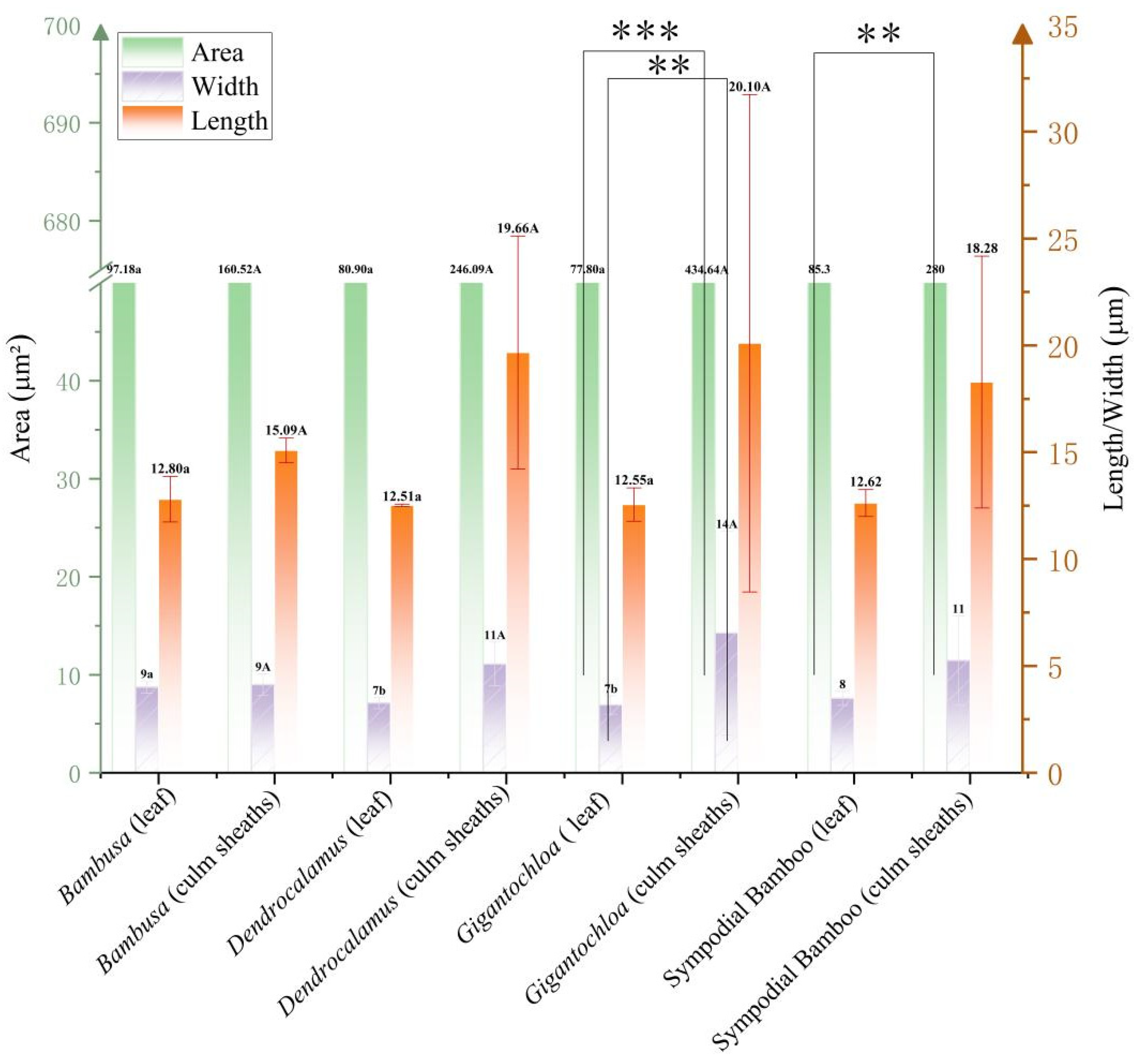
3.3. Comparison of Phytolith Particle Size
3.4. Comparison of Long Saddle-Shaped Phytolith Morphological Parameters
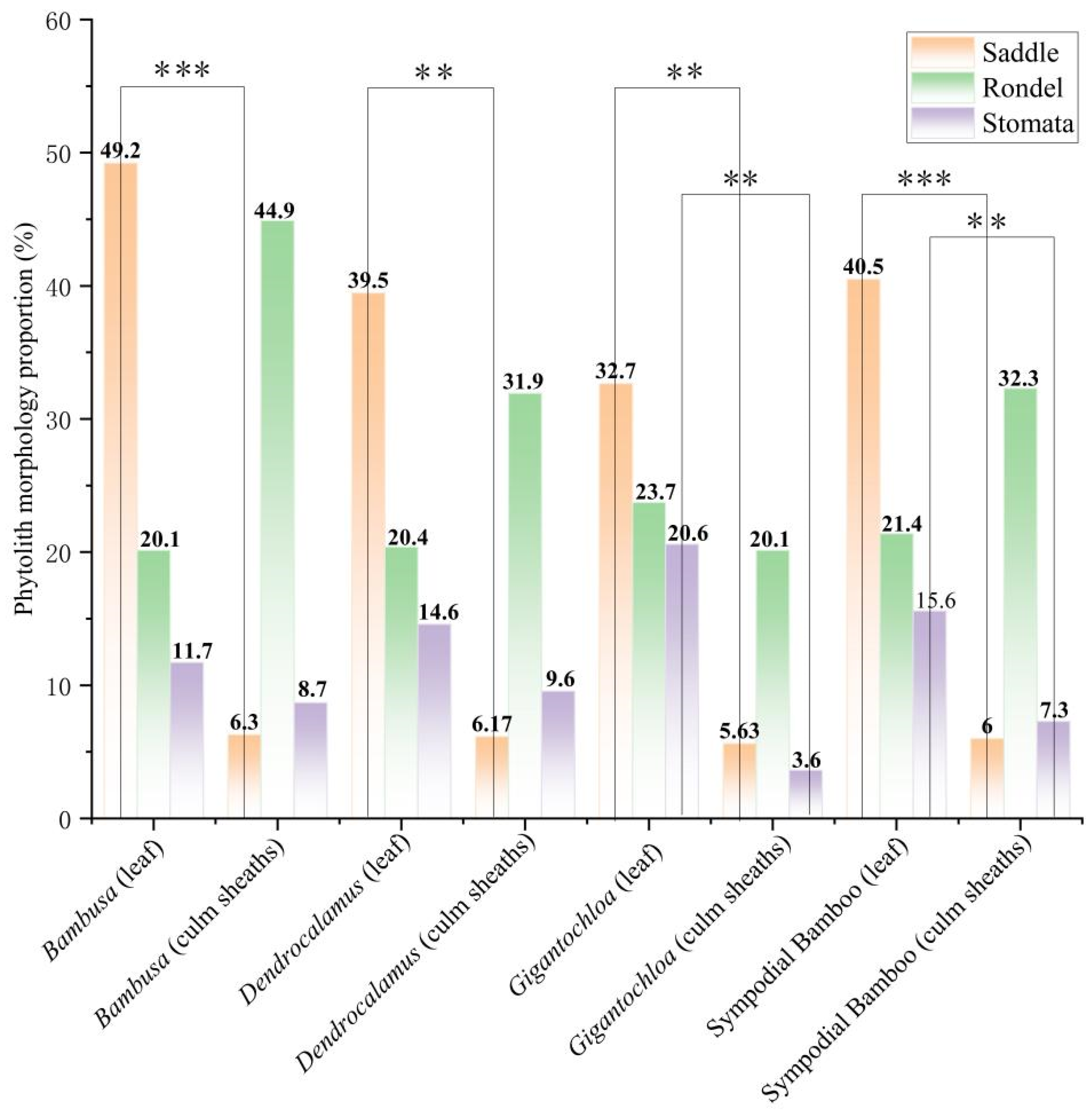
3.5. Phytolith Morphology and Combinations
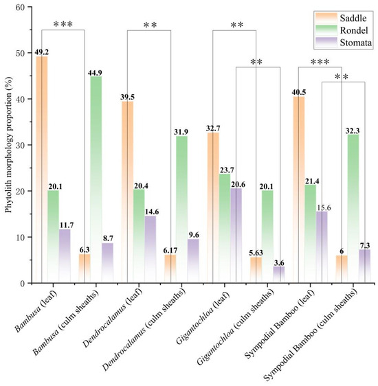
Analysis of the Proportion of Major Phytolith Morphological Classes
4. Discussion
4.1. Variation in Phytolith Content and Concentration Between Leaves and Culm Sheaths of Clumping Bamboos
4.2. Morphological Characteristics and Functional Relationships of Phytoliths in Leaves and Culm Sheaths of Clumping Bamboos
4.3. Ecological Significance and Taxonomic Application of Elongated Saddle Phytoliths in Leaves and Culm Sheaths of Clumping Bamboos
5. Conclusions
Author Contributions
Funding
Data Availability Statement
Acknowledgments
Conflicts of Interest
References
- Huang, Z.; Li, Y.; Chang, S. Phytolith-occluded organic carbon in intensively managed Lei bamboo (Phyllostachys praecox) stands and implications for carbon sequestration. Can. J. For. Res. 2015, 45, 1019–1025. [Google Scholar] [CrossRef]
- Lu, R. Analysis Method of Soil Agricultural Chemistry; China Agricultural Science and Technology Press: Beijing, China, 2000. [Google Scholar]
- Piperno, D.R. Phytolith Analysis: An Archaeological and Geological Perspective; Academic Press: San Diego, CA, USA, 2006. [Google Scholar]
- Liu, H.; Meunier, J.D.; Grauby, O.; Labille, J.; Alexandre, A.; Barboni, D. Dissolution does not affect grass phytolith assemblages. Palaeogeogr. Palaeoclimatol. Palaeoecol. 2023, 610, 111345. [Google Scholar] [CrossRef]
- Piperno, D.R. Phytolith taphonomy and distributions in archeological sediments from Panama. J. Archaeol. Sci. 1985, 12, 247–267. [Google Scholar] [CrossRef]
- Meng, M.; Jie, D.; Gao, G.; Gao, T.; Xu, S.; Lian, Y.; Xu, H.; Li, T.; Wang, J.; Niu, H.; et al. Characteristics of burned phytolith from representative plants in Northeast China and implications for paleo-fire reconstruction. Rev. Palaeobot. Palynol. 2022, 300, 104628. [Google Scholar] [CrossRef]
- An, X.; Xie, B. Phytoliths from woody plants: A review. Diversity 2022, 14, 339. [Google Scholar] [CrossRef]
- Madella, M.; Alexandre, A.; Ball, T. International code for phytolith nomenclature 1.0. Ann. Bot. 2005, 96, 253–260. [Google Scholar] [CrossRef]
- Zhao, Y.; Li, X.; Han, J. Phytoliths in modern plants from Amazonia and the Neotropics: A reference collection for paleoecological and archaeological reconstructions. Exp. App. Under Fossil. Organi. Lessons. Liv. 2014, 41, 207. [Google Scholar]
- Fang, J. Biomineralization of Nanosilicon and the Cytological Role of Silicon in Rice; Gansu Agricultural University: Lanzhou, China, 2003. [Google Scholar]
- Li, W. Studies on the Physiological Function of Silicon and the Deposition Mechanism in Rice; China Agricultural University: Beijing, China, 2004. [Google Scholar]
- Yang, B.Y.; Chen, X.F.; Liu, X.D.; Guo, H.B. Scanning electron microscopy observation of silicon cells on the leaf surface of different rice varieties. Acta Microsc. Sin. 2016, 35, 152–160. [Google Scholar]
- Wang, Y.; Lü, H. Research and Application of Plant Siliceous Bodies; Ocean Press: Beijing, China, 1992. [Google Scholar]
- Xu, R.; He, H.; Guo, H.; Zhu, F.; Wang, S.; Dai, C.; Zheng, X.; Xie, D.; Li, H.; Wang, C.; et al. Characteristics of silicon and phytolith distribution in bamboo (Ferrocalamus strictus): Variations between different organs and ages. Rev. Palaeobot. Palynol. 2023, 311, 104817. [Google Scholar] [CrossRef]
- Yang, J.; Wu, J.; Jiang, P.; Xu, Q.; Zhao, P.; He, S. A study of phytolith-occluded carbon stock in monopodial bamboo in China. Sci. Rep. 2015, 5, 13292. [Google Scholar] [CrossRef]
- Zhang, J.; Guo, W.; Qi, L.H.; Hu, X.; Ding, X.; Cheng, C.J.; Lei, G. A study of phytolith carbon of bamboo plants in China. World For. Res. 2019, 32, 46–50. [Google Scholar] [CrossRef]
- Yin, S. Phytolith Carbon Sequestration of Two Important Clumping Bamboos and Their Relationship with Soil Available Silicon; Zhejiang A&F University: Hangzhou, China, 2017. [Google Scholar]
- Tao, X. Classification Significance of Phytolith Morphology and Microelement Composition in Bamboo Leaves; Guilin University of Technology: Beijing, China, 2021. [Google Scholar] [CrossRef]
- Tao, X.; Wen, M.; Li, R.; Vachula, R.S.; Pang, L.; Li, C.; Jiang, N. Phytolith sizes and assemblages differentiate genera and ecotypes of woody bamboos in subtropical Southwest China. Rev. Palaeobot. Palynol. 2020, 272, 104129. [Google Scholar] [CrossRef]
- Wang, Y.; Lu, H. Phytolith Study and It’s Application; Ocean Press: Beijing, China, 1993. [Google Scholar]
- Cao, J. Investigation on the Distribution Characteristics of Soil Physical and Chemical Properties in Xishuangbanna Tropical Botanical Garden; Graduate University of Chinese Academy of Sciences (Xishuangbanna Tropical Botanical Garden): Beijing, China, 2009. [Google Scholar]
- International Committee for Phytolith Taxonomy (ICPT). International code for phytolith nomenclature (ICPN)2.0. Ann. Bot. 2019, 124, 189–199. [Google Scholar] [CrossRef] [PubMed]
- Madella, M.; Jones, M.K.; Echlin, P. Plant water availability and analytical microscopy of phytoliths: Implications for ancient irrigation in arid zones. Quatern Int. 2009, 193, 32–40. [Google Scholar] [CrossRef]
- He, R.; Qiu, J.; Luo, B.; Deng, Y. Developmental changes and morphology of phytolith in Bambusa emeiensis. J. Northwest A F Univ. 2018, 46, 69–84. [Google Scholar]
- Wang, X.; Xu, R.; Zheng, X.; Wang, C.; Zhou, J.; Duan, S. Phytolith morphological differences of bamboo culm leaf in Phyllostachys edulis and two variants. J. West China For. Sci. 2024, 53, 46–52. [Google Scholar] [CrossRef]
- Liu, L.; Zhou, G.; Song, Z.; Gao, P.; Li, Z. The distribution characteristics of silicon in different ecotypes of bamboo. J. Zhejiang A&F Univ. 2015, 32, 668–674. [Google Scholar]
- Liu, L.-D.; Jie, D.-M.; Liu, H.-Y.; Guo, M.-E.; Li, N.-N. Change Characters of Phragmites australis phytolith in northeast China. Chin. J. Plant Ecol. 2014, 37, 861–871. [Google Scholar] [CrossRef]
- Zhu, F.; Niu, Z.; Li, J.; Yu, L.; Wang, S.; Wang, C.; Zhan, H. Phytolith content and morphological changes in Dendrocalamus giganteus during different phenological stages. J. Southwest For. Univ. (Nat. Sci. Ed.) 2022, 42, 71–77. [Google Scholar]
- Xie, D.; Duan, S.; Chen, Z.; Wang, S.; Wang, C.; Zhan, H. Characteristics of phytolith content and morphological variations in Dendrocalamus brandisii leaves across developmental stages. J. Southwest For. Univ. (Nat. Sci. Ed.) 2025, 45, 198–204. [Google Scholar]
- Li, R.C.; Fan, J.; Gao, C.G. Advances in Modern Phytolith Research. Adv. Earth Sci. 2013, 28, 1287–1295. [Google Scholar]
- Zhan, H. Morphological Characteristics of Phytoliths in 10 Clumping Bamboo Species and the Effects of Exogenous Silicon on Bamboo Seedling Cold Resistance. Ph.D. Thesis, Southwest Forestry University, Kunming, China, 2017. [Google Scholar]
- Jin, D.K.; Lu, Z.; Wang, S.G.; Long, H.; Zhang, C.; Wang, S.H. Comparison of anatomical structure of six bamboo species cotyedon organs. J. Nanjing For. Univ. 2023, 47, 109–120. [Google Scholar]
- Liu, J. The Application of Phytolith Morphology for Taxonomy and Identification of Bamboos (Poaceae: Bambusoideae); Kunming Institute of Botany, Chinese Academy of Sciences: Kunming, China, 2019. [Google Scholar]
- Rapp, G.; Mulholland, S.C. Phytolith Systematics: Emerging Issues; Plenum Press: New York, NY, USA, 1992. [Google Scholar]
- Shimizu, M.; Goro, M. The morphology and distribution of silica bodies in the leaves of Zingiberaceae. Ann. Bot. 2005, 95, 463–472. [Google Scholar]
- Samuels, G.; Gauthier, G. Silicon and its role in plant physiology and anatomy: A review. Ann. Bot. 2012, 90, 1093–1115. [Google Scholar]
- Pearson, J.; Troughton, J. The distribution of silicified cells in the leaves and stems of Eucalyptus species. Austral. J. Bot. 1968, 16, 231–248. [Google Scholar]
- Zhou, H.; Wang, Q.; Wang, L.; Zhao, X.; Feng, G. An introduction to the research and application of phytolith morphometrics. Quat. Res. 2019, 39, 12–23. [Google Scholar] [CrossRef]
- Cooke, J.A.; Leishman, M.R. Silica deposition in plants: A review. Funct. Plant Biol. 2011, 38, 332–352. [Google Scholar]
- Liu, L.; Jie, D.; Liu, H.; Gao, Z.; Gao, G.; Li, N.; Guo, J.; Qiao, Z. An orthogonal experimental study of phytolith size of Phragmites communis in northeast China. Acta Micropalaeontologica Sin. 2016, 33, 45–54. [Google Scholar] [CrossRef]






| Bambusa | Dendrocalamus | Gigantochloa | ||||||||||||||||
|---|---|---|---|---|---|---|---|---|---|---|---|---|---|---|---|---|---|---|
| Morphology | Leaf | Culm Sheaths | Leaf | Culm Sheaths | Leaf | Culm Sheaths | ||||||||||||
| ① B. longispiculata | ① B. longispiculata | ① D. sinicus | ① D. sinicus | ① G. atroviolacea | ① G. atroviolacea | |||||||||||||
| ② B. intermedia | ② B. intermedia | ② D. barbatus | ② D. barbatus | ② G. verticillata | ② G. verticillata | |||||||||||||
| ③ B. dolichoclada | ③ B. dolichoclada | ③ D. bambusoides | ③ D. bambusoides | ③ G. albociliata | ③ G. albociliata | |||||||||||||
| ① | ② | ③ | ① | ② | ③ | ① | ② | ③ | ① | ② | ③ | ① | ② | ③ | ① | ② | ③ | |
| Saddle | 46.5 | 51.7 | 49.5 | 3.9 | 8.0 | 9.6 | 29.0 | 44.7 | 44.7 | 2.5 | 12.1 | 22.1 | 30.7 | 40.0 | 27.3 | 7.0 | 3.9 | 6.0 |
| Ruffle-Top Rondel | 3.9 | 3.4 | 8.7 | 78.1 | 10.0 | 10.7 | 9.0 | 0.0 | 4.7 | 7.6 | 11.7 | 17.3 | 7.7 | 14.6 | 11.0 | 16.0 | 8.3 | 2.0 |
| Two-Spiked Rondel | 19.8 | 17.7 | 6.9 | 4.6 | 4.0 | 8.8 | 5.0 | 14.9 | 10.8 | 8.4 | 19.2 | 13.0 | 12.6 | 5.7 | 9.5 | 6.0 | 6.6 | 4.0 |
| Three-Spiked Rondel | 0.0 | 0.0 | 0.0 | 0.6 | 5.0 | 10.9 | 2.0 | 5.6 | 2.2 | 0.0 | 11.7 | 1.7 | 5.2 | 0.0 | 4.1 | 6.0 | 5.5 | 6.0 |
| Four-Spiked Rondel | 0.0 | 0.0 | 0.0 | 0.0 | 2.0 | 0.0 | 2.0 | 0.0 | 5.0 | 0.0 | 5.2 | 0.0 | 0.0 | 0.0 | 0.8 | 0.0 | 0.0 | 0.0 |
| Irregular Rondel | 0.0 | 0.0 | 0.0 | 0.0 | 2.0 | 6.8 | 0.5 | 0.0 | 1.0 | 5.7 | 3.7 | 0.6 | 2.3 | 0.0 | 0.0 | 1.0 | 12.1 | 3.0 |
| Bilobate | 0.7 | 0.0 | 0.0 | 0.2 | 0.0 | 2.2 | 0.0 | 0.0 | 0.0 | 0.4 | 0.5 | 1.3 | 0.0 | 0.2 | 0.0 | 0.0 | 0.8 | 0.0 |
| Silica Stoma | 7.1 | 12.8 | 15.3 | 0.5 | 24.0 | 1.6 | 13.7 | 18.0 | 12.1 | 4.2 | 20.3 | 4.2 | 17.5 | 17.9 | 26.4 | 6.0 | 4.9 | 0.0 |
| Acute Dumbbell | 1.0 | 0.0 | 0.0 | 0.6 | 0.0 | 9.6 | 1.3 | 1.4 | 0.6 | 1.9 | 0.1 | 2.2 | 1.9 | 0.6 | 0.0 | 0.0 | 2.7 | 0.0 |
| Short Acute | 2.7 | 2.5 | 3.1 | 0.3 | 0.0 | 0.7 | 17.5 | 6.8 | 4.6 | 0.1 | 4.6 | 9.4 | 2.9 | 2.9 | 5.6 | 0.0 | 3.9 | 0.0 |
| Acute Extended | 0.6 | 0.2 | 0.0 | 0.0 | 0.0 | 0.0 | 0.0 | 0.0 | 0.0 | 0.0 | 1.3 | 0.7 | 0.0 | 0.6 | 0.0 | 0.0 | 2.0 | 0.0 |
| Spheroidal Acute | 3.1 | 2.0 | 2.0 | 0.0 | 0.0 | 0.0 | 4.4 | 2.5 | 3.2 | 0.0 | 2.3 | 0.0 | 4.2 | 6.9 | 3.6 | 5.0 | 0.0 | 7.0 |
| Acute Extended Laminar | 1.2 | 0.4 | 0.0 | 0.5 | 1.0 | 3.9 | 1.9 | 0.0 | 0.0 | 0.0 | 0.0 | 0.0 | 0.6 | 0.0 | 0.0 | 0.0 | 0.0 | 0.0 |
| Acute Extended Elbow | 0.0 | 0.0 | 0.7 | 0.0 | 1.0 | 0.0 | 0.0 | 0.0 | 0.0 | 0.8 | 0.0 | 0.0 | 0.0 | 0.0 | 0.0 | 0.0 | 0.0 | 0.0 |
| Acute Extended Baculate | 0.0 | 0.0 | 0.0 | 0.0 | 0.0 | 0.9 | 0.0 | 0.0 | 0.0 | 0.4 | 0.0 | 0.0 | 0.0 | 0.0 | 0.0 | 3.0 | 0.8 | 0.0 |
| Flabellate | 0.5 | 0.5 | 0.0 | 0.0 | 1.0 | 0.8 | 0.0 | 0.0 | 0.8 | 0.0 | 0.4 | 0.3 | 0.8 | 0.0 | 0.8 | 0.0 | 1.3 | 0.0 |
| Brachiate | 0.0 | 0.0 | 0.0 | 0.0 | 3.0 | 0.0 | 0.0 | 0.0 | 0.0 | 0.0 | 1.1 | 1.0 | 0.0 | 0.0 | 0.0 | 0.0 | 0.0 | 18.0 |
| Blocky | 2.2 | 2.8 | 2.2 | 0.0 | 0.0 | 0.4 | 0.0 | 2.0 | 2.2 | 0.0 | 0.3 | 0.2 | 2.1 | 0.4 | 2.7 | 0.0 | 2.0 | 14.0 |
| Tabular | 0.0 | 0.0 | 0.0 | 0.5 | 0.0 | 3.1 | 0.0 | 0.0 | 0.0 | 0.0 | 0.0 | 2.0 | 0.0 | 0.0 | 0.0 | 0.0 | 2.5 | 0.0 |
| Circular | 0.0 | 0.0 | 0.8 | 4.6 | 0.0 | 1.7 | 0.9 | 0.0 | 0.6 | 2.1 | 0.0 | 0.8 | 0.0 | 0.9 | 0.0 | 0.0 | 0.0 | 2.0 |
| Oblong | 1.1 | / | 1.5 | 0.0 | 0.0 | 5.8 | 3.4 | 0.0 | 0.0 | 0.0 | 0.0 | 0.0 | 0.0 | 0.0 | 0.0 | 0.0 | 0.0 | 1.0 |
| Homogeneous | 0.0 | 0.0 | 0.0 | 0.0 | 0.0 | 0.0 | 0.0 | 0.0 | 0.0 | 0.0 | 0.5 | 1.6 | 0.6 | 0.0 | 0.3 | 0.0 | 0.0 | 0.0 |
| Nodulate | 0.0 | 0.0 | 0.6 | 0.0 | 0.0 | 0.0 | 0.0 | 0.0 | 0.0 | 0.0 | 0.0 | 0.3 | 0.0 | 0.0 | 0.0 | 1.0 | 0.0 | 0.0 |
| Elongated Scrobicuate | 1.0 | 0.0 | 0.0 | 0.0 | 2.0 | 0.0 | 0.6 | 0.0 | 1.5 | 32.6 | 0.0 | 0.0 | 0.0 | 0.0 | 0.0 | 0.0 | 0.0 | 3.0 |
| Elongated Maculose | 0.0 | 1.4 | 0.0 | 0.0 | 1.0 | 0.0 | 0.0 | 0.0 | 0.0 | 0.0 | 0.0 | 0.0 | 0.0 | 0.0 | 3.5 | 0.0 | 0.0 | 0.0 |
| Elongated Dendritic | 2.1 | 0.0 | 2.2 | 0.0 | 0.0 | 0.0 | 2.1 | 0.8 | 1.2 | 0.4 | 0.3 | 0.3 | 0.0 | 0.5 | 0.0 | 4.0 | 2.1 | 0.0 |
| Elongated Bulbous | 2.6 | 3.0 | 3.3 | 0.0 | 16.0 | 0.0 | 2.7 | 0.0 | 4.5 | 3.4 | 1.2 | 1.7 | 4.1 | 4.4 | 0.0 | 2.0 | 1.7 | 7.0 |
| Elongated Elbow | 1.2 | 0.0 | 0.0 | 0.0 | 1.0 | 0.2 | 1.1 | 5.0 | 0.9 | 0.8 | 0.5 | 0.5 | 0.0 | 0.6 | 0.0 | 0.0 | 1.5 | 0.0 |
| Elongated Baculate | 0.0 | 0.4 | 0.0 | 0.8 | 1.0 | 0.1 | 0.0 | 0.0 | 0.0 | 0.0 | 0.4 | 0.0 | 1.4 | 0.0 | 2.8 | 0.0 | 2.4 | 2.0 |
| Elongated Hollow | 2.0 | 0.0 | 1.6 | 1.0 | 0.0 | 0.3 | 0.0 | 0.0 | 0.0 | 0.0 | 0.0 | 0.0 | 0.0 | 0.0 | 0.0 | 0.0 | 0.3 | 0.0 |
| Elongated Granulate | 0.0 | 0.0 | 0.6 | 0.0 | 0.0 | 0.0 | 0.0 | 0.0 | 0.0 | 0.0 | 0.8 | 0.0 | 1.4 | 0.0 | 0.0 | 0.0 | 0.0 | 0.0 |
| Elongated Annulate | 0.0 | 0.0 | 0.0 | 0.5 | 0.0 | 1.0 | 0.0 | 0.0 | 0.0 | 0.0 | 0.0 | 0.0 | 0.0 | 0.0 | 1.1 | 0.0 | 0.0 | 0.0 |
| Elongated Helical | 0.0 | 0.0 | 0.0 | 0.0 | 0.0 | 2.1 | 0.3 | 0.0 | 0.0 | 0.0 | 0.0 | 0.0 | 0.0 | 0.0 | 0.0 | 0.0 | 0.0 | 0.0 |
| Scrobiculate | 0.0 | 0.0 | 0.0 | 0.9 | 4.0 | 0.3 | 0.0 | 0.0 | 0.0 | 0.0 | 0.3 | 11.3 | 2.4 | 0.0 | 0.0 | 6.0 | 3.6 | 4.0 |
| Tuberculate | 0.0 | 0.0 | 0.0 | 0.4 | 2.0 | 0.0 | 0.0 | 0.0 | 0.0 | 3.6 | 0.6 | 1.3 | 0.0 | 0.0 | 0.0 | 5.0 | 0.6 | 0.0 |
Disclaimer/Publisher’s Note: The statements, opinions and data contained in all publications are solely those of the individual author(s) and contributor(s) and not of MDPI and/or the editor(s). MDPI and/or the editor(s) disclaim responsibility for any injury to people or property resulting from any ideas, methods, instructions or products referred to in the content. |
© 2025 by the authors. Licensee MDPI, Basel, Switzerland. This article is an open access article distributed under the terms and conditions of the Creative Commons Attribution (CC BY) license (https://creativecommons.org/licenses/by/4.0/).
Share and Cite
Zhao, T.; Duan, M.; Luo, G.; Gao, K.; Fu, T.; Wang, X.; Xu, R.; Wang, C. Phytolith Characteristics in Leaves and Culm Sheaths of Three Sympodial Bamboo Genera (Bambusoideae) in the Xishuangbanna Tropical Botanical Garden, China. Agronomy 2025, 15, 999. https://doi.org/10.3390/agronomy15040999
Zhao T, Duan M, Luo G, Gao K, Fu T, Wang X, Xu R, Wang C. Phytolith Characteristics in Leaves and Culm Sheaths of Three Sympodial Bamboo Genera (Bambusoideae) in the Xishuangbanna Tropical Botanical Garden, China. Agronomy. 2025; 15(4):999. https://doi.org/10.3390/agronomy15040999
Chicago/Turabian StyleZhao, Taiyang, Mengsi Duan, Guomi Luo, Kemei Gao, Tingxuan Fu, Xiao Wang, Rui Xu, and Changming Wang. 2025. "Phytolith Characteristics in Leaves and Culm Sheaths of Three Sympodial Bamboo Genera (Bambusoideae) in the Xishuangbanna Tropical Botanical Garden, China" Agronomy 15, no. 4: 999. https://doi.org/10.3390/agronomy15040999
APA StyleZhao, T., Duan, M., Luo, G., Gao, K., Fu, T., Wang, X., Xu, R., & Wang, C. (2025). Phytolith Characteristics in Leaves and Culm Sheaths of Three Sympodial Bamboo Genera (Bambusoideae) in the Xishuangbanna Tropical Botanical Garden, China. Agronomy, 15(4), 999. https://doi.org/10.3390/agronomy15040999

