Impact of Organic Amendments on Black Wheat Yield, Grain Quality, and Soil Biochemical Properties
Abstract
1. Introduction
2. Materials and Methods
2.1. Experimental Site
2.2. Experimental Design
2.3. Sample Collection
2.4. Parameters and Measurements
2.4.1. Yield and Yield Components
2.4.2. Grain Protein Composition
2.4.3. Soil Physicochemical Properties
2.4.4. Soil Microbial Diversity
2.4.5. Nitrogen Content in Wheat Tissues
2.5. Calculations
2.6. Statistical Analyses
3. Results
3.1. Effects of Organic Amendments on Soil Bacterial Communities
3.1.1. Soil Bacterial Community Alpha Diversity
3.1.2. Soil Bacterial Community Composition
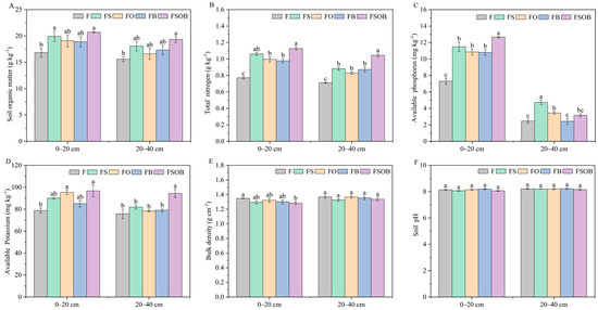
3.2. Effects of Organic Amendments on Soil Physicochemical Properties
3.3. Effects of Organic Amendments on Yield and Yield Components of Black Wheat
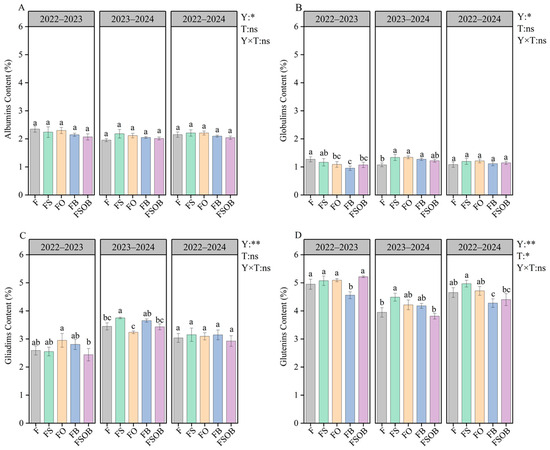
3.4. Effects of Organic Amendments on Grain Protein Content and Composition of Black Wheat
3.5. Effects of Organic Amendments on N Uptake and Utilization in Black Wheat
3.6. Correlation Analysis Between Soil Physicochemical Properties, Grain Yield, Protein Concentration, and Dominant Bacterial Phyla
4. Discussion
4.1. Influences of Organic Amendments on Grain Yield and Quality of Black Wheat
4.2. Influences of Organic Amendments on Soil Properties and Microbial Communities
5. Conclusions
Author Contributions
Funding
Data Availability Statement
Acknowledgments
Conflicts of Interest
References
- Li, W.; Beta, T.; Sun, S.; Corke, H. Protein Characteristics of Chinese Black-Grained Wheat. Food Chem. 2006, 98, 463–472. [Google Scholar] [CrossRef]
- Li, W.; Shan, F.; Sun, S.; Corke, H.; Beta, T. Free Radical Scavenging Properties and Phenolic Content of Chinese Black-Grained Wheat. J. Agric. Food Chem. 2005, 53, 8533–8536. [Google Scholar] [CrossRef]
- Sun, Q.; Zhang, A.; Ma, Z.F.; Zhang, H.; Li, F.; Yang, Y.; Kong, L. Optimal Formulation of a Product Containing Black Wheat Granules. Int. J. Food Prop. 2018, 21, 2062–2074. [Google Scholar] [CrossRef]
- Wang, X.; Zhang, X.; Hou, H.; Ma, X.; Sun, S.; Wang, H.; Kong, L. Metabolomics and Gene Expression Analysis Reveal the Accumulation Patterns of Phenylpropanoids and Flavonoids in Different Colored-Grain Wheats (Triticum aestivum L.). Food Res. Int. 2020, 138, 109711. [Google Scholar] [CrossRef] [PubMed]
- Abdel-Aal, E.-S.M.; Young, J.C.; Rabalski, I. Anthocyanin Composition in Black, Blue, Pink, Purple, and Red Cereal Grains. J. Agric. Food Chem. 2006, 54, 4696–4704. [Google Scholar] [CrossRef] [PubMed]
- Beta, T.; Li, W.; Apea-Bah, F.B. Chapter 6—Flour and Bread From Black, Purple, and Blue-Colored Wheats. In Flour and Breads and Their Fortification in Health and Disease Prevention, 2nd ed.; Preedy, V.R., Watson, R.R., Eds.; Academic Press: Cambridge, MA, USA, 2019; pp. 75–88. ISBN 978-0-12-814639-2. [Google Scholar]
- Garg, M.; Chawla, M.; Chunduri, V.; Kumar, R.; Sharma, S.; Sharma, N.K.; Kaur, N.; Kumar, A.; Mundey, J.K.; Saini, M.K.; et al. Transfer of Grain Colors to Elite Wheat Cultivars and Their Characterization. J. Cereal Sci. 2016, 71, 138–144. [Google Scholar] [CrossRef]
- Chen, L.; Xie, H.; Wang, G.; Yuan, L.; Qian, X.; Wang, W.; Xu, Y.; Zhang, W.; Zhang, H.; Liu, L.; et al. Reducing Environmental Risk by Improving Crop Management Practices at High Crop Yield Levels. Field Crops Res. 2021, 265, 108123. [Google Scholar] [CrossRef]
- Tian, W.; Wang, L.; Li, Y.; Zhuang, K.; Li, G.; Zhang, J.; Xiao, X.; Xi, Y. Responses of Microbial Activity, Abundance, and Community in Wheat Soil after Three Years of Heavy Fertilization with Manure-Based Compost and Inorganic Nitrogen. Agric. Ecosyst. Environ. 2015, 213, 219–227. [Google Scholar] [CrossRef]
- Chen, S.; Xia, X.; Ding, Y.; Feng, X.; Lin, Q.; Li, T.; Bian, R.; Li, L.; Cheng, K.; Zheng, J.; et al. Changes in Aggregate-Associated Carbon Pools and Chemical Composition of Topsoil Organic Matter Following Crop Residue Amendment in Forms of Straw, Manure and Biochar in a Paddy Soil. Geoderma 2024, 448, 116967. [Google Scholar] [CrossRef]
- Chen, L.; Zhou, S.; Zhang, Q.; Zou, M.; Yin, Q.; Qiu, Y.; Qin, W. Effect of Organic Material Addition on Active Soil Organic Carbon and Microbial Diversity: A Meta-Analysis. Soil Tillage Res. 2024, 241, 106128. [Google Scholar] [CrossRef]
- Xu, C.; Wang, J.; Wu, D.; Li, C.; Wang, L.; Ji, C.; Zhang, Y.; Ai, Y. Optimizing Organic Amendment Applications to Enhance Carbon Sequestration and Economic Benefits in an Infertile Sandy Soil. J. Environ. Manag. 2022, 303, 114129. [Google Scholar] [CrossRef] [PubMed]
- Han, X.; Xu, C.; Dungait, J.A.J.; Bol, R.; Wang, X.; Wu, W.; Meng, F. Straw Incorporation Increases Crop Yield and Soil Organic Carbon Sequestration but Varies under Different Natural Conditions and Farming Practices in China: A System Analysis. Biogeosciences 2018, 15, 1933–1946. [Google Scholar] [CrossRef]
- Islam, M.U.; Guo, Z.; Jiang, F.; Peng, X. Does Straw Return Increase Crop Yield in the Wheat-Maize Cropping System in China? A Meta-Analysis. Field Crops Res. 2022, 279, 108447. [Google Scholar] [CrossRef]
- Al-Kaisi, M.M.; Kwaw-Mensah, D.; Ci, E. Effect of Nitrogen Fertilizer Application on Corn Residue Decomposition in Iowa. Agron. J. 2017, 109, 2415–2427. [Google Scholar] [CrossRef]
- Wu, G.; Ling, J.; Zhao, D.-Q.; Liu, Z.-X.; Xu, Y.-P.; Kuzyakov, Y.; Marsden, K.; Wen, Y.; Zhou, S.-L. Straw Return Counteracts the Negative Effects of Warming on Microbial Community and Soil Multifunctionality. Agric. Ecosyst. Environ. 2023, 352, 108508. [Google Scholar] [CrossRef]
- Liu, P.; Lin, Y.; Li, Z.; Yang, Q.; Liu, X.; Wang, L.; Cheng, M.; Ren, X.; Chen, X. Optimization of Fertilization Scheme Based on Sustainable Wheat Productivity and Minor Nitrate Residue in Organic Dry Farming: An Empirical Study. Sci. Total Environ. 2024, 912, 169238. [Google Scholar] [CrossRef]
- Yang, H.S. Resource Management, Soil Fertility and Sustainable Crop Production: Experiences of China. Agric. Ecosyst. Environ. 2006, 116, 27–33. [Google Scholar] [CrossRef]
- Lv, F.; Song, J.; Giltrap, D.; Feng, Y.; Yang, X.; Zhang, S. Crop Yield and N2O Emission Affected by Long-Term Organic Manure Substitution Fertilizer under Winter Wheat-Summer Maize Cropping System. Sci. Total Environ. 2020, 732, 139321. [Google Scholar] [CrossRef]
- Ahmed, M.; Rauf, M.; Mukhtar, Z.; Saeed, N.A. Excessive Use of Nitrogenous Fertilizers: An Unawareness Causing Serious Threats to Environment and Human Health. Environ. Sci. Pollut. Res. 2017, 24, 26983–26987. [Google Scholar] [CrossRef]
- Tang, Q.; Cotton, A.; Wei, Z.; Xia, Y.; Daniell, T.; Yan, X. How Does Partial Substitution of Chemical Fertiliser with Organic Forms Increase Sustainability of Agricultural Production? Sci. Total Environ. 2022, 803, 149933. [Google Scholar] [CrossRef]
- Du, Y.; Cui, B.; Zhang, Q.; Wang, Z.; Sun, J.; Niu, W. Effects of Manure Fertilizer on Crop Yield and Soil Properties in China: A Meta-Analysis. Catena 2020, 193, 104617. [Google Scholar] [CrossRef]
- Wang, S.; Wang, X.; Nie, J.; Zang, H.; Zhao, J.; Wang, P.; Min, K.; Yang, Y.; Brown, R.W.; Zeng, Z. Carbon Emissions in Winter Wheat—Summer Maize Double Cropping System under Manure Application and Limited Irrigation. Eur. J. Agron. 2024, 155, 127111. [Google Scholar] [CrossRef]
- Li, J.; Wu, X.; Gebremikael, M.T.; Wu, H.; Cai, D.; Wang, B.; Li, B.; Zhang, J.; Li, Y.; Xi, J. Response of Soil Organic Carbon Fractions, Microbial Community Composition and Carbon Mineralization to High-Input Fertilizer Practices under an Intensive Agricultural System. PLoS ONE 2018, 13, e0195144. [Google Scholar] [CrossRef] [PubMed]
- Macdonald, L.M.; Farrell, M.; Zwieten, L.V.; Krull, E.S. Plant Growth Responses to Biochar Addition: An Australian Soils Perspective. Biol. Fertil. Soils 2014, 50, 1035–1045. [Google Scholar] [CrossRef]
- Subedi, R.; Bertora, C.; Zavattaro, L.; Grignani, C. Crop Response to Soils Amended with Biochar: Expected Benefits and Unintended Risks. Ital. J. Agron. 2017, 12, 161–173. [Google Scholar] [CrossRef]
- Han, L.; Sun, K.; Yang, Y.; Xia, X.; Li, F.; Yang, Z.; Xing, B. Biochar’s Stability and Effect on the Content, Composition and Turnover of Soil Organic Carbon. Geoderma 2020, 364, 114184. [Google Scholar] [CrossRef]
- Rafael, R.B.A.; Fernández-marcos, M.L.; Cocco, S.; Ruello, M.L.; Fornasier, F.; Corti, G. Benefits of Biochars and NPK Fertilizers for Soil Quality and Growth of Cowpea (Vigna unguiculata L. Walp.) in an Acid Arenosol. Pedosphere 2019, 29, 311–333. [Google Scholar] [CrossRef]
- Blackwell, P.; Joseph, S.; Munroe, P.; Anawar, H.M.; Storer, P.; Gilkes, R.J.; Solaiman, Z.M. Influences of Biochar and Biochar-Mineral Complex on Mycorrhizal Colonisation and Nutrition of Wheat and Sorghum. Pedosphere 2015, 25, 686–695. [Google Scholar] [CrossRef]
- Li, S.; Wang, S.; Shangguan, Z. Combined Biochar and Nitrogen Fertilization at Appropriate Rates Could Balance the Leaching and Availability of Soil Inorganic Nitrogen. Agric. Ecosyst. Environ. 2019, 276, 21–30. [Google Scholar] [CrossRef]
- Bamminger, C.; Zaiser, N.; Zinsser, P.; Lamers, M.; Kammann, C.; Marhan, S. Effects of Biochar, Earthworms, and Litter Addition on Soil Microbial Activity and Abundance in a Temperate Agricultural Soil. Biol. Fertil. Soils 2014, 50, 1189–1200. [Google Scholar] [CrossRef]
- Chen, J.; Liu, X.; Li, L.; Zheng, J.; Qu, J.; Zheng, J.; Zhang, X.; Pan, G. Consistent Increase in Abundance and Diversity but Variable Change in Community Composition of Bacteria in Topsoil of Rice Paddy under Short Term Biochar Treatment across Three Sites from South China. Appl. Soil Ecol. 2015, 91, 68–79. [Google Scholar] [CrossRef]
- Kavitha, B.; Reddy, P.V.L.; Kim, B.; Lee, S.S.; Pandey, S.K.; Kim, K.-H. Benefits and Limitations of Biochar Amendment in Agricultural Soils: A Review. J. Environ. Manag. 2018, 227, 146–154. [Google Scholar] [CrossRef]
- Ouyang, L.; Tang, Q.; Yu, L.; Zhang, R. Effects of Amendment of Different Biochars on Soil Enzyme Activities Related to Carbon Mineralisation. Soil Res. 2014, 52, 706. [Google Scholar] [CrossRef]
- Jin, P.; Chen, Z.; Wang, H.; Lv, R.; Hu, T.; Zhou, R.; Zhang, J.; Lin, X.; Liu, Q.; Xie, Z. 12-Year Continuous Biochar Application: Mitigating Reactive Nitrogen Loss in Paddy Fields but without Rice Yield Enhancement. Agric. Ecosyst. Environ. 2024, 375, 109223. [Google Scholar] [CrossRef]
- Bai, S.H.; Omidvar, N.; Gallart, M.; Kämper, W.; Tahmasbian, I.; Farrar, M.B.; Singh, K.; Zhou, G.; Muqadass, B.; Xu, C.-Y.; et al. Combined Effects of Biochar and Fertilizer Applications on Yield: A Review and Meta-Analysis. Sci. Total Environ. 2022, 808, 152073. [Google Scholar] [CrossRef] [PubMed]
- Hu, W.; Zhang, Y.; Rong, X.; Zhou, X.; Fei, J.; Peng, J.; Luo, G. Biochar and Organic Fertilizer Applications Enhance Soil Functional Microbial Abundance and Agroecosystem Multifunctionality. Biochar 2024, 6, 3. [Google Scholar] [CrossRef]
- Bai, J.; Song, J.; Chen, D.; Zhang, Z.; Yu, Q.; Ren, G.; Han, X.; Wang, X.; Ren, C.; Yang, G.; et al. Biochar Combined with N Fertilization and Straw Return in Wheat-Maize Agroecosystem: Key Practices to Enhance Crop Yields and Minimize Carbon and Nitrogen Footprints. Agric. Ecosyst. Environ. 2023, 347, 108366. [Google Scholar] [CrossRef]
- Khan, I.; Chen, T.; Farooq, M.; Luan, C.; Wu, Q.; Wanning, D.; Xu, S.; Li-Xue, W. The residual impact of straw mulch and biochar amendments on soil physiochemical properties and yield of maize under rainfed system. Agron. J. 2021, 113, 1102–1120. [Google Scholar] [CrossRef]
- Lashari, M.S.; Ye, Y.; Ji, H.; Li, L.; Kibue, G.W.; Lu, H.; Zheng, J.; Pan, G. Biochar–manure compost in conjunction with pyroligneous solution alleviated salt stress and improved leaf bioactivity of maize in a saline soil from central China: A 2-year field experiment. J. Sci. Food Agric. 2015, 95, 1321–1327. [Google Scholar] [CrossRef]
- Khan, I.; Iqbal, B.; Khan, A.A.; Inamullah; Rehman, A.; Fayyaz, A.; Shakoor, A.; Farooq, T.H.; Wang, L.-X. The Interactive Impact of Straw Mulch and Biochar Application Positively Enhanced the Growth Indexes of Maize (Zea mays L.) Crop. Agronomy 2022, 12, 2584. [Google Scholar] [CrossRef]
- Zhao, K.; Zhao, X.; He, L.; Wang, N.; Bai, M.; Zhang, X.; Chen, G.; Chen, A.; Luo, L.; Zhang, J. Comprehensive Assessment of Straw Returning with Organic Fertilizer on Paddy Ecosystems: A Study Based on Greenhouse Gas Emissions, C/N Sequestration, and Risk Health. Environ. Res. 2025, 266, 120519. [Google Scholar] [CrossRef]
- Liu, Z.-H.; Cheng, F.-M.; Cheng, W.-D.; Zhang, G.-P. Positional Variations in Phytic Acid and Protein Content within a Panicle of Japonica Rice. J. Cereal Sci. 2005, 41, 297–303. [Google Scholar] [CrossRef]
- Zhang, X.; Shi, Z.; Jiang, D.; Högy, P.; Fangmeier, A. Independent and Combined Effects of Elevated CO2 and Post-Anthesis Heat Stress on Protein Quantity and Quality in Spring Wheat Grains. Food Chem. 2019, 277, 524–530. [Google Scholar] [CrossRef] [PubMed]
- Mebius, L.J. A Rapid Method for the Determination of Organic Carbon in Soil. Anal. Chim. Acta 1960, 22, 120–124. [Google Scholar] [CrossRef]
- Song, H.; Wang, J.; Zhang, K.; Zhang, M.; Hui, R.; Sui, T.; Yang, L.; Du, W.; Dong, Z. A 4-Year Field Measurement of N2O Emissions from a Maize-Wheat Rotation System as Influenced by Partial Organic Substitution for Synthetic Fertilizer. J. Environ. Manag. 2020, 263, 110384. [Google Scholar] [CrossRef]
- Mori, H.; Maruyama, F.; Kato, H.; Toyoda, A.; Dozono, A.; Ohtsubo, Y.; Nagata, Y.; Fujiyama, A.; Tsuda, M.; Kurokawa, K. Design and Experimental Application of a Novel Non-Degenerate Universal Primer Set That Amplifies Prokaryotic 16S rRNA Genes with a Low Possibility to Amplify Eukaryotic rRNA Genes. DNA Res. 2014, 21, 217–227. [Google Scholar] [CrossRef]
- Quast, C.; Pruesse, E.; Yilmaz, P.; Gerken, J.; Schweer, T.; Yarza, P.; Peplies, J.; Glöckner, F.O. The SILVA Ribosomal RNA Gene Database Project: Improved Data Processing and Web-Based Tools. Nucleic Acids Res. 2012, 41, D590–D596. [Google Scholar] [CrossRef]
- Li, P.; Yin, W.; Fan, Z.; Hu, F.; Zhao, L.; Fan, H.; He, W.; Chai, Q. Improving Crop Productivity by Optimizing Straw Returning Patterns to Delay Senescence of Wheat Leaves. Eur. J. Agron. 2024, 159, 127274. [Google Scholar] [CrossRef]
- Wu, G.; Huang, H.; Jia, B.; Hu, L.; Luan, C.; Wu, Q.; Wang, X.; Li, X.; Che, Z.; Dong, Z.; et al. Partial Organic Substitution Increases Soil Quality and Crop Yields but Promotes Global Warming Potential in a Wheat-Maize Rotation System in China. Soil Tillage Res. 2024, 244, 106274. [Google Scholar] [CrossRef]
- Ye, L.; Camps-Arbestain, M.; Shen, Q.; Lehmann, J.; Singh, B.; Sabir, M. Biochar Effects on Crop Yields with and without Fertilizer: A Meta-analysis of Field Studies Using Separate Controls. Soil Use Manag. 2020, 36, 2–18. [Google Scholar] [CrossRef]
- Xie, Z.; Xu, Y.; Liu, G.; Liu, Q.; Zhu, J.; Tu, C.; Amonette, J.E.; Cadisch, G.; Yong, J.W.H.; Hu, S. Impact of Biochar Application on Nitrogen Nutrition of Rice, Greenhouse-Gas Emissions and Soil Organic Carbon Dynamics in Two Paddy Soils of China. Plant Soil 2013, 370, 527–540. [Google Scholar] [CrossRef]
- Alburquerque, J.A.; Calero, J.M.; Barrón, V.; Torrent, J.; Del Campillo, M.C.; Gallardo, A.; Villar, R. Effects of Biochars Produced from Different Feedstocks on Soil Properties and Sunflower Growth. J. Plant Nutr. Soil Sci. 2014, 177, 16–25. [Google Scholar] [CrossRef]
- Reibe, K.; Roß, C.-L.; Ellmer, F. Hydro-/Biochar Application to Sandy Soils: Impact on Yield Components and Nutrients of Spring Wheat in Pots. Arch. Agron. Soil Sci. 2015, 61, 1055–1060. [Google Scholar] [CrossRef]
- Kloss, S.; Zehetner, F.; Wimmer, B.; Buecker, J.; Rempt, F.; Soja, G. Biochar Application to Temperate Soils: Effects on Soil Fertility and Crop Growth under Greenhouse Conditions. J. Plant Nutr. Soil Sci. 2014, 177, 3–15. [Google Scholar] [CrossRef]
- Limon-Ortega, A.; Govaerts, B.; Sayre, K.D. Straw Management, Crop Rotation, and Nitrogen Source Effect on Wheat Grain Yield and Nitrogen Use Efficiency. Eur. J. Agron. 2008, 29, 21–28. [Google Scholar] [CrossRef]
- Van Asten, P.J.A.; van Bodegom, P.M.; Mulder, L.M.; Kropff, M.J. Effect of Straw Application on Rice Yields and Nutrient Availability on an Alkaline and a pH-Neutral Soil in a Sahelian Irrigation Scheme. Nutr. Cycl. Agroecosyst. 2005, 72, 255–266. [Google Scholar] [CrossRef]
- López-Bellido, L.; López-Bellido, R.J.; Castillo, J.E.; López-Bellido, F.J. Effects of Long-Term Tillage, Crop Rotation and Nitrogen Fertilization on Bread-Making Quality of Hard Red Spring Wheat. Field Crops Res. 2001, 72, 197–210. [Google Scholar] [CrossRef]
- Wu, G.; Yang, S.; Luan, C.; Wu, Q.; Lin, L.; Li, X.; Che, Z.; Zhou, D.; Dong, Z.; Song, H. Partial Organic Substitution for Synthetic Fertilizer Improves Soil Fertility and Crop Yields While Mitigating N2O Emissions in Wheat-Maize Rotation System. Eur. J. Agron. 2024, 154, 127077. [Google Scholar] [CrossRef]
- Tang, M.; Liu, R.; Luo, Z.; Zhang, C.; Kong, J.; Feng, S. Straw Returning Measures Enhance Soil Moisture and Nutrients and Promote Cotton Growth. Agronomy 2023, 13, 1850. [Google Scholar] [CrossRef]
- Mosleth, E.F.; Lillehammer, M.; Pellny, T.K.; Wood, A.J.; Riche, A.B.; Hussain, A.; Griffiths, S.; Hawkesford, M.J.; Shewry, P.R. Genetic Variation and Heritability of Grain Protein Deviation in European Wheat Genotypes. Field Crops Res. 2020, 255, 107896. [Google Scholar] [CrossRef]
- Zheng, B.; Fang, Q.; Zhang, C.; Mahmood, H.; Zhou, Q.; Li, W.; Li, X.; Cai, J.; Wang, X.; Zhong, Y.; et al. Reducing Nitrogen Rate and Increasing Plant Density Benefit Processing Quality by Modifying the Spatial Distribution of Protein Bodies and Gluten Proteins in Endosperm of a Soft Wheat Cultivar. Field Crops Res. 2020, 253, 107831. [Google Scholar] [CrossRef]
- Yao, C.; Li, J.; Gao, Y.; Zhang, Z.; Liu, Y.; Sun, Z.; Wang, Z.; Zhang, Y. Delayed Application of Water and Fertilizer Increased Wheat Yield but Did Not Improve Quality Parameters. Field Crops Res. 2024, 319, 109649. [Google Scholar] [CrossRef]
- Li, B.; Song, H.; Cao, W.; Wang, Y.; Chen, J.; Guo, J. Responses of Soil Organic Carbon Stock to Animal Manure Application: A New Global Synthesis Integrating the Impacts of Agricultural Managements and Environmental Conditions. Glob. Change Biol. 2021, 27, 5356–5367. [Google Scholar] [CrossRef]
- Liu, H.; Du, X.; Li, Y.; Han, X.; Li, B.; Zhang, X.; Li, Q.; Liang, W. Organic Substitutions Improve Soil Quality and Maize Yield through Increasing Soil Microbial Diversity. J. Clean. Prod. 2022, 347, 131323. [Google Scholar] [CrossRef]
- Yang, L.; Wang, Q.; Yun, X.; Fan, Y.; Wang, W. Converting Paddy to Upland Alters Soil Neutral Sugars by Influencing Microbial Community and Life History Strategy. Appl. Soil Ecol. 2025, 206, 105803. [Google Scholar] [CrossRef]
- Marcińczyk, M.; Oleszczuk, P. Biochar and Engineered Biochar as Slow- and Controlled-Release Fertilizers. J. Clean. Prod. 2022, 339, 130685. [Google Scholar] [CrossRef]
- Feng, W.; Sánchez-Rodríguez, A.R.; Bilyera, N.; Wang, J.; Wang, X.; Han, Y.; Ma, B.; Zhang, H.; Li, F.Y.; Zhou, J.; et al. Mechanisms of Biochar-Based Organic Fertilizers Enhancing Maize Yield on a Chinese Chernozem: Root Traits, Soil Quality and Soil Microorganisms. Environ. Technol. Innov. 2024, 36, 103756. [Google Scholar] [CrossRef]
- Song, J.; Song, J.; Xu, W.; Gao, G.; Bai, J.; Zhang, Z.; Yu, Q.; Hao, J.; Yang, G.; Ren, G.; et al. Straw Return with Fertilizer Improves Soil CO2 Emissions by Mitigating Microbial Nitrogen Limitation during the Winter Wheat Season. Catena 2024, 241, 108050. [Google Scholar] [CrossRef]
- Novello, G.; Gamalero, E.; Bona, E.; Boatti, L.; Mignone, F.; Massa, N.; Cesaro, P.; Lingua, G.; Berta, G. The Rhizosphere Bacterial Microbiota of Vitis Vinifera Cv. Pinot Noir in an Integrated Pest Management Vineyard. Front. Microbiol. 2017, 8, 1528. [Google Scholar] [CrossRef]
- Johnson, C.A.; Bronstein, J.L. Coexistence and Competitive Exclusion in Mutualism. Ecology 2019, 100, e02708. [Google Scholar] [CrossRef]
- Fierer, N.; Bradford, M.A.; Jackson, R.B. Toward an Ecological Classification of Soil Bacteria. Ecology 2007, 88, 1354–1364. [Google Scholar] [CrossRef] [PubMed]
- Lu, H.; Bian, R.; Xia, X.; Cheng, K.; Liu, X.; Liu, Y.; Wang, P.; Li, Z.; Zheng, J.; Zhang, X.; et al. Legacy of Soil Health Improvement with Carbon Increase Following One Time Amendment of Biochar in a Paddy Soil—A Rice Farm Trial. Geoderma 2020, 376, 114567. [Google Scholar] [CrossRef]
- Anderson, C.R.; Condron, L.M.; Clough, T.J.; Fiers, M.; Stewart, A.; Hill, R.A.; Sherlock, R.R. Biochar Induced Soil Microbial Community Change: Implications for Biogeochemical Cycling of Carbon, Nitrogen and Phosphorus. Pedobiologia 2011, 54, 309–320. [Google Scholar] [CrossRef]
- Lehmann, J.; Kuzyakov, Y.; Pan, G.; Ok, Y.S. Biochars and the Plant-Soil Interface. Plant Soil 2015, 395, 1–5. [Google Scholar] [CrossRef]
- Liu, S.; Zhang, Y.; Zong, Y.; Hu, Z.; Wu, S.; Zhou, J.; Jin, Y.; Zou, J. Response of Soil Carbon Dioxide Fluxes, Soil Organic Carbon and Microbial Biomass Carbon to Biochar Amendment: A Meta-analysis. GCB Bioenergy 2016, 8, 392–406. [Google Scholar] [CrossRef]
- Khodadad, C.L.M.; Zimmerman, A.R.; Green, S.J.; Uthandi, S.; Foster, J.S. Taxa-Specific Changes in Soil Microbial Community Composition Induced by Pyrogenic Carbon Amendments. Soil Biol. Biochem. 2011, 43, 385–392. [Google Scholar] [CrossRef]








| Soil Depth (cm) | Organic Matter Content (g kg−1) | Total N Content (g kg−1) | Available P Content (mg kg−1) | Available K Content (mg kg−1) | pH | Soil Bulk Density (g cm−3) |
|---|---|---|---|---|---|---|
| 0–20 | 16.1 | 1.0 | 7.7 | 108.5 | 8.1 | 1.3 |
| 20–40 | 13.3 | 0.5 | 2.8 | 81.3 | 8.2 | 1.4 |
| Treatment | Straw Return (%) | Organic Fertilizers (t ha−1) | Biochar (t ha−1) |
|---|---|---|---|
| F | 0 | 0 | 0 |
| FS | 100 | 0 | 0 |
| FO | 0 | 3 | 0 |
| FB | 0 | 0 | 3 |
| FSOB | 100 | 3 | 3 |
| Treatment | Sobs | Shannon Index | Simpson Index | ACE Index | Chao 1 Index | Coverage/% | PD Index |
|---|---|---|---|---|---|---|---|
| F | 3534 ab | 6.79 a | 0.0033 a | 4751.49 ab | 4646.49 ab | 96.93% | 275.39 ab |
| FS | 3526 ab | 6.85 a | 0.0029 a | 4708.17 ab | 4620.88 ab | 96.99% | 278.77 ab |
| FO | 3625 a | 6.87 a | 0.0031 a | 4916.14 a | 4808.01 a | 96.82% | 282.34 a |
| FB | 3514 ab | 6.81 a | 0.0033 a | 4716.86 ab | 4551.70 b | 97.00% | 275.84 ab |
| FSOB | 3408 b | 6.80 a | 0.0033 a | 4560.96 b | 4489.09 b | 97.09% | 267.30 b |
| Year | Treatment | Spike Number (×104 ha−1) | Grains per Ear | 1000-Grain Weight (g) | Harvest Index (%) |
|---|---|---|---|---|---|
| 2022–2023 | F | 401.7 ± 14.2 b | 44 ± 1.5 a | 32.1 ± 0.3 b | 40.8 ± 1.7 a |
| FS | 446.5 ± 9.8 ab | 42 ± 0.4 a | 34.0 ± 0.6 a | 38.3 ± 0.6 ab | |
| FO | 418.1 ± 27.2 b | 46 ± 2.1 a | 33.8 ± 0.6 a | 36.2 ± 1.1 b | |
| FB | 416.5 ± 28.6 b | 44 ± 0.9 a | 33.4 ± 0.4 ab | 36.9 ± 0.3 b | |
| FSOB | 510.7 ± 32.9 a | 42 ± 1.1 a | 33.8 ± 0.7 a | 38.9 ± 0.8 ab | |
| 2023–2024 | F | 484.7 ± 5.2 b | 35 ± 0.6 b | 32.4 ± 0.3 b | 39.6 ± 0.9 a |
| FS | 628.3 ± 34.1 a | 39 ± 0.2 a | 31.3 ± 0.2 c | 35.8 ± 1.5 b | |
| FO | 661.7 ± 3.0 a | 40 ± 0.9 a | 32.6 ± 0.3 ab | 40.9 ± 0.3 a | |
| FB | 549.0 ± 23.5 b | 40 ± 0.8 a | 31.5 ± 0.3 c | 37.8 ± 1.5 ab | |
| FSOB | 621.0 ± 25.1 a | 42 ± 1.5 a | 33.4 ± 0.6 a | 40.8 ± 1.6 a | |
| 2022–2024 | F | 443.2 ± 6.7 b | 39 ± 0.8 b | 32.2 ± 0.3 b | 40.2 ± 0.9 a |
| FS | 537.4 ± 21.3 a | 41 ± 0.2 ab | 32.7 ± 0.2 ab | 37.1 ± 0.9 b | |
| FO | 539.9 ± 14.6 a | 43 ± 1.1 a | 33.2 ± 0.3 ab | 38.6 ± 1.0 ab | |
| FB | 482.7 ± 12.3 b | 42 ± 0.5 ab | 32.4 ± 0.2 b | 37.3 ± 0.7 b | |
| FSOB | 565.9 ± 22.9 a | 42 ± 1.2 ab | 33.6 ± 0.2 a | 39.7 ± 0.9 ab | |
| ANOVA results | Y T Y × T | *** *** ** | *** * * | *** ns * | ns * * |
Disclaimer/Publisher’s Note: The statements, opinions and data contained in all publications are solely those of the individual author(s) and contributor(s) and not of MDPI and/or the editor(s). MDPI and/or the editor(s) disclaim responsibility for any injury to people or property resulting from any ideas, methods, instructions or products referred to in the content. |
© 2025 by the authors. Licensee MDPI, Basel, Switzerland. This article is an open access article distributed under the terms and conditions of the Creative Commons Attribution (CC BY) license (https://creativecommons.org/licenses/by/4.0/).
Share and Cite
Zhou, J.; Xu, H.; Zhang, M.; Feng, R.; Xiao, H.; Xue, C. Impact of Organic Amendments on Black Wheat Yield, Grain Quality, and Soil Biochemical Properties. Agronomy 2025, 15, 961. https://doi.org/10.3390/agronomy15040961
Zhou J, Xu H, Zhang M, Feng R, Xiao H, Xue C. Impact of Organic Amendments on Black Wheat Yield, Grain Quality, and Soil Biochemical Properties. Agronomy. 2025; 15(4):961. https://doi.org/10.3390/agronomy15040961
Chicago/Turabian StyleZhou, Jiaqi, Huasen Xu, Meng Zhang, Ruohan Feng, Hui Xiao, and Cheng Xue. 2025. "Impact of Organic Amendments on Black Wheat Yield, Grain Quality, and Soil Biochemical Properties" Agronomy 15, no. 4: 961. https://doi.org/10.3390/agronomy15040961
APA StyleZhou, J., Xu, H., Zhang, M., Feng, R., Xiao, H., & Xue, C. (2025). Impact of Organic Amendments on Black Wheat Yield, Grain Quality, and Soil Biochemical Properties. Agronomy, 15(4), 961. https://doi.org/10.3390/agronomy15040961
