You are currently viewing a new version of our website. To view the old version click .
Agronomy
  • Editor’s Choice
  • Article
  • Open Access

30 January 2025

Annual Garden Rocket and Radish as Microgreens: Seed Germination Response to Thermal and Salt Stress

,
,
and
1
Department of Veterinary Sciences, University of Messina, 98168 Messina, Italy
2
Department of Agriculture, Food and Environment (Di3A), University of Catania, 95131 Catania, Italy
3
Institute of BioEconomy (IBE), Italian National Research Council (CNR), 95126 Catania, Italy
*
Author to whom correspondence should be addressed.
This article belongs to the Section Horticultural and Floricultural Crops

Abstract

Temperature and salinity level of the imbibition medium play a crucial role in regulating seed germination and seedling emergence, which is also true in microgreen production, where temperature and water potential may influence seed germination alone and/or in combination. In this study, the effects of different temperatures and water potentials in NaCl, alone or in combination, upon germination and early radicle growth, were assessed in two species for microgreen production (Eruca sativa-rocket, and Raphanus sativus-radish). Seeds were germinated at eight constant temperatures (from 5 to 35 °C) and five water potentials (ψ) in NaCl (from 0 to −1.2 MPa). Final germination percentage (FGP) was maximized at 15–20 °C in rocket, and at 20–25 °C in radish. As the temperature increased or decreased, germination was reduced and became less uniform, to a greater extent, at suboptimal temperatures in both species. Across water potentials, FGP values exceeding 50% at the highest temperature in radish indicated a greater tolerance than rocket to supraoptimal temperatures during germination. Across temperatures, FGP and germination speed in both species were progressively depressed as the water potential decreased. The adverse effects of NaCl progressively increased as the temperature moved away from its optimal value. Overall, rocket seeds were able to germinate well (>80%) at 20 °C at salinity levels down to −0.9 MPa, while radish seeds were able to germinate well (≥90%) at 25 °C at salinity levels down to −0.9 MPa. Salt stress tolerance was higher in rocket and radish at low and high temperatures, respectively. Both thermal time and hydrotime requirements were higher in radish because its seeds took longer to germinate. Thermal time and hydrotime may help to predict the germination capacity and time, once the temperature or water potential of the imbibition substrate is known. The findings of this study have important implications for the large-scale industrial production of microgreens.

1. Introduction

In recent years, interest in fresh, functional, and nutraceutical foods has been increasingly stimulated by growing attention towards health foods [1]. Microgreens are a new class of edible vegetables harvested 7–14 days after germination at the soil level when cotyledons have fully expanded and before true leaves have fully emerged [2]. Microgreens can be considered as ‘functional foods’ because they possess particular health promoting or disease preventing properties, which are higher than the levels normally present in vegetables [3]. Their consumption is stimulated by the particular characteristics of these foods: their unique color, rich flavor, and appreciable content of bioactive substances [4,5]. Microgreens may be used as salads or edible garnishes [6]. Therefore, the demand for microgreens is growing rapidly [7,8].
Microgreens have a very short shelf-life at ambient temperature due to their delicate and immature tissue structure [9]. For this reason, microgreens may be distributed as fresh-cut products, or while growing on media, to be harvested by end users [10]. This latest formulation could allow end consumers to obtain fresh products, even at home, without particular cultivation facilities. The interest in having fresh produce in urban centers is growing progressively because people living in urban areas classified as a ‘food desert’ often do not have complete access to fresh food and mostly depend on heavily processed and packaged foods [11]. The potential nutritional benefits of microgreens combined with their ease of cultivation at home have piqued consumer interest in growing them, as they are not widely available for retail sale [12].
The impact of commonly recommended cultivation methods on the nutritional value of microgreens is still under assessment but could assist consumers in making educated decisions about how to grow microgreens in their own homes [13].
Specifically, microgreens from the Brassicaceae family have become popular because of their ease of germination, relatively short production time (7 to 21 d), and wide range of rich flavors and colors [3,14]. Among these, annual garden rocket (Eruca sativa Mill.) and radish (Raphanus sativus L.), native to the Northwestern Mediterranean [15] and the area between the Mediterranean and the Caspian Sea [16], are widely consumed worldwide in fresh and processed salad markets. These species, like other Brassica vegetables, are highly appreciated because of their health-promoting secondary metabolites (polyphenols and glucosinolates) and are largely accepted by consumers for microgreen production [17].
Seeds of microgreens are sold in small bags, where only germination capacity is reported by a manufacturing company, but no information is given about their tolerance to temperature or salt stress during germination. In addition to seed quality, germination, which is one of the most critical phases during the plant growth cycle, is greatly influenced by environmental factors [18,19]. Within them, temperature and salinity levels of the imbibition medium play a crucial role in regulating seed germination and seedling emergence [20]. Seeds germinate best under an optimum temperature that varies with species and cultivar. Suboptimal or supraoptimal temperatures generally reduce and lengthen seed germination to an extent that gradually increases with a thermal decrease or increase from the optimum [21]. During seed germination, there exists a T below which germination is prevented, called the base temperature (Tb), a T at which germination occurs at its best, called the optimum temperature (To), and a T above which germination does not occur, called the ceiling or maximum temperature (Tm). These are known as cardinal temperatures [22] and are specific to each species and cultivar. Therefore, cardinal temperatures for germination define the range of temperatures within which the seeds of a certain species can germinate [22]. Seeds have cardinal temperatures that may be similar or greatly vary with species, but that can highly change with the environmental conditions, e.g., the levels of salinity of imbibition water [23].
Salt stress is another abiotic stress that severely affects the germination of many plants. Salinity delays or reduces germination and inhibits seedling growth [24]. This stress is even more severe when it is produced by excess NaCl [25,26]. Salinity lowers the osmotic potential of the germination medium, thus, altering seed water uptake, but can also influence germination through ionic stress, which disrupts enzymatic function, metabolism, hormonal signaling, and the use of energy reserves [27]. The effect of salinity on seed germination varies considerably among species and cultivars [27].
Salinity and temperature frequently interact, and sub or supraoptimal temperatures combined with low water potential may strongly limit successful seed germination. This is also true in microgreen production, where temperature and water potential may influence seed germination, alone and/or in combination. Indeed, often at home, the quality of tap water is influenced by the presence of high levels of NaCl; at the same time, the indoor temperature is not optimal for seed germination. Rapid and uniform germination and emergence is an important goal in microgreen production, as well as to reduce the competitive effects among plantlets, due to the very high number of plants per unit area typical of these products. Therefore, preliminary germination tests under a wide range of environmental conditions are necessary to achieve satisfactory production.
For the successful domestic production of microgreens, the assessment of the germination response of these seeds to indoor environmental conditions that may fluctuate greatly with the season becomes imperative. In this regard, a study was conducted to assess the effects of different temperatures and water potentials in NaCl, alone or in combination, as those that may occur under domestic conditions, upon germination and early radicle growth, in two species for microgreen production (Eruca sativa Mill. and Raphanus sativus L.), which are among the most used microgreens worldwide.

2. Materials and Methods

2.1. Germination Tests

The experiment was carried out in the laboratory of the Department of Agriculture, Food and Environment Science (Di3A) of the University of Catania (Italy) from 5 September to 20 December 2023. Seeds of Eruca sativa Mill. (rocket) and Raphanus sativus L. (radish) were used in the experiment.
Seeds were germinated in salt solutions at one of the following water potentials (ψ): 0 (control), −0.3, −0.6, −0.9, and −1.2 MPa. Salt solutions were prepared by dissolving 0, 4.2, 8.4, 12.7, and 16.9 g L−1 of NaCl in deionized water, respectively, for 0, −0.3, −0.6, −0.9, and −1.2 MPa. The water potential of the salt solutions was verified using an automatic cryoscopic osmometer (Osmomat 030; Gonotec, Berlin, Germany).
Seeds were placed in 90 mm Petri dishes, sealed with Parafilm to prevent evaporation during the experiment, in a single layer of filter paper imbibed with 5 mL of distilled water (control) or one of the different NaCl solutions. Petri dishes were placed in an incubator under dark conditions (FTC 90E, Refrigerated Incubator, VELP Scientifica, Usmate Velate (MB), Italy) at a constant temperature (T) of 5, 8, 10, 15, 20, 25, 30, or 35 °C. Four replicates of 50 seeds each were used for each combination of temperature and water potential. Thereafter, the seeds were scored daily for germination, starting from the first day for a total of four weeks. A seed radicle protrusion of 2 mm was considered as a germination criterion.
At the end of the experiment, the following indices were calculated:
F i n a l   g e r m i n a t i o n   p e r c e n t a g e   ( F G P )   ( % )   = N N T × 100
where N is the number of seeds germinated and NT is the total number of seeds;
M e a n   G e r m i n a t i o n   T i m e   ( M G T )   ( d )   = n i × d i n
where ni marks the number of seeds germinated at day i, d is the incubation period in days, and n is the total number of seeds germinated;
C o e f f i c i e n t   o f   u n i f o r m i t y   o f   g e r m i n a t i o n   ( C U G )   ( d 2 )   = i = 1 k n i / i = 1 k D ¯ D i 2 n i
where ni is the number of seeds germinated on day i, Di is the number of days counted from the start of the germination test to the last day of count (i), D is the mean germination time, and k is the last day of germination. CUG measures the variability among seeds in relation to the mean germination time of the sample (the higher the coefficient, the greater the uniformity) [22].

2.2. Radicle Measurements

The length and dry weight of the radicles of germinated seeds were measured. For this purpose, 15 seeds were chosen randomly from among those germinated first per Petri dish. Roots were excised two days after germination and measured for length, through a caliber, and fresh weight, and then oven-dried at 65 °C for 48 h for dry weight measurement.

2.3. Data Analysis

FGP, previously arcsin transformed, MGT, CUG, radicle length, and weight, were statistically analyzed using a two-way analysis of variance (ANOVA) using Minitab Statistical Software version 19, LLC. The analysis was conducted considering ‘temperature’ and ‘water potential’, as fixed factors. Differences between the means were compared using the Tukey’s test (p ≤ 0.05). Data at −0.9 and −1.2 MPa were excluded from statistical analyses of MGT and CUG, since seeds failed to germinate under these water potentials, at the lowest or the highest temperatures.

2.3.1. Cumulative Germination Time Course

The time course of cumulative values of seed germination at each water potential, separately for temperature and species, was described using the following sigmoidal model with three parameters (Sigmaplot® 11.0 software; Systat Software Inc., San Jose, CA, USA):
y = a 1 + x x 0 b
where a is the maximum value on the y axis (i.e., maximum germination), x is the time (days) after seed imbibition, x0 is the time (days) to 50% of maximum germination, and b is a fitting parameter of the curve. The x values on each curve which corresponded to 50% germination on the y axis were assumed as the theoretical time to 50% germination (t50, days) [28].

2.3.2. Cardinal Temperatures Estimation

The segmented model was used to estimate cardinal temperatures [29], where the inverse of t50 (1/t50 or GR50) of each species at each ψ was regressed vs. T. The abscissa intercept on the T axis was assumed as an estimate of the theoretical minimum temperature for germination (Tb(50)) [30]. Because GR50 increases as temperature rises above Tb(50) (suboptimal temperatures), up to a maximum, then it declines as temperature further increases (supraoptimal temperatures), the observed values of GR50 up to its maximum were considered for Tb(50) estimation. Likewise, the observed values of GR50 beyond its maximum were regressed vs. T, and the abscissa intercept on the T axis was assumed as an estimate of the theoretical maximum temperature for germination (Tm(50)) [31]. The temperature at which the two regression line (that for Tb(50) estimation and that for Tm(50) estimation) intersect is assumed to be optimum for 50% germination (To(50)) [32]. The reciprocal of the slope (b coefficient) of the regression line of GR50 vs. T used for Tb(50) estimation represents the thermal time (θT(50)), °C d) to 50% seed germination [31].

2.3.3. Base Water Potential Estimation

According to Tb estimation, GR50 of each species at each T was regressed vs. ψ. The x-intercept of linear regression was assumed as an estimate of theoretical base water potential for 50% seed germination (ψb(50)) at each temperature [28,33]. According to thermal time estimation, the reciprocal of the slope (b coefficient) of the regression line of GR50 vs. ψ was assumed as an estimate of hydrotime (θH(50), MPa d) to 50% seed germination [33].
Germination data at 5 °C were excluded from the calculation of θH(50) in radish since at this temperature, seed germination achieved 50% only at 0 MPa water potential.

2.3.4. Uniformity of Distribution of Base Water Potential ψb at 10, 20, and 30 °C

In order to calculate the standard deviation of seed lot within each species at suboptimal (10 °C), optimal (20 °C), and supraoptimal (30 °C) temperatures, ψb of the observed percentages g (ψb(g)) at each germination time (tg) was estimated using the equation which indicates the hydrotime model [34]:
θH = (ψψb(g))tg
where θH is the hydrotime (MPa h) needed for each seed fraction g to germinate, ψ is the actual water potential (MPa), ψb(g) is the base water potential for the germination of g (MPa), and tg is the time to germination of g. Equation (5) was modified as follows:
ψb(g) = ψ − (θH/tg)
where ψ is the actual water potential and θH is the hydrotime as calculated by the reciprocal of the slope (b coefficient) of the regression lines of GR50 vs. ψ [35]. The time courses of the observed cumulative germination percentages g were linearized on a probability scale and regressed vs. ψb(g) [34]. The reciprocal of the slope (b coefficient) of the linear regression corresponded to the standard deviation σψb, which indicated the uniformity of distribution of ψb of the seed lot of each species at the three temperatures.

3. Results

3.1. Germination Time Course

The cumulative seed germination with time at different T and ψ for the two species is reported in Figure 1 and Figure 2.
Figure 1. Cumulative germination time courses at different temperatures and water potentials in NaCl (MPa) in seeds of E. sativa (rocket), as described by the three-parameter sigmoidal model.
Figure 2. Cumulative germination time courses at different temperatures and water potentials in NaCl (MPa) in seeds of R. sativus (radish), as described by the three-parameter sigmoidal model.
The sigmoidal trend of the curve reveals an initial phase of slow germination in seeds of both species, followed by a rapid rise up to a maximum, after which germination stopped or proceeded slowly. This initial phase of low germination, which was overall longer in radish, had different durations depending on germination conditions, being negligible at temperatures between 25–35° C at the lowest levels of salinity (0, −0.3, −0.6 MPa, at 25–30 °C, −0 and −0.3 MPa, at 35 °C), and progressively lengthening as temperatures decreased or increased, together with a decrease in ψ.

3.2. Final Germination Percentage (FGP)

Figure 3 shows FGP at different temperatures and salinity levels.
Figure 3. Final germination percentage (FGP) in seeds of E. sativa (a) and R. sativus (b) at five water potentials (ψ) under temperatures between 5 and 35 °C. Small vertical bars indicate the standard error (n = 4).*** Significant at p ≤ 0.001.
Across water potentials, seeds of rocket germinated at all temperatures, with an FGP which was maximized at 15 and 20 °C (>83%) (Table 1).
Table 1. Main effects of temperature (T) and water potential (ψ) in NaCl on final germination percentage (FGP) and mean germination time (MGT) in seeds of E. sativa (rocket) and R. sativus (radish).
In this species, germination exceeded 50% under good thermal conditions except at extreme temperatures (5 and 35 °C, FGP 38.7 and 40.7%, respectively) (T, p < 0.001). Seed germination was the highest under no salt stress (>90%) (ψ, p < 0.001). At the lowest salinity level (−0.3 MPa), seeds germinated as the control, but as the water potential further decreased, germination was progressively depressed, down to 18.2% at a ψ of −1.2 MPa. However, significant interaction ‘T × ψ’ (p < 0.001) revealed a different effect of salt stress depending on temperature. Seeds in deionized water (0 MPa) germinated well under all thermal conditions (FGP ≥ 84%), with the highest FGP measured at temperatures from 8 °C to 20 °C. Within this thermal range, FGP was maintained at >50% at ψ down to −0.6 MPa. The lower the temperature, the stronger the adverse effect of NaCl, and at 5 °C, FGP was significantly reduced to 28.7 and 0.7%, at −0.6 and −0.9 MPa, respectively, and was null at −1.2 MPa. A similar depressive effect of temperature was observed at T values > 25 °C, at which seeds germinated at less than 50% (at −0.9 MPa) or did not germinate at all (at −1.2 MPa).
In the radish, seed germination was maximized at temperatures between 15 and 25 °C. Across water potentials, FGP values exceeding 50% at 35 °C indicated a greater tolerance than rocket seeds exposed to supraoptimal temperatures during germination. In turn, a FGP < 45% at 8 °C revealed a greater susceptibility to cold stress. Across temperatures, as observed in rocket, FGP in radish was progressively depressed as the water potential decreased, but in contrast with rocket, FGP exceeded 50% at −0.9 MPa and 30% at −1.2 MPa. As for rocket, significant ‘T × ψ’ (p < 0.001) indicated a changing effect of salt stress depending on germination temperature. At 10–35 °C, the FGP exceeded 50% at MPa down to −0.6 MPa. Temperatures < 10 °C were more inhibiting upon the germination of radish compared to rocket, and at 5 °C, FGP was reduced to less than 25%, even with a low level of salinity stress (−0.3 MPa). In contrast, at supraoptimal temperatures, seeds of radish germinated better than those of rocket at all ψ, reaching 40% of FGP at −1.02 MPa even at 30 °C, and 32% at −0.9 MPa even at 35 °C.

3.3. Mean Germination Time (MGT)

The mean germination time (MGT) was less influenced by the experimental factors than the FGP. Overall, rocket seeds germinated faster than radish seeds (Figure 4). Across ψs, seeds of both species took progressively less time to germinate as temperatures rose from 5° to 25 °C (T, p < 0.001). At this last temperature, MGT was 1.47 and 1.94 d, respectively, in rocket and radish, and a further thermal rise did not affect the germination speed. Across temperatures, germination proceeded slower as ψ decreased from 0 to −0.6 MPa (ψ, p < 0.001).
Figure 4. Mean germination time (MGT) in seeds of E. sativa (a) and R. sativus (b) at five water potentials (ψ) under temperatures between 5 and 35 °C. Small vertical bars indicate the standard error (n = 4). *** Significant at p ≤ 0.001.
Significant ‘T × ψ’ (p < 0.001) upon MGT in both species revealed a different germination speed at the different salt stress levels, depending on temperature. In the rocket, seeds maintained the same germination speed within a thermal range of 10–30 °C, as ψ of the imbibition solution decreased from 0 to −0.6 MPa. At these temperatures, at higher levels of salt stress, the seeds germinated significantly slower. In contrast, at the lowest and highest temperatures, germination was already lengthened at the mildest levels of salinity (−0.3 MPa at 5 °C and −0.6 MPa at 35 °C).
In the radish, at 20 and 25 °C, germination speed did not change with the level of salinity, when the very stressed condition was excluded (−1.2 MPa). At temperatures below and above these, the time to germinate tended to increase significantly as the level of salt stress increased, and even a 5 °C thermal lowering from 15° to 10 °C doubled the MGT from 7.0 to 14.6 days in seeds at −1.2 MPa.

3.4. Coefficient of Uniformity (CUG)

CUG indicates the level of seed germination uniformity in a seed lot. Overall, it was higher in rocket, mostly because its seeds germinated faster (Figure 5). CUG was maximized at 20 °C in rocket (5.10) and at 25 °C in radish (3.63). As the temperature increased or decreased, germination became less uniform, to a greater extent at suboptimal temperatures in both species. Across temperatures, CUG was kept constant in rocket, moving from 0 to −0.3 MPa, but a further lowering of ψ significantly depressed the seed germination uniformity (p < 0.001). In radish, this occurred already at −0.3 MPa (p < 0.001). As observed for FGP and MGT, the two experimental factors significantly interacted with CUG (p < 0.001). In rocket, CUG was the highest at 20 °C at 0 and −0.3 MPa, indicating that a slight salinity did not adversely affect the uniformity of the germination process in this species at optimal or near optimal temperature. According to the MGT, as the temperature shifted from the optimum, the germination uniformity progressively decreased. A similar trend was observed in radish seeds, with great tolerance, in terms of germination simultaneousness, to salt stress at the lowest levels (−0.3 MPa), although the greatest CUG was calculated at temperatures ≥ 25 °C.
Figure 5. Coefficient of germination uniformity (CUG) in seeds of E. sativa (a) and R. sativus (b) at five water potentials (ψ) under temperatures between 5 and 35 °C. Small vertical bars indicate the standard error (n = 4). *** Significant at p ≤ 0.001.

3.5. Cardinal Temperatures and Thermal Time as Affected by Water Potential

A linear model was used to estimate base (Tb(50)), optimum (To(50)), and maximum temperatures (Tm(50)) for 50% seed germination of the two species at each ψ, based on the germination rate (1/t or GR50) (Figure 6).
Figure 6. Germination rates as functions of temperature for seeds of E. sativa (a) and R. sativus (b) at different ψ. Symbols are the actual data of 1/t50 at each temperature, derived from the germination time course. The regression lines intercept Tb(50) and Tm(50) on the x-axis at GR50 = 0.
The average Tb(50) was lower in rocket (6.68 °C, compared to 7.33 °C in radish), and shifted from a minimum of 4.47 °C (at 0 MPa) to a maximum of 9.01 °C (at −1.2 MPa) (Table 2). However, at the highest (less negative) ψ (0 and −0.3 MPa), Tb(50) was lower in radish (down to 3.71 °C under no salt stress), indicating a better tolerance of this species to cold during germination when the levels of salt stress are negligible. Indeed, as the levels of stress progressively increased, radish seeds became less tolerant, raising their Tb(50) over those of rocket under the same experimental conditions.
Table 2. Cardinal temperatures (Tb(50) = base temperature; To(50): optimal temperature; Tm(50): maximum temperature) for 50% seed germination (t50) at ψ from 0 to −1.2 MPa, and thermal time (θT) in seeds of E. sativa (rocket) and R. sativus (radish). Mean values ± σ are also reported.
The optimum temperature for 50% germination (To(50)) was slightly higher in rocket (26.2 °C, against 24.9 °C in radish). As the level of stress progressively increased, To(50) gradually shifted to lower values, down to 20.0 and 21.1 °C, in rocket and radish, respectively, at −1.2 MPa.
The maximum thermal threshold that allowed seed germination (Tm(50)) was approx. 5 °C lower in rocket (35.8 °C on average, against 40.6 °C in radish). Increasing salt stress shifted Tm(50) towards values progressively cooler (12 °C lower at −1.2 MPA than at 0 MPa, in radish).
Thermal time (θT(50)), as calculated from the inverse of the slope b of GR50 vs. T, was lower overall in rocket, mainly because seeds were faster in germination than those of radish. However, in contrast to the latter, whose thermal time requirements remained rather constant (σθT(50) = 3.64), the seeds of rocket fluctuated widely with ψ (σθT(50 = 17.16), revealing a greater sensitivity to increasing levels of salt stress (θT(50) 54.95 °C d at −1.2 MPa).

3.6. Base Water Potential and Hydrotime as Affected by Temperature

According to base temperature estimation, minimum or base ψ for 50% seed germination (ψb(50)) was calculated as the inverse of slope b of the linear regression of GR50 vs. ψ, separately for species and temperature (Figure 7).
Figure 7. Germination rates as functions of water potential (ψ) for seeds of E. sativa (a) and R. sativus (b) at different temperatures. Symbols are the actual data of 1/t50 at each ψ, derived from the germination time course. The regression lines intercept ψb(50) on the x-axis at GR50 = 0.
In both species, ψb(50) decreased (lower negative values) as temperature increased, down to a −1.57 (in rocket) and −2.02 MPa (in radish) at 20 °C (Table 3). Afterwards, ψb(50) progressively increased (less negative values) with a further rise in temperature, up to −0.86 (in rocket) and −1.27 MPa (in radish) at 35 °C.
Table 3. Base water potential (ψb(50)) and hydrotime (θH(50)) for 50% seed germination, at temperatures ranging from 5 to 35 °C in seeds of E. sativa (rocket) and R. sativus (radish). Mean values ± standard deviation (σ) are also reported. The slope indicates GR50 (d−1) as estimated on the regression line.
Averaged ψb(50) did not differ between the two specie s (−1.32 MPa in both). However, a wider variability (higher σ value) in ψb(50) with changing temperature was highlighted in radish, whose sensitivity to salt stress was lower than that in rocket, at temperatures < 15 °C (less negative ψb(50) values), and higher at temperatures ≥ 15 °C (more negative ψb(50) values).
The hydrotime (θH(50)) was calculated from the inverse of the slope b of GR50 vs. ψ. In both species, θH(50) requirements were progressively reduced as the temperature increased to 25° (in rocket) and 30 °C (in radish). Beyond this thermal threshold, the seeds of the two species needed to accumulate more θH(50), because higher temperatures slowed down the germination process and ψb(50) shifted to less negative values. The restricted fluctuations observed for θH(50) requirements (σθH(50) = 2.21 and 1.52, for rocket and radish, respectively) with temperature, when compared to θT(50) fluctuations with ψ, revealed a lower responsiveness of both species to changing thermal over changing water potential conditions during seed germination. Although the two species did not differ in mean ψ(50), hydrotime requirements were overall higher in radish, mostly because its seeds took longer, as was also reported for θT(50).
A probit regression analysis of the different germination fractions (g) (observed values of the cumulative germination time courses described in Figure 2 for E. sativa and Figure 3 for R. sativus) at 10, 20, and 30 °C at different ψ was performed separately for each species (Figure 8, Figure 9 and Figure 10). Probit analysis was performed separately for each temperature, since ψb changed with temperature.
Figure 8. Probit analysis of seed germination at different ψ in seeds of E. sativa (a) and R. sativus (b). Seeds were germinated at 10 °C. Percentages (symbols) from germination courses at 20 °C in Figure 2 were probit transformed and plotted as a function of ψ − (θH/tg) which is equivalent to ψb(g). The inverse of the slope b indicates the σψb.
Figure 9. Probit analysis of seed germination at different ψ in seeds of E. sativa (a) and R. sativus (b). Seeds were germinated at 20 °C. Percentages (symbols) from germination courses at 20 °C in Figure 2 were probit transformed and plotted as a function of ψ − (θH/tg) which is equivalent to ψb(g). The inverse of the slope b indicates the σψb.
Figure 10. Probit analysis of seed germination at different ψ in seeds of E. sativa (a) and R. sativus (b). Seeds were germinated at 30 °C. Percentages (symbols) from germination courses at 20 °C in Figure 2 were probit transformed and plotted as a function of ψ − (θH/tg) which is equivalent to ψb(g). The inverse of the slope b indicates the σψb.
Within each species, the values of ψb(g) at 10, 20, and 30 °C (i.e., at suboptimal, optimal, and supraoptimal temperatures) varied following a normal or Gaussian distribution (Figure 11). The uniformity of the distribution of base water potential ψb of each seed lot, described by σψb and calculated as the inverse of the slope of the fitted line of probit vs. ψb of different g percentages, did not differ between the two species at 10 °C, but at 20 and 30 °C it was lower in radish (higher σψb), indicating a wide range of ψ allowing germination in this species at these temperatures, when the other environmental conditions (e.g., water availability) were not limiting.
Figure 11. Normal distribution of relative frequencies of ψb values at 10 (a), 20 (b), 30 (c) °C, for seeds of E. sativa (rocket, blue solid line) and R. sativus (radish, red long dash line). Vertical lines indicate ψb(50) on the x axis as calculated by the regressions of GR50 vs. ψ at 10, 20, and 20 °C (see Figure 7). The σψb values are calculated as the inverse of the slope b of probit regression analyses reported in Figure 8, Figure 9 and Figure 10.

3.7. Length and Dry Weight of Radicle

Root elongation benefitted from warm temperatures, reaching its maximum at 20–25 °C in rocket, and at 25 °C in radish (Table 4). Below and beyond these temperatures, root growth slowed down in both species, more remarkably in seeds of radish at high temperatures, whose radicle at 35 °C experienced a more than 90% length reduction with respect to their maximum length at 25 °C. Indeed, seed radicles were much longer in radish than in rocket within the thermal range of 15–30 °C. Out of this range, thermal sensitivity was more relevant in the seeds of radish, whose radicle became smaller than that of rocket.
Table 4. Main effects of temperature (T) and water potential (ψ) in NaCl on radicle length and dry weight in seeds of E. sativa (rocket) and R. sativus (radish).
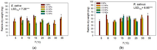
Root elongation was also affected by the salinity level. In rocket, radicle growth was already significantly reduced at −0.3 MPa, and at −0.6 MPa they were 50% lower than those in distilled water. The radish seeds were sensitive to salt stress during radicle elongation, although to a lesser extent.
As for root elongation, differences in radicle mass in response to temperature and water potential were evidenced using ANOVA. Decreasing temperatures from the optimum reduced the radicle mass, with greater rates in radish (up to −83% in root dry weight at 5 °C) than that measured in rocket (−35%). A similar depressive effect on root growth was also exerted by temperatures higher than optimal, again to a greater extent in radish than in rocket (−49% and −77% in radicle weight of rocket and radish, respectively).
Salt stress also resulted in a significant reduction in root mass accumulation in both species. However, in contrast to root length, seed radicles in radish significantly reduced their mass at the lowest levels of stress (−0.3 MPa).
Significant T × ψ (p < 0.001) for both radicle length and weight indicated a different response of root growth to salt stress, depending on temperature. Indeed, in both species, the higher the temperature, the greater the depressive effect of salt stress on root growth, both in terms of elongation and mass accumulation (Figure 12 and Figure 13).
Figure 12. Length of radicle as functions of water potential (ψ) for seeds of E. sativa (a) and R. sativus (b) at different temperatures. Small vertical bars indicate the standard error (n = 4). *** Significant at p ≤ 0.001.
Figure 13. Dry weight of radicle as functions of water potential (ψ) for seeds of E. sativa (a) and R. sativus (b) at different temperatures. Small vertical bars indicate the standard error (n = 4). *** Significant at p ≤ 0.001.

4. Discussion

In this study, seed germination performances were studied in two species of microgreens under different temperatures and water potentials in NaCl, as well as a possible domestic application of microgreen production.
In this study, a final germination (FGP) exceeding 87% was recorded in rocket at temperatures ranging from 5 to 25 °C in distilled water, which is close to the germination rate of ≥89% reported by Hall et al. [15] for the same species within the same thermal range. These findings highlight the high tolerance of this species to low temperatures during germination, which makes it suitable for indoor microgreen production during the cold season. However, in this study, seeds of rocket germinated well (≥84%) when exposed to temperatures up to 35 °C, at least under no salt stress conditions, indicating that this species is adapted to microgreen production in warm/hot seasons as well. In radish, FGP was maximized (≥94%) at temperatures between 15 and 25 °C, but FGP levels higher than 75% were achieved even at 5 °C, which confirms the adaptation to cool climate conditions reported for this species [36]. An FGP greater than 80% was also recorded for this species at temperatures above 25 °C. However, in both species, germination was gradually prolonged (higher MGT) as the temperature declined, to a greater extent in radish. According to the literature, imbibition at low temperatures prolongs the lag phase of germination (i.e., between the slowing of the rate of seed water uptake until the start of radicle protrusion), extending the germination time [37].
Regression analysis of germination rate (GR50) vs. temperature is the best way to describe the germination process in response to temperature and to identify cardinal temperatures for germination [32]. In this study, the two linear regression lines, with the first describing the decrease in germination rates at suboptimal temperatures, and the second describing the decrease in germination rates at supraotimal temperatures, allowed the identification of the base (Tb) and the maximum (Tm) temperature for germination in each species. The seeds of radish had almost a 1 °C lower Tb and almost a 5 °C higher Tm than the seeds of rocket, indicating that radish can germinate within a wider range of temperatures than rocket. The intersection of the two linear regressions was recognized as the optimum temperature for germination [32]. In this study, an optimum of 26.2 °C in rocket, and 24.9 °C in radish, in distilled water (no salt stress), indicated that although they belong to the same family (Brassicaceae), almost two degrees of thermal difference occurred between the two species. Similar 2–3 °C differences in thermal requirements have been reported for other Brassicaceae (red radish, mustard, red cabbage) for microgreen production [38]. Maximum or ceiling temperatures were also significantly different between the two species, being on average more than 5 °C higher in radish than in rocket. In this last species, Tm at 0 MPa (41.9 °C) slightly differed from that reported by Bakhshande et al. [39] (40.8 °C) for the same species at the same ψ, but quite perfectly matched (32.3 °C vs. 32.0 °C in this study) at −0.9 MPa. These results indicate that Tm was reduced as water potential decreased.
Although sub and supraoptimal temperatures mostly reduce germination percentage and delay the onset of germination, their effects may be modified by interactions with other environmental factors. In this study, we observed that the germination course, FGP, and GR50 in the two species may change greatly with the level of water potential (ψ, MPa) in NaCl. Within a thermal range of 15–25 °C, the FGP approached 80% in both species at ψ down to −0.9 MPa. It has been reported that osmotic regulation through an increase in the sugar levels may occur in seeds germinating at low ψ, which while ensuring turgor maintenance, may reduce sensitivity to salt stress and allow embryo growth to proceed slowly. Indeed, in this experiment, seeds at reduced ψ germinated well at optimum temperatures, but germination proceeded at slower rates [40]. These results did not match those reported in the literature, where a remarkable reduction in FGP at 25 °C (from 72 to 38%) was observed as the salinity level increased from 150 to 200 mmol (approx. from −0.6 to −0.9 MPa) was reported in rocket [25], and a seed germination reduction from 97% at 0 MPa to 48 and 35% at 90 and 120 mmol NaCl (approx. −0.3 and −0.6 MPa), respectively, have been reported in radish [41]. As the temperature decreased or increased, the FGP declined, indicating that the tolerance to salt stress in both species strictly depended on the temperature. The inhibitory effects of salt stress on seed germination are a consequence of both the reduced water absorption and toxicity of Na+ and Cl ions [42], which is emphasized in seeds germinating at low temperatures [43]. In this study, a depressive effect of high levels of salt stress on the seed germination of both species was also observed at high temperatures, to a greater extent on the final germination percentage than on germination speed. Indeed, high temperatures reduce the water viscosity of the imbibition medium; thus, seed water uptake and seed germination proceeded as fast as in distilled water, although fewer seeds germinated [44]. However, this did not occur at low temperatures, where the combined depressive effect of salt stress and temperature made the seed of both species almost unable to germinate at −1.2 and −0.9 MPa at 5 °C, and at −1.2 MPa at 8 °C.
Higher tolerance to salinity stress at optimum temperatures was also revealed by ψb calculated at each T, which was minimized (lowest value) at 20 °C in both species and tended to increase as T increased or decreased. Greater salt tolerance at optimal temperature during germination has been reported in other species such as sorghum and sunflower [42,45].
The thermal (θT) time and hydrotime (θH) requirements for seed germination were calculated for both species. The thermal time model describes the pattern of seed germination in response to T [46]. This allows the prediction of germination time once the temperature is known. In this study, θT requirements in rocket under no stress were much lower than those of radish, because its seeds, although with higher Tb, were faster in germination. Once the water potential decreased, seeds needed progressively more θT to complete germination, as seeds took longer to germinate and Tb gradually increased [35]. At the lowest ψ (−1.2 MPa), seeds in radish needed to cumulate lower θT than those in rocket. Within each ψ, θT in a given seed lot remains constant [45]; therefore, the larger the difference between the actual T and Tb, the faster the germination, and vice versa. Greater dispersal of Tb (as indicated by wider σTb value) estimated in radish indicated that its seeds may germinate at temperatures that, conversely, would inhibit germination in rocket seeds.
Similarly, the hydrotime model describes the pattern of seed germination in response to ψ [37]. This allows the prediction of germination time once the water potential is known. In this study, at suboptimal temperatures the seeds of both species needed to cumulate greater θH, because ψb increased (became less negative) and seeds germinated progressively slower. As for θT, within each temperature, when θH in a given seed lot stays constant [33], the larger the difference is between actual ψ and ψb, and the faster the germination is, and vice versa. Hydrotime requirements in radish were slightly greater than in rocket and approached those estimated by Khan et al. [47] for the same species. In the literature, radish has been reported to be more sensitive to ψ than T stress [47]. However, the wider dispersal of ψb (as indicated by the wider σψb value) estimated in this study indicated that its seeds may germinate at water potentials that, conversely, may inhibit germination in rocket seeds.
Therefore, fast and uniform germination is necessary for microgreen production. In this study, the overall higher CUG calculated in rocket seeds may positively influence the uniformity of the microgreen canopy in this species [48]. However, unfavorable temperatures and water potential adversely affected the uniformity of germination in the seeds of both species. CUG may represent a valuable selection criterion for microgreen production of well-performing species under restricted environmental conditions.
The increase in salt stress adversely affects root growth at all temperatures, and the higher the temperature, the greater the depressive effect of salt stress. The adverse effect of salt stress on root elongation was more evident than on root mass accumulation. Salinity prevents plant growth by limiting the ability of plants to supply water (osmotic stress) [49]. Additionally, it promotes the accumulation of reactive oxygen species (ROS), which can lead to cellular damage. Salinity also determines an increase in the concentration of ions such as Na+ and Cl inside the cells, which, exceeding certain thresholds, induces toxicity (ionic stress). Ionic and osmotic stresses reduce cell expansion and determine nutritional imbalances and oxidative stress, which influence the growth, development, and overall survival of plants [50].
The radicles in radish were much longer than those in rocket, although they had a similar weight. Longer radicles allow seedlings to better exploit the soil water reserves. In addition, root elongation at −0.3 MPa was greater at −0.2, 15, and 20 °C in rocket, and at 15–25 °C, in radish. A similar promoting effect of NaCl a low concentration (2 g/L) on the seedling growth of radish, was reported by Mei et al. [51]. A possible reason for the promoted radicle growth is that low levels of NaCl can increase the activity of key enzymes responsible for seed metabolism [52].

5. Conclusions

The study indicated that changes in germination and radicle growth response to decreasing water potential in NaCl at sub and supraoptimal temperatures occurred in rocket and radish seeds. Germination temperatures between 15 and 20 °C are ideal for rocket, and temperatures between 25 and 30 °C are ideal for radish. Overall, rocket seeds were able to germinate well (>80%) at 20 °C at salinity levels down to −0.9 MPa, while seeds of radish were able to germinate well (≥90%) at 25 °C at levels of salinity down to −0.9 MPa. Under these temperatures, that is, those prevailing under controlled domestic conditions, seed germination was reduced by 40–60%, in rocket, and by 15–20% in radish, at −1.2 MPa water potential of NaCl. Decreasing or increasing temperatures, which reflect the seasonal thermal fluctuation that may occur under domestic conditions, made the seed more sensitive to reduced water potential; at 10 °C and 30–35 °C, seeds germinated for less than 20% or failed to germinate at −1.2 MPa. Therefore, when rocket and radish seeds are used, optimal or near-optimal thermal conditions should be ensured for the successful production of microgreens when saline water must be used. Nevertheless, the indoor cultivation of microgreens makes it possible for thermal conditioning, thus, minimizing the negative impact of low water potential in NaCl on seed germination when saline water is available. This is particularly true for radish seeds, which although are slow in germination, are less sensitive to salt stress than rocket seeds.
Among all the physiological parameters considered, both thermal time and hydrotime are the best suited to establish the sensitivity or tolerance of rocket and radish to salt stress and extreme temperatures during the production of microgreens, and may help to predict the germination capacity and time, once temperature or water potential of the imbibition substrate are known.
Ultimately, the application of seed osmopriming pretreatments should be considered to promptly and uniformly improve seed germination in microgreens under adverse thermal and water potential conditions.
The findings of this study have important implications for the large-scale industrial production of microgreens.

Author Contributions

Conceptualization, S.T. and C.P.; methodology, C.P.; software, C.P.; validation, C.P., S.T., and D.R.; formal analysis, V.C.; investigation, V.C.; data curation, V.C. and S.T; writing—original draft preparation, C.P., S.T., and V.C.; writing—review and editing, C.P. and D.R.; visualization, D.R.; supervision, C.P. All authors have read and agreed to the published version of the manuscript.

Funding

This research received no external funding.

Data Availability Statement

The raw data supporting the conclusions of this article will be made available by the authors upon request.

Conflicts of Interest

The authors declare no conflicts of interest.

References

  1. Aguilar-Pérez, K.M.; Ruiz-Pulido, G.; Medina, D.I.; Parra-Saldivar, R.; Iqbal, H.M. Insight of nanotechnological processing for nano-fortified functional foods and nutraceutical—Opportunities, challenges, and future scope in food for better health. Crit. Rev. Food Sci. Nutr. 2023, 63, 4618–4635. [Google Scholar] [CrossRef]
  2. Pinto, E.; Almeida, A.A.; Aguiar, A.A.; Ferreira, I.M. Comparison between the mineral profile and nitrate content of microgreens and mature lettuces. J. Food Compos. Anal. 2015, 37, 38–43. [Google Scholar] [CrossRef]
  3. Xiao, Z.; Lester, G.E.; Luo, Y.; Wang, Q. Assessment of vitamin and carotenoid concentrations of emerging food products: Edible microgreens. J. Agric. Food Chem. 2012, 60, 7644–7651. [Google Scholar] [CrossRef] [PubMed]
  4. Sun, J.; Kou, L.; Geng, P.; Huang, H.; Yang, T.; Luo, Y.; Chen, P. Metabolomic assessment reveals an elevated level of glucosinolate content in CaCl2 treated broccoli microgreens. J. Agric. Food Chem. 2015, 63, 1863–1868. [Google Scholar] [CrossRef] [PubMed]
  5. Delian, E.; Chira, A.; Badulescu, L.; Chira, L. Insight into microgreens physiology. Sci. Papers Ser. B Hortic. 2015, 59, 447–454. [Google Scholar]
  6. Kou, L.; Luo, Y.; Yang, T.; Xiao, Z.; Turner, E.R.; Lester, G.E.; Wang, Q.; Camp, M.J. Postharvest biology, quality and shelf life of buckwheat microgreens. LWT-Food Sci. Technol. 2013, 51, 73–78. [Google Scholar] [CrossRef]
  7. Dubey, S.; Harbourne, N.; Harty, M.; Hurley, D.; Elliott-Kingston, C. Microgreens production: Exploiting environmental and cultural factors for enhanced agronomical benefits. Plants 2024, 13, 2631. [Google Scholar] [CrossRef] [PubMed]
  8. Singh, A.; Singh, J.; Kaur, S.; Gunjal, M.; Kaur, J.; Nanda, V.; Ullah, R.; Ercisli, S.; Rasane, P. Emergence of microgreens as a valuable food, current understanding of their market and consumer perception: A review. Food Chem. X 2024, 23, 101527. [Google Scholar] [CrossRef] [PubMed]
  9. Chandra, D.; Kim, J.G.; Kim, Y.P. Changes in microbial population and quality of microgreens treated with different sanitizers and packaging films. Hortic. Environ. Biotechnol. 2012, 53, 32–40. [Google Scholar] [CrossRef]
  10. Kyriacou, M.C.; Rouphael, Y.; Di Gioia, F.; Kyratzis, A.; Serio, F.; Renna, M.; De Pascale, S.; Santamaria, P. Micro-scale vegetable production and the rise of microgreens. Trends Food Sci. Technol. 2016, 57, 103–115. [Google Scholar] [CrossRef]
  11. Walker, R.E.; Keane, C.R.; Burke, J.G. Disparities and access to healthy food in the United States: A review of food deserts literature. Health Place 2010, 16, 876–884. [Google Scholar] [CrossRef] [PubMed]
  12. Weber, C.F. Nutrient content of cabbage and lettuce microgreens grown on vermicompost and hydroponic growing pads. J. Hortic. 2016, 3, 1000190. [Google Scholar] [CrossRef]
  13. Weber, C.F. Broccoli microgreens: A mineral-rich crop that can diversify food systems. Front. Nutr. 2017, 4, 7. [Google Scholar] [CrossRef] [PubMed]
  14. Gerovac, J.R.; Craver, J.K.; Boldt, J.K.; Lopez, R.G. Light intensity and quality from sole-source light-emitting diodes impact growth, morphology, and nutrient content of Brassica microgreens. HortScience 2016, 51, 497–503. [Google Scholar] [CrossRef]
  15. Hall, M.; Jobling, J.; Rogers, G. The germination of perennial wall rocket (Diplotaxis tenuifolia (L.) DC.) and annual garden rocket (Eruca sativa Mill.) under controlled temperatures. Plant Breed. Seed Sci. 2012, 65, 15–28. [Google Scholar] [CrossRef]
  16. Crisp, P. Radish, Raphanus sativus (Cruciferae). In Evolution of Crop Plants, 2nd ed.; Smartt, J., Simmonds, N.W., Eds.; Longman Scientific & Technical: London, UK, 1995; pp. 86–89. [Google Scholar]
  17. Ebert, A.W. Sprouts and microgreens—Novel food sources for healthy diets. Plants 2022, 11, 571. [Google Scholar] [CrossRef]
  18. Yazdani, B.R.; Rezvani, M.P.; Khazaie, H.R.; Ghorbani, R.; Astaraei, A.R. Effects of Salinity and Drought Stresses on Germination Characteristics of Milk Thistle (Silybum marianum). Iran. J. Field Crop Sci. 2010, 8, 12–19. [Google Scholar] [CrossRef]
  19. Amiri, M.B.; Rezvani Moghaddam, P.; Ehyai, H.R.; Fallahi, J. Effect of water and salinity stresses on germination and seedling growth indices of artichoke (Cynara scoolymus) and purple coneflower (Echinacea purpurea). Envrion. Stress. Crop Sci. 2011, 3, 165–176. [Google Scholar] [CrossRef]
  20. Nikolić, N.; Ghirardelli, A.; Schiavon, M.; Masin, R. Effects of the salinity-temperature interaction on seed germination and early seedling development: A comparative study of crop and weed species. BMC Plant Biol. 2023, 23, 446. [Google Scholar] [CrossRef] [PubMed]
  21. Baskin, C.C.; Baskin, J.M. Seeds: Ecology, Biogeography, and Evolution of Dormancy and Germination, 2nd ed.; Elsevier Science Publishing Co. Inc.: Amsterdam, The Netherland, 2014; pp. 1–1600. [Google Scholar]
  22. Bewley, J.D.; Black, M. Seeds: Physiology of Development and Germination, 2nd ed.; Plenum Press: New York, NY, USA, 1994; pp. 1–445. [Google Scholar]
  23. Alvarado, V.; Bradford, K.J. A hydrothermal time model explains the cardinal temperatures for seed germination. Plant Cell Environ. 2002, 25, 1061–1069. [Google Scholar] [CrossRef]
  24. Promila, K.; Kumar, S. Vigna radiata seed germination under salinity. Biol. Plant 2000, 43, 423–426. [Google Scholar] [CrossRef]
  25. Fallahi, H.R.; Fadaeian, G.; Gholami, M.; Daneshkhah, O.; Hosseini, F.S.; Aghhavani-Shajari, M.; Samadzadeh, A. Germination response of grasspea (Lathyrus sativus L.) and arugula (Eruca sativa L.) to water and salinity stresses. Plant Breed. Seed Sci. 2015, 71, 97–108. [Google Scholar] [CrossRef]
  26. Durukan, H.; Demirbas, A. The effects of dıfferent salt doses on yıeld and nutrıent uptake of tomato plant. Sci. Papers Ser. A Agron. 2018, 61, 71–76. [Google Scholar]
  27. Parihar, P.; Singh, S.; Singh, R.; Singh, V.P.; Prasad, S.M. Effect of salinity stress on plants and its tolerance strategies: A review. Environ. Sci. Pollut. Res. 2015, 22, 4056–4075. [Google Scholar] [CrossRef] [PubMed]
  28. Patanè, C.; Tringali, S. Hydrotime analysis of Ethiopian Mustard (Brassica carinata A. Braun) seed germination under different temperatures. J. Agron. Crop Sci. 2011, 197, 94–102. [Google Scholar] [CrossRef]
  29. Soltani, A.; Robertson, M.J.; Torabi, B.; Yousefi-Daz, M.; Sarparast, R. Modeling seedling emergence in chickpea as influenced by temperature and sowing depth. Agric. For. Meteorol. 2006, 138, 156–167. [Google Scholar] [CrossRef]
  30. Scott, S.J.; Jones, R.A.; Williams, W.A. Review of data analysis methods for seed germination. Crop Sci. 1984, 24, 1192–1199. [Google Scholar] [CrossRef]
  31. Parmoon, G.; Moosavi, S.A.; Akbari, H.; Ebadi, A. Quantifying cardinal temperatures and thermal time required for germination of Silybum marianum seed. Crop J. 2015, 3, 145–151. [Google Scholar] [CrossRef][Green Version]
  32. Covell, S.; Ellis, R.H.; Roberts, E.H.; Summerfield, R.J. The influence of temperature on seed germination rate in grain legumes. 1. A comparison of chickpea, lentil, soyabean and cowpea at constant temperatures. J. Exp. Bot. 1986, 37, 705–715. [Google Scholar] [CrossRef]
  33. Patanè, C.; Saita, A.; Tubeileh, A.; Cosentino, S.L.; Cavallaro, V. Modeling seed germination of unprimed and primed seeds of sweet sorghum under PEG-induced water stress through the hydrotime analysis. Acta Physiol. Plant. 2016, 38, 115–127. [Google Scholar] [CrossRef]
  34. Bradford, K.J. Applications of hydrothermal time to quantifying and modeling seed germination and dormancy. Weed Sci. 2002, 50, 248–260. [Google Scholar] [CrossRef]
  35. Kebreab, E.; Murdoch, A. Modelling the effects of water stress and temperature on germination rate of Orobanche aegyptiaca seeds. J. Exp. Bot. 1999, 50, 655–664. [Google Scholar] [CrossRef]
  36. Bakhshandeh, E.; Gholamhossieni, M. Modelling the effects of water stress and temperature on seed germination of radish and cantaloupe. J. Plant Growth Regul. 2019, 38, 1402–1411. [Google Scholar] [CrossRef]
  37. Kader, M.A.; Jutzi, S.C. Temperature, osmotic pressure and seed treatments influence imbibition rates in sorghum seeds. J. Agron. Crop Sci. 2002, 188, 286–290. [Google Scholar] [CrossRef]
  38. Dhaka, A.S.; Dikshit, H.K.; Mishra, G.P.; Tontang, M.T.; Meena, N.L.; Kumar, R.R.; Ramesh, S.V.; Narwal, S.; Aski, M.; Thimmegowda, V.; et al. Evaluation of Growth Conditions, Antioxidant Potential, and Sensory Attributes of Six Diverse Microgreens Species. Agriculture 2023, 13, 676. [Google Scholar] [CrossRef]
  39. Bakhshandeh, E.; Pirdashti, H.; Vahabinia, F.; Gholamhossieni, M. Quantification of the effect of environmental factors on seed germination and seedling growth of eruca (Eruca sativa) using mathematical models. J. Plant Growth Regul. 2020, 39, 190–204. [Google Scholar] [CrossRef]
  40. Gill, P.K.; Sharma, A.D.; Singh, P.; Bhullar, S.S. Changes in germination, growth and soluble sugar contents of Sorghum bicolor (L.) Moench seeds under various abiotic stresses. Plant Growth Regul. 2003, 40, 157–162. [Google Scholar] [CrossRef]
  41. Ouyang, Z.; Fu, X.; Zhong, Z.; Bai, R.; Cheng, Q.; Gao, G.; Li, M.; Zhang, H.; Zhang, Y. An exploration of the influence of ZnO NPs treatment on germination of radish seeds under salt stress based on the YOLOv8-R lightweight model. Plant Methods 2024, 20, 110. [Google Scholar] [CrossRef] [PubMed]
  42. Kaya, M.D.; Okcu, G.; Atak, M.; Cıkılı, Y.; Kolsarıcı, O. Seed treatments to overcome salt and drought stress during germination in sunflower (Helianthus annuus L.). Eur. J. Agron. 2006, 24, 291–295. [Google Scholar] [CrossRef]
  43. Toscano, S.; Romano, D.; Tribulato, A.; Patanè, C. Effects of drought stress on seed germination of ornamental sunflowers. Acta Physiol. Plant. 2017, 39, 184. [Google Scholar] [CrossRef]
  44. Patanè, C.; Cavallaro, V.; Cosentino, S.L. Germination and radicle growth in unprimed and primed seeds of sweet sorghum as affected by reduced water potential in NaCl at different temperatures. Ind. Crops Prod. 2009, 30, 1–8. [Google Scholar] [CrossRef]
  45. Patanè, C.; Cosentino, S.L.; Cavallaro, V.; Saita, A. Screening for cold tolerance during germination within sweet and fiber sorghums [Sorghum bicolor (L.) Moench] for energy biomass. Agronomy 2021, 11, 620. [Google Scholar] [CrossRef]
  46. Foti, S.; Cosentino, S.L.; Patanè, C.; D’Agosta, G. Effect of osmoconditioning upon seed germination of sorghum (Sorghum bicolor (L.) Moench) under low temperatures. Seed Sci. Technol. 2002, 30, 521–553. [Google Scholar]
  47. Khan, J.; Ullah, S.; Shah, S.; Sadaf; Khan, S.; Sulaiman. Modeling the upshots of induced temperature and water stress on germination and seedlings length of radish (Raphanus sativus L.) via hydrothermal time model. Vegetos 2023, 36, 939–949. [Google Scholar] [CrossRef]
  48. Signore, A.; Somma, A.; Leoni, B.; Santamaria, P. Optimising Sowing Density for Microgreens Production in Rapini, Kale and Cress. Horticulturae 2024, 10, 274. [Google Scholar] [CrossRef]
  49. Van Zelm, E.; Zhang, Y.; Testerink, C. Salt Tolerance mechanisms of plants. Annu. Rev. Plant Biol. 2020, 71, 403–433. [Google Scholar] [CrossRef] [PubMed]
  50. Dzinyela, R.; Alhassan, A.R.; Suglo, P.; Movahedi, A. Advanced study of functional proteins involved in salt stress regulatory pathways in plants. S. Afr. J. Bot. 2023, 159, 425–438. [Google Scholar] [CrossRef]
  51. Mei, Y.; Zu, Y.; Wu, Y.; Zheng, J.; Guo, J. Effects of salt stress on seed germination and seedling growth in Raphanus sativus L. Agric. Sci. Technol. 2013, 14, 1112–1116. [Google Scholar]
  52. Zhang, X.; He, P.; Guo, R.; Huang, K.; Huang, X. Effects of salt stress on root morphology, carbon and nitrogen metabolism, and yield of Tartary buckwheat. Sci. Rep. 2023, 13, 12483. [Google Scholar] [CrossRef] [PubMed]
Disclaimer/Publisher’s Note: The statements, opinions and data contained in all publications are solely those of the individual author(s) and contributor(s) and not of MDPI and/or the editor(s). MDPI and/or the editor(s) disclaim responsibility for any injury to people or property resulting from any ideas, methods, instructions or products referred to in the content.

Article Metrics

Citations

Article Access Statistics

Multiple requests from the same IP address are counted as one view.