Next Article in Journal
Effects of Mung Bean Residue Return and Biochar Amendment Combined with Reduction in Inorganic Fertilizer on Rice Yield and Nutrient Uptake: A Case Study in Mekong Delta, Vietnam
Previous Article in Journal
Stem-Leaf Segmentation and Morphological Traits Extraction in Rapeseed Seedlings Using a Three-Dimensional Point Cloud
 
 
Font Type:
Arial Georgia Verdana
Font Size:
Aa Aa Aa
Line Spacing:
Column Width:
Background:
Article

Evaluation of the Cultivation of Three Halophytic Plants Under Half-Strength Seawater Aquaponics

by
Ayenia Carolina Rosales-Nieblas
1,
Mina Yamada
2,
Bernardo Murillo-Amador
3,
Masato Endo
4 and
Satoshi Yamada
2,*
1
The United Graduate School of Agricultural Sciences, Tottori University, Tottori 680-8553, Japan
2
Faculty of Agriculture, Tottori University, Tottori 680-8553, Japan
3
Centro de Investigaciones Biológicas del Noroeste (CIBNOR) S.C., La Paz 23096, Baja California Sur, Mexico
4
Laboratory of Fish Culture, Tokyo University of Marine Science and Technology, Tokyo 108-8477, Japan
*
Author to whom correspondence should be addressed.
Agronomy 2025, 15(2), 277; https://doi.org/10.3390/agronomy15020277
Submission received: 25 November 2024 / Revised: 14 January 2025 / Accepted: 21 January 2025 / Published: 23 January 2025
(This article belongs to the Section Innovative Cropping Systems)

Abstract

Water scarcity poses a significant threat to food security, particularly in coastal, arid, and semi-arid regions. To address this challenge, a half-strength seawater aquaponics system (approximately 250 mM NaCl) was developed to cultivate halophytes. This study investigated the growth performance of three halophytic species—ice plant, romeritos, and sea asparagus—to assess their adaptability and optimal agronomic management in a saline aquaponics setting. After rearing tilapia in half-strength seawater, four treatments were applied to the rooting medium: untreated half-strength seawater aquaculture rearing water (HSW) (C), pH-adjusted (5.5) HSW (pH), pH-adjusted (5.5) HSW supplemented with additional nutrients (pH+S), and a standard nutrient solution (NS). The findings revealed that ice plant growth was significantly enhanced by pH adjustment and nutrient supplementation, leading to improved water and potassium absorption. Conversely, romeritos and sea asparagus demonstrated stable growth across treatments, likely due to high sodium accumulation and consistent water uptake despite elevated salinity. Sea asparagus exhibited dependency on high salinity, while romeritos showed increased phosphorus accumulation with nutrient supplementation. This study suggests that while pH adjustments favor ice plant growth, romeritos and sea asparagus are resilient across diverse salinity conditions, highlighting saline aquaponics as a viable approach for halophyte cultivation in water-scarce environments.

1. Introduction

Freshwater scarcity is a growing global challenge, particularly in arid and semi-arid regions where water demand is high and resources are limited [1,2]. Coastal aquifers, critical sources of freshwater for densely populated coastal areas, are increasingly threatened by overexploitation, leading to seawater intrusion and declining water quality [3]. Agriculture accounts for approximately 70% of global freshwater use, highlighting the urgent need for sustainable food production systems that utilize alternative water sources, such as brackish and saline water [4,5].
Aquaponics integrates aquaculture and hydroponics, utilizing fish waste as a nutrient source for plants. This system combines the benefits of reduced water usage, higher productivity per unit area, and minimized environmental pollution [6,7,8]. Its operation depends on biochemical processes in the biological filter, where autotrophic bacteria convert ammonia into nitrite and nitrate. Nitrate, non-toxic to fish, serves as a vital nutrient for plant growth [9,10].
Saline aquaponics offers a promising solution to address food insecurity in salt-affected regions while promoting aquaculture and salt-tolerant crop markets [6,11]. Numerous freshwater and non-fish species, including Nile tilapia (Oreochromis niloticus), can thrive under saltwater conditions, though the optimal growth for tilapia occurs at 10–20 ppt, lower than seawater’s salinity of 35 ppt [6,12,13]. Conventional crops inhibit their growth with high salinities, but halophytes like Salicornia europaea (optimal growth 200–400 mM NaCl), Mesembryanthemum crystallinum (optimal growth 50–100 mM NaCl), and Suaeda species (200 mM NaCl) exhibit unique adaptations, allowing them to thrive in saline conditions and even benefit from salinity [11,14,15,16,17,18,19]. Table 1 shows the characteristics of a standard nutrient solution and the coastal groundwater, the main differences among them can be observed in the high pH, the deficiency of nitrate (NO3), phosphorous (P), and micronutrients except for boron (B), the high amount of potassium (K), calcium (Ca), and magnesium (Mg), and the excessive concentration of NaCl, with the latter representing the major challenge for this aquaponics system, since high salinity leads to gill alterations in Nile tilapia, and it is over the optimal salinity concentration for several halophyte species [11,16,17,18]. A half-strength seawater aquaponics system, reducing salinity around 200 mM NaCl, offers a viable solution, aligning with optimal ranges for salt-tolerant plants. Still, an important consideration in aquaponics using seawater is optimizing system conditions, particularly pH. Coastal groundwater samples often have a pH of 7.5, while the ideal range for plant growth is closer to 6.0 [20]. In traditional aquaponics systems, the pH is adjusted to around 7.0 [21], as high pH reduces the availability of key nutrients like K, P, Ca, and Mg and significantly limits micronutrients such as Mn, Zn, Cu, and Fe, leading to issues like leaf chlorosis [22,23]. Also, coastal groundwater was characterized by low concentrations of micronutrients, and aquaculture rearing water is commonly lacking these essential elements since fish feeds are formulated with specific nutrient combinations and quantities tailored to support the growth and health of fish in aquaculture settings, while plants have distinct nutrient needs that differ from those of fish, and as a result, fish feeds typically do not fulfill all the nutritional requirements of plants [24,25,26,27,28,29,30]. Adjusting the pH and adding minerals to coupled aquaponics systems is avoided to prevent fish toxicity [31,32,33]. However, decoupled systems allow separate water management for aquaculture and hydroponics, enabling nutrient and pH customization for plants [20,33]. Adding chemical fertilizers to decoupled aquaponics effluents has demonstrated a notable enhancement in plant growth and development [20,26,31,34,35]. This approach improves plant growth but increases production costs [36]. Alternatively, exploring the utilization of plants inherently tolerant to high pH levels and low nutrient concentrations could prove to be a straightforward and effective agronomic approach [36,37]. This study aims to evaluate the growth performance of the edible halophytes ice plant (Mesembryanthemum crystallinum L.), romeritos (Suaeda edulis Flores Olv. and Noguez), and sea asparagus (Salicornia europaea L.) in a half-strength seawater aquaponics system. The assessment focuses on their responses to three conditions of pH and nutrient supplementation, with the aim of determining their suitability for cultivation under this system and their compatibility with the agronomic management commonly employed in freshwater and commercial aquaponics systems. We hypothesize that a half-strength seawater aquaponics system can support the successful cultivation of halophytic species by leveraging their natural adaptations to saline conditions. Specifically, species-specific responses to pH adjustment and nutrient supplementation are expected to improve growth performance and enhance resource use efficiency. This approach aims to promote environmentally sustainable, practical, and highly productive agronomic management strategies, offering a viable solution for food production in saline environments and addressing the challenges of water scarcity in arid and semi-arid regions.

2. Materials and Methods

2.1. Aquaponics System Design

The aquaculture system was equipped with a fiber-reinforced plastic tank (1.4 m length × 0.95 m width × 0.9 m depth) connected to a biofilter tank (0.4 m length × 0.95 m width × 0.9 m depth) (Figure 1). The rearing tank and the biofilter were collocated with a barrier filter for collecting solid waste as excreta or uneaten feed. In the biofilter, floating biofilter media were added and in the bottom, 5 filter bags filled with corallite were located. For winter, submersible heaters were set into the rearing tank to keep the temperature ranging between 24–27 °C. The water was recirculated within the aquaculture tank by a water pump, and it was covered with a nylon mesh and lids to prevent algae proliferation. The hydroponics system was conducted in box-shaped containers (0.455 m length × 0.345 m width × 0.22 m depth) covered with a floating polystyrene foam bed (0.435 m length × 0.32 m width × 0.038 m depth). Both aquaculture tank and hydroponics containers had an air stone to ensure the aeration of the effluents. The entire aquaponics system was accommodated in a vinyl greenhouse located at the Faculty of Agriculture, Tottori University, Tottori, Japan (35°30′54″ N, 134°10′18″ E).

2.2. Biological Material and System Management

Nile Tilapia (Oreochromis niloticus L.) were obtained from Tokyo University of Marine Science and Technology (TUMSAT). The fish were fed once per day with commercial fish feed (Eel EP Profit Suiken d1.5; Feed One Corporation, Yokohama-shi, Japan). Aquaculture activities were carried out 3 times. Every time the aquaculture tank was filled with 1600 L of half-strength seawater (800 L of fresh water and 800 L of coastal groundwater), coastal groundwater was collected from the Cultivation and Fishing Center in Yurihama town, Tottori prefecture. The number of fish, average body weight, and amount of feeding of each aquaculture activity are shown in Table 2. The amount of evaporated water was measured periodically, and half-strength seawater was added to keep 1600 L of water volume in the aquaculture tank. Half-strength aquaculture rearing water (HSW) transfer to hydroponics was conducted when the concentration of N O 3 -N reached about 4 mM; to avoid overconcentration, water sampling was taken periodically and measured the N O 3 -N concentration by a nitrate reflectometer (RQ flex plus 10, Merck KGaA, Darmstadt, Germany).
For hydroponics, three halophytic plants were cultivated. Ice plant (Mesembryanthemum crystallinum L.) seeds were obtained from a commercial source (Fujita Seed Corporation, Osaka, Japan), romeritos (Suaeda edulis Flores Olvera and Noguez) seeds were donated by the Biological Research Center of the Northwest (CIBNOR), Mexico, and sea asparagus (Salicornia europaea L.) seeds were from the same commercial source as ice plant. Seedbeds were made for every species and irrigated with fresh water. When the plants reached about 2 cm of height, they were transplanted to the experimental unit (3 plants per container for ice plant and 5 plants per container for romeritos and sea asparagus) under Tottori University’s standard nutrient solution (NS) (Table 1), and to reduce osmotic shock, plants were subjected to an acclimatization process by adding 50 mM of NaCl every 3 days until the desired salinity was obtained. Four treatments of rooting medium were established for the cultivation of the tree species: (1) untreated “half-strength seawater aquaculture rearing water” (HSW) as a control (C), (2) HSW with pH adjustment to 5.5 (pH), (3) HSW with pH adjustment to 5.5 and supplementation of the nutrients lacking in untreated HSW to reach same concentration as a standard nutrient solution (pH+S), and (4) standard nutrient solution (NS). Each treatment included four replicates. For the treatments under HSW, the water used in each replicate was sourced from the corresponding aquaculture event. For example, in the cultivation of ice plant, treatments C, pH, and pH+S utilized HSW obtained from the first aquaculture activity, conducted from 13 October to 28 October, as detailed in Table 2. Ice plant was cultivated from 21 December 2022 to 31 January 2023 (42 days), romeritos from 3 June to 6 July 2023 (34 days), and sea asparagus from 28 July to 8 August 2023 (22 days). As before, the renewal of the rooting medium every three weeks was carried out using HSW obtained from the aquaculture event corresponding to the cultivation of each species. The pH of the rearing water was measured every 3 days and adjusted to 5.5 in the NS, pH, and pH+S treatment by adding potassium hydroxide (KOH) or sulfuric acid (H2SO4).

2.3. HSW Aquaculture Rearing Water Sampling and Measurement

After reaching 4 mM of N O 3 -N in the HSW, a sample was taken and analyzed to set the treatments previously mentioned. The measured parameters were total nitrogen (T-N) analyzed by the method of decomposition by potassium persulfate [39]; nitrite ( N O 2 -N), nitrate ( N O 3 -N), and chloride (Cl) analyzed by ion chromatography (10A Series; Shimadzu Corporation, Kyoto, Japan); ammonium ( N H 4 + -N) analyzed by the indophenol colorimetric method [40]; P analyzed by molybdenum blue method [41]; K and Na analyzed by flame photometry; Ca and Mg analyzed by atomic absorption spectrophotometry (Z-2310, Hitachi High-Technologies, Tokyo, Japan); and B, Fe, Mn, Cu, and Zn analyzed by inductively coupled plasma atomic emission spectroscopy (ICP-AES) (Spectro Ciros CCD; Spectro Analytical Instruments GmbH, Kleve, Germany).

2.4. Plant Growth Measurements

The total plants per replication were harvested and separated into “marketable harvest”, “residues”, and “roots”. The “marketable harvest” for ice plant consisted of the younger leaves, as shown in Figure 2a; for romeritos, between 5 and 10 cm were harvested from the top of the shoots (Figure 2b); and for sea asparagus, about 1/3 of the upper part of the shoots was harvested (Figure 2c). The “residues” included the remaining organs of the shoots after the separation of the marketable harvest. After separating, the plant fresh weights (FW) of each replication were measured; thereafter, dry weights (DW) were measured by drying the samples in an oven (MOV-212F; Sanyo Electric Corporation, Osaka, Japan) set at 70 °C for 48 h. Fresh weights and dry weights were used to calculate water content (WC) in plants as follows:
W C   ( g   g 1   D W ) = ( f r e s h   w e i g h t   ( g ) d r y   w e i g h t   ( g ) ) d r y   w e i g h t   ( g )
Root samples were scanned (Graphic scanner GT-X980, Seiko Epson Corporation, Suwa, Japan) to obtain root images, which were analyzed using winRHIZO system (winRHIZO basic, Regent Instruments Inc., Quebec, QC, Canada) to measure total root length (RL). Also, specific root length (SRL) was calculated as follows:
S R L   ( m   g 1   D W ) = r o o t   l e n g t h   ( m ) r o o t   d r y   w e i g h t   ( g )

2.5. Chlorophyll and Betalain Content

Chlorophyll (a, b, and total (a + b)) and betalain (betacyanin + betaxanthin) content were determined in the marketable harvest. Between 0.5 and 1 g of the sample was added to a test tube with 99.5% ethanol and stored overnight in a dark place. Samples were ground with a polytron homogenizer (Kinematica polytron CH-6010, KINEMATICA, Malters, Switzerland), subsequently filtered with filter paper (No. 5C), and adjusted the volume to 50 mL with 99.5% ethanol. The solution was used to read the absorbance at 665, 649, 538, and 480 nm using a spectrophotometer (U-5100 Spectrophotometer, HITACHI High Technologies, Tokyo, Japan). The chlorophyll content was calculated according to the equation by Wintermans and Mots [42], and betalain content was calculated according to Castellanos-Santiago and Yahia [43].

2.6. Measurement of Elements Concentrations in Plant Tissues

Total N was analyzed by the CN coder (JM1000CN MACRO CORDER, J-Science Lab Co., Ltd., Kyoto, Japan) using ground, dried samples.
Around 0.8 g of the samples were wet ashed in an acid mixture (H2SO4:HClO4:HNO3 = 1:4:10), and diluted extracts were used to measure P content by the vanadate-molybdate yellow method proposed by Chapman and Pratt [44], K and Na by the flame photometry, and Ca, Mg, Fe, Mn, Cu, and Zn by atomic absorption spectrophotometry (Z-2310, Hitachi High-Technologies, Tokyo, Japan).

2.7. Statistical Analysis

Statistical analyses were performed using GraphPad Prism 10 software program (GraphPad Software, Inc., La Jolla, CA, USA). Data were presented as means ± standard error. One-way analysis of variance was used to assess significant differences (p < 0.05) among treatments, followed by Tukey’s honestly significant differences (HSD) test. A heatmap showing the ratio of mean values between the treatments and control groups was included to highlight the key differences between treatments using color gradients. Ratios were previously transformed by log10 (x).

3. Results

3.1. Half-Strength Seawater Aquaculture Rearing Water (HSW) Composition

Table 3 shows the composition of the HSW used for the cultivation of the three species. Compared to the NS (Table 1), fish-rearing water using half-strength seawater resulted in higher concentrations of K, Ca, Mg, Na, Cl, and B, by 7 (351%), 0.1 (15%), 21 (1077%), 254 (5077%), and 300 (6009%) mM and 195 (1418%) µM, respectively, while some elements, such as P, Fe, Mn, Zn, and Cu, were found in lower concentrations or not detected. The addition of those elements was necessary for the preparation of the pH+S treatment, which required a mineral supplementation to equalize the same content as the NS treatment. Phosphorus was added to the pH+S treatment in the cultivation of ice plant, romeritos, and sea asparagus (by means of phosphoric acid (H3PO4)). Most of the microelements were not detected in the rearing water except for B. Iron, Mn, Zn, and Cu were supplemented by adding EDTA ferric (C10H13FeN2O8), manganese sulfate (MnSO4∙5H2O), zinc sulfate heptahydrate (ZnSO4∙7H2O), and copper sulfate pentahydrate (CuSO4∙5H2O). The pH value for treatments NS, pH, and pH+S was adjusted to 5.5. Figure 3 shows the values before the adjustment on every measurement day. In ice plant cultivation only, the pH of C was maintained at close to 8; however, it started to present foam formation and gradually decreased, reaching values of 3 from around 35 days after treatment. The values for the treatments NS, pH, and pH+S presented similar and stable values in the three species.

3.2. Growth

Ice plant showed significant differences (p < 0.05) among treatments in the FW, which NS showed the highest value with 72%, 60%, 160%, and 65% more than C in the marketable harvest, residues, roots, and total, respectively (Table 4). The DW of the marketable harvest in ice plant did not show significant differences (p > 0.05) among treatments. But residues and roots DW presented significant differences (p < 0.05); in the residues, the highest value was in pH+S (54% higher than C); and in roots, the highest value was in NS (55% higher than C). The total DW showed significant differences (p < 0.05), with the highest values in pH+S and pH (50% and 35% higher than C). The water content was significantly different (p < 0.05) among treatments, showing the same trend in the marketable harvest, residues, and total, in which NS showed the highest value compared to C (53%, 36%, and 40%, respectively), and just in roots, the treatments with pH adjustment (pH, pH+S, and NS) were higher than C. Root length and SRL showed significant differences (p < 0.05), in which both parameters presented higher values in pH and pH+S treatments (Table 5).
In romeritos, some observable differences in biomass were noticed (Table 4). The treatment NS showed leaves and stems that were thinner and narrower, while treatments pH and pH+S showed some chlorosis. However, only marketable harvest FW and DW showed significant differences (p < 0.05), with higher values in the pH and pH+S treatments (74% and 79% more than NS for FW, and 78% and 77% more than NS for DW) (Table 4). Water content, RL, and SRL did not show significant differences (p > 0.05) (Table 4 and Table 5).
Sea asparagus presented observable differences, in which the NS treatment presented fewer succulent shoots and more dry parts, and C showed more succulent shoots and a brighter color, the same as pH and pH+S treatments. However, though pH and pH+S showed some dry parts, it was still less than C. Statistically, just the WC of roots showed significant differences (p < 0.05) (Table 4). The highest value for the WC of roots was presented in C, and the lowest value was observed in NS. Almost all the other parameters followed the same trend, showing the lowest mean value in NS treatment (Table 4).

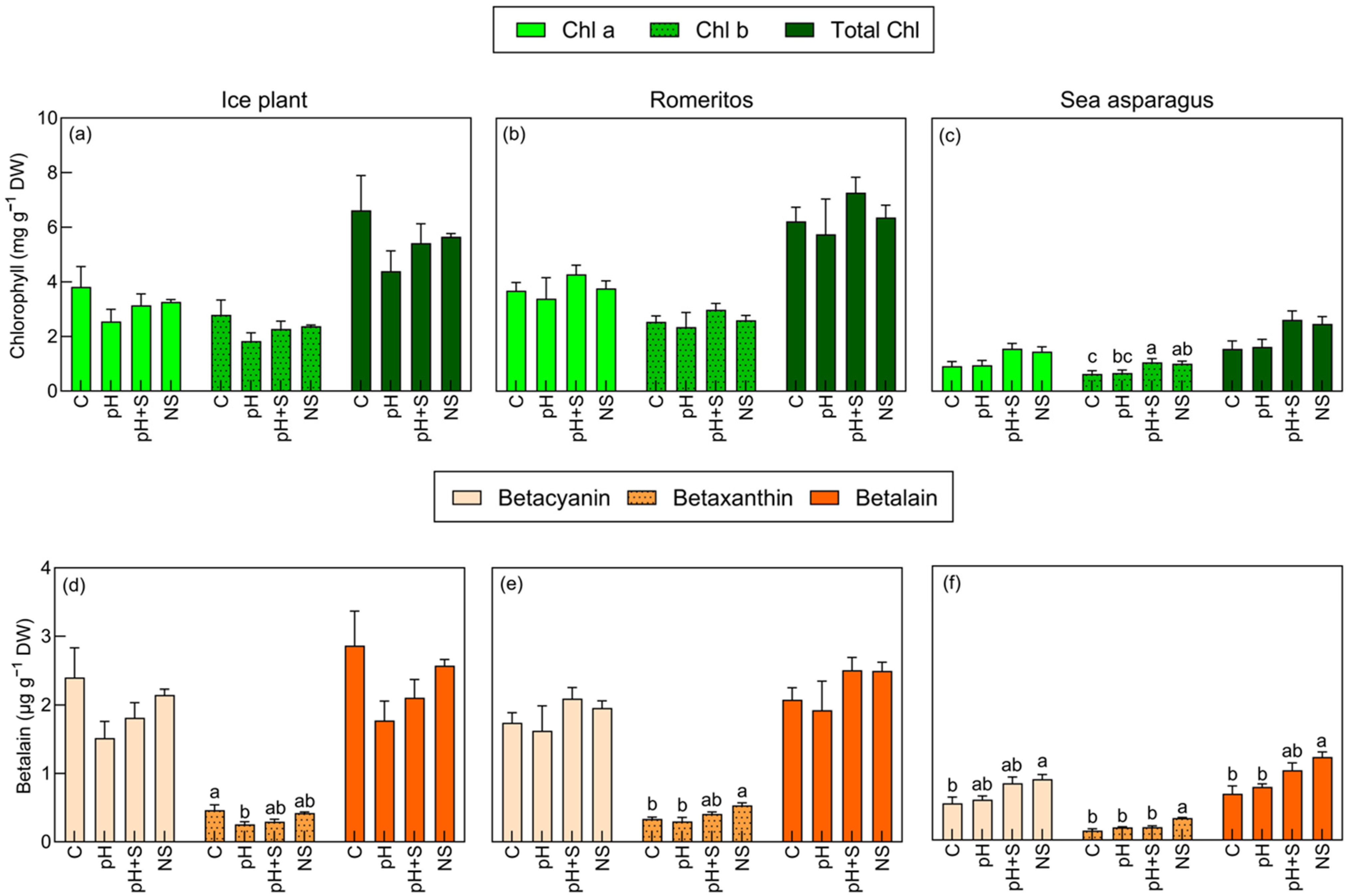
3.3. Leaf Pigments Content

Figure 4a–c, shows the chlorophyll a, chlorophyll b, and total chlorophyll (a + b) content of ice plant, romeritos, and sea asparagus, respectively. Ice plant and romeritos did not show significant differences (p > 0.05). The mean concentrations were higher in romeritos and ice plant than in sea asparagus. Sea asparagus showed significant differences (p < 0.05) in chlorophyll b where the treatment pH+S presented the highest concentration.
On the other hand, the betaxanthin content showed significant differences (p < 0.05) in ice plant and romeritos (Figure 4d,e), where, in ice plant, higher content was found in C, while for romeritos, higher content was found in NS. Betacyanin, betaxanthin, and betalain (betacyanin + betaxanthin) showed significant differences (p < 0.05) in sea asparagus, with higher concentrations in NS (Figure 4f).

3.4. Elements Concentration

Figure 5 and Figure 6 show the element concentration in the marketable harvest, residues, and roots of ice plant, romeritos, and sea asparagus among treatments.
Ice plant showed significant differences (p < 0.05) among treatments in the marketable harvest of all elements except Zn (Figure 6d), for residues except Ca and Mg (Figure 5d,e), and for roots except N and P (Figure 5a,b). A higher K value due to pH adjustment (pH and pH+S) was observed in all harvested parts (Figure 5c), while treatment with mineral supplementation (pH+S) increased the Fe value in roots (Figure 6a) and Mn and Cu in aerial parts (Figure 6b,c).
Romeritos did not show significant differences (p > 0.05) among treatments on N concentration in harvested parts (Figure 5g). Other elements showed significant differences (p < 0.05) except for Ca (Figure 5j), Mg (Figure 5k) in residues, and K (Figure 5i) and Fe (Figure 6e) in roots. Mineral supplementation (pH+S) presented higher values of P (Figure 5h), Mn (Figure 6g), Cu (Figure 6h), and Zn (Figure 6i) of all the harvested parts, while rooting medium acidification (pH) only promoted Fe accumulation in the aerial parts (Figure 6e).
Sea asparagus showed significant differences (p < 0.05) in most of the elements except in the concentration of P (Figure 5n) in residues and N (Figure 5m), K (Figure 5o), Ca (Figure 5p), and Cu (Figure 6k) in the roots. The rooting medium acidification in the markable harvest promotes a higher accumulation of Fe (Figure 6i). Sodium uptake was higher in the treatments under HSW in all the species (Figure 5f,i,r).
Only the mean values of the Na concentration in the marketable harvest of ice plant were significantly lower than those in romeritos and sea asparagus. Also, mainly N, K, Ca, Mg, and microelements presented a higher uptake in the treatment under low salinity (NS) in the three species.

3.5. Comprehensive Outcomes

Figure 7 presents a heatmap summarizing the overall effects of the treatments on the main variables of growth and quality parameters evaluated. The results revealed varying plant responses in biomass accumulation, morphological traits, leaf pigments, and nutritional elements, depending on the plant species. Considering growth as a key indicator for evaluating the viability of these plants under this cultivation method, the results confirm that all species are suitable, as the fresh weight of the marketable harvest performed as well as or better than the control. For ice plant, the NS treatment resulted in higher fresh biomass accumulation; however, in terms of dry weight and water content, the NS treatment had a more negative impact on all three species. Similar negative effects were observed for root length and specific root length, where the pH and pH+S treatments were less impacted than NS. Leaf pigments were more negatively influenced in ice plant across all treatments, whereas romeritos and sea asparagus showed values similar to or higher than the control treatment. Figure 7 highlights only the nutritional content of the edible portion (marketable harvest). The NS treatment enhanced nutritional quality across all three species, likely due to its lower Na content, which facilitated better mineral absorption. However, this did not translate into improved dry biomass accumulation. In romeritos and sea asparagus, acidification of the rooting medium and mineral supplementation (pH and pH+S treatments) further improved nutrient uptake. In contrast, ice plant exhibited lower nutritional quality compared to the control, despite acidification and supplementation enhancing the content of P, K, Mn, and Cu.

4. Discussion

4.1. HSW Aquaculture Rearing Water Quality

The daily water loss during rearing water preparation for ice plant, romeritos, and sea asparagus was 0.525%, 0.603%, and 0.937%, respectively, of the 1600 L aquaculture tank volume. These differences reflect variations in tilapia biomass and average temperature during each rearing water preparation. The sodium chloride concentration in the half-strength seawater aquaponic system was reduced by half compared to coastal underground water, coinciding with reported salinity tolerances of tilapia (103–342 mM NaCl) [12,45,46]. The average P concentration in the three used HSW was about one-quarter of that in standard nutrient solutions (Table 1), and similar findings were obtained in the fish wastewater prepared by Kaburagi et al. [26]. While fish feed is the primary P source in aquaponics, only 15% is utilized by fish, leaving 85% as residual, which is often insufficient for plant growth [24,47,48]. Most microelements were undetected in HSW except for boron (B), which exceeded standard levels due to its abundance in seawater [49]. The pH during ice plant cultivation (Figure 3a) showed a different trend compared to romeritos and sea asparagus cultivation (Figure 3b,c). In the NS, pH, and pH+S treatments, the pH was maintained near 5.5, whereas the control (C) remained around 8.0, later dropping close to 3.0 with foam formation. This pH drop could be attributed to a hydrogen ion (H+) released by ice plant roots to balance cation–anion uptake [50,51,52], which, alongside protein denaturation or misfolding, can stabilize foam when water is aerated [53,54]. This effect has been observed in nutrient-rich or biologically active systems like aquaponics [55].

4.2. Leaf Pigments Reponse

Chlorophyll reduction at high salinities has been reported in ice plant, sea asparagus, and other Suaeda species [56,57,58]. However, in this experiment, no chlorophyll reduction was observed despite the high salinity levels in the C, pH, and pH+S treatments. Furthermore, no significant differences in chlorophyll content were found among treatments for ice plant and romeritos (Figure 4a,b) In contrast, chlorophyll b in sea asparagus was significantly higher in treatments with pH adjustment (pH, pH+S, and NS) (Figure 4c), coinciding with increased Fe uptake in these treatments (Figure 6i). A pH above 7.0 (as C treatment) could lead to Fe deficiency, affecting chlorophyll synthesis [59,60]. Chlorophyll b plays a role in directing light energy to PSII, enhancing photosynthetic efficiency under suboptimal conditions [61]. Interestingly, NS showed the highest chlorophyll b but also exhibited more senescing characteristics than salinity-stressed treatments, suggesting an adaptive mechanism to optimize light capture during senescence.
Ice plant primarily accumulates betalains, such as betacyanins, as antioxidants rather than anthocyanins [62,63]. Betacyanin works as an antioxidant in Suaeda schimperi and Suaeda vermiculata as an adaptive strategy to overcome the stress caused by environmental conditions [64]. In sea asparagus, betacyanin, betaxanthin, and betalain levels were highest in NS, where senescing shoots were more prevalent. Similar findings in Salicornia brachiate suggest that betalains play a role in scavenging reactive oxygen species during senescence [65].

4.3. Growth and Nutritional Parameters

The largest FW in ice plant was observed in NS (Table 4), indicating that water absorption was inhibited under HSW due to negative water potential from external salinity, reducing water movement [66,67]. The dry weight results align with those of Xia and Mattson [19], showing easier water accumulation at lower salinities. Under HSW with pH adjustment (pH and pH+S), ice plant exhibited higher RL and SRL (Table 5), which are adaptive traits for enhancing water uptake under osmotic stress [68,69,70]. The optimal pH prevents nutrient lockout, maintaining root function even in saline conditions [71,72,73]. Ice plant stores Na in epidermal bladder cells to enhance survival under stress conditions [74]. The Na concentration was significantly higher in plants cultivated under HSW, with residues and roots accumulating more than the marketable harvest, as reported by Atzori et al. [56], highlighting a strategy to protect photosynthetic tissues by sequestering Na in older leaves [75]. This mechanism improved Ca concentration in marketable harvest and roots under HSW, consistent with reports of Ca safeguarding membranes during salt stress [76,77]. However, Ca concentration was lower in marketable harvest compared to residues and roots due to its immobility after deposition [73,78]. In ice plant, the optimal pH enhanced K uptake, as observed in pH and pH+S treatments (Figure 5c). Mineral supplementation (pH+S) increased Fe in roots, while marketable harvest and residues showed higher Fe in C, likely due to Fe-deficit responses (strategy I) at high pH [79]. Mn and Cu accumulation was also promoted by mineral supplementation, with higher levels in pH+S compared to C.
In romeritos, the total fresh and dry weight did not show significant differences among treatments (Table 4). However, the marketable harvest exhibited statistical differences, with the lowest fresh and dry biomass observed in the NS treatment compared to pH and pH+S. Although not statistically significant, the biomass in NS trended lower than in C, highlighting the importance of Na for the growth of S. edulis [80]. Nutrient supplementation in the pH+S treatment did not significantly affect fresh or dry weight compared to the pH treatment. Potassium and Ca concentrations were higher in NS compared to HSW treatments. Previous studies have shown that when external Na levels are low, succulent halophytes like Suaeda maritima accumulate more K. Conversely, high Na adsorption ratios can inhibit Ca uptake [11,81]. Unlike in ice plant, the acidification of the rooting medium did not enhance K absorption in romeritos. This may be due to the ability of romeritos and other halophytes to substitute K for Na to maintain osmotic balance and water absorption, reducing reliance on K [11,82]. Additionally, because K and Na share common transport pathways, an excess of Na could outcompete K for uptake, limiting K absorption [83,84]. Phosphorus, Cu, and Zn uptake was enhanced by mineral supplementation (pH+S) in all harvested parts. However, Fe and Mn accumulation in the aerial parts (marketable harvest and residues) was only promoted by pH adjustment, with no differences observed between pH and pH+S treatments.
The Salicornioideae genera includes obligate halophytes, which require high ion concentrations for optimal growth [85]. For instance, Salicornia europaea (sea asparagus) has been reported to thrive in rooting media with NaCl concentrations ranging from 85 mM to 300 mM [86,87,88]. In this experiment, no significant differences in total FW, DW, RL, or SRL were observed among treatments, even under low salinity conditions. However, damage was observed in the NS treatment compared to C, pH, and pH+S. This aligns with findings that excessively low or high salinity can negatively impact the growth of Salicornia bigelovii, leading to reduced productivity, thinner stems and shoots, decreased branching, and impaired water uptake [89]. Sea asparagus showed higher Na concentrations in treatments using HSW, consistent with reports for other Salicornia species where Na content increases with salinity. Excessive NaCl can induce K, Ca, and Mg deficiencies [90,91,92,93,94], possibly due to competition for absorption sites at the plasmalemma or increased K efflux from roots caused by salinity-induced membrane disturbances [95]. Potassium uptake was not enhanced by root medium acidification, similar to observations in romeritos.
Sea asparagus appears to have a stronger dependency on high salinity compared to romeritos, as its water content was significantly lower under low salinity conditions (NS). Sea asparagus actively accumulates Na in its tissues, facilitating water retention through osmotic adjustments [96,97]. In contrast, Suaeda species tolerate a broader salinity range, making salinity less critical for their growth [16,18,98,99].
Micronutrient accumulation patterns showed higher Fe, Mn, and Cu concentrations in the roots across all three species (Figure 6a,b,e,g,i–k), whereas elements like Na, Ca, Mg, and P were predominantly translocated to the upper parts of the plants. The preferential storage of Fe in the roots is consistent with its limited mobility, likely due to the formation of large chelate complexes that impede translocation within the plant [100,101,102,103]. Although the pH+S treatment resulted in higher micronutrient content compared to the control, it did not yield observable effects on growth. Nevertheless, these results suggest potential applications as an agronomic practice in biofortification strategies.
Romeritos and sea asparagus exhibited similar adaptive responses to salinity, primarily through internal salt accumulation in vacuoles. In contrast, ice plant employs a combination of salt excretion and water storage in bladder cells and can shift to CAM photosynthesis under drought stress [11,16,74,104,105].

5. Conclusions

This study confirms that a half-strength seawater aquaponics system can support the successful cultivation of the halophytes ice plant, romeritos, and sea asparagus by leveraging their natural adaptations to saline conditions. Ice plant showed improved mineral uptake and marketable yield with pH adjustment and nutrient supplementation, although pigment reductions suggest stress responses. Romeritos and sea asparagus maintained stable growth even under untreated HSW, performing comparably to or exceeding standard nutrient solution, with sea asparagus exhibiting increased chlorophyll b under pH adjustment, linked to enhanced Fe uptake. While acidification and supplementation improved nutrient uptake in romeritos and sea asparagus, their overall growth was not significantly enhanced. These findings highlight the potential of half-strength seawater aquaponics for sustainable halophyte cultivation and emphasize the importance of tailoring pH adjustment and nutrient management to species-specific needs. While ice plant growth and marketable yield can be optimized through these strategies, further studies are needed to explore the morphological and physiological adaptations of romeritos and sea asparagus to enhance their productivity under saline aquaponic systems.

Author Contributions

Conceptualization and methodology, M.Y. and S.Y.; experiment conductance, A.C.R.-N.; data acquisition, A.C.R.-N., M.Y. and S.Y.; statistical analyses, A.C.R.-N.; investigation, A.C.R.-N., M.E. and B.M.-A.; resources, M.E. and B.M.-A.; writing—original draft preparation, A.C.R.-N. and S.Y.; writing—review and editing, all authors; funding acquisition, S.Y. All authors have read and agreed to the published version of the manuscript.

Funding

This research was financially supported by the Japan Society for the Promotion of Science KAKENHI, grant number JP23K05184.

Data Availability Statement

The data presented in this study are available on request from the corresponding author.

Acknowledgments

The authors would like to thank Itzuo Kuzasa, Wataru Tsuji (Tottori University), and Masako Iwashita (Arid Land Research Center) for their technical support. Also, we thank CONAHCYT for the scholarship received and Tottori University for the workspace during this study.

Conflicts of Interest

The authors declare no conflicts of interest.

References

  1. Bijl, D.L.; Biemans, H.; Bogaart, P.W.; Dekker, S.C.; Doelman, J.C.; Stehfest, E.; Van Vuuren, D.P. A Global Analysis of Future Water Deficit Based on Different Allocation Mechanisms. Water Resour. Res. 2018, 54, 5803–5824. [Google Scholar] [CrossRef]
  2. Gaur, M.K.; Squires, V.R. Climate Variability Impacts on Land Use and Livelihoods in Drylands, 1st ed.; Springer: Cham, Switzerland, 2017; pp. 3–20. [Google Scholar] [CrossRef]
  3. Gaaloul, N.; Pliakas, F.; Kallioras, A.; Schuth, C.; Marinos, P. Simulation of seawater intrusion in coastal aquifers: Forty five-years exploitation in an eastern coast aquifer in NE Tunisia. Open Hydrol. J. 2012, 6, 31–44. [Google Scholar] [CrossRef]
  4. Ingrao, C.; Strippoli, R.; Lagioia, G.; Huisingh, D. Water Scarcity in Agriculture: An Overview of Causes, Impacts and Approaches for Reducing the Risks. Heliyon 2023, 9, e18507. [Google Scholar] [CrossRef]
  5. Glenn, E.P.; Brown, J.J.; Blumwald, E. Salt Tolerance and Crop Potential of Halophytes. Crit. Rev. Plant Sci. 1999, 18, 227–255. [Google Scholar] [CrossRef]
  6. Spradlin, A.; Saha, S. Saline aquaponics: A review of challenges, opportunities, components, and system design. Aquaculture 2022, 555, 738173. [Google Scholar] [CrossRef]
  7. Rakocy, J.E. Aquaponics-Integrating Fish and Plant Culture. In Aquaculture Production Systems; Tidwell, J.H., Ed.; John Wiley & Sons, Inc.: Ames, IA, USA, 2012; pp. 343–383. [Google Scholar] [CrossRef]
  8. Alshrouf, A. Hydroponics, aeroponic and aquaponic as compared with conventional farming. Am. Sci. Res. J. Eng. Technol. Sci. 2017, 27, 247–255. [Google Scholar]
  9. Spotte, S.H. Biological Process. In Captive Seawater Fishes; Spotte, S.H., Ed.; John Wiley & Sons: New York, NY, USA, 1993; pp. 79–91. [Google Scholar]
  10. Huguenin, J.E.; Colt, J. Design and Operating Guide for Aquaculture Seawater Systems, 2nd ed.; Elsevier Science B.V: Amsterdam, The Netherlands, 2002; pp. 20–24. [Google Scholar]
  11. Flowers, T.J.; Colmer, T.D. Salinity Tolerance in Halophytes. New Phytol. 2008, 179, 945–963. [Google Scholar] [CrossRef] [PubMed]
  12. Suresh, A.V.; Lin, C.K. Tilapia culture in saline waters: A review. Aquaculture 1992, 106, 201–226. [Google Scholar] [CrossRef]
  13. Millero, F.J.; Feistel, R.; Wright, D.; McDougall, T. The composition of standard seawater and the definition of the reference-composition salinity scale. Deep. Sea Res. Part I Oceanogr. Res. Pap. 2008, 55, 50–72. [Google Scholar] [CrossRef]
  14. Haro, R.; Bañuelos, M.A.; Quintero, F.J.; Rubio, F.; Rodríguez-Navarro, A. Genetic Basis of Sodium Exclusion and Sodium Tolerance in Yeast. A Model for Plants. Physiol. Plant. 1993, 89, 868–874. [Google Scholar] [CrossRef]
  15. Flowers, T.J.; Muscolo, A. Introduction to the Special Issue: Halophytes in a Changing World. AoB Plants 2015, 7, plv020. [Google Scholar] [CrossRef] [PubMed]
  16. Lv, S.; Jiang, P.; Chen, X.; Fan, P.; Wang, X.; Yinxin, L. Multiple compartmentalization of sodium conferred salt tolerance in Salicornia europaea. Plant Physiol. Biochem. 2012, 51, 47–52. [Google Scholar] [CrossRef]
  17. Rodríguez-Hernández, M.D.C.; Garmendia, I. Optimum Growth and Quality of the Edible Ice Plant Under Saline Conditions. J. Sci. Food Agric. 2022, 102, 2686–2692. [Google Scholar] [CrossRef] [PubMed]
  18. Song, J.; Wang, B. Using Euhalophytes to Understand Salt Tolerance and to Develop Saline Agriculture: Suaeda salsa as a Promising Model. Ann. Bot. 2015, 115, 541–553. [Google Scholar] [CrossRef]
  19. Xia, J.; Mattson, N. Response of Common Ice Plant (mesembryanthemum Crystallinum L.) to Sodium Chloride Concentration in Hydroponic Nutrient Solution. HortScience 2022, 57, 750–756. [Google Scholar] [CrossRef]
  20. Lennard, W.; Goddek, S. Aquaponics: The Basics. In Aquaponics Food Production Systems: Combined Aquaculture and Hydroponic Production Technologies for the Future, 1st ed.; Goddek, S., Joyce, A., Kotzen, B., Burnell, G.M., Eds.; Springer: Cham, Switzerland, 2019; pp. 113–143. [Google Scholar] [CrossRef]
  21. Umamaheswari, S.; Preethi, A.; Pravin, E.; Dhanusha, R. Integrating scheduled hydroponic system. In Proceedings of the 2016 IEEE International Conference on Advances in Computer Applications (ICACA), Coimbatore, India, 24 October 2016. [Google Scholar] [CrossRef]
  22. Bugbee, B. Nutrient management in recirculating hydroponic culture. Acta Hortic. 2004, 648, 99–112. [Google Scholar] [CrossRef]
  23. Nikolic, M.; Pavlovic, J. Plant Responses to Iron Deficiency and Toxicity and Iron Use Efficiency in Plants. In Plant Micronutrient Use Efficiency Molecular and Genomic Perspectives in Crop Plants, 1st ed.; Hossain, M.A., Kamiya, T., Burritt, D., Tran, L.S.P., Fujiwara, T., Eds.; Academic Press: Cambridge, MA, USA, 2018; pp. 55–69. [Google Scholar]
  24. Graber, A.; Junge, R. Aquaponics systems: Nutrient recycling from fish wastewater by vegetable production. Desalination 2009, 246, 147–156. [Google Scholar] [CrossRef]
  25. Roosta, H.R.; Hamidpour, M. Effects of foliar application of some macro and micro-nutrients on tomato plants in aquaponic and hydroponic systems. Sci. Hortic. 2011, 129, 396–402. [Google Scholar] [CrossRef]
  26. Kaburagi, E.; Yamada, M.; Baba, T.; Fujiyama, H. Aquaponics using saline groundwater: Effect of adding microelements to fish wastewater on the growth of swiss chard (Beta vulgaris L. spp. cicla). Agric. Water Manag. 2020, 227, 105851. [Google Scholar] [CrossRef]
  27. Lobanov, V.P.; Combot, D.; Pelissier, P.; Labbé, L.; Joyce, A. Improving Plant Health Through Nutrient Remineralization in Aquaponic Systems. Front. Plant Sci. 2021, 12, 683690. [Google Scholar] [CrossRef]
  28. Rakocy, J.E.; Masser, M.P.; Losordo, T.M. Recirculating aquaculture tank production systems: Aquaponics-integrating fish and plant culture. SRAC Publ. 2006, 454, 344–386. [Google Scholar]
  29. Ebeling, J.M.; Timmons, M.B. Recirculating Aquaculture Systems. In Aquaculture Production System; Tidwell, J.H., Ed.; John Wiley & Sons, Inc.: Ames, IA, USA, 2012; pp. 245–277. [Google Scholar] [CrossRef]
  30. Suhl, J.; Dannehl, D.; Kloas, W.; Baganz, D.; Jobs, S.; Scheibe, G.; Schmidt, U. Advanced aquaponics: Evaluation of intensive tomato production in aquaponics vs. conventional hydroponics. Agric. Water Manag. 2016, 178, 335–344. [Google Scholar] [CrossRef]
  31. Doncato, K.B.; Costa, C.S.B. Micronutrient supplementation needs for halophytes in saline aquaponics with BFT system water. Aquaculture 2021, 531, 735815. [Google Scholar] [CrossRef]
  32. Tyson, R.V.; Simonne, E.H.; Davis, M.; Lamb, E.M.; White, J.M.; Treadwell, D.D. Effect of nutrient solution, nitrate-nitrogen concentration, and pH on nitrification rate in perlite medium. J. Plant Nutr. 2007, 30, 901–913. [Google Scholar] [CrossRef]
  33. Goddek, S.; Espinal, C.; Delaide, B.; Jijakli, M.; Schmautz, Z.; Wuertz, S.; Keesman, K. Navigating Towards Decoupled Aquaponic Systems: A System Dynamics Design Approach. Water 2016, 8, 303. [Google Scholar] [CrossRef]
  34. Ayipio, E.; Wells, D.E.; Mcquilling, A.; Wilson, A.E. Comparisons Between Aquaponic and Conventional Hydroponic Crop Yields: A Meta-analysis. Sustainability 2019, 11, 6511. [Google Scholar] [CrossRef]
  35. Rodgers, D.; Won, E.; Timmons, M.B.; Mattson, N. Complementary Nutrients in Decoupled Aquaponics Enhance Basil Performance. Horticulturae 2022, 8, 111. [Google Scholar] [CrossRef]
  36. Fimbres-Acedo, Y.E.; Traversari, S.; Cacini, S.; Costamagna, G.; Ginepro, M.; Massa, D. Testing the Effect of High Ph and Low Nutrient Concentration on Four Leafy Vegetables in Hydroponics. Agronomy 2022, 13, 41. [Google Scholar] [CrossRef]
  37. Wortman, S.E. Crop physiological response to nutrient solution electrical conductivity and pH in an ebb-and-flow hydroponic system. Sci. Hortic. 2015, 194, 34–42. [Google Scholar] [CrossRef]
  38. Kaburagi, E.; Morikawa, Y.; Yamada, M.; Fujiyama, H. Sodium Enhances Nitrate Uptake in Swiss Chard (Beta vulgaris var. cicla L.). Soil Sci. Plant Nutr. 2014, 60, 651–658. [Google Scholar] [CrossRef]
  39. Hiiro, K.; Kawahara, A.; Tanaka, T.; Wakida, S.-I.; Yamane, M.; Higashi, K. Ultraviolet Spectrophotometric Determination of Total Nitrogen in Sea Water Samples. Jpn. J. Water Pollut. Res. 1988, 11, 320–324. [Google Scholar] [CrossRef][Green Version]
  40. Japanese Ministry of Economy, Trade, and Industry. Testing Methods for Industrial Wastewater. 2019. Available online: http://www.jisc.go.jp/index.html (accessed on 19 January 2023).
  41. Murphy, J.; Riley, J.P. A modified single solution method for the determination of phosphate in natural waters. Anal. Chim. Acta 1962, 27, 31–36. [Google Scholar] [CrossRef]
  42. Wintermans, J.F.; Mots, A. Spectrophotometric characteristics of chlorophylls a and b and their pheophytins in ethanol. Biochim. Biophys. Acta 1965, 109, 448–453. [Google Scholar] [CrossRef] [PubMed]
  43. Castellanos-Santiago, E.; Yahia, E.M. Identification and quantification of betalains from the fruits of 10 Mexican prickly pear cultivars by high-performance liquid chromatography and electrospray ionization mass spectrometry. J. Agric. Food Chem. 2008, 56, 5451–5982. [Google Scholar] [CrossRef] [PubMed]
  44. Chapman, H.D.; Pratt, P.F. Methods of analysis for soils, plants, and waters. Soil Sci. 1962, 93, 68. [Google Scholar] [CrossRef]
  45. Kimera, F.; Mugwanya, M.; Dawood, M.; Sewilam, H. Growth Response of Kale (Brassica oleracea) and Nile Tilapia (Oreochromis niloticus) Under Saline Aqua-sandponics-vegeculture System. Sci. Rep. 2023, 13, 2427. [Google Scholar] [CrossRef]
  46. Thomas, R.M.; Verma, A.K.; Krishna, H.; Prakash, S.; Kumar, A.; Peter, R.M. Effect of salinity on growth of nile tilapia (Oreochromis niloticus) and spinach (Spinacia oleracea) in aquaponic system using inland saline groundwater. Aquac. Res. 2021, 52, 6288–6298. [Google Scholar] [CrossRef]
  47. Rafiee, G.; Saad, C.R. Nutrient cycle and sludge production during different stages of red tilapia (Oreochromis sp.) growth in a recirculating aquaculture system. Aquaculture 2005, 244, 109–118. [Google Scholar] [CrossRef]
  48. Cerozi, B.S.; Fitzsimmons, K. Phosphorus dynamics modeling and mass balance in an aquaponics system. Agric. Sysems 2017, 153, 94–100. [Google Scholar] [CrossRef]
  49. Duxbury, A.C.; Byrne, R.H.; Mackenzie, F.T. Seawater, Encyclopedia Britannica. 2024. Available online: https://www.britannica.com/science/seawater (accessed on 29 May 2024).
  50. Riley, D.; Barber, S.A. Bicarbonate accumulation and pH changes at the soybean (Glycine max (L.) Merr.) root-soil interface. Soil Sci. Soc. Am. J. 1969, 33, 905–908. [Google Scholar] [CrossRef]
  51. Riley, D.; Barber, S.A. Effect of ammonium and nitrate fertilization on phosphorus uptake as related to root-induced pH changes at the root-soil interface. Soil Sci. Soc. Am. J. 1971, 35, 301–306. [Google Scholar] [CrossRef]
  52. Raven, J.A. pH regulation in plants. Sci. Prog. 1985, 69, 495–509. [Google Scholar]
  53. Zayas, J.F. Foaming Properties of Proteins. In Functionality of Proteins in Food; Zayas, J.F., Ed.; Springer: Berlin/Heidelberg, Germany, 1997; pp. 260–309. [Google Scholar] [CrossRef]
  54. Dill, K.A.; Shortle, D. Denatured states of proteins. Annu. Rev. Biochem. 1991, 60, 795–825. [Google Scholar] [CrossRef] [PubMed]
  55. SATREPS. Technical Manual of Aquaponics Combined with Open Culture Adapting to Arid Regions, 1st ed.; Fukui Print: Tottori, Japan, 2020; p. 58. [Google Scholar]
  56. Atzori, G.; de Vos, A.C.; van Rijsselberghe, M.; Vignolini, P.; Rozema, J.; Mancuso, S.; van Bodegom, P.M. Effects of increased seawater salinity irrigation on growth and quality of the edible halophyte Mesembryanthemum crystallinum L. under field conditions. Agric. Water Manag. 2017, 187, 37–46. [Google Scholar] [CrossRef]
  57. Cárdenas-Pérez, S.; Rajabi Dehnavi, A.; Leszczyński, K.; Lubińska-Mielińska, S.; Ludwiczak, A.; Piernik, A. Salicornia europaea L. Functional Traits Indicate Its Optimum Growth. Plants 2022, 11, 1051. [Google Scholar] [CrossRef]
  58. Behr, J.H.; Bouchereau, A.; Berardocco, S.; Seal, C.E.; Flowers, T.J.; Zörb, C. Metabolic and Physiological Adjustment of Suaeda maritimato Combined Salinity and Hypoxia. Ann. Bot. 2017, 119, 965–976. [Google Scholar] [CrossRef] [PubMed]
  59. Savvas, D.; Gruda, N.S. Application of soilless culture technologies in the modern greenhouse industry—A review. Eur. J. Hortic. Sci. 2018, 83, 280–293. [Google Scholar] [CrossRef]
  60. Kobayashi, T.; Nishizawa, N.K. Iron uptake, translocation, and regulation in higher plants. Annu. Rev. Plant Biol. 2012, 63, 131–152. [Google Scholar] [CrossRef] [PubMed]
  61. Hörtensteiner, S. Chlorophyll degradation during senescense. Annu. Rev. Plant Biol. 2006, 57, 55–77. [Google Scholar] [CrossRef]
  62. Mabry, T.J. Betalains. In Encyclopedia of Plant Physiology. New Series. Volume 8. Secondary Plant Products; Pirson, A., Zimmerman, M.H., Eds.; Springer-Verlag: Berlin/Heidelberg, Germany; New York, NY, USA, 1981; pp. 513–533. [Google Scholar]
  63. Bouftira, I.; Abdelly, C.; Sfar, S. Identification of a naturally ocurring 2, 6-bis (1.1-dimethylethyl)-4-methylphenol from purple leaves of the halophyte plant Mesembryanthemum crystallinum. Afr. J. Biotechnol. 2007, 6, 1136–1139. [Google Scholar]
  64. Ibraheem, F.; Al-Zahrani, A.; Mosa, A. Physiological Adaptation of Three Wild Halophytic Suaeda Species: Salt Tolerance Strategies and Metal Accumulation Capacity. Plants 2022, 11, 537. [Google Scholar] [CrossRef] [PubMed]
  65. Parida, A.K.; Kumari, A.; Panda, A.; Rangani, J.; Agarwal, P.K. Photosynthetic Pigments, Betalains, Proteins, Sugars, and Minerals During Salicornia brachiata Senescence. Biol. Plant. 2018, 62, 343–352. [Google Scholar] [CrossRef]
  66. Buhmann, A.K.; Waller, U.; Wecker, B.; Papenbrock, J. Optimization of culturing conditions and selection of species for the use of halophytes as biofilter for nutrient-rich saline water. Agric. Water Manag. 2015, 149, 102–114. [Google Scholar] [CrossRef]
  67. Nozzi, V.; Parisi, G.; Di Crescenzo, D.; Giordano, M.; Carnevali, O. Evaluation of Dicentrarchus labrax Meats and the Vegetable Quality of Beta vulgaris Var. Cicla farmed in Freshwater and Saltwater Aquaponic Systems. Water 2016, 8, 423. [Google Scholar] [CrossRef]
  68. Munns, R.; Tester, M. Mechanisms of salinity tolerance. Annu. Rev. Plant Biol. 2008, 59, 651–681. [Google Scholar] [CrossRef] [PubMed]
  69. West, G.; Inzé, D.; Beemster, G.T.S. Cell Cycle Modulation in the Response of the Primary Root of Arabidopsis to Salt Stress. Plant Physiol. 2004, 135, 1050–1058. [Google Scholar] [CrossRef]
  70. Lynch, J. Root architecture and plant productivity. Plant Physiol. 1995, 109, 7–13. [Google Scholar] [CrossRef]
  71. Atta, A.A.; Morgan, K.T.; Hamido, S.A.; Kadyampakeni, D.M. Effect of essential nutrients on roots growth and lifespan of Huanglongbing affected citrus trees. Plants 2020, 9, 483. [Google Scholar] [CrossRef]
  72. Cao, Y.; Song, H.; Zhang, L. New Insight into Plant Saline-alkali Tolerance Mechanisms and Application to Breeding. Int. J. Mol. Sci. 2022, 23, 16048. [Google Scholar] [CrossRef]
  73. Taiz, L.; Zeiger, E. Plant Physiology, 3rd ed.; Sinauer Associates, Inc., Publishers: Sunderland, MA, USA, 2002. [Google Scholar]
  74. Agarie, S.; Shimoda, T.; Shimizu, Y.; Baumann, K.; Sunagawa, H.; Kondo, A.; Ueno, O.; Nakahara, T.; Nose, A.; Cushman, J.C. Salt tolerance, salt accumulation, and ionic homeostasis in an epidermal bladder-cell-less mutant of the common ice plant Mesembryanthemum crystallinum. J. Exp. Bot. 2007, 58, 1957–1967. [Google Scholar] [CrossRef] [PubMed]
  75. Adams, P.; Nelson, D.E.; Yamada, S.; Chmara, W.; Jensen, R.G.; Bohnert, H.J.; Griffiths, H. Growth and Development of Mesembryanthemum crystallinum (aizoaceae). New Phytol. 1998, 138, 171–190. [Google Scholar] [CrossRef]
  76. Yang, Y.; Xu, S.; An, L.; Chen, N. NADPH oxidase-dependent hydrogen peroxide production, induced by salinity stress, may be involved in the regulation of total calcium in roots of wheat. J. Plant Physiol. 2007, 164, 1429–1435. [Google Scholar] [CrossRef] [PubMed]
  77. Epstein, E. Mineral Nutrition of Plants: Principles and Perspectives; John Wiley and Sons, Inc.: New York, NY, USA, 1972. [Google Scholar]
  78. White, J.H. Long-Distance Transport in the Xylem and Phloem. In Marschner’s Mineral Nutrition of Higher Plants, 3rd ed.; Marschner, P., Ed.; Academic Press: San Diego, CA, USA, 2012; pp. 49–70. [Google Scholar]
  79. Marschner, H.; Römfeld, V. Strategies of plants for acquisition of iron. Plant Soil 1994, 165, 261–274. [Google Scholar] [CrossRef]
  80. Costa-Becheleni, F.R.; Troyo-Diéguez, E.; Nieto-Garibay, A.; Bustamante-Salazar, L.A.; García-Galindo, H.S.; Murillo-Amador, B. Hydro-environmental Criteria for Introducing an Edible Halophyte from a Rainy Region to an Arid Zone: A Study Case of Suaeda Spp. as a New Crop in NW México. Plants 2021, 10, 1996. [Google Scholar] [CrossRef] [PubMed]
  81. Porcelli, C.A.; Gutierrez Boem, F.H.; Lavado, R.S. The K/na and Ca/na Ratios and Rapeseed Yield, Under Soil Salinity or Sodicity. Plant Soil 1995, 175, 251–255. [Google Scholar] [CrossRef]
  82. Wakeel, A.; Farooq, M.; Qadir, M.; Schubert, S. Potassium substitution by sodium in plants. Crit. Rev. Plant Sci. 2011, 30, 401–413. [Google Scholar] [CrossRef]
  83. Maathuis, F. K+ nutrition and Na+ toxicity: The Basis of Cellular K+/Na+ ratios. Ann. Bot. 1999, 84, 123–133. [Google Scholar] [CrossRef]
  84. Zhu, J.-K. Regulation of ion homeostasis under salt stress. Curr. Opin. Plant Biol. 2003, 6, 441–445. [Google Scholar] [CrossRef]
  85. Barbour, M.G. Is any angiosperm an obligate halophyte? Am. Midlan Nat. 1970, 84, 105–120. [Google Scholar] [CrossRef]
  86. Moghajeb, R.E.A.; Saneoka, H.; Fujita, K. Effect of salinity on osmotic adjustment, glycinebetaine accumulation and the betaine aldehyde dehydrogenase gene expression in two halophytic plants, Salicornia europaea and Suaeda maritima. Plant Sci. 2004, 166, 1345–1349. [Google Scholar] [CrossRef]
  87. Balnokin, Y.V.; Myasoedov, N.A.; Shamsutdinov, Z.S.; Shamsutdinov, N.Z. Significance of Na+ and K+ for Sustained Hydration of Organ Tissues in Ecologically Distinct Halophytes of the Family Chenopodiaceae. Russ. J. Plant Physiol. 2005, 52, 779–787. [Google Scholar] [CrossRef]
  88. Ozawa, T.; Wu, J.; Fujii, S. Effect of Inoculation with a Strain of Pseudomonas pseudoalcaligenes isolated from the Endorhizosphere of Salicornia europeaon Salt Tolerance of the Glasswort. Soil Sci. Plant Nutr. 2007, 53, 12–16. [Google Scholar] [CrossRef]
  89. Kong, Y.; Zheng, Y. Potential of Producing Salicornia bigelovii Hydroponically as a Vegetable at Moderate Nacl Salinity. HortScience 2014, 49, 1154–1157. [Google Scholar] [CrossRef]
  90. Khan, M.A.; Gul, B.; Weber, D.J. Effect of salinity on the growth and ion content of Salicornia rubra. Commun. Soil Sci. Plant Anal. 2001, 32, 2965–2977. [Google Scholar] [CrossRef]
  91. Ayala, F.; O’Leary, J.W. Growth and physiology of Salicornia bigelovii Torr. at suboptimal salinity. Int. J. Plant Sci. 1995, 156, 197–205. [Google Scholar] [CrossRef]
  92. Amiri, B.; Assareh, M.H.; Rasouli, B.; Jafari, M.; Arzani, H.; Jafari, A.A. Effect of salinity on growth, ion content and water status of glasswort (Salicornia herbacea L.). Casp. J. Environ. Sci. 2010, 8, 79–87. [Google Scholar]
  93. Katschnig, D.; Broekman, R.; Rozema, J. Salt tolerance in the halophyte Salicornia dolichostachya Moss: Growth, morphology and physiology. Environ. Exp. Bot. 2013, 92, 32–42. [Google Scholar] [CrossRef]
  94. Ranjbar, G.; Khademi, R.; Dehghanie, F.; Keshtkar, S.; Islam, K.R. Salicornia sinus-persica: A high-yielding species for fodder production with seawater. Arid. Land Res. Manag. 2023, 38, 97–108. [Google Scholar] [CrossRef]
  95. Ding, M.; Zhang, M.; Wang, Z.; Yu, X.; Kinoshita, T.; Zeng, H.; Zhu, Y. Overexpression of a Plasma Membrane H+-atpase Gene OSA1 Stimulates the Uptake of Primary Macronutrients in Rice Roots. Int. J. Mol. Sci. 2022, 23, 13904. [Google Scholar] [CrossRef] [PubMed]
  96. Kudo, N.; Sugino, T.; Oka, M.; Fujiyama, H. Sodium Tolerance of Plants in Relation to Ionic Balance and the Absorption Ability of Microelements. Soil Sci. Plant Nutr. 2010, 56, 225–233. [Google Scholar] [CrossRef]
  97. Haque, M.I.; Rathose, M.S.; Gupta, H.; Jha, B. Inorganic solutes contribute more than organic solutes to the osmotic adjustment in Salicornia brachiate (Roxb.) under natural saline conditions. Aquat. Bot. 2017, 142, 78–86. [Google Scholar] [CrossRef]
  98. Djanaguiraman, M.; Prasad, P.V. Effects of Salinity on Ion Transport, Water Relations and Oxidative Damage. In Ecophysiology and Responses of Plants Under Salt Stress; Ahmad, P., Azooz, M.M., Prasad, M.N.V., Eds.; Springer: New York, NY, USA, 2013; pp. 89–114. [Google Scholar] [CrossRef]
  99. Alhaddad, F.A.; Abu-Dieyeh, M.H.; Elazazi, E.-S.M.; Ahmed, T.A. Salt Tolerance of Selected Halophytes at the Two Initial Growth Stages for Future Management Options. Sci. Rep. 2021, 11, 10194. [Google Scholar] [CrossRef] [PubMed]
  100. Petranich, E.; Acquavita, A.; Covelli, S.; Emili, A. Potential bioaccumulation of trace metals in halophytes from salt marshes of a northern adriatic coastal lagoon. J. Soils Sediments 2017, 17, 1986–1998. [Google Scholar] [CrossRef]
  101. Kovač, N.; Hauptman, Ž.; Dolenec, M.; Škornik, I.; Šmuc, N.R. Translocation Signatures of Major Elements in Halophytes from Hypersaline Environments: The Case Study from Sečovlje Salina (Republic of Slovenia). J. Soils Sediments 2023, 23, 4149–4162. [Google Scholar] [CrossRef]
  102. Badri, D.V.; Vivanco, J.M. Regulation and Function of Root Exudates. Plant Cell Environ. 2009, 32, 666–681. [Google Scholar] [CrossRef] [PubMed]
  103. Kochian, L.V. Mechanisms of Micronutrient Uptake and Translocation in Plants. In Micronutrients in Agriculture, 2nd ed.; Mortvedt, J.J., Ed.; SSSA Book Series; Wiley Online Library: Hoboken, NJ, USA, 1991; p. 8. [Google Scholar] [CrossRef]
  104. Wang, B.; Lüttge, U.; Ratajczak, R. Effects of salt treatment and osmotic stress on V-ATPase and V-PPase in leaves of the halophyte Suaeda salsa. J. Exp. Bot. 2001, 52, 2355–2365. [Google Scholar] [CrossRef]
  105. Winter, K.; Holtum, J.A.M. The Effects of Salinity, Crassulacean Acid Metabolism and Plant Age on the Carbon Isotope Composition of Mesembryanthemum Crystallinum L., a Halophytic C3-CAM Species. Planta 2005, 222, 201–209. [Google Scholar] [CrossRef] [PubMed]
Figure 1. Schematic diagram of the aquaponics system. Hydroponics were conducted with four replications per treatment.
Figure 1. Schematic diagram of the aquaponics system. Hydroponics were conducted with four replications per treatment.
Agronomy 15 00277 g001
Figure 2. Marketable harvest of (a) ice plant, (b) romeritos, and (c) sea asparagus. In (a), the ellipse shows the younger shoots, which correspond to the marketable harvest of the ice plant, and the upper part from the dashed lines in (b,c) shows the approximate length of harvest that represents the marketable harvest of romeritos and sea asparagus, respectively.
Figure 2. Marketable harvest of (a) ice plant, (b) romeritos, and (c) sea asparagus. In (a), the ellipse shows the younger shoots, which correspond to the marketable harvest of the ice plant, and the upper part from the dashed lines in (b,c) shows the approximate length of harvest that represents the marketable harvest of romeritos and sea asparagus, respectively.
Agronomy 15 00277 g002
Figure 3. pH values of the rooting medium during the cultivation period of (a) ice plant, (b) romeritos, and (c) sea asparagus (total cultivation periods were 42, 34, and 22 days, respectively) under four different treatment conditions (C: untreated HSW as a control; pH: HSW with pH adjustment to 5.5; pH+S: HSW with pH adjustment to 5.5 and nutrient supplementation; NS: standard nutrient solution). Values are means ± s.e. (n = 4).
Figure 3. pH values of the rooting medium during the cultivation period of (a) ice plant, (b) romeritos, and (c) sea asparagus (total cultivation periods were 42, 34, and 22 days, respectively) under four different treatment conditions (C: untreated HSW as a control; pH: HSW with pH adjustment to 5.5; pH+S: HSW with pH adjustment to 5.5 and nutrient supplementation; NS: standard nutrient solution). Values are means ± s.e. (n = 4).
Agronomy 15 00277 g003
Figure 4. Content of chlorophyll and betalain in the marketable harvest of ice plant (a,d), romeritos (b,e), and sea asparagus (c,f) cultivated under four different treatment conditions (C: untreated HSW as a control; pH: HSW with pH adjustment to 5.5; pH+S: HSW with pH adjustment to 5.5 and nutrient supplementation; NS: standard nutrient solution). The values are mean + s.e. (n = 4). The different letters on the top of the error bars indicate significant differences among treatments based on Tukey’s honestly significant difference (HSD) test (p < 0.05).
Figure 4. Content of chlorophyll and betalain in the marketable harvest of ice plant (a,d), romeritos (b,e), and sea asparagus (c,f) cultivated under four different treatment conditions (C: untreated HSW as a control; pH: HSW with pH adjustment to 5.5; pH+S: HSW with pH adjustment to 5.5 and nutrient supplementation; NS: standard nutrient solution). The values are mean + s.e. (n = 4). The different letters on the top of the error bars indicate significant differences among treatments based on Tukey’s honestly significant difference (HSD) test (p < 0.05).
Agronomy 15 00277 g004
Figure 5. Nitrogen, P, K, Ca, Mg, and Na concentrations in ice plant (af), romeritos (gl), and sea asparagus (mr) cultivated under four different treatment conditions (C: untreated HSW as a control; pH: HSW with pH adjustment to 5.5; pH+S: HSW with pH adjustment to 5.5 and nutrient supplementation; NS: standard nutrient solution). Bars labeled with different lowercase letters (a, b, c) indicate significant differences among treatments (C, pH, pH+S, and NS) based on Tukey’s honestly significant difference (HSD) test (p < 0.05). The values represent mean + s.e. (n = 4).
Figure 5. Nitrogen, P, K, Ca, Mg, and Na concentrations in ice plant (af), romeritos (gl), and sea asparagus (mr) cultivated under four different treatment conditions (C: untreated HSW as a control; pH: HSW with pH adjustment to 5.5; pH+S: HSW with pH adjustment to 5.5 and nutrient supplementation; NS: standard nutrient solution). Bars labeled with different lowercase letters (a, b, c) indicate significant differences among treatments (C, pH, pH+S, and NS) based on Tukey’s honestly significant difference (HSD) test (p < 0.05). The values represent mean + s.e. (n = 4).
Agronomy 15 00277 g005
Figure 6. Iron, Mn, Cu, and Zn concentrations in ice plant (ad), romeritos (eh), and sea asparagus (il) cultivated under four different treatment conditions (C: untreated HSW as a control; pH: HSW with pH adjustment to 5.5; pH+S: HSW with pH adjustment to 5.5 and nutrient supplementation; NS: standard nutrient solution). Bars labeled with different lowercase letters (a, b, c) indicate significant differences among treatments (C, pH, pH+S, and NS) based on Tukey’s honestly significant difference (HSD) test (p < 0.05). The values represent mean + s.e. (n = 4).
Figure 6. Iron, Mn, Cu, and Zn concentrations in ice plant (ad), romeritos (eh), and sea asparagus (il) cultivated under four different treatment conditions (C: untreated HSW as a control; pH: HSW with pH adjustment to 5.5; pH+S: HSW with pH adjustment to 5.5 and nutrient supplementation; NS: standard nutrient solution). Bars labeled with different lowercase letters (a, b, c) indicate significant differences among treatments (C, pH, pH+S, and NS) based on Tukey’s honestly significant difference (HSD) test (p < 0.05). The values represent mean + s.e. (n = 4).
Agronomy 15 00277 g006
Figure 7. Heatmap with growth and quality parameters of ice plant, romeritos and sea asparagus. The data are presented as the ratio of the mean values between the treatment and control groups (C: untreated HSW). pH: HSW with pH adjustment to 5.5; pH+S: HSW with pH adjustment to 5.5 and nutrient supplementation; NS: standard nutrient solution; FW: fresh weight; DW: dry weight; WC: water content; RL: root length; SRL: specific root length; MH: marketable harvest.
Figure 7. Heatmap with growth and quality parameters of ice plant, romeritos and sea asparagus. The data are presented as the ratio of the mean values between the treatment and control groups (C: untreated HSW). pH: HSW with pH adjustment to 5.5; pH+S: HSW with pH adjustment to 5.5 and nutrient supplementation; NS: standard nutrient solution; FW: fresh weight; DW: dry weight; WC: water content; RL: root length; SRL: specific root length; MH: marketable harvest.
Agronomy 15 00277 g007
Table 1. Chemical components of a standard nutrient solution and coastal groundwater.
Table 1. Chemical components of a standard nutrient solution and coastal groundwater.
ParametersUnitStandard Nutrient
Solution *1
Coastal Groundwater *2
pH 5.57.57
ECdS m−10.14948.1
T-NmM4.00.45
N O 3 -N4.00.01
N O 2 -N-N.D.
N H 4 + -N-N.D.
P0.4N.D.
K2.010.4
Ca1.011.7
Mg2.041.7
Na5454
Cl5542
BµM18102
Fe3515
Mn90.09
Zn1N.D.
Cu0.10.09
*1 Tottori University standard nutrient solution [38]. *2 Data indicate the results at Tomari, Tottori prefecture, Japan on 15 April 2022. N.D.: not detected.
Table 2. Details of aquaculture activities.
Table 2. Details of aquaculture activities.
ActivitiesAquaculture Start DateAquaculture Finish DateNumber of FishAverage Body Weight (g)Feeding Amount (g tank−1 day−1)
HSW * for
ice plant cultivation
13 October 202228 October 202291348228
HSW * for
romeritos cultivation
3 May 202323 May 202360714182
HSW * for
sea asparagus cultivation
10 June 202322 June 202355801167
* HSW: Half-strength seawater aquaculture rearing water.
Table 3. Composition of half-strength seawater aquaculture rearing water.
Table 3. Composition of half-strength seawater aquaculture rearing water.
ParametersUnitHSW * for
Ice Plant
HSW *
for Romeritos
HSW * for
Sea Asparagus
T-NmM5.96.64.6
N O 3 -N4.94.23.7
N O 2 -NN.D.0.10.1
N H 4 + -N0.070.050.2
P0.20.10.1
K9.059.18.9
Ca1.21.21.06
Mg22.025.423.2
Na262.4263.6250.6
Cl311.6307.5297.2
BµM216.4213.8209.8
FeN.D.N.D.N.D.
Mn0.60.50.6
ZnN.D.N.D.N.D.
CuN.D.N.D.N.D.
* HSW: Half-strength seawater aquaculture rearing water. N.D.: not detected.
Table 4. Fresh weight (FW), dry weight (DW), and water content (WC) of ice plant, romeritos, and sea asparagus cultivated under four different treatment conditions (C: untreated HSW as a control; pH: HSW with pH adjustment to 5.5; pH+S: HSW with pH adjustment to 5.5 and nutrient supplementation; NS: standard nutrient solution).
Table 4. Fresh weight (FW), dry weight (DW), and water content (WC) of ice plant, romeritos, and sea asparagus cultivated under four different treatment conditions (C: untreated HSW as a control; pH: HSW with pH adjustment to 5.5; pH+S: HSW with pH adjustment to 5.5 and nutrient supplementation; NS: standard nutrient solution).
Ice PlantRomeritosSea Asparagus
TreatmentMH *1RS *2RT *3TotalMH *1RS *2RT *3TotalMH *1RS *2RT *3Total
FW (g plant−1)
C49.16 (7.16) b225.83 (9.80) b11.94 (0.31) c286.94 (16.66) c100.55 (8.01) ab127.40 (2.78)57.85 (2.57)285.80 (10.24)25.75 (5.88)34.55 (4.21)6.31
(0.81)
66.63 (10.56)
pH69.00 (3.89) ab264.25 (11.82) b22.43 (0.81) b355.68 (9.20) b122.05 (10.78) a106.67 (12.09)52.78 (4.12)281.52 (20.08)27.86 (1.94)38.94 (3.28)8.82
(0.69)
75.62 (4.64)
pH+S68.08 (8.63) ab271.50 (12.30) b26.06 (1.44) b362.65 (19.44) b125.45 (8.81) a102.30 (10.07)49.15 (4.30)276.90 (22.30)27.18 (4.13)39.03 (3.38)8.50
(0.80)
74.72 (7.97)
NS84.66 (5.31) a360.50 (9.96) a31.10 (1.94) a476.27 (16.16) a70.05 (9.55) b99.05 (13.80)44.00 (4.33)213.10 (26.52)15.62 (2.51)24.89 (3.75)6.80
(1.46)
47.32 (7.41)
************nsnsnsnsnsnsns
DW (g plant−1)
C2.10
(0.30)
15.04 (0.84) b1.03
(0.05) c
18.18 (0.79) b9.32
(0.89) ab
13.82 (0.22)4.13
(0.31)
27.28 (0.83)3.19
(0.68)
5.45
(0.35)
0.91
(0.09)
9.56
(1.03)
pH3.04
(0.19)
20.07 (2.39) ab1.37
(0.08) b
24.49 (2.34) a11.24 (0.73) a13.89 (1.23)4.12
(0.13)
29.26 (0.79)3.47
(0.16)
6.51
(0.50)
1.45
(0.03)
11.43 (0.42)
pH+S2.68
(0.31)
23.09 (1.06) a1.39
(0.07) b
27.17 (1.28) a11.14 (0.66) a11.54 (0.83)3.37
(0.27)
26.07 (1.61)3.32
(0.39)
6.73
(0.47)
1.30
(0.09)
11.36 (0.87)
NS2.40
(0.14)
17.82 (0.45) ab1.69
(0.04) a
21.91 (0.59) ab6.30
(0.68) b
11.89 (1.85)3.37
(0.30)
21.57 (2.99)2.08
(0.26)
5.22
(0.85)
1.24
(0.25)
8.55
(1.32)
ns*********nsnsnsnsnsnsns
WC (g g−1 DW−1)
C22.57 (1.51) b14.15 (1.06) b10.65 (0.44) b14.82 (0.89) b9.77
(0.23)
8.21
(0.07)
13.10 (0.51)9.47
(0.12)
7.08
(0.53)
5.26
(0.41)
5.84
(0.22) a
5.86
(0.40)
pH21.72 (0.61) b12.58 (1.25) b15.37 (0.51) a13.86 (1.23) b9.79
(0.32)
6.71
(0.68)
11.82 (1.03)8.61
(0.60)
7.00
(0.26)
5.01
(0.47)
5.08
(0.42) ab
5.61
(0.33)
pH+S24.26 (0.93) b10.76 (0.18) b15.55 (1.06) a12.33 (0.20) b10.23 (0.14)6.71
(0.68)
13.56 (0.56)9.59
(0.34)
7.07
(0.31)
4.77
(0.15)
5.49
(0.17) ab
5.53
(0.22)
NS34.44 (1.86) a19.26 (0.75) a17.43 (1.27) a20.76 (0.83) a10.20 (0.71)7.39
(0.25)
12.08 (0.79)8.97
(0.44)
6.40
(0.41)
3.81
(0.38)
4.46
(0.33) b
4.54
(0.35)
***********nsnsnsnsnsns*ns
*1 MH: marketable harvest, *2 RS: residues, *3 RT: roots. The values represent mean (s.e.) (n = 4). Values within columns of each parameter followed by different letters are significantly different among treatments (C, pH, pH+S, and NS) based on Tukey’s honestly significant difference (HSD) test (p < 0.05). ns, *, **, *** mean not significant or significant at p < 0.05, 0.01, or 0.001, respectively.
Table 5. Root length (RL) and specific root length (SRL) of ice plant, romeritos, and sea asparagus cultivated under four different treatment conditions (C: untreated HSW as a control; pH: HSW with pH adjustment to 5.5; pH+S: HSW with pH adjustment to 5.5 and nutrient supplementation; NS: standard nutrient solution).
Table 5. Root length (RL) and specific root length (SRL) of ice plant, romeritos, and sea asparagus cultivated under four different treatment conditions (C: untreated HSW as a control; pH: HSW with pH adjustment to 5.5; pH+S: HSW with pH adjustment to 5.5 and nutrient supplementation; NS: standard nutrient solution).
TreatmentIce PlantRomeritosSea Asparagus
RL *1 (m plant−1)
C227.45 (14.711) b2123.65 (62.53)94.58 (22.16)
pH499.20 (65.85) a1859.39 (369.16)136.03 (6.77)
pH+S492.86 (29.00) a1801.78 (360.06)140.94 (16.06)
NS343.50 (13.41) ab1222.39 (109.12)90.50 (18.92)
***nsns
SRL *2 (m g−1 DW)
C221.63 (14.80) b526.11 (56.80)100.15 (15.10)
pH359.62 (29.76) a451.89 (87.35)94.05 (6.36)
pH+S353.37 (17.01) a525.78 (76.67)107.89 (8.35)
NS203.68 (11.33) b362.18 (2.99)72.37 (4.5)
***nsns
*1 RL: root length, *2 SRL: specific root length. The values represent mean (s.e.) (n = 4). Values within columns of each parameter followed by different letters are significantly different among treatments (C, pH, pH+S, and NS) based on Tukey’s honestly significant difference (HSD) test (p < 0.05). ns, *** mean not significant or significant at p < 0.001, respectively.
Disclaimer/Publisher’s Note: The statements, opinions and data contained in all publications are solely those of the individual author(s) and contributor(s) and not of MDPI and/or the editor(s). MDPI and/or the editor(s) disclaim responsibility for any injury to people or property resulting from any ideas, methods, instructions or products referred to in the content.

Share and Cite

MDPI and ACS Style

Rosales-Nieblas, A.C.; Yamada, M.; Murillo-Amador, B.; Endo, M.; Yamada, S. Evaluation of the Cultivation of Three Halophytic Plants Under Half-Strength Seawater Aquaponics. Agronomy 2025, 15, 277. https://doi.org/10.3390/agronomy15020277

AMA Style

Rosales-Nieblas AC, Yamada M, Murillo-Amador B, Endo M, Yamada S. Evaluation of the Cultivation of Three Halophytic Plants Under Half-Strength Seawater Aquaponics. Agronomy. 2025; 15(2):277. https://doi.org/10.3390/agronomy15020277

Chicago/Turabian Style

Rosales-Nieblas, Ayenia Carolina, Mina Yamada, Bernardo Murillo-Amador, Masato Endo, and Satoshi Yamada. 2025. "Evaluation of the Cultivation of Three Halophytic Plants Under Half-Strength Seawater Aquaponics" Agronomy 15, no. 2: 277. https://doi.org/10.3390/agronomy15020277

APA Style

Rosales-Nieblas, A. C., Yamada, M., Murillo-Amador, B., Endo, M., & Yamada, S. (2025). Evaluation of the Cultivation of Three Halophytic Plants Under Half-Strength Seawater Aquaponics. Agronomy, 15(2), 277. https://doi.org/10.3390/agronomy15020277

Note that from the first issue of 2016, this journal uses article numbers instead of page numbers. See further details here.

Article Metrics

Back to TopTop