The Geochemical Characteristics and Exploitation Threshold of Copper in the Cultivated Soils of Guanzhong Plain, Shaanxi Province
Abstract
1. Introduction
2. Materials and Methods
2.1. Overview of the Study Area
2.2. Sample Collection and Processing Methods
2.3. Sample Analysis Method
2.4. Data Processing Methods
3. Results
3.1. Characteristics of Soil Cu Content
3.2. Characteristics of Copper Content in Wheat Seed
3.3. Choice of Modeling Factor
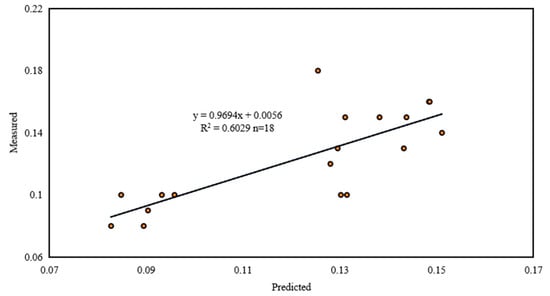
3.4. Soil-Wheat Seed Copper Prediction Model
3.5. Optimum Range of Cu in Soil and Wheat
4. Discussion
5. Conclusions
Author Contributions
Funding
Data Availability Statement
Acknowledgments
Conflicts of Interest
References
- Silvia, B.; Federica, P.; Carla, M.; Janez, S.; Radmila, M.; Pamela, Z.; Bruno, C.; Paolo, Z.; Sensi, S.L. Effects of a copper-deficient diet on the biochemistry, neural morphology and behavior of aged mice. PLoS ONE 2012, 7, 47063. [Google Scholar] [CrossRef]
- Gamakaranage, C.; Rodrigo, C.; Weerasinghe, S.; Gnanathasan, A.; Puvanaraj, V.; Fernando, H. Complications and management of acute copper sulphate poisoning; a case discussion. J. Occup. Med. Toxicol. 2011, 6, 34. [Google Scholar] [CrossRef] [PubMed]
- Alengebawy, A.; Abdelkhalek, S.T.; Qureshi, S.R.; Wang, M. Heavy metals and pesticides toxicity in agricultural soil and plants: Ecological risks and human health implications. Toxics 2021, 9, 42. [Google Scholar] [CrossRef]
- Scheiber, I.; Dringen, R.; Mercer, J. Copper: Effects of deficiency and overload. Met. Ions Life Sci. 2013, 13, 359–387. [Google Scholar] [CrossRef]
- Gaetke, L.M.; ChowJohnson, H.S.; Chow, C.K. Copper: Toxicological relevance and mechanisms. Arch. Toxicol. 2014, 88, 1929–1938. [Google Scholar] [CrossRef]
- Ferre-Huguet, N.; Domingo, J.L.; Schuhmacher, M.; Marti-Cid, R. Risk assessment of metals from consuming vegetables, fruits and rice grown on soils irrigated with waters of the Ebro River in Catalonia, Spain. Biol. Trace Elem. Res. 2008, 123, 66–79. [Google Scholar] [CrossRef]
- Rinklebe, J.; Shaheen, S.M. Geochemical distribution of Co, Cu, Ni, and Zn in soil profiles of Fluvisols, Luvisols, Gleysols, and Calcisols originating from Germany and Egypt. Geoderma 2017, 307, 122–138. [Google Scholar] [CrossRef]
- Li, Q.; Li, C.; Liu, L.; Heng, W.; Chen, C.; Long, J.; Wen, X. Geochemical characteristics of heavy metals of bedrock, soil, and tea in a metamorphic rock area of Guizhou Province, China. Environ. Sci. Pollut. Res. Int. 2022, 30, 7402–7414. [Google Scholar] [CrossRef]
- Gao, Z.; Niu, Y.; Zhang, Y.; Liu, J.; Tan, M.; Jiang, B. Geochemical baseline establishment, pollution level and health risk assessment of soil heavy metals in the upper Xiaowen River Basin, Shandong Province, China. Environ. Geochem. Health 2024, 46, 124. [Google Scholar] [CrossRef]
- Zeng, F.; Ali, S.; Zhang, H.; Ouyang, Y.; Qiu, B.; Wu, F.; Zhang, G. The influence of pH and organic matter content in paddy soil on heavy metal availability and their uptake by rice plants. Environ. Pollut. 2011, 159, 84–91. [Google Scholar] [CrossRef]
- Liu, K.; Lv, J.; He, W.; Zhang, H.; Cao, Y.; Dai, Y. Major factors influencing cadmium uptake from the soil into wheat plants. Ecotoxicol. Environ. Saf. 2015, 113, 207–213. [Google Scholar] [CrossRef] [PubMed]
- Brian, J.A. Heavy Metals in Soils: Trace Metals and Metalloids in Soils and Their Bioavailability, 3rd ed.; Springer: Dordrecht, The Netherlands, 2013; pp. 100–103. [Google Scholar] [CrossRef]
- Wang, Y.; Yang, Z.; Liu, X.; Li, C.; Ji, W.; Zhang, Q.; Zhuo, X.; Wang, L. Geochemical characteristics of copper in soil and ecological health research in Qintang district of Guigang City in Guangxi. Geol. China 2023, 50, 237–248. [Google Scholar] [CrossRef]
- Wen, Y.; Li, W.; Yang, Z.; Zhuo, X.; Guan, D.; Song, Y.; Guo, C.; Ji, J. Evaluation of various approaches to predict cadmium bioavailability to rice grown in soils with high geochemical background in the karst region, Southwestern China. Environ. Pollut. 2020, 258, 113645. [Google Scholar] [CrossRef] [PubMed]
- Rodrigues, S.M.; Pereira, E.; Duarte, A.C.; Römkens, P.F.A.M. Derivation of soil to plant transfer functions for metals and metalloids: Impact of contaminant’s availability. Plant Soil 2012, 361, 329–341. [Google Scholar] [CrossRef]
- Hu, B.; Xue, J.; Zhou, Y.; Shao, S.; Fu, Z.; Li, Y.; Chen, S.; Qi, L.; Shi, Z. Modelling bioaccumulation of heavy metals in soil-crop ecosystems and identifying its controlling factors using machine learning. Environ. Pollut. 2020, 262, 114308. [Google Scholar] [CrossRef]
- Zhang, H.; Luo, Y.; Song, J.; Zhang, H.; Xia, J.; Zhao, Q. Predicting As, Cd and Pb uptake by rice and vegetables using field data from China. J. Environ. Sci. 2011, 23, 70–78. [Google Scholar] [CrossRef]
- Marketa, N.; Ondrej, M.; Klara, K. Development and comparison of regression models for the uptakeof metals into various field crops. Environ. Pollut. 2015, 207, 357–364. [Google Scholar] [CrossRef]
- Xiao, W.; Ye, X.; Zhang, Q.; Chen, D.; Hu, J.; Gao, N. Evaluation of cadmium transfer from soil to leafy vegetables: Influencing factors, transfer models, and indication of soil threshold contents. Ecotoxicol. Environ. Saf. 2018, 164, 355–362. [Google Scholar] [CrossRef]
- Chiteka, K.; Arora, R.; Sridhara, N.S. A method to predict solar photovoltaic soiling using artificial neural networks and multiple linear regression models. Energy Syst. 2020, 11, 981–1002. [Google Scholar] [CrossRef]
- Liu, Y.; Yin, K.; Liu, B. Application of logistic regression and artificial neural networks in spatial assessment of landslide hazards. Hydrogeol. Eng. Geol. 2010, 37, 92–96. [Google Scholar] [CrossRef]
- Guo, R.; Ren, R.; Wang, L.; Zhi, Q.; Yu, T.; Hou, Q.; Yang, Z. Using machine learning to predict selenium and cadmium contents in rice grains from black shale-distributed farmland area. Sci. Total Environ. 2024, 912, 168802. [Google Scholar] [CrossRef] [PubMed]
- Deniz, V.; Umucu, Y.; Deniz, O.T. Estimation of grade and recovery in the concentration of barite tailings by the flotation using the MLR and ANN analyses. Physicochem. Probl. Miner. Process. 2002, 58, 150646. [Google Scholar] [CrossRef]
- Abdikan, S.; Sekertekin, A.; Narin, O.G.; Delen, A.; Sanli, F.B. A comparative analysis of SLR, MLR, ANN, XGBoost and CNN for crop height estimation of sunflower using Sentinel-1 and Sentinel-2. Adv. Space Res. 2023, 71, 3045–3059. [Google Scholar] [CrossRef]
- GB5009.268-2016; Determination of Multi-Element in Food Of national Food Safety Standard by Inductively Coupled Plasma Mass Spectrometry. National Health and Family Planning Commission: Beijing, China, 2016.
- DZ/T 0279-2016; Method for Analysis of Regional Geochemical Samples. Ministry of Land and Resources: Beijing, China, 2016.
- NY/T 1377-2007; Determination of pH in Soil. Ministry of Agriculture: Beijing, China, 2007.
- Hou, Q.; Yang, Z.; Yu, T.; Xia, X.; Cheng, H.; Zhou, G. Soil Geochemical Parameters in China; Geological Publishing House: Beijing, China, 2020. [Google Scholar]
- China National Environmental Monitoring Centre. Background Values of Soil Elements in China; China Environmental Science Press: Beijing, China, 1990. [Google Scholar]
- NY 861-2004; Limits of Eight Elements in Cereals, Legume, Tubes and Its Products. China Standards Press: Beijing, China, 2005.
- Yang, Y. China Food Composition Tables Standard Edition; Peking University Medical Press: Beijing, China, 2018. [Google Scholar]
- Gentili, R.; Ambrosini, R.; Montagnani, C.; Caronni, S.; Citterio, S. Effect of soil pH on the growth, reproductive investment and pollen allergenicity of Ambrosia artemisiifolia L. Front. Plant Sci 2018, 9, 1335. [Google Scholar] [CrossRef]
- Olaniran, A.O.; Balgobind, A.; Pillay, B. Bioavailability of heavy metals in soil: Impact on microbial biodegradation of organic compounds and possible improvement strategies. Int. J. Mol. Sci 2013, 14, 10197–10228. [Google Scholar] [CrossRef]
- Li, Q.; Wang, Y.; Li, Y.; Li, L.; Tang, M.; Hu, W.; Li, C.; Ai, S. Speciation of heavy metals in soils and their immobilization at microscale interfaces among diverse soil components. Sci. Total Environ. 2022, 825, 153862. [Google Scholar] [CrossRef]
- Robert, D.H. Effect of soil pH on adsorption of lead, copper, zinc, and nickel 1. Soil Sci. Soc. Am. J. 1983, 47, 47–51. [Google Scholar]
- Ettler, V.; Chren, M.; Mihaljevič, M.; Drahota, P.; Kříbek, B. Characterization of Fe-Mn concentric nodules from Luvisol irrigated by mine water in a semi-arid agricultural area. Geoderma 2017, 299, 32–42. [Google Scholar] [CrossRef]
- Gao, T.; Shi, Y.; Liu, F.; Zhang, Y.; Feng, X.; Tan, W.; Qiu, G. Oxidation process of dissolvable sulfide by synthesized todorokite in aqueous systems. J. Hazard. Mater. 2015, 290, 106–116. [Google Scholar] [CrossRef]
- Ji, W.; Luo, Z.; Huang, J.; Liu, X.; He, H.; Gong, Y.; Chen, M.; Wen, Y.; Ying, R. Geochemical behaviors of heavy metal(loid)s in soil ferromanganese nodules in Typical Karst Areas in Southwest China. Agronomy 2023, 13, 1602. [Google Scholar] [CrossRef]
- National Health Commission of the People’s Republic of China. China Health Statistical Yearbook of 2022; China Health Press: Beijing, China, 2023. [Google Scholar]
- WS/T578-2017; Chinese Dietary Reference Intakes. China Standards Press: Beijing, China, 2017.
- GB15618-2018; Soil Environmental Quality-Risk Control Standard for Soil Contamination of Agricultural Land. China Environment Press: Beijing, China, 2018.
- Chen, Q. Determination of Copper, Germanium and Chronium Contents in Wheats and Correlation Research with Their Growth Soil. Master’s Thesis, Henan Agricultural University, Zhengzhou, China, 2008. [Google Scholar] [CrossRef]
- Shar, G.Q.; Kazi, T.G.; Jakhrani, M.A.; Sahito, S.R. Variation in uptake of essential and toxic elements of different varieties of wheat grown in same agricultural plot of Baluchistan, Pakistan. J. Chem. Soc. Pak. 2002, 24, 258–261. [Google Scholar]










| Sample Type | Test Indexes | Units | Test Methods | Standard Detection Limit | Actual Detection Limit | Pass Rate of Accuracy | Precision Pass Rate |
|---|---|---|---|---|---|---|---|
| Wheat | Cu | mg/kg | Inductively coupled plasma mass spectrometry [25] | 0.050 | 0.025 | 100% | 100% |
| Soil | MnO | mg/kg | Inductively coupled plasma atomic emission spectrometry [26] | 10 | 5 | 100% | 100% |
| TFe2O3 | % | X-ray fluorescence spectrometry [26] | 0.05 | 0.02 | 100% | 100% | |
| Cu | mg/kg | Inductively coupled plasma mass spectrometry [26] | 1 | 0.1 | 100% | 100% | |
| pH | / | The ion selective electrode method [27] | 0.10 | 0.01 | 100% | 100% |
| Element | Number of Samples | Maximum | Minimum | Median | Mean | Shaanxi Province a | Northwest China a | China b |
|---|---|---|---|---|---|---|---|---|
| Cu | 716 | 98.00 | 13.00 | 31.00 | 32.21 | 27 | 24 | 22.60 |
| Cu | Fe2O3 | MnO | pH | SOM | SiO2 | Al2O3 | |
|---|---|---|---|---|---|---|---|
| BAFCu | −0.65 | −0.610 | −0.507 | −0.151 | −0.03 | 0.25 | −0.01 |
| Dependent Variable | Independent Variable | Number of Model Samples | Number of Validated Samples | Correlation Coefficient |
|---|---|---|---|---|
| BAFCu | Cu, MnO, TFe2O3, pH | 59 | 18 | ![]() |
| Study Area | China | ||||
|---|---|---|---|---|---|
| Food Type | Content (g/d) | Proportion | Food Type | Content (g/d) | Proportion |
| Wheat and its products | 229.63 | 23.88% | Wheat and its products | 117.3 | 12.75% |
| Rice | 80.28 | 8.35% | Rice | 131.6 | 14.31% |
| Corn | 5.31 | 0.55% | Corn | 15 | 1.63% |
| Vegetables | 204.57 | 21.28% | Vegetables | 286.5 | 31.15% |
| Fruits | 133.26 | 13.86% | Fruits | 55.7 | 6.06% |
| Potatoes | 2.05 | 0.21% | Potatoes | 35.6 | 3.87% |
| Meat | 107.05 | 11.13% | Meat | 158.1 | 17.19% |
| Pulses | 13.54 | 1.41% | Pulses | 15.5 | 1.69% |
| Nut | 1.90 | 0.20% | Nut | 4.4 | 0.48% |
| Milk | 105.84 | 11.01% | Milk | 42.2 | 4.59% |
| Oils | 50.60 | 5.26% | Oils | 42 | 4.57% |
| Condiments | 27.50 | 2.86% | Condiments | 15.9 | 1.73% |
| Total | 961.53 | 100% | Total | 919.8 | 100% |
| Minimal | Maximum | ||
|---|---|---|---|
| Study area | Wheat | 3.08 | 30.80 |
| Soil | 20.28 | 202.76 | |
| China | Wheat | 3.24 | 32.40 |
| Soil | 21.33 | 213.30 |
Disclaimer/Publisher’s Note: The statements, opinions and data contained in all publications are solely those of the individual author(s) and contributor(s) and not of MDPI and/or the editor(s). MDPI and/or the editor(s) disclaim responsibility for any injury to people or property resulting from any ideas, methods, instructions or products referred to in the content. |
© 2025 by the authors. Licensee MDPI, Basel, Switzerland. This article is an open access article distributed under the terms and conditions of the Creative Commons Attribution (CC BY) license (https://creativecommons.org/licenses/by/4.0/).
Share and Cite
Yan, Y.; Yang, Z.; Yang, S.; Xu, A.; Xu, D. The Geochemical Characteristics and Exploitation Threshold of Copper in the Cultivated Soils of Guanzhong Plain, Shaanxi Province. Agronomy 2025, 15, 256. https://doi.org/10.3390/agronomy15020256
Yan Y, Yang Z, Yang S, Xu A, Xu D. The Geochemical Characteristics and Exploitation Threshold of Copper in the Cultivated Soils of Guanzhong Plain, Shaanxi Province. Agronomy. 2025; 15(2):256. https://doi.org/10.3390/agronomy15020256
Chicago/Turabian StyleYan, Yuchen, Zhongfang Yang, Shengfei Yang, Anmin Xu, and Duoxun Xu. 2025. "The Geochemical Characteristics and Exploitation Threshold of Copper in the Cultivated Soils of Guanzhong Plain, Shaanxi Province" Agronomy 15, no. 2: 256. https://doi.org/10.3390/agronomy15020256
APA StyleYan, Y., Yang, Z., Yang, S., Xu, A., & Xu, D. (2025). The Geochemical Characteristics and Exploitation Threshold of Copper in the Cultivated Soils of Guanzhong Plain, Shaanxi Province. Agronomy, 15(2), 256. https://doi.org/10.3390/agronomy15020256


