Ethephon and Diethyl Aminoethyl Mixture (EDAH) Reduces Maize Lodging and Enhances Overall Productivity in Maize/Peanut Intercropping
Abstract
1. Introduction
2. Materials and Methods
2.1. Study Site, Climate and Soil Description
2.2. Experimental Design and Treatment
2.3. Measurements and Methods
2.3.1. Lodging Percentage
2.3.2. Maize Plant and Ear Height, and Internode Length and Diameter
2.3.3. Maize Rind Penetration, Crush, and Internode Bend Strengths
2.3.4. Measuring Dry Matter Biomass, Yield Components, and Grain Yield
2.4. Land Equivalent Ratio (LER) Calculation
2.5. Statistical Analysis
3. Results
3.1. Crop Yield and Land Equivalent Ratio
3.2. Yield Components
3.3. Maize Lodging
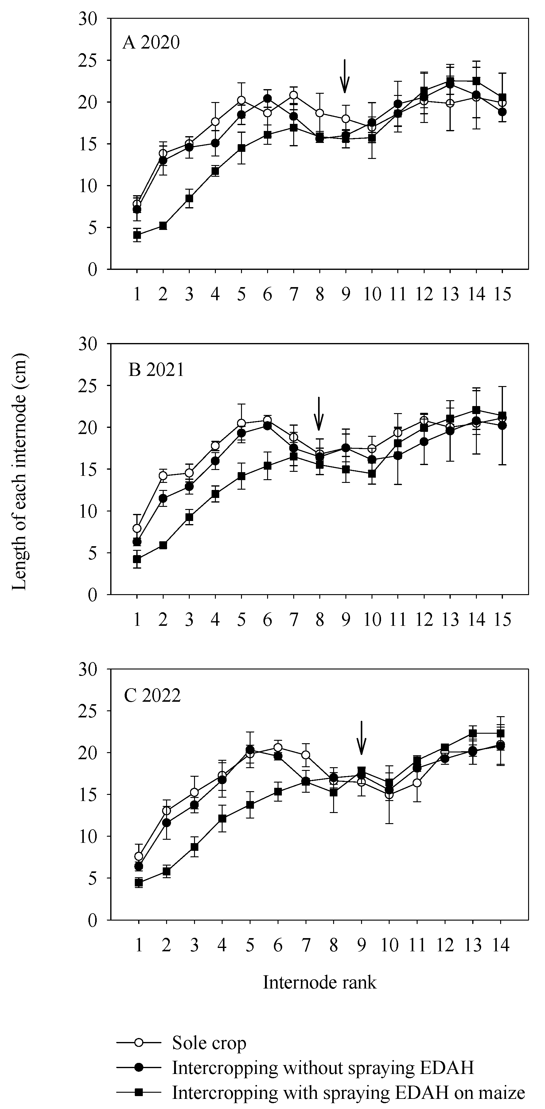
3.4. Lodging-Related Morphology
3.5. Lodging-Related Physiological Traits
4. Discussion
4.1. Maize Lodging Resistance Improved by EDAH Application in the Intercropping
4.2. Land Productivity of Maize/Peanut Intercropping Enhanced by EDAH Application
4.3. Implications for EDAH Application to Intercropping Systems
5. Conclusions
Author Contributions
Funding
Data Availability Statement
Conflicts of Interest
References
- Raihan, A.; Ridwan, M.; Rahman, M.S. An Exploration of the Latest Developments, Obstacles, and Potential Future Pathways for Climate-Smart Agriculture. Clim. Smart Agric. 2024, 1, 100020. [Google Scholar] [CrossRef]
- Ryan, M.R. Crops Better When Grown Together. Nat. Sustain. 2021, 4, 926–927. [Google Scholar] [CrossRef]
- Li, C.; Hoffland, E.; Kuyper, T.W.; Yu, Y.; Zhang, C.; Li, H.; Zhang, F.; Van Der Werf, W. Syndromes of Production in Intercropping Impact Yield Gains. Nat. Plants 2020, 6, 653–660. [Google Scholar] [CrossRef]
- Yang, H.; Zhang, W.; Li, L. Intercropping: Feed more people and build more sustainable agroecosystems. Front. Agric. Sci. Eng. 2021, 8, 373–386. [Google Scholar]
- Bedoussac, L.; Journet, E.-P.; Hauggaard-Nielsen, H.; Naudin, C.; Corre-Hellou, G.; Jensen, E.S.; Prieur, L.; Justes, E. Ecological Principles Underlying the Increase of Productivity Achieved by Cereal-Grain Legume Intercrops in Organic Farming. A Review. Agron. Sustain. Dev. 2015, 35, 911–935. [Google Scholar] [CrossRef]
- Li, L.; Zhang, L.; Zhang, F. Crop Mixtures and the Mechanisms of Overyielding. In Encyclopedia of Biodiversity; Elsevier: Amsterdam, The Netherlands, 2013; Volume 2, pp. 382–395. [Google Scholar]
- Zou, X.; Li, H.; Sun, Z.; Sun, W.; Yang, N.; Shiwei, N.; Liu, H.; Xu, J.; Tan, L. Interspecific Facilitation between Intercropped Millets and Peanuts: Insights from Root Proteomics Analysis. Arch. Agron. Soil Sci. 2019, 65, 612–624. [Google Scholar] [CrossRef]
- Zou, X.; Sun, Z.; Yang, N.; Zhang, L.; Sun, W.; Niu, S.; Tan, L.; Liu, H.; Fornara, D.; Li, L. Interspecific Root Interactions Enhance Photosynthesis and Biomass of Intercropped Millet and Peanut Plants. Crop Pasture Sci. 2019, 70, 234. [Google Scholar] [CrossRef]
- Brooker, R.W.; Bennett, A.E.; Cong, W.; Daniell, T.J.; George, T.S.; Hallett, P.D.; Hawes, C.; Iannetta, P.P.M.; Jones, H.G.; Karley, A.J.; et al. Improving Intercropping: A Synthesis of Research in Agronomy, Plant Physiology and Ecology. New Phytol. 2015, 206, 107–117. [Google Scholar] [CrossRef] [PubMed]
- Zhu, Y.; Chen, H.; Fan, J.; Wang, Y.; Li, Y.; Chen, J.; Fan, J.; Yang, S.; Hu, L.; Leung, H.; et al. Genetic Diversity and Disease Control in Rice. Nature 2000, 406, 718–722. [Google Scholar] [CrossRef]
- Agboton, B.V.; Salifu, D.; Seguni, Z.; Sijaona, M.E.; Shomari, S.; Ekesi, S.; Maniania, N.K. Bioecology of Some Key Cashew Insect Pests and Diseases in Diverse Habitats and Landscapes in T Anzania. J. Appl. Entomol. 2013, 137, 782–789. [Google Scholar] [CrossRef]
- Chi, B.; Zhang, D.; Dong, H. Control of Cotton Pests and Diseases by Intercropping: A Review. J. Integr. Agr. 2021, 20, 3089–3100. [Google Scholar] [CrossRef]
- Khan, M.A.; Marwat, K.B.; Hussain, Z.; Hashim, S.; Rab, A.; Nawab, K. Weed control effects on the wheat-pea intercropping. Pak. J. Bot. 2013, 45, 1743–1748. [Google Scholar]
- Silva, P.S.L.; Silva, P.I.B.; Oliveira, V.R.; Barros, G.L.; Monteiro, A.L. Corn Cultivar Intercropping with Arboreal Legumes for Weed Control. Planta Daninha 2013, 31, 559–567. [Google Scholar] [CrossRef]
- Latati, M.; Bargaz, A.; Belarbi, B.; Lazali, M.; Benlahrech, S.; Tellah, S.; Kaci, G.; Drevon, J.J.; Ounane, S.M. The Intercropping Common Bean with Maize Improves the Rhizobial Efficiency, Resource Use and Grain Yield under Low Phosphorus Availability. Eur. J. Agron. 2016, 72, 80–90. [Google Scholar] [CrossRef]
- Li, L.; Li, S.M.; Sun, J.H.; Zhou, L.L.; Bao, X.G.; Zhang, H.G.; Zhang, F.S. Diversity Enhances Agricultural Productivity via Rhizosphere Phosphorus Facilitation on Phosphorus-Deficient Soils. Proc. Natl. Acad. Sci. USA 2007, 104, 11192–11196. [Google Scholar] [CrossRef]
- Huang, B.; Zou, X.; Xu, H.; Xu, J.; Liu, H.; Sun, W.; Gong, L.; Niu, S.; Feng, L.; Yang, N.; et al. Seedling Defoliation of Cereal Crops Increases Peanut Growth and Yield in an Intercropping System. Crop J. 2022, 10, 418–425. [Google Scholar] [CrossRef]
- Wu, J.; Bao, X.; Zhang, J.; Lu, B.; Sun, N.; Wang, Y.; Yang, N.; Xing, Y.; Callaway, R.M.; Li, L. Facilitation between Intercropped Species Increases Micronutrient Acquisition and Controls Rust Disease on Maize. Field Crops Res. 2024, 307, 109241. [Google Scholar] [CrossRef]
- Ma, D.; Xie, R.; Liu, X.; Niu, X.; Hou, P.; Wang, K.; Lu, Y.; Li, S. Lodging-Related Stalk Characteristics of Maize Varieties in China since the 1950s. Crop Sci. 2014, 54, 2805. [Google Scholar] [CrossRef]
- Islam, M.S.; Peng, S.; Visperas, R.M.; Ereful, N.; Bhuiya, M.S.U.; Julfiquar, A.W. Lodging-Related Morphological Traits of Hybrid Rice in a Tropical Irrigated Ecosystem. Field Crops Res. 2007, 101, 240–248. [Google Scholar] [CrossRef]
- Kamara, A.Y.; Kling, J.G.; Menkir, A.; Ibikunle, O. Association of Vertical Root-Pulling Resistance with Root Lodging and Grain Yield in Selected S1 Maize Lines Derived from a Tropical Low-Nitrogen Population. J. Agron. Crop Sci. 2003, 189, 129–135. [Google Scholar] [CrossRef]
- Flint-Garcia, S.A.; Jampatong, C.; Darrah, L.L.; McMullen, M.D. Quantitative Trait Locus Analysis of Stalk Strength in Four Maize Populations. Crop Sci. 2003, 43, 13–22. [Google Scholar] [CrossRef]
- Sun, S.X.; Dai, J.Y.; Gu, W.L. Effect of nitrogen, phosphate and potash fertilizers on lodging and yield on maize. Sci. Agric. Sin. 1989, 22, 28–33. [Google Scholar]
- Schluttenhofer, C.M.; Massa, G.D.; Mitchell, C.A. Use of Uniconazole to Control Plant Height for an Industrial/Pharmaceutical Maize Platform. Ind. Crops Prod. 2011, 33, 720–726. [Google Scholar] [CrossRef]
- Tripathi, S.C.; Sayre, K.D.; Kaul, J.N.; Narang, R.S. Growth and Morphology of Spring Wheat (Triticum aestivum L.) Culms and Their Association with Lodging: Effects of Genotypes, N Levels and Ethephon. Field Crops Res. 2003, 84, 271–290. [Google Scholar] [CrossRef]
- Wiersma, J.J.; Dai, J.; Durgan, B.R. Optimum Timing and Rate of Trinexapac-ethyl to Reduce Lodging in Spring Wheat. Agron. J. 2011, 103, 864–870. [Google Scholar] [CrossRef]
- Shekoofa, A.; Emam, Y. Plant Growth Regulator (Ethephon) Alters Maize (Zea mays L.)Growth,Water Use and Grain Yield under Water Stress. Agron. J. 2008, 7, 41–48. [Google Scholar] [CrossRef]
- Xu, C.; Gao, Y.; Tian, B.; Ren, J.; Meng, Q.; Wang, P. Effects of EDAH, a Novel Plant Growth Regulator, on Mechanical Strength, Stalk Vascular Bundles and Grain Yield of Summer Maize at High Densities. Field Crops Res. 2017, 200, 71–79. [Google Scholar] [CrossRef]
- Dahnous, K.; Vigue, G.T.; Law, A.G.; Konzak, C.F.; Miller, D.G. Height and Yield Response of Selected Wheat, Barley, and Triticale Cultivars to Ethephon1. Agron. J. 1982, 74, 580–582. [Google Scholar] [CrossRef]
- Zhang, Q.; Zhang, L.; Chai, M.; Yang, D.; Van Der Werf, W.; Evers, J.; Duan, L. Use of EDAH Improves Maize Morphological and Mechanical Traits Related to Lodging. Agron. J. 2019, 111, 581–591. [Google Scholar] [CrossRef]
- Kim, H.; Lynch, J.P.; Brown, K.M. Ethylene Insensitivity Impedes a Subset of Responses to Phosphorus Deficiency in Tomato and Petunia. Plant Cell Environ. 2008, 31, 1744–1755. [Google Scholar] [CrossRef] [PubMed]
- Vidoz, M.L.; Loreti, E.; Mensuali, A.; Alpi, A.; Perata, P. Hormonal Interplay during Adventitious Root Formation in Flooded Tomato Plants. Plant J. 2010, 63, 551–562. [Google Scholar] [CrossRef] [PubMed]
- Shi, J.; Drummond, B.J.; Habben, J.E.; Brugire, N.; Weers, B.P.; Hakimi, S.M.; Lafitte, H.R.; Schussler, J.R.; Mo, H.; Beatty, M.; et al. Ectopic Expression of ARGOS 8 Reveals a Role for Ethylene in Root-lodging Resistance in Maize. Plant J. 2019, 97, 378–390. [Google Scholar] [CrossRef] [PubMed]
- Kamran, M.; Cui, W.; Ahmad, I.; Meng, X.; Zhang, X.; Su, W.; Chen, J.; Ahmad, S.; Fahad, S.; Han, Q.; et al. Effect of Paclobutrazol, a Potential Growth Regulator on Stalk Mechanical Strength, Lignin Accumulation and Its Relation with Lodging Resistance of Maize. Plant Growth Regul. 2018, 84, 317–332. [Google Scholar] [CrossRef]
- Ye, D.L.; Zhang, Y.S.; Al-Kaisi, M.M.; Duan, L.S.; Zhang, M.C.; Li, Z.H. Ethephon Improved Stalk Strength Associated with Summer Maize Adaptations to Environments Differing in Nitrogen Availability in the North China Plain. J. Agric. Sci. 2016, 154, 960–977. [Google Scholar] [CrossRef]
- Cicchino, M.A.; Rattalino Edreira, J.I.; Otegui, M.E. Maize Physiological Responses to Heat Stress and Hormonal Plant Growth Regulators Related to Ethylene Metabolism. Crop Sci. 2013, 53, 2135–2146. [Google Scholar] [CrossRef]
- Huang, S.; Gao, Y.; Li, Y.; Xu, L.; Tao, H.; Wang, P. Influence of Plant Architecture on Maize Physiology and Yield in the Heilonggang River Valley. Crop J. 2017, 5, 52–62. [Google Scholar] [CrossRef]
- Zhao, Y.; Zhang, S.; Lv, Y.; Ning, F.; Cao, Y.; Liao, S.; Wang, P.; Huang, S. Optimizing Ear-Plant Height Ratio to Improve Kernel Number and Lodging Resistance in Maize (Zea mays L.). Field Crops Res. 2022, 276, 108376. [Google Scholar] [CrossRef]
- Dong, X.H.; Duan, L.S.; Meng, F.L.; He, Z.P.; Li, Z.H. Effects of Spraying 30% DTA-6. Ethephon solution on yield and straw quality of maize. J. Maize Sci. 2006, 14, 138–140, 143. [Google Scholar]
- Jiang, Y.; Jiang, Y.; He, S.; Zhang, H.; Pan, C. Dissipation of Diethyl Aminoethyl Hexanoate (DA-6) Residues in Pakchoi, Cotton Crops and Soil. Bull. Environ. Contam. Toxicol. 2012, 88, 533–537. [Google Scholar] [CrossRef] [PubMed]
- Nie, L.X.; Jiang, X.Y.; Wu, S.H.; Zhang, J.W.; Liu, P. Effects of DA-6 on leaf photosynthetic carboxylase and protective enzyme activities and grain yield of high-yielding summer maize. Chin. J. Appl. Ecol. 2010, 21, 2558–2564. [Google Scholar]
- Zhang, Q.; Zhang, L.; Evers, J.; Werf, W.V.D.; Zhang, W.; Duan, L. Maize Yield and Quality in Response to Plant Density and Application of a Novel Plant Growth Regulator. Field Crops Res. 2014, 164, 82–89. [Google Scholar] [CrossRef]
- Bao, S. Soil Agrochemical Analysis; China Agriculture Press: Beijing, China, 2000. [Google Scholar]
- Novacek, M.J.; Mason, S.C.; Galusha, T.D.; Yaseen, M. Twin Rows Minimally Impact Irrigated Maize Yield, Morphology, and Lodging. Agron. J. 2013, 105, 268–276. [Google Scholar] [CrossRef]
- Gou, L.; Huang, J.J.; Zhang, B.; Li, T.; Sun, R.; Zhao, M. Effects of population density on stalk lodging resistant mechanism and agronomic characteristics of maize. Acta Agron. Sin. 2007, 33, 1688–1695. [Google Scholar]
- Xue, J.; Gou, L.; Zhao, Y.; Yao, M.; Yao, H.; Tian, J.; Zhang, W. Effects of Light Intensity within the Canopy on Maize Lodging. Field Crops Res. 2016, 188, 133–141. [Google Scholar] [CrossRef]
- Robertson, D.; Smith, S.; Gardunia, B.; Cook, D. An Improved Method for Accurate Phenotyping of Corn Stalk Strength. Crop Sci. 2014, 54, 2038–2044. [Google Scholar] [CrossRef]
- Zhao, Y.; Lv, Y.; Zhang, S.; Ning, F.; Cao, Y.; Liao, S.; Wang, S.; Huang, S. Shortening Internodes Near Ear: An Alternative to Raise Maize Yield. J. Plant Growth Regul. 2022, 41, 628–638. [Google Scholar] [CrossRef]
- Dufour, L.; Metay, A.; Talbot, G.; Dupraz, C. Assessing Light Competition for Cereal Production in Temperate Agroforestry Systems Using Experimentation and Crop Modelling. J. Agron. Crop Sci. 2013, 199, 217–227. [Google Scholar] [CrossRef]
- Van Der Werf, W.; Zhang, L.; Li, C.; Chen, P.; Feng, C.; Xu, Z.; Zhang, C.; Gu, C.; Bastiaans, L.; Makowski, D.; et al. Comparing Performance of Crop Species Mixtures and Pure Stands. Front. Agr. Sci. Eng. 2021, 8, 481–489. [Google Scholar]
- Zhao, K. Effect of the Leaves of Different Positions in Maize on the Corn Yield and the Photosynthetic Properties of Those Leaves After the Growing Out of the Female Flowers. Acta Agron. Sin. 1981, 4, 259–266. [Google Scholar]
- Echarte, L.; Maggiora, A.D.; Cerrudo, D.; Gonzalez, V.H.; Abbate, P.; Cerrudo, A.; Sadras, V.O.; Calvino, P. Yield Response to Plant Density of Maize and Sunflower Intercropped with Soybean. Field Crops Res. 2011, 121, 423–429. [Google Scholar] [CrossRef]
- Prasad, R.B.; Brook, R.M. Effect of Varying Maize Densities on Intercropped Maize and Soybean in Nepal. Exp. Agric. 2005, 41, 365–382. [Google Scholar] [CrossRef]
- Zhang, D.; Sun, Z.; Feng, L.; Bai, W.; Yang, N.; Zhang, Z.; Du, G.; Feng, C.; Cai, Q.; Wang, Q.; et al. Maize Plant Density Affects Yield, Growth and Source-sink Relationship of crops in Maize/peanut Intercropping. Field Crops Res. 2020, 257, 107926. [Google Scholar] [CrossRef]
- Khosravi, G.R.; Anderson, I.C. Growth, Yield, and Yield Components of Ethephon-Treated Corn. Plant Growth Regul. 1991, 10, 27–36. [Google Scholar] [CrossRef]
- Adetiloye, P.O.; Abekunle, A.A. Concept of monetary equivalent ratio and its usefulness in the evaluation of intercropping advantages. Trop. Agric. 1989, 66, 337–341. [Google Scholar]









| Year | Date | Meteorological Disasters | Total Precipitation * mm | Maximum 3 h Precipitation mm | Maximum Gust Speed m s−1 | Beaufort Scale |
|---|---|---|---|---|---|---|
| 2020 | 5–6 August | Typhoon (Hagupit) | 311 | 65.0 | 11 | 6 |
| 25–27 August | Typhoon (Bavi) | 550 | 107 | 13 | 6 | |
| 2–3 September | Typhoon (Maysak) | 224 | 52.0 | 12 | 6 | |
| 2021 | 10–11 June | 463 | 93.0 | 9 | 5 | |
| 30 June | 95.0 | 23.0 | 9 | 5 | ||
| 14–15 July | 219 | 31.0 | 13 | 6 | ||
| 31 July–2 August | Typhoon (In-Fa) | 172 | 34.0 | 12 | 6 | |
| 21 August | 125 | 38.0 | 10 | 5 | ||
| 11 September | Hail | 484 | 121 | 27 | 10 | |
| 21 September | 153 | 52.0 | 13 | 6 | ||
| 4 October | 83.3 | 26.0 | 14 | 7 | ||
| 2022 | 23 June | 127 | 32.0 | 7 | 4 | |
| 26 June | 269 | 67.0 | 16 | 7 | ||
| 27–28 June | 358 | 79.0 | 16 | 7 | ||
| 1–2 July | 413 | 84.0 | 12 | 6 | ||
| 7 July | Typhoon (Chaba) | 510 | 119 | 15 | 7 | |
| 13 July | 264 | 61.0 | 11 | 6 | ||
| 15 July | 143 | 36.0 | 11 | 6 | ||
| 7 August | 200 | 37.0 | 16 | 7 | ||
| 14–15 August | 476 | 83.0 | 11 | 6 | ||
| 19 August | 135 | 32.0 | 13 | 6 | ||
| 4 September | 200 | 50.0 | 12 | 6 | ||
| 15–16 September | Typhoon (Muifa) | 473 | 73.0 | 15 | 7 | |
| 23 September | 254 | 56.0 | 18 | 8 | ||
| 9 October | 126 | 31.0 | 10 | 5 |
| Year | Treatment | LERmaize | LERpeanut | LER |
|---|---|---|---|---|
| 2020 | MPCK | 0.73 a | 0.26 a | 0.99 b |
| MP + EDAH | 0.80 a | 0.33 a | 1.12 a | |
| 2021 | MPCK | 0.70 a | 0.24 b | 0.94 b |
| MP + EDAH | 0.74 a | 0.32 a | 1.06 a | |
| 2022 | MPCK | 0.73 a | 0.26 b | 0.99 b |
| MP + EDAH | 0.82 a | 0.30 a | 1.12 a | |
| 2020–2022 | MPCK | 0.72 b | 0.25 b | 0.97 b |
| MP + EDAH | 0.79 a | 0.31 a | 1.10 a | |
| F | Year | 4.342 | 0.309 | 2.298 |
| Treatment | 15.70 | 12.82 | 25.76 | |
| Year × Treatment | 0.738 | 0.411 | 0.015 | |
| P | Year | 0.038 | 0.740 | 0.143 |
| Treatment | 0.003 | 0.004 | <0.001 | |
| Year × Treatment | 0.498 | 0.672 | 0.985 |
Disclaimer/Publisher’s Note: The statements, opinions and data contained in all publications are solely those of the individual author(s) and contributor(s) and not of MDPI and/or the editor(s). MDPI and/or the editor(s) disclaim responsibility for any injury to people or property resulting from any ideas, methods, instructions or products referred to in the content. |
© 2024 by the authors. Licensee MDPI, Basel, Switzerland. This article is an open access article distributed under the terms and conditions of the Creative Commons Attribution (CC BY) license (https://creativecommons.org/licenses/by/4.0/).
Share and Cite
Zou, X.; Xu, J.; Xu, H.; Gong, L.; Zhang, L.; Wang, Y.; Feng, L.; Sun, Z. Ethephon and Diethyl Aminoethyl Mixture (EDAH) Reduces Maize Lodging and Enhances Overall Productivity in Maize/Peanut Intercropping. Agronomy 2025, 15, 84. https://doi.org/10.3390/agronomy15010084
Zou X, Xu J, Xu H, Gong L, Zhang L, Wang Y, Feng L, Sun Z. Ethephon and Diethyl Aminoethyl Mixture (EDAH) Reduces Maize Lodging and Enhances Overall Productivity in Maize/Peanut Intercropping. Agronomy. 2025; 15(1):84. https://doi.org/10.3390/agronomy15010084
Chicago/Turabian StyleZou, Xiaojin, Jiayi Xu, Huasen Xu, Liang Gong, Lizhen Zhang, Ying Wang, Liangshan Feng, and Zhanxiang Sun. 2025. "Ethephon and Diethyl Aminoethyl Mixture (EDAH) Reduces Maize Lodging and Enhances Overall Productivity in Maize/Peanut Intercropping" Agronomy 15, no. 1: 84. https://doi.org/10.3390/agronomy15010084
APA StyleZou, X., Xu, J., Xu, H., Gong, L., Zhang, L., Wang, Y., Feng, L., & Sun, Z. (2025). Ethephon and Diethyl Aminoethyl Mixture (EDAH) Reduces Maize Lodging and Enhances Overall Productivity in Maize/Peanut Intercropping. Agronomy, 15(1), 84. https://doi.org/10.3390/agronomy15010084

