Double-Cropping Systems Based on Maize, Sorghum, and Alfalfa: Impact of Annual Combination on Biomass and Nutritional Yield
Abstract
1. Introduction
2. Material and Methods
2.1. Experimental Site and Crop Selection
2.2. Experimental Design
2.3. Meteorological Data
2.4. Sampling and Sample Preparation
2.5. Determination of Nutritional Value
2.6. Calculation of Nutrient Yield
2.7. Growing Degree Days (GDDs)
2.8. Statistical Analysis
3. Results
3.1. Rainfall, Temperature
3.2. Growing Degree Days (GDDs)
3.3. Biomass Yield Comparison of Maize–Alfalfa (M–A) and Sorghum–Alfalfa (S–A)
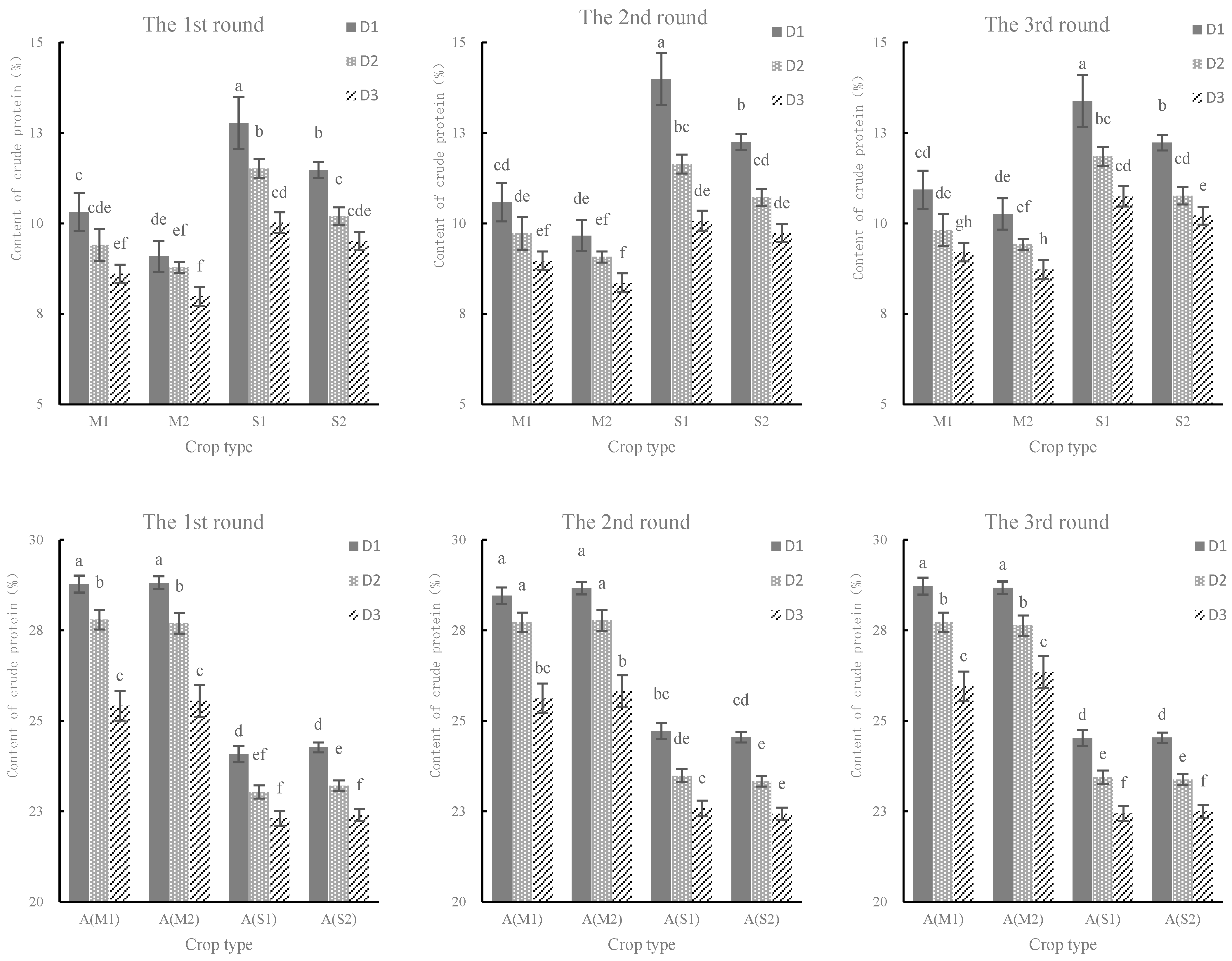
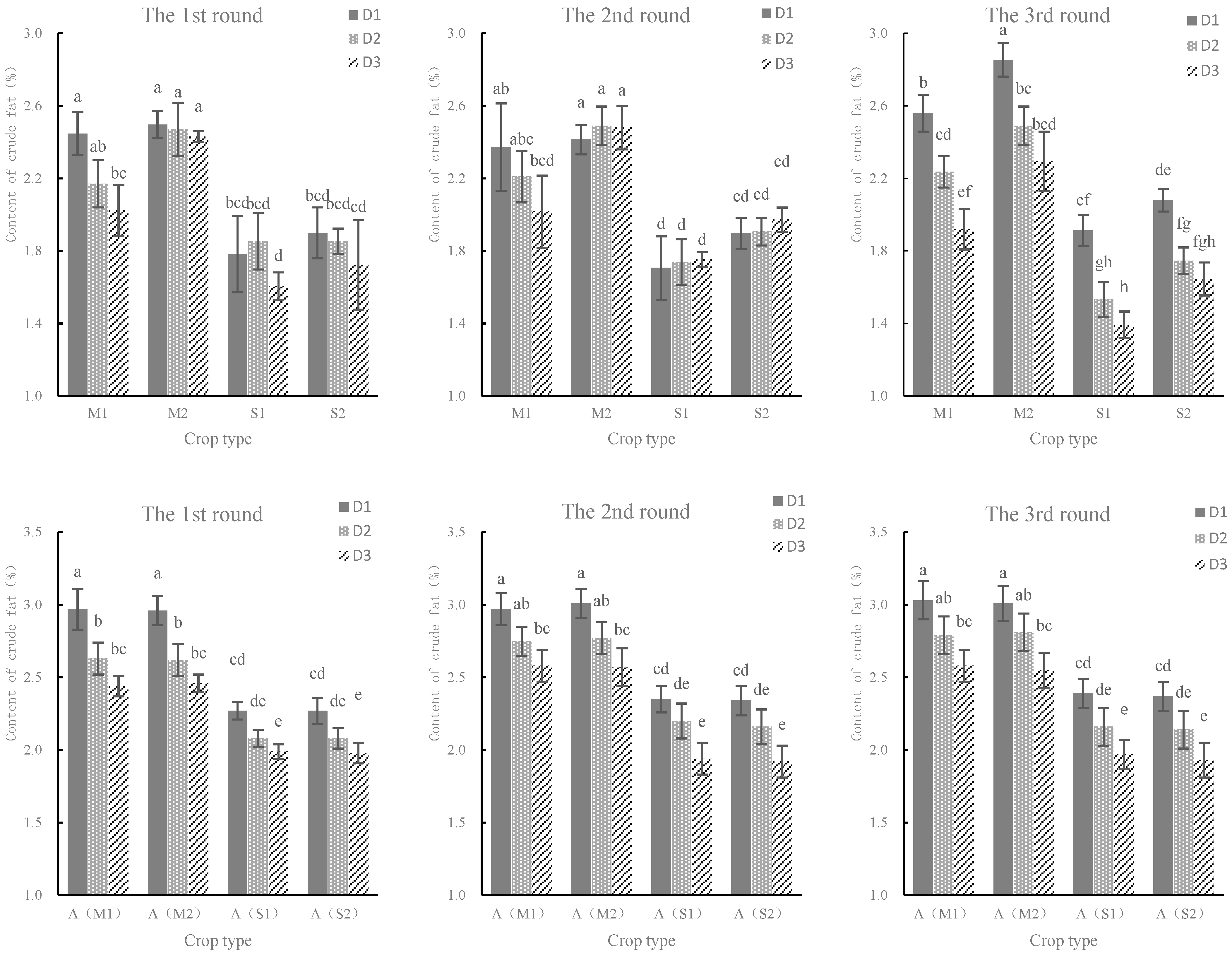
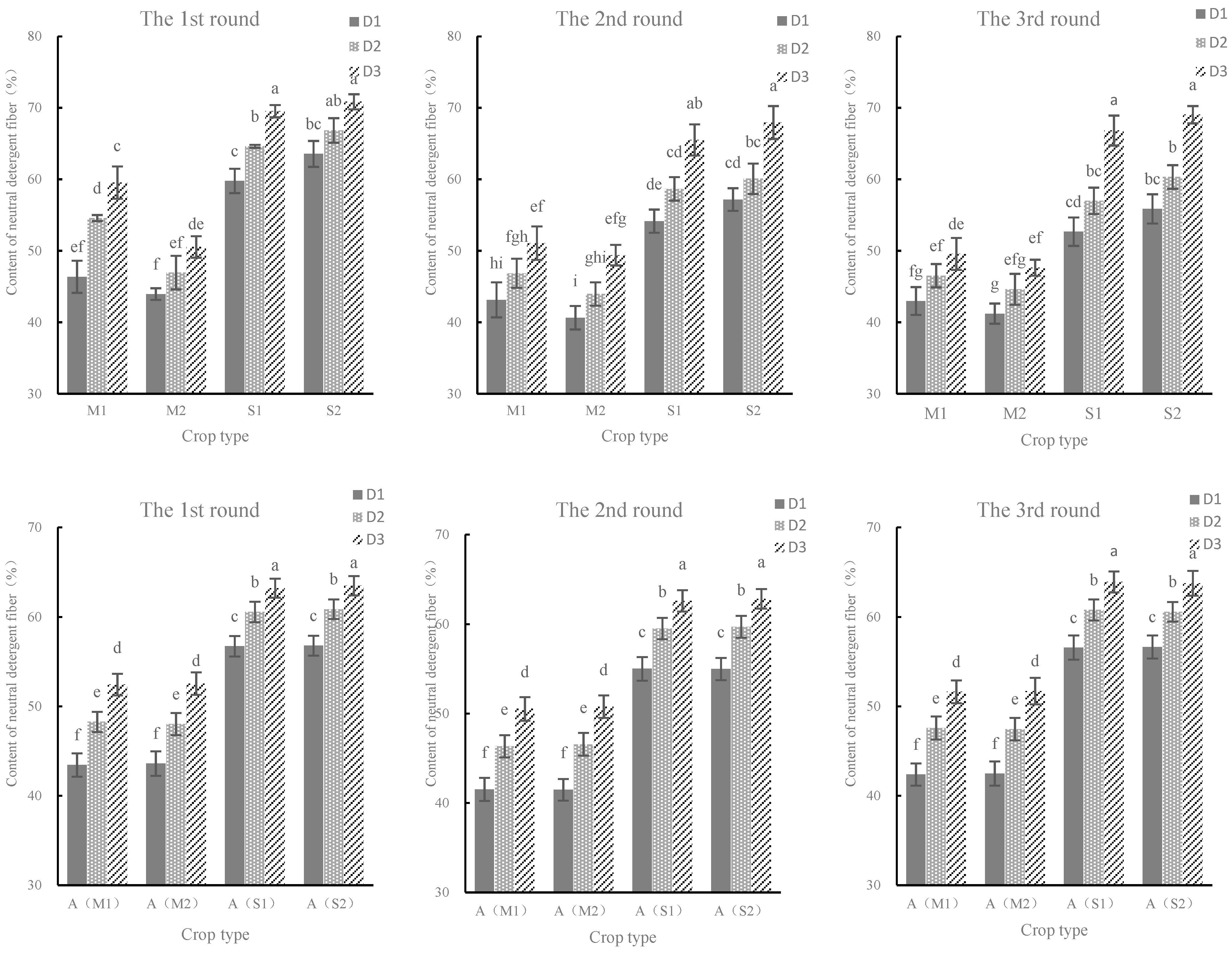
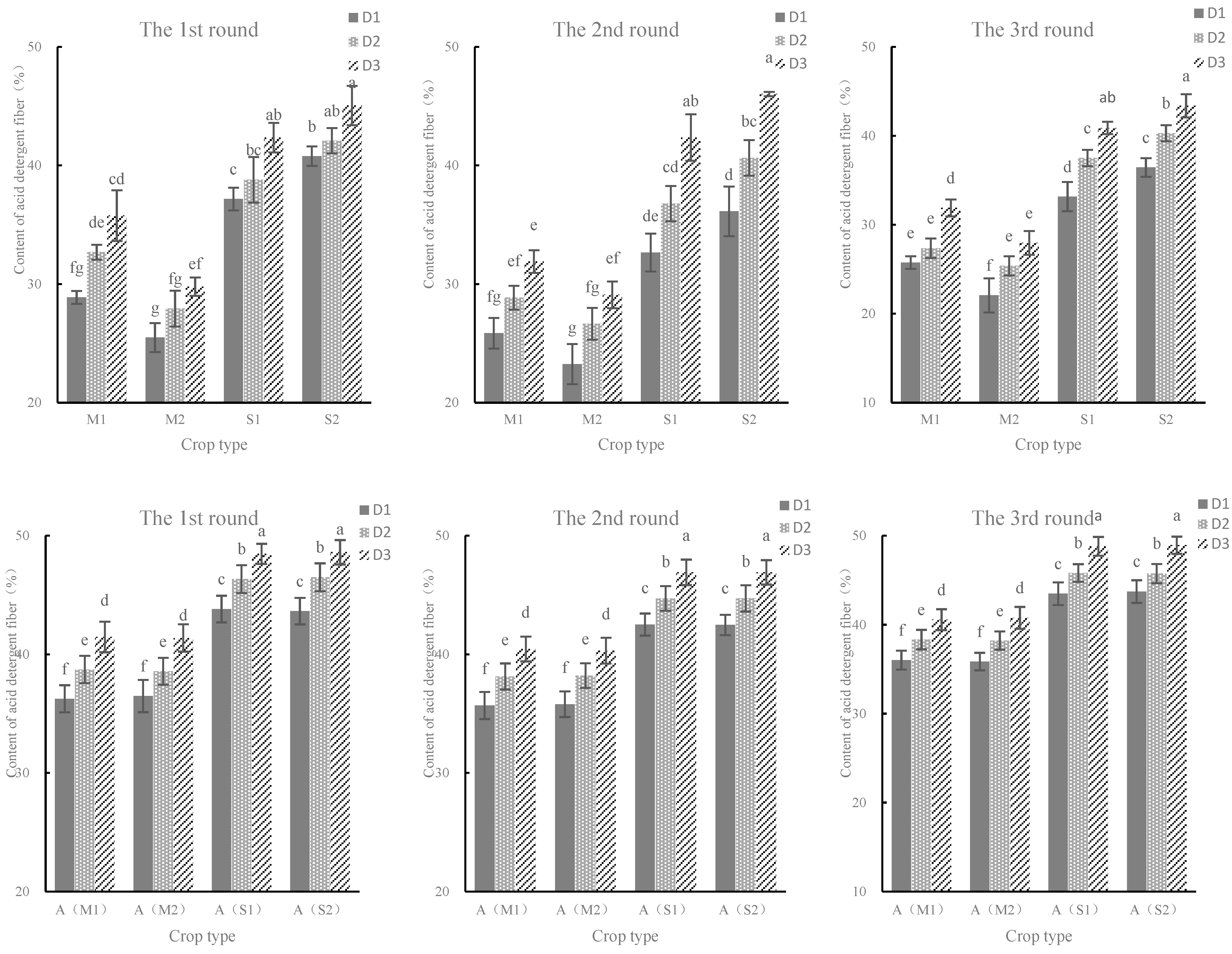
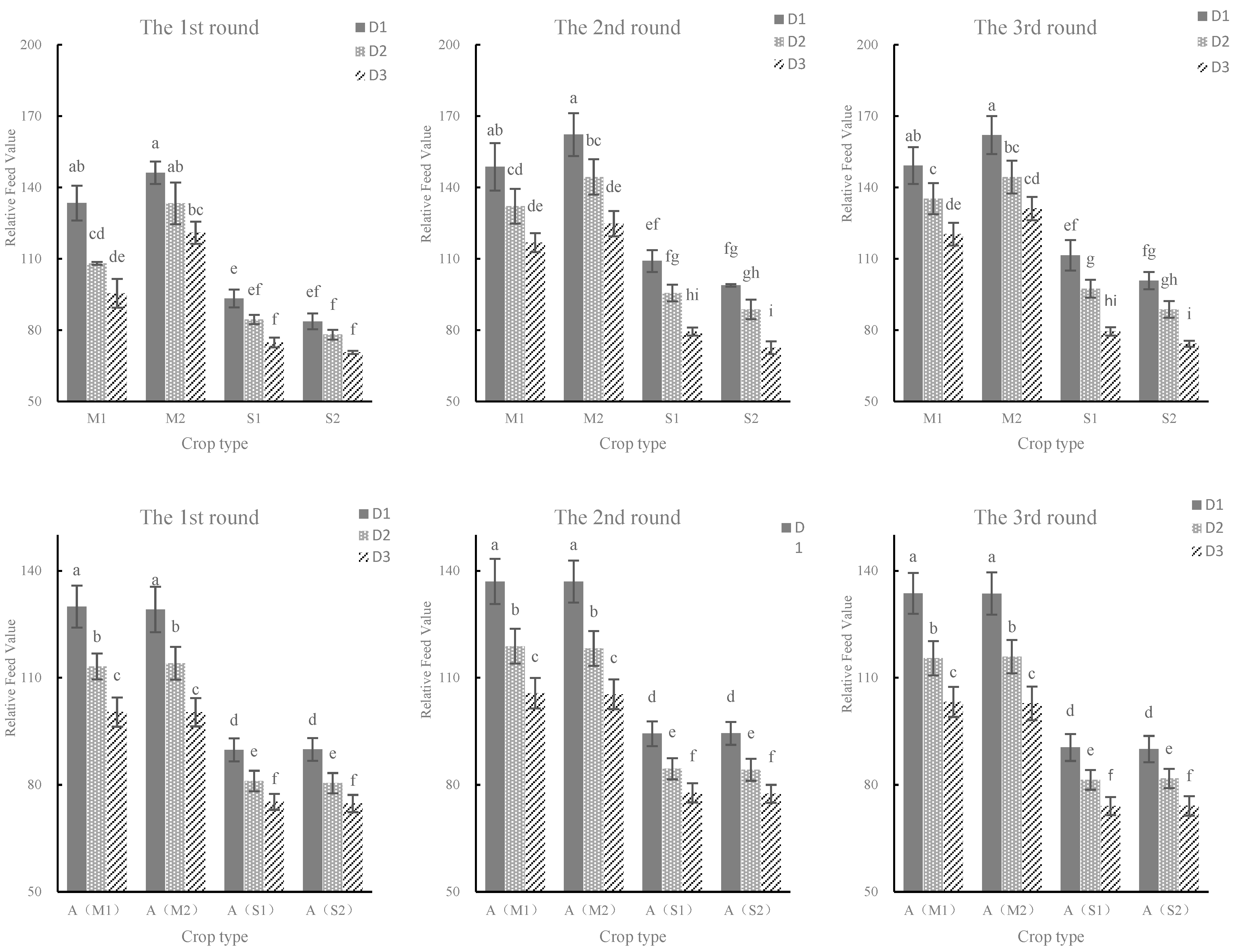
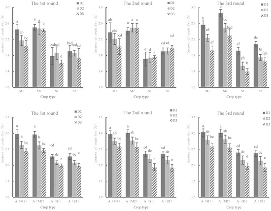
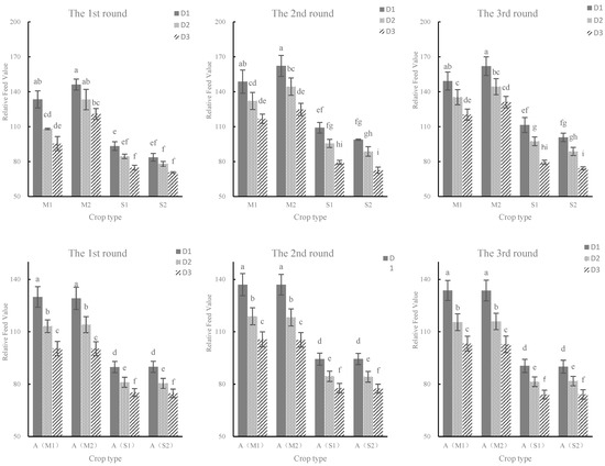
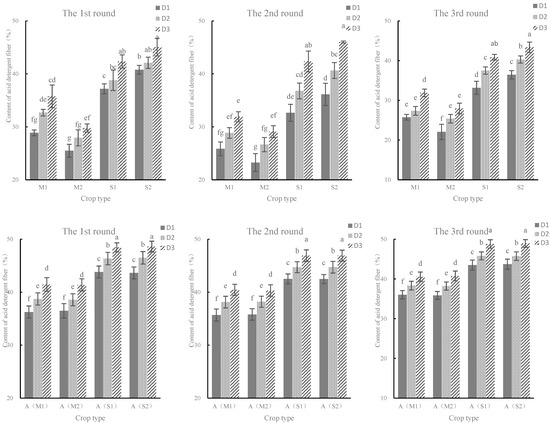
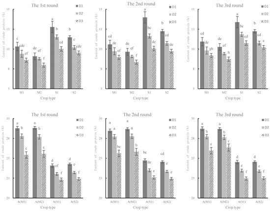
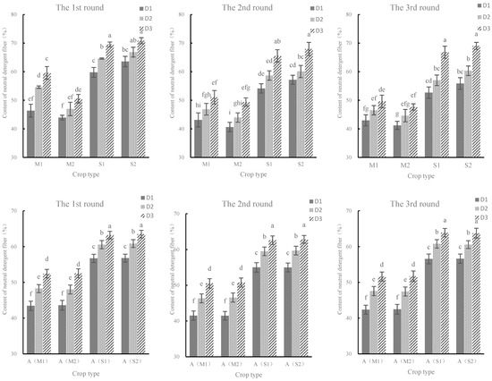
3.4. Nutritive Value Comparison of Two Double-Cropping Systems Including M–A and S–A
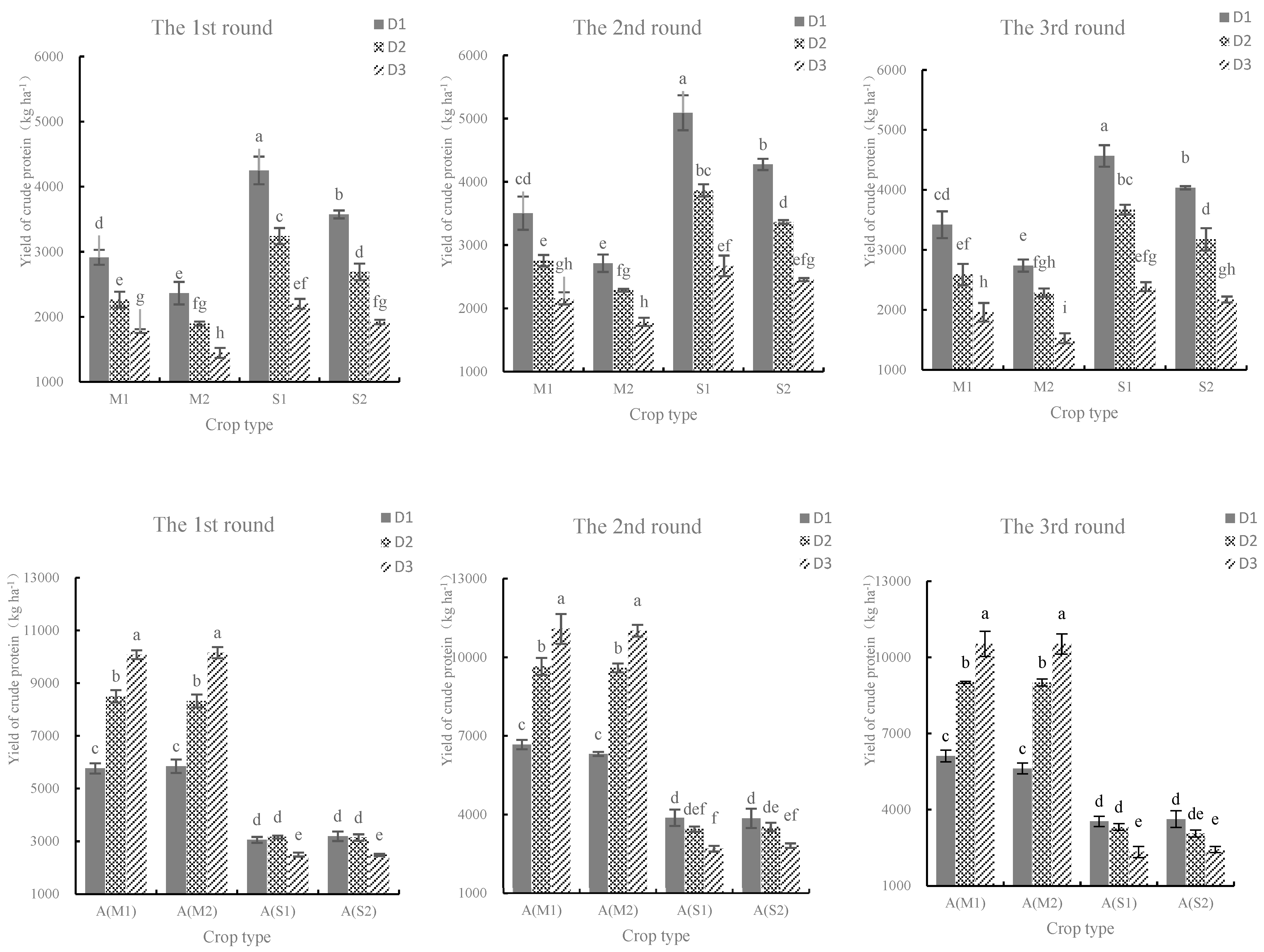
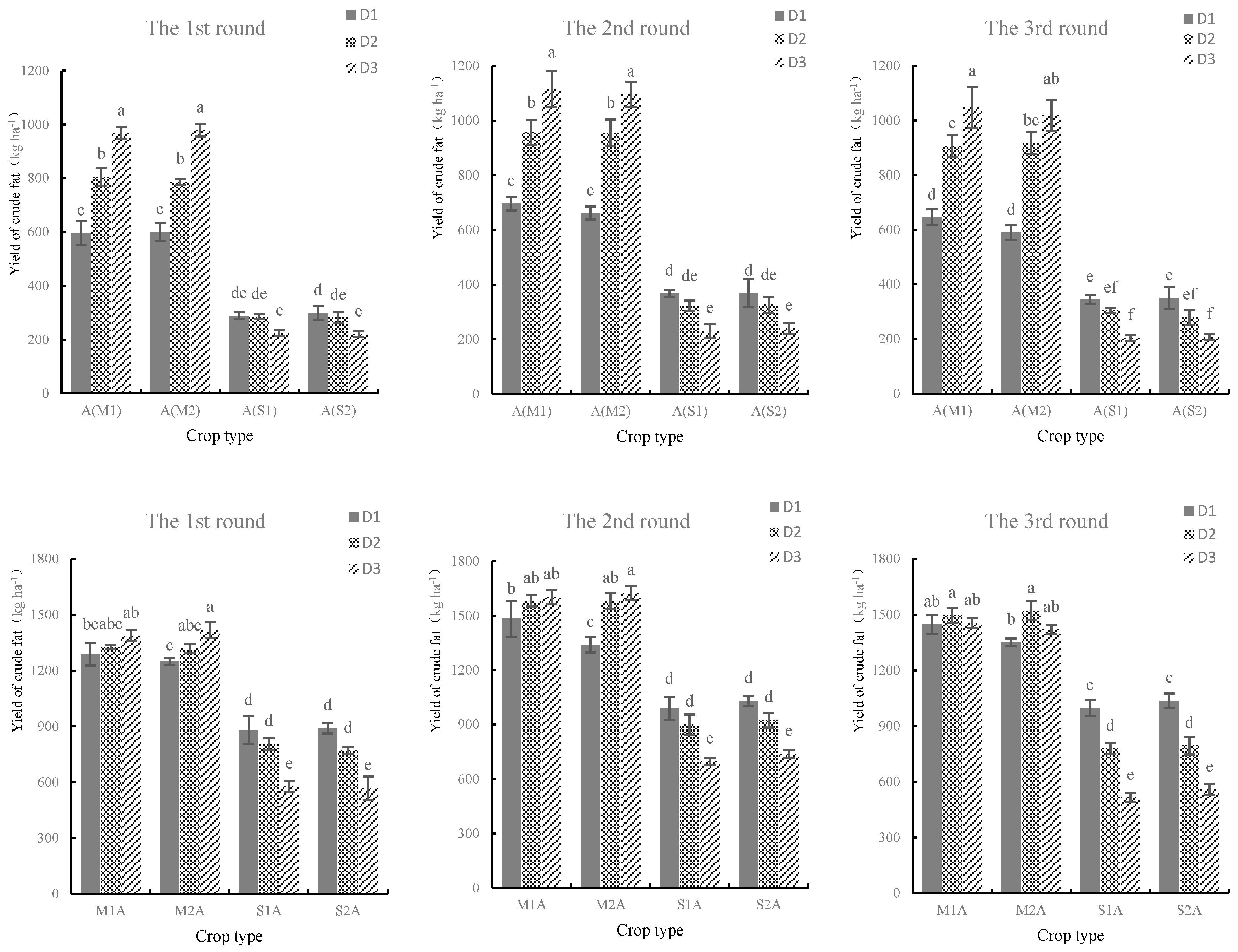
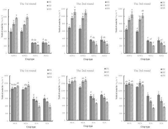
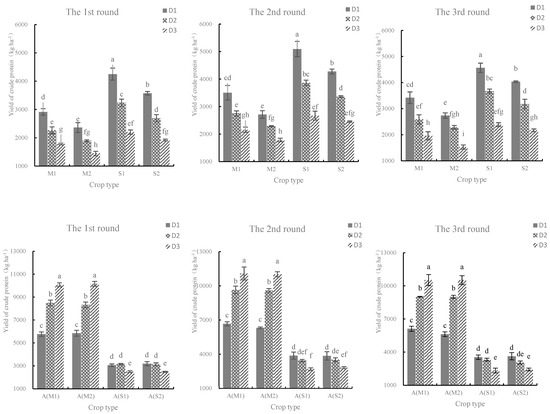
3.5. Nutritional Yield Comparison of Two Double-Cropping Systems Including M–A and S–A
4. Discussions
4.1. Rainfall, Temperature
4.2. Growing Degree Days (GDDs)
4.3. Biomass Yield Comparison of M–A and S–A
4.4. Nutritive Value Comparison of Two Double-Cropping Systems Including M–A and S–A
4.5. Nutritional Yield Comparison of Two Double-Cropping Systems Including M–A and S–A
5. Conclusions
Author Contributions
Funding
Data Availability Statement
Acknowledgments
Conflicts of Interest
References
- Redfearn, D.A. Economical Systems for Integrated Crop and Livestock Production. Ph.D. Thesis, University of Nebraska, Lincoln, NE, USA, 2015. [Google Scholar]
- Nave, R.L.G. Nutritive Value and Forage Accumulaton of Alfalfa and Alfalfa-Mixtures as Influenced by Forage Management. Ph.D. Thesis, University of Tennessee, Knoxville, TN, USA, 2013. [Google Scholar]
- Wannasek, L.; Ortner, M.; Kaul, H.P.; Amon, B.; Amon, T. Double-cropping systems based on rye, maize and sorghum: Impact of variety and harvesting time on biomass and biogas yield. Eur. J. Agron. 2019, 110, 125934. [Google Scholar] [CrossRef]
- Brummer, E.D. Breeding and Genetics of Forage Crops to Improve Productivity, Quality and Industrial Uses. Ph.D. Thesis, Cornell University, New York, NY, USA, 2015. [Google Scholar]
- Mutsamba, E.F.; Nyagumbo, I.; Mupangwa, W. Forage and maize yields in mixed crop-livestock farming systems Enhancing forage and maize yields in mixed crop-livestock systems under conservation agriculture in sub-humid Zimbabwe. NJAS-Wagen. J. Life Sci. 2020, 92, 100317. [Google Scholar] [CrossRef]
- Mansano Sarto, M.V.; Barbosa Borges, W.L.; Bassegio, D.; Rice, C.; Rosolem, C.A. Maize and sorghum root growth and yield when intercropped with forage grasses. Agron. J. 2021, 113, 4900–4915. [Google Scholar] [CrossRef]
- Bonea, D.; Urechean, V. Response of maize yield to variation in rainfall and average temperature in central part of oltenia. Rom. Agric. Res 2020, 37, 41–48. [Google Scholar] [CrossRef]
- Mushore, T.; Manatsa, D.; Pedzisai, E.; Muzenda-Mudavanhu, C.; Mushore, W.; Kudzotsa, I. Investigating the implications of meteorological indicators of seasonal rainfall performance on maize yield in a rain-fed agricultural system: Case study of Mt. Darwin District in Zimbabwe. Theor. Appl. Climatol. 2017, 129, 1167–1173. [Google Scholar] [CrossRef]
- Hamilton, S.K.; Hussain, M.Z.; Bhardwaj, A.K.; Basso, B.; Robertson, G.P. Comparative water use by maize, perennial crops, restored prairie, and poplar trees in the US Midwest. Environ. Res. Lett. 2015, 10, 064015. [Google Scholar] [CrossRef]
- Brink, G.; Hall, M.; Shewmaker, G.; Undersander, D.; Martin, N.; Walgenbach, R. Changes in Alfalfa Yield and Nutritive Value within Individual Harvest Periods. Agron. J. 2010, 102, 1274–1282. [Google Scholar] [CrossRef]
- Samarappuli, D.; Berti, M.T. Intercropping forage sorghum with maize is a promising alternative to maize silage for biogas production. J. Clean. Prod. 2018, 194, 515–524. [Google Scholar] [CrossRef]
- Shi, S.; Nan, L.; Smith, K.F. The current status, problems, and prospects of alfalfa (Medicago sativa L.) breeding in china. Agronomy 2017, 7, 1. [Google Scholar] [CrossRef]
- Wang, Q.; Yang, Z. China’s alfalfa market and imports: Development, trends, and potential impacts of the US-China trade dispute and retaliations. J. Integr. Agric. 2020, 19, 1149–1158. [Google Scholar] [CrossRef]
- Wang, W. Improving China’s alfalfa industry development: An economic analysis. China Agric. Econ. Rev. 2021, 13, 123–140. [Google Scholar] [CrossRef]
- Xu, R.X.; Zhao, H.M.; Liu, G.B.; You, Y.L.; Ma, L.; Liu, N.; Zhang, Y.J. Effects of nitrogen and maize plant density on forage yield and nitrogen uptake in an alfalfa-silage maize relay intercropping system in the North China Plain. Field Crops Res. 2021, 263, 108068. [Google Scholar] [CrossRef]
- Capstaff, N.M.; Miller, A.J. Improving the yield and nutritional quality of forage crops. Front. Plant Sci. 2018, 9, 535. [Google Scholar] [CrossRef] [PubMed]
- Belanger, G.; Castonguay, Y.; Bertrand, A.; Dhont, C.; Rochette, P.; Couture, L.; Drapeau, R.; Mongrain, D.; Chalifour, F.P.; Michaud, R. Winter damage to perennial forage crops in eastern Canada: Causes, mitigation, and prediction. Can. J. Plant Sci. 2006, 86, 33–47. [Google Scholar] [CrossRef]
- Calviño, P.A.; Sadras, V.O.; Andrade, F.H. Development, growth and yield of late-sown soybean in the southern Pampas. Eur. J. Agron. 2003, 19, 265–275. [Google Scholar] [CrossRef]
- Abrahao, G.M.; Costa, M.H. Evolution of rain and photoperiod limitations on the soybean growing season in Brazil: The rise (and possible fall) of double-cropping systems. Agric. For. Meteorol. 2018, 256, 32–45. [Google Scholar] [CrossRef]
- Sun, H.; Zhang, X.; Chen, S.; Pei, D.; Liu, C. Effects of harvest and sowing time on the performance of the rotation of winter wheat-summer maize in the North China Plain. Ind. Crop. Prod. 2007, 25, 239–247. [Google Scholar] [CrossRef]
- Grass, R.; Heuser, F.; Stuelpnagel, R.; Piepho, H.-P.; Wachendorf, M. Energy crop production in double-cropping systems: Results from an experiment at seven sites. Eur. J. Agron. 2013, 51, 120–129. [Google Scholar] [CrossRef]
- Andrade, J.F.; Poggio, S.L.; Ermacora, M.; Satorre, E.H. Land use intensification in the Rolling Pampa, Argentina: Diversifying crop sequences to increase yields and resource use. Eur. J. Agron. 2017, 82, 1–10. [Google Scholar] [CrossRef]
- Fang, Q.; Yu, Q.; Wang, E.; Chen, Y.; Zhang, G.; Wang, J.; Li, L. Soil nitrate accumulation, leaching and crop nitrogen use as influenced by fertilization and irrigation in an intensive wheat-maize double cropping system in the North China Plain. Plant Soil 2006, 284, 335–350. [Google Scholar] [CrossRef]
- Dunbar, M.W.; Gassmann, A.J.; O’Neal, M.E. Limited impact of a fall-seeded, spring-terminated rye cover crop on beneficial arthropods. Environ. Entomol. 2017, 46, 284–290. [Google Scholar] [CrossRef] [PubMed]
- Chromy, V.; Vinklarkova, B.; Sprongl, L.; Bittova, M. The Kjeldahl Method as a Primary Reference Procedure for Total Protein in Certified Reference Materials Used in Clinical Chemistry. I. A Review of Kjeldahl Methods Adopted by Laboratory Medicine. Crit. Rev. Anal. Chem. 2015, 45, 106–111. [Google Scholar]
- Wei, L.L.; Chen, C.R.; Xu, Z.H. The effect of low-molecular-weight organic acids and inorganic phosphorus concentration on the determination of soil phosphorus by the molybdenum blue reaction. Biol. Fertility Soils 2009, 45, 775–779. [Google Scholar] [CrossRef]
- Sherrod, S.K.; Belnap, J.; Miller, M.E. Comparison of methods for nutrient measurement in calcareous soils: Ion-exchange resin bag, capsule, membrane, and chemical extractions. Soil Sci. 2002, 167, 666–679. [Google Scholar] [CrossRef]
- Beretta, A.; Bassahun, D.; Musselli, R.; Torres, D. Soil pH measurement with reactive paper test medición de pH del suelo con papel reactivo. Agrociencia Urug. 2015, 19, 68–74. [Google Scholar] [CrossRef]
- Karami, Z.; Emam-Djomeh, Z.; Mirzaee, H.A.; Khomeiri, M.; Mahoonak, A.S.; Aydani, E. Optimization of microwave assisted extraction (MAE) and soxhlet extraction of phenolic compound from licorice root. J. Food Sci. Tech.-Mys. 2015, 52, 3242–3253. [Google Scholar] [CrossRef]
- Jaekel, A.; Wirtz, M.; Lamotte, S.; Legelli, M. Performance in (Ultra-)high-performance liquid chromatography-How to qualify and optimize instruments in practice. J. Sep. Sci. 2023, 46, 94. [Google Scholar] [CrossRef] [PubMed]
- Xue, H.F.; Deng, Y.F.; Zhou, Z.M.; Ren, L.P.; Meng, Q.X. Effect of two methods of Van Soest fibre detergent system on monosaccharide compositions of acid detergent residues. J. Anim. Feed Sci. 2007, 16, 500–505. [Google Scholar] [CrossRef]
- McMaster, G.S.; Edmunds, D.A.; Jones, S.M.; Johnson, J.J.; Vigil, M.F. Simulating the Probability of Grain Sorghum Maturity before the First Frost in Northeastern Colorado. Agronomy 2016, 6, 44. [Google Scholar] [CrossRef]
- Robertson, S.M.; Jeffrey, S.R.; Unterschultz, J.R.; Boxall, P.C. Estimating yield response to temperature and identifying critical temperatures for annual crops in the Canadian prairie region. Can. J. Plant Sci. 2013, 93, 1237–1247. [Google Scholar] [CrossRef]
- Xiao, L.; Liu, B.; Zhang, H.; Gu, J.; Fu, T.; Asseng, S.; Liu, L.; Tang, L.; Cao, W.; Zhu, Y. Modeling the response of winter wheat phenology to low temperature stress at elongation and booting stages. Agric. For. Meteorol. 2021, 303, 108376. [Google Scholar] [CrossRef]
- Yang, H.; Cai, X.; Lu, D. Effects of Waterlogging at Flowering Stage on the Grain Yield and Starch Quality of Waxy Maize. Plants 2024, 13, 108. [Google Scholar] [CrossRef]
- Tian, L.-x.; Bi, W.-s.; Ren, X.-s.; Li, W.-l.; Sun, L.; Li, J. Flooding has more adverse effects on the stem structure and yield of spring maize (Zea mays L.) than waterlogging in Northeast China. Eur. J. Agron. 2020, 117, 126054. [Google Scholar]
- He, S.; Gong, Y.; Zheng, Z.; Luo, Z.; Tan, B.; Zhang, Y. Effects of rainfall intensities and slope gradients on nitrogen loss at the seedling stage of maize (Zea mays L.) in the purple soil regions of China. Int. J. Agric. Biol. Eng. 2022, 15, 142–148. [Google Scholar]
- Sallam, A.; Mourad, A.M.I.; Hussain, W.; Baenziger, P.S. Genetic variation in drought tolerance at seedling stage and grain yield in low rainfall environments in wheat (Triticum aestivum L.). Euphytica 2018, 214, 169. [Google Scholar] [CrossRef]
- Holman, J.D.; Schlegel, A.; Obour, A.K.; Assefa, Y. Dryland cropping system impact on forage accumulation, nutritive value, and rainfall use efficiency. Crop Sci. 2020, 60, 3395–3409. [Google Scholar] [CrossRef]
- Sprague, S.J.; Kirkegaard, J.A.; Dove, H.; Graham, J.M.; McDonald, S.E.; Kelman, W.M. Integrating dual-purpose wheat and canola into high-rainfall livestock systems in south-eastern Australia. 1. Crop forage and grain yield. Crop Pasture Sci. 2015, 66, 365–376. [Google Scholar] [CrossRef]
- Neetoo, H.; Chen, H. Influence of growth temperatures of salmonella and storage temperatures of alfalfa seeds on heat inactivation of the pathogen during heat treatment. J. Food Process. Preserv. 2015, 39, 1992–2000. [Google Scholar] [CrossRef]
- Sanz-Saez, A.; Erice, G.; Aguirreolea, J.; Jose Irigoyen, J.; Sanchez-Diaz, M. Alfalfa yield under elevated CO2 and temperature depends on the Sinorhizobium strain and growth season. Environ. Exp. Bot. 2012, 77, 267–273. [Google Scholar] [CrossRef]
- Mampana, R.M. Cropping System Effects on Soil Water, Soil Temperature and Dryland Maize Productivity. Master’s Thesis, University of Pretoria (South Africa), Pretoria, South Africa, 2014. [Google Scholar]
- Sengar, R.S.; Sengar, K. Climate Change Effect on Crop Productivity; CRC Press: Boca Raton, FL, USA, 2015; p. 542. [Google Scholar]
- Lobell, D.B.; Schlenker, W.; Costa-Roberts, J. Climate Trends and Global Crop Production Since 1980. Science 2011, 333, 616–620. [Google Scholar] [CrossRef]
- Sacks, W.J.; Deryng, D.; Foley, J.A.; Ramankutty, N. Crop planting dates: An analysis of global patterns. Glob. Ecol. Biogeogr. 2010, 19, 607–620. [Google Scholar] [CrossRef]
- Patil, R.H.; Laegdsmand, M.; Olesen, J.E.; Porter, J.R. Growth and yield response of winter wheat to soil warming and rainfall patterns. J. Agric. Sci. 2010, 148, 553–566. [Google Scholar] [CrossRef]
- Singh, P.; Guleria, A.; Guleria, C.; Vaidya, M.K. Climatic variability and its impact on maize and wheat yield in Himachal Pradesh. Mausam 2024, 75, 669–678. [Google Scholar] [CrossRef]
- Vashisht, B.B.; Jalota, S.K. Impact of temperature variability and management interventions on productivity of wheat. J. Agrometeorol. 2018, 20, 11–15. [Google Scholar] [CrossRef]
- Rotter, R.P.; Carter, T.R.; Olesen, J.E.; Porter, J.R. Crop-climate models need an overhaul. Nat. Clim. Change 2011, 1, 175–177. [Google Scholar] [CrossRef]
- Kaur, A.; Satyavan; Kaur, R.; Singh, V. Effect of malt barley varieties and nitrogen levels on crop phenology, PAR interception, GDD, RUE and thermal use efficiency under saline water irrigation. Crop Res. 2022, 57, 230–236. [Google Scholar]
- Hu, Q.; Yang, N.; Pan, F.; Pan, X.; Wang, X.; Yang, P. Adjusting Sowing Dates Improved Potato Adaptation to Climate Change in Semiarid Region, China. Sustainability 2017, 9, 615. [Google Scholar] [CrossRef]
- Lamichhane, J.R.; Alletto, L.; Cong, W.-F.; Dayoub, E.; Maury, P.; Plaza-Bonilla, D.; Reckling, M.; Saia, S.; Soltani, E.; Tison, G.; et al. Relay cropping for sustainable intensification of agriculture across temperate regions: Crop management challenges and future research priorities. Field Crops Res. 2023, 291, 108795. [Google Scholar] [CrossRef]
- Lu, X.; Wang, H.; Xiang, Y.; Wang, Q.; Su, T.; Gong, R.; Zhang, H.; Zhu, L.; Li, E.; Abdelghany, A.E. Determination of nitrogen application ratio and sowing time for improving the future yield of double-harvest rice in Nanchang based on the DSSAT-CERES-Rice Model. Agronomy 2022, 12, 3199. [Google Scholar] [CrossRef]
- Carr, T.W.; Mkuhlani, S.; Segnon, A.C.; Ali, Z.; Zougmore, R.; Dangour, A.D.; Green, R.; Scheelbeek, P. Climate change impacts and adaptation strategies for crops in West Africa: A systematic review. Environ. Res. Lett. 2022, 17, 053001. [Google Scholar] [CrossRef]
- Challinor, A.J.; Parkes, B.; Ramirez-Villegas, J. Crop yield response to climate change varies with cropping intensity. Glob. Change Biol. 2015, 21, 1679–1688. [Google Scholar] [CrossRef] [PubMed]
- Cohn, A.S.; VanWey, L.K.; Spera, S.A.; Mustard, J.F. Cropping frequency and area response to climate variability can exceed yield response. Nat. Clim. Change 2016, 6, 601–604. [Google Scholar] [CrossRef]
- Liu, Y.; Zhang, J.; Ge, Q. The optimization of wheat yield through adaptive crop management in a changing climate: Evidence from China. J. Sci. Food Agric. 2021, 101, 3644–3653. [Google Scholar] [CrossRef]
- Parra, G.; Borras, L.; Gambin, B.L. Maize long-term genetic progress explains current dominance over sorghum in Argentina. Eur. J. Agron. 2020, 119, 126122. [Google Scholar] [CrossRef]
- Vermerris, W. Survey of genomics approaches to improve bioenergy traits in maize, sorghum and sugarcanefree access. J. Integr. Plant Biol. 2011, 53, 105–119. [Google Scholar] [CrossRef]
- Visarada, K.B.R.S. Variations introduced in sorghum through pollination with maize. Curr. Sci. 2020, 119, 1540–1548. [Google Scholar] [CrossRef]
- Maiti, R.K.; Vidyasagar, P.; Singh, V.P. Comparative study on the levels of tolerance to NaCl-salinity of some crop cultivars (sorghum, pearl millet, rice, maize, cotton, sunflower) at early emergence and germination stage. Crop Res. 2006, 31, 434–439. [Google Scholar]
- Paterson, A.H.; Bowers, J.E.; Feltus, F.A. Genomics of Sorghum, a Semi-Arid Cereal and Emerging Model for Tropical Grass Genomics; Univ. Georgia: Athens, GA, USA, 2008; pp. 469–482. [Google Scholar]
- Schittenhelm, S.; Schroetter, S. Comparison of drought tolerance of maize, sweet sorghum and sorghum-sudangrass hybrids. J. Agron. Crop Sci. 2014, 200, 46–53. [Google Scholar] [CrossRef]
- Wang, N.; Ryan, L.; Sardesai, N.; Wu, E.; Lenderts, B.; Lowe, K.; Che, P.; Anand, A.; Worden, A.; van Dyk, D.; et al. Leaf transformation for efficient random integration and targeted genome modification in maize and sorghum. Nat. Plants 2023, 9, 255–270. [Google Scholar] [CrossRef]
- Li, Y.; Li, L.; Sui, P.; Liu, X.; Zhang, T.; Li, X. Crop rotation to diversify the soil microbiome in the semi-arid area of Inner Mongolia, China. Arch. Agron. Soil Sci. 2023, 69, 1161–1176. [Google Scholar] [CrossRef]
- Neog, P.; Sarma, R.; Bains, G.S. Effect of temperature on grain growth period and grain yield of wheat (Triticum aestivum L.). Ann. Biol. 2001, 17, 111–114. [Google Scholar]
- Yao, N.; Li, Y.; Liu, Q.; Zhang, S.; Chen, X.; Ji, Y.; Liu, F.; Pulatov, A.; Feng, P. Response of wheat and maize growth-yields to meteorological and agricultural droughts based on standardized precipitation evapotranspiration indexes and soil moisture deficit indexes. Agric. Water Manag. 2022, 266, 107566. [Google Scholar] [CrossRef]
- Zhang, Y.; Qiu, X.; Yin, T.; Liao, Z.; Liu, B.; Liu, L. The impact of global warming on the winter wheat production of china. Agronomy 2021, 11, 1845. [Google Scholar] [CrossRef]
- Vasileva, V.; Kostov, O. Performance of oats (Avena sativa) in response to preceding alfalfa (Medicago sativa) on mineral fertilization versus organic manuring on Chernozem soil. Indian J. Agric. Sci. 2018, 88, 416–419. [Google Scholar] [CrossRef]
- Caviglia, O.P.; Melchiori, R.J.M.; Sadras, V.O. Nitrogen utilization efficiency in maize as affected by hybrid and N rate in late-sown crops. Field Crops Res. 2014, 168, 27–37. [Google Scholar] [CrossRef]
- Zhang, C.; Ren, Y.; Yan, M.; He, Z.; Chen, Y.; Zhang, S. Effect of sowing date on water uptake patterns of maize and soybean in intercropping systems using stable isotopes. Agric. Water Manag. 2023, 288, 108474. [Google Scholar] [CrossRef]
- Liu, J.; He, Q.; Wu, Y.; Xiao, X.; Sun, W.; Lin, Y.; Yi, R.; Pan, X. The effect of sowing date on the nutritional quality of kernels of various maize varieties in northeast china. Agronomy 2023, 13, 2543. [Google Scholar] [CrossRef]
- Amwoma, L.; Ebere, R.; Arimi, J. Glycemic index values of stiff porridge (Ugali) prepared from maize, millet, and sorghum flours: Which one for diabetes management? Adv. Public Health 2023, 2023, 6641966. [Google Scholar] [CrossRef]
- Zhao, J.; Grafi, G. The high mobility group I/Y protein is hypophosphorylated in endoreduplicating maize endosperm cells and is involved in alleviating histone H1-mediated transcriptional repression. J. Biol. Chem. 2000, 275, 27494–27499. [Google Scholar] [CrossRef]
- Huang, X.; Zhou, X.; Liu, X.; Zhong, W.; Wang, X.; Ju, Z.; Yin, Y.; Xin, Q.; Liu, N.; Liu, X.; et al. Structural and physicochemical effects on the starch quality of the high-quality wheat genotype caused by delayed sowing. Front. Nutr. 2024, 11, 1389745. [Google Scholar] [CrossRef] [PubMed]
- Thompson, S.; Koebernick, J.; Carrell, R.C.; Cole, M.; Dillard, S.L.L. Evaluating soybean cultivars for forage yield and nutritive values. J. Anim. Sci. 2021, 99, 21. [Google Scholar] [CrossRef]
- Liu, H.; Struik, P.C.; Zhang, Y.; Jing, J.; Stomph, T.-J. Forage quality in cereal/legume intercropping: A meta-analysis. Field Crops Res. 2023, 304, 109174. [Google Scholar] [CrossRef]
- Oluk, A.C.; Yucel, H.; Bilgin, F.D.; Serbester, U. Estimation of forage quality by near infrared reflectance spectroscopy in dallisgrass, Paspalum dilatatum, poir. J. Near Infrared Spec. 2022, 30, 189–196. [Google Scholar] [CrossRef]
- Lobell, D.B.; Field, C.B. Global scale climate—Crop yield relationships and the impacts of recent warming. Environ. Res. Lett. 2007, 2, 14002. [Google Scholar] [CrossRef]
- Liseron-Monfils, H.; Bi, Y.-M.; Downs, G.S.; Wu, W.; Signorelli, T.; Lu, G.; Chen, X.; Bondo, E.; Zhu, T.; Lukens, L.N.; et al. Nitrogen transporter and assimilation genes exhibit developmental stage-selective expression in maize (Zea mays L.) associated with distinct cis-acting promoter motifs. Plant Signal. Behav. 2013, 8, e26056. [Google Scholar] [PubMed]
- Mostafa, H.H.A.; Li, B.; Zhu, X.; Song, C.-P. Nitrogen assimilation under osmotic stress in maize (Zea mays L.) seedlings. Plant Growth Regul. 2021, 94, 87–99. [Google Scholar] [CrossRef]
- dos Santos, T.B.; Freire Neto, R.d.S.; Collantes, N.F.; Hidalgo Chavez, D.W.; Vieira Queiroz, V.A.; Piler de Carvalho, C.W. Exploring starches from varied sorghum genotypes compared to commercial maize starch. J. Food Process Eng. 2023, 46, 14251. [Google Scholar] [CrossRef]
- Studer, A.N. Optimization of Maize Leaves for Increased Photosynthesis and Water-Use Efficiency. Ph.D. Thesis, University of Illinois, Chicago, IL, USA, 2015. [Google Scholar]
- Zhu, J.Q. Study on the Water Use Characteristic of Different Cropping Patterns and Regional Water Balance. Doctoral Dissertation, China Agricultural University, Beijing, China, 2010. [Google Scholar]
- Jalli, M.; Huusela, E.; Jalli, H.; Kauppi, K.; Niemi, M.; Himanen, S.; Jauhiainen, L. Effects of crop rotation on spring wheat yield and pest occurrence in different tillage systems: A multi-year experiment in finish growing conditions. Front. Sustain. Food Syst. 2021, 5, 647335. [Google Scholar] [CrossRef]
- Traore, B.; van Wijk, M.T.; Descheemaeker, K.; Corbeels, M.; Rufino, M.C.; Giller, K.E. Evaluation of climate adaptation options for Sudano-Sahelian cropping systems. Field Crops Res. 2014, 156, 63–75. [Google Scholar] [CrossRef]
- Adebo, J.A.; Kesa, H. Evaluation of nutritional and functional properties of anatomical parts of two sorghum (Sorghum bicolor) varieties. Heliyon 2023, 9, e17296. [Google Scholar] [CrossRef]

















| Treatment | Sowing Date | Crop Type | |
|---|---|---|---|
| Maize/Sorghum | Alfalfa | ||
| 1 | Suitable sowing (D1) | M1 (maize Dongdan 60) | A (alfalfa WL525) |
| 2 | M2 (maize Dongdan 1331) | A (alfalfa WL525) | |
| 3 | S1 (sorghum 1230) | A (alfalfa WL525) | |
| 4 | S2 (sorghum cfsh30) | A (alfalfa WL525) | |
| 5 | Suitable delayed sowing (D2) | M1 (maize Dongdan 60) | A (alfalfa WL525) |
| 6 | M2 (maize Dongdan 1331) | A (alfalfa WL525) | |
| 7 | S1 (sorghum 1230) | A (alfalfa WL525) | |
| 8 | S2 (sorghum cfsh30) | A (alfalfa WL525) | |
| 9 | Late sowing (D3) | M1 (maize Dongdan 60) | A (alfalfa WL525) |
| 10 | M2 (maize Dongdan 1331) | A (alfalfa WL525) | |
| 11 | S1 (sorghum 1230) | A (alfalfa WL525) | |
| 12 | S2 (sorghum cfsh30) | A (alfalfa WL525) | |
| Sowing Date | Crop Type | Average Fresh Matter Yield (×103 kg ha−1) | Average Dry Matter Yield (×103 kg ha−1) | ||||
|---|---|---|---|---|---|---|---|
| The 1st Round | The 2nd Round | The 3rd Round | The 1st Round | The 2nd Round | The 3rd Round | ||
| D1 | M1 | 103.2 ± 2.2 cd | 114.7 ± 2.9 cd | 110.3 ± 2.5 d | 28.2 ± 0.6 c | 33.1 ± 1.7 a | 31.3 ± 1.9 ab |
| M2 | 93.6 ± 2.3 e | 100.8 ± 1.5 e | 97.6 ± 1.9 e | 26.0 ± 1.1 de | 28.1 ± 1.2 bc | 26.7 ± 0.8 c | |
| S1 | 124.2 ± 1.7 a | 135.8 ± 1.1 a | 130.9 ± 0.9 a | 33.7 ± 0.4 a | 36.4 ± 0.9 a | 34.1 ± 0.5 a | |
| S2 | 115.4 ± 1.8 b | 126.2 ± 1.6 b | 121.8 ± 1.1 b | 30.8 ± 0.3 b | 35.0 ± 2.7 a | 33.0 ± 0.9 a | |
| D2 | M1 | 85.3 ± 1.0 f | 98.0 ± 0.5 e | 95.4 ± 0.8 e | 24.0 ± 0.2 e | 28.3 ± 0.8 b | 26.4 ± 1.3 cd |
| M2 | 81.1 ± 0.2 f | 91.6 ± 0.8 f | 89.5 ± 1.2 f | 21.6 ± 0.2 f | 25.2 ± 0.4 bcd | 24.3 ± 0.5 de | |
| S1 | 106.2 ± 1.9 c | 117.8 ± 1.9 c | 117.1 ± 1.2 c | 27.9 ± 1.1 c | 33.2 ± 0.9 a | 30.9 ± 0.3 ab | |
| S2 | 100.1 ± 1.5 d | 110.3 ± 2.3 d | 107.6 ± 1.4 d | 25.4 ± 0.9 cd | 31.4 ± 0.7 a | 29.5 ± 1.1 bc | |
| D3 | M1 | 75.4 ± 1.2 g | 86.1 ± 2.1 g | 83.0 ± 1.4 g | 20.7 ± 0.7 f | 24.1 ± 1.6 cd | 21.3 ± 1.6 e |
| M2 | 68.4 ± 1.4 h | 77.8 ± 1.8 h | 73.7 ± 1.4 h | 18.1 ± 0.6 g | 21.4 ± 0.5 d | 17.5 ± 0.7 f | |
| S1 | 81.8 ± 0.9 f | 91.7 ± 1.0 f | 88.4 ± 0.9 f | 21.7 ± 0.2 f | 26.5 ± 1.1 bc | 22.2 ± 0.9 e | |
| S2 | 75.2 ± 0.7 g | 85.6 ± 0.7 g | 84.2 ± 0.4 g | 20.2 ± 0.2 f | 25.2 ± 0.6 bcd | 21.3 ± 0.5 e | |
| Sowing Date | Crop Type | Average Fresh Matter Yield (×103 kg ha−1) | Average Dry Matter Yield (×103 kg ha−1) | ||||
|---|---|---|---|---|---|---|---|
| The 1st Round | The 2nd Round | The 3rd Round | The 1st Round | The 2nd Round | The 3rd Round | ||
| D1 | A (M1) | 98.7 ± 2.7 c | 113.4 ± 1.4 c | 109.1 ± 1.1 c | 20.0 ± 0.6 c | 23.4 ± 0.8 c | 21.3 ± 0.9 c |
| A (M2) | 100.1 ± 2.1 c | 111.2 ± 0.9 c | 106.9 ± 1.8 c | 20.3 ± 0.9 c | 22 ± 0.4 c | 19.6 ± 0.8 c | |
| A (S1) | 61.5 ± 0.9 d | 73.1 ± 1.4 d | 70.8 ± 2.2 d | 12.7 ± 0.5 de | 15.7 ± 1.1 d | 14.4 ± 0.6 d | |
| A (S2) | 62.7 ± 1.6 d | 74.0 ± 3.4 d | 71.2 ± 2.6 d | 13.1 ± 0.7 d | 15.7 ± 1.5 d | 14.8 ± 1.1 d | |
| D2 | A (M1) | 146.3 ± 1.4 b | 157.4 ± 1.4 b | 153.5 ± 1.1 b | 30.5 ± 0.6 b | 34.8 ± 1.1 b | 32.5 ± 0.4 b |
| A (M2) | 146.7 ± 1.9 b | 156.3 ± 2.8 b | 153.6 ± 1.2 b | 30.0 ± 0.9 b | 34.5 ± 0.9 b | 32.6 ± 0.3 b | |
| A (S1) | 59.4 ± 1.3 d | 70.0 ± 1.4 d | 66.9 ± 1.4 de | 13.7 ± 0.3 d | 14.7 ± 0.5 def | 14.1 ± 0.5 d | |
| A (S2) | 59.2 ± 0.8 d | 69.0 ± 1.4 d | 65.5 ± 1.1 e | 13.5 ± 0.6 d | 15.1 ± 0.6 de | 13.1 ± 0.5 de | |
| D3 | A (M1) | 174.0 ± 2.6 a | 185.9 ± 3.2 a | 181.5 ± 2.6 a | 39.6 ± 0.6 a | 43.2 ± 1.4 a | 40.6 ± 1.4 a |
| A (M2) | 173.9 ± 2.6 a | 184.1 ± 3.2 a | 180.4 ± 2.4 a | 39.7 ± 1.1 a | 42.7 ± 1.1 a | 39.9 ± 1.5 a | |
| A (S1) | 43.3 ± 0.4 e | 55.2 ± 1.5 e | 53.1 ± 1.5 f | 11.2 ± 0.3 e | 11.9 ± 0.6 f | 10.4 ± 0.8 f | |
| A (S2) | 43.2 ± 0.3 e | 55.6 ± 1.1 e | 53.4 ± 0.7 f | 11.1 ± 0.2 e | 12.5 ± 0.5 ef | 10.8 ± 0.4 ef | |
| Sowing Date | Crop Type | Average Fresh Matter Yield (×103 kg ha−1) | Average Dry Matter Yield (×103 kg ha−1) | ||||
|---|---|---|---|---|---|---|---|
| The 1st Round | The 2nd Round | The 3rd Round | The 1st Round | The 2nd round | The 3rd Round | ||
| D1 | M1–A | 201.9 ± 1.7 d | 228.1 ± 2.5 d | 219.4 ± 2.6 d | 48.3 ± 0.5 d | 56.5 ± 1.3 c | 52.6 ± 1.6 c |
| M2–A | 193.7 ± 3.9 e | 212.0 ± 1.5 e | 204.5 ± 3.1 e | 46.3 ± 1.3 de | 50.1 ± 1.3 d | 46.3 ± 1.6 d | |
| S1–A | 185.8 ± 1.8 f | 208.9 ± 2.5 e | 201.7 ± 3.1 e | 46.1 ± 0.3 de | 52.1 ± 1.5 d | 48.5 ± 0.8 d | |
| S2–A | 178.2 ± 3.2 g | 200.2 ± 4.5 f | 193.0 ± 2.6 f | 44.3 ± 0.3 ef | 50.7 ± 1.5 d | 47.8 ± 0.4 d | |
| D2 | M1–A | 231.7 ± 2.1 c | 255.4 ± 0.9 b | 249.0 ± 0.3 bc | 54.6 ± 0.6 b | 63.1 ± 2.7 ab | 58.9 ± 1.5 ab |
| M2–A | 227.9 ± 1.7 c | 247.9 ± 1.9 c | 243.1 ± 2.4 c | 51.7 ± 1.1 c | 59.7 ± 1.8 bc | 56.9 ± 0.7 b | |
| S1–A | 165.7 ± 0.6 h | 187.8 ± 1.4 g | 184.1 ± 2.6 g | 41.9 ± 0.7 fg | 49.4 ± 0.5 d | 46.6 ± 0.7 d | |
| S2–A | 159.4 ± 2.1 h | 179.4 ± 0.9 h | 173.1 ± 1.5 h | 39.9 ± 1.2 g | 48.8 ± 2.2 d | 42.6 ± 1.2 e | |
| D3 | M1–A | 249.4 ± 1.6 a | 272.0 ± 1.1 a | 264.5 ± 1.2 a | 60.4 ± 0.5 a | 67.3 ± 0.6 a | 61.8 ± 1.1 a |
| M2–A | 242.4 ± 3.9 b | 261.9 ± 4.8 b | 254.2 ± 3.5 b | 57.9 ± 1.4 a | 64.1 ± 0.5 a | 57.4 ± 0.3 b | |
| S1–A | 125.2 ± 0.6 i | 146.9 ± 0.9 i | 141.5 ± 0.7 i | 33.2 ± 0.5 h | 38.5 ± 1.4 e | 32.6 ± 1.9 f | |
| S2–A | 118.5 ± 0.7 i | 141.2 ± 1.5 i | 137.7 ± 0.3 i | 31.3 ± 0.3 h | 37.8 ± 0.5 e | 32.1 ± 0.1 f | |
Disclaimer/Publisher’s Note: The statements, opinions and data contained in all publications are solely those of the individual author(s) and contributor(s) and not of MDPI and/or the editor(s). MDPI and/or the editor(s) disclaim responsibility for any injury to people or property resulting from any ideas, methods, instructions or products referred to in the content. |
© 2024 by the authors. Licensee MDPI, Basel, Switzerland. This article is an open access article distributed under the terms and conditions of the Creative Commons Attribution (CC BY) license (https://creativecommons.org/licenses/by/4.0/).
Share and Cite
Ji, Z.; Shi, Y.; Jiang, L.; Wang, X.; Zhu, G.; Zhou, G. Double-Cropping Systems Based on Maize, Sorghum, and Alfalfa: Impact of Annual Combination on Biomass and Nutritional Yield. Agronomy 2025, 15, 83. https://doi.org/10.3390/agronomy15010083
Ji Z, Shi Y, Jiang L, Wang X, Zhu G, Zhou G. Double-Cropping Systems Based on Maize, Sorghum, and Alfalfa: Impact of Annual Combination on Biomass and Nutritional Yield. Agronomy. 2025; 15(1):83. https://doi.org/10.3390/agronomy15010083
Chicago/Turabian StyleJi, Zhongya, Yu Shi, Liqiu Jiang, Xiaoshan Wang, Guanglong Zhu, and Guisheng Zhou. 2025. "Double-Cropping Systems Based on Maize, Sorghum, and Alfalfa: Impact of Annual Combination on Biomass and Nutritional Yield" Agronomy 15, no. 1: 83. https://doi.org/10.3390/agronomy15010083
APA StyleJi, Z., Shi, Y., Jiang, L., Wang, X., Zhu, G., & Zhou, G. (2025). Double-Cropping Systems Based on Maize, Sorghum, and Alfalfa: Impact of Annual Combination on Biomass and Nutritional Yield. Agronomy, 15(1), 83. https://doi.org/10.3390/agronomy15010083

