Characteristics of Soil Profile Greenhouse Gas Concentrations and Fluxes of Alpine Grassland as Affected by Livestock Grazing
Abstract
1. Introduction
2. Materials and Methods
2.1. Site Description and Experimental Design
2.2. Chamber-Based GHG Flux Measurements
2.3. Soil Profile GHG Concentration Measurements
2.4. GHG Fluxes in the Soil Profile
2.5. Soil Temperature and Moisture
2.6. Statistical Analysis
3. Result
3.1. Environmental and Soil Conditions
3.2. Concentrations and Fluxes in the Soil and Surface GHG Fluxes
3.2.1. N2O Concentrations and Fluxes
3.2.2. CO2 Concentrations and Fluxes
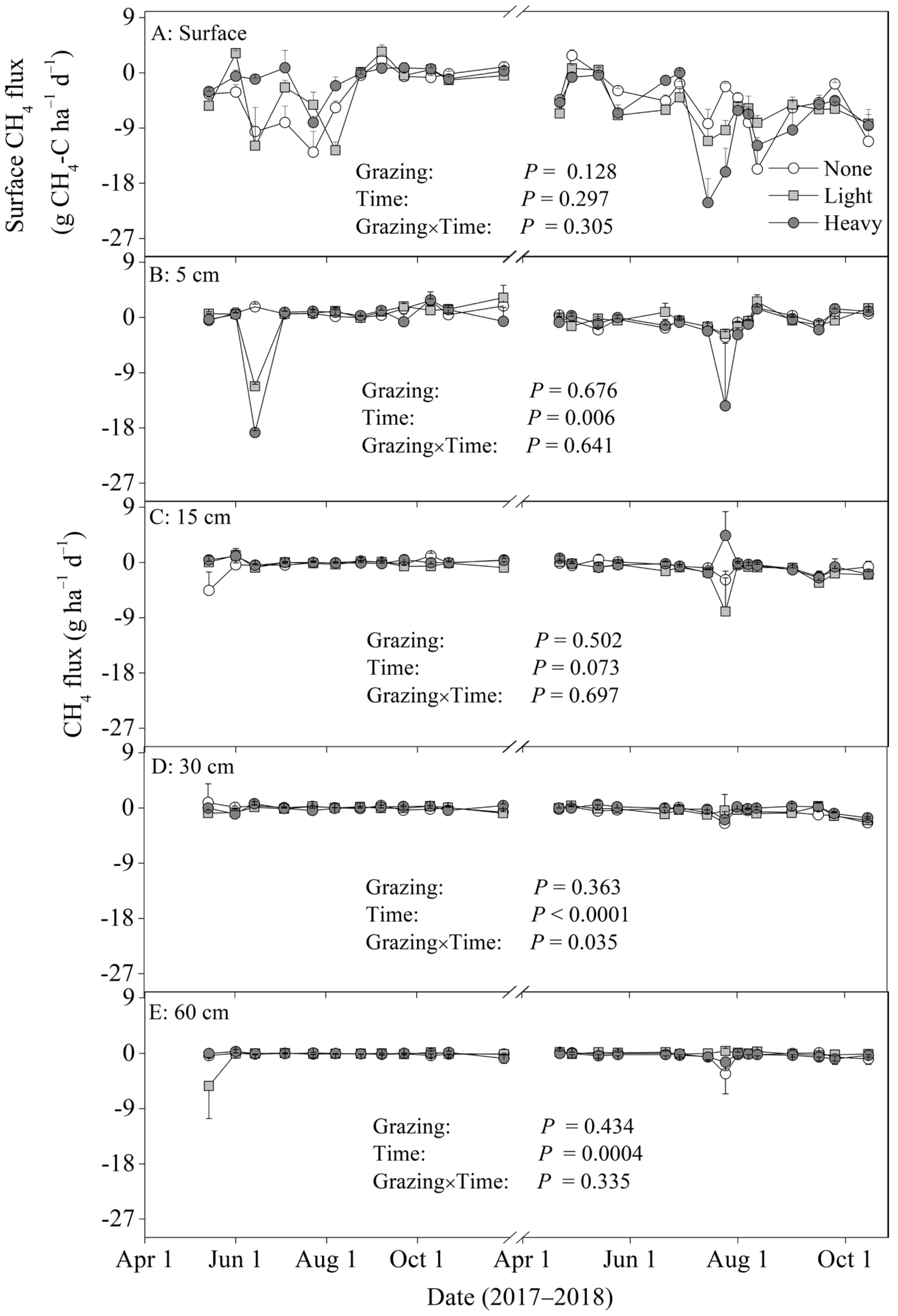
3.2.3. CH4 Concentrations and Fluxes
4. Discussion
4.1. Concentrations and Fluxes of N2O Along Soil Profile
4.2. Concentrations and Fluxes of CO2 Along Soil Profile
4.3. Concentrations and Fluxes of CH4 Along Soil Profile
4.4. Comparison in GHG Flux Between Concentration Gradient-Based and Chamber-Based Methods
5. Conclusions
Author Contributions
Funding
Data Availability Statement
Conflicts of Interest
References
- Cardoso, A.D.S.; Brito, L.D.F.; Janusckiewicz, E.R.; Morgado, E.D.S.; Barbero, R.P.; Koscheck, J.F.W.; Reis, R.A.; Ruggieri, A.C. Impact of grazing intensity and seasons on greenhouse gas emissions in tropical grassland. Ecosystems 2016, 20, 845–859. [Google Scholar] [CrossRef]
- Nan, Z. The grassland farming system and sustainable agricultural development in China. Grassl. Sci. 2005, 51, 15–19. [Google Scholar] [CrossRef]
- Li, L.; Gao, X.; Li, X.; Lin, L.; Zeng, F.; Gui, D.; Lu, Y. Nitrogen (N) and phosphorus (P) resorption of two dominant alpine perennial grass species in response to contrasting N and P availability. Environ. Exp. Bot. 2016, 127, 37–44. [Google Scholar] [CrossRef]
- Wu, Y.; Gao, X.; Cao, D.; Li, L.; Zeng, F. Nitrous oxide emissions from an alpine grassland as affected by nitrogen addition. Atmosphere 2021, 12, 976. [Google Scholar] [CrossRef]
- Steinfeld, H.; Gerber, P.; Wassenaar, T.D.; Castel, V.; Rosales, M.; Rosales, M.; de Haan, C. Livestock’s Long Shadow: Environmental Issues and Options; Food & Agriculture Org.: Rome, Italy, 2006; ISBN 92-5-105571-8. [Google Scholar]
- Tang, S.; Wang, K.; Xiang, Y.; Tian, D.; Wang, J.; Liu, Y.; Cao, B.; Guo, D.; Niu, S. Heavy grazing reduces grassland soil greenhouse gas fluxes: A global meta-analysis. Sci. Total Environ. 2019, 654, 1218–1224. [Google Scholar] [CrossRef]
- Yin, M.; Gao, X.; Kuang, W.; Tenuta, M. Soil N2O emissions and functional genes in response to grazing grassland with livestock: A meta-analysis. Geoderma 2023, 436, 116538. [Google Scholar] [CrossRef]
- Gao, X.; Rajendran, N.; Tenuta, M.; Dunmola, A.; Burton, D.L. Greenhouse gas accumulation in the soil profile is not always related to surface emissions in a prairie pothole agricultural landscape. Soil Sci. Soc. Am. J. 2014, 78, 805. [Google Scholar] [CrossRef]
- Wolf, B.; Chen, W.; Brüggemann, N.; Zheng, X.; Pumpanen, J.; Butterbach-Bahl, K. Applicability of the soil gradient method for estimating soil-atmosphere CO2, CH4, and N2O fluxes for steppe soils in Inner Mongolia. J. Plant Nutr. Soil Sci. 2011, 174, 359–372. [Google Scholar] [CrossRef]
- Valentini, R.; Matteucci, G.; Dolman, A.; Schulze, E.D.; Rebmann, C.; Moors, E.; Granier, A.; Gross, P.; Jensen, N.; Pilegaard, K. Respiration as the main determinant of carbon balance in European forests. Nature 2000, 404, 861. [Google Scholar] [CrossRef]
- Nan, W.; Yue, S.; Li, S.; Huang, H.; Shen, Y. The factors related to carbon dioxide effluxes and production in the soil profiles of rain-fed maize fields. Agric. Ecosyst. Environ. 2016, 216, 177–187. [Google Scholar] [CrossRef]
- Li, Y.; Gao, X.; Tenuta, M.; Gui, D.; Li, X.; Zeng, F. Linking soil profile N2O concentration with surface flux in a cotton field under drip fertigation. Environ. Pollut. 2021, 285, 117458. [Google Scholar] [CrossRef]
- Yao, P.; Ye, X.; Wei, L.; Li, S. Interactions between maize plants and nitrogen impact on soil profile dynamics and surface uptake of methane on a dryland farm. Agric. Ecosyst. Environ. 2022, 324, 107716. [Google Scholar] [CrossRef]
- Verma, A.K.; Kelleners, T.J. Depthwise carbon dioxide production and transport in a rangeland soil. Soil Sci. Soc. Am. J. 2012, 76, 821. [Google Scholar] [CrossRef]
- Barneze, A.S.; Petersen, S.O.; Eriksen, J.; De Deyn, G.B.; van Groenigen, J.W.; Abalos, D. Belowground links between root properties of grassland species and N2O concentration across the topsoil profile. Soil Biol. Biochem. 2024, 196, 109498. [Google Scholar] [CrossRef]
- Denmead, O. Approaches to measuring fluxes of methane and nitrous oxide between landscapes and the atmosphere. Plant Soil 2008, 309, 5–24. [Google Scholar] [CrossRef]
- Kusa, K.; Sawamoto, T.; Hu, R.; Hatano, R. Comparison of the closed-chamber and gas concentration gradient methods for measurement of CO2 and N2O fluxes in two upland field soils. Soil Sci. Plant Nutr. 2008, 54, 777–785. [Google Scholar] [CrossRef]
- Maier, M.; Schack-Kirchner, H. Using the gradient method to determine soil gas flux: A review. Agric. For. Meteorol. 2014, 192, 78–95. [Google Scholar] [CrossRef]
- Wang, Y.; Li, X.; Dong, W.; Wu, D.; Hu, C.; Zhang, Y.; Luo, Y. Depth-dependent greenhouse gas production and consumption in an upland cropping system in northern China. Geoderma 2018, 319, 100–112. [Google Scholar] [CrossRef]
- Yao, P.; Li, X.; Liu, J.; Shen, Y.; Yue, S.; Li, S. The role of maize plants in regulating soil profile dynamics and surface emissions of nitrous oxide in a semiarid environment. Biol. Fertil. Soils 2018, 54, 119–135. [Google Scholar] [CrossRef]
- Kim, Y.; Ueyama, M.; Nakagawa, F.; Tsunogai, U.; Harazono, Y.; Tanaka, N. Assessment of winter fluxes of CO2 and CH4 in boreal forest soils of central Alaska estimated by the profile method and the chamber method: A diagnosis of methane emission and implications for the regional carbon budget. Tellus B 2007, 59, 223–233. [Google Scholar] [CrossRef]
- Yao, P.; Li, X.; Nan, W.; Li, X.; Zhang, H.; Shen, Y.; Li, S.; Yue, S. Carbon dioxide fluxes in soil profiles as affected by maize phenology and nitrogen fertilization in the semiarid Loess Plateau. Agric. Ecosyst. Environ. 2017, 236, 120–133. [Google Scholar] [CrossRef]
- Fierer, N.; Chadwick, O.A.; Trumbore, S.E. Production of CO2 in soil profiles of a California annual grassland. Ecosystems 2005, 8, 412–429. [Google Scholar] [CrossRef]
- Yu, Y.; Zhao, C.; Jia, H.; Niu, B.; Sheng, Y.; Shi, F. Effects of nitrogen fertilizer, soil temperature and moisture on the soil-surface CO2 efflux and production in an oasis cotton field in arid northwestern China. Geoderma 2017, 308, 93–103. [Google Scholar] [CrossRef]
- Button, E.S.; Marshall, M.; Sánchez-Rodríguez, A.R.; Blaud, A.; Abadie, M.; Chadwick, D.R.; Jones, D.L. Greenhouse gas production, diffusion and consumption in a soil profile under maize and wheat production. Geoderma 2023, 430, 116310. [Google Scholar] [CrossRef]
- United States Department of Agriculture (USDA). A Basic System of Soil. Classification for Making and Interpreting Soil Surveys, 2nd ed.; Agriculture Handbook, No. 436, U.S. Gov. Print. Office; USDA NRCS: Washington, DC, USA, 1999. [Google Scholar]
- Yin, M.; Gao, X.; Tenuta, M.; Li, L.; Gui, D.; Li, X.; Zeng, F. Enhancement of N2O emissions by grazing is related to soil physicochemical characteristics rather than nitrifier and denitrifier abundances in alpine grassland. Geoderma 2020, 375, 114511. [Google Scholar] [CrossRef]
- Carter, M.R. Soil sampling and methods of analysis. J. Environ. Qual. 1993, 38, 15–24. [Google Scholar]
- Pedersen, A.R. HMR: Flux Estimation with Static Chamber Data. R Package Version 0.3.1. 2011. Available online: https://cran.r-project.org/web/packages/HMR/index.html (accessed on 10 February 2018).
- Kuang, W.; Gao, X.; Tenuta, M.; Gui, D.; Zeng, F. Relationship between soil profile accumulation and surface emission of N2O: Effects of soil moisture and fertilizer nitrogen. Biol. Fertil. Soils 2019, 55, 97–107. [Google Scholar] [CrossRef]
- Marshall, T. The diffusion of gases through porous media. J. Soil Sci. 1959, 10, 79–82. [Google Scholar] [CrossRef]
- Moldrup, P.; Chamindu Deepagoda, T.; Hamamoto, S.; Komatsu, T.; Kawamoto, K.; Rolston, D.E.; de Jonge, L.W. Structure-dependent water-induced linear reduction model for predicting gas diffusivity and tortuosity in repacked and intact soil. Vadose Zone J. 2013, 12, 0026. [Google Scholar] [CrossRef]
- Fan, J.; Jones, S.B. Soil surface wetting effects on gradient-based estimates of soil carbon dioxide efflux. Vadose Zone J. 2014, 13, 53–63. [Google Scholar] [CrossRef]
- Nan, W.; Yue, S.; Li, S.; Huang, H.; Shen, Y. Characteristics of N2O production and transport within soil profiles subjected to different nitrogen application rates in China. Sci. Total Environ. 2016, 542, 864–875. [Google Scholar] [CrossRef]
- Kuang, W.; Wu, Y.; Gao, X.; Yin, M.; Gui, D.; Zeng, F. Soil profile N2O efflux from a cotton field in arid Northwestern China in response to irrigation and nitrogen management. Front. Environ. Sci. 2023, 11, 1123423. [Google Scholar] [CrossRef]
- Wang, Y.; Hu, C.; Ming, H.; Zhang, Y.; Li, X.; Dong, W.; Oenema, O. Concentration profiles of CH4, CO2 and N2O in soils of a wheat-maize rotation ecosystem in North China Plain, measured weekly over a whole year. Agric. Ecosyst. Environ. 2013, 164, 260–272. [Google Scholar] [CrossRef]
- Flechard, C.; Neftel, A.; Jocher, M.; Ammann, C.; Leifeld, J.; Fuhrer, J. Temporal changes in soil pore space CO2 concentration and storage under permanent grassland. Agric. For. Meteorol. 2007, 142, 66–84. [Google Scholar] [CrossRef]
- Wang, C.; Li, W.; Liu, J.; Kuzyakov, Y.; Fan, M.; Chen, H. Soil profile greenhouse gas concentrations and fluxes from a semiarid grassland and a cropland site in an agro-pastoral ectone of northern China. Soil Tillage Res. 2023, 232, 105747. [Google Scholar] [CrossRef]
- Akinyede, R.; Taubert, M.; Schrumpf, M.; Trumbore, S.; Küsel, K. Rates of dark CO2 fixation are driven by microbial biomass in a temperate forest soil. Soil Biol. Biochem. 2020, 150, 107950. [Google Scholar] [CrossRef]
- Xu, W.; Li, X.; Liu, W.; Li, L.; Hou, L.; Shi, H.; Xia, J.; Liu, D.; Zhang, H.; Chen, Y. Spatial patterns of soil and ecosystem respiration regulated by biological and environmental variables along a precipitation gradient in semi-arid grasslands in China. Ecol. Res. 2016, 31, 505–513. [Google Scholar] [CrossRef]
- Zhao, F.; Ren, C.; Shelton, S.; Wang, Z.; Pang, G.; Chen, J.; Wang, J. Grazing intensity influence soil microbial communities and their implications for soil respiration. Agric. Ecosyst. Environ. 2017, 249, 50–56. [Google Scholar] [CrossRef]
- Luo, C.; Xu, G.; Chao, Z.; Wang, S.; Lin, X.; Hu, Y.; Zhang, Z.; Duan, J.; Chang, X.; Su, A. Effect of warming and grazing on litter mass loss and temperature sensitivity of litter and dung mass loss on the Tibetan plateau. Glob. Chang. Biol. 2010, 16, 1606–1617. [Google Scholar] [CrossRef]
- Melillo, J.M.; Butler, S.; Johnson, J.; Mohan, J.; Steudler, P.; Lux, H.; Burrows, E.; Bowles, F.; Smith, R.; Scott, L. Soil warming, carbon–nitrogen interactions, and forest carbon budgets. Proc. Natl. Acad. Sci. USA 2011, 108, 9508–9512. [Google Scholar] [CrossRef]
- Wanga, H.; Liua, H.; Wanga, Y.; Xua, W.; Liua, A. Warm- and cold- season grazing affect soil respiration differently in alpine grasslands. Agric. Ecosyst. Environ. 2017, 248, 136–143. [Google Scholar] [CrossRef]
- Wang, Y.; Hu, C.; Ming, H.; Oenema, O.; Schaefer, D.A.; Dong, W.; Zhang, Y.; Li, X. Methane, carbon dioxide and nitrous oxide fluxes in soil profile under a winter wheat-summer maize rotation in the North China Plain. PLoS ONE 2014, 9, e98445. [Google Scholar] [CrossRef]
- Nakano, T.; Inoue, G.; Fukuda, M. Methane consumption and soil respiration by a birch forest soil in West Siberia. Tellus B 2004, 56, 223–229. [Google Scholar] [CrossRef]
- Fang, H.; Cheng, S.; Yu, G.; Cooch, J.; Wang, Y.; Xu, M.; Li, L.; Dang, X.; Li, Y. Low-level nitrogen deposition significantly inhibits methane uptake from an alpine meadow soil on the Qinghai–Tibetan Plateau. Geoderma 2014, 213, 444–452. [Google Scholar] [CrossRef]
- Hou, L.Y.; Wang, Z.P.; Wang, J.M.; Wang, B.; Zhou, S.B.; Li, L.H. Growing season in situ uptake of atmospheric methane by desert soils in a semiarid region of northern China. Geoderma 2012, 189, 415–422. [Google Scholar] [CrossRef]
- Nan, W.; Li, S.; Dong, Z.; Yao, P. CH4 fluxes and diffusion within soil profiles subjected to different fertilizer regimes on China’s Loess Plateau. Agric. Ecosyst. Environ. 2020, 287, 106679. [Google Scholar] [CrossRef]
- Le Mer, J.; Roger, P. Production, oxidation, emission and consumption of methane by soils: A review. Eur. J. Soil Biol. 2001, 37, 25–50. [Google Scholar] [CrossRef]
- Shukla, P.N.; Pandey, K.; Mishra, V.K. Environmental determinants of soil methane oxidation and methanotrophs. Crit. Rev. Environ. Sci. Technol. 2013, 43, 1945–2011. [Google Scholar] [CrossRef]
- Nesbit, S.; Breitenbeck, G.A. laboratory study of factors influencing methane uptake by soils. Agric. Ecosyst. Environ. 1992, 41, 39–54. [Google Scholar] [CrossRef]
- Zhou, Z.; Xu, X.; Bi, Z.; Li, L.; Li, B.; Xiong, Z. Soil concentration profiles and diffusion and emission of nitrous oxide influenced by the application of biochar in a rice-wheat annual rotation system. Environ. Sci. Pollut. Res. 2016, 23, 7949–7961. [Google Scholar] [CrossRef]
- Lin, W.; Li, Y.; Yang, Z.; Giardina, C.P.; Xie, J.; Chen, S.; Lin, C.; Kuzyakov, Y.; Yang, Y. Warming exerts greater impacts on subsoil than topsoil CO2 efflux in a subtropical forest. Agric. For. Meteorol. 2018, 263, 137–146. [Google Scholar] [CrossRef]








| Depth (cm) | Grazing Intensity | Bulk Density (mg m−3) | pH | NH4+-N (mg kg−1) | NO3−-N (mg kg−1) | DOC (mg g−1) | Total C (g kg−1) | Total N (g kg−1) | Olsen P (g kg−1) | Total P (g kg−1) | EC (ms cm−1) |
|---|---|---|---|---|---|---|---|---|---|---|---|
| 0–10 | None | 1.24 ± 0.03 a | 7.8 ± 0.2 a | 12.5 ± 0.5 a | 3.2 ± 0.2 b | 0.62 ± 0.03 a | 17.6 ± 1.3 a | 1.0 ± 0.1 a | 1.8 ± 0.1 a | 0.69 ± 0.01 a | 118.7 ± 4.1 b |
| Light | 1.24 ± 0.01 a | 8.0 ± 0.1 a | 6.5 ± 1.9 b | 5.5 ± 1.6 a | 0.38 ± 0.02 a | 14.5 ± 0.7 b | 0.7 ± 0.0 a | 3.4 ± 0.6 a | 0.60 ± 0.05 a | 119.8 ± 5.9 b | |
| Heavy | 1.26 ± 0.02 a | 8.0 ± 0.0 a | 11.3 ± 0.4 a | 3.0 ± 0.1 b | 0.67 ± 0.09 a | 15.1 ± 1.5 ab | 1.0 ± 0.1 a | 1.3 ± 0.1 a | 0.70 ± 0.02 a | 139.0 ± 2.3 a | |
| 10–20 | None | 1.23 ± 0.03 a | 8.1 ± 0.0 a | 12.8 ± 0.5 a | 2.5 ± 0.2 b | 0.57 ± 0.07 a | 14.7 ± 1.0 b | 0.8 ± 0.0 a | 1.3 ± 0.1 a | 0.61 ± 0.11 a | 126.3 ± 6.1 a |
| Light | 1.23 ± 0.03 a | 7.9 ± 0.0 a | 9.0 ± 2.1 b | 4.7 ± 0.2 a | 0.63 ± 0.07 a | 22.1 ± 1.3 a | 0.7 ± 0.1 a | 0.6 ± 0.0 a | 0.62 ± 0.01 a | 126.2 ± 5.2 a | |
| Heavy | 1.23 ± 0.03 a | 8.1 ± 0.1 a | 11.9 ± 0.1 ab | 2.3 ± 0.0 b | 0.61 ± 0.10 a | 10.9 ± 0.7 c | 0.7 ± 0.1 a | 1.0 ± 0.0 a | 0.64 ± 0.01 a | 127.7 ± 7.7 a | |
| 20–40 | None | 1.24 ± 0.02 a | 8.3 ± 0.1 a | 12.4 ± 1.0 a | 2.3 ± 0.1 b | 0.72 ± 0.03 a | 11.0 ± 1.3 ab | 0.9 ± 0.1 a | 1.2 ± 0.2 a | 0.63 ± 0.01 a | 129.3 ± 2.9 a |
| Light | 1.24 ± 0.02 a | 8.1 ± 0.0 a | 7.5 ± 1.1 b | 5.0 ± 0.6 a | 0.76 ± 0.08 a | 14.0 ± 0.6 a | 0.5 ± 0.0 b | 0.3 ± 0.1 a | 0.64 ± 0.01 a | 101.5 ± 3.8 b | |
| Heavy | 1.24 ± 0.02 a | 8.3 ± 0.2 a | 11.7 ± 0.6 a | 2.7 ± 0.1 b | 0.69 ± 0.09 a | 10.4 ± 1.5 b | 0.7 ± 0.0 ab | 1.0 ± 0.1 a | 0.53 ± 0.06 a | 126.7 ± 0.9 a | |
| 40–60 | None | 1.29 ± 0.02 a | 8.3 ± 0.0 a | 11.2 ± 0.5 a | 2.0 ± 0.2 b | 0.72 ± 0.09 a | 9.2 ± 0.2 a | 0.9 ± 0.3 a | 1.1 ± 0.2 a | 0.49 ± 0.04 a | 141.7 ± 3.0 a |
| Light | 1.24 ± 0.03 a | 8.2 ± 0.0 a | 6.2 ± 0.8 b | 4.5 ± 0.2 a | 0.65 ± 0.10 a | 11.4 ± 1.0 a | 0.5 ± 0.0 b | 1.3 ± 0.5 a | 0.62 ± 0.02 a | 127.7 ± 10.4 a | |
| Heavy | 1.24 ± 0.02 a | 8.4 ± 0.2 a | 11.7 ± 0.6 a | 2.3 ± 0.2 b | 0.76 ± 0.02 a | 8.7 ± 1.1 a | 0.8 ± 0.1 a | 0.9 ± 0.2 a | 0.50 ± 0.07 a | 136.3 ± 6.0 a | |
| ANOVA p value | |||||||||||
| Grazing Intensity (G) | 0.970 | 0.122 | <0.0001 | <0.0001 | 0.316 | <0.0001 | 0.002 | 0.118 | 0.701 | 0.005 | |
| Soil Depth (D) | 0.900 | <0.0001 | 0.312 | 0.174 | 0.027 | <0.0001 | 0.258 | <0.0001 | 0.026 | 0.013 | |
| G × D | 0.253 | 0.415 | 0.864 | 0.996 | 0.231 | 0.0003 | 0.668 | 0.0002 | 0.120 | 0.056 | |
| N2O Concentration (μL L−1) | CO2 Concentration (mL L−1) | CH4 Concentration (μL L−1) | ||||||||||
|---|---|---|---|---|---|---|---|---|---|---|---|---|
| Soil Depth | 5 cm | 15 cm | 30 cm | 60 cm | 5 cm | 15 cm | 30 cm | 60 cm | 5 cm | 15 cm | 30 cm | 60 cm |
| Grazing Intensity | ||||||||||||
| None | 0.52 ± 0.01 a | 0.50 ± 0.01 a | 0.51 ± 0.01 b | 0.52 ± 0.01 a | 798 ± 10 a | 1065 ± 75 b | 1200 ± 38 b | 1559 ± 57 a | 0.08 ± 0.02 a | −0.58 ± 0.16 a | −0.35 ± 0.15 a | −0.27 ± 0.08 a |
| Light | 0.51 ± 0.02 a | 0.48 ± 0.01 a | 0.50 ± 0.01 b | 0.47 ± 0.02 b | 870 ± 63 a | 1476 ± 55 a | 1732 ± 70 a | 1660 ± 28 a | −0.19 ± 0.10 a | −0.92 ± 0.42 a | −0.36 ± 0.23 a | −0.19 ± 0.10 a |
| Heavy | 0.51 ± 0.01 a | 0.52 ± 0.02 a | 0.55 ± 0.01 a | 0.51 ± 0.02 a | 935 ± 91 a | 1214 ± 18 b | 1342 ± 198 b | 1596 ± 68 a | −1.26 ± 0.31 a | −0.17 ± 0.19 a | −0.61 ± 0.20 a | −0.21 ± 0.09 a |
| ANOVA p value | ||||||||||||
| Grazing Intensity (G) | 0.004 | <0.0001 | 0.700 | |||||||||
| Soil Depth (D) | 0.254 | <0.0001 | <0.0001 | |||||||||
| G × D | 0.202 | 0.002 | 0.154 | |||||||||
| Temperature | WFPS | NO3− | NH4+ | DOC | |||||||||||||||||||||
|---|---|---|---|---|---|---|---|---|---|---|---|---|---|---|---|---|---|---|---|---|---|---|---|---|---|
| Surface Flux | 5 cm | 15 cm | 30 cm | 60 cm | Surface Flux | 5 cm | 15 cm | 30 cm | 60 cm | Surface Flux | 5 cm | 15 cm | 30 cm | 60 cm | Surface Flux | 5 cm | 15 cm | 30 cm | 60 cm | Surface Flux | 5 cm | 15 cm | 30 cm | 60 cm | |
| N2O | |||||||||||||||||||||||||
| None | 0.33 | −0.07 | −0.12 | −0.07 | −0.05 | 0.58 *** | 0.04 | 0.25 * | 0.16 | 0.22 * | 0.09 | 0.10 | 0.21 | 0.15 | 0.14 | −0.05 | 0.24 * | 0.39 *** | 0.29 * | 0.28 * | 0.44 *** | −0.35 | −0.06 | −0.07 | 0.05 |
| Light | 0.20 | −0.10 | −0.08 | −0.12 | −0.15 | 0.47 * | 0.28 * | −0.13 | 0.12 | 0.08 | 0.16 | 0.06 | 0.14 | 0.06 | 0.01 | −0.08 | 0.16 | 0.20 | 0.10 | 0.06 | 0.07 | −0.07 | −0.13 | −0.07 | −0.12 |
| Heavy | 0.34 | −0.13 | −0.16 | −0.18 | −0.2 | 0.33 * | 0.04 | −0.24 * | 0.01 | 0.02 | −0.14 | 0.16 | 0.06 | 0.01 | −0.02 | −0.20 | 0.20 | 0.15 | 0.19 | 0.09 | 0.34 ** | −0.11 | −0.05 | −0.16 | −0.08 |
| CO2 | |||||||||||||||||||||||||
| None | 0.54 *** | 0.21 | 0.18 | 0.11 | 0.16 | 0.28 * | 0.43 *** | 0.31 ** | 0.25 * | 0.20 | 0.03 | −0.11 | −0.17 | −0.17 | −0.22 | −0.05 | −0.18 | −0.26 * | −0.27 * | 0.32 ** | 0.34 ** | 0.62 *** | 0.61 *** | 0.65 *** | 0.61 *** |
| Light | 0.44 *** | 0.20 | 0.26 * | 0.20 | 0.16 | 0.55 *** | 0.45 *** | 0.35 *** | 0.27 * | 0.28 * | 0.13 | −0.06 | −0.12 | −0.13 | −0.15 | 0.02 | −0.14 | −0.29 * | −0.33 ** | −0.34 ** | 0.47 *** | 0.46 *** | 0.42 *** | 0.45 *** | 0.47 *** |
| Heavy | 0.51 *** | 0.28 * | 0.25 * | 0.25 * | 0.21 | 0.45 *** | 0.22 * | 0.31 ** | 0.26 * | 0.20 | −0.08 | −0.16 | −0.20 | −0.25 * | −0.26 * | −0.10 | −0.26 * | −0.33 ** | −0.39 *** | −0.42 *** | 0.62 *** | 0.49 *** | 0.61 *** | 0.56 *** | 0.54 *** |
| CH4 | |||||||||||||||||||||||||
| None | −0.29 * | −0.05 | −0.24 | −0.07 | −0.17 | −0.22 | −0.21 | −0.42 *** | −0.27 * | −0.40 *** | −0.01 | −0.06 | 0.12 | 0.21 | 0.25 * | 0.13 | −0.04 | 0.26 * | 0.28 * | 0.37 ** | −0.10 | −0.34 ** | −0.59 *** | −0.60 *** | −0.64 *** |
| Light | −0.36 *** | −0.18 | −0.13 | −0.19 | −0.15 | −0.14 | −0.35 ** | −0.26 * | −0.42 *** | −0.37 *** | 0.04 | 0.12 | 0.09 | 0.22 | 0.18 | 0.04 | 0.30 ** | 0.29 * | 0.42 *** | 0.36 ** | −0.30 ** | −0.30 ** | −0.47 *** | 0.63 *** | −0.60 *** |
| Heavy | −0.33 ** | −0.16 | −0.13 | −0.14 | −0.14 | −0.09 | −0.15 | −0.22 | −0.35 ** | −0.30 ** | 0.17 | 0.22 | 0.19 | 0.24 * | 0.25 * | 0.23 | 0.22 | 0.29 * | 0.33 ** | 0.43 *** | −0.39 *** | −0.39 *** | −0.60 *** | −0.49 *** | −0.60 *** |
| N2O Flux (g N2O-N ha−1 d−1) | CO2 Flux (kg CO2-C ha−1 d−1) | CH4 Flux (g CH4-C ha−1) | |||||||||||||
|---|---|---|---|---|---|---|---|---|---|---|---|---|---|---|---|
| Soil Depth | Surface | 5 cm | 15 cm | 30 cm | 60 cm | Surface | 5 cm | 15 cm | 30 cm | 60 cm | Surface | 5 cm | 15 cm | 30 cm | 60 cm |
| Grazing Intensity | |||||||||||||||
| None | 1.79 ± 0.07 a | 3.78 ± 0.14 a | −0.41 ± 0.10 a | 0.09 ± 0.03 a | 0.10 ± 0.04 a | 26.57 ± 0.37 c | 5.07 ± 0.22 a | 2.45 ± 0.25 b | 0.75 ± 0.48 a | 0.73 ± 0.20 a | −4.04 ± 0.36 a | 0.08 ± 0.02 a | −0.58 ± 0.16 a | −0.35 ± 0.15 a | −0.27 ± 0.08 a |
| Light | 1.93 ± 0.15 a | 2.99 ± 0.43 a | −0.09 ± 0.14 a | 0.27 ± 0.18 a | −0.05 ± 0.04 a | 40.53 ± 0.41 a | 6.11 ± 0.89 a | 5.32 ± 1.06 a | 1.37 ± 0.38 a | 0.22 ± 0.16 a | −4.22 ± 0.13 a | −0.19 ± 0.10 a | −0.92 ± 0.42 a | −0.36 ± 0.23 a | −0.19 ± 0.10 a |
| Heavy | 2.50 ± 0.30 a | 3.49 ± 0.38 a | 0.09 ± 0.04 a | 0.11 ± 0.15 a | −0.03 ± 0.02 a | 33.80 ± 0.60 b | 6.26 ± 0.44 a | 2.48 ± 0.13 b | 0.75 ± 0.07 a | 0.53 ± 0.11 a | −4.27 ± 0.18 a | −1.26 ± 0.31 b | −0.17 ± 0.19 a | −0.61 ± 0.20 a | −0.21 ± 0.09 a |
| ANOVA p value | |||||||||||||||
| Grazing Intensity (G) | 0.296 | <0.0001 | 0.137 | ||||||||||||
| Soil Depth (D) | <0.0001 | <0.0001 | <0.0001 | ||||||||||||
| G × D | 0.079 | <0.0001 | 0.009 | ||||||||||||
Disclaimer/Publisher’s Note: The statements, opinions and data contained in all publications are solely those of the individual author(s) and contributor(s) and not of MDPI and/or the editor(s). MDPI and/or the editor(s) disclaim responsibility for any injury to people or property resulting from any ideas, methods, instructions or products referred to in the content. |
© 2025 by the authors. Licensee MDPI, Basel, Switzerland. This article is an open access article distributed under the terms and conditions of the Creative Commons Attribution (CC BY) license (https://creativecommons.org/licenses/by/4.0/).
Share and Cite
Yin, M.; Gao, X.; Li, Y.; Wu, Y.; Kuang, W.; Zeng, F. Characteristics of Soil Profile Greenhouse Gas Concentrations and Fluxes of Alpine Grassland as Affected by Livestock Grazing. Agronomy 2025, 15, 243. https://doi.org/10.3390/agronomy15010243
Yin M, Gao X, Li Y, Wu Y, Kuang W, Zeng F. Characteristics of Soil Profile Greenhouse Gas Concentrations and Fluxes of Alpine Grassland as Affected by Livestock Grazing. Agronomy. 2025; 15(1):243. https://doi.org/10.3390/agronomy15010243
Chicago/Turabian StyleYin, Mingyuan, Xiaopeng Gao, Yanyan Li, Yufeng Wu, Wennong Kuang, and Fanjiang Zeng. 2025. "Characteristics of Soil Profile Greenhouse Gas Concentrations and Fluxes of Alpine Grassland as Affected by Livestock Grazing" Agronomy 15, no. 1: 243. https://doi.org/10.3390/agronomy15010243
APA StyleYin, M., Gao, X., Li, Y., Wu, Y., Kuang, W., & Zeng, F. (2025). Characteristics of Soil Profile Greenhouse Gas Concentrations and Fluxes of Alpine Grassland as Affected by Livestock Grazing. Agronomy, 15(1), 243. https://doi.org/10.3390/agronomy15010243

