Next Article in Journal
Strategic Selenium Application Methods and Timing Enhance Grain Yield, Minimize Cadmium Bioaccumulation, and Optimize Selenium Fortification in Triticum aestivum L.
Previous Article in Journal
Identification of Co-Expression Modules of Cotton Plant Height-Related Genes Based on Weighted Gene Co-Expression Network Analysis
 
 
Font Type:
Arial Georgia Verdana
Font Size:
Aa Aa Aa
Line Spacing:
Column Width:
Background:
Article

Rapid Identification of Saline–Alkali Stress-Tolerant Peanut Varieties Based on Multimodal Data

1
College of Mechanical and Electrical Engineering, Qingdao Agricultural University, Qingdao 266109, China
2
College of Grassland Science, Qingdao Agricultural University, Qingdao 266109, China
3
High-Efficiency Agricultural Technology Industry Research Institute of Saline and Alkaline Land, Qingdao Agricultural University, Dongying 257000, China
4
School of Electromechanical and Automative Engineering, Yantai University, Yantai 264005, China
*
Author to whom correspondence should be addressed.
Agronomy 2025, 15(1), 197; https://doi.org/10.3390/agronomy15010197
Submission received: 1 December 2024 / Revised: 7 January 2025 / Accepted: 14 January 2025 / Published: 15 January 2025
(This article belongs to the Section Precision and Digital Agriculture)

Abstract

The cultivation of saline–alkali-tolerant peanut (Arachis hypogaea L.) varieties can effectively increase grain yield in saline–alkali land. However, traditional assessment methods are often cumbersome and time consuming. To rapidly identify saline–alkali stress-tolerant peanut varieties, this research proposed a saline–alkali stress tolerance evaluation method based on deep learning and multimodal data. Specifically, the research first established multimodal datasets for peanuts at different growth stages and constructed a saline–alkali stress score standard based on unsupervised learning. Subsequently, a deep learning network called BO-MFFNet was built and its structure and hyperparameters were optimized by the Bayes optimization (BO) algorithm. Finally, the point prediction of the saline–alkali stress score were carried out by using the Gaussian process regression model. The experimental results show that the multimodal method is superior to the single-modal data and the BO algorithm significantly improves the performance of the model. The root mean squared error and relative percentage deviation of the BO-MFFNet model are 0.089 and 3.669, respectively. The model effectively predicted the salt–alkali stress tolerance of five varieties, and the predicted results were Huayu25, Yuhua31, Yuhua33, Yuhua32, and Yuhua164 from high to low. This research provides a new method for assessing crop tolerance under extreme environmental stress.

1. Introduction

Soil salinization has become a significant environmental problem facing the world today [1], as salinization stress is one of the main bottlenecks in reducing crop yield and quality, as well as restricting sustainable agricultural development. Arachis hypogaea L., commonly referred to as peanut or groundnut, is an herbaceous plant that belongs to the Fabaceae family. As an important crop type, peanuts are playing a more and more important role in people’s diets because their seeds are rich in dietary fiber, protein, vitamins, and bioactive compounds [2], and they have been widely cultivated and consumed worldwide [3]. In addition, peanut also has a certain salt tolerance [4]. Therefore, the large-scale reclamation and effective utilization of saline land for peanut cultivation and the screening of saline-tolerant and high-quality peanut varieties to improve yield through research have great significance for promoting the agricultural development of saline areas, increasing farmers’ income as well as ensuring food security.
However, relatively few studies have been reported on the identification screening and evaluation of peanut varieties tolerant to salinity stress. Traditional methods for salinity stress tolerance assessment mainly rely on surveys, experiments, and statistical analyses by scientific and technical personnel. For example, Singh et al. [5] conducted a field screening of 210 high-yielding peanut germplasm, which are identified based on plant mortality, seed yield, and nutrient uptake. Li et al. [6] used 17 peanut varieties (lines) as materials and utilized hydroponics to determine the germination rate during the emergence period under different salt concentrations. Huang et al. [7] cloned the AhACO gene and functionally found that AhACO1 and AhACO2 significantly improved salt tolerance in transgenic peanuts. Zhao et al. [8] found that the overexpression of AhbHLH121 improved salt resistance, whereas silencing AhbHLH121 resulted in the inverse correlation. The above methods involve observations and studies of the physiology, morphology [9], and genetics of the plants [10]. However, although the traditional method can screen out high-quality varieties to a certain extent, it is limited by time, energy, and cost.
In response to the limitations mentioned above, researchers have begun to explore an efficient and inexpensive way. With the rapid development of artificial intelligence, the utilization of deep learning combined with RGB images for plant stress identification has become a popular research direction nowadays. Esgario et al. [11] used deep learning combined with images to estimate the severity of coffee biological stress. Chandel et al. [12] used a deep learning model for the water stress identification of corn, okra, and soybean crops. Goyal et al. [13] used five convolutional neural network (CNN) architectures for drought stress identification in maize images. The above studies have achieved some results in crop stress recognition by using convolutional neural networks to extract features such as color and texture in images. However, since RGB images can only provide limited visual information, they have limitations in characterizing plant responses to stress. Therefore, there exists an urgent need to find a more accurate method.
Hyperspectral (HS) imaging is an effective method for responding to information on phytochromes [14,15], cellular structure [16,17], and tissue composition [18,19,20]. However, it is difficult to accurately reflect the crop growth status in real time with only one kind of data. Research has shown that the combination of canopy spectrum, structure, and temperature information in different sensor systems is conducive to improving the inversion accuracy of crop parameters. Wang et al. [21] used data collected by HS and LIDAR to estimate the above-ground biomass of maize. Maimaitijiang et al. [22] combined canopy spectrum information with a crop volume model. The accuracy of soybean biomass estimation was significantly improved. Zhang et al. [23] used multi-spectral cameras, infrared cameras, and RGB cameras to analyze wheat above-ground biomass and related parameters, effectively improving the accuracy and stability of the above-ground biomass estimation model. Multimodal learning has significant advantages over single-modal learning in that it can integrate information from different data sources to provide richer features. This diversity of information enhances the robustness of the model, allowing it to maintain good performance even when a mode is missing or affected by noise. By fusing features from different modes, the model can learn more complex representations, further improving task performance.
Multimodal data have rich information content, which can be combined with deep learning techniques to better extract features. Currently, some scholars have also carried out related research; for example, Mao et al. [24] used an unmanned aerial vehicle carrying multispectral and thermal infrared sensors to acquire multimodal data and constructed a deep learning model to assess frostbite stress in tea trees. Quan et al. [25] constructed a deep learning model for multimodal data to predict a comprehensive competition index based on maize phenotypes. Therefore, the utilization of multimodal information for plant stress assessment is gradually becoming a new research direction.
However, this research has the following disadvantages: (1) it requires complex preprocessing using specialized software when using multimodal information; (2) the model uses the default network structure or hyperparameters, which leads to a low interpretability of the model; (3) plant-scale spectral information collected outdoors is easily affected by light, and if only point predictions are used, the prediction uncertainty may be large, which can lead to misjudgments during assessment. Therefore, it is urgent that we find an excellent method suitable for use in the assessment of peanut varieties tolerant to saline–alkali stress.
To the best of our knowledge, there has been no published research on the evaluation method of peanut saline–alkali stress tolerance based on deep learning combined with multimodal information. To rapidly identify peanut varieties that are tolerant to saline–alkali stress, this study collected the spectral information of peanut plants following normal field management, combined with deep learning and plant biological indicators. The Bayesian Optimization–Multimodal Feature Fusion Network (BO-MFFNet), which is based on Bayesian optimization and multi-modal information, was constructed to predict peanut varieties tolerant to salt and alkali stress. This model provides a method with low cost, high efficiency, high accuracy, and good stability for peanut breeding researchers to identify peanut varieties that are resistant to salt and alkali stress. The main contributions of this research are summarized as follows:
(1)
A deep learning predictive network named Bayesian Optimization–Multimodal Feature Fusion Network (BO-MFFNet) is constructed to extract and fuse multimodal features, and its network structure and hyperparameters are optimized by the Bayesian optimization (BO) algorithm.
(2)
An optimized Gaussian process regression (GPR) algorithm is introduced for uncertainty estimation to reduce the influence of frequent changes in outdoor light on point prediction.
(3)
A comprehensive evaluation index is constructed for evaluating the degree of saline–alkali stress of peanut plants based on unsupervised learning.
(4)
A non-destructive prediction method based on multimodal information fusion is proposed to judge the saline–alkali stress tolerance ability of peanut plants.

2. Materials and Methods

2.1. Dataset Acquisition

Five varieties of peanuts (Qingdao Agricultural University, Qingdao, China) are used in this research, namely Huayu25 (HY25), Yuhua31 (YH31), Yuhua32 (YH32), Yuhua33 (YH33), and Yuhua164 (YH164). The peanuts are planted in the saline and alkaline experimental fields of Qingdao Agricultural University, one located in Maotuo Village, Lijin County, Dongying City, Shandong Province, China (37°83′ N, 118°49′ E), with an average annual temperature of 12.8 °C, a frost-free period of 206 d, average annual precipitation of 556 mm, average annual evaporation of 1755 mm, soil with a pH of 8.8, a soil salinity of 0.864% [26], and an electrical conductivity of approximately 7.86 dS/m; the other one is located in the Yellow River Delta Agricultural High-tech Industrial Demonstration Zone (37°19′ N, 118°39′ E), with an average annual temperature of 13.3 °C, a frost-free period of 206 d, average annual precipitation of 537 mm, average annual evapotranspiration of 1885 mm, soil with a pH of 7.45, a soil salinity of 0.551%, and an electrical conductivity of approximately 4.92 dS/m. An image of the site is shown in Figure 1. Peanut planting and management are as follows: row height 10 cm, row width 112 cm, one-row double sowing, single-seed sowing. A drip irrigation technique was used to water peanuts for a period of 4 days.
To more comprehensively explore the changes in peanuts under saline–alkali stress in the field, we collected the spectral reflectance, RGB image, and photosynthetic index of peanut plants at three growth stages [27] of full pod (R4), beginning seed (R5) and full seed (R6) in Maotuo village (MT) and Nonggao area (NG).
The spectral acquisition equipment is an Optosky ATP9100 (Optosk Technology Co., LTD., Xiamen, China) portable ground spectrometer, which has a spectral acquisition range of 300–1100 nm. The data collected are automatically interpolated on the device at 3 nm intervals of 1 nm. Measurements are taken from 10:00 to 14:00 on sunny days. To reduce the impact on soil, the spectrometer probe is 0.5 m away from the plant canopy, and the regions of interest collected are about 0.18 m2. RGB image pixels are 480 × 640. Before each measurement, calibrate using a whiteboard. The original spectral curve of random samples in the R5 period is shown in Figure 2. As can be seen from Figure 2b, when peanuts are subjected to saline–alkali stress, the spectral reflectance of the peanut canopy changed significantly in the range of 520–700 nm and 930–970 nm. It has been shown that random noise in HS data can be reduced by spectral preprocessing [28]. In this research, Savitzky–Golay (SG) smoothing is applied to raw spectral reflectance data to further reduce the effects of noise.
Measurements of photosynthetic parameters included chlorophyll (SPAD), leaf photosynthetic rate (Pn), stomatal conductance (Gs), intercellular CO2 concentration (Ci), transpiration rate (E), and leaf nitrogen content (N). The SPAD and N values are measured by using a portable plant nutrient meter (Zhejiang Top Cloud-Agri Technology Co., Ltd., Zhejiang, China). Other parameters are measured by using the LI-6800 Portable Photosynthesis Measurement System (Beijing LI-COR Co., Ltd., Beijing, China). The measurement times are from 10:00 to 12:00 and 14:00 to 16:00 on sunny days, and the sunny leaves in the spectral region of interest are selected for measurement under natural light source conditions. A total of 1000 peanut plant samples are collected in this research, and 30 samples are collected from each site at each growth stage. Each sample includes one HS data point, one image data point, and six photosynthetic data points.

2.2. Construction of Comprehensive Index of Saline–Alkali Stress

The principal component analysis (PCA) has significant advantages in analyzing complex datasets where labeled results cannot be obtained. PCA excels at reducing the dimensionality of the data while preserving the underlying variance, enabling the identification of underlying patterns that may not be immediately apparent. In this research, to comprehensively evaluate the saline–alkali stress of peanut plants, a saline–alkali stress score (SASS) is constructed based on the potential relationship between the variables obtained by PCA.
Specifically, first, six photosynthetic indexes were selected to reflect plant response to saline–alkali stress. To ensure comparability among different indicators, Z-Score standardization is performed. Then, dimensionality reduction is performed using principal component analysis to transform the original indicators into fewer dimensions while retaining most of the variability of the data. The principal component loading matrix is calculated, as shown in Table 1.
It can be observed from Table 1 that the principal components Comp1 and Comp3 have large load values on Pn, which can be regarded as the principal components reflecting the comprehensive level of saline–alkali stress in peanut plants. The principal component Comp2 has a large load value on E, which can be regarded as the principal component reflecting the comprehensive level of salt and alkali stress in peanut plants.
Finally, according to the proportion of the variance contribution rate of each principal component and the cumulative variance contribution rate of the extracted principal component, the principal component score is weighted and summed to obtain SASS. The formula for calculating the SASS value is:
S A S S = 0.234 X 1 + 0.097 X 2 + 0.416 X 3 0.103 X 4 + 0.384 X 5 + 0.044 X 6
where X1 stands for SPAD, X2 stands for E, X3 stands for Pn, X4 stands for Ci, X5 stands for Gs, and X6 stands for N.
The formula for the SASS value is obtained through the selection of photosynthetic metrics, PCA, and calculation of the composite score coefficients, which are used for the comprehensive assessment of peanut plants under saline–alkali stress. The formula obtained the contribution degree of each index through principal component analysis, and the contribution degree is used as the coefficient to evaluate the stress degree of plants more comprehensively.

2.3. Proposed BO-MFFNet Model

This research proposes BO-MFFNet, which is a fusion of CNN and recurrent neural network (RNN) for processing multimodal data. First, a feature extraction network is constructed to extract the features of RGB data. Then, the Bidirectional Gated Recurrent Unit (BiGRU) network is selected to extract the features of HS data. Finally, the two features are fused and the improved GPR algorithm is used for the prediction of SASS. In addition, to enhance the interpretability of the neural network and to obtain the optimal model as well as to minimize the consumption of computational resources, the network structure and hyperparameters are designed in this research based on the Bayesian optimization algorithm.
The model gives full take the advantages of CNN in spatial feature extraction, RNN in sequential data mining, and GPR which can provide an estimate of the uncertainty of the prediction. The overall schematic of the model is shown in Figure 3.
As shown in Figure 3, HS data features are extracted by the Bidirectional Gate Recurrent Unit (BiGRU), and RGB data features are extracted by the Residual Building Unit (RBU). The set structure of the network and the hyperparameters of the training are designed by the BO algorithm. Finally, the features are input to GPR for the point prediction and interval prediction of SASS, where the BO algorithm searches for the following hyperparameters: the number of GRU modules, the number of RBU modules, the size of the convolution kernel, the number of channels of the convolution kernel, the loss function, the learning rate, and the optimizer.

2.3.1. Feature Fusion Network Based on Multimodal Information

To fully explore the features between different modalities and effectively fuse these features, a multimodal information feature extraction network is constructed in this research. First, this paper uses CNN to build an image feature extraction network. Among them, the structure of a single feature extraction module is shown as the RBU module in Figure 3. The main branch increases the number of feature channels through a 1 × 1 convolutional layer, then uses depth-separable convolution for feature extraction, and finally reduces the number of channels through 1 × 1 convolutional layer to improve the performance and efficiency of the lightweight convolutional neural network. The branch paths are directly connected to the output of the main branch through jump connections. This design significantly reduces the amount of computation and model size while maintaining accuracy, which is ideal for real-time image processing tasks on mobile devices with limited computational resources.
Then, this paper uses the BiGRU model as a sequence data feature extraction network. Gated Recurrent Unit (GRU) is a gated recurrent neural network unit whose structure includes an update gate, reset gate, and new candidate states. The GRU model can grasp the important features of the HS data through the reset gate and the update gate. The following is the computational procedure of the GRU:
z t = σ W Z · h t 1 , x t r t = σ W r · h t 1 , x t h ~ t = tanh W · r t h t 1 , x t h t = 1 z t h t 1 + z t h ~ t
where x t is the current moment input information, and h t 1 is the hidden state of the previous moment, which contains the data information of the previous node. h t   is the hidden state passed to the next time. h ~ t is the candidate’s hidden state. r t is the reset gate, z t is the update gate, and σ is a sigmoid function. The tanh function can change the data into values in the range of [−1, 1]. W Z , W r , and W are the weight of the GRU.
The BiGRU model is a recurrent neural network consisting of several independent GRUs. One group of GRUs process data in the forward direction according to the time series, and another group of GRUs process data in the reverse direction according to the time series. The capture of bidirectional dependencies improves the model’s ability to understand sequence data, while the complex model structure allows it to adapt to more complex sequence patterns.
Finally, the features extracted by the two neural networks are fused and spliced into a one-dimensional sequence containing both image features and spectral features, and this sequence of features is input to the GPR model for prediction.

2.3.2. Interval Prediction and Uncertainty Estimation Based on Improved GPR

To evaluate the reliability of the prediction results, GPR is selected and used as the prediction layer in this research. The GPR has three main steps. First, select the appropriate kernel function and define the initial hyperparameters based on the subjective prior knowledge; then, use the probability distribution to generate the prior model and train it, find the optimal hyperparameters through the training samples; and finally, predict the test samples and give the mean and variance of the estimation results.
The Gaussian process is defined as a collection of random variables f x , where any point obeys a joint Gaussian distribution. These variables are determined by the mean μ x and kernel functions k x , x , as shown in Equation (3).
μ x = E f x k x , x = c o v [ f x , f x ]
where x is the input vector, x is the center of the kernel function.
The kernel function is expressed as the central moments of the random output variables corresponding to any two random input variables in the space and can be used to measure the degree to which the training set is similar or related to the test set.
The Gaussian process (GP) can be expressed as follows:
f ( x ) ~ G P [ M x , k x , x ]
The actual data usually contains some noise, so for the regression model, the GPR model can be obtained by adding the noise ε to the observed target data y:
y = f x + ε ε ~ N ( 0 , σ n 2 )
where x is the input vector, f is the function value, and y is the noise-contaminated observation.
The prior distribution of the observation y can be obtained as:
y ~ N ( 0 , K ( X , X ) + σ n 2 I n )
and the joint prior distribution of observations y and predicted values is:
y f ~ N 0 , K ( X , X ) + σ n 2 I n K ( X , x ) K ( x , X ) k ( x , x )
where K ( X , X ) is the nth-order symmetric positive definite covariance matrix and K X , x = K ( x , X ) T is the covariance matrix between the test points x and the input X of the training set.
From this, the posterior distribution of the predicted values can be calculated as:
f X , y , x ~ N f ¯ , c o v f f ¯ = K x , X [ K ( X , X ) + σ n 2 I n ] 1 y c o v f = k x , x K ( x , X ) [ K ( X , X ) + σ n 2 I n ] 1 K ( X , x )
where f ¯ is the estimate of f , and c o v f is the covariance matrix of the test sample.

2.3.3. Hyperparameter Optimization

To design a cost-effective network structure, improve the interpretability of the model, and select the optimal hyperparameters, the BO algorithm is selected to optimize the model. BO algorithm is an efficient, robust, interpretable, and adaptive optimization algorithm, which is suitable for expensive, noisy, or uncertain problems, and provides interpretability and flexibility for the optimization process. By establishing the probabilistic model of the objective function and Bayesian inference, the BO algorithm can intelligently select parameter configuration and find a better solution in relatively few iterations. The process of Bayesian optimization used in this research is as follows: Firstly, the dataset D is initialized and the algorithm is performed 100 times; each time, the function representation of the concrete model is calculated. Then, the collection function is used to select a set of hyperparameters, which are substituted into the network for training, and the corresponding results of the set of hyperparameters are obtained. Finally, the dataset D is updated. After 100 cycles, the optimal hyperparameter with minimum loss is obtained, and the optimal model is used for training.
By the BO algorithm, the number of GRU is 64, the number of GRU layers is 2, the optimizer is adam, and the loss function is mean_squared_error. In addition, the image feature extraction model is shown in Table 2.

2.4. Experimental Environment and Evaluation Index

In this research, the model is trained on a Windows 10 64-bit host, and all models are based on Python language. The deep learning model is built using the TensorFlow2.10 framework. The processor is an Intel Xeon Silver 4316. The graphics card is NVIDIA A40. According to the 8:1:1 rule, the total sample is divided into datasets, and the model is trained 1000 times.
Four assessment metrics, root mean squared error (RMSE), Mean Absolute Percentage Error (MAPE), Coefficient of Determination R2, and relative percentage deviation (RPD), are selected to evaluate the performance and accuracy of the model’s model point prediction. The specific calculation is given by the following formula:
R M S E = 1 m i = 1 m ( f i y i ) 2
M A P E = 1 n i = 1 n f i y i
R 2 = 1 i = 1 m ( f i y i ) 2 i = 1 m ( y i ¯ y i ) 2
R P D = S D V R M S E
where f i is the predicted value of the ith sample, y i is the true value of the ith sample, n is the number of samples, and S D V represents the standard deviation of all samples in the validation set for a particular indicator to be measured. Usually, the better the model, the larger the R2 and RPD, and the lower the RMSE and MAE.
Three interval prediction evaluation indexes, namely, Probability of Interval Coverage Probability (PICP), Mean Width Percentage (MWP), and Coverage Width Criterion (CWC), are selected to evaluate the uncertainty of model prediction [29] The specific calculation is given by the following formula:
P I C P = 1 N i = 1 N I ( y i [ L , U ] )
M W P = 1 N i = 1 N ( U i L i )
C W C = M W P P I C P
where N is the number of predicted samples, yi is the ith observation, [ L , U ] is the ith prediction interval, and I ( · ) is the indicator function. U i is the upper bound of the ith interval, and L i is the lower bound of the ith interval.
As the PICP increases, the true values in the prediction interval increase and the prediction uncertainty decreases. MWP represents the average percentage of the interval width concerning the observed values, which ensures the validity of the interval. The larger the MWP, the wider the interval, and the more likely that the PICP will satisfy 1. The CWC combines the PICP and the MWP, and it is a comprehensive uncertainty evaluation metric.

3. Results

3.1. Phenotypic Responses of Peanut Plants to Saline–Alkali Stress

To more comprehensively analyze the effects of saline–alkali stress on the canopy of peanut plants and explore the physiological changes in peanut plants at different periods, six physiological indexes were collected and SASS was constructed. It is challenging for a single indicator to accurately represent the state of plants under saline–alkali stress when studying the thorough assessment of plants under these stress conditions. Even if regression analysis is performed through multiple indicators as explanatory variables, the problem of variable metrics cannot be fundamentally solved. Therefore, this research selects six photosynthetic indexes to construct SASS of peanut plant saline–alkali stress based on the unsupervised learning PCA dimensionality reduction method. The correlation matrix is obtained through the dimensionality reduction process, and the visualization heat map of the correlation matrix is shown in Figure 4.
As shown in Figure 4, there exists a strong negative correlation between Ci and other indicators, and a strong positive correlation between Pn and other indicators except Ci, respectively. There exists a certain correlation between these indicators during photosynthesis [30]. Saline–alkali stress causes the stomata of plant leaves to close or restricts the opening of stomata, which reduces the entry of CO2, leading to a negative correlation between Ci and other indicators. The Pn is affected by a variety of factors, including light intensity, temperature, CO2 concentration, etc. Indicators other than Ci can indirectly reflect the intensity of light, the water conditions, and the activities of photosynthetic enzymes. For example, SPAD can reflect the light energy absorption capacity of leaves. Gs and transpiration rate E can reflect the water regulation capacity of plants. The photosynthetic rate often rises when these parameters are within the proper range, which results in a significant positive association between Pn and other indices.
At present, the traditional method of using the photosynthetic index to evaluate the ability of plants to tolerate saline–alkali stress is to compare each index separately. However, when the number of indexes is large, it is difficult to make a comprehensive evaluation with a simple comparison. Therefore, in this research, PCA was used to obtain the contribution degree of each index, and the contribution degree was used as the coefficient of each index to construct SASS, which not only has a scientific basis, but also can carry out comprehensive evaluations and reduce the interference of subjective factors of evaluators.
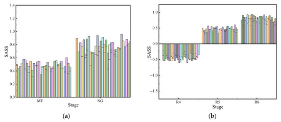
In this research, SASS is calculated and analyzed for all samples. Figure 5 shows the SASS histogram of some randomly selected samples. (Figure 5a shows the sample of the R5 stage).
The results in Figure 5a show that most of the samples planted in MT have low SASS values, while the samples planted in NG have high SASS values. Meanwhile, the salinity of NG soil is lower. This indicates that crops subjected to saline–alkali stress have lower SASS values and the higher the level of stress, the lower the SASS value. It also means that when a variety is grown in a stressed area if its SASS value is high, it can indicate that the variety has the characteristic of saline–alkali stress tolerance. According to Figure 5b, the negative SASS value of the crop in the R4 stage indicates that the crop is more seriously affected by stress in this stage. In R5 and R6, the SASS value became positive and gradually increased, which indicated that the crop continuously regulated itself with the advancement of the growth stage and possessed a better ability to tolerate saline–alkali stress. In summary, a higher SASS value of a plant indicates that the plant is less stressed; that is, it has higher stress resistance.

3.2. Comparative Experiments with Different Data Types

To verify the prediction performance of the proposed model and explore the influence of different data types on the prediction results, three comparative experiments were conducted based on the BO-MMFNet model. The experimental results are shown in Table 3 (the bolded data represent the best results of the experiment).
The experimental results show that all the indices of HS + RGB data are excellent, and the prediction effect of HS + RGB data is better than that of single-modal data. Compared to using only RGB data, RMSE decreased by 0.138, R2 increased by 0.134, and RPD increased by 0.373. Compared with using only HS data, RMSE is reduced by 0.023, R2 increased by 0.016, and RPD increased by 0.367. This indicates that multimodal data provides a more comprehensive and accurate analysis by integrating information from various sources, enhancing model performance and robustness compared to single-modal data.
This research draws a graph of prediction results of different data types, as shown in Figure 6. The light blue dot in Figure 6a is the predicted value, and the black line is the 1:1 line.
As can be seen from the scatter plot in Figure 6a, the prediction using multimodal data has good fitting ability, and the predicted value is very close to the actual value. However, when single-modal data are used, the predicted value differs greatly from the actual value. As can be seen from the prediction interval of Figure 6b, the prediction effect of using multimodal data is better, the prediction interval is narrow, and almost all prediction points are located in the interval, which indicates that the uncertainty of the prediction is low. However, when single-modal data are used, the range is wide and the effect is poor. It is worth noting that when only RGB data are used for prediction, the effect is the worst, which indicates that only RGB data cannot meet the needs of prediction accuracy and breed evaluation.
In summary, BO-MMFNet using multimodal information for prediction shows high performance in SASS value prediction. BO-MMFNet has better predictive power than the result junctions predicted using single-modal data. The training and testing effects of BO-MMFNet are shown in Figure 7.
According to Figure 7a, it can be observed that the loss function of the model has converged after 1000 iterations, which indicates that the number of iterations is set quite accurately. At the same time, the model has reached its optimal performance. Then, the prediction is made on the samples of the test set. From the prediction residual curves in Figure 7b, it can be seen that the area of the prediction residuals is small, which indicates that the performance of the model’s prediction is excellent.

3.3. Compared with Other Feature Extraction Models

To verify the performance of the BO-MMFNet network structure designed by the BO algorithm in this research, this research selected 6 typical image feature extraction networks and 4 sequence feature extraction networks for combination and conducted 16 experiments under the same experimental environment. The experimental results are shown in Table 4 (bold data represent the optimal results of the experiment).
Based on the results of the comparison test, it can be concluded that the BO-MMFNet constructed in this research performs well in terms of performance. It can effectively extract spectral information and accurately predict the SASS values of five peanut species at three periods based on multimodal data. It is especially worth mentioning that BO-MMFNet performs best in RPD with an RPD value of 3.669. According to some recent studies [29], an RPD greater than 3.0 indicates excellent model performance. Also, BO-MMFNet has the lowest RMSE and MAE of 0.089 and 0.073, respectively, which shows the superiority of the model in terms of prediction accuracy. Meanwhile, the PICP, MWP, and CWC of BO-MMFNet are 0.998, 0.613, and 0.714, respectively. The comprehensive evaluation indexes show that BO-MMFNet performs well in interval prediction performance. Uncertainty prediction and interval estimation are crucial in the decision-making process, they can give decision-makers a more comprehensive basis for assessment, and a more comprehensive assessment labeling.
It is worth noting that InceptionV3 + BiGRU has the highest R2 value, but the RMSE and MAE metrics are worse. This indicates that the model is complex and overfitting occurs, where the model works well on the training set but not so well on the validation or test set. This indicates that when choosing a model, the model should be suitable for the complexity of the data.

4. Discussion

4.1. Comprehensive Index Can Better Reflect the Degree of Plant Stress

To analyze the saline–alkali stress tolerance of different varieties, the average SASS values of samples from different varieties are calculated in this research. Figure 8 shows the average value of SASS for different varieties in different stages.
As is shown in Figure 8, different varieties of peanuts showed poor stress tolerance at the R4 stage and gradually increased stress tolerance as the plant grew. The average SASS values for all samples of each peanut variety are as follows: YH33 (0.23), HY25 (0.30), YH32 (0.18), YH164 (0.04), and YH31 (0.15). The ranking of saline–alkali stress tolerance of the five varieties from high to low is HY25, YH31, YH33, YH32, and YH164. The members of this project adopted the traditional method, that is, the results obtained by comparing different indicators, respectively, showed that HY25 and YH31 had saline–alkali stress resistance ability; YH32 and YH33 had moderate saline–alkali stress resistance ability; and YH164 did not have saline–alkali stress resistance ability. This fully demonstrates the effectiveness of SASS and its advantages in fine-grained classification.
Currently, the traditional method of selecting peanut varieties for tolerance to saline–alkali stress involves selecting saline soils for planting, measuring biochemical indicators at different growth stages, and evaluating them in conjunction with yield, which is a tedious process [31]. Moreover, indirect indicators such as soil moisture or leaf appearance are often used when assessing whether a plant is under stress [32]. However, these indicators may carry the risk of misclassification. To overcome the problem mentioned above, this research adopted a comprehensive evaluation method to evaluate the degree of saline–alkali stress of plants according to their biochemical indicators. This method can comprehensively consider the influence of many factors and improve the reliability and interpretability of the evaluation results. In addition, traditional algorithms compare different indicators, respectively, while SASS can evaluate all indicators comprehensively and then predict SASS quickly through hyperspectral imaging technology, which greatly saves time.
In conclusion, the method designed in this research has practical significance by integrating the analysis of photosynthetic indexes, which can provide more accurate judgments to guide the development of stress management and interventions.

4.2. Multimodal Data Can Improve the Prediction Accuracy of the Model

Saline–alkali stress can change the internal composition, color, and other agronomic traits of leaves, and then affect the light reflection intensity [33]. In this research, it is found that the canopy spectral reflectance changes when peanut plants are subjected to saline–alkali stress. In the spectral range of about 550–600 nm, it is found that the reflectance decreases with the increase in saline–alkali stress. In the spectral range of about 920–950 nm, it is found that the reflectance increases with the increase in saline–alkali stress.
In this research, it is found through experiments that the prediction accuracy obtained by using only spectral data is low. However, this problem can be solved by fusing and supplementing data from different modalities to improve the accuracy of crop phenotype estimation [24]. RGB data are introduced in this research, which can better reflect the characteristics of objects such as color, shape, and texture. The experimental results show that the prediction effect of HS + RGB data is better than that of single-modal data. Compared with using only RGB data, RMSE is reduced by 61.8% and R2 is increased by 16.2%. Compared with using only HS data, RMSE is reduced by 21.4% and R2 is increased by 1.9%. This is because multimodal information enables the model to extract features from data of different modes, maximize the performance of the model, make use of the correlation between features, and fully learn the requirements required by the task [34].

4.3. Interval Prediction Results Are Helpful for Decision-Making

There are many uncertainties in agricultural breeding, such as soil quality, climate change, pests, and diseases. The errors and uncertainties caused by such factors can have a significant influence on decision-making, especially in the field of agricultural breeding, where assessments require a high degree of accuracy. To our knowledge, current studies combining agriculture with prediction based on HS imaging techniques lack interval prediction methods for uncertainty assessment [35]. Similar studies have shown that interval prediction of uncertainty evaluation is indispensable in the prediction of ginsenoside content based on HS imaging technology [29]. Therefore, relying only on point prediction may not be reliable enough for critical decision-making [36], especially in varietal evaluation. The GPR algorithm provides confidence intervals and interpretability of the prediction results. The GPR algorithm takes into account not only the standard deviation of the error between the predicted and actual values but also the correlation between the data and the uncertainty of the model parameters, which enables decision-makers to better assess the reliability of the prediction results and to take uncertainty into account in the decision-making process [37].

4.4. Visual Inspection Interface

To serve breeding researchers more conveniently, a web prediction platform based on the BO-MFFNet model was constructed in this research. Predictive web pages use simple operations to complete the evaluation. First, the peanut hyperspectral data were collected using a portable ground spectrometer and uploaded to a web page, a process that takes about 10 s. By clicking the Predict button, the SASS value of the plant will be displayed on the web page, which takes about 2 s. The time required by this method is very short, and a reliable score can be obtained on the salt–alkali stress tolerance of peanut varieties. The page also has additional features such as score analysis, breed evaluation, and expert consultation available for more detailed information. In score analysis, the system interprets the meaning of the current score. Breed assessment is the assessment of a breed’s strengths and weaknesses based on its current score. Expert advice provides contact information for peanut breeders, allowing users to obtain more precise guidance.

4.5. Future Works

Future work will focus on further enhancing the comprehensive performance of the model, improving its interpretability, and optimizing its deployment. Specifically, based on the existing work, relevant indicators, such as yield, MDA, SOD, leaf area, etc., can be further collected to construct an indicator system for a more comprehensive assessment. The propagation path of the feature layer or the structure of the convolution module can be optimized to reduce the loss when the network learns the features of the seedlings, thus improving the accuracy of the prediction. The model is further extended into an APP version and deployed to mobile devices for more convenient use.
In conclusion, although the BO-MFFNet model still has some shortcomings, it provides new insights for intelligent breeding research and provides a technical reference for future research in this field.

5. Conclusions

The BO-MFFNet model proposed in this research showed good results in predicting saline–alkali stress scores of peanut plants, which can not only accurately predict the location, but also evaluate the uncertainty of the interval prediction. The experimental results show that (1) because of the single-modal model, the BO-MFFNet model has a better prediction effect on the SASS value of peanut plants, with MAE of 0.073 and R2 of 0.961. In particular, the RPD is 3.669, indicating the good fitting ability of the model. (2) After optimization by the BO algorithm, the effect of the proposed model is better than that of the conventional model. (3) The interval prediction experiment shows the low uncertainty of BO-MFFNet. (4) The proposed SASS value is superior to the traditional manual method when used to assess the saline–alkali stress tolerance of peanut varieties.
In conclusion, the combination of multimodal information, neural architecture search, and GPR interval prediction has achieved good results in the evaluation of saline–alkali stress tolerance of peanut varieties. This research provides specific methods for the efficient and reliable evaluation of abiotic stress in other crops.

Author Contributions

Conceptualization, F.Z.; methodology, F.Z.; software, P.L. and T.G.; validation, F.Z. and T.G.; formal analysis, F.Z.; investigation, L.Z., F.Z. and Z.W.; resources, L.Z. and J.L.; data curation, T.G. and Z.W.; writing—original draft preparation, F.Z. and L.Z.; writing—review and editing, J.L.; visualization, T.G. and Z.W.; supervision, J.L.; project administration, J.L.; funding acquisition, J.L. and L.Z. All authors have read and agreed to the published version of the manuscript.

Funding

This work was supported by the key research and development program of Shandong province [grant numbers 2021LZGC026-03]; the Shandong Province Modern Agricultural Technology System [grant numbers SDAIT-22]; the project of National Natural Science Foundation of China [grant numbers 32073029]; the Science & Technology Specific Projects in Agricultural High-tech Industrial Demonstration Area of the Yellow River Delta [grant numbers 2022SZX18]; the national key research and development program [grant numbers 2022YFD2300101-1]; and the Seed-Industrialized Development Program in Shandong Province [grant numbers 2021LZGC003].

Data Availability Statement

Data and codes for this research are available from the corresponding author. The code used in this research has been uploaded to the community under the AGPLv3 license, as required by the license terms “https://github.com/zfvincent1997/BO-MFFNet (accessed on 13 January 2025)”.

Conflicts of Interest

The authors declare that they have no known competing financial interests or personal relationships that could have appeared to influence the work reported in this paper.

References

  1. Wang, J.; Zhao, A.; Ma, F.; Liu, J.; Xiao, G.; Xu, X. Amendment of Saline–Alkaline Soil with Flue-Gas Desulfurization Gypsum in the Yinchuan Plain, Northwest China. Sustainability 2023, 15, 8658. [Google Scholar] [CrossRef]
  2. Liu, Y.; Shao, L.; Zhou, J.; Li, R.; Pandey, M.K.; Han, Y.; Cui, F.; Zhang, J.; Guo, F.; Chen, J.; et al. Genomic insights into the genetic signatures of selection and seed trait loci in cultivated peanut. J. Adv. Res. 2022, 42, 237–248. [Google Scholar] [CrossRef] [PubMed]
  3. Tang, Y.; Qiu, X.; Hu, C.; Li, J.; Wu, L.; Wang, W.; Li, X.; Li, X.; Zhu, H.; Sui, J.; et al. Breeding of a new variety of peanut with high-oleic-acid content and high-yield by marker-assisted backcrossing. Mol. Breed. 2022, 42, 42. [Google Scholar] [CrossRef]
  4. Sharma, S.; Kulkarni, J.; Jha, B. Halotolerant Rhizobacteria Promote Growth and Enhance Salinity Tolerance in Peanut [Original Research]. Front. Microbiol. 2016, 7, 1600. [Google Scholar] [CrossRef]
  5. Singh, A.L.; Hariprasanna, K.; Chaudhari, V. Differential nutrients absorption an important tool for screening and identification of soil salinity tolerant peanut genotypes. Indian J. Plant Physiol. 2016, 21, 83–92. [Google Scholar] [CrossRef]
  6. Li, X.; Hu, C.; Li, X.; Zhu, H.; Sui, J.; Wang, J.; Qiao, L.; Tang, Y. Identification and Screening of Salt-Tolerance Peanut Cultivars During Germination Stage. J. Peanut Sci. 2022, 51, 35–43. (In Chinese) [Google Scholar] [CrossRef]
  7. Huang, J.; Zhou, W.; Fang, L.; Sun, M.; Li, X.; Li, J.; Li, X.; Tang, Y.; Jiang, D.; Zhu, H.; et al. Effect of ACC oxidase gene AhACOs on salt tolerance of peanut. Sheng Wu Gong Cheng Xue Bao=Chin. J. Biotechnol. 2023, 39, 603–613. [Google Scholar] [CrossRef]
  8. Zhao, X.; Wang, Q.; Yan, C.; Sun, Q.; Wang, J.; Li, C.; Yuan, C.; Mou, Y.; Shan, S. The bHLH transcription factor AhbHLH121 improves salt tolerance in peanut. Int. J. Biol. Macromol. 2023, 256, 128492. [Google Scholar] [CrossRef]
  9. Sharma, M.; Tisarum, R.; Kohli, R.K.; Batish, D.R.; Cha-Um, S.; Singh, H.P. Inroads into saline-alkaline stress response in plants: Unravelling morphological, physiological, biochemical, and molecular mechanisms. Planta 2024, 259, 130. [Google Scholar] [CrossRef]
  10. Zhang, X.; Zhong, J.; Cao, L.; Ren, C.; Yu, G.; Gu, Y.; Ruan, J.; Zhao, S.; Wang, L.; Zhang, Y.; et al. Genome-wide characterization of aldehyde dehydrogenase gene family members in groundnut (Arachis hypogaea) and the analysis under saline-alkali stress. Front. Plant Sci. 2023, 14, 1097001. [Google Scholar] [CrossRef]
  11. Esgario, J.G.M.; Krohling, R.A.; Ventura, J.A. Deep learning for classification and severity estimation of coffee leaf biotic stress. Comput. Electron. Agric. 2020, 169, 105162. [Google Scholar] [CrossRef]
  12. Chandel, N.S.; Chakraborty, S.K.; Rajwade, Y.A.; Dubey, K.; Tiwari, M.K.; Jat, D. Identifying crop water stress using deep learning models. Neural Comput. Appl. 2021, 33, 5353–5367. [Google Scholar] [CrossRef]
  13. Goyal, P.; Sharda, R.; Saini, M.; Siag, M. A deep learning approach for early detection of drought stress in maize using proximal scale digital images. Neural Comput. Appl. 2024, 36, 1899–1913. [Google Scholar] [CrossRef]
  14. Yang, Z.; Tian, J.; Feng, K.; Gong, X.; Liu, J. Application of a hyperspectral imaging system to quantify leaf-scale chlorophyll, nitrogen and chlorophyll fluorescence parameters in grapevine. Plant Physiol. Biochem. 2021, 166, 723–737. [Google Scholar] [CrossRef]
  15. Dai, F.; Shi, J.; Yang, C.; Li, Y.; Zhao, Y.; Liu, Z.; An, T.; Li, X.; Yan, P.; Dong, C. Detection of anthocyanin content in fresh Zijuan tea leaves based on hyperspectral imaging. Food Control 2023, 152, 109839. [Google Scholar] [CrossRef]
  16. Zhang, N.; Yang, G.; Pan, Y.; Yang, X.; Chen, L.; Zhao, C. A Review of Advanced Technologies and Development for Hyperspectral-Based Plant Disease Detection in the Past Three Decades. Remote Sens. 2020, 12, 3188. [Google Scholar] [CrossRef]
  17. Liu, G.; Yang, H.; Zhao, H.; Zhang, Y.; Zhang, S.; Zhang, X.; Jin, G. Combination of Structured Illumination Microscopy with Hyperspectral Imaging for Cell Analysis. Anal. Chem. 2021, 93, 10056–10064. [Google Scholar] [CrossRef]
  18. Rubo, S.; Zinkernagel, J. Exploring hyperspectral reflectance indices for the estimation of water and nitrogen status of spinach. Biosyst. Eng. 2022, 214, 58–71. [Google Scholar] [CrossRef]
  19. Xu, P.; Fu, L.; Xu, K.; Sun, W.; Tan, Q.; Zhang, Y.; Zha, X.; Yang, R. Investigation into maize seed disease identification based on deep learning and multi-source spectral information fusion techniques. J. Food Compos. Anal. 2023, 119, 105254. [Google Scholar] [CrossRef]
  20. Crusiol, L.G.T.; Nanni, M.R.; Furlanetto, R.H.; Sibaldelli, R.N.R.; Sun, L.; Gonçalves, S.L.; Farias, J.R.B. Assessing the sensitive spectral bands for soybean water status monitoring and soil moisture prediction using leaf-based hyperspectral reflectance. Agric. Water Manag. 2023, 277, 108089. [Google Scholar] [CrossRef]
  21. Wang, C.; Nie, S.; Xi, X.; Luo, S.; Sun, X. Estimating the biomass of maize with hyperspectral and LiDAR data. Remote Sens. 2017, 9, 11. [Google Scholar] [CrossRef]
  22. Maimaitijiang, M.; Sagan, V.; Sidike, P.; Maimaitiyiming, M.; Hartling, S.; Peterson, K.T.; Maw, M.J.; Shakoor, N.; Mockler, T.; Fritschi, F.B. Vegetation index weighted canopy volume model (CVMVI) for soybean biomass estimation from unmanned aerial system-based RGB imagery. ISPRS J. Photogramm. Remote Sens. 2019, 151, 27–41. [Google Scholar] [CrossRef]
  23. Zhang, S.-H.; He, L.; Duan, J.-Z.; Zang, S.-L.; Yang, T.-C.; Schulthess UR, S.; Guo, T.-C.; Wang, C.-Y.; Feng, W. Aboveground wheat biomass estimation from a low-altitude UAV platform based on multimodal remote sensing data fusion with the introduction of terrain factors. Precis. Agric. 2024, 25, 119–145. [Google Scholar] [CrossRef]
  24. Mao, Y.; Li, H.; Wang, Y.; Wang, H.; Shen, J.; Xu, Y.; Ding, S.; Wang, H.; Ding, Z.; Fan, K. Rapid monitoring of tea plants under cold stress based on UAV multi-sensor data. Comput. Electron. Agric. 2023, 213, 108176. [Google Scholar] [CrossRef]
  25. Quan, L.; Lou, Z.; Lv, X.; Sun, D.; Xia, F.; Li, H.; Sun, W. Multimodal remote sensing application for weed competition time series analysis in maize farmland ecosystems. J. Environ. Manag. 2023, 344, 118376. [Google Scholar] [CrossRef]
  26. Oster, J.D.; Shainberg, I.; Abrol, I.P. Reclamation of salt-affected soils. In Agricultural Drainage; American Society of Agronomy, Crop Science Society of America and Soil Science Society of America; Whiley: Hoboken, NJ, USA, 1999; Volume 38, pp. 659–691. [Google Scholar] [CrossRef]
  27. Boote, K.J. Growth Stages of Peanut (Arachis hypogaea L.). Peanut Sci. 1982, 9, 35–40. [Google Scholar] [CrossRef]
  28. Xu, M.; Dai, J.; Zhang, G.; Hou, W.; Mu, Z.; Chen, P.; Cao, Y.; Zhao, Q. Inversion of Glycyrrhiza Chlorophyll Content Based on Hyperspectral Imagery. Agronomy 2024, 14, 1163. [Google Scholar] [CrossRef]
  29. Wang, Y.; Wang, S.; Bai, R.; Li, X.; Yuan, Y.; Nan, T.; Kang, C.; Yang, J.; Huang, L. Prediction performance and reliability evaluation of three ginsenosides in Panax ginseng using hyperspectral imaging combined with a novel ensemble chemometric model. Food Chem. 2024, 430, 136917. [Google Scholar] [CrossRef]
  30. Liao, Q.; Ding, R.; Du, T.; Kang, S.; Tong, L.; Li, S. Salinity-specific stomatal conductance model parameters are reduced by stomatal saturation conductance and area via leaf nitrogen. Sci. Total Environ. 2023, 876, 162584. [Google Scholar] [CrossRef]
  31. Singh, A.L.; Hariprasanna, K.; Chaudhari, V.; Gor, H.; Chikani, B. Identification of groundnut (Arachis hypogaea L.) cultivars tolerant of soil salinity. J. Plant Nutr. 2010, 33, 1761–1776. [Google Scholar] [CrossRef]
  32. Rajwade, Y.A.; Chandel, N.S.; Dubey, K.; Anakkallan, S.; Upender, K.; Jat, D. Assessment of water stress in rainfed maize using RGB and thermal imagery. Arab. J. Geosci. 2023, 16, 119. [Google Scholar] [CrossRef]
  33. Esmaeilizadeh, M.; Malekzadeh Shamsabad, M.R.; Roosta, H.R.; Dąbrowski, P.; Rapacz, M.; Zieliński, A.; Kalaji, H.M. Manipulation of light spectrum can improve the performance of photosynthetic apparatus of strawberry plants growing under salt and alkalinity stress. PLoS ONE 2021, 16, 12. [Google Scholar] [CrossRef] [PubMed]
  34. Lu, X.; Li, W.; Xiao, J.; Zhu, H.; Yang, D.; Yang, J.; Xu, X.; Lan, Y.; Zhang, Y. Inversion of Leaf Area Index in Citrus Trees Based on Multi-Modal Data Fusion from UAV Platform. Remote Sens. 2023, 15, 3523. [Google Scholar] [CrossRef]
  35. Pullanagari, R.R.; Li, M. Uncertainty assessment for firmness and total soluble solids of sweet cherries using hyperspectral imaging and multivariate statistics. J. Food Eng. 2021, 289, 110177. [Google Scholar] [CrossRef]
  36. Sun, Q.; Tang, Z.; Gao, J.; Zhang, G. Short-term ship motion attitude prediction based on LSTM and GPR. Appl. Ocean Res. 2022, 118, 102927. [Google Scholar] [CrossRef]
  37. Hui, Z.; Shi, Z.; Wang, R.; Yang, M.; Li, H.; Ren, J.; Cao, Y.; Sun, Y. Health prediction of lithium-ion batteries by combining with empirical mode decomposition and PF-GPR algorithm. Mater. Today Energy 2024, 42, 101562. [Google Scholar] [CrossRef]
Figure 1. Experimental field: (a) Maotuo experimental field; (b) Dongying experimental field.
Figure 1. Experimental field: (a) Maotuo experimental field; (b) Dongying experimental field.
Agronomy 15 00197 g001
Figure 2. Spectral reflectance curve of peanut plants: (a) Spectral reflectance curves of peanut plants; (b) spectral reflectance curves of peanut plants at different saline–alkali stress levels. (Different colors represent different samples).
Figure 2. Spectral reflectance curve of peanut plants: (a) Spectral reflectance curves of peanut plants; (b) spectral reflectance curves of peanut plants at different saline–alkali stress levels. (Different colors represent different samples).
Agronomy 15 00197 g002
Figure 3. Structure diagram of BO-MFFNet.
Figure 3. Structure diagram of BO-MFFNet.
Agronomy 15 00197 g003
Figure 4. Heat map for correlation test of photosynthetic indicators.
Figure 4. Heat map for correlation test of photosynthetic indicators.
Agronomy 15 00197 g004
Figure 5. (a) SASS histograms for different saline–alkali stress levels; (b) SASS histograms for different growth phases. Different colored square columns represent different samples.
Figure 5. (a) SASS histograms for different saline–alkali stress levels; (b) SASS histograms for different growth phases. Different colored square columns represent different samples.
Agronomy 15 00197 g005
Figure 6. Comparison of experimental results of different data types. (a) Scatter diagram; (b) interval prediction curve. The black line represents the reference content, the red line represents the prediction content, and the light red area represents the prediction interval results at the 95% confidence level.
Figure 6. Comparison of experimental results of different data types. (a) Scatter diagram; (b) interval prediction curve. The black line represents the reference content, the red line represents the prediction content, and the light red area represents the prediction interval results at the 95% confidence level.
Agronomy 15 00197 g006
Figure 7. Training and test effect diagram: (a) training loss curve; (b) prediction residual curve.
Figure 7. Training and test effect diagram: (a) training loss curve; (b) prediction residual curve.
Agronomy 15 00197 g007
Figure 8. Histogram of SASS for different peanut varieties.
Figure 8. Histogram of SASS for different peanut varieties.
Agronomy 15 00197 g008
Table 1. Principal component load matrix.
Table 1. Principal component load matrix.
CompSPADEPnCiGsN
Comp10.4200.2830.446−0.4590.4170.400
Comp2−0.2640.4120.2120.3780.608−0450
Comp30.296−0.6850.5660.2290.061−0.259
Table 2. The network structure set by the BO algorithm.
Table 2. The network structure set by the BO algorithm.
ParameterInputOperatorExp SizeOutStride
Input2242 × 3Conv, 3 × 3-162
Layer 11122 × 16RBU, 3 × 316161
Layer 21122 × 16RBU, 5 × 516242
Layer 3562 × 24RBU, 3 × 372241
Layer 4562 × 24RBU, 5 × 572322
Layer 5282 × 32RBU, 3 × 3120321
Layer 6282 × 32RBU, 5 × 5120642
Layer 7142 × 64RBU, 3 × 3200641
Layer 8142 × 64RBU, 3 × 32001602
Layer 972 × 160RBU, 5 × 54801601
Layer 1072 × 160RBU, 5 × 54801601
Layer 1172 × 160Conv, 1 × 1-9601
Layer 1272 × 960Pool, 7 × 7--1
Layer 1312 × 960Conv, 1 × 1-12801
Layer 1412 × 1280Conv, 1 × 1- 1
Table 3. Experimental results of different data types.
Table 3. Experimental results of different data types.
Sensor TypeRMSEMAER2RPDPICPMWPCWC
HS0.1120.0870.9453.3021.0000.7850.785
RGB0.2270.1840.8273.2960.9600.8900.927
HS + RGB0.0890.0730.9613.6690.9980.6130.714
Table 4. Experiment results of different models.
Table 4. Experiment results of different models.
Sequence ModelRMSEMAER2RPDPICPMWPCWC
MobileNetV3 + BiLSTM0.2900.2240.8933.0610.9571.1321.189
MobileNetV3 + BiGRU0.1010.0800.9433.4560.9960.8250.828
MobileNetV3 + CNN0.3440.2750.8422.5120.9511.3501.419
MobileNetV3 + Transform0.2760.2200.8963.0970.9541.0801.133
EfficientNetV2 + BiLSTM0.2150.1710.9663.2750.9540.8430.884
EfficientNetV2 + BiGRU0.1490.1210.9103.3420.9470.8000.845
EfficientNetV2 + CNN0.2050.1620.9453.2810.9470.8000.845
EfficientNetV2 + Transform0.3950.3080.7932.1960.9401.5471.646
InceptionV3 + BiLSTM0.3520.1230.9253.1030.9570.6940.725
InceptionV3 + BiGRU0.2190.0960.9813.2100.9600.7630.795
InceptionV3 + CNN0.3990.3150.9792.1770.9451.5641.654
InceptionV3 + Transform0.2750.2210.9023.1880.9501.0771.134
DenseNet121 + BiLSTM0.2560.2020.9143.4170.9501.0001.053
DenseNet121 + BiGRU0.1220.0990.9513.5460.9570.6770.707
DenseNet121 + CNN0.4010.3170.7862.1620.9501.5711.653
DenseNet121 + Transform0.2790.2240.8953.0890.9501.0941.152
BO-MMFNet0.0890.0730.9613.6690.9980.6130.714
Disclaimer/Publisher’s Note: The statements, opinions and data contained in all publications are solely those of the individual author(s) and contributor(s) and not of MDPI and/or the editor(s). MDPI and/or the editor(s) disclaim responsibility for any injury to people or property resulting from any ideas, methods, instructions or products referred to in the content.

Share and Cite

MDPI and ACS Style

Zhang, F.; Zhao, L.; Guo, T.; Wang, Z.; Lou, P.; Li, J. Rapid Identification of Saline–Alkali Stress-Tolerant Peanut Varieties Based on Multimodal Data. Agronomy 2025, 15, 197. https://doi.org/10.3390/agronomy15010197

AMA Style

Zhang F, Zhao L, Guo T, Wang Z, Lou P, Li J. Rapid Identification of Saline–Alkali Stress-Tolerant Peanut Varieties Based on Multimodal Data. Agronomy. 2025; 15(1):197. https://doi.org/10.3390/agronomy15010197

Chicago/Turabian Style

Zhang, Fan, Longgang Zhao, Tingting Guo, Ziyang Wang, Peng Lou, and Juan Li. 2025. "Rapid Identification of Saline–Alkali Stress-Tolerant Peanut Varieties Based on Multimodal Data" Agronomy 15, no. 1: 197. https://doi.org/10.3390/agronomy15010197

APA Style

Zhang, F., Zhao, L., Guo, T., Wang, Z., Lou, P., & Li, J. (2025). Rapid Identification of Saline–Alkali Stress-Tolerant Peanut Varieties Based on Multimodal Data. Agronomy, 15(1), 197. https://doi.org/10.3390/agronomy15010197

Note that from the first issue of 2016, this journal uses article numbers instead of page numbers. See further details here.

Article Metrics

Back to TopTop