The Effects of Biomass Materials and Nitrogen Application on the Composition of the Microbial Community in Moderately Saline Soils
Abstract
1. Introduction
2. Materials and Methods
2.1. Soil Site
2.2. Test Materials
2.3. Experimental Design
2.4. Testing Indicators
2.5. Data Analysis
3. Results
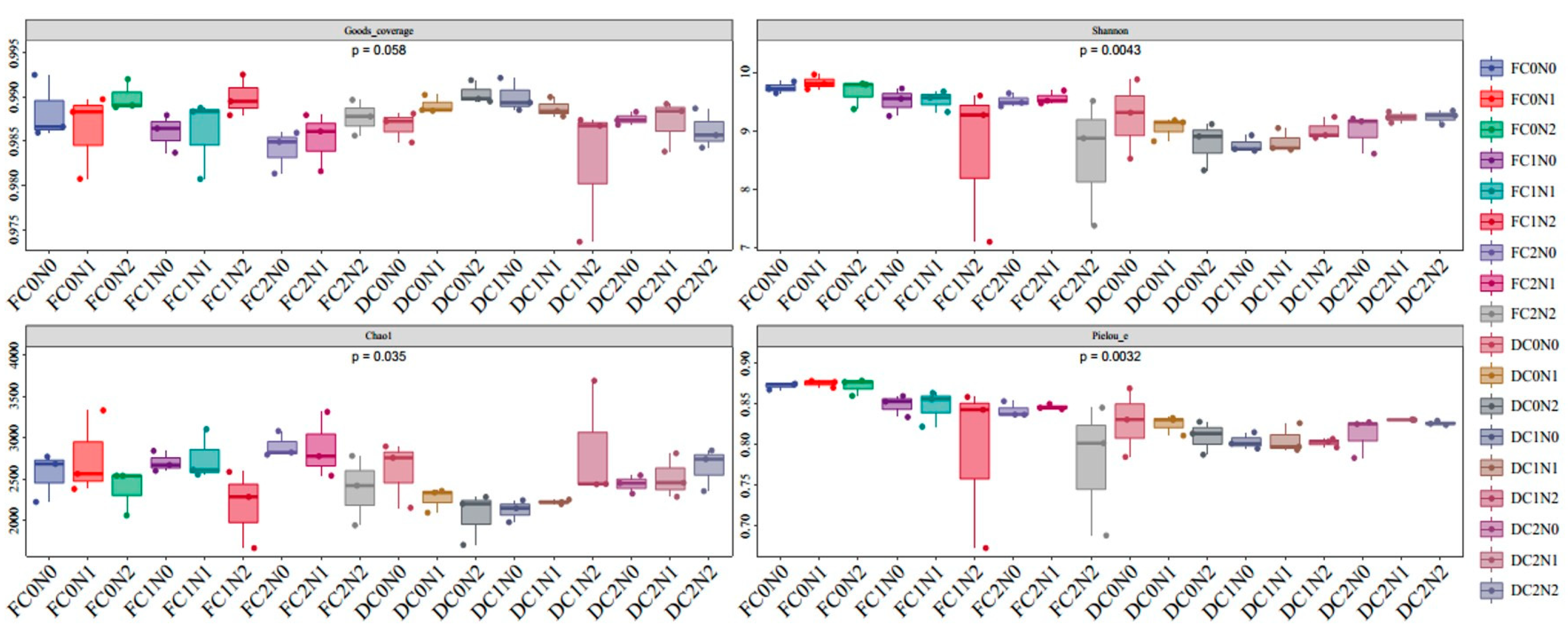
3.1. Soil Bacteria α-Diversity Analysis
3.2. Characteristics of Soil Bacterial Community Structure
3.3. Soil Fungi α-Diversity Analysis
3.4. Characteristics of Soil Fungal Community Structure
3.5. Correlation Analysis Between Soil Nutrients and Bacterial Communities
3.6. Correlation Analysis Between Soil Nutrients and Fungal Communities
4. Discussion
4.1. The Effect of Biomaterials on Bacteria in Moderately Saline Soil
4.2. The Effect of Biomaterials on Fungi in Moderately Saline Soil
5. Conclusions
- (1)
- In the moderately saline soil, the improvement in the bacterial community structure caused by the biochar treatment was better than that of the treatment with corn straw. After 35 days of treatment with the different measures, the relative abundances of Actinobacteria, Bacteroidetes, and Firmicutes in the soil significantly increased, while the relative abundances of Gemmatimonadete, Chloroflexi, Acidobacteria, Planctomycetes, and Patescibacteria significantly decreased.
- (2)
- The biomass materials significantly altered the fungal community structure in the moderately saline soil, and the different biomass materials and nitrogen application levels significantly altered the richness of the fungi in the moderately saline soil. The addition of corn straw significantly increased the beneficial fungal groups in the moderately saline soil.
- (3)
- Ammonium nitrogen, nitrate nitrogen, and nitrate reductase were the main environmental factors affecting the bacterial communities in the moderately saline soils. Ammonium nitrogen and nitrate reductase mainly affected the F-phase bacterial community, and nitrate nitrogen mainly affected the D-phase bacterial community.
- (4)
- Soil nitrate reductase and ammonium nitrogen were the main environmental factors affecting the fungal communities in the moderately saline soils, followed by nitrate nitrogen, conductivity, and nitrite reductase. Nitrate reductase and ammonium nitrogen had a significant impact on the F-stage fungal community, and nitrate nitrogen had a significant impact on the D-stage fungal community.
Author Contributions
Funding
Data Availability Statement
Conflicts of Interest
References
- Kuypers, M.M.M.; Marchant, H.K.; Kartal, B. The microbial nitrogen-cycling network. Nat. Rev. Microbiol. 2018, 16, 263–276. [Google Scholar] [CrossRef] [PubMed]
- Wang, B.; An, S.; Liang, C.; Liu, Y.; Kuzyakov, Y. Microbial necromass as the source of soil organic carbon in global ecosystems. Soil Biol. Biochem. 2021, 162, 108422. [Google Scholar] [CrossRef]
- Yao, Q.; Li, Z.; Song, Y.; Wright, S.J.; Guo, X.; Tringe, S.G.; Tfaily, M.M.; Paša-Tolić, L.; Hazen, T.C.; Turner, B.L.; et al. Community proteogenomics reveals the systemic impact of phosphorus availability on microbial functions in tropical soil. Nat. Ecol. Evol. 2018, 2, 499–509. [Google Scholar] [CrossRef]
- Xu, Z.; Shao, T.; Lv, Z.; Yue, Y.; Liu, A.; Long, X.; Zhou, Z.; Gao, X.; Rengel, Z. The mechanisms of improving coastal saline soils by planting rice. Sci. Total Environ. 2020, 703, 135529. [Google Scholar] [CrossRef] [PubMed]
- Shrivastava, P.; Kumar, R. Soil salinity. A serious environmental issue and plant growth promoting bacteria as one of the tools for its alleviation. Saudi J. Biol. Sci. 2015, 22, 123–131. [Google Scholar] [CrossRef] [PubMed]
- Ma, B.; Gong, J. A meta-analysis of the publicly available bacterial and archaeal sequence diversity in saline soils. World J. Microbiol. Biotechnol. 2013, 29, 2325–2334. [Google Scholar] [CrossRef]
- Poffenbarger, H.J.; Needelman, B.A.; Megonigal, J.P. Salinity influence on methane emissions from tidal marshes. Wetlands 2011, 31, 831–842. [Google Scholar] [CrossRef]
- Stevenson, F.J. Nitrogen-organic forms. In Methods of Soil Analysis. Part 2. Chemical and Microbiological Properties; American Society of Agronomy: Madison, WI, USA, 2015; pp. 625–641. [Google Scholar]
- Setia, R.; Smith, P.; Marschner, P.; Gottschalk, P.; Baldock, J.; Verma, V.; Setia, D.; Smith, J. Simulation of salinity effects on past, present, and future soil organic carbon stocks. Environ. Sci. Technol. 2012, 46, 1624–1631. [Google Scholar] [CrossRef] [PubMed]
- Nautiyal, C.S.; Dion, P. Molecular Mechanisms of Plant and Microbe Coexistence; Springer: Berlin/Heidelberg, Germany, 2008; Volume 15. [Google Scholar]
- Davidson, R.P.; Gopal, N.O.; Nandham, R.; Saraswathi, R. The Impact of Different Planting Systems on the Bacterial Diversity of Rice Cultivated in Saline Soil Based on 16S rRNA Gene-Based Metagenomic Insights. Agriculture 2022, 12, 1624. [Google Scholar] [CrossRef]
- Saviozzi, A.; Cardelli, R.; Di Puccio, R. Impact of salinity on soil biological activities: A laboratory experiment. Commun. Soil Sci. Plant Anal. 2011, 42, 358–367. [Google Scholar] [CrossRef]
- Wang, X.; Xin, J.; Grant, C.A.; Bailey, L.D. Effects of placement of urea with a urease inhibitor on seedling emergence, N uptake and dry matter yield of wheat. Can. J. Plant Sci. 1995, 75, 449–452. [Google Scholar]
- Liu, Y.; Li, C.F.; H, X.; Ying, X.; Guo, J.; Chen, M.; Yang, Y.; Wang, Y.; Ma, F. The effects of salt alkali stress on the activity of nitrogen metabolism related enzymes, yield, and sugar content in sugar beets. J. Nucl. Agric. Sci. 2015, 29, 397–404. [Google Scholar]
- Nannipieri, P.; Grego, S.; Ceccanti, B. Ecological significance of the biological activity in soil. Soil Biochem. Environ. Sci. Biology 1990, 293–356. [Google Scholar]
- Liu, X.S. Nitrogen Uptake and Metabolism of Spinach (Spinacia oleracea L.) Under Nitrate or Glycine Supply. Ph.D. Thesis, Shanghai Jiao Tong University, Shanghai, China, 2016. [Google Scholar]
- Nahid, A. Fayez R. Minimizing salinity-induced Pb toxicity to microbial N cycling processes in saline Pb-polluted soils amended with biochar. Pedobiologia 2023, 96, 50861. [Google Scholar]
- Cui, Q.; Xia, J.; Yang, H.; Liu, J.; Shao, P. Biochar and effective microorganisms promote Sesbania cannabina growth and soil quality in the coastal saline-alkali soil of the Yellow River Delta. Sci. Total Environ. 2021, 756, 143801. [Google Scholar] [CrossRef] [PubMed]
- Guan, S.Y. Soil Enzyme and Its Research Method; China Agricultural Press: Beijing, China, 1986. [Google Scholar]
- Zhu, X.; Luo, C.; Wang, S.; Zhang, Z.; Cui, S.; Bao, X.; Jiang, L.; Li, Y.; Li, X.; Wang, Q.; et al. Effects of warming, grazing/cutting and nitrogen fertilization on greenhouse gas fluxes during growing seasons in an alpine meadow on the Tibetan Plateau. Agric. For. Meteorol. 2015, 214–215, 506–514. [Google Scholar] [CrossRef]
- Wang, Q.; Wang, C.; Yu, W.; Turak, A.; Chen, D.; Huang, Y.; Ao, J.; Jiang, Y.; Huang, Z. Effects of Nitrogen and Phosphorus Inputs on Soil Bacterial Abundance, Diversity, and Community Composition in Chinese Fir Plantations. Front. Microbiol. 2018, 9, 1543. [Google Scholar] [CrossRef]
- Kerfahi, D.; Tripathi, B.M.; Dong, K.; Go, R.; Adams, J.M. Rainforest Conversion to Rubber Plantation May Not Result in Lower Soil Diversity of Bacteria, Fungi, and Nematodes. Microb. Ecol. 2016, 72, 359–371. [Google Scholar] [CrossRef]
- Li, Y.; Nie, C.; Liu, Y.; Du, W.; He, P. Soil microbial community composition closely associates with specific enzyme activities and soil carbon chemistry in a long-term nitrogen fertilized grassland. Sci. Total Environ. 2019, 654, 264–274. [Google Scholar] [CrossRef] [PubMed]
- Xia, J.J. River Basinand Bacteroidetes Communities in Xilinresearch on Biogeography of the Firmicuts. Master’s Thesis, Inner Mongolia University, Hohhot, China, 2021. [Google Scholar]
- Zhao, T.; Zhang, K.Y.; Gu, J.; Zhang, S.; Wang, X.; Song, W.; Shi, W.; Yan, F.; Pan, H. Characteristics of Lignocellulose Degradation and the Microbial Diversity of FWD1. J. Agro-Environ. Sci. 2015, 34, 1582–1588. [Google Scholar]
- Mao, T.; Wang, Y.; Ning, S.; Mao, J.; Sheng, J.; Jiang, P. Assessment of the Effects of Biochar on the Physicochemical Properties of Saline–Alkali Soil Based on Meta-Analysis. Agronomy 2024, 14, 2431. [Google Scholar] [CrossRef]
- Fan, F.; Zhang, Q.G.; Tai, J.C.; Hou, M.H.; Sun, D.Z.; Wang, S.S.; Zhang, J.N. Biological traits on corn straw interlayer in improving saline-alkali soil. Trans. Agric. Eng. 2015, 8, 133–139. [Google Scholar]
- Chen, W.; Liu, Z.; Li, Z. Halomonas utilizes short chain fatty acids to synthesize polyhydroxyalkanoates. Chin. J. Biotechnol. 2022, 38, 10. [Google Scholar]
- Hu, Y.J.; Zhu, X.L.; Ding, Y.Q.; Du, B.; Wang, C. Research progress on salt tolerance and growth promoting mechanism of Bacillus subtilis. Biotechnol. Bull. 2020, 36, 64–74. [Google Scholar]
- Xu, N.; Cheng, H.; Liu, Q.; Liu, J.; Ma, Y. Research progress of the Na+/H+ antiporters in bacteria. Microbiol. China 2015, 42, 2002–2011. [Google Scholar]
- Su, X.; Li, X.; Li, C.; Sun, H. Effect of Nitrogen Addition on Soil Fungal Diversity in a Degraded Alpine Meadow atDifferent Slopes. Environ. Sci. 2022, 43, 5286–5293. [Google Scholar]
- Longcore, J.E.; Simmons, D.R. Chytridiomycota. Encycl. Life Sci. 2012. [Google Scholar] [CrossRef]
- Lin, P.; Tian, C.; Peng, X.-P.; Lou, H.-X.; Li, G. Metabolic profiling for the discovery of two rare fusidane-type heterodimers from the fungal endophyte Acremonium pilosum F47. Steroids 2023, 192, 109188. [Google Scholar] [CrossRef] [PubMed]










| Unit Weight (kg/cm3) | pH | Conductivity (dS/m) | Ammonium Nitrogen (mg/kg) | Nitrate Nitrogen (mg/kg) |
|---|---|---|---|---|
| 1.45 | 7.96 | 1.70 | 3.53 | 6.16 |
| Biomass Materials | Pure Nitrogen Fertilization Amount | Processing Number |
|---|---|---|
| No biomass materials (C0) | N0 | C0N0 |
| N1 | C0N1 | |
| N2 | C0N2 | |
| Corn straw (C1) | N0 | C1N0 |
| N1 | C1N1 | |
| N2 | C1N2 | |
| Biochar (C2) | N0 | C2N0 |
| N1 | C2N1 | |
| N2 | C2N2 |
Disclaimer/Publisher’s Note: The statements, opinions and data contained in all publications are solely those of the individual author(s) and contributor(s) and not of MDPI and/or the editor(s). MDPI and/or the editor(s) disclaim responsibility for any injury to people or property resulting from any ideas, methods, instructions or products referred to in the content. |
© 2025 by the authors. Licensee MDPI, Basel, Switzerland. This article is an open access article distributed under the terms and conditions of the Creative Commons Attribution (CC BY) license (https://creativecommons.org/licenses/by/4.0/).
Share and Cite
Yin, C.; Liu, H.; Zhao, J.; Feng, L.; Guo, S.; Li, Y.; Li, X. The Effects of Biomass Materials and Nitrogen Application on the Composition of the Microbial Community in Moderately Saline Soils. Agronomy 2025, 15, 114. https://doi.org/10.3390/agronomy15010114
Yin C, Liu H, Zhao J, Feng L, Guo S, Li Y, Li X. The Effects of Biomass Materials and Nitrogen Application on the Composition of the Microbial Community in Moderately Saline Soils. Agronomy. 2025; 15(1):114. https://doi.org/10.3390/agronomy15010114
Chicago/Turabian StyleYin, Chunyan, Hu Liu, Ju Zhao, Liang Feng, Shuchun Guo, Yu Li, and Xiaoqi Li. 2025. "The Effects of Biomass Materials and Nitrogen Application on the Composition of the Microbial Community in Moderately Saline Soils" Agronomy 15, no. 1: 114. https://doi.org/10.3390/agronomy15010114
APA StyleYin, C., Liu, H., Zhao, J., Feng, L., Guo, S., Li, Y., & Li, X. (2025). The Effects of Biomass Materials and Nitrogen Application on the Composition of the Microbial Community in Moderately Saline Soils. Agronomy, 15(1), 114. https://doi.org/10.3390/agronomy15010114

