Temperature Sensitivity Response of Soil Enzyme Activity to Simulated Climate Change at Growth Stages of Winter Wheat
Abstract
1. Introduction
2. Materials and Methods
2.1. Experimental Design
2.2. Sample Collection
2.3. Soil Chemical Property Analysis
2.4. Soil Enzyme Activity and Temperature Sensitivity
2.5. Statistical Analysis
3. Results
3.1. Effects of Elevated CO2 Concentrations, Warming, and Mild Drought on the Q10 of Soil C Cycle Enzyme Activity Across Crop Growth Stages
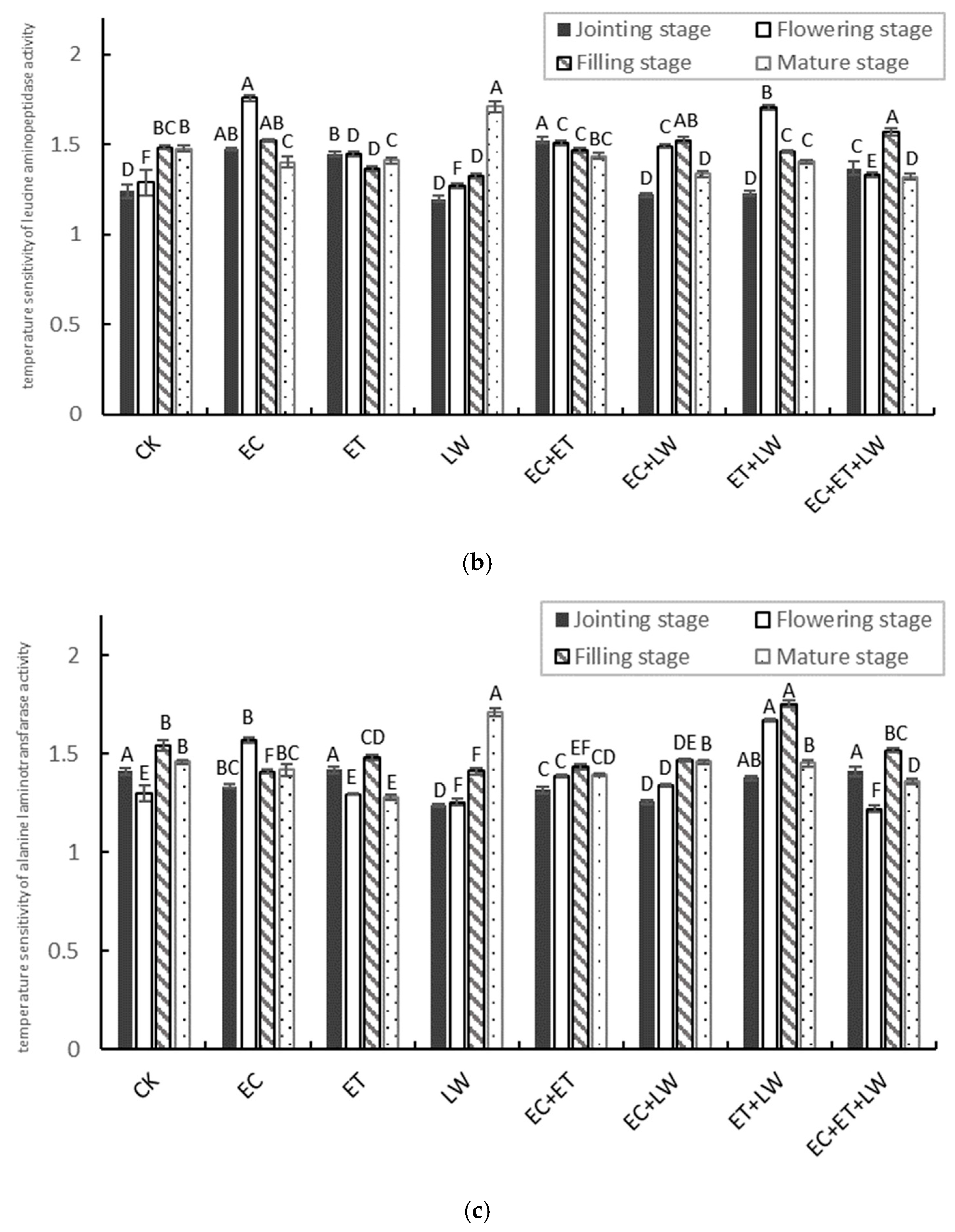
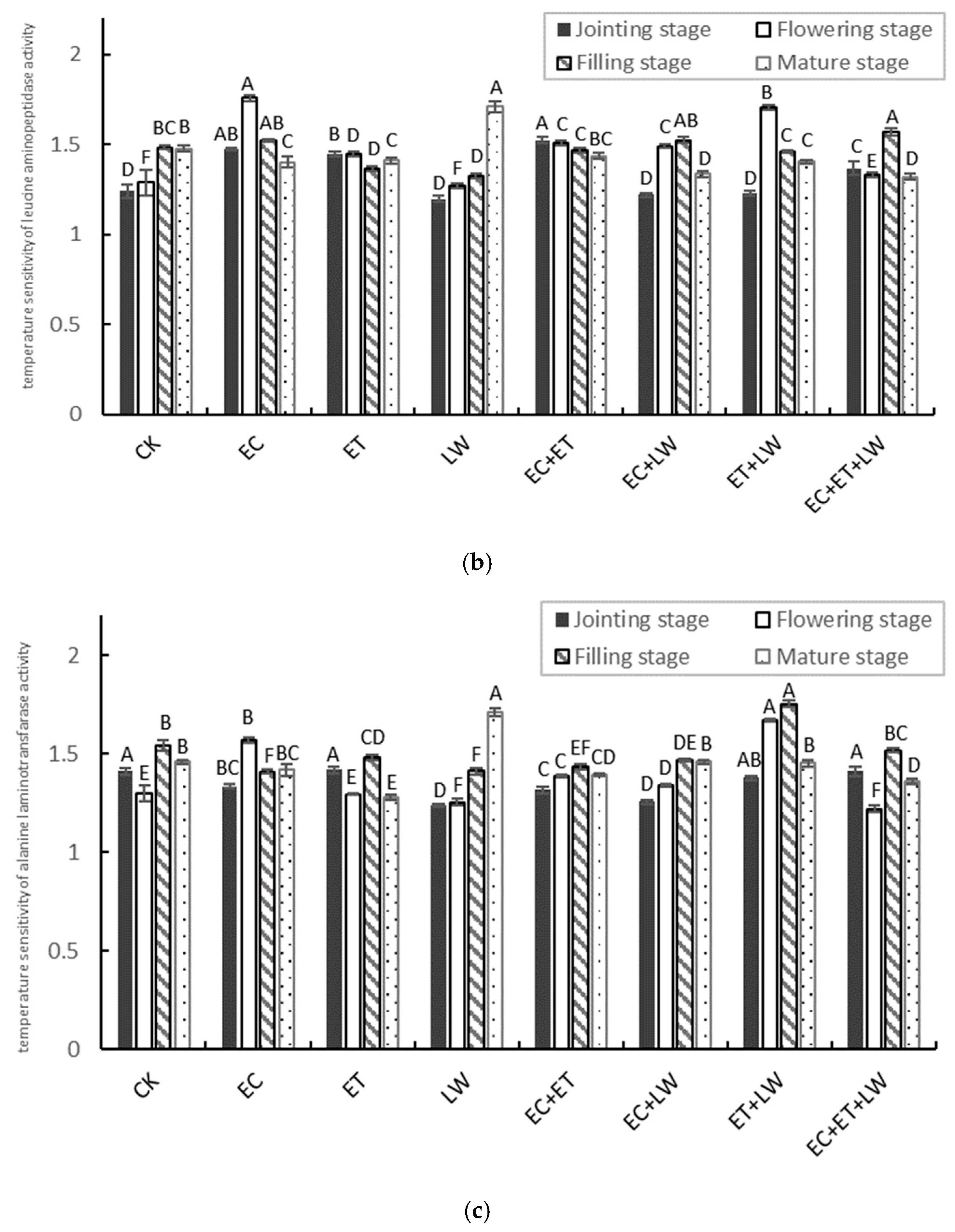
3.2. Effects of Elevated CO2 Concentrations, Warming, and Mild Drought on the Q10 of Soil N Cycle Enzyme Activity During Different Crop Growth Periods
3.3. Effects of Elevated CO2 Concentrations, Warming, and Mild Drought on the Q10 of Soil P Cycle Enzyme Activity During Different Crop Growth Periods
3.4. RDA of Q10 of Soil Enzyme Activity with Winter Wheat Biomass and Soil Properties
4. Discussion
4.1. Effect of Single Climate Factor Changes on the Q10 of Enzyme Activities Related to Soil C, N, and P Cycles
4.2. Effects of Changes in Multiple Climate Factors and Their Interactions on the Q10 of Enzyme Activities Related to Soil C, N, and P Cycles
4.3. Changes in Enzyme Q10 Associated with Soil Health
5. Conclusions
Supplementary Materials
Author Contributions
Funding
Data Availability Statement
Conflicts of Interest
References
- Intergovernmental Panel on Climate Change. Climate Change and Land: IPCC Special Report on Climate Change, Desertification, Land Degradation, Sustainable Land Management, Food Security, and Greenhouse Gas Fluxes in Terrestrial Ecosystems, 1st ed.; Cambridge University Press: Cambridge, UK, 2022. [Google Scholar] [CrossRef]
- AR5 Climate Change 2013: The Physical Science Basis—IPCC. Available online: https://www.ipcc.ch/report/ar5/wg1/ (accessed on 17 October 2024).
- Pachauri, R.K.; Mayer, L. Intergovernmental Panel on Climate Change. Climate Change 2014 Synthesis Report; IPCC: Geneva, Szwitzerland, 2014. [Google Scholar]
- Adak, T.; Dhanalakshmi, G.; Prabhakar, M.; Choudhury, R.; Nagarajan, S.; Tyagi, S.; Aggarwal, P.K.; Tiwari, B.; Tomer, R.; Yadav, A.; et al. Effect of elevated CO2 on chlorpyriphos degradation and soil microbial activities in tropical rice soil. Environ. Monit. Assess. 2016, 188, 105. [Google Scholar] [CrossRef] [PubMed]
- Yang, X.; Thornton, P.E.; Ricciuto, D.M.; Hoffman, F.M. Phosphorus feedbacks constraining tropical ecosystem responses to changes in atmospheric CO2 and climate. Geophys. Res. Lett. 2016, 43, 7205–7214. [Google Scholar] [CrossRef]
- Liu, Y.; Zhang, Q.; Chen, L.; Yu, Y.; Yang, T.; Guo, X. Abundance and composition response of wheat field soil bacterial and fungal communities to elevated CO2 and increased air temperature. Biol. Fertil. Soils 2017, 53, 3–8. [Google Scholar] [CrossRef]
- Cui, Y.; Zhu, Y.; Wang, S.; Xiao, X.; Li, L.; Wu, W.; Liu, Q. Ecoenzymatic stoichiometry and microbial nutrient limitation in rhizosphere soil in the arid area of the northern Loess Plateau, China. Soil Biol. Biochem. 2018, 116, 11–21. [Google Scholar] [CrossRef]
- Bernstein, L.; Bosch, P.; Canziani, O.; Chen, Z.; Christ, R.; Riahi, K. IPCC, 2007: Climate Change 2007: Synthesis Report; Cambridge University Press: Cambridge, UK, 2008. [Google Scholar]
- Wang, C.; Zhang, F.; Zhang, Z.; Hu, T.; He, X.; Liu, G.; Wang, Y. Irrigation-induced hydrothermal variation affects greenhouse gas emissions and crop production. Agric. Water Manag. 2022, 260, 107331. [Google Scholar] [CrossRef]
- Allison, V.J.; Condron, L.M.; Peltzer, D.A.; Richardson, S.J.; Turner, B.L. Changes in enzyme activities and soil microbial community composition along carbon and nutrient gradients at the Franz Josef chronosequence, New Zealand. Soil Biol. Biochem. 2007, 39, 1770–1781. [Google Scholar] [CrossRef]
- Jabborova, D.; Baimukhanova, M.; Jambazova, I.; Dyussembekova, A.; Nurpeissova, A.; Zhaibekov, S.; Ahmed, A.A. Impact of mineral fertilizers on mineral nutrients in the ginger rhizome and on soil enzymes activities and soil properties. Saudi J. Biol. Sci. 2021, 28, 5268–5274. [Google Scholar] [CrossRef]
- Sardans, J.; Peñuelas, J.; Estiarte, M. Changes in soil enzymes related to C and N cycle and in soil C and N content under prolonged warming and drought in a Mediterranean shrubland. Appl. Soil Ecol. 2008, 39, 223–235. [Google Scholar] [CrossRef]
- Wang, Y.; Yan, D.; Wang, J.; Ding, Y.; Song, X. Effects of Elevated CO2 and Drought on Plant Physiology, Soil Carbon and Soil Enzyme Activities. Pedosphere 2017, 27, 846–855. [Google Scholar] [CrossRef]
- Wu, Y.; Li, Y.; Zhang, X.; Zhang, Y.; Tang, Z.; Xu, M. Temperature sensitivity of soil enzyme kinetics under N and P fertilization in an alpine grassland, China. Sci. Total Environ. 2022, 838, 156042. [Google Scholar] [CrossRef]
- Zuccarini, P.; Asensio, D.; Ogaya, R.; Sardans, J.; Peñuelas, J. Effects of seasonal and decadal warming on soil enzymatic activity in a P-deficient Mediterranean shrubland. Glob. Change Biol. 2020, 26, 3698–3714. [Google Scholar] [CrossRef] [PubMed]
- Lukac, M.; Calfapietra, C.; Lagomarsino, A.; Loreto, F. Global climate change and tree nutrition: Effects of elevated CO2 and temperature. Tree Physiol. 2010, 30, 1209–1220. [Google Scholar] [CrossRef] [PubMed]
- Hagedorn, F.; Landolt, W.; Tarjan, D.; Egli, P.; Bucher, J.B. Elevated CO2 influences nutrient availability in young beech-spruce communities on two soil types. Oecologia 2002, 132, 109–117. [Google Scholar] [CrossRef] [PubMed]
- Allison, S.D.; Romero-Olivares, A.L.; Lu, Y.; Taylor, J.W.; Treseder, K.K. Temperature sensitivities of extracellular enzyme Vmax and Km across thermal environments. Glob. Change Biol. 2018, 24, 2884–2897. [Google Scholar] [CrossRef]
- Lin, N. Black biodegradable mulching increases grain yield and net return while decreasing carbon footprint in rain-fed conditions of the Loess Plateau. Field Crops Res. 2024, in press. [CrossRef]
- Peng, S.; Gang, C.; Cao, Y.; Chen, Y. Assessment of climate change trends over the Loess Plateau in China from 1901 to 2100. Int. J. Climatol. 2018, 38, 2250–2264. [Google Scholar] [CrossRef]
- Liu, B.; Asseng, S.; Liu, L.; Tang, L.; Cao, W.; Zhu, Y. Testing the responses of four wheat crop models to heat stress at anthesis and grain filling. Global Change Biology. 2016, 22, 1890–1903. [Google Scholar] [CrossRef]
- Prasad, P.V.V.; Djanaguiraman, M. Response of floret fertility and individual grain weight of wheat to high temperature stress: Sensitive stages and thresholds for temperature and duration. Funct. Plant Biol. 2014, 41, 1261. [Google Scholar] [CrossRef]
- Ghani, A.; Dexter, M.; Perrott, K.W. Hot-water extractable carbon in soils: A sensitive measurement for determining impacts of fertilisation, grazing and cultivation. Soil Biol. Biochem. 2003, 35, 1231–1243. [Google Scholar] [CrossRef]
- Duan, Y. Long-term fertilisation reveals close associations between soil organic carbon composition and microbial traits at aggregate scales. Agric. Ecosyst. Environ. 2021, 306, 107169. [Google Scholar] [CrossRef]
- Liang, M.; Wu, Y.; Zhao, Q.; Jiang, Y.; Sun, W.; Liu, G.; Ma, L.; Xue, S. Secondary vegetation succession on the Loess Plateau altered the interaction between arbuscular mycorrhizal fungi and nitrogen-fixing bacteria. For. Ecol. Manag. 2023, 530, 120744. [Google Scholar] [CrossRef]
- Marx, M.-C.; Wood, M.; Jarvis, S.C. A microplate fluorimetric assay for the study of enzyme diversity in soils. Soil Biol. Biochem. 2001, 33, 1633–1640. [Google Scholar] [CrossRef]
- Xiao, L.; Liu, G.; Li, P.; Xue, S. Dynamics of soil specific enzyme activities and temperature sensitivities during grassland succession after farmland abandonment. CATENA 2021, 199, 105081. [Google Scholar] [CrossRef]
- Stone, M.M.; Weiss, M.S.; Goodale, C.L.; Adams, M.B.; Fernandez, I.J.; German, D.P.; Allison, S.D. Temperature sensitivity of soil enzyme kinetics under N-fertilization in two temperate forests. Glob. Change Biol. 2012, 18, 1173–1184. [Google Scholar] [CrossRef]
- Xue, S.; Yang, X.; Liu, G.; Gai, L.; Zhang, C.; Ritsema, C.J.; Geissen, V. Effects of elevated CO2 and drought on the microbial biomass and enzymatic activities in the rhizospheres of two grass species in Chinese loess soil. Geoderma 2017, 286, 25–34. [Google Scholar] [CrossRef]
- Meng, C.; Tian, D.; Zeng, H.; Li, Z.; Chen, H.Y.H.; Niu, S. Global meta-analysis on the responses of soil extracellular enzyme activities to warming. Sci. Total Environ. 2020, 705, 135992. [Google Scholar] [CrossRef]
- Leifeld, J.; Fuhrer, J. The Temperature Response of CO2 Production from Bulk Soils and Soil Fractions is Related to Soil Organic Matter Quality. Biogeochemistry 2005, 75, 433–453. [Google Scholar] [CrossRef]
- Marklein, A.R.; Houlton, B.Z. Nitrogen inputs accelerate phosphorus cycling rates across a wide variety of terrestrial ecosystems. New Phytol. 2012, 193, 696–704. [Google Scholar] [CrossRef]
- Nottingham, A.T.; Turner, B.L.; Whitaker, J.; Ostle, N.; Bardgett, R.D.; McNamara, N.P.; Salinas, N.; Meir, P. Temperature sensitivity of soil enzymes along an elevation gradient in the Peruvian Andes. Biogeochemistry 2016, 127, 217–230. [Google Scholar] [CrossRef]
- Kelley, A.M.; Fay, P.A.; Polley, H.W.; Gill, R.A.; Jackson, R.B. Atmospheric CO2 and soil extracellular enzyme activity: A meta-analysis and CO2 gradient experiment. Ecosphere 2011, 2, art96. [Google Scholar] [CrossRef]
- Bárta, J.; Šlajsová, P.; Tahovská, K.; Picek, T.; Šantrůčková, H. Different temperature sensitivity and kinetics of soil enzymes indicate seasonal shifts in C, N and P nutrient stoichiometry in acid forest soil. Biogeochemistry 2014, 117, 525–537. [Google Scholar] [CrossRef]
- Wallenstein, M.D.; Weintraub, M.N. Emerging tools for measuring and modeling the in situ activity of soil extracellular enzymes. Soil Biol. Biochem. Spec. Sect. Enzym. Environ. 2008, 40, 2098–2106. [Google Scholar] [CrossRef]
- Koch, O.; Tscherko, D.; Kandeler, E. Temperature sensitivity of microbial respiration, nitrogen mineralization, and potential soil enzyme activities in organic alpine soils: Temperature sensitivity in alpine soils. Glob. Biogeochem. Cycles 2007, 21. [Google Scholar] [CrossRef]
- Menichetti, L.; Reyes Ortigoza, A.L.; García, N.; Giagnoni, L.; Nannipieri, P.; Renella, G. Thermal sensitivity of enzyme activity in tropical soils assessed by the Q10 and equilibrium model. Biol. Fertil. Soils 2015, 51, 299–310. [Google Scholar] [CrossRef]
- Shaw, A.N.; Cleveland, C.C. The effects of temperature on soil phosphorus availability and phosphatase enzyme activities: A cross-ecosystem study from the tropics to the Arctic. Biogeochemistry 2020, 151, 113–125. [Google Scholar] [CrossRef]
- Borken, W.; Matzner, E. Reappraisal of drying and wetting effects on C and N mineralization and fluxes in soils. Glob. Change Biol. 2009, 15, 808–824. [Google Scholar] [CrossRef]
- Steinweg, J.M.; Dukes, J.S.; Wallenstein, M.D. Modeling the effects of temperature and moisture on soil enzyme activity: Linking laboratory assays to continuous field data. Soil Biol. Biochem. 2012, 55, 85–92. [Google Scholar] [CrossRef]
- Bennett, J.A.; Maherali, H.; Reinhart, K.O.; Lekberg, Y.; Hart, M.M.; Klironomos, J. Plant-soil feedbacks and mycorrhizal type influence temperate forest population dynamics. Science 2017, 355, 181–184. [Google Scholar] [CrossRef]
- Cheng, L.; Booker, F.L.; Tu, C.; Burkey, K.O.; Zhou, L.; Shew, H.D.; Rufty, T.W.; Hu, S. Arbuscular mycorrhizal fungi increase organic carbon decomposition under elevated CO2. Science 2012, 337, 1084–1087. [Google Scholar] [CrossRef]
- Liu, Y.; Tan, X.; Wang, Y.; Guo, Z.; He, D.; Fu, S.; Wan, S.; Ye, Q.; Zhang, W.; Liu, W.; et al. Responses of litter, organic and mineral soil enzyme kinetics to 6 years of canopy and understory nitrogen additions in a temperate forest. Sci. Total Environ. 2020, 712, 136383. [Google Scholar] [CrossRef]
- Konôpka, B.; Lukac, M. Moderate drought alters biomass and depth distribution of fine roots in Norway spruce. For. Pathol. 2013, 43, 115–123. [Google Scholar] [CrossRef]
- Liu, H.S.; Li, F.M. Root Respiration, Photosynthesis and Grain Yield of Two Spring Wheat in Response to Soil Drying. Plant Growth Regul. 2005, 46, 233–240. [Google Scholar] [CrossRef]
- Huang, Y.; Ren, W.; Wang, L.; Hui, D.; Grove, J.H.; Yang, X.; Tao, B.; Goff, B. Greenhouse gas emissions and crop yield in no-tillage systems: A meta-analysis. Agric. Ecosyst. Environ. 2018, 268, 144–153. [Google Scholar] [CrossRef]
- Skinner, C.; Gattinger, A.; Muller, A.; Mäder, P.; Flieβbach, A.; Stolze, M.; Ruser, R.; Niggli, U. Greenhouse gas fluxes from agricultural soils under organic and non-organic management—A global meta-analysis. Sci. Total Environ. 2014, 468–469, 553–563. [Google Scholar] [CrossRef] [PubMed]





| CO2 Concentration (ppm) | Temperature ℃ | |||
|---|---|---|---|---|
| Current Temperature | Temperature Rise 4 °C | |||
| Moisture Condition | ||||
| 80% FC | 60% FC | 80% FC | 60% FC | |
| 400 | ACATHW | ACATLW | ACETHW | ACETLW |
| 800 | ECATHW | ECATLW | ECETHW | ECETLW |
| Growth Period | Variables | CK | EC | ET | LW | EC + ET | EC + LW | ET + LW | EC + ET + LW |
|---|---|---|---|---|---|---|---|---|---|
| Jointing | SOC (g·kg−1) | 9.10 ± 0.28 b | 9.72 ± 0.12 a | 9.52 ± 0.52 a | 8.50 ± 0.31 c | 9.63 ± 0.40 a | 9.49 ± 0.14 a | 9.51 ± 0.17 a | 8.95 ± 0.29 b |
| TN (g·kg−1) | 1.09 ± 0.07 a | 1.09 ± 0.01 a | 1.11 ± 0.03 a | 1.10 ± 0.03 a | 1.11 ± 0.02 a | 1.11 ± 0.02 a | 1.09 ± 0.05 a | 1.11 ± 0.02 a | |
| TP (g·kg−1) | 1.38 ± 0.06 a | 1.40 ± 0.03 a | 1.41 ± 0.02 a | 1.41 ± 0.05 a | 1.10 ± 0.43 b | 1.42 ± 0.04 a | 1.44 ± 0.03 a | 1.43 ± 0.07 a | |
| AP (mg·kg−1) | 13.58 ± 0.23 d | 14.01 ± 0.50 cd | 14.62 ± 0.49 abc | 13.52 ± 0.88 d | 14.74 ± 0.28 ab | 14.67 ± 0.23 ab | 14.47 ± 0.62 bc | 15.24 ± 0.70 a | |
| NO3−-N (mg∙kg−1) | 108.51 ± 20.46 b | 100.7 ± 26.67 b | 100.52 ± 15.84 b | 62.78 ± 3.61 c | 101.45 ± 15.57 b | 152.88 ± 11.81 a | 140.51 ± 23.49 a | 110.59 ± 8.65 b | |
| NH4+ -N (mg∙kg−1) | 6.51 ± 1.15 cd | 6.02 ± 0.85 cd | 18.25 ± 9.28 a | 3.19 ± 0.33 d | 11.68 ± 7.26 bc | 5.33 ± 0.37 d | 13.93 ± 7.62 ab | 8.63 ± 1.40 bcd | |
| AGB(g) | 10.90 ± 1.59 b | 10.81 ± 1.26 b | 12.96 ± 1.51 a | 8.37 ± 1.25 d | 10.64 ± 0.69 bc | 8.46 ± 1.14 d | 9.27 ± 1.57 cd | 8.89 ± 1.26 d | |
| RB(g) | 1.04 ± 0.17 a | 0.87 ± 0.16 b | 0.37 ± 0.07 d | 0.63 ± 0.10 c | 0.77 ± 0.12 b | 0.34 ± 0.03 d | 0.17 ± 0.03 e | 0.52 ± 0.06 c | |
| Flowering | SOC (g·kg−1) | 8.95 ± 0.13 ab | 9.10 ± 0.28 a | 8.31 ± 0.25 c | 9.25 ± 0.25 a | 8.64 ± 0.27 bc | 9.09 ± 0.42 a | 9.05 ± 0.56 a | 8.61 ± 0.31 bc |
| TN (g·kg−1) | 1.06 ± 0.03 bc | 1.05 ± 0.06 bc | 1.03 ± 0.03 c | 1.09 ± 0.02 ab | 1.06 ± 0.04 bc | 1.11 ± 0.02 a | 1.11 ± 0.04 a | 1.09 ± 0.03 ab | |
| TP (g·kg−1) | 1.46 ± 0.02 a | 1.45 ± 0.05 a | 1.38 ± 0.03 bc | 1.44 ± 0.03 ab | 1.37 ± 0.12 c | 1.42 ± 0.04 abc | 1.47 ± 0.02 a | 1.36 ± 0.02 c | |
| AP (mg·kg−1) | 11.37 ± 1.19 d | 13.07 ± 1.03 c | 15.32 ± 1.01 b | 13.88 ± 0.67 bc | 15.15 ± 1.81 b | 13.90 ± 0.48 bc | 17.68 ± 2.75 a | 14.23 ± 0.34 bc | |
| NO3−-N (mg∙kg−1) | 8.90 ± 8.38 e | 9.54 ± 7.85 e | 67.36 ± 37.44 bc | 59.69 ± 33.3 c | 29.28 ± 7.98 de | 53.27 ± 18.17 cd | 99.5 ± 23.79 a | 88.79 ± 16.65 ab | |
| NH4+-N (mg∙kg−1) | 7.67 ± 0.83 b | 8.54 ± 0.47 b | 10.02 ± 1.59 ab | 7.71 ± 2.60 b | 8.19 ± 1.03 b | 12.07 ± 4.86 a | 8.03 ± 1.32 b | 10.4 ± 2.74 ab | |
| AGB(g) | 40.29 ± 6.07 a | 38.50 ± 6.10 a | 23.47 ± 1.86 b | 22.69 ± 4.14 b | 23.89 ± 1.85 b | 22.29 ± 2.61 b | 15.97 ± 0.93 c | 17.58 ± 1.89 c | |
| RB(g) | 1.94 ± 0.31 a | 2.08 ± 0.39 a | 1.07 ± 0.15 bc | 1.15 ± 0.19 bc | 1.28 ± 0.23 b | 1.30 ± 0.07 b | 0.78 ± 0.12 d | 0.98 ± 0.16 cd | |
| Grain filling | SOC (g·kg−1) | 10.20 ± 0.15 a | 9.83 ± 0.15 b | 9.36 ± 0.11 c | 9.38 ± 0.20 c | 9.34 ± 0.43 c | 9.81 ± 0.46 b | 9.32 ± 0.33 c | 9.25 ± 0.21 c |
| TN (g·kg−1) | 1.05 ± 0.02 a | 1.02 ± 0.03 a | 1.08 ± 0.03 a | 1.07 ± 0.01 a | 1.05 ± 0.03 a | 1.08 ± 0.02 a | 0.99 ± 0.30 a | 1.08 ± 0.03 a | |
| TP (g·kg−1) | 1.5 ± 0.03 ab | 1.5 ± 0.03 ab | 1.47 ± 0.03 bc | 1.52 ± 0.04 a | 1.46 ± 0.02 c | 1.5 ± 0.01 ab | 1.47 ± 0.03 bc | 1.45 ± 0.04 c | |
| AP (mg·kg−1) | 11.96 ± 0.84 c | 13.75 ± 0.74 a | 13.05 ± 0.61 ab | 12.91 ± 1.28 abc | 12.92 ± 0.82 c | 12.93 ± 0.87 abc | 12.94 ± 0.98 ab | 12.95 ± 1.05 bc | |
| NO3−-N (mg∙kg−1) | 0.75 ± 0.34 c | 0.54 ± 0.40 c | 20.58 ± 10.49 b | 25.75 ± 13.54 b | 23.48 ± 13.69 b | 17.04 ± 4.31 b | 65.75 ± 17.71 a | 68.89 ± 26.02 a | |
| NH4+-N (mg∙kg−1) | 10.51 ± 2.14 b | 4.98 ± 2.48 c | 5.80 ± 0.59 c | 27.18 ± 6.98 a | 6.26 ± 0.81 c | 7.16 ± 2.85 bc | 6.61 ± 0.95 c | 5.77 ± 1.71 c | |
| AGB(g) | 63.03 ± 4.83 a | 62.90 ± 3.25 a | 40.85 ± 4.81 b | 34.45 ± 2.66 c | 40.25 ± 4.34 b | 33.19 ± 4.19 c | 26.41 ± 3.52 d | 27.23 ± 3.83 d | |
| RB(g) | 2.19 ± 0.35 b | 2.64 ± 0.21 a | 1.27 ± 0.18 c | 1.29 ± 0.19 c | 1.35 ± 0.20 c | 1.20 ± 0.21 cd | 0.99 ± 0.14 d | 0.71 ± 0.13 e | |
| Maturity | SOC (g·kg−1) | 10.00 ± 0.08 a | 9.96 ± 0.07 a | 9.61 ± 0.13 bc | 9.96 ± 0.33 a | 9.53 ± 0.24 bc | 10.05 ± 0.14 a | 9.65 ± 0.14 b | 9.42 ± 0.11 c |
| TN (g·kg−1) | 1.09 ± 0.03 abc | 1.07 ± 0.03 bc | 1.07 ± 0.01 bc | 1.1 ± 0.01 ab | 1.06 ± 0.03 c | 1.09 ± 0.03 ab | 1.12 ± 0.02 a | 1.11 ± 0.04 a | |
| TP (g·kg−1) | 1.44 ± 0.02 c | 1.52 ± 0.04 a | 1.48 ± 0.02 abc | 1.51 ± 0.03 ab | 1.49 ± 0.04 ab | 1.43 ± 0.07 c | 1.46 ± 0.04 bc | 1.52 ± 0.04 a | |
| AP (mg·kg−1) | 11.72 ± 0.52 c | 12.09 ± 0.36 c | 14.61 ± 0.80 b | 11.72 ± 0.72 c | 16.63 ± 2.23 a | 12.27 ± 1.00 c | 14.28 ± 1.33 b | 15.30 ± 0.74 b | |
| NO3−-N (mg∙kg−1) | 2.32 ± 0.47 d | 2.03 ± 0.59 d | 8.94 ± 4.51 c | 11.92 ± 4.58 bc | 7.03 ± 3.06 cd | 16.60 ± 4.40 b | 27.29 ± 7.74 a | 26.98 ± 5.87 a | |
| NH4+-N (mg∙kg−1) | 3.60 ± 1.25 bc | 3.78 ± 0.50 b | 3.74 ± 0.33 bc | 2.13 ± 0.23 c | 6.57 ± 3.67 a | 3.29 ± 0.23 bc | 3.14 ± 0.28 bc | 3.11 ± 0.38 bc | |
| AGB(g) | 80.81 ± 4.50 a | 77.84 ± 1.03 a | 56.77 ± 3.21 b | 50.76 ± 4.27 c | 60.27 ± 4.68 b | 50.44 ± 4.34 c | 35.22 ± 3.82 d | 36.93 ± 3.95 d | |
| RB(g) | 1.15 ± 0.19 a | 1.16 ± 0.20 a | 0.70 ± 0.11 bc | 0.85 ± 0.11 b | 0.85 ± 0.12 b | 0.79 ± 0.13 b | 0.49 ± 0.04 d | 0.56 ± 0.09 cd |
| Factor | BG-Q10 | CBH-Q10 | MU-Q10 | |||
|---|---|---|---|---|---|---|
| F | p | F | p | F | p | |
| GP | 68.62 | 0.000 ** | 58.41 | 0.000 ** | 129.49 | 0.000 ** |
| CO2 | 34.25 | 0.000 ** | 66.83 | 0.000 ** | 45.6 | 0.000 ** |
| T | 4.39 | 0.038 * | 2.86 | 0.093 | 25.6 | 0.000 ** |
| W | 0.88 | 0.35 | 8.54 | 0.004 ** | 12.11 | 0.001 ** |
| GP × CO2 | 14.03 | 0.000 ** | 37.28 | 0.000 ** | 20.18 | 0.000 ** |
| GP × T | 30.87 | 0.000 ** | 23.99 | 0.000 ** | 43.81 | 0.000 ** |
| GP × W | 13.11 | 0.000 ** | 9.92 | 0.000 ** | 9.19 | 0.000 ** |
| CO2 × T | 10.00 | 0.002 ** | 10.09 | 0.002 ** | 3.44 | 0.065 |
| CO2 × W | 3.73 | 0.055 | 34.13 | 0.000 ** | 18.93 | 0.000 ** |
| T × W | 39.74 | 0.000 ** | 0.29 | 0.592 | 12.24 | 0.001 ** |
| GP × CO2 × T | 36.71 | 0.000 ** | 1.56 | 0.201 | 9.48 | 0.000 ** |
| GP × CO2 × W | 12.63 | 0.000 ** | 14.29 | 0.000 ** | 26.27 | 0.000 ** |
| GP × T × W | 26.13 | 0.000 ** | 29.62 | 0.000 ** | 45.35 | 0.000 ** |
| CO2 × T × W | 12.27 | 0.001 ** | 15.6 | 0.000 ** | 1.19 | 0.276 |
| GP × CO2 × T × W | 42.74 | 0.000 ** | 11.6 | 0.000 ** | 59.85 | 0.000 ** |
| Factor | NAG-Q10 | ALA-Q10 | LAP-Q10 | AP-Q10 | ||||
|---|---|---|---|---|---|---|---|---|
| F | p | F | p | F | p | F | p | |
| GP | 12.14 | 0.000 ** | 154.51 | 0.000 ** | 95.45 | 0.000 ** | 408.53 | 0.000 ** |
| CO2 | 3.3 | 0.071 | 72.78 | 0.000 ** | 57.26 | 0.000 ** | 12.65 | 0.000 ** |
| T | 46.86 | 0.000 ** | 4.55 | 0.034 * | 7.49 | 0.007 ** | 343.93 | 0.000 ** |
| W | 21.88 | 0.000 ** | 26.15 | 0.000 ** | 58.56 | 0.000 ** | 27.88 | 0.000 ** |
| GP × CO2 | 44.08 | 0.000 ** | 12.76 | 0.000 ** | 84 | 0.000 ** | 27.02 | 0.000 ** |
| GP × T | 71.77 | 0.000 ** | 87.97 | 0.000 ** | 40.78 | 0.000 ** | 127.21 | 0.000 ** |
| GP × W | 18.5 | 0.000 ** | 43.35 | 0.000 ** | 42.32 | 0.000 ** | 95.19 | 0.000 ** |
| CO2 × T | 10.67 | 0.001 ** | 48.16 | 0.000 ** | 44.23 | 0.000 ** | 2.78 | 0.097 |
| CO2 × W | 3.05 | 0.083 | 102.49 | 0.000 ** | 111.68 | 0.000 ** | 1.29 | 0.257 |
| T × W | 14.65 | 0.000 ** | 144.99 | 0.000 ** | 11.27 | 0.001 ** | 6.59 | 0.011 * |
| GP × CO2 × T | 55.47 | 0.000 ** | 94.15 | 0.000 ** | 130.4 | 0.000 ** | 80.32 | 0.000 ** |
| GP × CO2 × W | 35.02 | 0.000 ** | 92.27 | 0.000 ** | 49.75 | 0.000 ** | 40.13 | 0.000 ** |
| GP × T × W | 23.91 | 0.000 ** | 41.24 | 0.000 ** | 39.45 | 0.000 ** | 41.84 | 0.000 ** |
| CO2 × T × W | 0 | 0.944 | 61.48 | 0.000 ** | 1.34 | 0.249 | 0.13 | 0.721 |
| GP × CO2 × T × W | 56.6 | 0.000 ** | 25.12 | 0.000 ** | 20.83 | 0.000 ** | 58.79 | 0.000 ** |
| Factor | C-Cycle-Related Enzymes | N- and P-Cycle-Related Enzymes | ||
|---|---|---|---|---|
| Explains Rate (%) | p | Explains Rate (%) | p | |
| AGB | 14.6 | 0.002 | 2 | 0.002 |
| RB | 2.6 | 0.01 | 0.3 | 0.458 |
| AP | 0.3 | 0.462 | 1 | 0.07 |
| NO3− | 1.7 | 0.026 | 1.7 | 0.018 |
| NH4+ | 1.3 | 0.048 | 0.2 | 0.746 |
| SOC | 0.4 | 0.346 | 15.1 | 0.002 |
| TP | 0.8 | 0.128 | 0.7 | 0.156 |
| TN | <0.1 | 0.926 | 0.5 | 0.27 |
| DOC | 0.2 | 0.616 | 0.6 | 0.174 |
| WSN | 1.6 | 0.038 | 2.5 | 0.002 |
| WSP | 1.1 | 0.088 | 6.5 | 0.002 |
Disclaimer/Publisher’s Note: The statements, opinions and data contained in all publications are solely those of the individual author(s) and contributor(s) and not of MDPI and/or the editor(s). MDPI and/or the editor(s) disclaim responsibility for any injury to people or property resulting from any ideas, methods, instructions or products referred to in the content. |
© 2025 by the authors. Licensee MDPI, Basel, Switzerland. This article is an open access article distributed under the terms and conditions of the Creative Commons Attribution (CC BY) license (https://creativecommons.org/licenses/by/4.0/).
Share and Cite
Jiang, Y.; Lu, B.; Liang, M.; Wu, Y.; Li, Y.; Zhao, Z.; Liu, G.; Xue, S. Temperature Sensitivity Response of Soil Enzyme Activity to Simulated Climate Change at Growth Stages of Winter Wheat. Agronomy 2025, 15, 106. https://doi.org/10.3390/agronomy15010106
Jiang Y, Lu B, Liang M, Wu Y, Li Y, Zhao Z, Liu G, Xue S. Temperature Sensitivity Response of Soil Enzyme Activity to Simulated Climate Change at Growth Stages of Winter Wheat. Agronomy. 2025; 15(1):106. https://doi.org/10.3390/agronomy15010106
Chicago/Turabian StyleJiang, Yaokun, Bingbing Lu, Meng Liang, Yang Wu, Yuanze Li, Ziwen Zhao, Guobin Liu, and Sha Xue. 2025. "Temperature Sensitivity Response of Soil Enzyme Activity to Simulated Climate Change at Growth Stages of Winter Wheat" Agronomy 15, no. 1: 106. https://doi.org/10.3390/agronomy15010106
APA StyleJiang, Y., Lu, B., Liang, M., Wu, Y., Li, Y., Zhao, Z., Liu, G., & Xue, S. (2025). Temperature Sensitivity Response of Soil Enzyme Activity to Simulated Climate Change at Growth Stages of Winter Wheat. Agronomy, 15(1), 106. https://doi.org/10.3390/agronomy15010106
