N-Acetylcysteine Mitigates Oxidative Stress Induced by Transplanting Lettuce Seedlings into a DFT Hydroponic System
Abstract
1. Introduction
2. Materials and Methods
2.1. Experimental Conditions
2.2. Measurement of Hydrogen Peroxide
2.3. Histochemical Detection of Hydrogen Peroxide and Lipid Peroxidation
2.4. Measurement of the Thiobarbituric Acid Reaction Content
2.5. Measurement of Total Phenolic Content
2.6. Measurement of DPPH Radical Scavenging Capacity
2.7. Measurement of Nitrate Cont
2.8. Data Analysis
3. Results
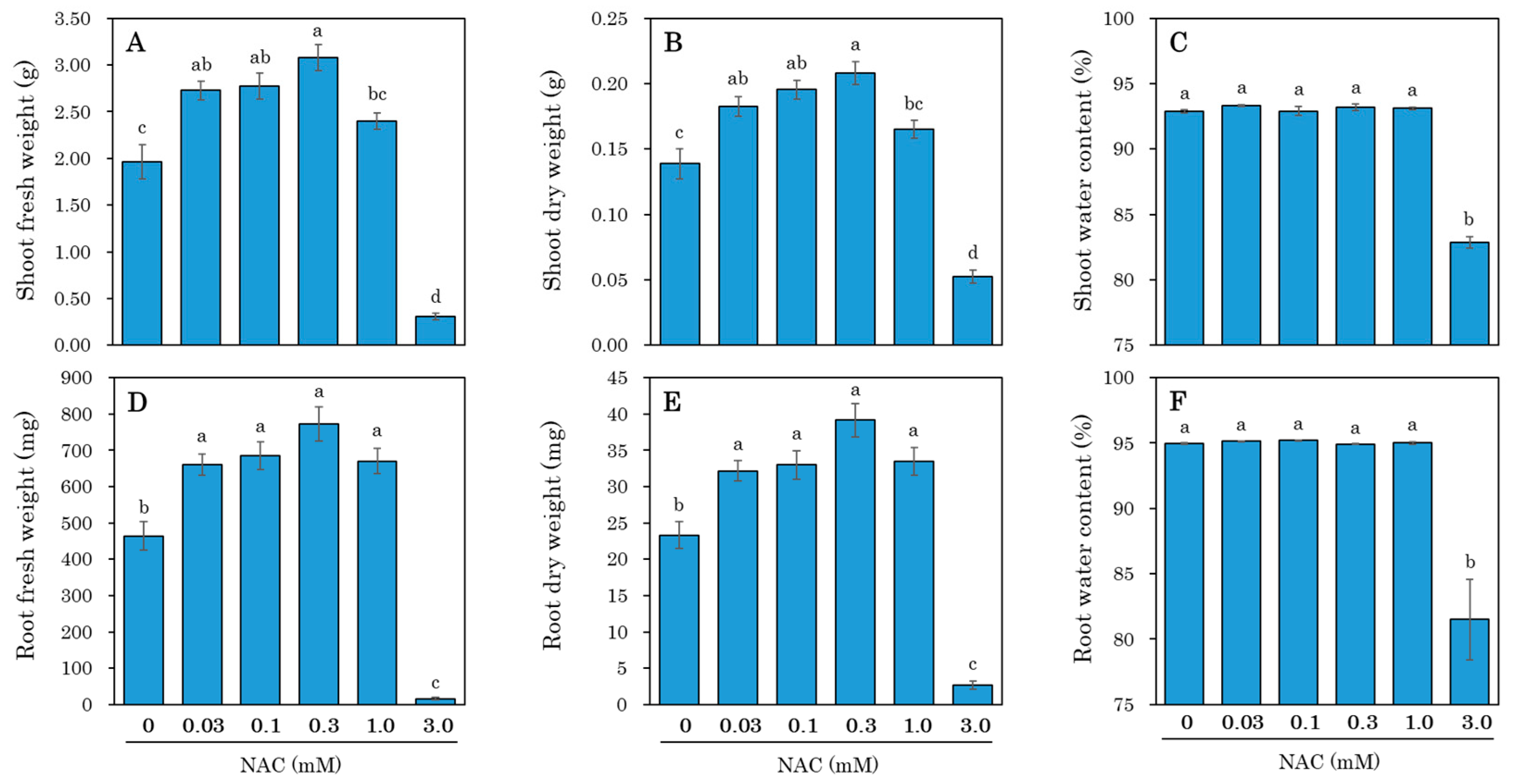
3.1. Effect of Various NAC Concentrations on the Growth of Lettuce
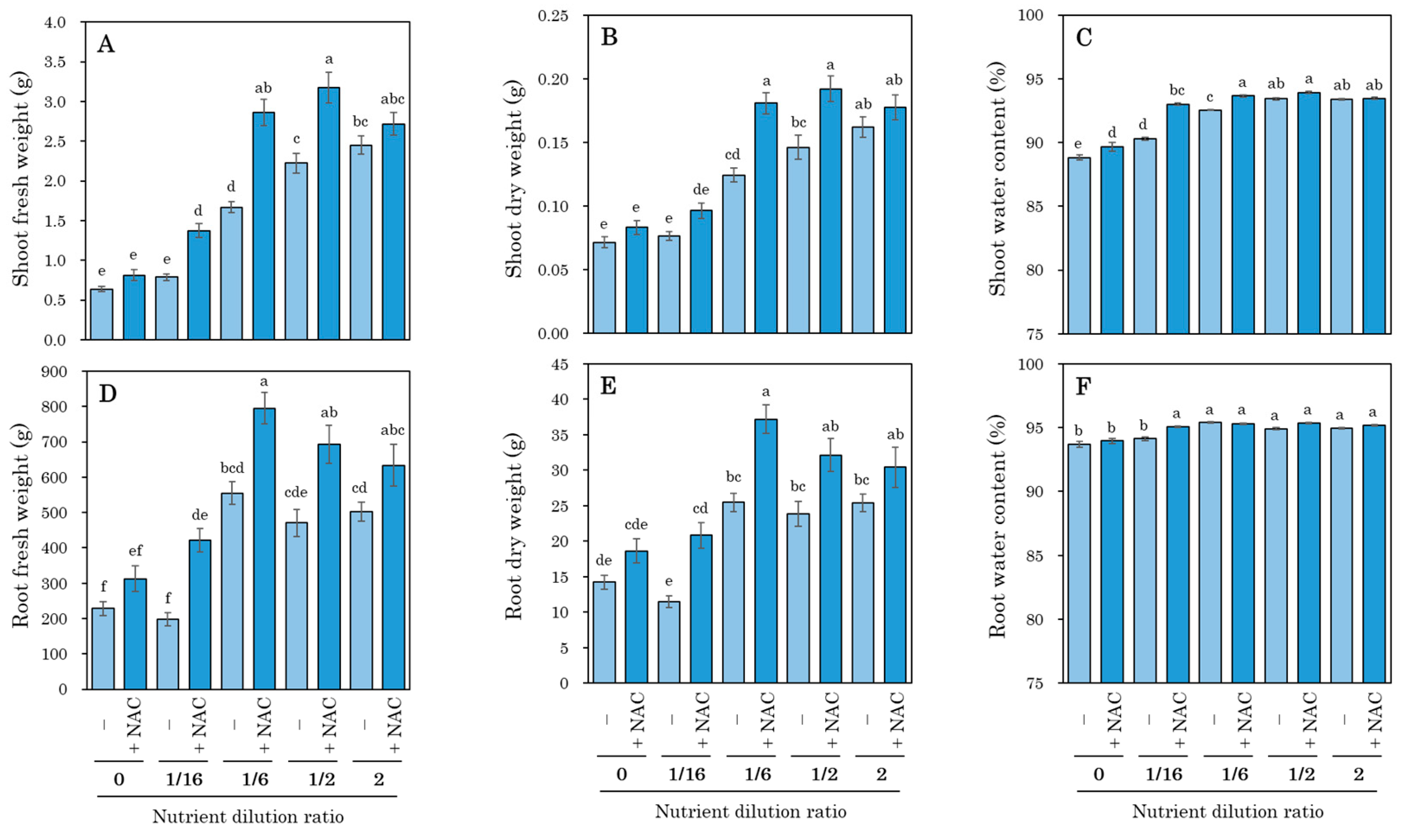
3.2. Effect of Various Nutrient Concentrations on the Growth-Promoting Effect of NAC
3.3. Effect of NAC on the Production of Hydrogen Peroxide in the Roots
3.4. Effect of NAC on the Lipid Peroxidation in the Roots and Leaves
3.5. Effect of NAC on the Total Phenolic Content and DPPH Radical Scavenging Capacity in the Roots and Leaves
3.6. Effect of NAC on the Nitrate Content in the Roots and Leaves
4. Discussion
5. Conclusions
Supplementary Materials
Author Contributions
Funding
Data Availability Statement
Conflicts of Interest
References
- Suzuki, N.; Koussevitzky, S.; Mittler, R.; Miller, G. ROS and redox signalling in the response of plants to abiotic stress. Plant Cell Environ. 2011, 35, 259–270. [Google Scholar] [CrossRef] [PubMed]
- Waszczak, C.; Carmody, M.; Kangasjärvi, J. Reactive Oxygen Species in Plant Signaling. Annu. Rev. Plant Biol. 2018, 69, 209–236. [Google Scholar] [CrossRef] [PubMed]
- Banerjee, A.; Roychoudhury, A. Abiotic Stress, Generation of Reactive Oxygen Species, and Their Consequences: An Overview. In Reactive Oxygen Species in Plants; Wiley: Hoboken, NJ, USA, 2017; pp. 23–50. ISBN 978-1-119-28729-2. [Google Scholar]
- Bechtold, U.; Field, B. Molecular Mechanisms Controlling Plant Growth during Abiotic Stress. J. Exp. Bot. 2018, 69, 2753–2758. [Google Scholar] [CrossRef]
- Ashraf, M.A. Waterlogging Stress in Plants: A Review. Afr. J. Agric. Res. 2012, 7, 1976–1981. [Google Scholar] [CrossRef]
- Wang, Y.; Ye, H.; Gao, K.; Li, G.; Xu, Q.; Deng, X.; Li, J.; Mei, F.; Zhou, Z. The Opening of Mitochondrial Permeability Transition Pore (mPTP) and the Inhibition of Electron Transfer Chain (ETC) Induce Mitophagy in Wheat Roots under Waterlogging Stress. Protoplasma 2023, 260, 1179–1191. [Google Scholar] [CrossRef]
- Jamei, R.; Heidari, R.; Khara, J.; Zare, S. Hypoxia Induced Changes in the Lipid Peroxidation, Membrane Permeability, Reactive Oxygen Species Generation, and Antioxidative Response Systems in Zea mays Leaves. Turk. J. Biol. 2009, 33, 45–52. [Google Scholar] [CrossRef]
- Verma, K.; Singh, M.; Gupta, R.; Verma, C. Photosynthetic Gas Exchange, Chlorophyll Fluorescence, Antioxidant Enzymes, and Growth Responses of Jatropha Curcas during Soil Flooding. Turk. J. Bot. 2014, 38, 130–140. [Google Scholar] [CrossRef]
- Pimentel, P.; Almada, R.D.; Salvatierra, A.; Toro, G.; Arismendi, M.J.; Pino, M.T.; Sagredo, B.; Pinto, M. Physiological and Morphological Responses of Prunus Species with Different Degree of Tolerance to Long-Term Root Hypoxia. Sci. Hortic. 2014, 180, 14–23. [Google Scholar] [CrossRef]
- Aldini, G.; Altomare, A.; Baron, G.; Vistoli, G.; Carini, M.; Borsani, L.; Sergio, F. N-Acetylcysteine as an Antioxidant and Disulphide Breaking Agent: The Reasons Why. Free Radic. Res. 2018, 52, 751–762. [Google Scholar]
- Dodd, S.; Dean, O.; Copolov, D.L.; Malhi, G.S.; Berk, M. N-Acetylcysteine for Antioxidant Therapy: Pharmacology and Clinical Utility. Expert Opin. Biol. Ther. 2008, 8, 1955–1962. [Google Scholar] [CrossRef]
- Dhouib, E.I.; Jallouli, M.; Annabi, A.; Gharbi, N.; Elfazaa, S.; Lasram, M.M. A Minireview on N-Acetylcysteine: An Old Drug with New Approaches. Life Sci. 2016, 151, 359–363. [Google Scholar] [CrossRef]
- Livanos, P.; Apostolakos, P.; Galatis, B. Plant Cell Division: ROS Homeostasis Is Required. Plant Signal. Behav. 2012, 7, 771–778. [Google Scholar] [CrossRef] [PubMed]
- Ishibashi, Y.; Koda, Y.; Zheng, S.-H.; Yuasa, T.; Iwaya-Inoue, M. Regulation of Soybean Seed Germination through Ethylene Production in Response to Reactive Oxygen Species. Ann. Bot. 2013, 111, 95–102. [Google Scholar] [CrossRef]
- Sakamoto, M.; Tada, Y.; Nakayashiki, H.; Tosa, Y.; Mayama, S. Two Phases of Intracellular Reactive Oxygen Species Production during Victorin-Induced Cell Death in Oats. J. Gen. Plant Pathol. 2005, 71, 387–394. [Google Scholar] [CrossRef]
- Sakamoto, M.; Munemura, I.; Tomita, R.; Kobayashi, K. Involvement of Hydrogen Peroxide in Leaf Abscission Signaling, Revealed by Analysis with an in Vitro Abscission System in Capsicum Plants. Plant J. 2008, 56, 13–27. [Google Scholar] [CrossRef] [PubMed]
- Colak, N.; Torun, H.; Gruz, J.; Strnad, M.; Ayaz, F.A. Exogenous N-Acetylcysteine Alleviates Heavy Metal Stress by Promoting Phenolic Acids to Support Antioxidant Defence Systems in Wheat Roots. Ecotoxicol. Environ. Saf. 2019, 181, 49–59. [Google Scholar] [CrossRef]
- Iriti, M.; Castorina, G.; Picchi, V.; Faoro, F.; Gomarasca, S. Acute Exposure of the Aquatic Macrophyte Callitriche Obtusangula to the Herbicide Oxadiazon: The Protective Role of N-Acetylcysteine. Chemosphere 2009, 74, 1231–1237. [Google Scholar] [CrossRef]
- Malanga, G.; Kozak, R.G.; Puntarulo, S. N-Acetylcysteine-Dependent Protection against UV-B Damage in Two Photosynthetic Organisms. Plant Sci. 1999, 141, 129–137. [Google Scholar] [CrossRef]
- Munirah, N.; Mat, N.; Jahan, M. N-Acetylcysteine and Zn Regulate Corn Yield. Sci. Asia 2015, 41, 246–250. [Google Scholar] [CrossRef]
- Nozulaidi, M.; Jahan, M.; Khairi, M.; Khandaker, M.; Nashriyah, M.; Khanif, Y. N-Acetylcysteine Increased Rice Yield. Turk. J. Agric. For. 2015, 39, 204–211. [Google Scholar] [CrossRef]
- Syuhada, N.; Jahan, M.S. Glutathione Functions on Physiological Characters to Increase Copper-Induced Corn Production. Russ. Agricult. Sci. 2016, 42, 5–10. [Google Scholar] [CrossRef]
- Sauvage, J.; Wikfors, G.H.; Li, X.; Gluis, M.; Nevejan, N.; Sabbe, K.; Joyce, A. Effect of Pluronic Block Polymers and N-Acetylcysteine Culture Media Additives on Growth Rate and Fatty Acid Composition of Six Marine Microalgae Species. Appl. Microbiol. Biotechnol. 2021, 105, 2139–2156. [Google Scholar] [CrossRef] [PubMed]
- Elkazzaz, A. Soilless Agriculture a New and Advanced Method for Agriculture Development: An Introduction. Agric. Res. Technol. Open Access J. 2017, 3, 63–72. [Google Scholar] [CrossRef]
- Soffer, H.; Burger, D.W. Effects of Dissolved Oxygen Concentrations in Aero-Hydroponics on the Formation and Growth of Adventitious Roots. J. Amer. Soc. Hort. Sci. 1988, 113, 218–221. [Google Scholar] [CrossRef]
- Assimakopoulou, A.; Kotsiras, A.; Nifakos, K. Incidence of Lettuce Tipburn as Related to Hydroponic System and Cultivar. J. Plant Nutr. 2013, 36, 1383–1400. [Google Scholar] [CrossRef]
- Park, J.-S.; Kurata, K. Application of Microbubbles to Hydroponics Solution Promotes Lettuce Growth. HortTechnology 2009, 19, 212–215. [Google Scholar] [CrossRef]
- Park, J.S.; Ohashi, K.; Kurata, K.; Lee, J.W. Promotion of Lettuce Growth by Application of Microbubbles in Nutrient Solution Using Different Rates of Electrical Conductivity and under Periodic Intermittent Generation in a Deep Flow Technique Culture System. Eur. J. Hortic. Sci. 2010, 75, 198. [Google Scholar]
- Bai, T.; Li, C.; Ma, F.; Feng, F.; Shu, H. Responses of Growth and Antioxidant System to Root-Zone Hypoxia Stress in Two Malus Species. Plant Soil 2010, 327, 95–105. [Google Scholar] [CrossRef]
- Machuca Vargas, A.; Silveira Gómez, A.C.; Hernández-Adasme, C.; Escalona Contreras, V.H. Effect of the Ozone Application in the Nutrient Solution and the Yield and Oxidative Stress of Hydroponic Baby Red Chard. Horticulturae 2023, 9, 1234. [Google Scholar] [CrossRef]
- Peláez-Vico, M.Á.; Tukuli, A.; Singh, P.; Mendoza-Cózatl, D.G.; Joshi, T.; Mittler, R. Rapid Systemic Responses of Arabidopsis to Waterlogging Stress. Plant Physiol. 2023, 193, 2215–2231. [Google Scholar] [CrossRef]
- Sakamoto, M.; Suzuki, T. Effect of Nutrient Solution Concentration on the Growth of Hydroponic Sweetpotato. Agronomy 2020, 10, 1708. [Google Scholar] [CrossRef]
- Sakamoto, M.; Suzuki, T. Synergistic Effects of a Night Temperature Shift and Methyl Jasmonate on the Production of Anthocyanin in Red Leaf Lettuce. Am. J. Plant Sci. 2017, 08, 1534. [Google Scholar] [CrossRef][Green Version]
- Sakamoto, M.; Suzuki, T. Methyl Jasmonate and Salinity Increase Anthocyanin Accumulation in Radish Sprouts. Horticulturae 2019, 5, 62. [Google Scholar] [CrossRef]
- Chen, Y.; Mo, H.-Z.; Zheng, M.-Y.; Xian, M.; Qi, Z.-Q.; Li, Y.-Q.; Hu, L.-B.; Chen, J.; Yang, L.-F. Selenium Inhibits Root Elongation by Repressing the Generation of Endogenous Hydrogen Sulfide in Brassica Rapa. PLoS ONE 2014, 9, e110904. [Google Scholar] [CrossRef]
- Sakamoto, M.; Komatsu, Y.; Suzuki, T. Nutrient Deficiency Affects the Growth and Nitrate Concentration of Hydroponic Radish. Horticulturae 2021, 7, 525. [Google Scholar] [CrossRef]
- Dat, J.F.; Capelli, N.; Folzer, H.; Bourgeade, P.; Badot, P.-M. Sensing and Signalling during Plant Flooding. Plant Physiol. Biochem. 2004, 42, 273–282. [Google Scholar] [CrossRef] [PubMed]
- Jackson, M.B.; Colmer, T.D. Response and Adaptation by Plants to Flooding Stress. Ann. Bot. 2005, 96, 501–505. [Google Scholar] [CrossRef]
- Kuźniak, E.; Urbanek, H. The Involvement of Hydrogen Peroxide in Plant Responses to Stresses. Acta Physiol. Plant. 2000, 22, 195–203. [Google Scholar] [CrossRef]
- Valifard, M.; Mohsenzadeh, S.; Kholdebarin, B.; Rowshan, V. Effects of Salt Stress on Volatile Compounds, Total Phenolic Content and Antioxidant Activities of Salvia mirzayanii. S. Afr. J. Bot. 2014, 93, 92–97. [Google Scholar] [CrossRef]
- Gharibi, S.; Tabatabaei, B.E.S.; Saeidi, G.; Goli, S.A.H. Effect of Drought Stress on Total Phenolic, Lipid Peroxidation, and Antioxidant Activity of Achillea Species. Appl. Biochem. Biotechnol. 2016, 178, 796–809. [Google Scholar] [CrossRef]
- Zeng, M.; van Dam, N.M.; Hause, B. MtEIN2 Affects Nitrate Uptake and Accumulation of Photosynthetic Pigments under Phosphate and Nitrate Deficiency in Medicago truncatula. Physiol. Plant. 2023, 175, e13899. [Google Scholar] [CrossRef]
- Ikeura, H.; Tsukada, K.; Tamaki, M. Effect of Microbubbles in Deep Flow Hydroponic Culture on Spinach Growth. J. Plant Nutr. 2017, 40, 2358–2364. [Google Scholar] [CrossRef]
- Yang, X.; Fan, J.; Ge, J.; Luo, Z. Effect of Irrigation with Activated Water on Root Morphology of Hydroponic Rice and Wheat Seedlings. Agronomy 2022, 12, 1068. [Google Scholar] [CrossRef]
- Tsutsumi, H.; Higashi, R.; Kinugasa, T. A New Technique to Realize a Drastic Acceleration of Crop Growth in the DFT Hydroponic Cultivation with Hyper-Oxygenated Nutrient Solution. J. Hortic. 2020, 7, 1–7. [Google Scholar]
- Que, F.; Wang, G.-L.; Feng, K.; Xu, Z.-S.; Wang, F.; Xiong, A.-S. Hypoxia Enhances Lignification and Affects the Anatomical Structure in Hydroponic Cultivation of Carrot Taproot. Plant Cell Rep. 2018, 37, 1021–1032. [Google Scholar] [CrossRef]
- He, W.; Zhong, Q.; He, B.; Wu, B.; Mohi Ud Din, A.; Han, J.; Ding, Y.; Liu, Z.; Li, W.; Jiang, Y.; et al. N-Acetylcysteine Priming Alleviates the Transplanting Injury of Machine-Transplanted Rice by Comprehensively Promoting Antioxidant and Photosynthetic Systems. Plants 2022, 11, 1311. [Google Scholar] [CrossRef] [PubMed]
- Zhang, R.D.; Zhou, Y.F.; Yue, Z.X.; Chen, X.F.; Cao, X.; Xu, X.X.; Xing, Y.F.; Jiang, B.; Ai, X.Y.; Huang, R.D. Changes in Photosynthesis, Chloroplast Ultrastructure, and Antioxidant Metabolism in Leaves of Sorghum under Waterlogging Stress. Photosynthetica 2019, 57, 1076–1083. [Google Scholar] [CrossRef]
- Xiao, Y.; Wu, X.; Sun, M.; Peng, F. Hydrogen Sulfide Alleviates Waterlogging-Induced Damage in Peach Seedlings via Enhancing Antioxidative System and Inhibiting Ethylene Synthesis. Front. Plant Sci. 2020, 11, 696. [Google Scholar] [CrossRef]
- Pan, J.; Sharif, R.; Xu, X.; Chen, X. Mechanisms of Waterlogging Tolerance in Plants: Research Progress and Prospects. Front. Plant Sci. 2021, 11, 627331. [Google Scholar] [CrossRef]
- Tang, B.; Xu, S.; Zou, X.; Zheng, Y.; Qiu, F. Changes of Antioxidative Enzymes and Lipid Peroxidation in Leaves and Roots of Waterlogging-Tolerant and Waterlogging-Sensitive Maize Genotypes at Seedling Stage. Agric. Sci. China 2010, 9, 651–661. [Google Scholar] [CrossRef]
- Doupis, G.; Kavroulakis, N.; Psarras, G.; Papadakis, I.E. Growth, Photosynthetic Performance and Antioxidative Response of ‘Hass’ and ‘Fuerte’ Avocado (Persea Americana Mill.) Plants Grown under High Soil Moisture. Photosynthetica 2017, 55, 655–663. [Google Scholar] [CrossRef]
- Ates, B.; Abraham, L.; Ercal, N. Antioxidant and Free Radical Scavenging Properties of N-Acetylcysteine Amide (NACA) and Comparison with N-Acetylcysteine (NAC). Free. Radic. Res. 2008, 42, 372–377. [Google Scholar] [CrossRef] [PubMed]
- Sun, Y.; Pu, L.-Y.; Lu, L.; Wang, X.-H.; Zhang, F.; Rao, J.-H. N-Acetylcysteine Attenuates Reactive-Oxygen-Species-Mediated Endoplasmic Reticulum Stress during Liver Ischemia-Reperfusion Injury. World J. Gastroenterol. 2014, 20, 15289–15298. [Google Scholar] [CrossRef] [PubMed]
- Dorion, S.; Ouellet, J.C.; Rivoal, J. Glutathione Metabolism in Plants under Stress: Beyond Reactive Oxygen Species Detoxification. Metabolites 2021, 11, 641. [Google Scholar] [CrossRef] [PubMed]
- Queval, G.; Thominet, D.; Vanacker, H.; Miginiac-Maslow, M.; Gakière, B.; Noctor, G. H2O2-Activated Up-Regulation of Glutathione in Arabidopsis Involves Induction of Genes Encoding Enzymes Involved in Cysteine Synthesis in the Chloroplast. Mol. Plant 2009, 2, 344–356. [Google Scholar] [CrossRef]
- Cheng, M.-C.; Ko, K.; Chang, W.-L.; Kuo, W.-C.; Chen, G.-H.; Lin, T.-P. Increased Glutathione Contributes to Stress Tolerance and Global Translational Changes in Arabidopsis. Plant J. 2015, 83, 926–939. [Google Scholar] [CrossRef]
- Dubreuil-Maurizi, C.; Vitecek, J.; Marty, L.; Branciard, L.; Frettinger, P.; Wendehenne, D.; Meyer, A.J.; Mauch, F.; Poinssot, B. Glutathione Deficiency of the Arabidopsis Mutant Pad2-1 Affects Oxidative Stress-Related Events, Defense Gene Expression, and the Hypersensitive Response. Plant Physiol. 2011, 157, 2000–2012. [Google Scholar] [CrossRef]
- McLaughlin, J.E.; Bin-Umer, M.A.; Widiez, T.; Finn, D.; McCormick, S.; Tumer, N.E. A Lipid Transfer Protein Increases the Glutathione Content and Enhances Arabidopsis Resistance to a Trichothecene Mycotoxin. PLoS ONE 2015, 10, e0130204. [Google Scholar] [CrossRef]
- Deng, X.; Xia, Y.; Hu, W.; Zhang, H.; Shen, Z. Cadmium-Induced Oxidative Damage and Protective Effects of N-Acetyl-l-Cysteine against Cadmium Toxicity in Solanum Nigrum L. J. Hazard. Mater. 2010, 180, 722–729. [Google Scholar] [CrossRef]
- Mansfield, K.D.; Simon, M.C.; Keith, B. Hypoxic Reduction in Cellular Glutathione Levels Requires Mitochondrial Reactive Oxygen Species. J. Appl. Physiol. 2004, 97, 1358–1366. [Google Scholar] [CrossRef]
- Biemelt, S.; Albrecht, G.; Wiedenroth, E.-M. The Effect of Post-Hypoxia on Roots inSenecio andMyosotis Species Related to the Glutathione System. Folia Geobot. 1996, 31, 65–72. [Google Scholar] [CrossRef]
- Garnczarska, M. Response of the Ascorbate–Glutathione Cycle to Re-Aeration Following Hypoxia in Lupine Roots. Plant Physiol. Biochem. 2005, 43, 583–590. [Google Scholar] [CrossRef] [PubMed]
- Geshnizjani, N.; Khosh-khui, M. Promoted Growth and Improved Quality of Gerbera Jamesonni L. Flowers Using Exogenous Application of Amino Acids. Int. J. Hortic. Sci. Technol. 2016, 3, 155–166. [Google Scholar] [CrossRef]
- Noroozlo, Y.A.; Souri, M.K.; Delshad, M. Stimulation Effects of Foliar Applied Glycine and Glutamine Amino Acids on Lettuce Growth. Open Agric. 2019, 4, 164–172. [Google Scholar] [CrossRef]
- Khan, S.; Yu, H.; Li, Q.; Gao, Y.; Sallam, B.N.; Wang, H.; Liu, P.; Jiang, W. Exogenous Application of Amino Acids Improves the Growth and Yield of Lettuce by Enhancing Photosynthetic Assimilation and Nutrient Availability. Agronomy 2019, 9, 266. [Google Scholar] [CrossRef]
- Limami, A.M.; Diab, H.; Lothier, J. Nitrogen Metabolism in Plants under Low Oxygen Stress. Planta 2014, 239, 531–541. [Google Scholar] [CrossRef] [PubMed]
- Klok, E.J.; Wilson, I.W.; Wilson, D.; Chapman, S.C.; Ewing, R.M.; Somerville, S.C.; Peacock, W.J.; Dolferus, R.; Dennis, E.S. Expression Profile Analysis of the Low-Oxygen Response in Arabidopsis Root Cultures. Plant Cell 2002, 14, 2481–2494. [Google Scholar] [CrossRef]
- Tong, J.; Walk, T.C.; Han, P.; Chen, L.; Shen, X.; Li, Y.; Gu, C.; Xie, L.; Hu, X.; Liao, X.; et al. Genome-Wide Identification and Analysis of High-Affinity Nitrate Transporter 2 (NRT2) Family Genes in Rapeseed (Brassica napus L.) and Their Responses to Various Stresses. BMC Plant Biol. 2020, 20, 464. [Google Scholar] [CrossRef]
- Timilsina, A.; Dong, W.; Hasanuzzaman, M.; Liu, B.; Hu, C. Nitrate–Nitrite–Nitric Oxide Pathway: A Mechanism of Hypoxia and Anoxia Tolerance in Plants. Int. J. Mol. Sci. 2022, 23, 11522. [Google Scholar] [CrossRef]
- Sharma, A.; Soares, C.; Sousa, B.; Martins, M.; Kumar, V.; Shahzad, B.; Sidhu, G.P.S.; Bali, A.S.; Asgher, M.; Bhardwaj, R.; et al. Nitric Oxide-Mediated Regulation of Oxidative Stress in Plants under Metal Stress: A Review on Molecular and Biochemical Aspects. Physiol. Plant. 2020, 168, 318–344. [Google Scholar] [CrossRef]
- Raghu, G.; Berk, M.; Campochiaro, P.A.; Jaeschke, H.; Marenzi, G.; Richeldi, L.; Wen, F.-Q.; Nicoletti, F.; Calverley, P.M.A. The Multifaceted Therapeutic Role of N-Acetylcysteine (NAC) in Disorders Characterized by Oxidative Stress. Curr. Neuropharmacol. 2021, 19, 1202–1224. [Google Scholar] [CrossRef]
- Alhasan, H.; Çakir, E.; Çömelekoğlu, Ü.; Çakir, E.E. Cytotoxic Effect of N-Acetyl Cysteine in DU145 Human Prostate Cancer Cells. Sanat 2019, 23, 1123–1130. [Google Scholar] [CrossRef]
- Liu, Y.; Liu, K.; Wang, N.; Zhang, H. N-acetylcysteine Induces Apoptosis via the Mitochondria-dependent Pathway but Not via Endoplasmic Reticulum Stress in H9c2 Cells. Mol. Med. Rep. 2017, 16, 6626–6633. [Google Scholar] [CrossRef] [PubMed]
- Tsai, M.-S.; Liou, G.-G.; Liao, J.-W.; Lai, P.-Y.; Yang, D.-J.; Wu, S.-H.; Wang, S.-H. N-Acetyl Cysteine Overdose Induced Acute Toxicity and Hepatic Microvesicular Steatosis by Disrupting GSH and Interfering Lipid Metabolisms in Normal Mice. Antioxidants 2024, 13, 832. [Google Scholar] [CrossRef] [PubMed]
- Ryu, H.Y.; Kim, S.Y.; Park, H.M.; You, J.Y.; Kim, B.H.; Lee, J.S.; Nam, K.H. Modulations of AtGSTF10 Expression Induce Stress Tolerance and BAK1-Mediated Cell Death. Biochem. Biophys. Res. Commun. 2009, 379, 417–422. [Google Scholar] [CrossRef] [PubMed]
- Seon, J.-H.; Cui, Y.-Y.; Kozai, T.; Paek, K.-Y. Influence of in Vitro Growth Conditions on Photosynthetic Competence and Survival Rate of Rehmannia Glutinosa Plantlets during Acclimatization Period. Plant Cell Tissue Organ Cult. 2000, 61, 135–142. [Google Scholar] [CrossRef]
- Hasanuzzaman, M.; Nahar, K.; Anee, T.I.; Fujita, M. Glutathione in plants: Biosynthesis and physiological role in environmental stress tolerance. Physiol. Mol. Biol. Plants 2017, 23, 249–268. [Google Scholar] [CrossRef]









Disclaimer/Publisher’s Note: The statements, opinions and data contained in all publications are solely those of the individual author(s) and contributor(s) and not of MDPI and/or the editor(s). MDPI and/or the editor(s) disclaim responsibility for any injury to people or property resulting from any ideas, methods, instructions or products referred to in the content. |
© 2024 by the authors. Licensee MDPI, Basel, Switzerland. This article is an open access article distributed under the terms and conditions of the Creative Commons Attribution (CC BY) license (https://creativecommons.org/licenses/by/4.0/).
Share and Cite
Sakamoto, M.; Suzuki, T. N-Acetylcysteine Mitigates Oxidative Stress Induced by Transplanting Lettuce Seedlings into a DFT Hydroponic System. Agronomy 2024, 14, 2112. https://doi.org/10.3390/agronomy14092112
Sakamoto M, Suzuki T. N-Acetylcysteine Mitigates Oxidative Stress Induced by Transplanting Lettuce Seedlings into a DFT Hydroponic System. Agronomy. 2024; 14(9):2112. https://doi.org/10.3390/agronomy14092112
Chicago/Turabian StyleSakamoto, Masaru, and Takahiro Suzuki. 2024. "N-Acetylcysteine Mitigates Oxidative Stress Induced by Transplanting Lettuce Seedlings into a DFT Hydroponic System" Agronomy 14, no. 9: 2112. https://doi.org/10.3390/agronomy14092112
APA StyleSakamoto, M., & Suzuki, T. (2024). N-Acetylcysteine Mitigates Oxidative Stress Induced by Transplanting Lettuce Seedlings into a DFT Hydroponic System. Agronomy, 14(9), 2112. https://doi.org/10.3390/agronomy14092112

