Induction of Tetraploids in Phellodendron amurense Rupr. and Its Effects on Morphology and Alkaloid Content
Abstract
1. Introduction
2. Materials and Methods
2.1. Plant Materials and Growth Conditions
2.2. Colchicine Treatment
2.3. Detection of Ploidy Levels
2.4. Morphological and Anatomical Investigation
2.5. Determination of Alkaloid Contents by UPLC–MS/MS and Identification of Differentially Accumulated Alkaloids (DAAs)
3. Results
3.1. Tetraploid Induction by Colchicine Treatments
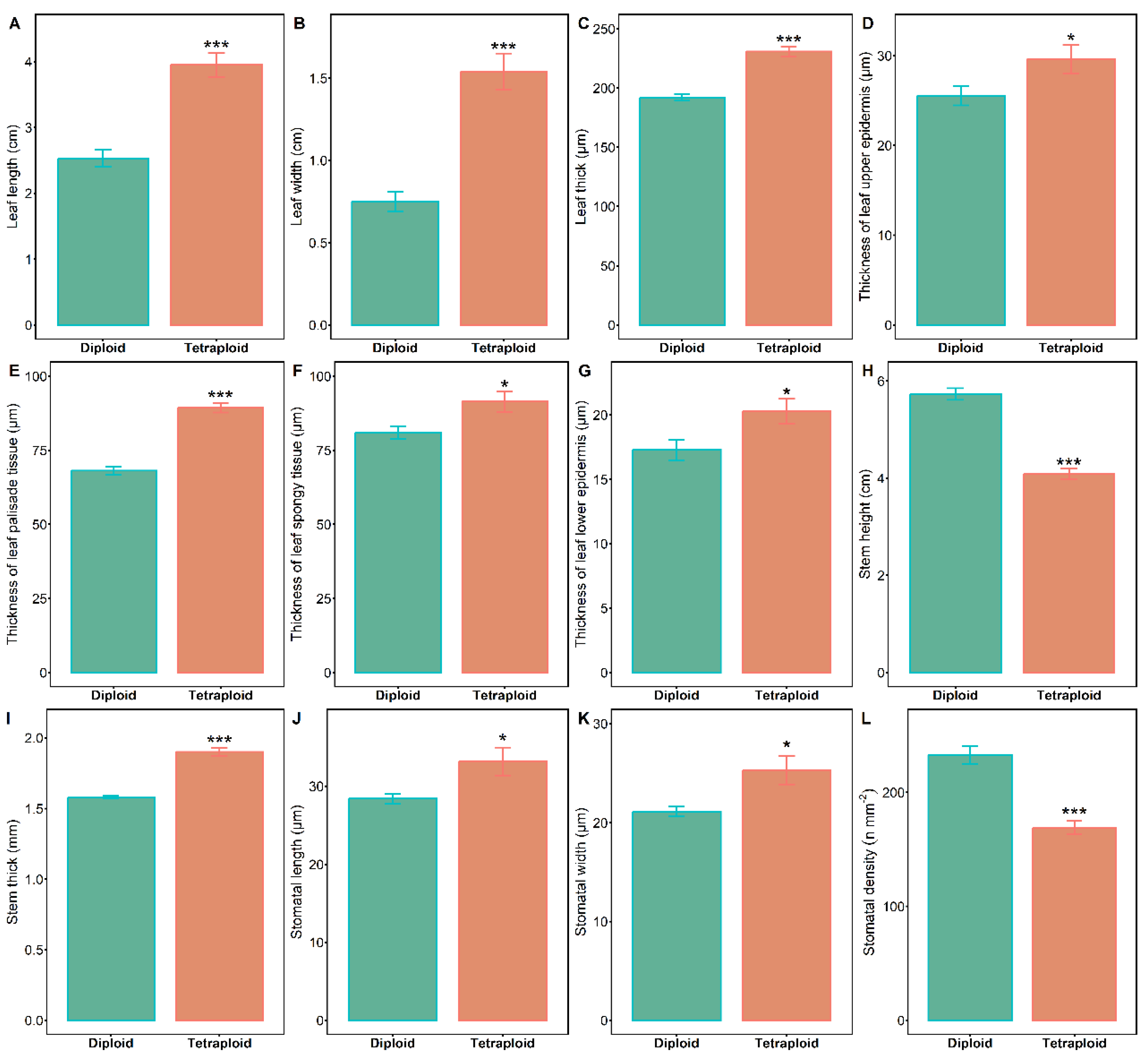
3.2. Ploidy-Related Variation in Morphology and Anatomy
3.3. Variations in Alkaloid Type and Content in Different Samples
3.4. Identification and Enrichment Analysis of DAAs between Leaves and Stems
3.5. DAA Identification and Enrichment Analysis between Diploids and Tetraploids
3.6. The Correlation among Main Alkaloids
4. Discussion
5. Conclusions
Supplementary Materials
Author Contributions
Funding
Data Availability Statement
Conflicts of Interest
References
- Ma, L.; Li, J.Q.; Hu, Y.D. Determination of berberine in Phellodendron amurense from different sites of Changbai Mountain. For. Res. 2015, 26, 201–207. [Google Scholar] [CrossRef]
- Velmurugan, N.; Kalpana, D.; Cho, J.Y.; Lee, Y.S. Chemical composition and antioxidant capacity of the aqueous extract of Phellodendron amurense. For. Res. 2017, 29, 1041–1048. [Google Scholar] [CrossRef]
- Wang, W.; Li, Q.; Liu, Y.; Chen, B. Ionic liquid-aqueous solution ultrasonic-assisted extraction of three kinds of alkaloids from Phellodendron amurense Rupr and optimize conditions use response surface. Ultrason. Sonochem. 2015, 4, 13–18. [Google Scholar] [CrossRef] [PubMed]
- Jung, H.W.; Kim, K.H.; Park, Y.K. Inhibitory effect of the extract of Phellodendron amurense Ruprecht root on collagen-induced arthritis in mice. Chin. J. Integr. Med. 2017, 23, 755–762. [Google Scholar] [CrossRef] [PubMed]
- Alam, S.; Mandal, P.; Jagdale, P.R.; Ayanur, A.; Ansari, K.M. Safety studies of Nexrutine, bark extract of Phellodendron amurense through repeated oral exposure to rats for 28 days. Heliyon 2021, 7, e07654. [Google Scholar] [CrossRef]
- Li, X.; Cai, K.; Fan, Z.; Wang, J.; Wang, L.; Wang, Q.; Wang, L.; Pei, X.; Zhao, X. Dissection of transcriptome and metabolome insights into the isoquinoline alkaloid biosynthesis during stem development in Phellodendron amurense (Rupr.). Plant Sci. 2022, 325, 111461. [Google Scholar] [CrossRef]
- Feng, Y.; Zheng, Y.; Xin, X.; Guo, Q.; Hao, Y.; Li, C.; Zhang, Q. Study on chemical constituents and fingerprints of Phellodendron amurense Rupr. based on ultra-performance liquid chromatography-quadrupole-time-of-flight-mass spectrometry. J. Sep. Sci. 2023, 46, e2300151. [Google Scholar] [CrossRef]
- Lian, B.; Hu, Y.; Zhang, X.; Zhou, Z. Research Progress in Main Alkaloids of Phellodendron amurense Rupr. Bot. Res. 2014, 3, 14–18. [Google Scholar]
- Qin, Y.J.; Wang, Y.; Yan, X.F. Status and sustainable utilization strategy of Phellodendron amurense resources in China. Zhong Cao Yao 2006, 7, 1104–1107. [Google Scholar]
- Iannicelli, J.; Guariniello, J.; Tossi, V.E.; Regalado, J.J.; Di Ciaccio, L.; Van Baren, C.M.; Álvarez, S.I.P.; Escandón, A.S. The “polyploid effect” in the breeding of aromatic and medicinal species. Sci. Hortic. 2020, 260, 108854. [Google Scholar] [CrossRef]
- Madani, H.; Escrich, A.; Hosseini, B.; Sanchez-Muñoz, R.; Khojasteh, A.; Palazon, J. Effect of polyploidy induction on natural metabolite production in medicinal plants. Biomolecules 2021, 11, 899. [Google Scholar] [CrossRef] [PubMed]
- Fakhrzad, F.; Jowkar, A.; Shekafandeh, A.; Kermani, M.J.; Moghadam, A. Tetraploidy induction enhances morphological, physiological and biochemical characteristics of wallflower (Erysimum cheiri (L.) Crantz). Sci. Hortic. 2023, 308, 111596. [Google Scholar] [CrossRef]
- Chen, E.G.; Tsai, K.L.; Chung, H.H.; Chen, J.T. Chromosome doubling-enhanced biomass and dihydrotanshinone I production in Salvia miltiorrhiza, a traditional Chinese medicinal plant. Molecules 2018, 23, 3106. [Google Scholar] [CrossRef]
- Van de Peer, Y.; Ashman, T.L.; Soltis, P.S.; Soltis, D.E. Polyploidy: An evolutionary and ecological force in stressful times. Plant Cell 2021, 33, 11–26. [Google Scholar] [CrossRef] [PubMed]
- Tossi, V.E.; Martínez Tosar, L.J.; Laino, L.E.; Iannicelli, J.; Regalado, J.J.; Escandón, A.S.; Baroli, I.; Causin, H.F.; Pitta-Álvarez, S.I. Impact of polyploidy on plant tolerance to abiotic and biotic stresses. Front. Plant Sci. 2022, 13, 869423. [Google Scholar] [CrossRef]
- Ramsey, J.; Schemske, D.W. Pathways, mechanisms, and rates of polyploid formation in flowering plants. Annu. Rev. Ecol. Syst. 1998, 29, 467–501. [Google Scholar] [CrossRef]
- Dhooghe, E.; Van Laere, K.; Eeckhaut, T.; Leus, L.; Van Huylenbroeck, J. Mitotic chromosome doubling of plant tissues in vitro. Plant Cell Tiss. Organ Cult. 2010, 104, 359–373. [Google Scholar] [CrossRef]
- Broertjes, C.; Harten, A.M. Single cell origin of adventitious buds. Euphytica 1985, 34, 93–95. [Google Scholar] [CrossRef]
- Cai, X.; Kang, X.Y. In vitro tetraploid induction from leaf explants of Populus pseudo-simonii Kitag. Plant Cell Rep. 2011, 30, 1771–1779. [Google Scholar] [CrossRef]
- Zhang, X.; Zhang, Y.; Cui, X.; Li, D.; Zhang, H.; Duan, W.; Wang, J. In vitro amphidiploid induction of a distant hybrid Populus simonii × P. euphratica cv. ‘Xiaohuyang-2’ and its effect on plant morphology and anatomy. Silvae Genet. 2022, 71, 107–115. [Google Scholar] [CrossRef]
- Rao, S.P.; Kang, X.Y.; Li, J.; Chen, J.H. Induction, identification and characterization of tetraploidy in Lycium ruthenicum. Breed Sci. 2019, 69, 160–168. [Google Scholar] [CrossRef] [PubMed]
- Zhang, Y.; Wang, Z.Y.; Cui, X.T.; Zhang, X.X.; Zhang, J.W.; Tie, L.; Wang, J. Amphidiploid production of a distant hybrid Populus simonii × P. euphratica cv. ‘Xiaohuyang-1’ and resulting in phenotypic variation. New For. 2024, 55, 785–800. [Google Scholar] [CrossRef]
- Galbraith, D.W.; Harkins, K.R.; Maddox, J.M.; Ayres, N.M.; Sharma, D.P.; Firoozabady, E. Rapid flow cytometric analysis of the cell cycle in intact plant tissues. Science 1983, 220, 1049–1051. [Google Scholar] [CrossRef] [PubMed]
- Ruzin, S.E. Plant Microtechnique and Microscopy; Oxford University Press: New York, NY, USA, 1999; p. 322. [Google Scholar]
- Zou, S.; Wu, J.; Shahid, M.Q.; He, Y.; Lin, S.; Lin, Z.; Yang, X. Identification of key taste components in loquat using widely targeted metabolomics. Food Chem. 2020, 323, 126822. [Google Scholar] [CrossRef] [PubMed]
- R Core Team. R: A Language and Environment for Statistical Computing; R Foundation for Statistical Computing: Vienna, Austria, 2014; Volume 1. [Google Scholar]
- Cui, Y.; Hou, L.; Li, X.; Huang, F.; Pang, X.; Li, Y. In vitro induction of tetraploid Ziziphus jujuba Mill. var. spinosa plants from leaf explants. Plant Cell Tiss. Organ Cult. 2017, 131, 175–182. [Google Scholar] [CrossRef]
- Kang, X.Y. Polyploid induction techniques and breeding strategies in poplar. In Polyploidy and Hybridization for Crop Improvement, 1st ed.; Mason, A.S., Ed.; CRC Press: Boca Raton, FL, USA, 2016; pp. 76–96. ISBN 978-1-3153-6925-9. [Google Scholar]
- Kang, X.Y.; Wei, H.R. Breeding polyploid Populus: Progress and perspective. For. Res. 2022, 2, 4. [Google Scholar] [CrossRef]
- Chen, T.T.; Sheng, Y.; Hao, Z.D.; Long, X.F.; Fu, F.F.; Liu, Y.; Tang, Z.H.; Ali, A.; Peng, Y.; Liu, Y.; et al. Transcriptome and proteome analysis suggest enhanced photosynthesis in tetraploid Liriodendron sino-americanum. Tree Physiol. 2021, 41, 1953–1971. [Google Scholar] [CrossRef]
- Farhadi, N.; Panahandeh, J.; Motallebi-Azar, A.; Mokhtarzadeh, S. Production of autotetraploid plants by in vitro chromosome engineering in Allium hirtifolium. Hortic. Plant J. 2023, 9, 986–998. [Google Scholar] [CrossRef]
- Singh, S.; Pathak, N.; Fatima, E.; Negi, A.S. Plant isoquinoline alkaloids: Advances in the chemistry and biology of berberine. Eur. J. Med. Chem. 2021, 226, 113839. [Google Scholar] [CrossRef]
- Ikuta, A.; Nakamura, T.; Urabe, H. Indolopyridoquinazoline, furoquinoline and canthinone type alkaloids from Phellodendron amurense callus tissues. Phytochemistry 1998, 48, 285–291. [Google Scholar] [CrossRef]
- Patel, K.; Patel, D.K. Biological importance of Phellodendrine in traditional and modern medicines: An update on therapeutic potential in medicine. Curr. Drug Res. Rev. 2024, 16, 209–218. [Google Scholar] [CrossRef] [PubMed]
- Xu, L.J.; Qiu, J.J.; Sun, M.L.; Zhang, Y.H.; Xia, C.M.; Zhou, Z.Q. The seasonal and geographical variance analysis of the berberine and jatrorrhizine contents in natural populations of Phellodendron amurense. Acta Ecol. Sin. 2014, 34, 6355–6365. [Google Scholar]
- Jia, A.L.; Wang, R.G.; Dong, X.L.; Zhao, H.D.; Qiu, Z.D. Study on the relationship between the alkaloids in the branches of Phellodendron amurense Rupr. and Phellodendri amurensis cortex in different growth years. Chin. J. Vet. Drug 2019, 513, 45–51. [Google Scholar]







| Treatment | Colchicine Concentration (g L−1) | Exposure Time (h) | Survival Rate (%) | Number of Tetraploids | Frequency of Tetraploid Induction (%) |
|---|---|---|---|---|---|
| T1 | 0 | 12 | 100.00 ± 0.00 a | 0 | 0 d |
| T2 | 0 | 24 | 100.00 ± 0.00 a | 0 | 0 d |
| T3 | 0 | 36 | 93.33 ± 3.33 ab | 0 | 0 d |
| T4 | 0 | 48 | 93.33 ± 3.33 ab | 0 | 0 d |
| T5 | 0 | 60 | 86.67 ± 3.33 b | 0 | 0 d |
| T6 | 0.5 | 12 | 73.33 ± 14.53 bc | 1 | 1.11 ± 1.11 cd |
| T7 | 0.5 | 24 | 53.33 ± 13.33 cd | 4 | 7.71 ± 4.85 cd |
| T8 | 0.5 | 36 | 50.00 ± 5.77 de | 7 | 14.65 ± 0.37 abcd |
| T9 | 0.5 | 48 | 36.67 ± 3.33 def | 1 | 2.22 ± 2.22 cd |
| T10 | 0.5 | 60 | 16.67 ± 3.33 fgh | 1 | 16.67 ± 16.67 bcd |
| T11 | 1.0 | 12 | 63.33 ± 8.82 bcd | 3 | 5.36 ± 3.72 cd |
| T12 | 1.0 | 24 | 46.67 ± 17.64 de | 4 | 13.20 ± 7.79 bcd |
| T13 | 1.0 | 36 | 43.33 ± 16.67 def | 5 | 8.29 ± 4.58 cd |
| T14 | 1.0 | 48 | 33.33 ± 12.02 efg | 13 | 36.16 ± 9.19 ab |
| T15 | 1.0 | 60 | 10.00 ± 0.00 ghi | 0 | 0 d |
| T16 | 1.5 | 12 | 43.33 ± 3.33 def | 0 | 0 d |
| T17 | 1.5 | 24 | 36.67 ± 12.02 def | 4 | 9.52 ± 9.52 cd |
| T18 | 1.5 | 36 | 33.33 ± 12.02 defg | 4 | 13.89 ± 7.35 bcd |
| T19 | 1.5 | 48 | 23.33 ± 3.33 efgh | 3 | 27.78 ± 20.03 abc |
| T20 | 1.5 | 60 | 6.67 ± 3.33 hi | 0 | 0 d |
| T21 | 2.0 | 12 | 16.67 ± 3.33 fgh | 0 | 0 d |
| T22 | 2.0 | 24 | 10.00 ± 5.77 ghi | 2 | 50.00 ± 28.87 a |
| T23 | 2.0 | 36 | 3.33 ± 3.33 i | 0 | 0 d |
| T24 | 2.0 | 48 | 0 i | 0 | 0 d |
| T25 | 2.0 | 60 | 0 i | 0 | 0 d |
| T26 | 2.5 | 12 | 6.67 ± 3.33 h | 1 | 11.11 ± 11.11 cd |
| T27 | 2.5 | 24 | 6.67 ± 3.33 h | 0 | 0 d |
| T28 | 2.5 | 36 | 3.33 ± 3.33 i | 1 | 16.67 ± 16.67 bcd |
| T29 | 2.5 | 48 | 0 i | 0 | 0 d |
| T30 | 2.5 | 60 | 0 i | 0 | 0 d |
| Total | 54 |
Disclaimer/Publisher’s Note: The statements, opinions and data contained in all publications are solely those of the individual author(s) and contributor(s) and not of MDPI and/or the editor(s). MDPI and/or the editor(s) disclaim responsibility for any injury to people or property resulting from any ideas, methods, instructions or products referred to in the content. |
© 2024 by the authors. Licensee MDPI, Basel, Switzerland. This article is an open access article distributed under the terms and conditions of the Creative Commons Attribution (CC BY) license (https://creativecommons.org/licenses/by/4.0/).
Share and Cite
Li, J.; Yu, N.; Lv, C.-C.; Tie, L.; Pang, J.-J.; Zhang, J.-W.; Wang, J. Induction of Tetraploids in Phellodendron amurense Rupr. and Its Effects on Morphology and Alkaloid Content. Agronomy 2024, 14, 2090. https://doi.org/10.3390/agronomy14092090
Li J, Yu N, Lv C-C, Tie L, Pang J-J, Zhang J-W, Wang J. Induction of Tetraploids in Phellodendron amurense Rupr. and Its Effects on Morphology and Alkaloid Content. Agronomy. 2024; 14(9):2090. https://doi.org/10.3390/agronomy14092090
Chicago/Turabian StyleLi, Jing, Ning Yu, Can-Can Lv, Long Tie, Jia-Ju Pang, Jin-Wang Zhang, and Jun Wang. 2024. "Induction of Tetraploids in Phellodendron amurense Rupr. and Its Effects on Morphology and Alkaloid Content" Agronomy 14, no. 9: 2090. https://doi.org/10.3390/agronomy14092090
APA StyleLi, J., Yu, N., Lv, C.-C., Tie, L., Pang, J.-J., Zhang, J.-W., & Wang, J. (2024). Induction of Tetraploids in Phellodendron amurense Rupr. and Its Effects on Morphology and Alkaloid Content. Agronomy, 14(9), 2090. https://doi.org/10.3390/agronomy14092090

