Genome-Wide Identification of MsICE Gene Family in Medicago sativa and Expression Analysis of the Response to Abiotic Stress
Abstract
1. Introduction
2. Experimental Materials and Methods
2.1. Plant Materials and Treatments
2.2. RNA Extraction and Gene Expression Analysis
2.3. Identification of the Alfalfa ICE Gene Family
2.4. Phylogenetic Analysis of Alfalfa ICE Genes
2.5. Gene Structure and Conserved Motif and Domain Analyses
2.6. Analysis of Alfalfa ICE Gene Promoters
2.7. Identification of Intra- and Interspecies Covariates of MsICE Family Members
2.8. Statistical Analyses and Principal Component Analysis
3. Results
3.1. Identification of the MsICE Gene Family in Alfalfa
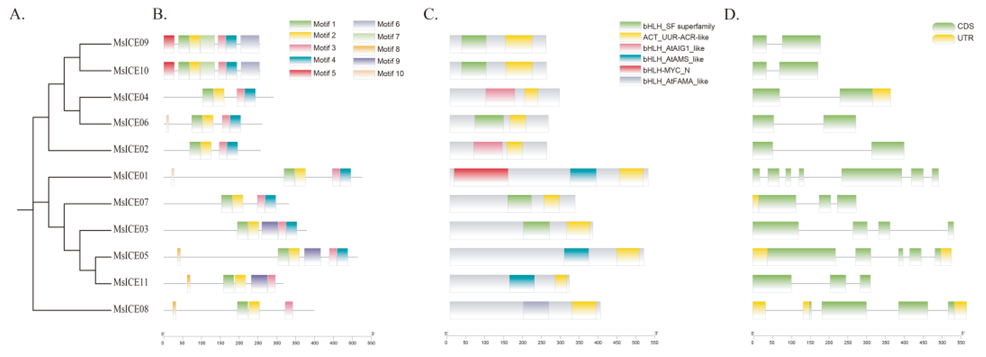
3.2. Multiple Sequence Alignment and Phylogenetic Tree Analysis of the MsICE Gene Family in Alfalfa
3.3. Gene Structure and Motif Composition of the MsICE Gene Family in Alfalfa
3.4. Analysis of the Cis-Acting Elements in the Promoters of MsICE Genes
3.5. Analysis of the Collinearity of MsICE Genes
3.6. Tissue-Specific Expression of MsICEs
3.7. Expression Analysis of Alfalfa MsICE Genes under Abiotic Stress
3.8. Correlations between Different Stress Treatment Durations and the Level of Gene Expression
4. Discussion
5. Conclusions
Author Contributions
Funding
Data Availability Statement
Acknowledgments
Conflicts of Interest
References
- Lei, Y.; Hannoufa, A.; Yu, P. The Use of Gene Modification and Advanced Molecular Structure Analyses towards Improving Alfalfa Forage. Int. J. Mol. Sci. 2017, 18, 298. [Google Scholar] [CrossRef] [PubMed]
- Wang, X.; Kang, W.; Wu, F.; Miao, J.; Shi, S. Comparative Transcriptome Analysis Reveals New Insight of Alfalfa (Medicago sativa L.) Cultivars in Response to Abrupt Freezing Stress. Front. Plant Sci. 2022, 13, 798118. [Google Scholar] [CrossRef] [PubMed]
- Li, Y.; Zhang, Y.; Cui, J.; Wang, X.; Li, M.; Zhang, L.; Kang, J. Genome-Wide Identification, Phylogenetic and Expression Analysis of Expansin Gene Family in Medicago sativa L. Int. J. Mol. Sci. 2024, 25, 4700. [Google Scholar] [CrossRef]
- Gilmour, S.J.; Zarka, D.G.; Stockinger, E.J.; Salazar, M.P.; Houghton, J.M.; Thomashow, M.F. Low temperature regulation of the Arabidopsis CBF family of AP2 transcriptional activators as an early step in cold-induced COR gene expression. Plant J. Cell Mol. Biol. 1998, 16, 433–442. [Google Scholar] [CrossRef]
- Badawi, M.; Reddy, Y.V.; Agharbaoui, Z.; Tominaga, Y.; Danyluk, J.; Sarhan, F.; Houde, M. Structure and functional analysis of wheat ICE (inducer of CBF expression) genes. Plant Cell Physiol. 2008, 49, 1237–1249. [Google Scholar] [CrossRef] [PubMed]
- Chinnusamy, V.; Ohta, M.; Kanrar, S.; Lee, B.H.; Hong, X.; Agarwal, M.; Zhu, J.K. ICE1: A regulator of cold-induced transcriptome and freezing tolerance in Arabidopsis. Genes Dev. 2003, 17, 1043–1054. [Google Scholar] [CrossRef] [PubMed]
- Zhou, L.; He, Y.J.; Li, J.; Li, L.Z.; Liu, Y.; Chen, H.Y. An eggplant SmICE1a gene encoding MYC-type ICE1-like transcription factor enhances freezing tolerance in transgenic Arabidopsis thaliana. Plant Biol. 2020, 22, 450–458. [Google Scholar] [CrossRef]
- Feng, H.L.; Ma, N.N.; Meng, X.; Zhang, S.; Wang, J.R.; Chai, S.; Meng, Q.W. A novel tomato MYC-type ICE1-like transcription factor, SlICE1a, confers cold, osmotic and salt tolerance in transgenic tobacco. Plant Physiol. Biochem. PPB 2013, 73, 309–320. [Google Scholar] [CrossRef]
- Xu, W.; Jiao, Y.; Li, R.; Zhang, N.; Xiao, D.; Ding, X.; Wang, Z. Chinese wild-growing Vitis amurensis ICE1 and ICE2 encode MYC-type bHLH transcription activators that regulate cold tolerance in Arabidopsis. PLoS ONE 2014, 9, e102303. [Google Scholar] [CrossRef]
- Deng, C.; Ye, H.; Fan, M.; Pu, T.; Yan, J. The rice transcription factors OsICE confer enhanced cold tolerance in transgenic Arabidopsis. Plant Signal. Behav. 2017, 12, e1316442. [Google Scholar] [CrossRef]
- Zhou, H.; Ma, J.; Liu, H.; Zhao, P. Genome-Wide Identification of the CBF Gene Family and ICE Transcription Factors in Walnuts and Expression Profiles under Cold Conditions. Int. J. Mol. Sci. 2023, 25, 25. [Google Scholar] [CrossRef] [PubMed]
- Zhang, W.H.; Zhang, Z.Y.; Liu, Y.; Tan, Z.Y.; Zhou, Q.; Lin, Y.Z. High-throughput miRNA sequencing and identification of a novel ICE1-targeting miRNA in response to low temperature stress in Eucalyptus camaldulensis. Plant Biol. 2023, 25, 541–550. [Google Scholar] [CrossRef] [PubMed]
- Verma, R.K.; Kumar, V.V.S.; Yadav, S.K.; Kumar, T.S.; Rao, M.V.; Chinnusamy, V. Overexpression of Arabidopsis ICE1 enhances yield and multiple abiotic stress tolerance in indica rice. Plant Signal. Behav. 2020, 15, 1814547. [Google Scholar] [CrossRef] [PubMed]
- Hwarari, D.; Guan, Y.; Ahmad, B.; Movahedi, A.; Min, T.; Hao, Z.; Lu, Y.; Chen, J.; Yang, L. ICE-CBF-COR Signaling Cascade and Its Regulation in Plants Responding to Cold Stress. Int. J. Mol. Sci. 2022, 23, 1549. [Google Scholar] [CrossRef]
- Wang, X.; Song, Q.; Guo, H.; Liu, Y.; Brestic, M.; Yang, X. StICE1 enhances plant cold tolerance by directly upregulating StLTI6A expression. Plant Cell Rep. 2023, 42, 197–210. [Google Scholar] [CrossRef]
- Wei, D.; Liu, M.; Chen, H.; Zheng, Y.; Liu, Y.; Wang, X.; Yang, S.; Zhou, M.; Lin, J. Inducer of CBF expression 1 is a male fertility regulator impacting anther dehydration in Arabidopsis. PLoS Genet. 2018, 14, e1007695. [Google Scholar] [CrossRef]
- Hu, Y.; Han, X.; Yang, M.; Zhang, M.; Pan, J.; Yu, D. The Transcription Factor Inducer of CBF expression1 Interacts with ABSCISIC ACID INSENSITIVE5 and DELLA Proteins to Fine-Tune Abscisic Acid Signaling during Seed Germination in Arabidopsis. Plant Cell 2019, 31, 1520–1538. [Google Scholar] [CrossRef]
- Yu, J.; Yuan, Y.; Dong, L.; Cui, G. Genome-wide investigation of NLP gene family members in alfalfa (Medicago sativa L.): Evolution and expression profiles during development and stress. BMC Genom. 2023, 24, 320. [Google Scholar] [CrossRef]
- Shen, C.; Du, H.; Chen, Z.; Lu, H.; Zhu, F.; Chen, H.; Meng, X.; Liu, Q.; Liu, P.; Zheng, L.; et al. The Chromosome-Level Genome Sequence of the Autotetraploid Alfalfa and Resequencing of Core Germplasms Provide Genomic Resources for Alfalfa Research. Mol. Plant 2020, 13, 1250–1261. [Google Scholar] [CrossRef]
- Wang, Y.; Ruan, Q.; Zhu, X.; Wang, B.; Wei, B.; Wei, X. Identification of Alfalfa SPL gene family and expression analysis under biotic and abiotic stresses. Sci. Rep. 2023, 13, 84. [Google Scholar] [CrossRef]
- Cai, H.; Zhao, L.; Wang, L.; Zhang, M.; Su, Z.; Cheng, Y.; Zhao, H.; Qin, Y. ERECTA signaling controls Arabidopsis inflorescence architecture through chromatin-mediated activation of PRE1 expression. New Phytol. 2017, 214, 1579–1596. [Google Scholar] [CrossRef] [PubMed]
- Paysan-Lafosse, T.; Blum, M.; Chuguransky, S.; Grego, T.; Pinto, B.L.; Salazar, G.A.; Bileschi, M.L.; Bork, P.; Bridge, A.; Colwell, L.; et al. InterPro in 2022. Nucleic Acids Res. 2023, 51, D418–D427. [Google Scholar] [CrossRef] [PubMed]
- Finn, R.D.; Coggill, P.; Eberhardt, R.Y.; Eddy, S.R.; Mistry, J.; Mitchell, A.L.; Potter, S.C.; Punta, M.; Qureshi, M.; Sangrador-Vegas, A.; et al. The Pfam protein families database: Towards a more sustainable future. Nucleic Acids Res. 2016, 44, D279–D285. [Google Scholar] [CrossRef] [PubMed]
- Bairoch, A. The ENZYME database in 2000. Nucleic Acids Res. 2000, 28, 304–305. [Google Scholar] [CrossRef] [PubMed]
- Horton, P.; Park, K.J.; Obayashi, T.; Fujita, N.; Harada, H.; Adams-Collier, C.J.; Nakai, K. WoLF PSORT: Protein localization predictor. Nucleic Acids Res. 2007, 35, W585–W587. [Google Scholar] [CrossRef]
- Newman, L.; Duffus, A.L.; Lee, C. Using the free program MEGA to build phylogenetic trees from molecular data. Am. Biol. Teach. 2016, 78, 608–612. [Google Scholar] [CrossRef]
- Subramanian, B.; Gao, S.; Lercher, M.J.; Hu, S.; Chen, W.H. Evolview v3: A webserver for visualization, annotation, and management of phylogenetic trees. Nucleic Acids Res. 2019, 47, W270–W275. [Google Scholar] [CrossRef]
- Wang, J.; Chitsaz, F.; Derbyshire, M.K.; Gonzales, N.R.; Gwadz, M.; Lu, S.; Marchler, G.H.; Song, J.S.; Thanki, N.; Yamashita, R.A.; et al. The conserved domain database in 2023. Nucleic Acids Res. 2023, 51, D384–D388. [Google Scholar] [CrossRef]
- Bailey, T.L.; Boden, M.; Buske, F.A.; Frith, M.; Grant, C.E.; Clementi, L.; Ren, J.; Li, W.W.; Noble, W.S. MEME SUITE: Tools for motif discovery and searching. Nucleic Acids Res. 2009, 37, W202–W208. [Google Scholar] [CrossRef]
- Chen, C.; Chen, H.; Zhang, Y.; Thomas, H.R.; Frank, M.H.; He, Y.; Xia, R. TBtools: An Integrative Toolkit Developed for Interactive Analyses of Big Biological Data. Mol. Plant 2020, 13, 1194–1202. [Google Scholar] [CrossRef]
- Lescot, M.; Déhais, P.; Thijs, G.; Marchal, K.; Moreau, Y.; Van de Peer, Y.; Rouzé, P.; Rombauts, S. PlantCARE, a database of plant cis-acting regulatory elements and a portal to tools for in silico analysis of promoter sequences. Nucleic Acids Res. 2002, 30, 325–327. [Google Scholar] [CrossRef] [PubMed]
- Livak, K.J.; Schmittgen, T.D. Analysis of relative gene expression data using real-time quantitative PCR and the 2(-Delta Delta C(T)) Method. Methods 2001, 25, 402–408. [Google Scholar] [CrossRef] [PubMed]
- Zhang, L.; Sun, W.; Gao, W.; Zhang, Y.; Zhang, P.; Liu, Y.; Chen, T.; Yang, D. Genome-wide identification and analysis of the GGCT gene family in wheat. BMC Genomics 2024, 25, 32. [Google Scholar] [CrossRef] [PubMed]
- Han, J.; Jawad Umer, M.; Yang, M.; Hou, Y.; Gereziher Mehari, T.; Zheng, J.; Wang, H.; Liu, J.; Dong, W.; Xu, Y.; et al. Genome-wide identification and functional analysis of ICE genes reveal that Gossypium thurberi “GthICE2” is responsible for cold and drought stress tolerance. Plant Physiol. Biochem. PPB 2023, 199, 107708. [Google Scholar] [CrossRef]
- Liu, M.; Chang, W.; Fan, Y.; Sun, W.; Qu, C.; Zhang, K.; Liu, L.; Xu, X.; Tang, Z.; Li, J.; et al. Genome-Wide Identification and Characterization of NODULE-INCEPTION-Like Protein (NLP) Family Genes in Brassica napus. Int. J. Mol. Sci. 2018, 19, 2270. [Google Scholar] [CrossRef]
- Wu, K.L.; Guo, Z.J.; Wang, H.H.; Li, J. The WRKY family of transcription factors in rice and Arabidopsis and their origins. DNA Res. Int. J. Rapid Publ. Rep. Genes Genomes 2005, 12, 9–26. [Google Scholar] [CrossRef]
- Wu, Z.; Liu, H.; Huang, W.; Yi, L.; Qin, E.; Yang, T.; Wang, J.; Qin, R. Genome-Wide Identification, Characterization, and Regulation of RWP-RK Gene Family in the Nitrogen-Fixing Clade. Plants 2020, 9, 1178. [Google Scholar] [CrossRef]
- Jeffares, D.C.; Penkett, C.J.; Bähler, J. Rapidly regulated genes are intron poor. Trends Genet. 2008, 24, 375–378. [Google Scholar] [CrossRef]
- Yue, P.; Zhang, H.; Tong, X.; Peng, T.; Tang, P.; Gao, T.; Guo, J. Genome-wide identification and expression profiling of thes MAPK, MAPKK, and MAPKKK gene families in Ophiocordyceps sinensis. Gene 2022, 807, 145930. [Google Scholar] [CrossRef]
- Chen, C.H.; Lin, H.Y.; Pan, C.L.; Chen, F.C. The plausible reason why the length of 5′ untranslated region is unrelated to organismal complexity. BMC Res. Notes 2011, 4, 312. [Google Scholar] [CrossRef]
- Li, X.; Wang, X.; Ma, X.; Cai, W.; Liu, Y.; Song, W.; Fu, B.; Li, S. Genome-wide investigation and expression analysis of OSCA gene family in response to abiotic stress in alfalfa. Front. Plant Sci. 2023, 14, 1285488. [Google Scholar] [CrossRef] [PubMed]
- Chen, J.; Wang, B.; Chung, J.S.; Chai, H.; Liu, C.; Ruan, Y.; Shi, H. The role of promoter cis-element, mRNA capping, and ROS in the repression and salt-inducible expression of AtSOT12 in Arabidopsis. Front. Plant Sci. 2015, 6, 974. [Google Scholar] [CrossRef] [PubMed]
- Zhao, B.; Liu, Q.; Wang, B.; Yuan, F. Roles of Phytohormones and Their Signaling Pathways in Leaf Development and Stress Responses. J. Agric. Food Chem. 2021, 69, 3566–3584. [Google Scholar] [CrossRef]
- Zhu, J.K. Abiotic Stress Signaling and Responses in Plants. Cell 2016, 167, 313–324. [Google Scholar] [CrossRef]
- Tariq, R.; Hussain, A.; Tariq, A.; Khalid, M.H.B.; Khan, I.; Basim, H.; Ingvarsson, P.K. Genome-wide analyses of the mung bean NAC gene family reveals orthologs, co-expression networking and expression profiling under abiotic and biotic stresses. BMC Plant Biol. 2022, 22, 343. [Google Scholar] [CrossRef] [PubMed]
- Zhang, X.; Yang, H.; Li, M.; Bai, Y.; Chen, C.; Guo, D.; Guo, C.; Shu, Y. A Pan-Transcriptome Analysis Indicates Efficient Downregulation of the FIB Genes Plays a Critical Role in the Response of Alfalfa to Cold Stress. Plants 2022, 11, 3148. [Google Scholar] [CrossRef]
- Chen, F.; Zhang, J.; Ha, X.; Ma, H. Genome-wide identification and expression analysis of the Auxin-Response factor (ARF) gene family in Medicago sativa under abiotic stress. BMC Genom. 2023, 24, 498. [Google Scholar] [CrossRef]
- García-Cervigón, A.I.; García-López, M.A.; Pistón, N.; Pugnaire, F.I.; Olano, J.M. Co-ordination between xylem anatomy, plant architecture and leaf functional traits in response to abiotic and biotic drivers in a nurse cushion plant. Ann. Bot. 2021, 127, 919–929. [Google Scholar] [CrossRef]
- Khew, C.Y.; Harikrishna, J.A.; Wee, W.Y.; Lau, E.T.; Hwang, S.S. Transcriptional Sequencing and Gene Expression Analysis of Various Genes in Fruit Development of Three Different Black Pepper (Piper nigrum L.) Varieties. Int. J. Genom. 2020, 2020, 1540915. [Google Scholar] [CrossRef]
- Gong, Z.; Xiong, L.; Shi, H.; Yang, S.; Herrera-Estrella, L.R.; Xu, G.; Chao, D.Y.; Li, J.; Wang, P.Y.; Qin, F.; et al. Plant abiotic stress response and nutrient use efficiency. Sci. China Life Sci. 2020, 63, 635–674. [Google Scholar] [CrossRef]
- Hewage, K.A.H.; Yang, J.F.; Wang, D.; Hao, G.F.; Yang, G.F.; Zhu, J.K. Chemical Manipulation of Abscisic Acid Signaling: A New Approach to Abiotic and Biotic Stress Management in Agriculture. Adv. Sci. 2020, 7, 2001265. [Google Scholar] [CrossRef] [PubMed]
- Zhang, Z.; Zhu, L.; Song, A.; Wang, H.; Chen, S.; Jiang, J.; Chen, F. Chrysanthemum (Chrysanthemum morifolium) CmICE2 conferred freezing tolerance in Arabidopsis. Plant Physiol. Biochem. PPB 2020, 146, 31–41. [Google Scholar] [CrossRef] [PubMed]
- Wang, X.; Niu, Y.; Zheng, Y. Multiple Functions of MYB Transcription Factors in Abiotic Stress Responses. Int. J. Mol. Sci. 2021, 22, 6125. [Google Scholar] [CrossRef] [PubMed]
- Zhu, L.; Yang, J.; Zhang, Y.; Hu, H.; Cui, J.; Xue, J.; Xu, J. Overexpression of CfICE1 from Cryptomeria fortunei Enhances Cold, Drought and Salt Stress in Poplar. Int. J. Mol. Sci. 2022, 23, 15214. [Google Scholar] [CrossRef]









| Sequence ID | Chromosome Location | Gene Location | Protein Length (aa) | MW (kDa) | pI | Predicted Localization | |
|---|---|---|---|---|---|---|---|
| MsICE01 | MsG0180006048.01.T01 | Chr1 | 99365979:99368699 | 525 | 59,537.90 | 4.97 | Nucleus |
| MsICE02 | MsG0280006829.01.T01 | Chr2 | 6830114:6832330 | 256 | 28,845.74 | 7.51 | Nucleus |
| MsICE03 | MsG0380012767.01.T01 | Chr3 | 24141581:24144522 | 378 | 42,872.41 | 7.16 | Nucleus |
| MsICE04 | MsG0380015497.01.T01 | Chr3 | 71003358:71005376 | 290 | 32,874.5 | 9.12 | Nucleus |
| MsICE05 | MsG0380016999.01.T01 | Chr3 | 90463402:90466311 | 513 | 56,524.26 | 5.84 | Nucleus |
| MsICE06 | MsG0480021960.01.T01 | Chr4 | 66477953:66479463 | 260 | 29,203.24 | 5.85 | Nucleus |
| MsICE07 | MsG0580025575.01.T01 | Chr5 | 20742892:20744407 | 331 | 37,421.68 | 4.99 | Nucleus |
| MsICE08 | MsG0580027082.01.T01 | Chr5 | 52871922:52875053 | 398 | 45,171.65 | 5.24 | Nucleus |
| MsICE09 | MsG0580027951.01.T01 | Chr5 | 71650578:71651571 | 254 | 28,750.39 | 7.59 | Nucleus |
| MsICE10 | MsG0580028245.01.T01 | Chr5 | 77182213:77183168 | 255 | 28,807.38 | 7.59 | Nucleus |
| MsICE11 | MsG0780040061.01.T01 | Chr7 | 72566185:72567909 | 316 | 35,079.71 | 8.74 | Nucleus |
Disclaimer/Publisher’s Note: The statements, opinions and data contained in all publications are solely those of the individual author(s) and contributor(s) and not of MDPI and/or the editor(s). MDPI and/or the editor(s) disclaim responsibility for any injury to people or property resulting from any ideas, methods, instructions or products referred to in the content. |
© 2024 by the authors. Licensee MDPI, Basel, Switzerland. This article is an open access article distributed under the terms and conditions of the Creative Commons Attribution (CC BY) license (https://creativecommons.org/licenses/by/4.0/).
Share and Cite
Wang, B.; Liu, Q.; Xu, W.; Yuan, Y.; Tuluhong, M.; Yu, J.; Cui, G. Genome-Wide Identification of MsICE Gene Family in Medicago sativa and Expression Analysis of the Response to Abiotic Stress. Agronomy 2024, 14, 2064. https://doi.org/10.3390/agronomy14092064
Wang B, Liu Q, Xu W, Yuan Y, Tuluhong M, Yu J, Cui G. Genome-Wide Identification of MsICE Gene Family in Medicago sativa and Expression Analysis of the Response to Abiotic Stress. Agronomy. 2024; 14(9):2064. https://doi.org/10.3390/agronomy14092064
Chicago/Turabian StyleWang, Baiji, Qianning Liu, Wen Xu, Yuying Yuan, Muzhapaer Tuluhong, Jinqiu Yu, and Guowen Cui. 2024. "Genome-Wide Identification of MsICE Gene Family in Medicago sativa and Expression Analysis of the Response to Abiotic Stress" Agronomy 14, no. 9: 2064. https://doi.org/10.3390/agronomy14092064
APA StyleWang, B., Liu, Q., Xu, W., Yuan, Y., Tuluhong, M., Yu, J., & Cui, G. (2024). Genome-Wide Identification of MsICE Gene Family in Medicago sativa and Expression Analysis of the Response to Abiotic Stress. Agronomy, 14(9), 2064. https://doi.org/10.3390/agronomy14092064
