Effects of Composted Straw, Biochar, and Polyacrylamide Addition on Soil Permeability and Dynamic Leaching Characteristics of Pollutants in Loessial Soil in Urban Greenbelts According to Indoor Simulation Experiments
Abstract
1. Introduction
2. Materials and Methods
2.1. Experimental Materials
2.2. Experimental Process
2.2.1. Soil–Laboratory Incubation Test
2.2.2. Dynamic Leaching
2.3. Data Analysis
3. Results
3.1. The Effects of Amendment Materials on the Saturated Hydraulic Conductivity, Saturated Water Content, and Bulk Density of Green Spaces
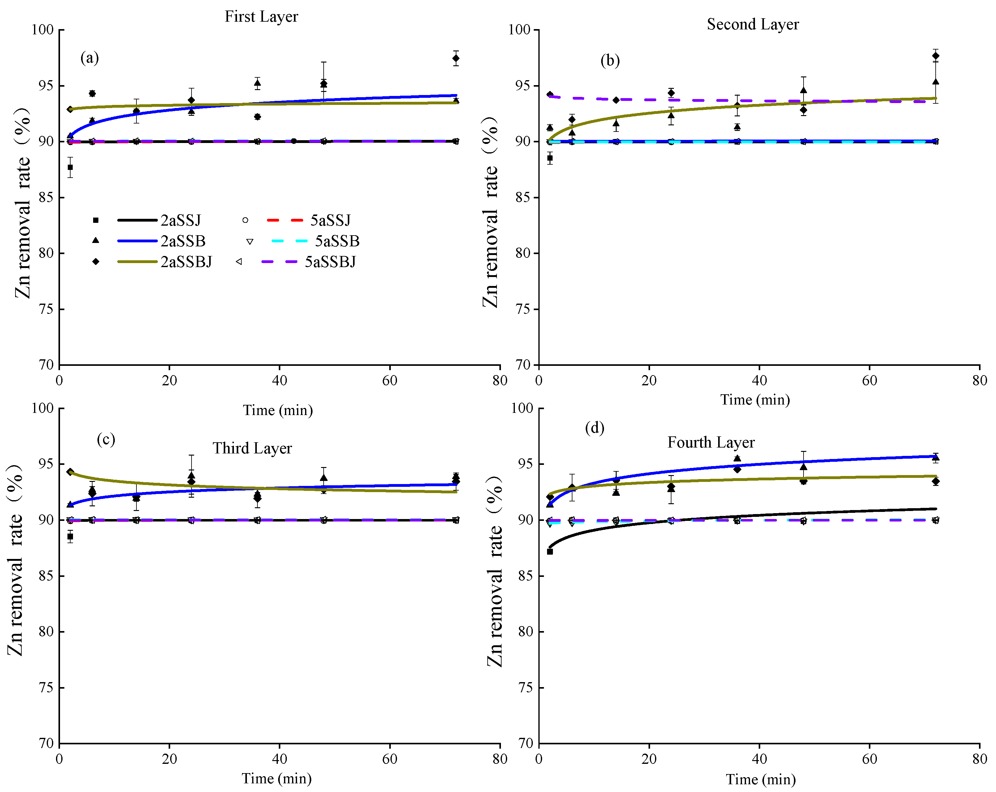
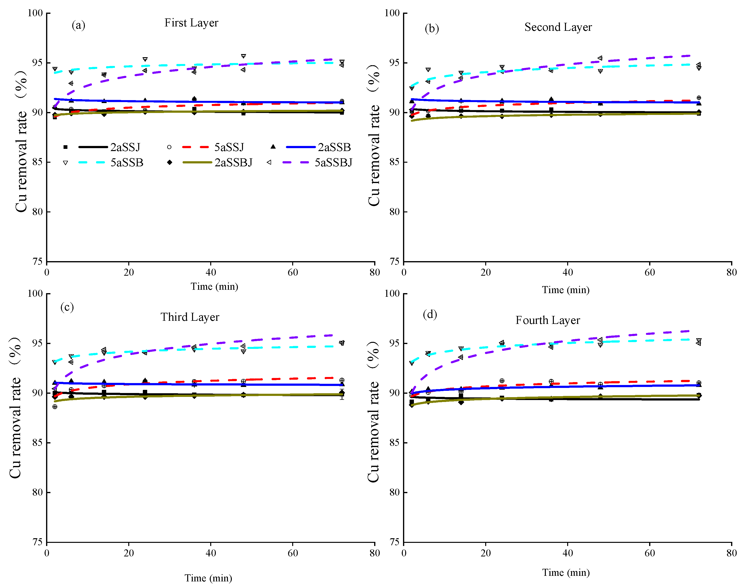
3.2. Dynamic Leaching Characteristics of Pollutants
3.3. Analysis of the Contribution Rates of Different Factors of Improved Green Space Adsorption Capacity
4. Discussion
4.1. Effects of Different Materials on Soil Water Conductivity and Water Retention Performance
4.2. The Effects of Different Materials on the Dynamic Leaching of Soil Pollutants
5. Conclusions
Author Contributions
Funding
Data Availability Statement
Conflicts of Interest
References
- Zhang, J.Y.; Shu, Z.K.; Wang, H.J.; Li, W.J.; Zhang, X.L. A discussion on several hydrological issues of “7·20” rainstorm and flood in Zhengzhou. Acta Geogr. Sin. 2023, 78, 1618–1626. [Google Scholar] [CrossRef]
- Xu, H.; Gao, J.L.; Yu, X.C.; Qin, Q.Q.; Du, S.Q.; Wen, J.H. Assessment of Rainstorm Waterlogging Disaster Risk in Rapidly Urbanizing Areas Based on Land Use Scenario Simulation: A Case Study of Jiangqiao Town in Shanghai, China. Land 2024, 13, 1088. [Google Scholar] [CrossRef]
- Wang, Q.; Huang, J.G.; Chang, N.N.; Yu, Z.Z. Regional heterogeneity and driving factors of road runoff pollution from urban areas in China. Environ. Geochem. Health 2023, 45, 3041–3054. [Google Scholar] [CrossRef]
- Zhang, J.Y.; Wang, Y.T.; Hu, Q.F. Discussion and views on some issues of the sponage city construction in China. Adv. Water Sci. 2016, 27, 793–799. [Google Scholar] [CrossRef]
- Li, Q.; Jia, H.F.; Guo, H.K.; Zhao, Y.Y.; Zhou, G.H.; Lim, F.Y.; Guo, H.L.; Neo, T.H.; Ong, S.L.; Hu, J.Y. Field study of the road stormwater runoff bioretention system with combined soil filter media and soil moisture conservation ropes in North China. Water 2022, 14, 415. [Google Scholar] [CrossRef]
- Ren, X.W.; Hong, N.; Li, L.F.; Kang, J.Y.; Li, J.J. Effect of infiltration rate changes in urban soils on stormwater runoff process. Geoderma 2020, 363, 114518. [Google Scholar] [CrossRef]
- Xiong, L.J.; Lu, S.Q.; Tan, J. Optimized strategies of green and grey infrastructures for integrated control objectives of runoff, waterlogging and WWDP in old storm drainages. Sci. Total Environ. 2023, 901, 165847. [Google Scholar] [CrossRef]
- Zhang, Q. Effects of biochar and biochar-based fertilizer to green space soil properties and growth of Ocimum basilicum var. majus. Chin. Soil Fertil. 2022, 10, 81–88. [Google Scholar] [CrossRef]
- Penfound, E.; Vaz, E. Modelling future wetland loss with land use landcover change simulation in the Greater Toronto and Hamilton Area: The importance of continued greenbelt development restrictions. Habitat Int. 2024, 143, 102974. [Google Scholar] [CrossRef]
- Han, J.G.; Li, G.; Zhang, W.W.; Liu, W.; Liu, S.; Ma, X.; Zhang, L.; Zhu, Y.G. Problems and countermeasures of soil health quality in urban green space. J. Appl. Ecol. 2022, 33, 268–276. [Google Scholar] [CrossRef]
- Zhang, W.; Tang, Y.F.; Wang, C.; Chai, S.Y.; Zuo, Q.T. Research progress on soil replacement medium in biological retention facilities for sponge city construction. Environ. Eng. 2023, 41, 277–285. [Google Scholar] [CrossRef]
- Scharenbroch, B.C.; Meza, E.N.; Catania, M.C.; Fite, K. Biochar and Biosolids Increase Tree Growth and Improve Soil Quality for Urban Landscapes. J. Environ. Qual. 2013, 42, 1372–1385. [Google Scholar] [CrossRef]
- Sui, Y.; Gao, J.P.; Liu, C.H.; Zhang, W.Z.; Lan, Y.; Li, S.H.; Meng, J.; Xu, Z.G.; Tang, L. Interactive effects of straw-derived biochar and N fertilization on soil C storage and rice productivity in rice paddies of Northeast China. Sci. Total Environ. 2016, 544, 203–210. [Google Scholar] [CrossRef]
- Sahu, J.; Prasad, M.; Sahu, R.; Kumar, D.; Sohane, R.K. Crop Residue Management under Changing Climate Scenario. Curr. J. Appl. Sci. Technol. 2019, 15, 1–6. [Google Scholar] [CrossRef]
- Hao, S.; Wang, C.G.; Zhang, A.F.; Wang, X.D.; Ma, X.; Ma, Y. Effects of soil permeability improvement and purification of pollutants in urban green space under different matrix composition amendments. Chin. J. Appl. Ecol. 2020, 31, 1349–1356. [Google Scholar] [CrossRef]
- Wang, C.G.; Hao, S.; Lu, S.X.; Zhang, A.F.; Wang, X.D.; Ma, X.; Ma, Y. Effect of PAM Amendment on the Properties of Urban Green Space Replacement Media. J. Soil Water Conserv. 2020, 34, 356–361. [Google Scholar] [CrossRef]
- Zhou, H.; Fang, Q.; Zhang, Q.; Wang, C.; Chen, S.J.; Mooney, X.; Peng, Z.D. Biochar enhances soil hydraulic function but not soil aggregation in a sandy loam. Eur. J. Soil Sci. 2019, 70, 291–300. [Google Scholar] [CrossRef]
- Peng, X.; Zhu, Q.H.; Xie, Z.B.; Darboux, F.; Holden, N.M. The impact of manure, straw and biochar amendments on aggregation and erosion in a hillslope Ultimol. Catena 2016, 138, 30–37. [Google Scholar] [CrossRef]
- Guo, M.X.; He, Z.Q.; Uchimiya, S.M. Agricultural and Environmental Applications of Biochar: Advances and Barriers; SSSA Special Publication 63; Soil Science Society of America: Madison, WI, USA, 2015; pp. 341–407, 495–504. [Google Scholar] [CrossRef]
- Wang, L.Y.; Ma, J.G. Analysis on Water Infiltration Characteristics and Difference of Soil in Kunming’s Main City Parks Green Space. J. Southwest For. Univ. 2022, 42, 48–55. [Google Scholar] [CrossRef]
- Liu, M.; Jia, Z.H.; Tang, S.C.; Xu, Q.; Zhao, W.Y. Dynamic Process Simulation of the Impact of Rain Garden Concentrated Infiltration on Groundwater Level and Quality. J. China Hydrol. 2023, 43, 66–73. [Google Scholar] [CrossRef]
- Li, P.P.; Wang, Q.; Wen, Q.; Li, H.; Wu, C.F.; Xiong, W.D.; Han, Y.L. Effects of the return of organic materials on soil physical and chemical properties and bacterial number in sandy soil. Acta Ecol. Sin. 2017, 37, 3665–3772. [Google Scholar] [CrossRef]
- Han, F.P.; Zheng, J.Y.; Li, Z.B.; Zhang, X.C. Effect of PAM on soil physical properties and water distribution. Trans. Chin. Soc. Agric. Eng. 2010, 26, 70–74. [Google Scholar] [CrossRef]
- Ran, Y.L.; Wang, Y.Q.; Zhang, R.X.; Zhu, F.H.; Liu, J. Research on the mechanism of super absorbent polymer to soil water-holding characteristic. Agric. Res. Arid Areas 2015, 33, 101–107. [Google Scholar] [CrossRef]
- Wang, C.G.; Li, H.R.; Xue, S.B.; Ma, B.; Shang, Y.Z.; Li, Z.B. How root and soil properties affect soil detachment capacity in different grass–shrub plots: A flume experiment. Catena 2023, 229, 107221. [Google Scholar] [CrossRef]
- Ai, D.; Bian, L.L.; Zhang, Y.G.; Chang, N.J.; Yan, F.F.; Li, B.; Li, Z.H.; Feng, W.Q.; Zhang, Z.J.; Chen, X.; et al. Effects of brick fertilizer on soil electrical conductivity and root distribution of flue cured tobacco. China Soils Fertil. 2023, 3, 111–119. [Google Scholar] [CrossRef]
- Chen, H.X.; Du, Z.L.; Guo, W.; Zhang, Q.Z. Effects of biochar amendment on cropland soil bulk density, cation exchange capacity, and particulate organic matter content in the North China Plain. Chin. J. Appl. Ecol. 2011, 22, 2930–2934. [Google Scholar] [CrossRef]
- Liu, L.Y.H.; Wu, M.L.; Liu, Y.; Yu, Y.H.; Gu, X.J.; Wu, M.J.; Mo, Q.F. Characteristics of Soil Cation Exchange Capacity of Two Plantations in Heshan, Guangdong Province. Chin. J. Soil Sci. 2024, 55, 661–668. [Google Scholar] [CrossRef]
- Hao, S. The Effects of Soil Permeability Improvement and Purification of Pollutants in Urban Green Space under Different Matrix Compositions Amendment. Master’s Dissertation, Northwest A&F University, YangLing, China, 2018. [Google Scholar] [CrossRef]
- Xue, P.; Fu, Q.; Li, T.; Liu, D.; Hou, R.J.; Li, Q.L.; Li, M.; Meng, F.X. Effects of biochar and straw application on the soil structure and water-holding and gas transport capacities in seasonally frozen soil areas. J. Environ. 2022, 301, 113943. [Google Scholar] [CrossRef]
- Chen, C.; Zhu, H.; Lv, Q.; Tang, Q. Impact of biochar on red paddy soil physical and hydraulic properties and rice yield over 3 years. J. Soil Sediments 2022, 22, 607–616. [Google Scholar] [CrossRef]
- Halder, M.; Ahmad, S.J.; Rahman, T.; Joardar, J.C.; Siddique, M.A.B.; Islam, M.S.; Islam, M.U.; Liu, S.; Rabbi, S.; Peng, X.H. Effects of straw incorporation and straw-burning on aggregate stability and soil organic carbon in a clay soil of Bangladesh. Geoderma Reg. 2023, 32, e00620. [Google Scholar] [CrossRef]
- Wang, D.; Fonte, S.J.; Parikh, S.J.; Six, J.H.; Scow, K.M. Biochar additions can enhance soil structure and the physical stabilization of C in aggregates. Geoderma 2017, 303, 110–117. [Google Scholar] [CrossRef]
- Hansen, V.; Müller-Stöver, D.; Munkholm, L.J.; Peltre, C.; Nielsen, H.H.; Jensen, L.S. The effect of straw and wood gasification biochar on carbon sequestration, selected soil fertility indicators and functional groups in soil: An incubation study. Geoderma 2016, 269, 99–107. [Google Scholar] [CrossRef]
- Singh, U.; Sharma, P.K. Comparison of saturated hydraulic conductivity estimated by surface NMR and empirical equations. J. Hydrol. 2023, 617, 128929. [Google Scholar] [CrossRef]
- Xin, Y.; Xie, Y.; Liu, Y.; Liu, H.; Ren, X. Residue cover effects on soil erosion and the infiltration in black soil under simulated rainfall experiments. J. Hydrol. 2016, 543, 651–658. [Google Scholar] [CrossRef]
- Wang, Z.Q.; Xie, W.X.; Chai, N.; Li, P. Effects of Bioretention with oyster shell as filler on pollutants removal from Urban Surface Runoff. J. Soil Water Conserv. 2019, 33, 128–133. [Google Scholar] [CrossRef]
- Iqbal, H.; Garcia-Perez, M.; Flury, M. Effect of biochar on leaching of organic carbon, nitrogen, and phosphorus from compost in bioretention systems. Sci. Total Environ. 2015, 521–522, 37–45. [Google Scholar] [CrossRef]
- Long, G.Q.; Jiang, Y.J.; Sun, B. Seasonal and inter-annual variation of leaching of dissolved organic carbon and nitrogen under long-term manure application in an acidic clay soil in subtropical China. Soil Tillage Res. 2015, 146, 270–278. [Google Scholar] [CrossRef]
- Scott, J.T.; Lambie, S.M.; Stevenson, B.A.; Schipper, L.A.; Parfitt, R.L.; McGill, A.C. Carbon and nitrogen leaching under high and low phosphate fertility pasture with increasing nitrogen inputs. Agric. Ecosyst. Environ. 2015, 202, 139–147. [Google Scholar] [CrossRef]
- Shuman, L.M. Effect of ionic strength and anions on zinc adsorption by two soils. Soil Sci. Soc. Am. J. 1986, 50, 1438–1442. [Google Scholar] [CrossRef]
- Li, C.L.; Liu, M.; Hu, Y.M.; Sui, J.L.; Wu, Y.L.; Liu, C.; Sun, F.Y. Simulation on the control effect of low impact development measures of sponge city based on storm water management model (SWMM). J. Appl. Sci. 2017, 28, 2405–2412. [Google Scholar] [CrossRef]
- Qin, Y.; Chai, B.; Wang, C.; Wang, C.L.; Yan, J.T.; Song, G.S. Removal of tetracycline onto KOH-activated biochar derived from rape straw: Affecting factors, mechanisms and reusability inspection. Colloids Surf. 2022, 640, 128466. [Google Scholar] [CrossRef]
- Wu, H.B.; Fang, H.L.; Li, A.P. Effects of Commonly Modified Materials on Soil Water Infiltration in Green Belt. J. Soil Water Conserv. 2016, 30, 317–323. [Google Scholar] [CrossRef]
- Liu, Z.A.; Yang, J.P.; Yang, Z.C.; Zou, J.L. Effects of rainfall and fertilizer types on nitrogen and phosphorus concentrations in surface runoff from subtropical tea fields in Zhejiang, China. Nutr. Cycl. Agroecosystems 2012, 93, 297–307. [Google Scholar] [CrossRef]
- Du, Y.L. Study on Pollution Characteristics of Initial Rainwater and Its Intercepted Storage at Hefei Economic and Technological Development Area. Master’s Dissertation, Hefei University of Technology, Hefei, China, 2018. [Google Scholar] [CrossRef]
- Hu, D.; Zhang, C.; Ma, B.; Liu, Z.; Yang, L. The characteristics of rainfall runoff pollution and its driving factors in Northwest semiarid region of China—A case study of Xi’an. Sci. Total Environ. 2020, 726, 138384. [Google Scholar] [CrossRef]
- Dusza, Y.; Barot, S.; Kraepiel, Y.; Lata, J.C.; Abbadie, L.; Raynaud, X. Multifunctionality is affected by interactions between green roof plant species, substrate depth, and substrate type. Ecol. Evol. 2017, 7, 2357–2369. [Google Scholar] [CrossRef] [PubMed]
- Wen, L.; Wei, W.; Chen, W.P.; Deo, R.C.; Si, J.H.; Xi, H.Y.; Li, B.F.; Feng, Q. The impacts of substrate and vegetation on stormwater runoff quality from extensive green roofs. J. Hydrol. 2019, 576, 575–582. [Google Scholar] [CrossRef]
- Ma, Y.; Jiang, A.; Shi, X.J.; Li, Z.L.; Chen, X.P. Synthesis of microbial exopolysaccharides and their mechanisms and applications in heavy metal remediation. Acta Microbiol. Sin. 2024, 64, 701–719. [Google Scholar] [CrossRef]
- Hatt, B.E.; Fletcher, T.; Deletic, A. Hydraulic and pollutant removal performance of fine media stormwater filtration systems. Environ. Sci. Technol. 2008, 42, 2535–2541. [Google Scholar] [CrossRef]
- Liu, Y.; Cui, E.P.; Li, Z.Y.; Du, Z.J.; Gao, F.; Fan, X.Y. Migration of nutrient and heavy metals impacted by biochar and pectin under the irrigation with livestock wastewater. Plant Nutr. Fertil. Sci. 2018, 24, 424–434. [Google Scholar] [CrossRef]
- Cheng, J.; Bi, J.; Gong, Y.; Cheng, X.; Yu, J.; Gao, H.H.; Wang, R.; Wang, K. Processes of nitrogen removal from rainwater runoff in bioretention filters modified with ceramsite and activated carbon. Environ. Technol. 2023, 44, 3317–3330. [Google Scholar] [CrossRef]
- Pan, J.K.; Liu, Y.; Qu, Y.A.; Gao, J.P.; Zhang, X.G. Removal Effect of Runoff Pollutants by Bioretention of Composite Filler. Yellow River 2020, 42, 93–99. [Google Scholar] [CrossRef]
- Wang, C.G.; Wang, X.D. Improvement of soil adsorption performance of green space by plants. Huhei Agric. Sci. 2022, 61, 86–91. [Google Scholar] [CrossRef]
- He, Y.; Li, J.Y.; Tian, Y.L.; Gao, C.J.; Qian, J.H.; Li, H.; He, W. Pollution level and risk assessment of heavy metals in municipal sludge. Environ. Sci. Technol. 2021, 44, 131–138. [Google Scholar] [CrossRef]
- Gong, H.; Zhao, L.; Rui, X.; Hu, J.W.; Zhu, N.W. A review of pristine and modified biochar immobilizing typical heavy metals in soil: Applications and challenges. J. Hazard. Mater. 2022, 432, 128668. [Google Scholar] [CrossRef] [PubMed]







| Material | Bulk Density (g·cm−3) | pH | Specific Surface Area (m2·g−1) | Maximum Water Capacity (%) | Organic Carbon (%) | TN (%) | TP (g·kg−1) |
|---|---|---|---|---|---|---|---|
| Decomposed straw | 0.50 | 8.13 | 17.62 | 205.1 | 24.1 | 1.98 | 13.4 |
| Biochar | 0.16 | 9.72 | 29.97 | 861.6 | 51.5 | 1.27 | 4.37 |
| Treatment | Soil (kg·m−3) | Sand (kg·m−3) | Composted Straw (kg·m−3) | Biochar (kg·m−3) | PAM (L·m−3) |
|---|---|---|---|---|---|
| SSJ | 560 | 624 | 100 | 76 | |
| SSBJ | 560 | 624 | 50 | 16 | 76 |
| SSS | 560 | 624 | 32 | 76 |
| Total Nitrogen (TN) | Total Phosphorus (TP) | Chemical Oxygen Demand COD | Cu | Zn | Cd | |
|---|---|---|---|---|---|---|
| Concentration (mg·L−1) | 8 | 2 | 300 | 2.25 | 30 | 1.5 |
| Water distribution reagent | KNO3 | KH2PO4 | C6H12O6 | CuCl2 | ZnSO4 | CdCl2 |
| Flow Load (a) | Set Water Collection Time (min) | Flow Rate (L·min−1) |
|---|---|---|
| Low inflow loading | 100 | 0.018 |
| High inflow loading | 100 | 0.024 |
| Treatment | Saturated Hydraulic Conductivity (m·d−1) | Bulk Density (g·cm−3) | Saturated Water Content (%) |
|---|---|---|---|
| SSJ | 3.69 ± 0.75 | 1.25 ± 0.03 | 39.65 ± 1.90 |
| SSB | 3.53 ± 0.68 | 1.22 ± 0.04 | 39.64 ± 0.97 |
| SSBJ | 3.79 ± 0.44 | 1.24 ± 0.01 | 35.72 ± 1.25 |
| N | P | COD | Cu | Zn | Cd | |
|---|---|---|---|---|---|---|
| SSJ | low | low | low | medium | low | low |
| SSB | high | high | high | high | medium | medium |
| SSBJ | medium | medium | medium | high | high | high |
| N | P | COD | Cu | Zn | Cd | |
|---|---|---|---|---|---|---|
| Modified material | 6.96% ** | 84.15% ** | 9.47% ** | 49.5% ** | 22.41% ** | 6.2% ** |
| Percolation depth | 31.29% ** | 0.56% ** | 33.08% ** | −0.04% | 0.15% | 34.96% ** |
| Leaching time | 9.13% ** | 1.39% ** | 12.03% ** | 2.12% ** | 3.36% | 7.13% ** |
| Flow load | 3.02% ** | 0.4% ** | 0.44% ** | 18.36% ** | 22.26% ** | 2.77% ** |
| Modified material × percolation depth | 11.02% ** | 0.95% ** | 2.07% ** | −0.28% | 0.87% | 19.23% ** |
| Modified material × leaching time | 2.6% ** | 4.21% ** | 1.02% ** | 0.03% | 3% | 3.69% ** |
| Modified material × flow load | 4.47% ** | 1.03% ** | 20.14 %** | 5.11% ** | 29.42% ** | 3.58% ** |
| Percolation depth × leaching time | 9.87% ** | 0.41% ** | 4.88% ** | −0.05% | 1.24% | 5.37% ** |
| Percolation depth × flow load | 4.46% ** | 0.05% ** | 0.57% ** | 0.05% | 0.16% | 0.94% ** |
| Leaching time × flow load | 0.7% ** | 0.4% ** | 0.2% ** | 0.43% | 2.86% | 0.28% ** |
| Modified material × percolation depth × leaching time | 3.78% ** | 2.36% ** | 2.15% ** | −1.33% | 2.28% | 5.08% ** |
| Modified material × percolation depth × flow load | 6.64% ** | 1.74% ** | 8.01% ** | −0.20% | 1.05% | 2.98% ** |
| Modified material × leaching time × flow load | 1.65% ** | 0.43% ** | 2.83% ** | 0.37% | 3% | 1.76% ** |
| Percolation depth × leaching time × flow load | 1.53% ** | 0.28% ** | 0.26% ** | −0.05% | 1.17% | 0.96% ** |
| Modified material × percolation depth × leaching time × flow load | 2.54% ** | 0.97% ** | 1.79% ** | −1.25% | 2.26% | 2.95% ** |
| Error | 0.34% ** | 0.68% ** | 1.04% ** | 27.05% | 4.49% | 2.18% ** |
Disclaimer/Publisher’s Note: The statements, opinions and data contained in all publications are solely those of the individual author(s) and contributor(s) and not of MDPI and/or the editor(s). MDPI and/or the editor(s) disclaim responsibility for any injury to people or property resulting from any ideas, methods, instructions or products referred to in the content. |
© 2024 by the authors. Licensee MDPI, Basel, Switzerland. This article is an open access article distributed under the terms and conditions of the Creative Commons Attribution (CC BY) license (https://creativecommons.org/licenses/by/4.0/).
Share and Cite
Wang, C.; Zhao, Y.; Hao, S.; Chen, J.; Chen, S.; Liu, J.; Liu, H.; Zhu, X.; Li, X.; Zhang, A. Effects of Composted Straw, Biochar, and Polyacrylamide Addition on Soil Permeability and Dynamic Leaching Characteristics of Pollutants in Loessial Soil in Urban Greenbelts According to Indoor Simulation Experiments. Agronomy 2024, 14, 1958. https://doi.org/10.3390/agronomy14091958
Wang C, Zhao Y, Hao S, Chen J, Chen S, Liu J, Liu H, Zhu X, Li X, Zhang A. Effects of Composted Straw, Biochar, and Polyacrylamide Addition on Soil Permeability and Dynamic Leaching Characteristics of Pollutants in Loessial Soil in Urban Greenbelts According to Indoor Simulation Experiments. Agronomy. 2024; 14(9):1958. https://doi.org/10.3390/agronomy14091958
Chicago/Turabian StyleWang, Chenguang, Yikai Zhao, Shan Hao, Jiayong Chen, Shao Chen, Jiaojiao Liu, Helei Liu, Xinyu Zhu, Xueyan Li, and Afeng Zhang. 2024. "Effects of Composted Straw, Biochar, and Polyacrylamide Addition on Soil Permeability and Dynamic Leaching Characteristics of Pollutants in Loessial Soil in Urban Greenbelts According to Indoor Simulation Experiments" Agronomy 14, no. 9: 1958. https://doi.org/10.3390/agronomy14091958
APA StyleWang, C., Zhao, Y., Hao, S., Chen, J., Chen, S., Liu, J., Liu, H., Zhu, X., Li, X., & Zhang, A. (2024). Effects of Composted Straw, Biochar, and Polyacrylamide Addition on Soil Permeability and Dynamic Leaching Characteristics of Pollutants in Loessial Soil in Urban Greenbelts According to Indoor Simulation Experiments. Agronomy, 14(9), 1958. https://doi.org/10.3390/agronomy14091958
