Phenotyping for Effects of Drought Levels in Quinoa Using Remote Sensing Tools
Abstract
1. Introduction
2. Materials and Methods
2.1. Experimental Site
2.2. Plant Materials
2.3. Experimental Design and Management
2.4. Morphological Evaluations
2.5. Physiological Evaluations
2.6. Evaluations with Multispectral Remote Sensors
| ID | Index | Description | Formula | Reference |
|---|---|---|---|---|
| 1 | NDVI | Normalized Difference Vegetation Index | [37] | |
| 2 | TVI | Transformed Vegetation Index | [38] | |
| 3 | RVI | Ratio Vegetation Index | [39] | |
| 4 | MRVI | Modified Normalized Difference Vegetation Index | [40] | |
| 5 | SAVI_CC | Soil Adjusted Vegetation Index | [41] | |
| 6 | SAVI_05 | Soil and Atmospherically Resistant Vegetation Index | [42] | |
| 7 | AVI | Ashburn Vegetation Index | [43] | |
| 8 | IPVI | Infrared Percentage Vegetation Index | [44] | |
| 9 | CTVI | Corrected Transformed Vegetation Index | [45] | |
| 10 | GNDVI | Green Normalized Difference Vegetation Index | [46] | |
| 11 | LCI | Leaf Chlorophyll Index | [47] | |
| 12 | CIG | Chlorophyll Index Green | [48] | |
| 13 | CIREDG | Chlorophyll Index RedEdge | [48] | |
| 14 | CCCI | Canopy Chlorophyll Content Index | [49] | |
| 15 | NDRE | Normalized Difference Red Edge index | [49] | |
| 16 | CREDG | Chlorophyll Red-Edge | [50] | |
| 17 | CVI | Chlorophyll Vegetation index | [51] | |
| 18 | GRVI | Green Ratio Vegetation Index | [52] | |
| 19 | NGRDI | Normalized Green-Red Difference index | [52] | |
| 20 | RGR | Simple Ratio Red/Green | [53] | |
| 21 | GRE | Green Red Edge index | [54] | |
| 22 | GBNDVI | Green-Blue NDVI | [55] | |
| 23 | GRNDVI | Green-Red NDVI | [55] | |
| 24 | HI | Health Index | [56] | |
| 25 | PRI | Photochemical Reflectance Index | [57] |
2.7. Agronomic Evaluations
2.8. Evaluations of Selection Indices
2.9. Statistical Analyses
3. Results
3.1. Effect of Drought on Morphological Variables
3.2. Effect of Drought on Physiological Variables
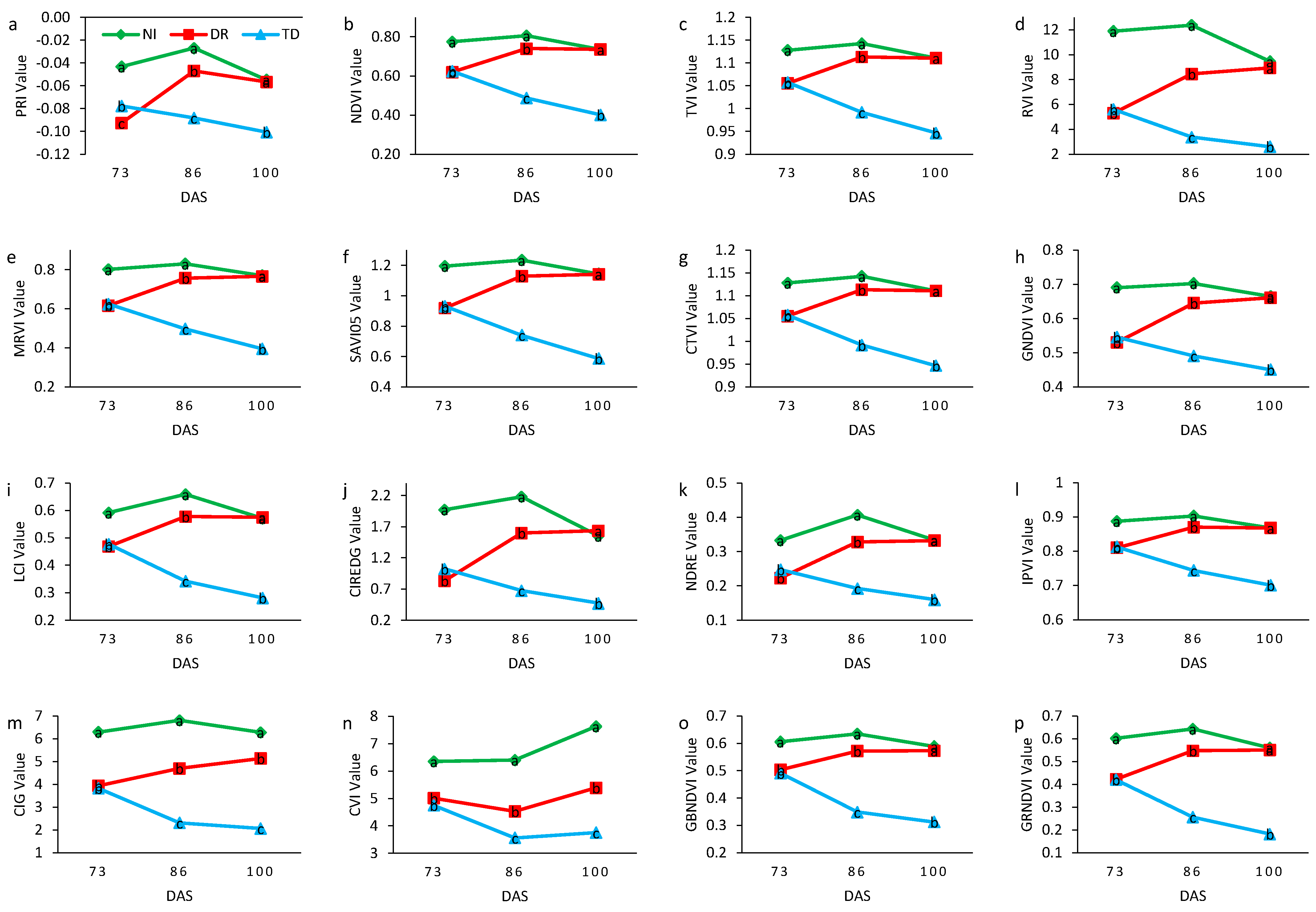
3.3. Detection of Stress via Remote Sensing
3.4. Effect of Drought on Agronomic Variables
3.5. Pearson r Correlation and Multivariate Analysis
3.6. Selection Indices
4. Discussion
5. Conclusions
Author Contributions
Funding
Data Availability Statement
Acknowledgments
Conflicts of Interest
References
- Sinha, R.; Fritschi, F.B.; Zandalinas, S.I.; Mittler, R. The Impact of Stress Combination on Reproductive Processes in Crops. Plant Sci. 2021, 311, 111007. [Google Scholar] [CrossRef] [PubMed]
- Zandalinas, S.I.; Fritschi, F.B.; Mittler, R. Global Warming, Climate Change, and Environmental Pollution: Recipe for a Multifactorial Stress Combination Disaster. Trends Plant Sci. 2021, 26, 588–599. [Google Scholar] [CrossRef] [PubMed]
- Duchenne-Moutien, R.A.; Neetoo, H. Climate Change and Emerging Food Safety Issues: A Review. J. Food Prot. 2021, 84, 1884–1897. [Google Scholar] [CrossRef]
- Matías, J.; Rodríguez, M.J.; Cruz, V.; Calvo, P.; Granado-Rodríguez, S.; Poza-Viejo, L.; Fernández-García, N.; Olmos, E.; Reguera, M. Assessment of the Changes in Seed Yield and Nutritional Quality of Quinoa Grown under Rainfed Mediterranean Environments. Front. Plant Sci. 2023, 14, 1268014. [Google Scholar] [CrossRef] [PubMed]
- Mirón, I.J.; Linares, C.; Díaz, J. The Influence of Climate Change on Food Production and Food Safety. Environ. Res. 2023, 216, 114674. [Google Scholar] [CrossRef] [PubMed]
- Yang, A.; Akhtar, S.S.; Li, L.; Fu, Q.; Li, Q.; Naeem, M.A.; He, X.; Zhang, Z.; Jacobsen, S.-E. Biochar Mitigates Combined Effects of Drought and Salinity Stress in Quinoa. Agronomy 2020, 10, 912. [Google Scholar] [CrossRef]
- Badran, A.E. Assessment of Variation and Stability Parameters of Five Quinoa Genotypes under Drought Stress Conditions. Egypt. J. Bot. 2022, 62, 21–30. [Google Scholar] [CrossRef]
- Akram, M.Z.; Libutti, A.; Rivelli, A.R. Evaluation of Vegetative Development of Quinoa under Water Stress by Applying Different Organic Amendments. Agronomy 2023, 13, 1412. [Google Scholar] [CrossRef]
- Saddiq, M.S.; Wang, X.; Iqbal, S.; Hafeez, M.B.; Khan, S.; Raza, A.; Iqbal, J.; Maqbool, M.M.; Fiaz, S.; Qazi, M.A.; et al. Effect of Water Stress on Grain Yield and Physiological Characters of Quinoa Genotypes. Agronomy 2021, 11, 1934. [Google Scholar] [CrossRef]
- Van Ginkel, M.; Biradar, C. Drought Early Warning in Agri-Food Systems. Climate 2021, 9, 134. [Google Scholar] [CrossRef]
- Valdivia-Cea, W.; Bustamante, L.; Jara, J.; Fischer, S.; Holzapfel, E.; Wilckens, R. Effect of Soil Water Availability on Physiological Parameters, Yield, and Seed Quality in Four Quinoa Genotypes (Chenopodium quinoa Willd.). Agronomy 2021, 11, 1012. [Google Scholar] [CrossRef]
- Tian, L.; Yuan, S.; Quiring, S.M. Evaluation of Six Indices for Monitoring Agricultural Drought in the South-Central United States. Agric. For. Meteorol. 2018, 249, 107–119. [Google Scholar] [CrossRef]
- Forouzandeh, M.; Parsa, S.; Mahmoodi, S.; Izanloo, A. Physiological, Biochemical, and Molecular Responses of Quinoa (Chenopodium quinoa Willd.) to Elicitors Under Drought Stress. Plant Mol. Biol. Report. 2023, 1–17. [Google Scholar] [CrossRef]
- Alvar-Beltrán, J.; Dao, A.; Dalla Marta, A.; Saturnin, C.; Casini, P.; Sanou, J.; Orlandini, S. Effect of Drought, Nitrogen Fertilization, Temperature, and Photoperiodicity on Quinoa Plant Growth and Development in the Sahel. Agronomy 2019, 9, 607. [Google Scholar] [CrossRef]
- Manaa, A.; Goussi, R.; Derbali, W.; Cantamessa, S.; Essemine, J.; Barbato, R. Photosynthetic Performance of Quinoa (Chenopodium quinoa Willd.) after Exposure to a Gradual Drought Stress Followed by a Recovery Period. Biochim. Biophys. Acta BBA—Bioenerg. 2021, 1862, 148383. [Google Scholar] [CrossRef]
- Bazile, D.; Jacobsen, S.-E.; Verniau, A. The Global Expansion of Quinoa: Trends and Limits. Front. Plant Sci. 2016, 7, 622. [Google Scholar] [CrossRef]
- Maestro-Gaitán, I.; Granado-Rodríguez, S.; Poza-Viejo, L.; Matías, J.; Márquez-López, J.C.; Pedroche, J.J.; Cruz, V.; Bolaños, L.; Reguera, M. Quinoa Plant Architecture: A Key Factor Determining Plant Productivity and Seed Quality under Long-Term Drought. Environ. Exp. Bot. 2023, 211, 105350. [Google Scholar] [CrossRef]
- Pathan, S.; Ndunguru, G.; Clark, K.; Ayele, A.G. Yield and Nutritional Responses of Quinoa (Chenopodium quinoa Willd.) Genotypes to Irrigated, Rainfed, and Drought-Stress Environments. Front. Sustain. Food Syst. 2023, 7, 1242187. [Google Scholar] [CrossRef]
- Dumschott, K.; Wuyts, N.; Alfaro, C.; Castillo, D.; Fiorani, F.; Zurita-Silva, A. Morphological and Physiological Traits Associated with Yield under Reduced Irrigation in Chilean Coastal Lowland Quinoa. Plants 2022, 11, 323. [Google Scholar] [CrossRef] [PubMed]
- Lin, P.-H.; Chao, Y.-Y. Different Drought-Tolerant Mechanisms in Quinoa (Chenopodium quinoa Willd.) and Djulis (Chenopodium formosanum Koidz.) Based on Physiological Analysis. Plants 2021, 10, 2279. [Google Scholar] [CrossRef]
- Mahdavi Rad, S.; Yousefi Rad, M.; Sharif Moghadasi, M. Physiological and Morphological Characteristics of Drought-Stressed Chenopodium quinoa Willd, as Affected by Proline and Ascorbic Acid. Commun. Soil Sci. Plant Anal. 2022, 53, 1402–1410. [Google Scholar] [CrossRef]
- Razzaghi, F.; Bahadori-Ghasroldashti, M.R.; Henriksen, S.; Sepaskhah, A.R.; Jacobsen, S. Physiological Characteristics and Irrigation Water Productivity of Quinoa (Chenopodium quinoa Willd.) in Response to Deficit Irrigation Imposed at Different Growing Stages—A Field Study from Southern Iran. J. Agron. Crop Sci. 2020, 206, 390–404. [Google Scholar] [CrossRef]
- Bozkurt Çolak, Y.; Yazar, A.; Alghory, A.; Tekin, S. Evaluation of Crop Water Stress Index and Leaf Water Potential for Differentially Irrigated Quinoa with Surface and Subsurface Drip Systems. Irrig. Sci. 2021, 39, 81–100. [Google Scholar] [CrossRef]
- Issa Ali, O.; Fghire, R.; Anaya, F.; Benlhabib, O.; Wahbi, S. Physiological and Morphological Responses of Two Quinoa Cultivars (Chenopodium quinoa Willd.) to Drought Stress. Gesunde Pflanz. 2019, 71, 123–133. [Google Scholar] [CrossRef]
- Zhang, Y.; Yang, Q.; Zhu, L.; Chen, Z. Comparative Physiological and Biochemical Mechanisms of Drought Tolerance in Three Contrasting Cultivars of Quinoa (Chenopodium quinoa). An. Jard. Bot. Madr. 2022, 79, e123. [Google Scholar] [CrossRef]
- Ruiz, K.B.; Biondi, S.; Oses, R.; Acuña-Rodríguez, I.S.; Antognoni, F.; Martinez-Mosqueira, E.A.; Coulibaly, A.; Canahua-Murillo, A.; Pinto, M.; Zurita-Silva, A.; et al. Quinoa Biodiversity and Sustainability for Food Security under Climate Change. A Review. Agron. Sustain. Dev. 2014, 34, 349–359. [Google Scholar] [CrossRef]
- Kumar, A.; Taparia, M.; Rajalakshmi, P.; Guo, W.; Naik, B.B.; Marathi, B.; Desai, U.B. CIG Based Stress Identification Method for Maize Crop Using UAV Based Remote Sensing. In Proceedings of the 2020 IEEE Sensors Applications Symposium (SAS), Kuala Lumpur, Malaysia, 9–11 March 2020; pp. 1–6. [Google Scholar] [CrossRef]
- Jiang, J.; Johansen, K.; Stanschewski, C.S.; Wellman, G.; Mousa, M.A.A.; Fiene, G.M.; Asiry, K.A.; Tester, M.; McCabe, M.F. Phenotyping a Diversity Panel of Quinoa Using UAV-Retrieved Leaf Area Index, SPAD-Based Chlorophyll and a Random Forest Approach. Precis. Agric. 2022, 23, 961–983. [Google Scholar] [CrossRef]
- Sankaran, S.; Espinoza, C.Z.; Hinojosa, L.; Ma, X.; Murphy, K. High-Throughput Field Phenotyping to Assess Irrigation Treatment Effects in Quinoa. Agrosyst. Geosci. Environ. 2019, 2, 1–7. [Google Scholar] [CrossRef]
- Ruiz, D.A.C.; Villacis, M.G.M.; Kirby, E.; Guzman, J.A.M.; Toulkeridis, T. Correlation of NDVI Obtained by Different Methodologies of Spectral Data Collection in a Commercial Crop of Quinoa (Chenopodium quinoa) in Central Ecuador. In Proceedings of the 2020 Seventh International Conference on eDemocracy & eGovernment (ICEDEG), Buenos Aires, Argentina, 22–24 April 2020; pp. 208–215. [Google Scholar] [CrossRef]
- Yang, X.; Lu, M.; Wang, Y.; Wang, Y.; Liu, Z.; Chen, S. Response Mechanism of Plants to Drought Stress. Horticulturae 2021, 7, 50. [Google Scholar] [CrossRef]
- Bakr, E.M. A New Software for Measuring Leaf Area, and Area Damaged by Tetranychus urticae Koch. J. Appl. Entomol. 2005, 129, 173–175. [Google Scholar] [CrossRef]
- Barrs, H.; Weatherley, P. A Re-Examination of the Relative Turgidity Technique for Estimating Water Deficits in Leaves. Aust. J. Biol. Sci. 1962, 15, 413–428. [Google Scholar] [CrossRef]
- Hurtado, E.; González-Vallejos, F.; Roper, C.; Bastías, E.; Mazuela, P. Propuesta Para La Determinación Del Contenido de Clorofila En Hojas de Tomate. Idesia Arica 2017, 35, 129–130. [Google Scholar] [CrossRef]
- Wilkinson, H.P. The Plant Surface (Mainly Leaf). Anat. Dicotyledons 1979, 1, 97–165. [Google Scholar]
- Chávez, P.; Yarlequé, C.; Piro, O.; Posadas, A.; Mares, V.; Loayza, H.; Chuquillanqui, C.; Zorogastúa, P.; Flexas, J.; Quiroz, R. Applying Multifractal Analysis to Remotely Sensed Data for Assessing PYVV Infection in Potato (Solanum tuberosum L.) Crops. Remote Sens. 2010, 2, 1197–1216. [Google Scholar] [CrossRef]
- Rouse, J.W.; Haas, R.H.; Deering, D.W.; Schell, J.A.; Harlan, J.C. Monitoring the Vernal Advancement and Retrogradation (Green Wave Effect) of Natural Vegetation; Remote Sensing Center Texas A&M University: College Station, TX, USA, 1974. [Google Scholar]
- Deering, D.W. Measuring Forage Production of Grazing Units from Landsat MSS Data. In Proceedings of the 10th International Symposium on Remote Sensing of Environment, Ann Arbor, MI, USA, 6–10 October 1975; Environmental Research Institute of Michigan: Ann Arbor, MI, USA, 1975; pp. 1169–1178. [Google Scholar]
- Birth, G.S.; McVey, G.R. Measuring the Color of Growing Turf with a Reflectance Spectrophotometer. Agron. J. 1968, 60, 640–643. [Google Scholar] [CrossRef]
- Baret, F.; Guyot, G. Potentials and Limits of Vegetation Indices for LAI and APAR Assessment. Remote Sens. Environ. 1991, 35, 161–173. [Google Scholar] [CrossRef]
- Huete, A.R. A Soil-Adjusted Vegetation Index (SAVI). Remote Sens. Environ. 1988, 25, 295–309. [Google Scholar] [CrossRef]
- Shibayama, M.; Salli, A.; Häme, T.; Iso-Iivari, L.; Heino, S.; Alanen, M.; Morinaga, S.; Inoue, Y.; Akiyama, T. Detecting Phenophases of Subarctic Shrub Canopies by Using Automated Reflectance Measurements. Remote Sens. Environ. 1999, 67, 160–180. [Google Scholar] [CrossRef]
- Ashburn, P. The Vegetative Index Number and Crop Identification. In Proceedings of the Technical Sessions of the LACIE Symposium, Houston, TX, USA, 23–26 October 1978; pp. 843–855. [Google Scholar]
- Crippen, R. Calculating the Vegetation Index Faster. Remote Sens. Environ. 1990, 34, 71–73. [Google Scholar] [CrossRef]
- Perry, C.R.; Lautenschlager, L.F. Functional Equivalence of Spectral Vegetation Indices. Remote Sens. Environ. 1984, 14, 169–182. [Google Scholar] [CrossRef]
- Buschmann, C.; Nagel, E. In Vivo Spectroscopy and Internal Optics of Leaves as Basis for Remote Sensing of Vegetation. Int. J. Remote Sens. 1993, 14, 711–722. [Google Scholar] [CrossRef]
- Datt, B. A New Reflectance Index for Remote Sensing of Chlorophyll Content in Higher Plants: Tests Using Eucalyptus Leaves. J. Plant Physiol. 1999, 154, 30–36. [Google Scholar] [CrossRef]
- Gitelson, A.A.; Gritz, Y.; Merzlyak, M.N. Relationships between Leaf Chlorophyll Content and Spectral Reflectance and Algorithms for Non-Destructive Chlorophyll Assessment in Higher Plant Leaves. J. Plant Physiol. 2003, 160, 271–282. [Google Scholar] [CrossRef] [PubMed]
- Barnes, E.M.; Clarke, T.R.; Richards, S.E.; Colaizzi, P.D.; Haberland, J.; Kostrzewski, M.; Waller, P.; Choi, C.; Riley, E.; Thompson, T. Coincident Detection of Crop Water Stress, Nitrogen Status and Canopy Density Using Ground Based Multispectral Data. In Proceedings of the Fifth International Conference on Precision Agriculture, Bloomington, MN, USA, 16–19 July 2000. [Google Scholar]
- Gitelson, A.A.; Keydan, G.P.; Merzlyak, M.N. Three-band Model for Noninvasive Estimation of Chlorophyll, Carotenoids, and Anthocyanin Contents in Higher Plant Leaves. Geophys. Res. Lett. 2006, 33, 2006GL026457. [Google Scholar] [CrossRef]
- Vincini, M.; Frazzi, E.; D’Alessio, P. A Broad-Band Leaf Chlorophyll Vegetation Index at the Canopy Scale. Precis. Agric. 2008, 9, 303–319. [Google Scholar] [CrossRef]
- Gitelson, A.A.; Kaufman, Y.J.; Stark, R.; Rundquist, D. Novel Algorithms for Remote Estimation of Vegetation Fraction. Remote Sens. Environ. 2002, 80, 76–87. [Google Scholar] [CrossRef]
- Gamon, J.A.; Surfus, J.S. Assessing Leaf Pigment Content and Activity with a Reflectometer. New Phytol. 1999, 143, 105–117. [Google Scholar] [CrossRef]
- Hongo, C.; Takahashi, Y.; Sigit, G.; Tamura, E. Evaluation of Bacterial Leaf Blight of Rice Using Hyperspectral Data. In Proceedings of the 7th Asian-Australasian Conference on Precision Agriculture, Hamilton, New Zealand, 16–18 October 2017. [Google Scholar]
- Wang, F.; Huang, J.; Tang, Y.; Wang, X. New Vegetation Index and Its Application in Estimating Leaf Area Index of Rice. Rice Sci. 2007, 14, 195–203. [Google Scholar] [CrossRef]
- Mahlein, A.-K.; Rumpf, T.; Welke, P.; Dehne, H.-W.; Plümer, L.; Steiner, U.; Oerke, E.-C. Development of Spectral Indices for Detecting and Identifying Plant Diseases. Remote Sens. Environ. 2013, 128, 21–30. [Google Scholar] [CrossRef]
- Panigada, C.; Rossini, M.; Meroni, M.; Cilia, C.; Busetto, L.; Amaducci, S.; Boschetti, M.; Cogliati, S.; Picchi, V.; Pinto, F.; et al. Fluorescence, PRI and Canopy Temperature for Water Stress Detection in Cereal Crops. Int. J. Appl. Earth Obs. Geoinf. 2014, 30, 167–178. [Google Scholar] [CrossRef]
- Fernandez, G.C.J. Effective Selection Criteria for Assessing Plant Stress Tolerance. In Proceedings of the International Symposium on Adaptation of Food Crops to Temperature and Water Stress, Tainan, Taiwan, 13–18 August 1992. [Google Scholar] [CrossRef]
- Fischer, R.; Maurer, R. Drought Resistance in Spring Wheat Cultivars. I. Grain Yield Responses. Aust. J. Agric. Res. 1978, 29, 897–912. [Google Scholar] [CrossRef]
- R Core Team. The R Project for Statistical Computing. Available online: https://www.r-project.org/ (accessed on 2 May 2024).
- de Mendiburu, F. Agricolae: Statistical Procedures for Agricultural Research. Available online: https://cran.r-project.org/web/packages/agricolae/index.html (accessed on 2 May 2024).
- Wei, T.; Simko, V.; Levy, M.; Xie, Y.; Jin, Y.; Zemla, J.; Freidank, M.; Cai, J.; Protivinsky, T. Corrplot: Visualization of a Correlation Matrix. Available online: https://cran.r-project.org/web/packages/corrplot/index.html (accessed on 2 May 2024).
- Husson, F.; Josse, J.; Le, S.; Mazet, J. FactoMineR: Multivariate Exploratory Data Analysis and Data Mining. Available online: https://cran.r-project.org/web/packages/FactoMineR/index.html (accessed on 2 May 2024).
- Kassambara, A.; Mundt, F. Factoextra: Extract and Visualize the Results of Multivariate Data Analyses. Available online: https://cran.r-project.org/web/packages/factoextra/index.html (accessed on 2 May 2024).
- Zhou, H.; Zhou, G.; He, Q.; Zhou, L.; Ji, Y.; Zhou, M. Environmental Explanation of Maize Specific Leaf Area under Varying Water Stress Regimes. Environ. Exp. Bot. 2020, 171, 103932. [Google Scholar] [CrossRef]
- Puangbut, D.; Jogloy, S.; Vorasoot, N. Association of Photosynthetic Traits with Water Use Efficiency and SPAD Chlorophyll Meter Reading of Jerusalem Artichoke under Drought Conditions. Agric. Water Manag. 2017, 188, 29–35. [Google Scholar] [CrossRef]
- Arunyanark, A.; Jogloy, S.; Akkasaeng, C.; Vorasoot, N.; Kesmala, T.; Nageswara Rao, R.C.; Wright, G.C.; Patanothai, A. Chlorophyll Stability Is an Indicator of Drought Tolerance in Peanut. J. Agron. Crop Sci. 2008, 194, 113–125. [Google Scholar] [CrossRef]
- Wei, B.; Ma, X.; Guan, H.; Yu, M.; Yang, C.; He, H.; Wang, F.; Shen, P. Dynamic Simulation of Leaf Area Index for the Soybean Canopy Based on 3D Reconstruction. Ecol. Inform. 2023, 75, 102070. [Google Scholar] [CrossRef]
- Raya-Sereno, M.D.; Camino, C.; Pancorbo, J.L.; Alonso-Ayuso, M.; Gabriel, J.L.; Beck, P.S.A.; Quemada, M. Assessing Wheat Genotype Response under Combined Nitrogen and Water Stress Scenarios Coupling High-Resolution Optical and Thermal Sensors with Radiative Transfer Models. Eur. J. Agron. 2024, 154, 127102. [Google Scholar] [CrossRef]
- Hinojosa, L.; Kumar, N.; Gill, K.S.; Murphy, K.M. Spectral Reflectance Indices and Physiological Parameters in Quinoa under Contrasting Irrigation Regimes. Crop Sci. 2019, 59, 1927–1944. [Google Scholar] [CrossRef]
- Thenot, F.; Méthy, M.; Winkel, T. The Photochemical Reflectance Index (PRI) as a Water-Stress Index. Int. J. Remote Sens. 2002, 23, 5135–5139. [Google Scholar] [CrossRef]
- Ihuoma, S.O.; Madramootoo, C.A. Sensitivity of Spectral Vegetation Indices for Monitoring Water Stress in Tomato Plants. Comput. Electron. Agric. 2019, 163, 104860. [Google Scholar] [CrossRef]
- Kyratzis, A.C.; Skarlatos, D.P.; Menexes, G.C.; Vamvakousis, V.F.; Katsiotis, A. Assessment of Vegetation Indices Derived by UAV Imagery for Durum Wheat Phenotyping under a Water Limited and Heat Stressed Mediterranean Environment. Front. Plant Sci. 2017, 8, 1114. [Google Scholar] [CrossRef]
- Zhang, L.; Zhang, H.; Niu, Y.; Han, W. Mapping Maize Water Stress Based on UAV Multispectral Remote Sensing. Remote Sens. 2019, 11, 605. [Google Scholar] [CrossRef]
- Zhang, T.; Guan, H.; Ma, X.; Shen, P. Drought Recognition Based on Feature Extraction of Multispectral Images for the Soybean Canopy. Ecol. Inform. 2023, 77, 102248. [Google Scholar] [CrossRef]
- Yang, A.; Akhtar, S.S.; Amjad, M.; Iqbal, S.; Jacobsen, S.-E. Growth and Physiological Responses of Quinoa to Drought and Temperature Stress. J. Agron. Crop Sci. 2016, 202, 445–453. [Google Scholar] [CrossRef]
- Maestro-Gaitán, I.; Granado-Rodríguez, S.; Orús, M.I.; Matías, J.; Cruz, V.; Bolaños, L.; Reguera, M. Genotype-Dependent Responses to Long-Term Water Stress Reveal Different Water-Saving Strategies in Chenopodium quinoa Willd. Environ. Exp. Bot. 2022, 201, 104976. [Google Scholar] [CrossRef]
- Sun, Y.; Liu, F.; Bendevis, M.; Shabala, S.; Jacobsen, S.-E. Sensitivity of Two Quinoa (Chenopodiumquinoa Willd.) Varieties to Progressive Drought Stress. J. Agron. Crop Sci. 2014, 200, 12–23. [Google Scholar] [CrossRef]









| Genotype | GB UNSA Code 1 |
|---|---|
| Accession 06 | UNSA-CH-1900006 |
| Accession 20 | UNSA-CH-1900020 |
| Accession 23 | UNSA-CH-1900023 |
| Accession 26 | UNSA-CH-1900026 |
| Accession 42 | UNSA-CH-1900042 |
| Accession 43 | UNSA-CH-1900043 |
| Accession 49 | UNSA-CH-1900049 |
| Accession 50 | UNSA-CH-1900050 |
| Blanca de Juli | Blanca de Juli |
| Salcedo INIA | Salcedo INIA |
| Genotypes | Plant Height (cm) | Leaf Area (cm2 Plant−1) | PL (cm) | PD (cm) | ||||||||
|---|---|---|---|---|---|---|---|---|---|---|---|---|
| NI | DR | TD | NI | DR | DT | NI | DR | TD | NI | DR | TD | |
| Accession 06 | 165.80 cd | 133.08 b | 106.43 d | 1861.94 ab | 709.61 c | 522.90 bc | 68.25 a | 51.79 ab | 21.42 b | 9.75 ab | 10.13 ab | 4.10 a |
| Accession 20 | 171.63 bc | 135.55 b | 115.45 cd | 1518.47 bc | 1368.88 b | 534.37 bc | 69.67 a | 59.50 a | 25.08 b | 10.85 a | 11.79 a | 4.63 a |
| Accession 23 | 162.55 cd | 134.83 b | 125.00 abc | 1240.32 bc | 1319.16 b | 514.38 bc | 66.75 a | 45.67 bc | 20.17 b | 11.38 a | 11.04 ab | 4.18 a |
| Accession 26 | 171.20 bc | 133.33 b | 116.25 bcd | 1326.62 bc | 1408.02 b | 544.89 bc | 52.04 bc | 44.71 bc | 21.58 b | 10.42 a | 10.33 ab | 4.64 a |
| Accession 42 | 184.05 b | 135.65 b | 122.75 abc | 2390.84 a | 947.13 bc | 648.59 bc | 52.96 bc | 41.83 c | 23.29 b | 7.92 bc | 8.17 bc | 4.35 a |
| Accession 43 | 212.53 a | 164.03 a | 133.15 a | 2392.29 a | 2060.85 a | 1200.26 a | 69.58 a | 57.21 a | 21.92 b | 10.92 a | 11.63 a | 4.94 a |
| Accession 49 | 150.58 d | 132.93 b | 127.95 ab | 1216.90 bc | 1014.09 bc | 390.91 bc | 56.04 b | 43.96 bc | 34.25 a | 8.92 ab | 8.83 ab | 4.16 a |
| Accession 50 | 121.55 e | 122.75 bc | 124.10 abc | 1194.28 bc | 651.44 c | 367.78 bc | 46.17 c | 42.42 c | 34.63 a | 6.13 c | 5.96 c | 3.66 a |
| Blanca de Juli | 133.90 e | 108.38 c | 95.60 e | 877.69 c | 731.02 c | 299.67 c | 51.71 bc | 42.13 c | 17.63 b | 11.21 a | 11.46 a | 3.78 a |
| Salcedo INIA | 164.23 cd | 144.78 ab | 126.35 abc | 1485.79 bc | 1042.53 bc | 760.80 b | 55.58 b | 46.42 bc | 25.38 b | 9.25 ab | 9.17 ab | 3.46 a |
| Mean | 163.80 | 134.53 | 119.30 | 1550.51 | 1125.27 | 578.45 | 58.88 | 47.56 | 24.53 | 9.67 | 9.85 | 4.19 |
| Genotypes | Chlorophyll Content (SPAD) | Leaf Relative Water Content (LRWC, %) | Specific Leaf Area (SLA, cm2 g−1) | Stomatal Density (SD) | ||||||||
|---|---|---|---|---|---|---|---|---|---|---|---|---|
| NI | DR | TD | NI | DR | DT | NI | DR | TD | NI | DR | TD | |
| Accession 06 | 47.98 a | 49.26 ab | 54.03 bc | 85.97 ab | 80.35 a | 63.04 a | 181.16 a | 189.97 b | 189.53 a | 33 ab | 36 ab | 52 ab |
| Accession 20 | 45.88 ab | 50.19 ab | 53.53 bc | 83.64 ab | 80.84 a | 58.43 a | 213.14 a | 178.20 b | 195.01 a | 36 a | 38 a | 58 ab |
| Accession 23 | 40.84 abc | 46.27 ab | 48.68 cd | 89.60 a | 79.95 a | 56.28 a | 212.93 a | 196.00 b | 193.19 a | 33 ab | 38 a | 63 a |
| Accession 26 | 36.59 c | 46.25 ab | 52.75 bc | 81.44 ab | 77.82 a | 48.48 a | 254.59 a | 209.05 ab | 208.21 a | 33 ab | 31 b | 68 a |
| Accession 42 | 43.62 abc | 47.70 ab | 55.70 ab | 89.84 a | 78.65 a | 56.79 a | 219.13 a | 188.21 b | 193.40 a | 31 ab | 39 a | 71 a |
| Accession 43 | 42.73 abc | 51.75 a | 59.92 a | 87.07 ab | 76.68 a | 59.76 a | 187.98 a | 195.46 b | 197.46 a | 35 ab | 36 ab | 79 a |
| Accession 49 | 37.48 c | 45.03 b | 45.75 d | 80.82 ab | 74.73 a | 55.59 a | 208.63 a | 184.98 b | 191.87 a | 29 b | 32 b | 62 ab |
| Accession 50 | 36.48 c | 39.14 c | 33.14 e | 75.43 b | 72.82 a | 61.72 a | 239.57 a | 248.21 a | 228.80 a | 19 c | 20 c | 34 b |
| Blanca de Juli | 41.79 abc | 51.35 a | 50.14 bcd | 85.57 ab | 80.70 a | 50.61 a | 198.80 a | 192.94 b | 182.72 a | 33 ab | 39 a | 56 ab |
| Salcedo INIA | 40.32 bc | 50.86 a | 52.21 bc | 91.62 a | 83.20 a | 64.57 a | 228.86 a | 189.24 b | 186.66 a | 33 ab | 36 ab | 64 a |
| Mean | 41.37 | 47.78 | 50.58 | 85.10 | 78.57 | 57.53 | 214.48 | 197.22 | 196.68 | 32 | 34 | 61 |
| VI\DAS | 52 | 61 | 63 | 65 | 66 | 70 | 74 | 77 | 79 | 80 | 82 | 84 | 86 | 89 | 93 | 98 | 115 | 129 |
|---|---|---|---|---|---|---|---|---|---|---|---|---|---|---|---|---|---|---|
| NDVI | 0.38 | 0.13 | −0.16 | 0.64 | 0.67 | 0.65 | 0.65 | 0.67 | 0.81 | 0.82 | 0.83 | 0.84 | 0.84 | 0.82 | 0.77 | 0.71 | 0.56 | 0.41 |
| TVI | 0.38 | 0.13 | −0.16 | 0.64 | 0.67 | 0.65 | 0.65 | 0.67 | 0.81 | 0.82 | 0.84 | 0.84 | 0.84 | 0.82 | 0.77 | 0.72 | 0.57 | 0.42 |
| RVI | 0.39 | 0.11 | −0.18 | 0.68 | 0.71 | 0.68 | 0.67 | 0.68 | 0.76 | 0.77 | 0.78 | 0.81 | 0.82 | 0.80 | 0.73 | 0.65 | 0.43 | 0.31 |
| MRVI | 0.38 | 0.13 | −0.16 | 0.64 | 0.67 | 0.65 | 0.65 | 0.67 | 0.81 | 0.82 | 0.83 | 0.84 | 0.84 | 0.82 | 0.77 | 0.71 | 0.56 | 0.41 |
| SAVI_CC | −0.44 | −0.45 | −0.36 | 0.51 | 0.59 | 0.62 | 0.61 | 0.64 | 0.73 | 0.72 | 0.74 | 0.76 | 0.80 | 0.78 | 0.72 | 0.63 | −0.62 | −0.84 |
| SAVI_05 | −0.27 | −0.32 | −0.26 | 0.56 | 0.62 | 0.64 | 0.63 | 0.65 | 0.77 | 0.78 | 0.80 | 0.82 | 0.83 | 0.81 | 0.78 | 0.72 | 0.56 | 0.39 |
| AVI | −0.33 | −0.35 | −0.26 | 0.54 | 0.61 | 0.64 | 0.62 | 0.64 | 0.76 | 0.76 | 0.79 | 0.81 | 0.82 | 0.80 | 0.78 | 0.72 | 0.55 | 0.36 |
| IPVI | 0.38 | 0.13 | −0.16 | 0.64 | 0.67 | 0.65 | 0.65 | 0.67 | 0.81 | 0.82 | 0.83 | 0.84 | 0.84 | 0.82 | 0.77 | 0.71 | 0.56 | 0.41 |
| CTVI | 0.38 | 0.13 | −0.16 | 0.64 | 0.67 | 0.65 | 0.65 | 0.67 | 0.81 | 0.82 | 0.84 | 0.84 | 0.84 | 0.82 | 0.77 | 0.72 | 0.57 | 0.42 |
| GNDVI | 0.12 | 0.02 | −0.13 | 0.36 | 0.46 | 0.57 | 0.59 | 0.59 | 0.69 | 0.71 | 0.74 | 0.75 | 0.76 | 0.73 | 0.75 | 0.60 | 0.44 | 0.32 |
| LCI | −0.34 | 0.24 | 0.08 | 0.44 | 0.56 | 0.64 | 0.64 | 0.63 | 0.70 | 0.72 | 0.79 | 0.84 | 0.84 | 0.82 | 0.77 | 0.71 | 0.56 | 0.53 |
| CIG | 0.11 | 0.00 | −0.15 | 0.36 | 0.46 | 0.58 | 0.59 | 0.59 | 0.65 | 0.66 | 0.68 | 0.68 | 0.70 | 0.66 | 0.69 | 0.52 | 0.35 | 0.25 |
| CIREDG | −0.38 | 0.25 | 0.12 | 0.30 | 0.46 | 0.63 | 0.64 | 0.61 | 0.68 | 0.70 | 0.77 | 0.84 | 0.83 | 0.81 | 0.77 | 0.71 | 0.55 | 0.54 |
| CCCI | −0.45 | 0.22 | 0.20 | −0.28 | −0.24 | 0.44 | 0.52 | 0.42 | 0.46 | 0.55 | 0.71 | 0.84 | 0.81 | 0.78 | 0.76 | 0.72 | 0.58 | 0.59 |
| NDRE | −0.38 | 0.24 | 0.12 | 0.30 | 0.46 | 0.62 | 0.63 | 0.61 | 0.68 | 0.71 | 0.78 | 0.85 | 0.84 | 0.82 | 0.77 | 0.72 | 0.57 | 0.56 |
| CREDG | 0.37 | −0.24 | −0.12 | −0.30 | −0.46 | −0.62 | −0.63 | −0.61 | −0.68 | −0.72 | −0.79 | −0.85 | −0.84 | −0.82 | −0.78 | −0.73 | −0.59 | −0.57 |
| CVI | 0.01 | −0.05 | −0.09 | −0.14 | −0.11 | 0.19 | 0.24 | 0.23 | 0.24 | 0.27 | 0.28 | 0.28 | 0.30 | 0.25 | 0.48 | 0.22 | 0.23 | 0.20 |
| GRVI | 0.11 | 0.00 | −0.15 | 0.36 | 0.46 | 0.58 | 0.59 | 0.59 | 0.65 | 0.66 | 0.68 | 0.68 | 0.70 | 0.66 | 0.69 | 0.52 | 0.35 | 0.25 |
| NGRDI | 0.08 | 0.08 | −0.01 | 0.50 | 0.56 | 0.60 | 0.64 | 0.67 | 0.82 | 0.81 | 0.81 | 0.82 | 0.84 | 0.83 | 0.61 | 0.71 | 0.39 | 0.02 |
| RGR | −0.09 | −0.08 | 0.00 | −0.48 | −0.54 | −0.59 | −0.63 | −0.67 | −0.82 | −0.81 | −0.81 | −0.82 | −0.84 | −0.82 | −0.63 | −0.72 | −0.39 | 0.02 |
| GRE | −0.30 | −0.29 | −0.10 | 0.13 | 0.32 | 0.29 | −0.33 | −0.28 | −0.50 | −0.53 | −0.62 | −0.70 | −0.68 | −0.67 | −0.66 | −0.43 | −0.49 | −0.46 |
| GBNDVI | 0.25 | 0.03 | −0.19 | 0.48 | 0.56 | 0.61 | 0.62 | 0.62 | 0.75 | 0.77 | 0.79 | 0.79 | 0.80 | 0.77 | 0.76 | 0.65 | 0.50 | 0.37 |
| GRNDVI | 0.19 | 0.06 | −0.16 | 0.55 | 0.61 | 0.63 | 0.64 | 0.64 | 0.76 | 0.77 | 0.79 | 0.80 | 0.81 | 0.79 | 0.76 | 0.66 | 0.49 | 0.36 |
| HI | −0.20 | 0.07 | 0.17 | −0.33 | −0.42 | −0.54 | −0.55 | −0.56 | −0.66 | −0.67 | −0.69 | −0.59 | −0.62 | −0.59 | −0.69 | −0.47 | −0.32 | −0.20 |
| CC | 0.31 | 0.36 | 0.26 | 0.52 | 0.53 | 0.72 | 0.66 | 0.65 | 0.85 | 0.87 | 0.86 | 0.84 | 0.83 | 0.82 | 0.80 | 0.79 | 0.77 | 0.73 |
| DAS\IV | PRI | NDVI | TVI | RVI | MRVI | SAVI05 | IPVI | CTVI | GNDVI | LCI | CIG | CIREDG | NDRE | CVI | GBNDVI | GRNDVI |
|---|---|---|---|---|---|---|---|---|---|---|---|---|---|---|---|---|
| 73 | 0.36 | 0.57 | 0.56 | 0.65 | 0.59 | 0.59 | 0.57 | 0.56 | 0.4 | 0.44 | 0.35 | 0.53 | 0.43 | 0.03 | 0.44 | 0.52 |
| 86 | 0.82 | 0.8 | 0.8 | 0.82 | 0.8 | 0.8 | 0.8 | 0.8 | 0.65 | 0.8 | 0.6 | 0.78 | 0.8 | 0.28 | 0.73 | 0.76 |
| 100 | 0.65 | 0.69 | 0.69 | 0.64 | 0.7 | 0.7 | 0.69 | 0.69 | 0.52 | 0.65 | 0.41 | 0.56 | 0.61 | 0.23 | 0.6 | 0.63 |
| Genotypes | Yield (t ha−1) | DM (t ha−1) | HI | WUE (kg m−3) | ||||||||
|---|---|---|---|---|---|---|---|---|---|---|---|---|
| NI | DR | TD | NI | DR | DT | NI | DR | TD | NI | DR | TD | |
| Accession 06 | 1.82 d | 1.01 d | 0.05 d | 11.76 e | 8.96 de | 3.38 c | 0.16 e | 0.11 d | 0.02 d | 1.56 d | 1.45 d | 1.78 c |
| Accession 20 | 3.08 c | 2.06 c | 0.10 cd | 13.27 cd | 10.69 bcd | 3.73 bc | 0.23 d | 0.19 c | 0.02 d | 1.76 cd | 1.74 bcd | 1.96 bc |
| Accession 23 | 4.10 b | 2.97 abc | 0.20 cd | 13.86 bcd | 11.57 bcd | 4.46 ab | 0.30 c | 0.26 b | 0.03 cd | 1.84 bcd | 1.88 bcd | 2.35 ab |
| Accession 26 | 4.97 ab | 3.87 a | 0.20 cd | 15.41 abc | 12.73 abc | 3.82 bc | 0.32 bc | 0.30 a | 0.05 bcd | 2.04 abc | 2.07 abc | 2.01 bc |
| Accession 42 | 5.26 a | 3.00 abc | 0.20 cd | 16.30 ab | 11.86 abcd | 4.28 ab | 0.32 bc | 0.25 b | 0.05 bcd | 2.16 ab | 1.93 abcd | 2.25 ab |
| Accession 43 | 4.28 ab | 2.89 abc | 0.10 cd | 17.86 a | 15.11 a | 4.57 ab | 0.24 d | 0.19 c | 0.02 d | 2.37 a | 2.45 a | 2.41 ab |
| Accession 49 | 4.95 ab | 3.00 abc | 0.30 bc | 13.59 cd | 9.14 de | 4.39 ab | 0.36 ab | 0.33 a | 0.07 bc | 1.80 cd | 1.48 cd | 2.31 ab |
| Accession 50 | 4.10 b | 2.39 bc | 0.68 a | 10.04 e | 7.04 e | 4.83 a | 0.41 a | 0.34 a | 0.14 a | 1.72 cd | 1.59 cd | 2.54 a |
| Blanca de Juli | 0.96 d | 0.67 d | 0.08 cd | 12.02 de | 9.69 cde | 3.81 bc | 0.08 f | 0.07 d | 0.02 d | 1.59 d | 1.57 cd | 2.00 bc |
| Salcedo INIA | 4.53 ab | 3.54 ab | 0.44 b | 15.73 abc | 13.47 ab | 4.83 a | 0.29 cd | 0.26 b | 0.09 b | 2.08 abc | 2.19 ab | 2.54 a |
| Mean | 3.80 | 2.54 | 0.24 | 13.98 | 11.03 | 4.21 | 0.27 | 0.23 | 0.05 | 1.89 | 1.84 | 2.22 |
| Genotypes | DTI | DSI | ||
|---|---|---|---|---|
| TD | DR | TD | DR | |
| Accession 06 | 0.01 d | 0.12 ef | 1.03 a | 1.06 a |
| Accession 20 | 0.02 d | 0.44 de | 1.03 a | 0.98 a |
| Accession 23 | 0.05 cd | 0.84 bc | 1.01 ab | 0.79 a |
| Accession 26 | 0.07 cd | 1.33 a | 1.02 ab | 0.66 a |
| Accession 42 | 0.07 cd | 1.11 ab | 1.03 ab | 1.31 a |
| Accession 43 | 0.03 d | 0.88 bc | 1.04 a | 1.01 a |
| Accession 49 | 0.11 bc | 1.01 abc | 1.00 ab | 1.05 a |
| Accession 50 | 0.19 a | 0.67 cd | 0.88 c | 1.21 a |
| Blanca de Juli | 0.01 d | 0.04 f | 0.98 ab | 0.85 a |
| Salcedo INIA | 0.14 ab | 1.10 ab | 0.96 b | 0.62 a |
| Mean | 0.07 | 0.75 | 1.00 | 0.95 |
Disclaimer/Publisher’s Note: The statements, opinions and data contained in all publications are solely those of the individual author(s) and contributor(s) and not of MDPI and/or the editor(s). MDPI and/or the editor(s) disclaim responsibility for any injury to people or property resulting from any ideas, methods, instructions or products referred to in the content. |
© 2024 by the authors. Licensee MDPI, Basel, Switzerland. This article is an open access article distributed under the terms and conditions of the Creative Commons Attribution (CC BY) license (https://creativecommons.org/licenses/by/4.0/).
Share and Cite
Lupa-Condo, N.E.; Lope-Ccasa, F.C.; Salazar-Joyo, A.A.; Gutiérrez-Rosales, R.O.; Jellen, E.N.; Hansen, N.C.; Anculle-Arenas, A.; Zeballos, O.; Llasaca-Calizaya, N.W.; Mayta-Anco, M.E. Phenotyping for Effects of Drought Levels in Quinoa Using Remote Sensing Tools. Agronomy 2024, 14, 1938. https://doi.org/10.3390/agronomy14091938
Lupa-Condo NE, Lope-Ccasa FC, Salazar-Joyo AA, Gutiérrez-Rosales RO, Jellen EN, Hansen NC, Anculle-Arenas A, Zeballos O, Llasaca-Calizaya NW, Mayta-Anco ME. Phenotyping for Effects of Drought Levels in Quinoa Using Remote Sensing Tools. Agronomy. 2024; 14(9):1938. https://doi.org/10.3390/agronomy14091938
Chicago/Turabian StyleLupa-Condo, Nerio E., Frans C. Lope-Ccasa, Angel A. Salazar-Joyo, Raymundo O. Gutiérrez-Rosales, Eric N. Jellen, Neil C. Hansen, Alberto Anculle-Arenas, Omar Zeballos, Natty Wilma Llasaca-Calizaya, and Mayela Elizabeth Mayta-Anco. 2024. "Phenotyping for Effects of Drought Levels in Quinoa Using Remote Sensing Tools" Agronomy 14, no. 9: 1938. https://doi.org/10.3390/agronomy14091938
APA StyleLupa-Condo, N. E., Lope-Ccasa, F. C., Salazar-Joyo, A. A., Gutiérrez-Rosales, R. O., Jellen, E. N., Hansen, N. C., Anculle-Arenas, A., Zeballos, O., Llasaca-Calizaya, N. W., & Mayta-Anco, M. E. (2024). Phenotyping for Effects of Drought Levels in Quinoa Using Remote Sensing Tools. Agronomy, 14(9), 1938. https://doi.org/10.3390/agronomy14091938

