Next Article in Journal
Analysis of Total Flavonoid Variation and Other Functional Substances in RILs of Tartary Buckwheat, with Near-Infrared Model Construction for Rapid Non-Destructive Detection
Previous Article in Journal
Integration of Crops, Livestock, and Solar Panels: A Review of Agrivoltaic Systems
Previous Article in Special Issue
Optimizing Crop Spatial Structure to Improve Water Use Efficiency and Ecological Sustainability in Inland River Basin
 
 
Font Type:
Arial Georgia Verdana
Font Size:
Aa Aa Aa
Line Spacing:
Column Width:
Background:
Article

Optimizing Spring Maize Growth and Yield through Balanced Irrigation and Nitrogen Application: A TOPSIS Method Approach

1
Institute of Applied Ecology, Chinese Academy of Sciences, Shenyang 110016, China
2
College of Water Conservancy, Shenyang Agricultural University, Shenyang 110866, China
3
University of Chinese Academy of Sciences, Beijing 100049, China
*
Authors to whom correspondence should be addressed.
These authors contributed equally to this work.
Agronomy 2024, 14(8), 1825; https://doi.org/10.3390/agronomy14081825
Submission received: 15 June 2024 / Revised: 29 July 2024 / Accepted: 16 August 2024 / Published: 19 August 2024

Abstract

Water and nitrogen are crucial for producing spring maize. Currently, irrigation and fertilization systems often rely on a single indicator, resulting in inefficient practices. This study aims to determine an optimal nitrogen application rate for shallow buried drip irrigation (SBDI) to balance growth characteristics, yield (Y), water use efficiency (WUE), and soil nitrogen levels. In a typical semi-arid region of Northeast China, we conducted controlled experiments from 2022 to 2023, adopting a two-factor quadratic saturation D-optimal design method to study the effects of different irrigation amounts (145.40, 271.70, 348.20, and 436.20 mm) and nitrogen fertilizer application amounts (34.80, 185.90, 277.40, and 382.80 kg·hm−2) on spring maize. The results indicate that increasing both irrigation and nitrogen application rates can enhance dry matter accumulation (DMA) from 15.17% to 32.70%. The impact of irrigation and fertilization on the net photosynthetic rate (Pn) of spring maize was greater for the irrigation applications than the nitrogen applications, particularly at 9:00 a.m. and 13:00 p.m. and slightly less so at 11:00 a.m. and 15:00 p.m. Concurrently, there were significant increases in total nitrogen (TN1 by 20.85% in the 0–20 cm soil layer; TN2 by 33.33% in the 20–40 cm soil layer) and alkali-hydrolyzed nitrogen (AHN1 by 14.65% at 0–20 cm; AHN2 by 28.86% at 20–40 cm). Y improved from 12.02% to 44.09%, and WUE increased from 20.08% to 140.07%. The optimal water and fertilizer management mode for spring maize SBDI in semi-arid areas was determined through comprehensive analysis using the TOPSIS entropy weight method. When the irrigation amount is 436.20 mm, and the nitrogen fertilizer application amount is 277.40 kg·hm−2, it can significantly promote the DMA, Y, WUE, photosynthetic characteristics, and soil nitrogen content of spring maize. This study provides a theoretical basis for the practical application of SBDI water–fertilizer coupling for spring maize.

1. Introduction

The western semi-arid region of Northeast China is a pivotal area for maize cultivation. It boasts a continental monsoon climate that is rich in light and heat but characterized by scarce and erratic precipitation [1]. The scarcity of water resources stands as a primary constraint to achieving sustainable, high, and stable maize yields in this region. Moreover, irrational fertilizer applications, coupled with significant waste, pose another major challenge to maize production. Statistics indicate that the maize fertilizer utilization rate in this area is a mere 20.0–30.0%, leading to substantial nutrient wastage [2]. Fertigation, the combined application of irrigation and fertilizer, emerges as an effective strategy to address the dual limitations of water and fertilizer [3]. Consequently, elucidating the theoretical underpinnings of technological applications to enhance the efficiency of irrigation water and fertilizer use is crucial for combating drought and bolstering maize cultivation productivity in this region.
Maize is highly sensitive to water deficits, significantly impacting its growth, as well as its physical and chemical properties [4]. Water stress can severely impede maize growth, curtailing yield potential [5]. Conversely, over-irrigation poses its own risks, leading to reduced yields, water wastage, soil salinization, and declines in soil fertility [6]. Drip irrigation offers a solution by delivering water directly to the plant’s root zone, allowing for precise control over water usage and substantially reducing evaporation and deep percolation losses [7]. This targeted approach not only mitigates the issues associated with both water scarcity and over-irrigation but also leads to marked improvements in crop yield [8] and overall water productivity [9], making it an effective strategy for spring maize production.
Nitrogen is an indispensable and abundant element that plays a crucial role in maize growth [10], driving key processes such as growth and development, dry matter accumulation, yield formation [11], and nutrient uptake [12]. It also stimulates the formation of new cells and the development of the crop’s vegetative organs [13]. Timely soil nitrogen supplementation is critical; a deficiency can result in premature senescence [14], reduced seed setting rates [15], and, consequently, decreased grain yields. Urea, a prevalent nitrogen fertilizer, is typically applied as a base dressing. However, nitrogen excess early in the maize growth cycle can elevate the risk of nitrogen leaching [16]. Traditional nitrogen application practices may lead to insufficient uptake later in the growth period, adversely affecting the filling effect and reducing grain yield [17]. To address these challenges, some researchers advocate adopting drip irrigation techniques to facilitate water and nitrogen integration, optimizing their combined application to enhance both nitrogen and water use efficiency [18]. Wang et al. [19] demonstrated that integrating water and fertilizer can boost spring maize yields by 19.0% and improve water use efficiency by 8.7%. Yin et al. [20] explored the interplay between irrigation volume, nitrogen, and phosphorus application, identifying an optimal combination for higher yields and economic returns in the semi-arid regions of Northeast China: an irrigation volume of 930.40 m3·hm−2, nitrogen application at 304.9 kg·hm−2, and phosphorus at 133.2 kg·hm−2.
Numerous scholars have investigated the optimal burial depth for drip irrigation tape, comparing depths of 5 cm [21], 10 cm [22], and 15 cm [23]. Research has demonstrated that a burial depth of 5 cm significantly enhances both crop yield and WUE. This finding has led to the proposal of SBDI measures. SBDI, an efficient water-saving irrigation technique, employs a mechanical operation to bury the drip tape 3–5 cm underground during sowing. This method not only prevents residual film pollution but also minimizes surface evaporation, offering benefits such as water conservation, reduced soil evaporation, increased fertilizer efficiency, higher yields, and environmental sustainability [24].
Water and nitrogen integration in SBDI has been shown to enhance the leaf area index, Soil Plant Analysis Development (SPAD), and yield by 6.35%, 11.02%, and 18.20%, respectively [25]. When water, nitrogen, and potassium are concurrently applied with irrigation volumes ranging from 43.25 to 58.87 mm, nitrogen applications between 229.93 and 382.97 kg·hm−2, and potassium applications between 104.94 and 148.49 kg·hm−2, optimal yield and WUE can be achieved [26]. Compared with traditional border irrigation, adopting drip irrigation at 60% of the volume used in border irrigation has led to increases of 20.29% in leaf area, 14.80% in chlorophyll content, 21.37% in nitrogen utilization efficiency, and 3.24% in enzyme activity without compromising yield [27]. Furthermore, SBDI significantly boosts dry matter distribution in maize roots and the proportion of root strips in the 0–20 cm topsoil layer, enhancing the efficiency of water and fertilizer use [28]. A well-calibrated irrigation and fertilization system not only elevates spring corn yields but also water and fertilizer utilization efficiency. However, current irrigation and fertilization systems often optimize based on single indicators such as Y and WUE, neglecting comprehensive evaluations of multiple indicators, often resulting in irrigation and fertilization strategies that do not meet agricultural production needs. In this study, we employed the Technique for Order Preference by Similarity to Ideal Solution (TOPSIS) based on ideal solution similarity to comprehensively analyze indicators such as spring maize growth and soil nutrient content. We employed this method to identify the optimal irrigation and fertilization regime for spring maize under SBDI in Northeast China to harmoniously balance various parameters.
There is a paucity of research employing comprehensive analyses of multiple indicators to devise rational water and fertilizer combinations for SBDI. To address this gap, we utilized the TOPSIS comprehensive evaluation model to assess the coupling effects of water and nitrogen in SBDI and to optimize the modalities of irrigation and nitrogen application. The primary aims of our research are twofold: (1) to ascertain the impacts of varying rates of irrigation and nitrogen application on soil physicochemical properties, crop yield, WUE, and additional indicators, followed by a holistic evaluation, and (2) to propose the most efficacious measures for conserving water and fertilizer within the SBDI system in Northeast China. These investigations contribute a scientific foundation for efficaciously stewarding spring maize cultivation in this region.

2. Materials and Methods

2.1. Site Description

Our experiments were conducted from 2022 to 2023 in Fuxin Mongolian Autonomous County, a quintessentially semi-arid region in the western part of Northeast China. Situated between latitudes 41°44′ N and 42°34′ N and longitudes 121°01′ E and 122°26′ E, this area is renowned for its significant maize production. The topography is characterized by an average altitude of 235 m. Climatically, the area experiences a moderate annual temperature of 7.8 °C, with a crop growth stage temperature averaging 20.2 °C over 169 days, where the accumulated temperature exceeds 10 °C. This region enjoys 1295.8 h of sunshine during the growth stage yet faces challenges such as uneven precipitation distribution, with an average of 493.10 mm annually, and frequent droughts across spring, summer, and autumn. The average annual evaporation rate is notably high, reaching 1847.6 mm. The soil in this region is classified as sandy loam, with a plow layer unit weight of 1.44 g·cm−3, a field capacity of 23%, and a pH value of 6.15. It is endowed with organic matter at a concentration of 16.43 g·kg−1, total nitrogen (TN) at 1.05 g·kg−1, alkali-hydrolyzable nitrogen (AHN) at 92.15 mg·kg−1, and available potassium at 201.43 mg·kg−1, indicating a fertile yet well-drained soil profile.

2.2. Experimental Design

A two-factor secondary saturation D-optimal design approach was implemented for the experiments (see Table 1) [29]. The design focused on two variables: irrigation amount and nitrogen application rate. The irrigation amount was calculated based on a 0-level code value corresponding to 70% of the average annual precipitation (493.10 mm) during the maize growth period in the test area, excluding any precipitation exceeding 50.00 mm, which was deemed ineffective. The +1 level represented 1.5 times the 0 level, indicating an exceptionally water-rich year, while the −1 level was set at half the 0 level, reflecting an extremely dry year. Consequently, the irrigation amounts were established at 145.40, 271.70, 348.20, and 436.20 mm. The nitrogen application rate was determined similarly, with the 0 level representing the conventional rate of 208.80 kg·hm−2 applied in the test area. The rate was adjusted by ±174.00 kg·hm−2 based on technical measures of water and fertilizer integration, aiming to enhance fertilizer utilization efficiency by 20% [30]. This adjustment was the basis for setting the ±1 level gradient, resulting in nitrogen application rates of 34.80, 185.90, 277.40, and 382.80 kg·hm−2. Each of the six treatment combinations was replicated three times. Urea containing 46.40% nitrogen was chosen as the nitrogen fertilizer. At sowing, one-third of the total nitrogen was applied to the furrow, with the remainder divided equally and applied through drip irrigation during the jointing and tasseling stages. The specific irrigation frequency and volume for each growth phase are detailed in Table 2. SBDI was utilized, with the drip tape buried at a depth of 3–5 cm. The maize variety “Yufeng 303” was selected.

2.3. Measurement and Methods

2.3.1. Soil Moisture Content

The soil moisture content was ascertained using the oven-drying method. Soil samples were collected at various intervals using a soil drill, including before sowing, after each growth stage, and post-harvest. The sampling depth extended to 140 cm, segmented into seven equal layers of 20 cm each. These samples were subjected to a constant temperature of 105 °C in an oven to achieve a fixed dry weight. Thereafter, the soil’s water content was computed with the gravimetric water content method, which quantifies moisture by the weight difference before and after drying.

2.3.2. Soil Nitrogen Content

Soil samples were collected from the 0 to 40 cm depth interval, with stratification occurring every 20 cm using a soil coring technique. Total nitrogen was determined with the Vario MACRO cube element analyzer (ElementarAnalysensysteme GmbH, Hanau, Germany). Soil alkali-hydrolyzed nitrogen was determined via the alkali diffusion method.

2.3.3. Photosynthetic Index

During the plant development filling stage, a selection of representative plants was chosen for assessment. Photosynthetic indices were measured at four distinct time points throughout the day: 9:00 a.m., 11:00 a.m., 13:00 p.m., and 15:00 p.m. The parameters recorded included the photosynthetic rate (Pn) expressed in micromoles of CO2 per square meter per second (μmolCO2·m−2·s−1); the transpiration rate (Tr) in millimoles of H2O per square meter per second (mmolH2O m−2·s−1); stomatal conductance (Gs) in moles per mole per square meter per second (molmolH2O m−2·s−1); and photosynthetically active radiation (PAR) in micromoles per square meter per second (μmolm−2·s−1). These measurements were conducted using the LI-COR 6400 photosynthesisometer (Licoln, NE, USA), a device renowned for precision in assessing plant physiological responses.

2.3.4. Dry Matter Accumulation (DMA)

We selected maize plants exhibiting moderate growth for a dry matter accumulation assessment. The above-ground portions of these plants were carefully harvested, placed into bags, and introduced into a controlled environment oven. Initially, the samples were defoliated at 80 °C for 30 min to remove moisture. Subsequently, the temperature was incrementally raised to 105 °C to ensure thorough drying. The samples were baked at this elevated temperature until their weight stabilized, indicating complete dehydration.

2.3.5. Yield (Y)

At the maturity stage, we harvested two rows of corn ears from the central portion of the experimental micro-plot and recorded their fresh weight. The ears were then subjected to a period of airing and natural air drying to reduce surface moisture. Following this, a comprehensive seed quality analysis was conducted. The moisture content of the grains was determined using a grain moisture meter (model PM8188) (Kett, Tokyo, Japan). The measured values were subsequently used to calculate the grain yield per hectare, providing a standardized productivity assessment.

2.3.6. Crop Water Consumption (ETa)

Crop water consumption was calculated as follows:
ETa = Pr + Cr + Ir − Rr − Dw − ΔS
where ETa is crop water consumption (mm); Pr is rainfall (mm); Cr is the capillary rise in groundwater (mm); Ir is the irrigation amount (mm); Rr is surface runoff (mm); Dw is deep leakage (mm); and ΔS is the change in soil moisture at the end and beginning of the borrowing period (mm). Because the test was carried out in a mobile rainproof shelter, and the irrigation method was drip irrigation, Pr, Rr, and Dw in the formula could be ignored. Because the groundwater depth of the test site is greater than 8 m, Cr could also be ignored [31].

2.3.7. Water Use Efficiency (WUE)

WUE was calculated as follows:
WUE = Y/ETa
where Y is the grain yield (kg·hm−2), and ETa is the water consumption during crop growth stages (mm).

2.4. TOPSIS Entropy Weight Model

The TOPSIS entropy weight model comprehensively evaluates and analyzes multiple indicators through the combination algorithm. It obtains positive and negative ideal solutions and proximity by calculating weight to determine optimal treatments and make reasonable judgments [32,33]. It is commonly used in agricultural production because of its wide applicability [34,35].

2.5. Data Analysis

Data and figures for soil water content, soil nitrogen content, crop net photosynthetic rate, transpiration rate, stomatal conductance, yield, water consumption, and water use efficiency were processed using Microsoft Excel 2020 (Microsoft Crop., Raymond, WA, USA); IBM SPSS Statistical Analysis 20.0 (IBM Inc., New York, NY, USA); and Origin 2022 (Originlab Corp., Northampton, MA, USA). Fisher’s least significant difference (LSD) test analyzed whether there was a significant difference between the means of different treatments (p < 0.05). The TOPSIS entropy weight method evaluated the advantages and disadvantages of each treatment combination. TOPSIS was implemented using MATLAB (version 2021, MathWorks, Natick, MA, USA).

3. Results

3.1. Soil Nitrogen Content

The content of TN and AHN in the 0–20 cm and 20–40 cm soil layers during the harvesting stage are shown in Figure 1.
The 0–20 cm soil layer exhibits higher concentrations of total nitrogen (TN1) and alkali-hydrolyzable nitrogen (AHN1) than the 20–40 cm layer, as illustrated in Figure 1. A comparison between the highest and lowest nitrogen content across the soil layers revealed that the W3N4 treatment yielded the highest TN1 levels, with W1N1 showing a potential increase of 20.85%. The W2N2 treatment demonstrated the highest TN2 levels, marking a 33.33% increase over the W4N1 treatment, which registered the lowest TN2 values. For AHN1, the W1N4 treatment recorded the highest levels, 14.65% greater than the W3N4 treatment, the lowest in this category. Furthermore, the W1N1 treatment had the highest AHN2 content, surpassing the W4N1 treatment by 38.77%. At lower nitrogen application rates (W4N1 and W1N1), the increased irrigation rate did not significantly affect TN1 and AHN1, resulting in a slight 3.53% reduction in TN1 and a 0.50% increase in AHN1. Conversely, TN2 and AHN2 levels decreased by 19.40% and 38.77%, respectively. When nitrogen application rates were elevated (W1N4 and W3N4), the increased irrigation promoted TN1 accumulation by 12.87%, with no significant effect on TN2. At higher irrigation levels (W4N1 and W4N3), the increased nitrogen application significantly boosted the TN1, TN2, and AHN2 levels, increasing by 19.78%, 18.98%, and 34.54%, respectively.

3.2. Dry Matter Accumulation

DMA in spring maize at the tasseling stage under varying water and nitrogen treatments was evaluated (Figure 2). When water and nitrogen were applied in combination, the quantity of both irrigation and fertilization significantly influenced DMA at the tasseling stage. The analysis revealed a ranking in DMA among the treatments, with W3N4 outperforming the others, followed by W4N3, W2N2, W1N4, W4N1, and W1N1, with the last exhibiting the lowest DMA. The W1N1 treatment showed a reduction of 15.17% to 32.70% in dry matter compared with the other treatments. The W3N4 treatment demonstrated a notably higher DMA than W1N1. When the irrigation volume held constant across treatments (comparing W1N1 with W1N4 and W4N1 with W4N3), the increased nitrogen application resulted in a 6.17% to 17.06% enhancement in DMA. Conversely, with a fixed nitrogen application amount (across treatments W1N1, W4N1, W1N4, and W3N4), augmenting the irrigation volume led to a 13.36% to 15.17% increase in dry matter.

3.3. Photosynthetic Characteristics

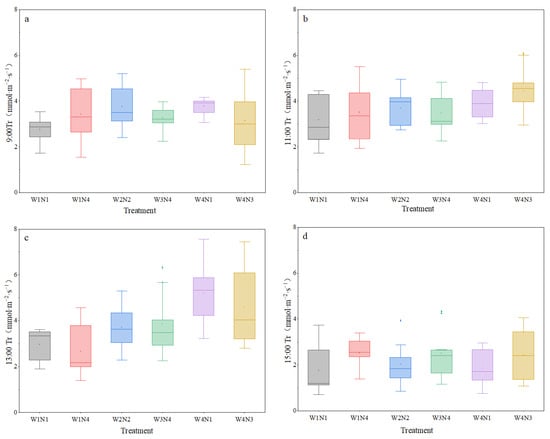
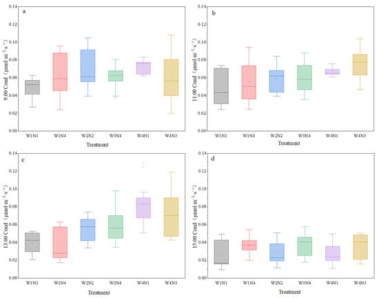
The impact of water and nitrogen coupling on leaf Pn, Cond, and Tr is illustrated in Figure 3, Figure 4 and Figure 5.
At 11:00 a.m., Pn was notably higher than during the other time points, with a slight decline at 13:00 p.m. The lowest values were recorded at 15:00 p.m. (Figure 3). At 9:00 a.m., the W1N1 treatment registered the lowest Pn, whereas the W1N4 treatment exhibited a 13.70% increase over the W1N1 treatment. Furthermore, the Pn in the W2N2 treatment was 26.47% greater than in the W1N1 treatment. When irrigation was insufficient to meet spring maize requirements, increasing the nitrogen application did not significantly enhance Pn. With the nitrogen application amount set at the N1 level, raising the irrigation amount in the W1N1 and W4N1 treatments resulted in a 22.71% increase in Pn. Conversely, when the nitrogen application rate was elevated to a higher level (W4N1; W4N3), the increases in Cond and Tr were curtailed, with respective decreases of 18.69% and 16.82%. Pn also dropped by 18.42% (Figure 3a, Figure 4a, and Figure 5a). At 9:00 a.m., the influence of irrigation on Pn was more pronounced than that of nitrogen application.
At 11:00 a.m., the Pn in the W1N1 treatment was the lowest. An increased nitrogen application rate in the W1N4 treatment elevated Pn by 11.24%, yet this enhancement was not statistically significant. Conversely, maintaining a constant nitrogen level and augmenting irrigation (as in the W4N1 treatment) led to a more pronounced 28.82% increase in Pn, surpassing the nitrogen application effect alone (Figure 3b). When nitrogen application was held constant, increasing irrigation across treatments (W1N1, W4N1, W1N4, and W3N4) increased Cond and Tr by 37.98% and 22.42% and 12.06% and 0.97%, respectively (Figure 4b and Figure 5b). Notably, the Pn values for the W4N1 treatment were slightly lower than those for the W3N4 treatment by a margin of 0.21%. While increased irrigation improved Cond and Tr, we found that neglecting nitrogen fertilizer application hindered the enhancement of photosynthetic capacity. Under these conditions, the nitrogen application rate had a more substantial impact on Pn than irrigation volume.
At 13:00 p.m., the W1N4 treatment exhibited the lowest values for Pn, Cond, and Tr, 11.45%, 8.45%, and 10.39% lower than those in the W1N1 treatment, respectively (Figure 3c). By contrast, the W4N1 treatment showed a 33.82% increase in Pn compared with W1N1, 1.28% higher than the W4N3 treatment. Given that 13:00 p.m. marks the peak temperature of the day, maintaining a constant irrigation amount while increasing nitrogen fertilizer application (as in W4N1 and W4N3) suppressed the Cond and Tr increases and decreased Pn by 1.28%, 17.45%, and 13.55%, respectively (Figure 4c and Figure 5c). Conversely, at this hour, increasing the irrigation amount (as in W1N4 and W3N4) significantly boosted Pn by 35.96%, accompanied by increases in Cond and Tr by 64.54% and 45.11%, respectively. The effect of irrigation on elevating Pn at 13:00 p.m. was more pronounced than that of nitrogen application.
At 15:00 p.m., the W1N4 and W3N4 treatments demonstrated higher Pn values than the other treatments, with increases of 35.68% and 5.14%, respectively, over the W1N1 treatment. Notably, the W1N4 treatment’s enhancement of Pn was more pronounced, showing a 29.05% improvement relative to the W4N1 treatment. By contrast, the W2N2 treatment reduced Pn by 23.65% compared with the W1N4 treatment (Figure 3d). Among the four observed periods, the light intensity at 15:00 p.m. was the dimmest, resulting in significantly lower Cond and Tr rates than those recorded during other periods (Figure 4d and Figure 5d). During this time, the nitrogen application emerged as a more effective way to improve Pn than irrigation.

3.4. Yield and WUE

The effects of different treatments on grain Y and WUE under SBDI during the water and nitrogen coupling experiment are shown in Table 3.
The yield model was constructed according to the yields of different treatments. Y is the dependent variable, and the codes X1 and X2 correspond to the irrigation and nitrogen application amounts as the independent variables, as shown in Model (3):
Y = 10,855.79 + 705.96X1 + 502.92X2 + 336.63X1X2 − 831.65X12 − 496.31X22
A dimension reduction analysis was conducted for Model (3), and the single factor effect models of irrigation and nitrogen application on Y were obtained, as shown in Models (4) and (5):
Irrigation: Y = 10,855.79 + 705.96X1 − 831.65X12
Nitrogen: Y = 10,855.79 + 502.92X2 − 496.31X22
When analyzing the impact of irrigation and nitrogen application on Y, we observed that the effect initially increased with the amount of application and then declined (as depicted in Figure 6). The interaction between these two factors revealed an optimal point where the yield was maximized when the coded values for both irrigation and nitrogen application were close to 1. Consistent irrigation or nitrogen application levels, when increased, resulted in a gradual rise in yield. Specifically, the W3N4 treatment yielded the highest results with an irrigation volume of 348.20 mm and a nitrogen application rate of 382.80 kg·hm−2, significantly outperforming the other treatments. A comparison of treatments W4N1, W4N3, and W1N4 with W3N4 indicated that maintaining a constant irrigation volume while increasing nitrogen fertilizer, or vice versa, could substantially enhance the spring maize yield by from 6.49% to 29.27%. The W1N1 treatment, characterized by low water and nitrogen levels, resulted in the lowest yield at 7042.20 kg·hm−2. However, under the coupled water and nitrogen conditions of SBDI, increasing both water and nitrogen inputs compared with the W1N1 treatment could significantly boost the spring maize yield by from 12.02% to 44.90%. In the maize cultivation environment, the influence of irrigation on yield was more substantial than that of the nitrogen application, as illustrated in Figure 7.
WUE typically declines as the irrigation amount increases. However, compared with the W4N1 treatment, WUE increased, ranging from 20.08% to 140.07%. The treatments with the lowest irrigation amounts, W1N1 and W1N4, demonstrated higher WUE, whereas no significant differences in WUE were observed among treatments W4N1, W4N3, and W3N4. This indicates that further increasing the irrigation amount does not necessarily improve WUE. When the irrigation amount was kept constant, WUE followed the order W1N4 > W1N1 and W4N3 > W4N1. A moderate increase in nitrogen application enhanced WUE, with improvements of 14.75% and 20.08%, respectively. When comparing treatments with the same nitrogen application amounts, such as W1N1, W4N1, and W1N4 with W3N4, it was evident that an increased irrigation amount significantly decreased WUE by 52.20% and 38.51%. However, when comparing W4N3, which received a medium rate of nitrogen, with W3N4, which received a high rate, reducing the irrigation rate increased WUE, but an excessive nitrogen rate did not favor the increase in WUE. This suggests that there is an optimal nitrogen application range for maximizing WUE.

3.5. Interaction Relationship between Different Indicators

Figure 8 illustrates the interaction relationships between indicators, showing a significantly positive correlation between TN2 and AHN2 in the 20–40 cm soil layer. By contrast, AHN1 content decreased with increasing TN1 levels, with no significant impact on either AHN1 or AHN2. TN2 more substantially influenced soil nitrogen content than the 0–20 cm soil layer. Moreover, the AHN2 content was a significant factor in enhancing WUE, indicating that an increase in alkali-hydrolyzable nitrogen in the 20–40 cm soil layer positively affects WUE. While TN1 effectively improved Y, the AHN content did not notably increase Y. A positive correlation was observed between Pn and Y across all stages, with the strongest correlation occurring at 11:00 a.m. Thus, yield can be improved by increasing the TN1 content, and WUE can be increased by elevating the AHN2 content. The significant positive correlation between Y and Pn at 11:00 a.m. suggests that irrigation and fertilization strategies before this time can boost spring maize yields.

3.6. Multi-Objective Decision and Evaluation Based on the TOPSIS Method

The redundancy analysis results indicate a positive correlation between the irrigation amount, nitrogen application amount, and photosynthetic characteristics, which are crucial for plant growth and yield. Additionally, the total nitrogen content in the 0–40 cm soil layer and the alkali-hydrolyzable nitrogen content in the 20–40 cm soil layer were significantly related to WUE and Y. Given these correlations, the TOPSIS entropy weight method was employed to comprehensively analyze these indicators. This approach can identify the optimal irrigation and nitrogen application strategy. By integrating the data on soil nitrogen content, photosynthetic traits, WUE, and yield, the TOPSIS method provides a systematic way to evaluate various scenarios and determine the most effective management practices for enhancing crop productivity and resource use efficiency.
As illustrated in Figure 8, the Pn, Cond, Tr, and TN1 at various times of the day—9:00 a.m., 11:00 a.m., 13:00 p.m., and 15:00 p.m.—enhanced Y. These indices were subjected to a comprehensive evaluation employing TOPSIS. This analytical approach determined the most suitable irrigation and fertilization practices within the SBDI system. The outcomes of this evaluation are presented in Table 4.
In the comprehensive evaluation’s ranking, treatments W4N1 and W4N3 emerged at the top, while W2N2 and W1N1 were at the bottom. The results indicated that a higher irrigation volume more effectively enhanced enhances Y, Pn, and TN1. Conversely, when irrigation was limited (at the W1 level), the increased nitrogen application hindered the improvement of the overall indicators. However, at higher irrigation levels (the W4 level), increasing the nitrogen application positively influenced the comprehensive indicators. At a low water level (N1 level), augmenting irrigation significantly enhanced these indicators. However, when the nitrogen application rate exceeded the conventional local amount (at the N4 level), further increasing the irrigation amount began to impede the improvement of the comprehensive indicators.
In conclusion, the optimal water and fertilizer combination for SBDI’s water–nitrogen coupling was identified when the irrigation volume was 436.20 mm and the nitrogen application rate was 277.40 kg·hm−2. This combination significantly increased DMA, Y, WUE, Pn, and soil nitrogen levels in spring maize.

4. Discussion

4.1. Effect of Water and Nitrogen Coupling on Dry Matter Quality and Photosynthetic Index of Spring Maize

Integrating water and fertilizer in SBDI offers the dual advantage of conserving both resources. This method facilitates the synchronized delivery of water and nutrients to the soil, enhancing fertilizer transport and ensuring a balanced supply of soil water and nutrients [36]. Nitrogen, an essential macronutrient for maize, is crucial for improving Y, promoting photosynthesis, and supporting organ development [37]. It also contributes to dry matter formation by influencing the leaf area and nitrogen content per unit leaf area [38]. Our findings indicate that dry matter accumulation in the W4N3 treatment was is 6.17% greater than that in the W4N1 treatment under ample irrigation conditions, suggesting that increasing nitrogen fertilizer can effectively enhance dry matter accumulation in spring maize. Furthermore, the W3N4 treatment showed an 8.53% increase compared with W4N3, highlighting the importance of balancing irrigation and nitrogen application; this was confirmed by Villegas et al. [39]. Overlooking nitrogen input while increasing irrigation can reduce DMA, a key maize yield determinant [40]. Reasonable water and nitrogen usage can promote DMA growth [41]. In this experiment, all treatments except W1N1 improved dry matter accumulation compared with the control, with a significant positive correlation between DMA and Y during the tasseling stage. This is because reasonable water and nitrogen input can increase the number and weight of spring corn kernels, increasing yield [42]. Guo et al. [43] reached a similar conclusion. This underscores the potential of SBDI to increase yield by optimizing irrigation and fertilization practices, thereby enhancing nutrient delivery to grain and minimizing nutrient loss under rainproof shelters [44].
The synergistic application of water and nitrogen significantly enhances photosynthetic physiological activity in closely planted maize. This improvement can be primarily attributed to water’s substantial impact on the physiological activity of leaves during the growth stage [45]. Increased irrigation at the early growth phase of maize notably boosts the photosynthetic rate and Tr of ear leaves and effectively postpones the decline in chlorophyll values [46]. In inadequate water supply conditions, the timely application of nitrogen fertilizer as a topdressing markedly raises the leaf’s SPAD value and Cond, enhancing the Pn and promoting the accumulation and transfer of photosynthates [47]. The photosynthetic rate at 11:00 a.m. exhibits an upward trend with increased irrigation. However, this pattern varies at other times. For instance, at 9:00 a.m. and 13:00 p.m., the W4N3 treatment, which had ample water, showed a reduced Pn when more nitrogen fertilizer was applied than W4N1. This suggests a threshold for effective water–nitrogen coupling, beyond which, an excessive increase in either irrigation or fertilization can decrease Pn [48].

4.2. Effect of Water and Nitrogen Coupling on the Y and WUE of Spring Maize

Nitrogen fertilizer is an essential nutrient for maize, yet traditional application methods often involve excessive amounts, leading to serious waste [49]. This study revealed a significant correlation between the yield increase from nitrogen fertilizer and the volume of irrigation water. When irrigation was limited, increasing the nitrogen fertilizer significantly reduced yield. However, with an adequate amount of irrigation, the yield response to additional nitrogen fertilizer was pronounced [50]. In addition, even under low irrigation conditions, nitrogen fertilizer could still boost yield, as a small amount of water can mitigate soil drought [51]. Nonetheless, too much nitrogen can exacerbate soil drought under rainproof shelters, negatively affecting yield. Experiments conducted under minimal water conditions show that nitrogen fertilizer can sustain the yield increase effect. Abedi [52] noted no significant difference in yield when nitrogen application exceeded 240 kg·hm−2. Conversely, Fang [53] found that yields plateaued when nitrogen rates surpassed 200 kg·hm−2, indicating a threshold for effective water–fertilizer integration. Below this threshold, increasing irrigation and fertilization significantly improves crop yield, but beyond it, further inputs may reduce yield [54]. This is consistent with the results of this study (Figure 6). Interestingly, we found that the yield under the W3N4 treatment was significantly higher than that of W4N3, with the highest yield achieved when nitrogen application rates surpassed 277.4 kg·hm−2. This suggests that regional variations in climate, soil, and other factors can influence these thresholds [55].
The combination of water and nitrogen has a significant interactive effect. When nitrogen fertilizer is applied with water, it increases the fertilizer’s mobility, allowing it to reach crop roots more effectively and improving root absorption and utilization [56]. Concurrently, nitrogen fertilizer stimulates root development, augmenting the plant’s capacity to absorb both irrigation and soil water [41]. This dual action significantly ameliorates the WUE of spring maize [57,58]. Among the treatments compared, W1N1 and W1N4 demonstrated the highest WUE, with W1N4 showing a 14.60% increase over W1N1. This indicates that even under minimal irrigation, augmenting nitrogen fertilizer can stimulate root growth and enhance soil water uptake [59], improving WUE [60]. W1N4 improved WUE by 62.50% compared with W3N4, demonstrating that optimizing irrigation can significantly enhance water use efficiency by increasing the crop’s soil moisture uptake [41].

4.3. Effect of Water–Nitrogen Coupling on Soil Nitrogen Content

Soil nitrogen content is intricately linked to the final yield of spring maize [61]. Specifically, nitrogen content in the 0–20 cm soil layer significantly influences increases in spring maize yield [62]. However, soil nitrogen tends to migrate with water under drip irrigation, moving downward and potentially leading to nitrogen leaching losses with excessive irrigation [30]. Notably, at the 30 cm soil depth, nitrogen content peaks, but water–nitrogen coupling in SBDI effectively mitigates these issues. When irrigation and nitrogen applications are coupled in SBDI, TN1 content significantly increases in the 0–20 cm soil layer, a primary determinant of Y. This enhancement in TN1 content through SBDI’s water–nitrogen coupling technique demonstrates its potential to boost spring maize yield by facilitating nutrient accumulation in the critical topsoil layer, verifying this technique’s effectiveness and feasibility [31].

4.4. Water–Fertilizer Coupling Effect of Drip Irrigation on Y Increase

Guo [43] conducted field experiments to compare yield changes under various treatment conditions and found that the optimal Y could be achieved when the irrigation amount was 37.50 mm and the nitrogen application was 306.50 kg·hm−2. Previous research on the impact of water–fertilizer coupling on yield has often focused on comparing yields across treatments to identify the best combination [33]. However, these studies have often overlooked the relationship between yield and other key factors such as photosynthesis, DMA, WUE, and soil nutrients. They also did not adequately explore the overall impact on crop yield [53], resulting in their formulated irrigation and fertilization plans not meeting production needs. In the present study, a combination of correlation analysis and TOPSIS assessed the impact of different irrigation and fertilization levels on several maize-related indicators. The selected yield increase indicators were then comprehensively analyzed to determine the most suitable irrigation and nitrogen application ratio for SBDI in a semi-arid northeastern region to conserve water and fertilizer while increasing yield. When the irrigation volume was 348.24 mm, and the nitrogen application rate was 382.80 kg·hm−2, yield peaked. However, after a thorough evaluation considering TN1, photosynthesis, Y, WUE, and other factors, we concluded that an irrigation amount of 436.2 mm and a nitrogen application rate of 277.7 kg·hm−2 provided the best results. TOPSIS can comprehensively evaluate multiple factors, including crop growth, soil water, and fertilizer. This approach helps in developing more effective water and fertilizer management strategies.
The semi-arid region in the western part of Northeast China is a vital area for spring maize cultivation but faces challenges owing to its dry and rainless climate. Implementing irrigation techniques designed to minimize evaporation and enhance WUE and soil nutrient levels is essential. The water–nitrogen coupling SBDI technique offers a strategic solution by facilitating the rational distribution of dry matter, improving the total nitrogen content in TN1, and promoting Y increases. By promoting field techniques, the necessity for supplementary irrigation can be assessed based on natural rainfall patterns during the various spring maize growth stages and combined with the TOPSIS comprehensive evaluation model. This ensures that irrigation practices are tailored to meet the specific water needs of crops, and that water resource management and crop productivity are optimized.

5. Conclusions

This study investigated how irrigation and nitrogen application affect spring maize and soil nitrogen content. The results indicated that SBDI combined with nitrogen application was significantly enhanced DMA, Y, and soil nitrogen content in spring maize. The effects of these inputs on photosynthetic performance varied throughout the day. Irrigation had a greater impact at 9:00 a.m. and 13:00 p.m., while nitrogen application was more influential at 11:00 a.m. and 15:00 p.m. Correlation analysis revealed that the amount of irrigation was positively associated with Y, Pn, Cond, and Tr. In the 0–40 cm soil layer, nitrogen application correlated with TN, Y, WUE, and photosynthetic traits. TOPSIS was employed for a comprehensive analysis to identify the optimal water–nitrogen coupling mode for SBDI conditions. The optimal conditions for spring maize growth were an irrigation amount of 436.20 mm and a nitrogen application rate of 277.40 kg·hm−2. This approach offers a theoretical foundation for practically implementing SBDI water–fertilizer coupling techniques in semi-arid regions.

Author Contributions

Conceptualization, G.Y. and J.G.; methodology, S.S.; software, Y.L. and X. Li; validation, G.Y., J.G., and N.M.; formal analysis, Y.L.; investigation, X.L. and Y.L.; resources, G.Y. and J.G.; data curation, X.L. and N.M.; writing—original draft preparation, J.G. and Y.L.; writing—review and editing, Y.L., J.G., and S.S.; visualization, J.G. and Y.L..; supervision, G.Y. and S.S.; project administration, G.Y.; funding acquisition, G.Y. and J.G. All authors have read and agreed to the published version of the manuscript.

Funding

This research was funded by the Black Land Protection and Utilization Science and Technology Innovation Project of the Chinese Academy of Sciences (Chinese Academy of Sciences, grant numbers XDA28090200, XDA28120100), the National “Fourteenth Five-Year Plan” Key R&D Program (National Science and Technology Council, China, grant numbers 2023YFD1500900, 2023YFD1501200), the Liaoning Province Applied Basic Research Program (Liaoning Department of Science and Technology, China, grant numbers 2022JH2/101300195), the Liaoning Provincial Natural Science Foundation General Project (Liaoning Department of Science and Technology, China, grant numbers, 2022-MS-030), and the Liaoning Outstanding Innovation Team (Liaoning Department of Science and Technology, China, grant numbers XLYC2008015).

Data Availability Statement

The data presented in this study are available upon request from the corresponding authors.

Conflicts of Interest

The authors declare no conflicts of interest. The funders had no role in the design of the study; in the collection, analyses, or interpretation of the data; in the writing of the manuscript; or in the decision to publish the results.

References

  1. Wang, Y.; Lv, J.; Wang, Y.; Sun, H.; Hannaford, J.; Su, Z.; Barker, L.; Qu, Y. Drought risk assessment of spring maize based on APSIM crop model in Liaoning province, China. Int. J. Disaster Risk Reduct. 2020, 45, 101483. [Google Scholar] [CrossRef]
  2. Dong, Q.; Dang, T.; Guo, S.; Hao, M. Effect of different mulching measures on nitrate nitrogen leaching in spring maize planting system in south of Loess Plateau. Agric. Water Manag. 2019, 213, 654–658. [Google Scholar] [CrossRef]
  3. Wu, D.; Xu, X.; Chen, Y.; Shao, H.; Sokolowski, E.; Mi, G. Effect of different drip fertigation methods on maize yield, nutrient and water productivity in two-soils in Northeast China. Agric. Water Manag. 2019, 213, 200–211. [Google Scholar] [CrossRef]
  4. Payero, J.; Tarkalson, D.; Irmak, S.; Davison, D.; Petersen, J. Effect of timing of a deficit-irrigation allocation on corn evapotranspiration, yield, water use efficiency and dry mass. Agric. Water Manag. 2009, 96, 1387–1397. [Google Scholar] [CrossRef]
  5. Aydinsakir, K.; Erdal, S.; Buyuktas, D.; Bastug, R.; Toker, R. The influence of regular deficit irrigation applications on water use, yield, and quality components of two corn (Zea mays L.) genotypes. Agric. Water Manag. 2013, 128, 65–71. [Google Scholar] [CrossRef]
  6. Yan, F.; Zhang, F.; Fan, X.; Fan, J.; Wang, Y.; Zou, H.; Wang, H.; Li, G. Determining irrigation amount and fertilization rate to simultaneously optimize grain yield, grain nitrogen accumulation and economic benefit of drip-fertigated spring maize in northwest China. Agric. Water Manag. 2021, 243, 106440. [Google Scholar] [CrossRef]
  7. Sampathkumar, T.; Pandian, B.; Rangaswamy, M.; Manickasundaram, P.; Jeyakumar, P. Influence of deficit irrigation on growth, yield and yield parameters of cotton–maize cropping sequence. Agric. Water Manag. 2013, 130, 90–102. [Google Scholar] [CrossRef]
  8. Pablo, R.; O’Neill, M.; Mccaslin, B.; Remmenga, M.; Keenan, J.; Onken, B. Evaluation of corn grain yield and water use efficiency using subsurface drip irrigation. J. Sustain. Agric. 2007, 30, 153–172. [Google Scholar] [CrossRef]
  9. Li, M.; Du, Y.; Zhang, F.; Bai, Y.; Fan, J.; Zhang, J.; Chen, S. Simulation of cotton growth and soil water content under film-mulched drip irrigation using modified CSM-CROPGRO-cotton model. Agric. Water Manag. 2019, 218, 124–138. [Google Scholar] [CrossRef]
  10. Guo, J.; Fan, J.; Zhang, F.; Yan, S.; Zheng, J.; Wu, Y.; Li, J.; Wang, Y.; Sun, X.; Liu, X.; et al. Blending urea and slow-release nitrogen fertilizer increases dryland maize yield and nitrogen use efficiency while mitigating ammonia volatilization. Sci. Total Environ. 2021, 790, 148058. [Google Scholar] [CrossRef]
  11. Sinclair, T.; Rufty, T.; Lewis, R. Increasing Photosynthesis: Unlikely Solution for World Food Problem. Trends Plant Sci. 2019, 24, 1019–1053. [Google Scholar] [CrossRef]
  12. Sadras, V.O.; Hayman, P.T.; Rodriguez, D.; Monjardino, M.; Bielich, M.; Unkovich, M.; Mudge, B.; Wang, E. Interactions between water and nitrogen in Australian cropping systems: Physiological, agronomic, economic, breeding and modelling perspectives. Crop Pasture Sci. 2016, 67, 1019–1053. [Google Scholar] [CrossRef]
  13. Ciampitti, I.A.; Vyn, T.J. Physiological perspectives of changes over time in maize yield dependency on nitrogen uptake and associated nitrogen efficiencies: A review. Field Crops Res. 2012, 133, 48–67. [Google Scholar] [CrossRef]
  14. Lemaire, G.; Tang, L.; B’elanger, G.; Zhu, Y.; Jeuffroy, M.-H. Forward new paradigms for crop mineral nutrition and fertilization towards sustainable agriculture. Eur. J. Agron. 2021, 125, 126248. [Google Scholar] [CrossRef]
  15. Zheng, W.; Wang, Y.; Li, Y.; Liu, Z.; Chen, J.; Zhou, H.; Gao, Y.; Chen, B.; Zhang, M. Developing water and nitrogen budgets of a wheat-maize rotation system using auto-weighing lysimeters: Effects of blended application of controlled- release and un-coated urea. Environ. Pollut. 2020, 263, 114383. [Google Scholar] [CrossRef]
  16. Feng, W.; He, L.; Zhang, H.Y.; Guo, B.; Zhu, Y.; Wang, C.; Guo, T. Assessment of plant nitrogen status using chlorophyll fluorescence parameters of the upper leaves in winter wheat. Eur. J. Agron. 2015, 64, 78–87. [Google Scholar] [CrossRef]
  17. Yang, S.; Peng, S.; Xu, J.; He, Y.; Wang, Y. Effects of water saving irrigation and controlled release nitrogen fertilizer managements on nitrogen losses from paddy fields. Paddy Water Environ. 2015, 13, 71–80. [Google Scholar] [CrossRef]
  18. Liu, W.; Zhang, X. Optimizing water and fertilizer input using an elasticity index: A case study with maize in the loess plateau of china. Field Crops Res. 2007, 100, 302–310. [Google Scholar] [CrossRef]
  19. Wang, X.; Dai, K.; Zhang, D.; Zhang, X.; Wang, Y.; Zhao, Q.; Cai, D.; Hoogmoed, W.B.; Oenema, O. Dryland maize yields and water use efficiency in response to tillage/crop stubble and nutrient management practices in China. Field Crops Res. 2011, 120, 47–57. [Google Scholar] [CrossRef]
  20. Yin, G.; Gu, J.; Zhang, F.; Hao, L.; Cong, P.; Liu, Z. Maize Yield Response to Water Supply and Fertilizer Input in a Semi-Arid Environment of Northeast China. PLoS ONE 2014, 9, e86099. [Google Scholar] [CrossRef]
  21. Reyes-Cabrera, J.; Zotarelli, L.; Dukes, M.D.; Rowland, D.L.; Sargent, S.A. soil moisture distribution under drip irrigation and seepage for potato production. Agric. Water Manag. 2016, 169, 183–192. [Google Scholar] [CrossRef]
  22. Bozkurt, S.; Mansuroglu, G.S. Responses of unheated greenhouse grown green bean to buried drip tape placement depth and watering levels. Agric. Water Manag. 2018, 197, 1–8. [Google Scholar] [CrossRef]
  23. Tawfik, A.M.; Bazaraa, A.S.; El-Ayoty, S.A. Performance of subsurface drip irrigation under different conditions. J. Eng. Appl. Sci. 2012, 59, 23–37. [Google Scholar]
  24. Fernandez, J.; DeBruin, J.; Messina, C.D.; Ciampitti, I.A. Late-season nitrogen fertilization on maize yield: A meta-analysis. Field Crops Res. 2020, 247, 107586. [Google Scholar] [CrossRef]
  25. Xu, Q.; Ma, X.; Lv, T.; Bai, M.; Wang, Z.; Niu, J. Effects of water stress on fluorescence parameters and photosynthetic characteristics of drip irrigation in rice. Water 2020, 12, 289. [Google Scholar] [CrossRef]
  26. Wang, Z.; Yin, G.; Gu, J.; Wang, S.; Ma, N.; Zhou, X.; Liu, Y.; Zhao, W. Effect of water, nitrogen and potassium interaction on water use effciency of spring maize under shallow-buried drip irrigation. J. Soil Water Conserv. 2022, 36, 316–324. [Google Scholar]
  27. Yang, H.; Zhang, Y.; Ge, X.; Li, W.; Guo, Z.; Guo, N. Effect of different amount of drip irrigation on carbon metabolism and photosynthetic nitrogen utilization efficiency of maize after anthesis under shallow burried drip irrigation. Acta Agron. Sin. 2022, 48, 2614–2624. [Google Scholar]
  28. Guo, Z.; Yang, H.; Zhao, P.; Liu, J.; Bao, E.; Zhang, R.; Li, Y.; Li, D.; Qin, J. Effects of irrigation quota on morphological characteristics of maize root under shallow-buried drip irrigation. Chin. Agric. Sci. Bull. 2022, 38, 12–19. [Google Scholar]
  29. Dong, Y.; Chen, L.; Fu, X.G. Study on D-saturating optimum design forsweet pepper drying. Trans. Chin. Soc. Agric. Mach. 2002, 33, 70–73. [Google Scholar]
  30. Jia, X.; Shao, L.; Liu, P.; Zhao, B.; Gu, L.; Dong, S.; Bing, S.; Zhang, J.; Zhao, B. Effect of different nitrogen and irrigation treatments on yield and nitrate leaching of summer maize (Zea mays L.) under lysimeter conditions. Agric. Water Manag. 2014, 137, 92–103. [Google Scholar] [CrossRef]
  31. Chen, X.; Zhang, F.; Romheld, V.; Horlacher, D.; Schulz, R.; Boning-Zilkens, M.; Wang, P.; Claupein, W. Synchronizing N supply from soil and fertilizer and N demand of winter wheat by an improved Nmin method. Nutr. Cycl. Agroecosyst. 2006, 74, 91–98. [Google Scholar] [CrossRef]
  32. Hou, X.; Fan, J.; Zhang, F.; Hu, W.; Xiang, Y. Optimization of water and nitrogen management to improve seed cotton yield, water productivity and economic benefit of mulched drip-irrigated cotton in southern Xinjiang, China. Field Crops Res. 2024, 308, 109301. [Google Scholar] [CrossRef]
  33. Hu, H.; Ning, T.; Li, Z.; Han, H.; Zhang, Z.; Qin, S.; Zheng, Y. Coupling effects of urea types and subsoiling on nitrogen–water use and yield of different varieties of maize in northern China. Field Crops Res. 2013, 142, 85–94. [Google Scholar] [CrossRef]
  34. Wang, H.; Wang, X.; Bi, L.; Wang, Y.; Fan, J.; Zhang, F.; Hou, X.; Cheng, M.; Hu, W.; Wu, L.; et al. Multi-objective optimization of water and fertilizer management for potato production in sandy areas of northern China based on TOPSIS. Field Crops Res. 2019, 240, 55–68. [Google Scholar] [CrossRef]
  35. Irmak, S.; Mohammed, A.T.; Kukal, M.S. Maize response to coupled irrigation and nitrogen fertilization under center pivot, subsurface drip and surface (furrow) irrigation: Growth, development and productivity. Agric. Water Manag. 2022, 263, 107457. [Google Scholar] [CrossRef]
  36. Desclaux, D.; Huynh, T.T.; Roumet, P. Identification of soybean plant characteristics that indicate the timing of drought stress. Crop Sci. 2000, 40, 716–722. [Google Scholar] [CrossRef]
  37. Sharma, L.K.; Bali, S.K. A review of methods to improve nitrogen use efficiency in agriculture. Sustainability. 2017, 10, 51. [Google Scholar] [CrossRef]
  38. Jing, L.; Zhao, F.; Liu, P.; Yuan, J.; Lu, D.; Lu, W. Effects of nitrogen treatments on dry matter production and photosynthetic characteristics of summer maize (Zea mays L.) under super-high yield conditions. Acta Agric. Nucleatae Sin. 2014, 28, 317–326. [Google Scholar]
  39. Villegas, D.; Aparicio, N.; Blanco, R.; Royo, C. Biomass accumulation and main stem elongation of durum wheat grown under Mediterranean conditions. Ann. Bot. 2001, 88, 617–627. [Google Scholar] [CrossRef]
  40. Tai, J.; Han, M.; Yang, H.; Zhang, Y.; Ma, J.; Guo, X. Effects of urea reduction with UAN on dry matter accumulation and nitrogen efficiency of spring maize under shallow buried drip irrigation. Acta Agric. Boreali Sin. 2022, 37, 136–144. [Google Scholar]
  41. Ma, L.; Zhang, X.; Lei, Q.; Liu, F. Effects of drip irrigation nitrogen coupling on dry matter accumulation and yield of Summer Maize in arid areas of China. Field Crops Res. 2021, 274, 108321. [Google Scholar] [CrossRef]
  42. Zhang, B.B.; Wu, H.; Lu, Y.; Lv, X.; Zhang, F.; Zhang, H.; Gao, Q.; Yang, Y. Simulation of the dynamic response of dry matter accumulation of spring maize in northeast China to sowing dates and varieties based on normalization method. Chin. J. Agrometeorol. 2019, 40, 357. [Google Scholar]
  43. Guo, B.Y.; Gao, H.; Tang, C.; Liu, T.; Chu, G.X. Response of water coupling with N supply on maize nitrogen uptake, water and N use efficiency, and yield in drip irrigation condition. Chin. J. Appl. Ecol. 2015, 26, 3679–3686. [Google Scholar]
  44. Wang, Y.; Liu, T.; Tan, J.; Zhang, X.; Li, C. Effect of N fertilization on yield, N absorption and utilization of two species of super high-yielding summer maize. Hunan Agric. Sci. Technol. 2012, 13, 339–374. [Google Scholar]
  45. Abd El-Wahed, M.H.; Ali, E.A. Effect of irrigation systems, amounts of irrigation water and mulching on corn yield, water use efficiency and net profit. Agric. Water Manag. 2013, 120, 64–71. [Google Scholar] [CrossRef]
  46. Barton, L.; Colmer, T.D. Irrigation and fertiliser strategies for minimising nitrogen leaching from turfgrass. Agric. Water Manag. 2006, 80, 160–175. [Google Scholar] [CrossRef]
  47. Fu, Q.; Wang, Q.; Shen, X.; Fan, J. Optimizing water and nitrogen inputs for winter wheat cropping system on the Loess Plateau, China. J. Arid Land 2014, 6, 230–242. [Google Scholar] [CrossRef]
  48. Howarth, R.W. Coastal nitrogen pollution: A review of sources and trends globally and regionally. Harmful Algae 2008, 8, 14–20. [Google Scholar] [CrossRef]
  49. Kirnak, H.; Higgs, D.; Kaya, C.; Tas, I. Effects of irrigation and nitrogen rates on growth, yield, and quality of muskmelon in semiarid regions. J. Plant Nutr. 2005, 28, 621–638. [Google Scholar] [CrossRef]
  50. Fan, X.; Zhang, J.; Ren, B.; Li, X.; Zhao, B.; Liu, P.; Dong, S. Nitrogen uptake and utilization of summer maize hybrids with different plant heights. Acta Agron. Sin. 2014, 40, 1830–1838. [Google Scholar] [CrossRef]
  51. Nyiraneza, J.; N’Dayegamiye, A.; Chantigny, M.H.; Laverdière, M.R. Variations in corn yield and nitrogen uptake in relation to soil attributes and nitrogen availability indices. Soil Sci. Soc. Am. J. 2009, 73, 317–327. [Google Scholar] [CrossRef]
  52. Abedi, T.; Alemzadeh, A.; Kazemeini, S.A. Wheat yield and grain protein response to nitrogen amount and timing. Aust. J. Crop Sci. 2011, 5, 330–336. [Google Scholar]
  53. Fang, Q.; Qiang, Y.; Wang, E.; Chen, Y.; Zhang, G.; Wang, J.; Li, L. Soil nitrate accumulation, leaching and crop nitrogen use as influenced by fertilization and irrigation in an intensive wheat-maize double cropping system in the North China Plain. Plant Soil 2006, 70, 461–472. [Google Scholar] [CrossRef]
  54. Couto, A.; Padín, A.R.; Reinoso, B. Comparative yield and water use efficiency of two maize hybrids differing in maturity under solid set sprinkler and two different lateral spacing drip irrigation systems in León, Spain. Agric. Water Manag. 2013, 124, 77–84. [Google Scholar] [CrossRef]
  55. Davies, B.; Coulter, J.A.; Pagliari, P.H. Timing and rate of nitrogen fertilization influence maize yield and nitrogen use efficiency. PLoS ONE 2020, 15, e0233674. [Google Scholar] [CrossRef] [PubMed]
  56. Singandhupe, R.B.; Rao, G.G.S.N.; Patil, N.G.; Brahmanand, P.S. Fertigation studies and irrigation scheduling in drip irrigation system in tomato crop (Lycopersicon esculentum L.). Eur. J. Agron. 2003, 19, 327–340. [Google Scholar] [CrossRef]
  57. Patel, N.; Rajput, T. Effect of fertigation frequency on onion (Allium cepa) yield and soil nitrate-nitrogen. Indian J. Agric. Sci. 2005, 75, 725–730. [Google Scholar]
  58. Wang, Y.; Zhang, X.; Chen, J.; Chen, A.; Wang, L.; Guo, X.; Niu, Y.; Liu, S.; Mi, G.; Gao, Q. Reducing basal nitrogen rate to improve maize seedling growth, water and nitrogen use efficiencies under drought stress by optimizing root morphology and distribution. Agric. Water Manag. 2019, 212, 328–337. [Google Scholar] [CrossRef]
  59. Chilundo, M.; Joel, A.; Wesström, I.; Brito, R.; Messing, I. Effects of reduced irrigation dose and slow release fertiliser on nitrogen use efficiency and crop yield in a semi-arid loamy sand. Agric. Water Manag. 2016, 168, 68–77. [Google Scholar] [CrossRef]
  60. Van Hoorn, J.W.; Katerji, N.; Hamdy, A.; Mastrorilli, M. Effect of salinity on yield and nitrogen uptake of four grain legumes and on biological nitrogen contribution from the soil. Agric. Water Manag. 2001, 51, 87–98. [Google Scholar] [CrossRef]
  61. Katupitiya, A.; Eisenhauer, D.E.; Ferguson, R.B.; Spalding, R.F.; Roeth, F.W.; Bobier, M.W. Long-term tillage and crop rotation effects on residual nitrate in the crop root zone and nitrate accumulation in the intermediate vadose zone. Trans. ASAE 1997, 40, 1321–1327. [Google Scholar] [CrossRef]
  62. Dou, Z.; Fox, R.H.; Toth, J.D. Seasonal soil nitrate dynamics in corn as affected by tillage and nitrogen source. Soil Sci. Soc. Am. J. 1995, 59, 858–864. [Google Scholar] [CrossRef]
Figure 1. Soil TN and AHN content. TN1 and AHN1 represent the total nitrogen and alkali-hydrolyzable nitrogen content of the 0–20 cm soil layer; TN2 and AHN2 refer to the total nitrogen and alkali-hydrolyzable nitrogen content of the 20–40 cm soil layer. The uppercase and lowercase letters distinguish differences in soil nitrogen content between different soil layers. The same letter indicates no significant difference (p > 0.05); different letters indicate significant differences (p ≤ 0.05); the same is true in the figure below.
Figure 1. Soil TN and AHN content. TN1 and AHN1 represent the total nitrogen and alkali-hydrolyzable nitrogen content of the 0–20 cm soil layer; TN2 and AHN2 refer to the total nitrogen and alkali-hydrolyzable nitrogen content of the 20–40 cm soil layer. The uppercase and lowercase letters distinguish differences in soil nitrogen content between different soil layers. The same letter indicates no significant difference (p > 0.05); different letters indicate significant differences (p ≤ 0.05); the same is true in the figure below.
Agronomy 14 01825 g001
Figure 2. DMA at tasseling stage. The lowercase letters in the figure represent significant differences; different letters represent significant differences (p < 0.05); and the same letter represents no significant differences.
Figure 2. DMA at tasseling stage. The lowercase letters in the figure represent significant differences; different letters represent significant differences (p < 0.05); and the same letter represents no significant differences.
Agronomy 14 01825 g002
Figure 3. Leaf photosynthetic rate of nitrogen coupling in SBDI on Pn on spring maize.
Figure 3. Leaf photosynthetic rate of nitrogen coupling in SBDI on Pn on spring maize.
Agronomy 14 01825 g003
Figure 4. Effect of nitrogen coupling in SBDI on Cond of spring maize.
Figure 4. Effect of nitrogen coupling in SBDI on Cond of spring maize.
Agronomy 14 01825 g004
Figure 5. Leaf Tr rate of nitrogen coupling in SBDI on spring maize.
Figure 5. Leaf Tr rate of nitrogen coupling in SBDI on spring maize.
Agronomy 14 01825 g005
Figure 6. Single factor for the water and nitrogen application regarding Y.
Figure 6. Single factor for the water and nitrogen application regarding Y.
Agronomy 14 01825 g006
Figure 7. Yield effect of water and nitrogen coupling.
Figure 7. Yield effect of water and nitrogen coupling.
Agronomy 14 01825 g007
Figure 8. Correlation of indicators. The size of the circle represents the absolute value of the correlation coefficient, red represents positive correlation, and blue represents negative correlation.
Figure 8. Correlation of indicators. The size of the circle represents the absolute value of the correlation coefficient, red represents positive correlation, and blue represents negative correlation.
Agronomy 14 01825 g008
Table 1. Experimental design.
Table 1. Experimental design.
TreatmentsCodeApplication Rate
X1
(Irrigation)
X2
(Nitrogen)
Irrigation
(mm)
Nitrogen
(kg·hm−2)
W1N1−1−1145.4034.80
W4N11−1436.2034.80
W1N4−11145.40382.80
W2N2−0.1315−0.1315271.70185.90
W4N310.3945436.20277.40
W3N40.39451348.20382.80
Table 2. Implementation plan for SBDI treatments throughout the crop growth period.
Table 2. Implementation plan for SBDI treatments throughout the crop growth period.
TreatmentsSeeding Stage-
Jointing Stage
Jointing Stage-
Heading Stage
Heading Stage-
Filling Stage
Filling Stage-
Maturation Stage
TimesIrrigation (mm)TimesIrrigation (mm)TimesIrrigation (mm)TimesIrrigation (mm)
W1N1127.60239.80132.00246.00
W4N1282.903119.50296.003137.80
W1N4127.60239.80132.00246.00
W2N2251.60274.40259.80285.90
W4N3282.903119.50296.003137.80
W3N4266.20395.40276.603110.00
Table 3. Yield of water and nitrogen coupling in spring maize.
Table 3. Yield of water and nitrogen coupling in spring maize.
TreatmentsY
(kg·hm−2)
WUE
(kg·hm−2·mm−1)
W1N17042.20 ± 92.30 d36.30 ± 5.80 ab
W4N18554.00 ± 342.30 b17.30 ± 2.00 d
W1N47893.90 ± 81.20 c41.60 ± 3.80 a
W2N29029.40 ± 118.60 b28.60 ± 1.50 bc
W4N39109.50 ± 14.90 b20.80 ± 0.50 cd
W3N410,204.20 ± 214.60 a25.60 ± 0.40 cd
Note: The lowercase letters in the figure represent significant differences; different letters represent significant differences (p < 0.05); and the same letter represents no significant differences.
Table 4. Comprehensive evaluation results of water–nitrogen coupling in spring maize.
Table 4. Comprehensive evaluation results of water–nitrogen coupling in spring maize.
TreatmentsD+DSiRanking
W1N10.95660.27650.22426
W4N10.81650.52290.39042
W1N40.86970.43580.33383
W2N20.80450.35350.30535
W4N30.38350.88660.69801
W3N40.82540.40570.32954
Disclaimer/Publisher’s Note: The statements, opinions and data contained in all publications are solely those of the individual author(s) and contributor(s) and not of MDPI and/or the editor(s). MDPI and/or the editor(s) disclaim responsibility for any injury to people or property resulting from any ideas, methods, instructions or products referred to in the content.

Share and Cite

MDPI and ACS Style

Liu, Y.; Gu, J.; Ma, N.; Li, X.; Yin, G.; Sun, S. Optimizing Spring Maize Growth and Yield through Balanced Irrigation and Nitrogen Application: A TOPSIS Method Approach. Agronomy 2024, 14, 1825. https://doi.org/10.3390/agronomy14081825

AMA Style

Liu Y, Gu J, Ma N, Li X, Yin G, Sun S. Optimizing Spring Maize Growth and Yield through Balanced Irrigation and Nitrogen Application: A TOPSIS Method Approach. Agronomy. 2024; 14(8):1825. https://doi.org/10.3390/agronomy14081825

Chicago/Turabian Style

Liu, Yongqi, Jian Gu, Ningning Ma, Xue Li, Guanghua Yin, and Shijun Sun. 2024. "Optimizing Spring Maize Growth and Yield through Balanced Irrigation and Nitrogen Application: A TOPSIS Method Approach" Agronomy 14, no. 8: 1825. https://doi.org/10.3390/agronomy14081825

APA Style

Liu, Y., Gu, J., Ma, N., Li, X., Yin, G., & Sun, S. (2024). Optimizing Spring Maize Growth and Yield through Balanced Irrigation and Nitrogen Application: A TOPSIS Method Approach. Agronomy, 14(8), 1825. https://doi.org/10.3390/agronomy14081825

Note that from the first issue of 2016, this journal uses article numbers instead of page numbers. See further details here.

Article Metrics

Back to TopTop