Optimizing Irrigation and Nitrogen Fertilizer Regimes to Increase the Yield and Nitrogen Utilization of Tibetan Barley in Tibet
Abstract
1. Introduction
2. Materials and Methods
2.1. Experimental Site
2.2. Experimental Design and Crop Management
2.3. Sampling and Measurement
2.4. Statistical Analysis
3. Results
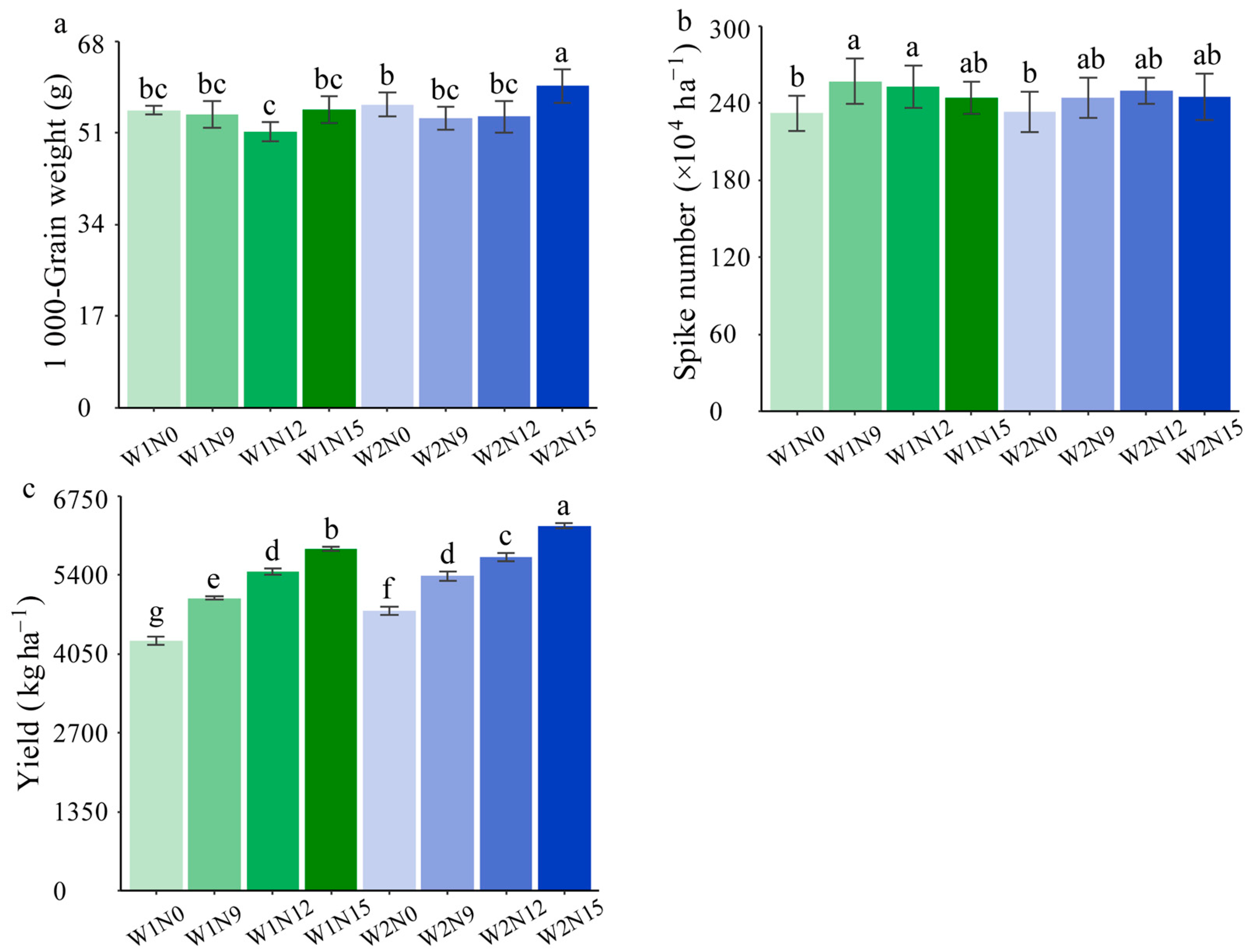
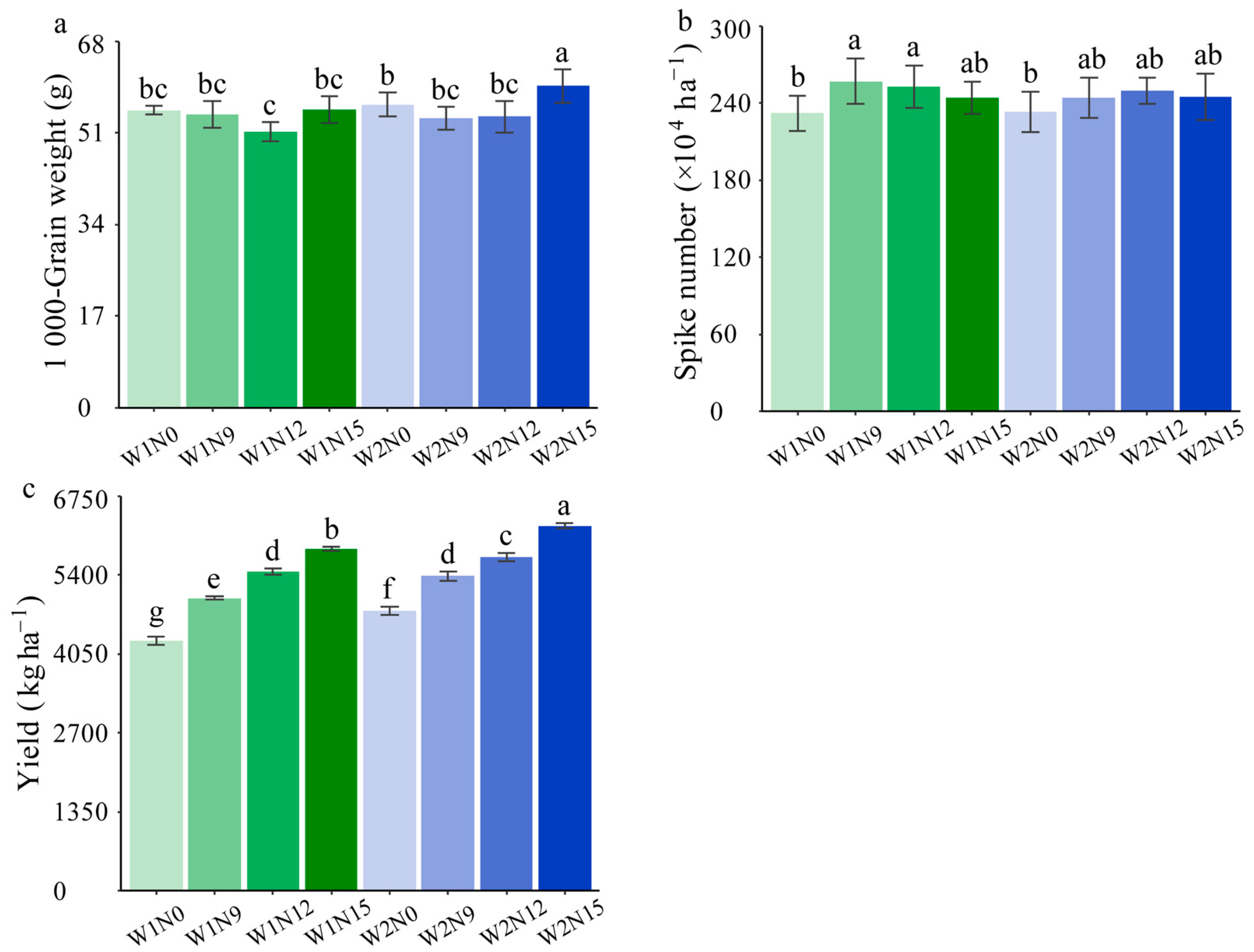
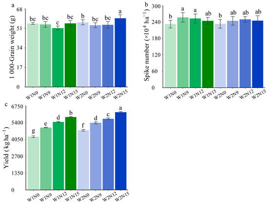
3.1. Aboveground Biomass, Grain Yield, and Yield Components
3.2. Nitrogen Accumulation and Distribution Ratio
3.3. Nitrogen Translocation
3.4. Nitrogen Utilization
3.5. Relationship between Yield and N Parameters
3.6. PLS-PM Analysis
4. Discussion
4.1. Effect of Water and Nitrogen Regimes on Aboveground Biomass and Grain Yield
4.2. Effects of N Application Rates and Irrigation Regimes on N Accumulation and Distribution
4.3. Effects of Irrigation and Nitrogen Fertilizer on Nitrogen Utilization
4.4. The Relationship between Grain Yield and Nitrogen-Related Components
5. Conclusions
Supplementary Materials
Author Contributions
Funding
Data Availability Statement
Conflicts of Interest
References
- Wang, X.; Ma, R.; Cui, D.; Cao, Q.; Shan, Z.; Jiao, Z. Physio-biochemical and molecular mechanism underlying the enhanced heavy metal tolerance in highland barley seedlings pre-treated with low-dose gamma irradiation. Sci. Rep. 2017, 7, 14233. [Google Scholar] [CrossRef]
- Du, J.; Ma, Y. Climatic trend of rainfall over Tibetan Plateau from 1971 to 2000. Acta Geogr. Sin. 2004, 59, 375–382. (In Chinese) [Google Scholar] [CrossRef]
- Shi, H.; Li, T.; Wang, G. Temporal and spatial variations of potential evaporation and the driving mechanism over Tibet during 1961–2001. Hydrol. Sci. J. 2017, 62, 1469–1482. [Google Scholar] [CrossRef]
- Yin, Y.; Ma, D.; Wu, S. Enlargement of the semi-arid region in China from 1961 to 2010. Clim. Dyn. 2019, 52, 509–521. [Google Scholar] [CrossRef]
- Ju, X.; Xing, G.; Chen, X.; Zhang, S.; Zhang, L.; Liu, X.; Cui, Z.; Yin, B.; Christie, P.; Zhu, Z.; et al. Reducing environmental risk by improving N management in intensive Chinese agricultural systems. Proc. Natl. Acad. Sci. USA 2009, 106, 3041–3046. [Google Scholar] [CrossRef]
- Liu, G.; Pubuguiji; Li, X.; Xie, Y.; Ma, R.; Gao, X. Key technical measures for reducing fertilizer and increasing efficiency in Tibet. Tibet J. Agric. Sci. 2018, 48–52. (In Chinese) [Google Scholar]
- Liu, G.; Nimazhaxi. Research and prospect on the work of soil and fertilizer in Tibet. Tibet J. Agric. Sci. 2016, 38, 1–7. (In Chinese) [Google Scholar]
- Zhang, E.; Wang, Q.; Guan, Q.; Yang, X.; Luo, H.; Zhang, J.; Du, Q.; Zhang, Z. Re-intensification of flash drought in western China over the past decade: Implications of fluctuating wetting trend. Sci. Total Environ. 2024, 919, 170878. [Google Scholar] [CrossRef]
- Paltridge, N.; Tao, J.; Unkovich, M.; Bonamano, A.; Gason, A.; Grover, S.; Wilkins, J.; Tashi, N.; Coventry, D. Agriculture in central Tibet: An assessment of climate, farming systems, and strategies to boost production. Crop Pasture Sci. 2009, 60, 627–639. [Google Scholar] [CrossRef]
- He, S.; Du, J.; Wang, Y.; Cui, L.; Liu, W.; Xiao, Y.; Ran, Q.; Li, L.; Zhang, Z.; Tang, L.; et al. Differences in background environment and fertilization method mediate plant response to nitrogen fertilization in alpine grasslands on the Qinghai-Tibetan Plateau. Sci. Total Environ. 2024, 906, 167272. [Google Scholar] [CrossRef]
- Tang, Q.; Ma, Y.; Zhao, L.; Song, Z.; Yin, Y.; Wang, G.; Li, Y. Effects of water and nitrogen management on root morphology, nitrogen metabolism enzymes, and yield of rice under drip irrigation. Agronomy 2023, 13, 1118. [Google Scholar] [CrossRef]
- Ding, Q.; Wu, D.; Dang, T.; Guo, S. Effects of different nitrogen reduction modes on yield of spring maize and nitrate-N residue in soils of the southern Loess Plateau. J. Plant Nutr. Fertil. 2017, 23, 856–863. (In Chinese) [Google Scholar] [CrossRef]
- Zhao, Y.; Su, M.; Lu, Y.; Kuang, F.; Chen, X.; Zhang, Y.; Shi, X. Wheat yield, nutrient use efficiencies and soil nutrient balance under reduced fertilizer rate. J. Plant Nutr. Fertil. 2017, 23, 864–873. (In Chinese) [Google Scholar] [CrossRef]
- Naghdyzadegan Jahromi, M.; Razzaghi, F.; Zand-Parsa, S. Optimization of applied irrigation water and nitrogen fertilizer for barley in a semi-arid region: A case study in Iran. Irrig. Drain. 2020, 69, 559–571. [Google Scholar] [CrossRef]
- Ghasemi-Aghbolaghi, S.; Sepaskhah, A.R. Barley (Hordeum vulgare L.) response to partial root drying irrigation, planting method and nitrogen application rates. Int. J. Plant Prod. 2018, 12, 13–24. [Google Scholar] [CrossRef]
- Zeng, X.; Guo, Y.; Xu, Q.; Mascher, M.; Guo, G.; Li, S.; Mao, L.; Liu, Q.; Xia, Z.; Zhou, J.; et al. Origin and evolution of qingke barley in Tibet. Nat. Commun. 2018, 9, 5433. [Google Scholar] [CrossRef]
- Ma, D.C.; Xu, T.W. Study on the classification and origin of cultivated barley in Tibet. Sci. Agric. Sin. 1988, 21, 7–14. (In Chinese) [Google Scholar]
- Bureau of Statistics of the Tibet Autonomous Region. The 2022 Statistical Bulletin of The Tibet Autonomous Region on National Economic and Social Development. Available online: http://tjj.xizang.gov.cn/xxgk/tjxx/tjgb/202304/t20230427_352840.html (accessed on 13 December 2023).
- Zhang, Y.; Wang, J.; Gong, S.; Xu, D.; Sui, J. Nitrogen fertigation effect on photosynthesis, grain yield and water use efficiency of winter wheat. Agric. Water Manag. 2017, 179, 277–287. [Google Scholar] [CrossRef]
- Mon, J.; Bronson, K.F.; Hunsaker, D.J.; Thorp, K.R.; White, J.W.; French, A.N. Interactive effects of nitrogen fertilization and irrigation on grain yield, canopy temperature, and nitrogen use efficiency in overhead sprinkler-irrigated durum wheat. Field Crops Res. 2016, 191, 54–65. [Google Scholar] [CrossRef]
- Si, Z.; Zain, M.; Mehmood, F.; Wang, G.; Gao, Y.; Duan, A. Effects of nitrogen application rate and irrigation regime on growth, yield, and water-nitrogen use efficiency of drip-irrigated winter wheat in the North China Plain. Agric. Water Manag. 2020, 231, 106002. [Google Scholar] [CrossRef]
- Ararssa, A.A.; Gebremariam, A.G.; Mulat, W.L.; Mekonnen, M.M. Effects of irrigation management on yield and water productivity of barley (Hordeum vulgare L.) in the upper Blue Nile basin: Case study in Northern Gondar. Water Conserv. Sci. Eng. 2019, 4, 113–121. [Google Scholar] [CrossRef]
- Bardehji, S.; Eshghizadeh, H.R.; Zahedi, M.; Sabzalian, M.R.; Gheisari, M. The combined effect of nitrogen fertilizer and sowing season on response to water-limited stress in barley (Hordeum vulgare L.). J. Agric. Sci. 2021, 159, 31–49. [Google Scholar] [CrossRef]
- Naghdyzadegan Jahromi, M.; Razzaghi, F.; Zand-Parsa, S. Strategies to increase barley production and water use efficiency by combining deficit irrigation and nitrogen fertilizer. Irrig. Sci. 2023, 41, 261–275. [Google Scholar] [CrossRef]
- Cossani, C.M.; Slafer, G.A.; Savin, R. Do barley and wheat (bread and durum) differ in grain weight stability through seasons and water-nitrogen treatments in a Mediterranean location? Field Crops Res. 2011, 121, 240–247. [Google Scholar] [CrossRef]
- Zhang, D.; Zhou, Z.; Zhang, B.; Du, S.; Liu, G. The effects of agricultural management on selected soil properties of the arable soils in Tibet, China. Catena 2012, 93, 1–8. [Google Scholar] [CrossRef]
- Bao, S.D. Agricultural Chemical Analysis of Soil; China Agriculture Press: Beijing, China, 2000. [Google Scholar]
- Yan, Q.; Duan, Z.; Mao, J.; Li, X.; Dong, F. Effects of root-zone temperature and N, P, and K supplies on nutrient uptake of cucumber (Cucumis sativus L.) seedlings in hydroponics. Soil Sci. Plant Nutr. 2012, 58, 707–717. [Google Scholar] [CrossRef]
- Zheng, X.; Yu, Z.; Zhang, Y.; Shi, Y. Nitrogen supply modulates nitrogen remobilization and nitrogen use of wheat under supplemental irrigation in the North China Plain. Sci. Rep. 2020, 10, 3305. [Google Scholar] [CrossRef]
- Wang, H.; Guo, Z.; Shi, Y.; Zhang, Y.; Yu, Z. Impact of tillage practices on nitrogen accumulation and translocation in wheat and soil nitrate-nitrogen leaching in drylands. Soil Tillage Res. 2015, 153, 20–27. [Google Scholar] [CrossRef]
- Papakosta, D.K.; Gagianas, A.A. Nitrogen and dry matter accumulation, remobilization, and losses for Mediterranean wheat during grain filling. Agron. J. 1991, 83, 864–870. [Google Scholar] [CrossRef]
- Azizian, A.; Sepaskhah, A.R. Maize response to different water, salinity and nitrogen levels: Agronomic behavior. Int. J. Plant Prod. 2014, 8, 107–130. [Google Scholar] [CrossRef]
- Dai, Y.; Liao, Z.; Lai, Z.; Bai, Z.; Zhang, F.; Li, Z.; Fan, J. Interactive effects of planting pattern, supplementary irrigation and planting density on grain yield, water-nitrogen use efficiency and economic benefit of winter wheat in a semi-humid but drought-prone region of northwest China. Agric. Water Manag. 2023, 287, 108438. [Google Scholar] [CrossRef]
- Microsoft Corporation. Microsoft Excel, 2016; Microsoft Corporation: Redmond, WA, USA, 2016. [Google Scholar]
- R Core Team. R: A Language and Environment for Statistical Computing, 4.2.2 version; R Development Core Team: Vienna, Austria, 2022; Available online: www.r-project.org/ (accessed on 27 March 2024).
- De Mendiburu, F. agricolae: Statistical Procedures for Agricultural Research, R Package Version 1.3-7; R Core Team: Vienna, Austria, 2023. [Google Scholar]
- Fallahi, H.; Ramazani, S.H.R.; Ghorbany, M.; Aghhavani-Shajari, M. Path and factor analysis of roselle (Hibiscus sabdariffa L.) performance. Appl. Res. Med. Aroma Plant. 2017, 6, 119–125. [Google Scholar] [CrossRef]
- Smith, G. Step away from stepwise. J. Big Data 2018, 5, 32. [Google Scholar] [CrossRef]
- Ripley, B.; Venables, B.; Bates, D.M.; Hornik, K.; Gebhardt, A.; Firth, D. MASS: Support Functions and Datasets for Venables and Ripley’s MASS, R Package Version 7.3-60; R Core Team: Vienna, Austria, 2023. [Google Scholar]
- Gao, R.; Pan, Z.; Zhang, J.; Chen, X.; Qi, Y.; Zhang, Z.; Chen, S.; Jiang, K.; Ma, S.; Wang, J.; et al. Optimal cooperative application solutions of irrigation and nitrogen fertilization for high crop yield and friendly environment in the semi-arid region of North China. Agric. Water Manag. 2023, 283, 108326. [Google Scholar] [CrossRef]
- Leilah, A.A.; Al-Khateeb, S.A. Statistical analysis of wheat yield under drought conditions. J. Arid Environ. 2005, 61, 483–496. [Google Scholar] [CrossRef]
- Bertrand, F.; Sanchez, G.; Trinchera, L.; Russolillo, G. plspm: Partial Least Squares Path Modeling (PLS-PM), R Package Version 0.5.0; R Core Team: Vienna, Austria, 2023. [Google Scholar]
- Tischner, R. Nitrate uptake and reduction in higher and lower plants. Plant Cell Environ. 2000, 23, 1005–1024. [Google Scholar] [CrossRef]
- Alboresi, A.; Gestin, C.; Leydecker, M.T.; Bedu, M.; Meyer, C.; Truong, H.N. Nitrate, a signal relieving seed dormancy in Arabidopsis. Plant Cell Environ. 2005, 28, 500–512. [Google Scholar] [CrossRef]
- Steingrover, E.; Woldendorp, J.; Sijtsma, L. Nitrate accumulation and its relation to leaf elongation in spinach leaves. J. Exp. Bot. 1986, 37, 1093–1102. [Google Scholar] [CrossRef]
- Sabra, D.M.; Reda, A.M.; El-Shawy, E.A.; El-Refaee, Y.Z.; Abdelraouf, R.E. Improving barley production under deficient irrigation water and mineral fertilizers conditions. Sabrao J. Breed. Genet. 2023, 55, 211–229. [Google Scholar] [CrossRef]
- Agegnehu, G.; Nelson, P.N.; Bird, M.I. Crop yield, plant nutrient uptake and soil physicochemical properties under organic soil amendments and nitrogen fertilization on Nitisols. Soil Tillage Res. 2016, 160, 1–13. [Google Scholar] [CrossRef]
- Xu, Y. Effects of nitrogen and phosphate rates on yield, quality and nitrogen use efficiency of malt barley. J. Northwest A F Univ.-Natl. Sci. Ed. 2016, 44, 77–82. (In Chinese) [Google Scholar] [CrossRef]
- Liu, E.; Mei, X.; Yan, C.; Gong, D.; Zhang, Y. Effects of water stress on photosynthetic characteristics, dry matter translocation and WUE in two winter wheat genotypes. Agric. Water Manag. 2016, 167, 75–85. [Google Scholar] [CrossRef]
- Qiu, H.; Yang, S.; Jiang, Z.; Xu, Y.; Jiao, X. Effect of irrigation and fertilizer management on rice yield and nitrogen loss: A meta-analysis. Plants 2022, 11, 1690. [Google Scholar] [CrossRef]
- Albrizio, R.; Todorovic, M.; Matic, T.; Stellacci, A.M. Comparing the interactive effects of water and nitrogen on durum wheat and barley grown in a Mediterranean environment. Field Crops Res. 2010, 115, 179–190. [Google Scholar] [CrossRef]
- Liu, J.; Gao, Z.; Wang, M.; Li, Y.; Ma, Y.; Shi, M.; Zhang, H. Study on the dynamic characteristics of groundwater in the valley plain of Lhasa City. Environ. Earth Sci. 2018, 77, 646. [Google Scholar] [CrossRef]
- Sajad, A.; Mahdi, G.; Mohammad, S.; Mehran, S. Effects of applied nitrogen fertilizers and irrigation strategies on environmental protection and yield indices of winter wheat and barley in a Mediterranean climate region of Iran. Water Supply 2023, 23, 4386–4402. [Google Scholar] [CrossRef]
- Mirosavljevic, M.; Momcilovic, V.; Drazic, T.; Mikic, S.; Acin, V.; Przulj, N.; Jacimovic, G. Effect of sowing date on dry matter and nitrogen partitioning and its translocation in winter barley. Cereal Res. Commun. 2023, 51, 749–760. [Google Scholar] [CrossRef]
- Kostrzewska, M.K.; Jastrzebska, M.; Wanic, M.; Treder, K. Effect of a sowing regime and water conditions on nitrogen content and accumulation in the aerial biomass of spring barley (Hordeum vulgare L.) and Italian ryegrass (Lolium multiflorum Lam.). J. Elem. 2017, 22, 607–616. [Google Scholar] [CrossRef]
- Liang, X.; Hu, G.; Satterfield, K.; Evans, C.; Jiang, W. Variation in nitrogen accumulation in grain and leaf in spring barley genotypes. J. Agron. Crop Sci. 2022, 208, 621–632. [Google Scholar] [CrossRef]
- Muurinen, S.; Kleemola, J.; Peltonen-Sainio, P. Accumulation and translocation of nitrogen in spring cereal cultivars differing in nitrogen use efficiency. Agron. J. 2007, 99, 441–449. [Google Scholar] [CrossRef]
- Przulj, N.; Momcilovic, V. Dry matter and nitrogen accumulation and use in spring barley. Plant Soil Environ. 2003, 49, 36–47. [Google Scholar] [CrossRef]
- Dordas, C. Variation in dry matter and nitrogen accumulation and remobilization in barley as affected by fertilization, cultivar, and source-sink relations. Eur. J. Agron. 2012, 37, 31–42. [Google Scholar] [CrossRef]
- Barati, V.; Ghadiri, H. Assimilate and nitrogen remobilization of six-rowed and two-rowed winter barley under drought stress at different nitrogen fertilization. Arch. Agron. Soil Sci. 2017, 63, 841–855. [Google Scholar] [CrossRef]
- Peng, S.; Buresh, R.J.; Huang, J.; Yang, J.; Zou, Y.; Zhong, X.; Wang, G.; Zhang, F. Strategies for overcoming low agronomic nitrogen use efficiency in irrigated rice systems in China. Field Crops Res. 2006, 96, 37–47. [Google Scholar] [CrossRef]
- Aluko, O.O.; Kant, S.; Adedire, O.M.; Li, C.; Yuan, G.; Liu, H.; Wang, Q. Unlocking the potentials of nitrate transporters at improving plant nitrogen use efficiency. Front. Plant Sci. 2023, 14, 1074839. [Google Scholar] [CrossRef] [PubMed]
- Li, Z.; Hu, K.; Li, B.; He, M.; Zhang, J. Evaluation of water and nitrogen use efficiencies in a double cropping system under different integrated management practices based on a model approach. Agric. Water Manag. 2015, 159, 19–34. [Google Scholar] [CrossRef]
- Hafez, E.M.; Abou El Hassan, W.H. Nitrogen and water utilization efficiency of barley subjected to desiccated conditions in moderately salt-affected soil. Egypt. J. Agron. 2015, 37, 231–249. [Google Scholar]
- Le Gouis, J.; Delebarre, O.; Beghin, D.; Heumez, E.; Pluchard, P. Nitrogen uptake and utilization efficiency of two-row and six-row winter barley cultivars grown at two N levels. Eur. J. Agron. 1999, 10, 73–79. [Google Scholar] [CrossRef]
- Siddiqi, M.Y.; Glass, A.D.M. Utilization index: A modified approach to the estimation and comparison of nutrient utilization efficiency in plants. J. Plant Nutr. 2008, 4, 289–302. [Google Scholar] [CrossRef]
- Moose, S.; Below, F.E. Molecular Genetic Approaches to Maize Improvement, Biotechnology in Agriculture and Forestry; Kriz, A.L., Larkins, B.A., Eds.; Springer Inc.: Heidelberg, Germany, 2009; pp. 65–77. ISSN 0934-943X. [Google Scholar]
- Dordas, C. Nitrogen nutrition index and leaf chlorophyll concentration and its relationship with nitrogen use efficiency in barley (Hordeum vulgare L.). J. Plant Nutr. 2017, 40, 1190–1203. [Google Scholar] [CrossRef]
- Lupini, A.; Preiti, G.; Badagliacca, G.; Abenavoli, M.R.; Sunseri, F.; Monti, M.; Bacchi, M. Nitrogen use efficiency in durum wheat under different nitrogen and water regimes in the Mediterranean basin. Front. Plant Sci. 2021, 11, 607226. [Google Scholar] [CrossRef]
- Barati, V.; Ghadiri, H.; Zand-Parsa, S.; Karimian, N. Nitrogen and water use efficiencies and yield response of barley cultivars under different irrigation and nitrogen regimes in a semi-arid Mediterranean climate. Arch. Agron. Soil Sci. 2015, 61, 15–32. [Google Scholar] [CrossRef]
- Srivastava, R.K.; Panda, R.K.; Chakraborty, A.; Halder, D. Enhancing grain yield, biomass and nitrogen use efficiency of maize by varying sowing dates and nitrogen rate under rainfed and irrigated conditions. Field Crops Res. 2018, 221, 339–349. [Google Scholar] [CrossRef]
- Wang, W.; Ji, D.; Peng, S.; Loladze, I.; Harrison, M.T.; Davies, W.J.; Smith, P.; Xia, L.; Wang, B.; Liu, K.; et al. Eco-physiology and environmental impacts of newly developed rice genotypes for improved yield and nitrogen use efficiency coordinately. Sci. Total Environ. 2023, 896, 165294. [Google Scholar] [CrossRef] [PubMed]
- Kassie, M.; Fanataye, K. Nitrogen uptake and utilization efficiency of malting barley as influenced by variety and nitrogen level. J. Crop Sci. Biotechnol. 2019, 22, 65–73. [Google Scholar] [CrossRef]
- Przulj, N.; Momcilovic, V. Genetic variation for dry matter and nitrogen accumulation and translocation in two-rowed spring barley II. Nitrogen translocation. Eur. J. Agron. 2001, 15, 255–265. [Google Scholar] [CrossRef]
- Liu, K.; Harrison, M.T.; Hunt, J.R.; Angessa, T.; Meinke, H.; Li, C.; Tian, X.; Zhou, M. Identifying optimal sowing and flowering periods for barley in Australia: A modelling approach. Agric. For. Meteorol. 2020, 282, 107871. [Google Scholar] [CrossRef]
- Shah, A.N.; Wu, Y.; Tanveer, M.; Hafeez, A.; Tung, S.A.; Ali, S. Interactive effect of nitrogen fertilizer and plant density on photosynthetic and agronomical traits of cotton at different growth stages. Saudi J. Biol. Sci. 2021, 28, 3578–3584. [Google Scholar] [CrossRef]
- Gao, Z.; Niu, F.; Wang, Y.; Lin, Z.; Wang, W. Suprapermafrost groundwater flow and exchange around a thermokarst lake on the Qinghai–Tibet Plateau, China. J. Hydrol. 2020, 593, 125882. [Google Scholar] [CrossRef]






| Source of Variation | 1000-Grain Weight | Spike Number | Grain Yield |
|---|---|---|---|
| W | * | ns | *** |
| N | ** | * | *** |
| W × N | * | ns | * |
| Source of Variation | Anthesis | Maturity | |||||
|---|---|---|---|---|---|---|---|
| Leaf | Leaf Sheath | Stem | Leaf | Leaf Sheath | Stem | Grain | |
| W | * | *** | *** | ** | ** | *** | ** |
| N | *** | *** | *** | *** | *** | *** | *** |
| W×N | ns | ns | ns | ns | ns | ns | ns |
| Treatments | NT (kg ha−1) | NTR (%) | NRC (%) | Post-Anthesis NA (kg ha−1) | Post-Anthesis NRC (%) |
|---|---|---|---|---|---|
| W1N0 | 39.32 bc | 54.18 ab | 44.55 ab | 48.97 c | 55.45 ab |
| W1N9 | 50.16 a | 51.41 abc | 47.5 a | 55.44 bc | 52.5 b |
| W1N12 | 53.26 a | 48.19 cd | 47.6 a | 58.65 ab | 52.4 b |
| W1N15 | 54.16 a | 45.47 d | 46.06 ab | 63.5 a | 53.94 ab |
| W2N0 | 33.84 c | 54.78 a | 39.94 b | 50.9 c | 60.06 a |
| W2N9 | 41.86 b | 50.1 abcd | 41.2 ab | 59.79 ab | 58.8 ab |
| W2N12 | 49.09 a | 49.63 bcd | 45.37 ab | 59.08 ab | 54.63 ab |
| W2N15 | 53.8 a | 48.66 cd | 46.88 a | 60.97 ab | 53.12 b |
| ANOVA | |||||
| W | * | ns | ns | ns | ns |
| N | *** | ** | ns | * | ns |
| W × N | ns | ns | ns | ns | ns |
| Treatments | NHI | NUtE (kg kg−1) | NUE (kg kg−1) | NPFP (kg kg−1) |
|---|---|---|---|---|
| W1N0 | 0.73 b | 35.12 d | ||
| W1N9 | 0.69 c | 32.72 e | 8.2 c | 55.63 b |
| W1N12 | 0.66 ef | 32.32 e | 9.92 ab | 45.49 d |
| W1N15 | 0.64 f | 32.01 e | 10.47 a | 38.93 f |
| W2N0 | 0.75 a | 42.51 a | ||
| W2N9 | 0.71 b | 37.58 b | 6.69 d | 59.81 a |
| W2N12 | 0.68 cd | 36.1 c | 7.68 c | 47.52 c |
| W2N15 | 0.67 de | 36.4 c | 9.74 b | 41.62 e |
| ANOVA | ||||
| W | *** | *** | *** | *** |
| N | *** | *** | *** | *** |
| W × N | ns | *** | ** | * |
| Item | Coefficient | p Value |
|---|---|---|
| Intercept | 6939.42 | 0.00764 ** |
| Grain NA | 94.18 | 0.000086 *** |
| NT | −102.6 | 0.00917 ** |
| NHI | 15,009.78 | 0.06902 ns |
| Post-anthesis NRC | −22,236.7 | 0.00528 ** |
| NTR | −20,058 | 0.00883 ** |
| NUtE | 150.52 | 0.000496 *** |
Disclaimer/Publisher’s Note: The statements, opinions and data contained in all publications are solely those of the individual author(s) and contributor(s) and not of MDPI and/or the editor(s). MDPI and/or the editor(s) disclaim responsibility for any injury to people or property resulting from any ideas, methods, instructions or products referred to in the content. |
© 2024 by the authors. Licensee MDPI, Basel, Switzerland. This article is an open access article distributed under the terms and conditions of the Creative Commons Attribution (CC BY) license (https://creativecommons.org/licenses/by/4.0/).
Share and Cite
Wang, S.; Peng, J.; Dong, W.; Wei, Z.; Zafar, S.u.; Jin, T.; Liu, E. Optimizing Irrigation and Nitrogen Fertilizer Regimes to Increase the Yield and Nitrogen Utilization of Tibetan Barley in Tibet. Agronomy 2024, 14, 1775. https://doi.org/10.3390/agronomy14081775
Wang S, Peng J, Dong W, Wei Z, Zafar Su, Jin T, Liu E. Optimizing Irrigation and Nitrogen Fertilizer Regimes to Increase the Yield and Nitrogen Utilization of Tibetan Barley in Tibet. Agronomy. 2024; 14(8):1775. https://doi.org/10.3390/agronomy14081775
Chicago/Turabian StyleWang, Shangwen, Jun Peng, Wenyi Dong, Zexiu Wei, Saud uz Zafar, Tao Jin, and Enke Liu. 2024. "Optimizing Irrigation and Nitrogen Fertilizer Regimes to Increase the Yield and Nitrogen Utilization of Tibetan Barley in Tibet" Agronomy 14, no. 8: 1775. https://doi.org/10.3390/agronomy14081775
APA StyleWang, S., Peng, J., Dong, W., Wei, Z., Zafar, S. u., Jin, T., & Liu, E. (2024). Optimizing Irrigation and Nitrogen Fertilizer Regimes to Increase the Yield and Nitrogen Utilization of Tibetan Barley in Tibet. Agronomy, 14(8), 1775. https://doi.org/10.3390/agronomy14081775

