Evaluating Impacts of Biochar and Inorganic Fertilizer Applications on Soil Quality and Maize Yield Using Principal Component Analysis
Abstract
1. Introduction
2. Materials and Method
2.1. Description of the Study Area and Characterization of Biochar Used for the Experiment
2.2. Field Experimentation
| S/N | Amendment Treatments | Definition |
|---|---|---|
| 1 | F0B0IA100 | Without fertilizer and without biochar at 100% irrigation amount |
| 2 | F0B20IA100 | Without fertilizer and with biochar at 100% irrigation amount |
| 3 | F300B0IA100 | With fertilizer and without biochar at 100% irrigation amount |
| 4 | F300B20IA100 | With fertilizer and biochar at 100% irrigation amount |
| 5 | F0B0IA80 | Without fertilizer and without biochar at 80% irrigation amount |
| 6 | F0B20IA80 | Without fertilizer and with biochar at 80% irrigation amount |
| 7 | F300B0IA80 | With fertilizer and without biochar at 80% irrigation amount |
| 8 | F300B20IA80 | With fertilizer and biochar at 80% irrigation amount |
| 9 | F0B0IA60 | Without fertilizer and without biochar at 60% irrigation amount |
| 10 | F0B20IA60 | Without fertilizer and with biochar at 60% irrigation amount |
| 11 | F300B0IA60 | With fertilizer and without biochar at 60% irrigation amount |
| 12 | F300B20IA60 | With fertilizer and biochar at 60% irrigation amount |
2.3. Statistical Analysis
Estimation of Soil Quality from the PCA
3. Results and Discussion
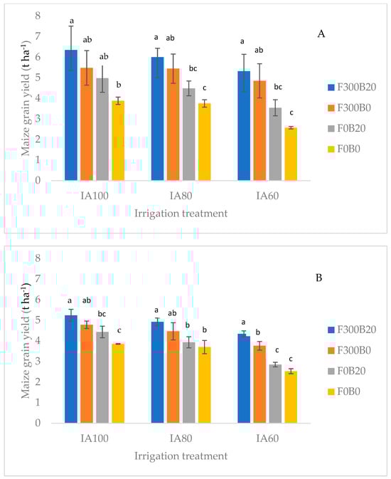
3.1. Influence of Biochar and Fertilizer on the Soil Hydro-Physical and Chemical Properties and Maize Yield
3.2. Relationship between Soil Properties and Maize Yield as Influenced by Biochar Application
3.3. PCA for the Biochar and Inorganic Fertilizer Addition to Soil under Irrigation
3.4. Factor Loading for the PCA
3.5. PCR for the Maize Yield Prediction in Soil Treated with Biochar with Inorganic Fertilizer under Irrigation
Statistical Importance of the PCR Result for the Maize Yield Prediction
3.6. Soil Quality as Improved by Biochar and Inorganic Fertilizer Applications
4. Discussion
5. Conclusions
Supplementary Materials
Author Contributions
Funding
Data Availability Statement
Acknowledgments
Conflicts of Interest
References
- Montgomery, D.R. Soil erosion and agricultural sustainability. Proc. Natl. Acad. Sci. USA 2007, 104, 13268–13272. [Google Scholar] [CrossRef] [PubMed]
- Vogelmann, E.S.; Reichert, J.S.; Prevedello, L.; Awe, G.O. Hydro-physical processes and soil properties correlated with origin of soil hydrophobicity. Ciênc. Rurais 2013, 43, 1582–1589. [Google Scholar] [CrossRef][Green Version]
- Sohi, S.; Krull, E.; Lopez-Capel, E.; Bol, R. A review of biochar and its use and function in soil. Adv. Agron. 2010, 105, 47–82. [Google Scholar]
- Laird, D.A.; Fleming, P.; Davis, D.D.; Horton, R.; Wang, B.; Karlen, D.L. Impact of biochar amendments on the quality of a typical Midwestern agricultural soil. Geoderma 2010, 158, 443–449. [Google Scholar] [CrossRef]
- Uzoma, K.C.; Inoue, M.; Andry, H.; Fujimaki, H.; Zahoor, A.; Nishihara, E. Effect of cow manure biochar on maize productivity under sandy soil condition. Soil Use Manag. 2011, 27, 205–212. [Google Scholar] [CrossRef]
- Hass, A.; Gonzalez, J.M.; Lima, I.M.; Godwin, H.W.; Halvorson, J.J.; Boyer, D.G. Chicken Manure Biochar as Liming and Nutrient Source for Acid Appalachian Soil. J. Environ. Qual. 2012, 41, 1096–1106. [Google Scholar] [CrossRef] [PubMed]
- Van, Z.L.; Kimber, S.; Morris, K.Y.; Chan, A.; Downie, J.; Rust, S.; Joseph, A.C. Effects of biochar from slow pyrolysis of papermill waste on agronomic performance and soil fertility. Plant Soil. 2010, 41, 235–246. [Google Scholar]
- Chan, K.Y.; Van Zwieten, L.; Meszaros, I.; Downie, A.; Joseph, S. Agronomic values of greenwaste biochar as a soil amendment. Aust. J. Soil Res. 2007, 45, 629–634. [Google Scholar] [CrossRef]
- Glaser, B.; Lehmann, J.; Zech, W. Ameliorating physical and chemical properties highly weathered coils in the tropics with Charcoal—A review. Biol. Fert. 2002, 35, 219–230. [Google Scholar] [CrossRef]
- Chen, Z.; Chen, C.; Kamchoom, V.; Chen, R. Gas permeability and water retention of a repacked silty sand amended with different particle sizes of peanut shell biochar. Soil Sci. Soc. Am. J. 2020, 84, 1630–1641. [Google Scholar] [CrossRef]
- Garg, A.; Huang, H.; Cai, W.; Reddy, N.G.; Chen, P.; Han, Y.; Kamchoom, V.; Gaurav, S.; Zhu, H.H. Influence of soil density on gas permeability and water retention in soils amended with in-house produced biochar. J. Rock Mech. Geotech. Eng. 2021, 13, 593–602. [Google Scholar] [CrossRef]
- Agbna, G.H.D.; Dongli, S.; Zhipeng, L.; Elshaikh, N.A.; Guangcheng, S.; Timm, L.C. Effects of deficit irrigation and biochar addition on the growth, yield, and quality of tomato. Sci. Hort. 2017, 222, 90–101. [Google Scholar] [CrossRef]
- Chen, Z.; Kamchoom, V.; Apriyono, A.; Chen, R.; Chen, C. Laboratory study of water infiltration and evaporation in biochar-amended landfill covers under extreme climate. Waste Manag. 2022, 153, 323–334. [Google Scholar] [CrossRef] [PubMed]
- Chen, Z.; Kamchoom, V.; Chen, R.; Prasittisopin, L. Investigating the Impacts of Biochar Amendment and Soil Compaction on Unsaturated Hydraulic Properties of Silty Sand. Agronomy 2023, 13, 1845. [Google Scholar] [CrossRef]
- Apriyono, A.; Yuliana, Y.; Chen, Z.; Keawsawasvong, S. The Impact of Biochar Amendment on Soil Water Infiltration and Evaporation under Climate Change Scenarios. Acta Geophys. 2024, 72, 3647–3660. [Google Scholar] [CrossRef]
- Schulz, H.; Glaser, B. Effects of biochar compared to organic and inorganic fertilisers on soil quality and plant growth in a greenhouse experiment. J. Plant Nutr. Soil Sci. 2012, 175, 410–422. [Google Scholar] [CrossRef]
- Liang, F.; Li, G.T.; Lin, Q.M.; Zhao, X.R. Crop yield and soil properties in the first 3 years after biochar application to a calcareous soil. J. Integr. Agric. 2014, 13, 525–532. [Google Scholar] [CrossRef]
- Karer, J.; Barnhard, W.; Franz, Z.; Stefanie, K.; Gerhard, S. Biochar application to temperate soils: Effects on nutrient uptake and crop yield under field conditions. Agric. Food Sci. 2013, 22, 390–403. [Google Scholar] [CrossRef]
- Biederman, L.A.; Harpole, W.S. Biochar and its effects on plant productivity and nutrient cycling. A meta-analysis. GCB Bioenergy 2013, 5, 202–214. [Google Scholar] [CrossRef]
- Jeffery, S.; Verheijen, F.G.A.; Van Der Velde, M.; Bastos, A.C. A quantitative review of the effects of biochar application to soils on crop productivity using meta-analysis. Agric. Ecosyst. Environ. 2011, 144, 175–187. [Google Scholar] [CrossRef]
- Liu, X.; Zhang, A.; Ji, C.; Joseph, S.; Bian, R.; Li, L.; Pan, G.; Paz-Ferreiro, J. Biochar’seffect on crop productivity and the dependence on experimental con ditions—A metaanalysis of literature data. Plant Soil. 2013, 373, 583–594. [Google Scholar] [CrossRef]
- Jeffery, S.; Abalos, D.; Prodana, M.; Bastos, A.C.; Van Groenigen, J.W.; Hungate, B.A.; Verheijen, F. Biochar boosts tropical but not temperate crop yields. Environ. Res. 2017, 12, 053001. [Google Scholar] [CrossRef]
- Luan, J.; Fu, Y.; Tang, W.; Yang, F.; Li, X.; Yu, Z. Impact of Interaction between Biochar and Soil Microorganisms on Growth of Chinese Cabbage by Increasing Soil Fertility. Appl. Sci. 2023, 13, 12545. [Google Scholar] [CrossRef]
- Sys, C.; Van Ranst, E.; Debaveye, J. Land evaluation. Part 1. In Principles in Land Evaluation and Crop Production Calculations; Agricultural Publication 7; General Administration for Development Cooperation: Brussels, Belgium, 1991. [Google Scholar]
- Stellacci, A.M.; Castellini, M.; Diacono, M.; Rossi, R.; Gattullo, C.E. Assessment of Soil Quality under Different Soil Management Strategies: Combined Use of Statistical Approaches to Select the Most Informative Soil Physico-Chemical Indicators. Appl. Sci. 2021, 11, 5099. [Google Scholar] [CrossRef]
- De Araujo, J.L.; dos Anjos, L.H.C.; Pereira, M.G. Soil attributes and distinction of pedoenvironments for agriculture in the Mbya Indian Reserve in Ubatuba (in Spain). Braz. J. Soil Sci. 2009, 33, 1765–1776. [Google Scholar]
- Bouma, J. Land quality indicators of sustainable land management across scales. Agric. Ecosyst. Environ. 2002, 88, 129–136. [Google Scholar] [CrossRef]
- Faloye, O.T.; Ajayi, A.E.; Ajiboye, Y.; Alatise, M.O.; Ewulo, B.S.; Adeosun, S.S.; Babalola, T.; Horn, R. Unsaturated hydraulic conductivity prediction using artificial intelligence and multiple linear regression models in biochar amended sandy clay loam soil. J. Soil Sci. Plant Nutr. 2022, 22, 1589–1603. [Google Scholar] [CrossRef]
- International Biochar Initiative (1BI). Standardized Product Definition and Product Testing Guidelines for Biochar That Is Used in Soil. 2011. Available online: https://biochar-international.org/wp-content/uploads/2020/06/IBI_Biochar_Standards_V2.1_Final2.pdf (accessed on 15 November 2015).
- Zhang, R. Determination of soil sorptivity and hydraulic conductivity from the disc infiltrometer. Soil Sci. Soc. Am. J. 1997, 61, 1024–1030. [Google Scholar] [CrossRef]
- Agbenin, J.O. Laboratory Manual for Soil and Plant Analysis (Selected Methods and Data Analysis); Faculty of Agriculture/Institute of Agricultural Research, ABU Zaria: Kaduna, Nigeria, 1995; pp. 24–44.
- Oslen, S.R.; Cole, C.V.; Watanabe, F.S.; Dean, L.A. Estimation of available phos phorus in soils by extraction with sodium bicarbonate. No. 939. US Department of Agriculture: Washington, DC, USA, 1954. [Google Scholar]
- Elemile, O.O.; Ibitogbe, E.M.; Folorunso, O.P.; Ejiboye, P.O.; Adewumi, J.R. Principal component analysis of groundwater sources pollution in Omu-Aran community, Nigeria. Environmental Sciences, 80:690. Environ. Earth Sci. 2021, 80, 16. [Google Scholar] [CrossRef]
- Abdel-Fattah, M.K.; Mohamed, E.S.; Wagdi, E.M.; Shahin, S.A.; Aldosari, A.A.; Lasaponara, R.; Alnaimy, M.A. Quantitative Evaluation of Soil Quality Using Principal Component Analysis: The Case Study of El-Fayoum Depression Egypt. Sustainability 2021, 13, 1824. [Google Scholar] [CrossRef]
- Aprisal, I.; Bambang, J.; Harianti, M. Soil quality index analysis under horticultural farming in Sumani upper watershed. Int. J. Geomate 2019, 16, 191–196. [Google Scholar] [CrossRef]
- Laghari, M.; Hu, Z.; Fazal, M.; Hu, M. Effects of biochar application rate on sandy desert soil properties and sorghum growth. Catena 2015, 135, 313–320. [Google Scholar] [CrossRef]
- Van Zwieten, L.; Kimber, S.; Morris, S.; Chan, K.Y.; Downie, A.; Rust, J.; Joseph, S.; Cowie, A. Effects of biochar from slow pyrolysis of papermill waste on agronomic performance and soil fertility. Plant Soil 2010, 327, 235–246. [Google Scholar] [CrossRef]
- Peng, Y.; Li, X.; Li, C. Temporal and spatial profiling of root growth revealed novel response of maize roots under various nitrogen supplies in the field. PLoS ONE 2012, 7, e37726. [Google Scholar] [CrossRef]
- Babalola, T.; Adabembe, B.A.; Faloye, O.T. Water use-yield relationship of maize as infuenced by biochar and inorganic fertilizer applications in a tropical sandy clay loam soil. Agric Water Manag. 2022, 271, 107801. [Google Scholar] [CrossRef]
- Gheysari, M.; Loescher, H.W.; Sadeghi, S.H.; Mirlatifi, S.M.; Zareian, M.J.; Hoogenboom, G. Water-yield relations and water use efficiency of maize under nitrogen fertigation for semiarid environments: Experiment and synthesis. In Advances in Agronomy; Sparks, D.L., Ed.; Elsevier: Amsterdam, The Netherlands, 2015; pp. 175–229. [Google Scholar]
- Lawlor, D.W.; Lemaire, G.; Gastal, F. Nitrogen, plant growth and crop yield. In Plant Nitrogen; Lea, P.J., Morot-Gaudry, J.F., Eds.; Springer: Berlin/Heidelberg, Germany, 2001; pp. 343–367. [Google Scholar]
- Shukla, M.K.; Lal, R.; Ebinger, M. Principal component analysis for predicting corn biomass and grain yields. Soil Sci. 2004, 169, 215–224. [Google Scholar] [CrossRef]
- Mallarino, A.P.; Oyarzabal, E.S.; Hinz, P.N. Interpreting within-field relationships between crop yields and soil and plant variables using factor analysis. Precis. Agric. 1999, 1, 15–25. [Google Scholar] [CrossRef]
- Yamato, M.; Okimori, Y.; Wibowo, I.F.; Anshori, S.; Ogawa, M. Effects of the ap plication of charred bark of acacia mangiumon the yield of maize, cowpea and peanut, and soil chemical properties in South Sumatra, Indonesia. Soil Sci. Plant Nutr. 2006, 52, 489–495. [Google Scholar] [CrossRef]
- Oladele, S.O.; Adeyemo, A.J.; Awodun, M.A. Influence of rice husk biochar and inorganic fertiliser on soil nutrients availability on rain-fed rice yield on two contrasting soils. Geoderma 2019, 336, 1–11. [Google Scholar] [CrossRef]
- Singh, R.; Singh, P.; Singh, H.; Raghubanshi, A.S. Impact of sole and combined application of biochar, organic fertiliser and chemical fertiliser on wheat crop yield and water productivity in a dry tropical agroecosystem. Biochar 2019, 1, 229–235. [Google Scholar] [CrossRef]
- Zou, C.; Gao, X.; Shi, R.; Fan, X.; Zhang, F. Micronutrient deficiencies in crop production in China. In Micronutrient Deficiencies in Global Crop Production; Alloway, B.J., Ed.; Springer: Dordrecht, The Netherlands, 2008; pp. 127–148. [Google Scholar]




| Effects | Value | F | Hypothesis df | Error df | Sig. |
|---|---|---|---|---|---|
| Irrigation | 0.494 | 1.869 | 16 | 70 | 0.041 |
| Biochar | 0.004 | 991.068 | 8 | 35 | 0.001 |
| Fertilizer | 0.028 | 149.156 | 8 | 35 | 0.001 |
| Year | 0.043 | 98.231 | 8 | 35 | 0.001 |
| pH | OM | N | P | K | CEC | MC | HC | |
|---|---|---|---|---|---|---|---|---|
| OM | 0.77 **** | |||||||
| N | 0.53 * | 0.845 **** | ||||||
| P | 0.584 ** | 0.591 ** | 0.047 ns | |||||
| K | 0.385 ns | 0.569 * | −0.059 ns | −0.043 ns | ||||
| CEC | 0.673 ** | 0.054 ns | −0.183 ns | 0.078 ns | 0.673 *** | |||
| MC | 0.089 ns | 0.926 **** | 0.503 * | −0.524 * | 0.518 * | −0.817 **** | ||
| HC | −0.094 ns | −0.802 ** | −0.480 ns | −0.535 ** | 0.059 ns | −0.491 ns | −0.715 ** | |
| Yield | 0.664 ** | 0.51 ** | 0.558 *** | −309 ns | 0.372 * | 0.277 ns | 0.562 * | −0.526 * |
| Treatment | Year 2017 | Year 2018 CSQI | CSQI Average Values | Percentage Increase (%) | Ranking |
|---|---|---|---|---|---|
| F0B0 | 0.096 | 0.40 | 0.25 | bad | |
| F0B20 | 0.49 | 0.39 | 0.44 | 76 | fair |
| F300B0 | 0.57 | 0.43 | 0.50 | 100 | fair |
| F300B20 | 0.94 | 0.56 | 0.75 | 200 | good |
Disclaimer/Publisher’s Note: The statements, opinions and data contained in all publications are solely those of the individual author(s) and contributor(s) and not of MDPI and/or the editor(s). MDPI and/or the editor(s) disclaim responsibility for any injury to people or property resulting from any ideas, methods, instructions or products referred to in the content. |
© 2024 by the authors. Licensee MDPI, Basel, Switzerland. This article is an open access article distributed under the terms and conditions of the Creative Commons Attribution (CC BY) license (https://creativecommons.org/licenses/by/4.0/).
Share and Cite
Faloye, O.T.; Ajayi, A.E.; Kamchoom, V.; Akintola, O.A.; Oguntunde, P.G. Evaluating Impacts of Biochar and Inorganic Fertilizer Applications on Soil Quality and Maize Yield Using Principal Component Analysis. Agronomy 2024, 14, 1761. https://doi.org/10.3390/agronomy14081761
Faloye OT, Ajayi AE, Kamchoom V, Akintola OA, Oguntunde PG. Evaluating Impacts of Biochar and Inorganic Fertilizer Applications on Soil Quality and Maize Yield Using Principal Component Analysis. Agronomy. 2024; 14(8):1761. https://doi.org/10.3390/agronomy14081761
Chicago/Turabian StyleFaloye, Oluwaseun Temitope, Ayodele Ebenezer Ajayi, Viroon Kamchoom, Olayiwola Akin Akintola, and Philip Gbenro Oguntunde. 2024. "Evaluating Impacts of Biochar and Inorganic Fertilizer Applications on Soil Quality and Maize Yield Using Principal Component Analysis" Agronomy 14, no. 8: 1761. https://doi.org/10.3390/agronomy14081761
APA StyleFaloye, O. T., Ajayi, A. E., Kamchoom, V., Akintola, O. A., & Oguntunde, P. G. (2024). Evaluating Impacts of Biochar and Inorganic Fertilizer Applications on Soil Quality and Maize Yield Using Principal Component Analysis. Agronomy, 14(8), 1761. https://doi.org/10.3390/agronomy14081761

