Optimization of Plant Density and Harvest Time to Maximize Volatile Oil Accumulation in Two Aromatic Plants
Abstract
1. Introduction
2. Materials and Methods
2.1. Plant Materials and Site Description
2.2. Plant Density of P. frutescens and Y. ambrosioides
2.3. Harvest Time of P. frutescens and Y. ambrosioides
2.4. Material Drying Methods and Extraction of Volatile Oils
2.5. Data Analysis
3. Results
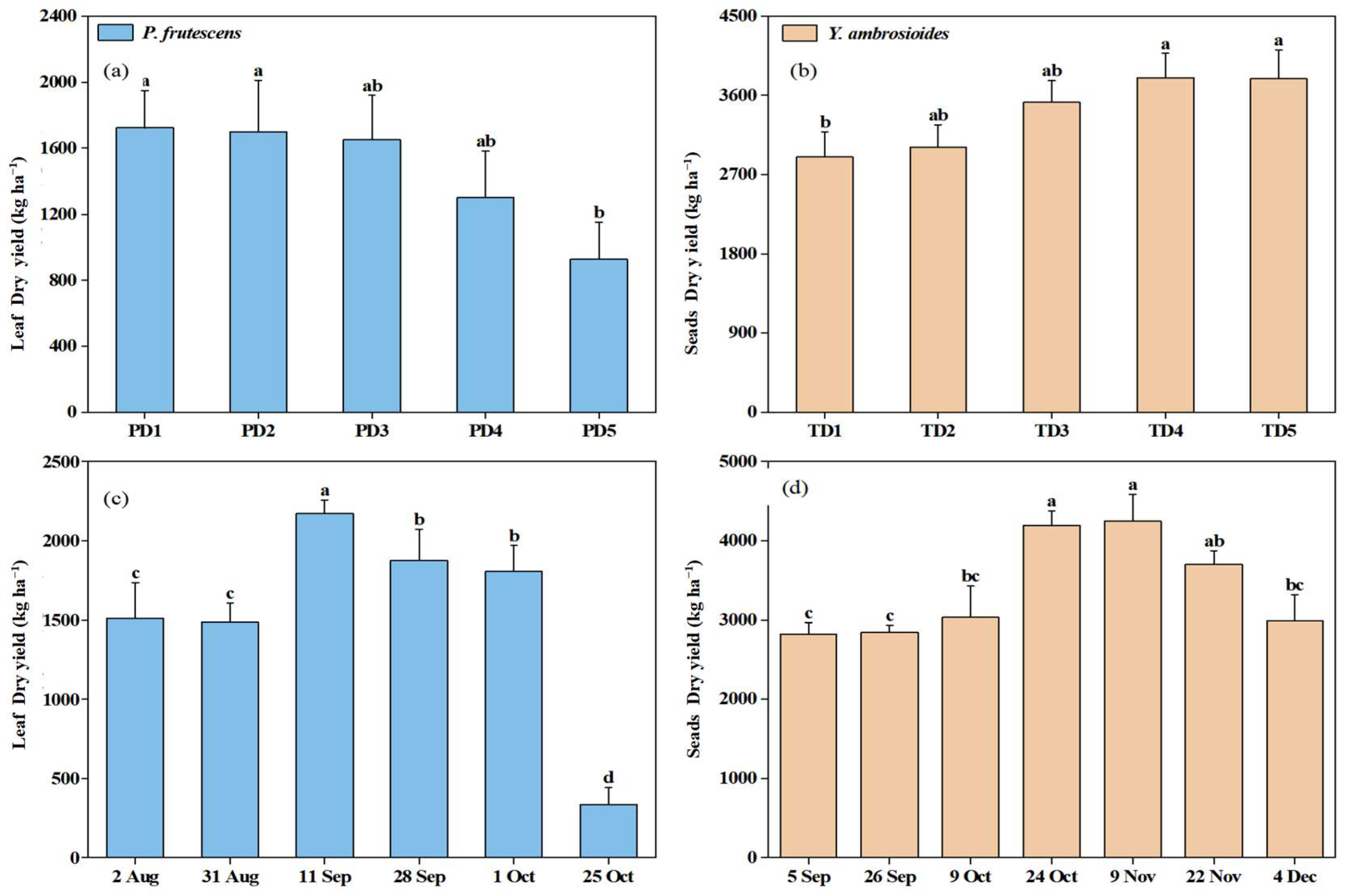
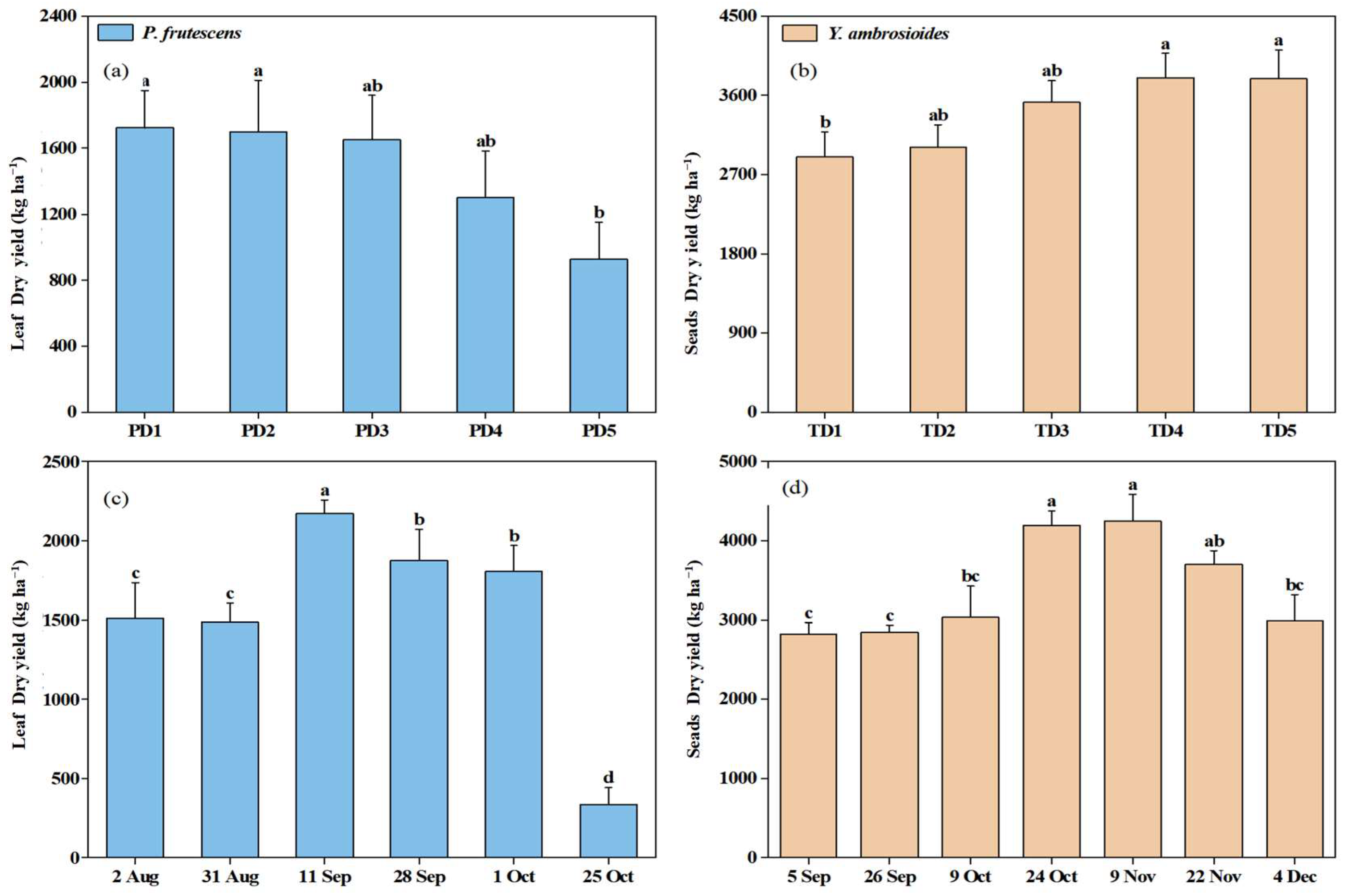
3.1. Effects of Different Plant Density and Harvest Time on the Yield of P. frutescens and Y. ambrosioides
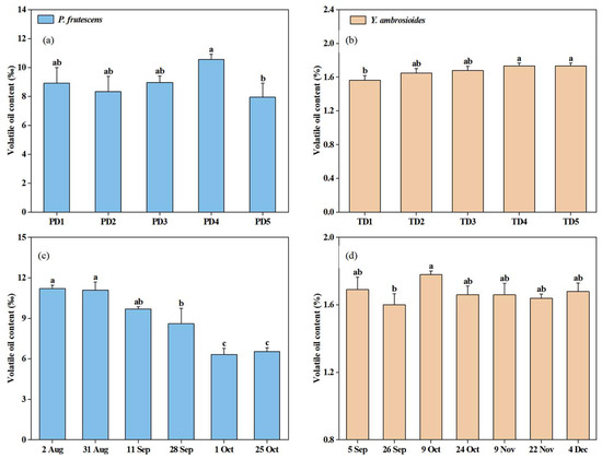
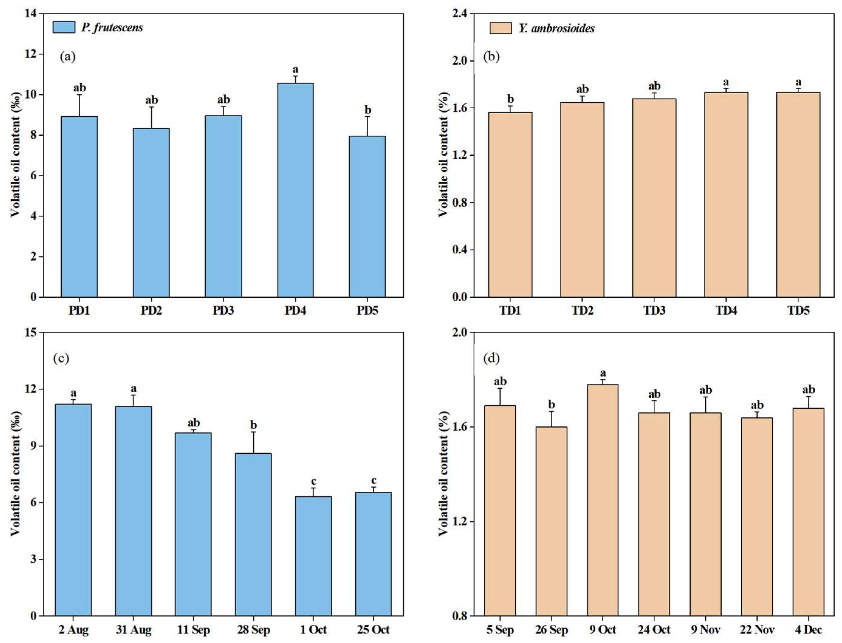
3.2. Effects of Different Plant Density and Harvest Time on VO Content of P. frutescens and Y. ambrosioides
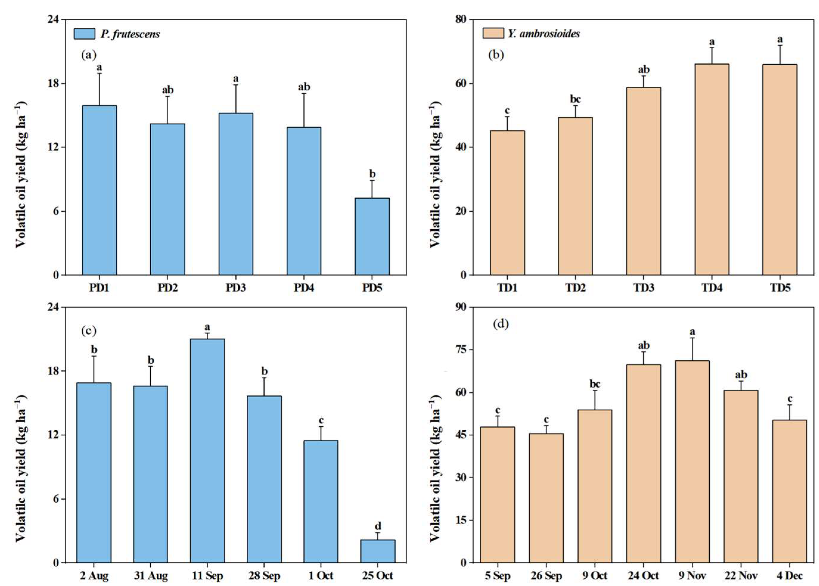
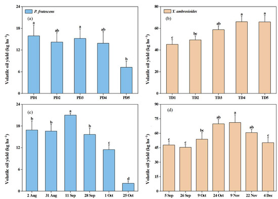
3.3. Effects of Different Plant Density and Harvest Time on VO Yield of P. frutescens and Y. ambrosioides
4. Discussion
5. Conclusions
Author Contributions
Funding
Data Availability Statement
Conflicts of Interest
References
- TrivellatoGrassi, L.; Malheiros, A.; Meyre-Silva, C.; Buss, Z.d.S.; Monguilhott, E.D.; Froede, T.S.; Bortolini Simao da Silva, K.A.; de Souza, M.M. From popular use to pharmacological validation: A study of the anti-inflammatory, anti-nociceptive and healing effects of Chenopodium ambrosioides extract. J. Ethnopharmacol. 2013, 145, 127–138. [Google Scholar] [CrossRef] [PubMed]
- Sharifi-Rad, J.; Sureda, A.; Tenore, G.C.; Daglia, M.; Sharifi-Rad, M.; Valussi, M.; Tundis, R.; Sharifi-Rad, M.; Loizzo, M.R.; Ademiluyi, A.O.; et al. Biological Activities of Essential Oils: From Plant Chemoecology to Traditional Healing Systems. Molecules 2017, 22, 70. [Google Scholar] [CrossRef]
- Dosoky, N.S.; Setzer, W.N. Chemical Composition and Biological Activities of Essential Oils of Curcuma Species. Nutrients 2018, 10, 1196. [Google Scholar] [CrossRef]
- da Silva, B.D.; Bernardes, P.C.; Pinheiro, P.F.; Fantuzzi, E.; Roberto, C.D. Chemical composition, extraction sources and action mechanisms of essential oils: Natural preservative and limitations of use in meat products. Meat Sci. 2021, 176, 108463. [Google Scholar] [CrossRef]
- Taira, S.; Kiriake-Yoshinaga, A.; Shikano, H.; Ikeda, R.; Kobayashi, S.; Yoshinaga, K. Localization analysis of essential oils in perilla herb (Perilla frutescens var. crispa) using derivatized mass spectrometry imaging. Food Sci. Nutr. 2021, 9, 2779–2784. [Google Scholar] [CrossRef]
- Karthik, S.; Chae, J.; Han, S.J.; Kim, J.H.; Kim, H.J.; Chung, Y.S.; Kim, H.U.; Heo, J.B. Improving the Traits of Perilla frutescens (L.) Britt Using Gene Editing Technology. Plants 2024, 13, 1466. [Google Scholar] [CrossRef]
- Liu, S.; Jin, X.; Shang, Y.; Wang, L.; Du, K.; Chen, S.; Li, J.; He, J.; Fang, S.; Chang, Y. A comprehensive review of the botany, ethnopharmacology, phytochemistry, pharmacology, toxicity and quality control of Perillae Fructus. J. Ethnopharmacol. 2023, 304, 116022. [Google Scholar] [CrossRef]
- Jun, H.-I.; Kim, B.-T.; Song, G.-S.; Kim, Y.-S. Structural characterization of phenolic antioxidants from purple perilla (Perilla frutescens var. acuta) leaves. Food Chem. 2014, 148, 367–372. [Google Scholar] [CrossRef]
- Pu, W.; Wang, D.; Zhou, D. Structural Characterization and Evaluation of the Antioxidant Activity of Phenolic Compounds from Astragalus taipaishanensis and Their Structure-Activity Relationship. Sci. Rep. 2015, 5, 13914. [Google Scholar] [CrossRef]
- Tian, J.; Zeng, X.; Zhang, S.; Wang, Y.; Zhang, P.; Lue, A.; Peng, X. Regional variation in components and antioxidant and antifungal activities of Perilla frutescens essential oils in China. Ind. Crop. Prod. 2014, 59, 69–79. [Google Scholar] [CrossRef]
- Yu, H.; Qiu, J.-F.; Ma, L.-J.; Hu, Y.-J.; Li, P.; Wan, J.-B. Phytochemical and phytopharmacological review of Perilla frutescens L. (Labiatae), a traditional edible-medicinal herb in China. Food Chem. Toxicol. 2017, 108, 375–391. [Google Scholar] [CrossRef] [PubMed]
- Zappi, D.C.; Filardi, F.L.R.; Leitman, P.; Souza, V.C.; Walter, B.M.T. Growing knowledge: An overview of Seed Plant diversity in Brazil. Rodriguésia 2015, 66, 1085–1113. [Google Scholar] [CrossRef]
- Jardim, C.M.; Jham, G.N.; Dhingra, O.D.; Freire, M.M. Composition and antifungal activity of the essential oil of the Brazilian Chenopodium ambrosioides L. J. Chem. Ecol. 2008, 34, 1213–1218. [Google Scholar] [CrossRef]
- Barros, L.; Pereire, E.; Calhelha, R.C.; Duenas, M.; Carvalho, A.M.; Santos-Buelga, C.; Ferreira, I.C.F.R. Bioactivity and chemical characterization in hydrophilic and lipophilic compounds of Chenopodium ambrosioides L. J. Funct. Foods 2013, 5, 1732–1740. [Google Scholar] [CrossRef]
- Jesus, R.S.; Piana, M.; Freitas, R.B.; Brum, T.F.; Alves, C.F.S.; Belke, B.V.; Mossmann, N.J.; Cruz, R.C.; Santos, R.C.V.; Dalmolin, T.V.; et al. In vitro antimicrobial and antimycobacterial activity and HPLC-DAD screening of phenolics from Chenopodium ambrosioides L. Braz. J. Microbiol. 2018, 49, 296–302. [Google Scholar] [CrossRef] [PubMed]
- Gadano, A.; Gurni, A.; Lopez, P.; Ferraro, G.; Carballo, M. In vitro genotoxic evaluation of the medicinal plant Chenopodium ambrosioides L. J. Ethnopharmacol. 2002, 81, 11–16. [Google Scholar] [CrossRef] [PubMed]
- Jaramillo, C.B.E.; Duarte, R.E.; Delgado, W. Bioactividad del aceite esencial de Chenopodium ambrosioides colombiano. Rev. Cuba. Plantas Med. 2012, 17, 54–64. [Google Scholar]
- Gómez, F.C.; Ramírez, M.B.; Gaona, E.F. Efecto insecticida del polvo de Chenopodium ambrosioides L. y carbonato de calcio en el control de Sitophilus zeamais en granos de maíz. Investig. Agrar. 2016, 18, 116–120. [Google Scholar] [CrossRef]
- Partap, M.; Kumar, P.; Kumar, A.; Joshi, R.; Kumar, D.; Warghat, A.R. Effect of Elicitors on Morpho-Physiological Performance and Metabolites Enrichment in Valeriana jatamansi Cultivated under Aeroponic Conditions. Front. Plant Sci. 2020, 11, 01263. [Google Scholar] [CrossRef] [PubMed]
- Tian, C.; Zhou, X.; Fahmy, A.E.; Ding, Z.; Zhran, M.A.; Liu, Q.; Peng, J.; Zhang, Z.; Song, H.; Guan, C.; et al. Balanced fertilization under different plant densities for winter oilseed rape (Brassica napus L.) grown on paddy soils in Southern China. Ind. Crop. Prod. 2020, 151, 112413. [Google Scholar] [CrossRef]
- Detar, E.; Zambori-Nemeth, E.; Gosztola, B.; Harmath, A.; Ladanyi, M.; Pluhar, Z. Ontogenesis and harvest time are crucial for high quality lavender—Role of the flower development in essential oil properties. Ind. Crop. Prod. 2021, 163, 113334. [Google Scholar] [CrossRef]
- Atteya, A.K.G.; Albalawi, A.N.; Bayomy, H.M.; El-Naggar, E.M.B.A.; Ghozlan, M.H. Impact of planting density and soaking seeds in melatonin solution on yield, secondary products content and antimicrobial activity of lovage plant. Saudi J. Biol. Sci. 2022, 29, 2656–2673. [Google Scholar] [CrossRef]
- Igarashi, M.; Miyazaki, Y. A Review on Bioactivities of Perilla: Progress in Research on the Functions of Perilla as Medicine and Food. Evid.-Based Complement. Altern. Med. 2013, 2013, 925342. [Google Scholar] [CrossRef]
- Ball, R.A.; Purcell, L.C.; Vories, E.D. Short-season soybean yield compensation in response to population and water regime. Crop Sci. 2000, 40, 1070–1078. [Google Scholar] [CrossRef]
- Basiri, M.H.; Nadjafi, F. Effect of plant density on growth, yield and essential oil characteristics of Iranian Tarragon (Artemisia dracunculus L.) landraces. Sci. Hortic. 2019, 257, 108655. [Google Scholar] [CrossRef]
- Bos, H.J.; Vos, J.; Struik, P.C. Morphological analysis of plant density effects on early leaf area growth in maize. Neth. J. Agric. Sci. 2000, 48, 199–211. [Google Scholar] [CrossRef][Green Version]
- Rattan, S.; Partap, M.; Kanika; Kumar, S.; Warghat, A.R. Nutrient feeding approach enhances the vegetative growth biomass, volatile oil composition, and myristicin content in hydroponically cultivated Petroselinum crispum (Mill.) Nyman. J. Appl. Res. Med. Aromat. Plants 2022, 26, 100359. [Google Scholar] [CrossRef]
- Damtew, Z.; Tesfaye, B.; Bisrat, D. Leaf, essential oil and artemisinin yield of artemisia (Artemisia annua L.) as influenced by harvesting age and plant population density. World J. Agric. Sci. 2011, 7, 404–412. [Google Scholar]
- Nurzynska-Wierdak, R.; Zawislak, G. Herb Yield and Bioactive Compounds of Tarragon (Artemisia dracunculus L.) as Influenced by Plant Density. Acta Sci. Pol.-Hortorum Cultus 2014, 13, 207–221. [Google Scholar]
- Mirjalili, A.; Lebaschi, M.H.; Ardakani, M.R.; Sharifabad, H.H.; Mirza, M. Plant density and manure application affected yield and essential oil composition of Bakhtiari savory (Satureja bachtiarica Bunge.). Ind. Crop. Prod. 2022, 177, 114516. [Google Scholar] [CrossRef]
- Soltanbeigi, A.; Ozguven, M.; Hassanpouraghdam, M.B. Planting-date and cutting-time affect the growth and essential oil composition of Mentha x piperita and Mentha arvensis. Ind. Crop. Prod. 2021, 170, 113790. [Google Scholar] [CrossRef]
- Alharbi, B.M.; Mahmoud, A.A.; Astatkie, T.; Said-Al Ahl, H.A.H. Growth and essential oil composition responses of parsley cultivars to phosphorus fertilization and harvest date. J. Plant Nutr. 2019, 42, 2395–2405. [Google Scholar] [CrossRef]
- Shao, P.; Hong, T.; He, J.; Sun, P. Analysis of Essential Oils from Leaves and Stems of Perilla Frutenscens Sampling Seanson and its Drying Methods. J. Chin. Inst. Food Sci. Technol. 2012, 12, 216–221. [Google Scholar] [CrossRef]
- Wei, C.-L.; Zhang, C.-W.; Guo, B.-L.; Li, W.-P.; Gao, Z.-X.; Zhang, F.; Tian, J. Research on effects of chemotype and components of Perilla frutescens leaf volatile oil I: Different phenological periods. Zhongguo Zhong Yao Za Zhi = Zhongguo Zhongyao Zazhi = China J. Chin. Mater. Medica 2017, 42, 712–718. [Google Scholar] [CrossRef]
- Lee, J.S.; Hnilova, M.; Maes, M.; Lin, Y.-C.L.; Putarjunan, A.; Han, S.-K.; Avila, J.; Torii, K.U. Competitive binding of antagonistic peptides fine-tunes stomatal patterning. Nature 2015, 522, 439–443. [Google Scholar] [CrossRef] [PubMed]
- Li, Z.; Wei, X.; Tong, X.; Zhao, J.; Liu, X.; Wang, H.; Tang, L.; Shu, Y.; Li, G.; Wang, Y.; et al. The OsNAC23-Tre6P-SnRK1a feed-forward loop regulates sugar homeostasis and grain yield in rice. Mol. Plant 2022, 15, 706–722. [Google Scholar] [CrossRef] [PubMed]
- Zhao, Q.; Ding, Q.; Yuan, G.; Xu, F.; Li, B.; Wang, J.; Ouyang, J. Comparison of the Essential Oil Composition of Wild Rhododendron tomentosum Stems, Leaves, and Flowers in Bloom and Non-bloom Periods from Northeast China. J. Essent. Oil Bear. Plants 2016, 19, 1216–1223. [Google Scholar] [CrossRef]
- Badi, H.N.; Yazdani, D.; Ali, S.M.; Nazari, F. Effects of spacing and harvesting time on herbage yield and quality/quantity of oil in thyme, Thymus vulgaris L. Ind. Crop. Prod. 2004, 19, 231–236. [Google Scholar] [CrossRef]
- Baranauskiene, R.; Venskutonis, P.R.; Dambrauskiene, E.; Viskelis, P. Harvesting time influences the yield and oil composition of Origanum vulgare L. ssp vulgare and ssp hirtum. Ind. Crop. Prod. 2013, 49, 43–51. [Google Scholar] [CrossRef]
- Shanjani, P.S.; Mirza, M.; Calagari, M.; Adams, R.P. Effects drying and harvest season on the essential oil composition from foliage and berries of Juniperus excelsa. Ind. Crop. Prod. 2010, 32, 83–87. [Google Scholar] [CrossRef]



| Plant Species | Harvest Time | Fresh Leaves (Seeds) Yield (kg ha−1) | Dry Leaves (Seeds) Yield (kg ha−1) | Stages of Plant Growth |
|---|---|---|---|---|
| P. frutescens | 2 Aug | 661.5 ± 93.18c | 237.02 ± 34.49b | Nutrient growth period |
| 31 Aug | 575.90 ± 50.32c | 252.07 ± 20.94b | ||
| 11 Sep | 865.16 ± 49.40bc | 388.65 ± 19.98a | Flowering period | |
| 28 Sep | 1228.86 ± 68.78a | 358.35 ± 27.49a | Prime bloom period | |
| 1 Oct | 1341.97 ± 110.46a | 405.65 ± 36.41a | Final flowering period | |
| 25 Oct | 1077.20 ± 102.59ab | 378.11 ± 27.52a | Seed maturation period | |
| Y. ambrosioides | 5 Sep | 1287.67 ± 57.49b | 421.20 ± 19.46b | Seed maturation period |
| 26 Sep | 1317.96 ± 44.50b | 430.44 ± 16.32b | ||
| 9 Oct | 1253.90 ± 109.18b | 445.94 ± 56.52b | ||
| 24 Oct | 1997.30 ± 145.62a | 582.25 ± 29.362a | ||
| 9 Nov | 1969.19 ± 163.04a | 591.89 ± 58.10a | ||
| 22 Nov | 1557.14 ± 113.64b | 518.80 ± 38.10ab | ||
| 4 Dec | 828.36 ± 59.26c | 437.20 ± 40.07b |
Disclaimer/Publisher’s Note: The statements, opinions and data contained in all publications are solely those of the individual author(s) and contributor(s) and not of MDPI and/or the editor(s). MDPI and/or the editor(s) disclaim responsibility for any injury to people or property resulting from any ideas, methods, instructions or products referred to in the content. |
© 2024 by the authors. Licensee MDPI, Basel, Switzerland. This article is an open access article distributed under the terms and conditions of the Creative Commons Attribution (CC BY) license (https://creativecommons.org/licenses/by/4.0/).
Share and Cite
Zhang, Y.; Xu, H.; Huang, Y.; Xia, P. Optimization of Plant Density and Harvest Time to Maximize Volatile Oil Accumulation in Two Aromatic Plants. Agronomy 2024, 14, 1676. https://doi.org/10.3390/agronomy14081676
Zhang Y, Xu H, Huang Y, Xia P. Optimization of Plant Density and Harvest Time to Maximize Volatile Oil Accumulation in Two Aromatic Plants. Agronomy. 2024; 14(8):1676. https://doi.org/10.3390/agronomy14081676
Chicago/Turabian StyleZhang, Yu, Hongliang Xu, Yang Huang, and Pengguo Xia. 2024. "Optimization of Plant Density and Harvest Time to Maximize Volatile Oil Accumulation in Two Aromatic Plants" Agronomy 14, no. 8: 1676. https://doi.org/10.3390/agronomy14081676
APA StyleZhang, Y., Xu, H., Huang, Y., & Xia, P. (2024). Optimization of Plant Density and Harvest Time to Maximize Volatile Oil Accumulation in Two Aromatic Plants. Agronomy, 14(8), 1676. https://doi.org/10.3390/agronomy14081676

