Appropriate Water and Nitrogen Regulation Promotes Soybean Yield Formation and Improves Water–Nitrogen Use Efficiency
Abstract
1. Introduction
2. Materials and Methods
2.1. Overview of the Study Area
2.2. Experimental Design
2.3. Indicators and Methods
2.3.1. Growth Dynamics
2.3.2. Photosynthetic Characteristics
2.3.3. Yield
2.3.4. Economic Benefits
2.3.5. Water–Nitrogen Use Efficiency
2.4. Multi-Objective Comprehensive Evaluation Based on the Entropy Weight and TOPSIS Method
2.4.1. Entropy Weighting Method
2.4.2. Entropy Weight and TOPSIS Method
2.5. Data Analysis
3. Results
3.1. Effect of Water and Nitrogen Regulation on the Growth Dynamics of Soybeans
3.1.1. Plant Height
3.1.2. The Leaf Area Index
3.2. Effect of Water and Nitrogen Regulation on Photosynthetic Characteristics of Soybean
3.2.1. Net Photosynthetic Rate
3.2.2. Transpiration Rate
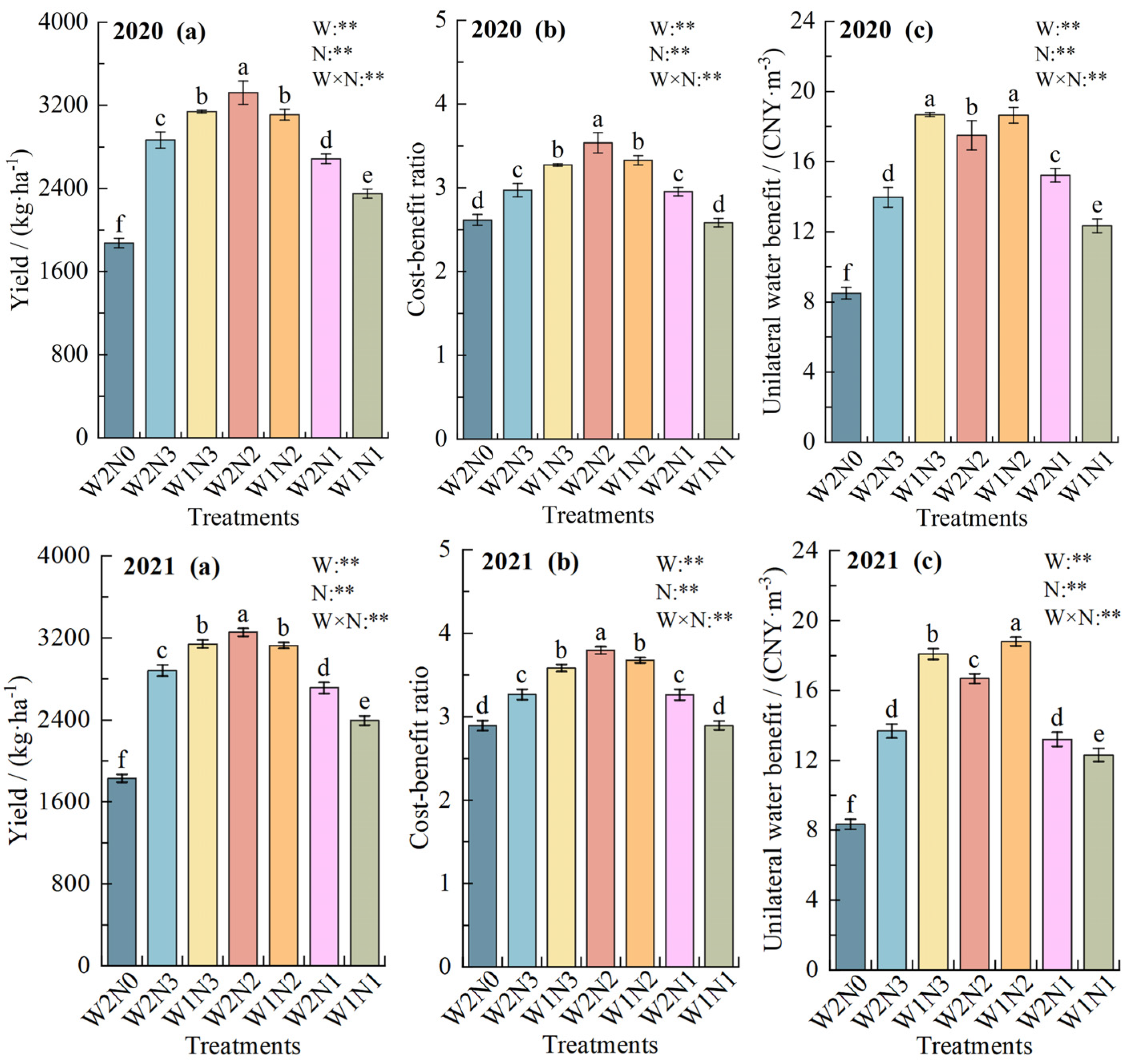
3.3. Effect of Water and Nitrogen Regulation on Soybean Yield and Economic Benefits
3.3.1. Yield
3.3.2. Cost–Benefit Ratio
3.3.3. Unilateral Water Benefit
3.4. Effect of Water and Nitrogen Regulation on Water–Nitrogen Use Efficiency in Soybean
3.4.1. Water Use Efficiency
3.4.2. Partial Factor Productivity of Nitrogen
3.5. Overall Assessment
3.5.1. Correlation Analysis
3.5.2. Optimization of Water and Nitrogen Combinations Based on the Entropy Weight and TOPSIS Method
4. Discussion
5. Conclusions
Author Contributions
Funding
Informed Consent Statement
Data Availability Statement
Acknowledgments
Conflicts of Interest
References
- Bahrami, M.; Talebnejad, R.; Sepaskhah, A.R.; Bazile, D. Irrigation Regimes and Nitrogen Rates as the Contributing Factors in Quinoa Yield to Increase Water and Nitrogen Efficiencies. Plants 2022, 11, 2048. [Google Scholar] [CrossRef] [PubMed]
- Jin, Z.; Tao, Y.; Yue, R.; Ma, Z.; Cheng, S.; Khan, M.N.; Nie, L. Trade-off between Grain Yield and Bioactive Substance Content of Colored Rice under Coupled Water and Nitrogen Conditions. Field Crops Res. 2024, 309, 109312. [Google Scholar] [CrossRef]
- Borsato, E. Weak and Strong Sustainability of Irrigation: A Framework for Irrigation Practices Under Limited Water Availability. Front. Sustain. Food Syst. 2020, 4, 17. [Google Scholar] [CrossRef]
- Jing, B.; Shi, W.; Liu, L.; Wang, Y. Poly-γ-Glutamic Acid Improved Biological Nitrogen Fixation, Water-Nitrogen Productivity, and Nitrate Residue in Cotton/Soybean Intercropping. J. Sci. Food Agric. 2023, 103, 7284–7292. [Google Scholar] [CrossRef] [PubMed]
- Peng, D.; Jiang, R.; Peng, H.; Liu, S. Soybean Cyst Nematodes: A Destructive Threat to Soybean Production in China. Phytopathol. Res. 2021, 3, 19. [Google Scholar] [CrossRef]
- Shen, H.; Gao, Y.; Sun, K.; Gu, Y.; Ma, X. Effects of Differential Irrigation and Nitrogen Reduction Replacement on Winter Wheat Yield and Water Productivity and Nitrogen-Use Efficiency. Agric. Water Manag. 2023, 282, 108289. [Google Scholar] [CrossRef]
- Ju, Q.; Du, L.; Liu, C.; Jiang, S. Water Resource Management for Irrigated Agriculture in China: Problems and Prospects. Irrig. Drain. 2023, 72, 854–863. [Google Scholar] [CrossRef]
- Bie, Q.; Xie, Y. The Constraints and Driving Forces of Oasis Development in Arid Region: A Case Study of the Hexi Corridor in Northwest China. Sci. Rep. 2020, 10, 17708. [Google Scholar] [CrossRef]
- Wang, H.; Wu, L.; Wang, X.; Zhang, S.; Cheng, M.; Feng, H.; Fan, J.; Zhang, F.; Xiang, Y. Optimization of Water and Fertilizer Management Improves Yield, Water, Nitrogen, Phosphorus and Potassium Uptake and Use Efficiency of Cotton under Drip Fertigation. Agric. Water Manag. 2021, 245, 106662. [Google Scholar] [CrossRef]
- Li, X.; Liu, H.; He, X.; Gong, P.; Lin, E. Water–Nitrogen Coupling and Multi-Objective Optimization of Cotton under Mulched Drip Irrigation in Arid Northwest China. Agronomy 2019, 9, 894. [Google Scholar] [CrossRef]
- Zhang, H.; Wang, Y.; Yu, S.; Zhou, C.; Li, F.; Chen, X.; Liu, L.; Wang, Y. Plant Photosynthesis and Dry Matter Accumulation Response of Sweet Pepper to Water–Nitrogen Coupling in Cold and Arid Environment. Water 2023, 15, 2134. [Google Scholar] [CrossRef]
- Gao, S.; Liu, T.; Wang, S.; Li, Y.; Ding, J.; Liu, Y.; Wang, D.; Li, H. Optimizing Fertilizer Management Practices in Summer Maize Fields in the Yellow River Basin. Agronomy 2023, 13, 2236. [Google Scholar] [CrossRef]
- Hou, X.; Xiang, Y.; Fan, J.; Zhang, F.; Hu, W.; Yan, F.; Guo, J.; Xiao, C.; Li, Y.; Cheng, H.; et al. Evaluation of Cotton N Nutrition Status Based on Critical N Dilution Curve, N Uptake and Residual under Different Drip Fertigation Regimes in Southern Xinjiang of China. Agric. Water Manag. 2021, 256, 107134. [Google Scholar] [CrossRef]
- Chinchest, A. The Effects of Water Regimes and Nitrogen Rates on Nitrogen Uptake and Growth of Rice Varieties. Ph.D. Thesis, Cornell University, New York, NY, USA, 1981. [Google Scholar]
- Begg, J.E.; Turner, N.C. Crop Water Deficits. In Advances in Agronomy; Brady, N.C., Ed.; Academic Press: New York, NY, USA, 1976; Volume 28, pp. 161–217. ISBN 0065-2113. [Google Scholar] [CrossRef]
- Prasertsak, A.; Fuka, S. Nitrogen availability and water stress interaction on rice growth and yield. Field Crops Res. 1997, 52, 249–260. [Google Scholar] [CrossRef]
- Anapalli, S.S.; Pinnamaneni, S.R.; Reddy, K.N.; Sui, R.; Singh, G. Investigating Soybean (Glycine max L.) Responses to Irrigation on a Large-Scale Farm in the Humid Climate of the Mississippi Delta Region. Agric. Water Manag. 2022, 262, 107432. [Google Scholar] [CrossRef]
- Setubal, I.S.; Andrade Júnior, A.S.D.; Silva, S.P.D.; Rodrigues, A.C.; Bonifácio, A.; Silva, E.H.F.M.D.; Vieira, P.F.D.M.J.; Miranda, R.D.S.; Cafaro La Menza, N.; Souza, H.A.D. Macro and Micro-Nutrient Accumulation and Partitioning in Soybean Affected by Water and Nitrogen Supply. Plants 2023, 12, 1898. [Google Scholar] [CrossRef] [PubMed]
- Liao, Z.; Zeng, H.; Fan, J.; Lai, Z.; Zhang, C.; Zhang, F.; Wang, H.; Cheng, M.; Guo, J.; Li, Z.; et al. Effects of Plant Density, Nitrogen Rate and Supplemental Irrigation on Photosynthesis, Root Growth, Seed Yield and Water-Nitrogen Use Efficiency of Soybean under Ridge-Furrow Plastic Mulching. Agric. Water Manag. 2022, 268, 107688. [Google Scholar] [CrossRef]
- Hu, J.F.; Guo, Y.; Li, M.; Xie, H.; Chen, X.Z. Research on correction coefficient from leaf area for different soybean leaf forms. J. Beijing Univ. Agric. 2012, 27, 9–11. [Google Scholar] [CrossRef]
- Yue, W.; Liu, L.; Chen, S.; Bai, Y.; Li, N. Effects of Water and Nitrogen Coupling on Growth, Yield and Quality of Greenhouse Tomato. Water 2022, 14, 3665. [Google Scholar] [CrossRef]
- Feng, Y.; Shi, H.; Jia, Y.; Li, R.; Miao, Q.; Jia, Q. Multi-Objective Optimization Water–Nitrogen Coupling Zones of Maize under Mulched Drip Irrigation: A Case Study of West Liaohe Plain, China. Agronomy 2023, 13, 486. [Google Scholar] [CrossRef]
- Yang, Y.; Yin, J.; Ma, Z.; Wei, X.; Sun, F.; Yang, Z. Water and Nitrogen Regulation Effects and System Optimization for Potato (Solanum tuberosum L.) under Film Drip Irrigation in the Dry Zone of Ningxia China. Agronomy 2023, 13, 308. [Google Scholar] [CrossRef]
- Giménez, L.; Paredes, P.; Pereira, L.S. Water Use and Yield of Soybean under Various Irrigation Regimes and Severe Water Stress. Application of AquaCrop and SIMDualKc Models. Water 2017, 9, 393. [Google Scholar] [CrossRef]
- Bortolon, L.; Bortolon, E.S.O.; Camargo, F.P.D.; Seraglio, N.A.; Lima, A.D.O.; Rocha, P.H.F.; Souza, J.P.D.; Sousa, W.C.; Tomazzi, M.; Lago, B.C.; et al. Yield and Nutrient Uptake of Soybean Cultivars Under Intensive Cropping Systems. J. Agric. Sci. Camb. 2018, 10, 344. [Google Scholar] [CrossRef]
- Gaspar, A.P.; Laboski, C.A.M.; Naeve, S.L.; Conley, S.P. Dry Matter and Nitrogen Uptake, Partitioning, and Removal across a Wide Range of Soybean Seed Yield Levels. Crop Sci. 2017, 57, 2170–2182. [Google Scholar] [CrossRef]
- Cafaro La Menza, N.; Monzon, J.P.; Specht, J.E.; Lindquist, J.L.; Arkebauer, T.J.; Graef, G.; Grassini, P. Nitrogen Limitation in High-Yield Soybean: Seed Yield, N Accumulation, and N-Use Efficiency. Field Crop Res. 2019, 237, 74–81. [Google Scholar] [CrossRef]
- Adeboye, O.B.; Schultz, B.; Adekalu, K.O.; Prasad, K. Crop Water Productivity and Economic Evaluation of Drip-Irrigated Soybeans (Glyxine max L. Merr.). Agric. Food Secur. 2015, 4, 10. [Google Scholar] [CrossRef]
- Trezzi, M.M.; Vidal, R.A.; Patel, F.; Miotto, E.; Debastiani, F.; Balbinot, A.A.; Mosquen, R. Impact of C Onyza Bonariensis Density and Establishment Period on Soyabean Grain Yield, Yield Components and Economic Threshold. Weed Res. 2015, 55, 34–41. [Google Scholar] [CrossRef]
- Malone, S.; Herbert, D.A.; Holshouser, D.L. Relationship Between Leaf Area Index and Yield in Double-Crop and Full-Season Soybean Systems. J. Econ. Entomol. 2002, 95, 945–951. [Google Scholar] [CrossRef]
- Kumagai, E.; Hasegawa, T. Lower photosynthetic rate and photosynthetic nitrogen use efficiency in northern Japanese soybean cultivars than Midwestern US cultivars. Crop Sci. 2023, 63, 266–277. [Google Scholar] [CrossRef]
- Cui, X.; Dong, Y.; Gi, P.; Wang, H.; Xu, K.; Zhang, Z. Relationship between Root Vigour, Photosynthesis and Biomass in Soybean Cultivars during 87 Years of Genetic Improvement in the Northern China. Photosynthetica 2016, 54, 81–86. [Google Scholar] [CrossRef]
- Burns, J.; Kulesza, S.; Vann, R.; Woodley, A. Effects of Nitrogen Source and Rate on Soybean Yield and Quality. Commun. Soil Sci. Plant Anal. 2023, 54, 559–570. [Google Scholar] [CrossRef]
- Aminifard, M.H.; Aroiee, H.; Ameri, A.; Fatemi, H. Effect of plant density and nitrogen fertilizer on growth, yield and fruit quality of sweet pepper (Capsicum annum L.). Afr. J. Agric. Res. 2012, 7, 859–866. [Google Scholar] [CrossRef]
- Iqbal, N.; Hussain, S.; Zhang, X.-W.; Yang, C.-Q.; Raza, M.A.; Deng, J.-C.; Ahmad, S.; Ashgar, M.A.; Zhang, J.; Yang, W.; et al. Imbalance Water Deficit Improves the Seed Yield and Quality of Soybean. Agronomy 2018, 8, 168. [Google Scholar] [CrossRef]
- Ouyang, H.; Tang, X.; Zhang, R.; Baklanov, A.; Brasseur, G.; Kumar, R.; Han, Q.; Luo, Y. Resilience Building and Collaborative Governance for Climate Change Adaptation in Response to a New State of More Frequent and Intense Extreme Weather Events. Int. J. Disaster Risk Sci. 2023, 14, 162–169. [Google Scholar] [CrossRef]
- Mika, J. Changes in weather and climate extremes: Phenomenology and empirical approaches. Clim. Chang. 2013, 121, 15–26. [Google Scholar] [CrossRef]









| Treatments | Nitrogen Application /(kg·ha−1) | Soil Water Deficit Regulation Level (%) | |
|---|---|---|---|
| N1 | W1N1 | 60 | 60–70% FC a |
| W2N1 | 60 | 70–80% FC | |
| N2 | W1N2 | 120 | 60–70% FC |
| W2N2 | 120 | 70–80% FC | |
| N3 | W1N3 | 180 | 60–70% FC |
| W2N3 | 180 | 70–80% FC | |
| N0 | W2N0 | 0 | 70–80% FC |
| Index | Year | F Value | Seedling Stage | Branching Stage | Flowering and Podding Stage | Tympanic Ripening Stage |
|---|---|---|---|---|---|---|
| Plant height | 2020 | FW | 0.519 ns | 9.117 ** | 37.852 ** | 5.471 * |
| FN | 3.706 * | 4.297 * | 39.421 ** | 27.297 ** | ||
| FW×N | 11.594 ** | 3.356 ns | 119.766 ** | 85.233 ** | ||
| 2021 | FW | 0.651 ns | 4.626 * | 41.678 ** | 0.917 ns | |
| FN | 4.845 * | 1.835 ns | 31.069 ** | 16.85 ** | ||
| FW×N | 8.479 ** | 4.477 * | 63.686 ** | 80.696 ** | ||
| LAI | 2020 | FW | 12.371 ** | 19.239 ** | 23.823 ** | 0.843 ns |
| FN | 2.318 ns | 30.857 ** | 14.462 ** | 15.48 ** | ||
| FW×N | 3.518 ns | 24.714 ** | 31.345 ** | 18.047 ** | ||
| 2021 | FW | 14.471 ** | 25.129 ** | 24.379 ** | 0.18 ns | |
| FN | 3.636 * | 11.468 ** | 11.897 ** | 12.294 ** | ||
| FW×N | 3.859 * | 18.34 ** | 13.71 ** | 20.192 ** |
| Index | Year | F Value | Flowering and Podding Stage | Tympanic Ripening Stage |
|---|---|---|---|---|
| Pn | 2020 | FW | 13.476 ** | 0.828 ns |
| FN | 29.382 ** | 20.729 ** | ||
| FW×N | 73.728 ** | 24.888 ** | ||
| 2021 | FW | 20.261 ** | 3.957 ns | |
| FN | 11.755 ** | 15.957 ** | ||
| FW×N | 24.527 ** | 39.574 ** | ||
| Tr | 2020 | FW | 53.592 ** | 116.679 ** |
| FN | 52.339 ** | 79.327 ** | ||
| FW×N | 114.831 ** | 121.107 ** | ||
| 2021 | FW | 16.025 ** | 98.734 ** | |
| FN | 60.058 ** | 59.321 ** | ||
| FW×N | 138.706 ** | 65.385 ** |
| Treatments | 2020 | 2021 | ||||
|---|---|---|---|---|---|---|
| Average Value of Water Consumption/(mm) | WUE/ (kg·ha−1·mm) | PFPN/ (kg·kg−1) | Average Value of Water Consumption/(mm) | WUE/ (kg·ha−1·mm) | PFPN/ (kg·kg−1) | |
| W2N0 | 305.24 | 6.14 ± 0.14 f | / | 304.46 | 6.30 ± 0.16 e | / |
| W2N3 | 315.84 | 9.12 ± 0.18 d | 16.01 ± 0.31 f | 315.15 | 9.07 ± 0.24 c | 15.92 ± 0.43 f |
| W1N3 | 241.98 | 12.98 ± 0.16 a | 17.46 ± 0.21 e | 291.84 | 12.97 ± 0.06 a | 17.44 ± 0.08 e |
| W2N2 | 320.04 | 10.17 ± 0.12 c | 27.12 ± 0.32 c | 317.11 | 10.38 ± 0.35 b | 27.69 ± 0.94 c |
| W1N2 | 292.75 | 10.69 ± 0.10 b | 26.07 ± 0.24 d | 288.61 | 10.62 ± 0.18 b | 25.92 ± 0.44 d |
| W2N1 | 310.42 | 8.74 ± 0.18 e | 45.20 ± 0.93 a | 310.09 | 8.65 ± 0.15 d | 44.76 ± 0.76 a |
| W1N1 | 281.63 | 8.50 ± 0.16 e | 39.91 ± 0.75 b | 285.53 | 8.34 ± 0.16 d | 39.16 ± 0.76 b |
| FW | / | 423.295 ** | 4459.057 ** | / | 277.927 ** | 2962.091 ** |
| FN | / | 820.864 ** | 927.603 ** | / | 417.735 ** | 660.492 ** |
| FW×N | / | 566.44 ** | 473.56 ** | / | 314.669 ** | 344.429 ** |
| Treatments | 2020 | Treatments | 2021 | ||||||
|---|---|---|---|---|---|---|---|---|---|
| Rank | Rank | ||||||||
| W2N0 | 1.000 | 0.000 | 0.000 | 7 | W2N0 | 0.995 | 0.012 | 0.012 | 7 |
| W2N3 | 0.609 | 0.429 | 0.414 | 5 | W2N3 | 0.690 | 0.382 | 0.356 | 5 |
| W1N3 | 0.403 | 0.697 | 0.633 | 3 | W1N3 | 0.451 | 0.677 | 0.600 | 3 |
| W2N2 | 0.186 | 0.920 | 0.832 | 1 | W2N2 | 0.165 | 0.935 | 0.850 | 1 |
| W1N2 | 0.268 | 0.777 | 0.743 | 2 | W1N2 | 0.290 | 0.739 | 0.718 | 2 |
| W2N1 | 0.517 | 0.559 | 0.519 | 4 | W2N1 | 0.538 | 0.529 | 0.496 | 4 |
| W1N1 | 0.761 | 0.388 | 0.338 | 6 | W1N1 | 0.798 | 0.332 | 0.294 | 6 |
Disclaimer/Publisher’s Note: The statements, opinions and data contained in all publications are solely those of the individual author(s) and contributor(s) and not of MDPI and/or the editor(s). MDPI and/or the editor(s) disclaim responsibility for any injury to people or property resulting from any ideas, methods, instructions or products referred to in the content. |
© 2024 by the authors. Licensee MDPI, Basel, Switzerland. This article is an open access article distributed under the terms and conditions of the Creative Commons Attribution (CC BY) license (https://creativecommons.org/licenses/by/4.0/).
Share and Cite
Wang, Y.; Li, M.; Zhao, J. Appropriate Water and Nitrogen Regulation Promotes Soybean Yield Formation and Improves Water–Nitrogen Use Efficiency. Agronomy 2024, 14, 1674. https://doi.org/10.3390/agronomy14081674
Wang Y, Li M, Zhao J. Appropriate Water and Nitrogen Regulation Promotes Soybean Yield Formation and Improves Water–Nitrogen Use Efficiency. Agronomy. 2024; 14(8):1674. https://doi.org/10.3390/agronomy14081674
Chicago/Turabian StyleWang, Yucai, Mao Li, and Jin Zhao. 2024. "Appropriate Water and Nitrogen Regulation Promotes Soybean Yield Formation and Improves Water–Nitrogen Use Efficiency" Agronomy 14, no. 8: 1674. https://doi.org/10.3390/agronomy14081674
APA StyleWang, Y., Li, M., & Zhao, J. (2024). Appropriate Water and Nitrogen Regulation Promotes Soybean Yield Formation and Improves Water–Nitrogen Use Efficiency. Agronomy, 14(8), 1674. https://doi.org/10.3390/agronomy14081674

