Next Article in Journal
Enhancement of Damping-Off Disease Control in Tomatoes Using Two Strains of Trichoderma asperellum Combined with a Plant Immune Stimulant
Next Article in Special Issue
Effect of In Vitro Pretreatment with Ag-Containing Amino Acid Nanofibers on Biometrics and Antioxidant Activity in Drought-Stressed Ex Vitro-Adapted Stevia rebaudiana Bertoni
Previous Article in Journal
Increasing Application of Multifunctional Bacillus for Biocontrol of Pests and Diseases and Plant Growth Promotion: Lessons from Brazil
Previous Article in Special Issue
Carbon Footprint of Brazilian Agriculture Based on Field Operations
 
 
Font Type:
Arial Georgia Verdana
Font Size:
Aa Aa Aa
Line Spacing:
Column Width:
Background:
Article

Sustainable Production of Forage Sorghum for Grain and Silage Production with Moisture-Retaining Polymers That Mitigate Water Stress

by
Daniele de Jesus Ferreira
1,
Clotilde de Morais Costa Neta
1,
Anderson de Moura Zanine
1,
Francisco Naysson de Sousa Santos
1,
Danillo Marte Pereira
1,*,
Fleming Sena Campos
1,
Henrique Nunes Parente
1,
Michelle de Oliveira Maia Parente
2,
Rosane Claudia Rodrigues
1,
Edson Mauro Santos
3,
Francisca Cláudia da Silva de Sousa
3 and
Guilherme Ribeiro Alves
4
1
Department of Animal Science, Federal University of Maranhão, Chapadinha 65500-000, MA, Brazil
2
Department of Animal Science, Federal University of Piauí, Teresina 64049-550, PI, Brazil
3
Department of Animal Science, Federal University of Paraíba, Areia 58051-900, PB, Brazil
4
Department of Animal Science, Federal University of Bahia, Salvador 40170-115, BA, Brazil
*
Author to whom correspondence should be addressed.
Agronomy 2024, 14(8), 1653; https://doi.org/10.3390/agronomy14081653
Submission received: 12 May 2024 / Revised: 6 July 2024 / Accepted: 9 July 2024 / Published: 27 July 2024
(This article belongs to the Special Issue Challenges and Advances in Sustainable Biomass Crop Production)

Abstract

The objective was to evaluate the agronomic and production characteristics and the quality of forage sorghum for silage production, using a moisture-retaining polymer (MRP) in the soil during the agricultural off-season. To assess the agronomic characteristics of the forage sorghum, four treatments were used, represented by the MRP hydration intervals (Control, 0, 5, and 10 days) and four replications. The qualitative characteristics of the silage were evaluated in a 4 × 2 factorial scheme, and the same MRP hydration intervals were used for the agronomic assessment, with and without the concentrate mixture at the time of ensiling, both in a randomized block design. There were differences (p < 0.05) for all morphological variables, agronomic variables, and weight constituents of forage sorghum. There was an interaction effect (p < 0.05) between the MRP hydration intervals and the concentrate mixture at the time of ensiling for gas losses, silage dry matter recovery, and ether extract. There was an effect (p < 0.05) due to the addition of the concentrate mixture at the time of ensiling for in vitro dry matter digestibility and total digestible nutrients. When using MRP at planting and the concentrate mixture at the time of forage sorghum ensiling, a hydration interval of every 5 days is recommended.

1. Introduction

The agricultural frontier of MATOPIBA is made up of the states of Maranhão, Piauí, Tocantins, and Bahia. The predominant biomes are Cerrado, Amazon, and Caatinga, which are characterized by having two well-defined seasons, rainy and dry, which is a limiting factor for the balanced production of grains and fodder throughout the year.
In this context, forage sorghum is a promising crop due to its adaptation mechanisms to high temperatures and water deficits [1]. However, in regions with sandy soils and high evapotranspiration, such as the eastern region of Maranhão, its drought adaptation mechanisms are insufficient to ensure grain and biomass production during the off-season.
In this way, Moisture-Retaining Polymer (MRP) technology has been widely used. These are three-dimensional polymeric networks made up of macromolecules that allow a significant amount of water to be absorbed and retained within their structure for later release, which provides greater water replenishment in the soil, reducing the effects of water stress on the plant [2]. In addition, the use of MRPs can optimize the rational use of water, minimizing production costs on the farm, since it reduces the frequency of irrigation in the growing areas.
However, the use of MRPs combined with forage species that are more resistant to water deficits becomes a strategic option for balancing the supply of grain and biomass for silage production throughout the year. Furthermore, it is worth noting that within an efficient production system, a set of technologies must be used to optimize the animals' bioeconomic performance.
Thus, the use of concentrated mixtures previously formulated to meet the nutritional requirements of farm animals at the time of ensiling makes it possible to use forage crops with a moisture content of less than 35%. In addition to increasing the availability of starch and the digestibility of the fibrous fraction of the diet, this reduces the selection of ingredients by the animals [3].
Other points worth mentioning are the reduction in labor costs and, consequently, animal feed costs [4]. Thus, the use of sorghum-based TMR from a system that optimizes the rational use of water within a production system becomes a promising and sustainable alternative for confining animals, as well as minimizing labor and irrigation costs, greatly reducing the farm's production costs.
Because of this, to improve knowledge and expand studies on the use of MRPs in forage crops, this study aims to evaluate the agronomic, productive, and nutritional characteristics of forage sorghum for TMR production, using MRPs in the soil with different hydration intervals in the agricultural off-season.

2. Materials and Methods

2.1. Location and Treatments

The experiment was carried out in an area belonging to the Chapadinha Science Center of the Federal University of Maranhão—UFMA/CCCh, Campus IV in the municipality of Chapadinha, Lower Parnaíba Region, located at 03°44′33″ S latitude, 43°21′21″ W longitude.
According to the Köppen classification, the region has a predominantly Aw-type climate—tropical humid, with two well-defined seasons: a rainy season that lasts from November to June, and a season with a water deficit from July to November (Figure 1). The average annual temperature is 27 °C, with a maximum of 39 °C and a minimum of 23 °C (Figure 2), and an average annual rainfall (1990–2015) of 1740 mm [5].

2.2. Experimental Designs Used

To evaluate the agronomic characteristics of forage sorghum ([Sorghum bicolor (L.) Moench.] cv. BRS Ponta Negra), a completely randomized block design (RBD) was adopted, using four treatments and four replications. The treatments were represented by MRP hydration periods (Control; 0 days: sorghum + MRP on the day of planting; 5 days: sorghum + MRP hydrated every 5 days; 10 days: sorghum + MRP hydrated every 10 days).
To assess the qualitative characteristics of forage sorghum silage with and without the addition of a concentrated mixture at the time of ensiling, a 4 × 2 factorial design was adopted, with four periods of MRP hydration (Control; 0 d: sorghum + MRP hydrated on the day of planting; 5 d: sorghum + MRP hydrated every 5 days; 10 d: sorghum + MRP hydrated every 10 days) and with and without the concentrate mixture at the time of ensiling.

2.3. Planting and Fertilizing

The soil in the experimental area is classified as red-yellow Argissolo, with a loamy-clay texture. The experimental area corresponds to 5.000 m2 (0.5 ha), where soil samples were taken from the 0–20 cm layer for chemical and textural characterization. The soil was corrected with dolomitic limestone, with a Relative Total Neutralizing Power (RTNP) of 115.10% and 2.3 t/ha−1, corresponding to the amount recommended to raise the base saturation to 60%, which is recommended for raising the sorghum crop.
Sowing took place manually on 1 May 2021 in 12 m2 plots (4.0 × 3.0 m), with a spacing of 0.6 m between rows and 0.5 between holes and with a plot spacing of 1.0 m and a block spacing of 1.5 m. Each plot consisted of 40 seedlings, resulting in a total of 640 seedlings.
Plant fertilization with NPK macronutrients was carried out manually, calculated based on the soil analysis (Table 1), with recommendations and quantities of 150 kg of N ha−1, 70 kg of P2O5 ha, and 60 kg of k2O ha−1. The granulometric characteristics recorded were 70% sand, 21% clay, and 9% silt (Table 1).

2.4. Application of Moisture-Retaining Polymer

The doses of MRP were weighed on a precision scale and applied together with the seeds at the time of sowing. For all treatments, 5 g of the product was used per hole. The MRP was previously hydrated in a 1 L water tank, using a ratio of 1 L of water for every 5 g of MRP. The mixture was homogenized until it took the form of a gel, and then 1 L of hydrated MRP was applied per hole. The seeds were placed in the hydrated MRP. In the 0-day treatment, the MRP was hydrated on the day of planting; in the 5-day and 10-day treatments, the MRP was hydrated with 1 L of water every 5 days and every 10 days, respectively. Table 2 shows the MRP technical datasheet.

2.5. Cultivation

Contact insecticides were used to control caterpillars, according to the manufacturer’s recommendations. Weeding was carried out periodically to reduce weed growth. As a measure to prevent birds from attacking the grains, the panicles were covered with paper bags and monitored until the day of harvest.

2.6. Evaluation of Agronomic Characteristics

Two plants were selected from each plot for morphogenesis, totaling 32 plants, where the height of the whole plant, the height of the ligule, the number and length of leaves, and the number of tillers were measured every 7 days using a tape measure.
The sorghum was harvested 120 days after planting, and two plants located in the center rows of each experimental unit were collected for agronomic analysis, where the following variables were measured: Weight of the whole plant (kg); Weight of live leaves/plant (g); Weight of dead leaves/plant (g); Production of live leaves/plant (kg/ha); Production of dead leaves/plant (kg/ha), Production of total biomass (kg/ha); Ratio of live leaves to senescent leaves; Ratio of total biomass to live leaves. To obtain the weight of the leaves and stalks, a precision digital scale was used. For the weight of the whole plant, a digital scale with a tolerance of 15 kg was used. A digital caliper was used to measure the diameters of the stalks and panicles.
To estimate biomass production, the forage mass values at 120 days after planting were used. Four plants per plot, located in the center rows, were harvested, taking into account their average size.
The samples collected were weighed individually using a digital scale with a tolerant weight of 15 kg. The weights obtained were transformed into kilos of green matter per pit and then converted into 10.000 m2 to obtain the production per hectare. After this, two of the same samples were used for agronomic evaluations and two to measure productivity.
To measure yield, the collected panicles were exposed to the sun for three consecutive days, where the grains, the weight of the ear with grains, the weight of the grains, the weight of the panicle, and the dry weight of the panicle were counted.
To determine the integrity of the stalk and leaf health, a visual assessment was made using scores from 1–5, where 1: excellent; 2: good; 3: average; 4: poor; 5: bad. For leaf health, grades 1–9 were suggested, where grade 1 = highly resistant (0%); grade 2 = resistant (1%); grade 3 = resistant (10%); grade 4 = moderately resistant (20%); grade 5 = moderately susceptible (30%); grade 6 = moderately susceptible (40%); grade 7 = susceptible (60%); grade 8 = susceptible (80%); grade 9 = highly susceptible (>80%).
Based on the visual assessment, the color and hardness of the grains were determined as brown, light brown, green, pasty, hard, and semi-hard, respectively. For the number of burnt grains, scores were assigned: Score 1 = no burnt grains; Score 2 = 1 to 25% burnt grains; Score 3 = 25 to 50% burnt grains; Score 4 = 51 to 75% burnt grains; Score 5 = 76 to 100% burnt grains.

2.7. Qualitative Characteristics of Silage with and without the Concentrate Mixture

For the ensiling process, the sorghum was cut approximately 20 cm from the ground when the grains in the central portion of the panicle had a pasty to mealy appearance. The harvested material was processed using a stationary forage harvester attached to the tractor until an average particle size of 2.0 cm was obtained.
The total feed silages were made up of 60% roughage (pure sorghum) and 40% concentrate (Table 3). The concentrates were made up of soybean meal, ground corn, urea, and mineralized salt. The silages were formulated to meet the requirements of dairy cows with an average weight of 450 kg and average milk production of 15 L/day, according to [6]. The mixture was then conditioned in experimental silos, and the silo material had a capacity of 3.6 L (length: 191.4 mm, height: 156.5 mm, and width: 193.6 mm). The chemical composition of the ingredients and the TMR are shown in Table 4.
After this, the ingredients were mixed by hand. During this stage, samples of the fresh mixture were taken to assess the chemical composition of the diets. All the experimental silos were fitted with a Bunsen valve to eliminate the gases resulting from fermentation. A total of 1 kg of dry sand was added to the bottom of each silo, which was covered with cotton cloth to prevent the silage from coming into contact with the sand. At the end of this process, the silos were closed, weighed, and stored at room temperature in a covered, dry, and ventilated place until the experimental silos were opened.
The experimental silos were conditioned in a room at room temperature for 45 days, after which time they were weighed, opened, and the silage resulting from the fermentation process was removed manually, discarding the ends where the material had deteriorated. Then, it was homogenized and sampled to evaluate its fermentation profile and bromate composition. To determine the pH, 25 g sub-samples were collected for analysis, to which 100 mL of distilled water was added and, after resting for 1 h, the pH was read using a potentiometer [7].
To determine the buffer capacity (BC), approximately 15 g of the macerated sample was used together with 250 mL of distilled water. Using a potentiometer, the material was first titrated up to pH 3.0 with 0.1 N HCL to release the bicarbonates as carbon dioxide. It was then titrated to pH 6.0 with 0.1 N NaOH, recording the volume of NaOH used to change the pH from 4.0 to 6.0 as described by [8]. The methodology proposed by [9] and adapted by [10] was used to determine the water-soluble carbohydrate content (WSC).
Next, 800 mL of absolute water was diluted in 200 mL of distilled water in a 1000 mL beaker, then 0.050 g of the sample was weighed, added to a 50 mL volumetric flask, and filled to the mark with 80% ethyl alcohol solution. The container was sealed with cling film, then taken to a water bath for 30 min at 80 °C. The contents were homogenized and filtered using non-woven fabric, then transferred to a 100 mL beaker where the contents were topped up to the limit of the beaker. The ethanolic extract was then transferred to a bottle with a lid to prevent it from volatilizing. Aliquots of 1 mL of the ethanolic extract were then taken and transferred to test tubes with screw caps. Subsequently, 0.5 mL of 5% phenol solution and 2.5 mL of concentrated sulphuric acid were added. After pipetting, the tubes were homogenized using a vortex and allowed to cool to room temperature. A standard curve was constructed with increasing concentrations of 0.01% glucose solution (0.0015; 0.0030; 0.0045; 0.0060; 0.0075; 0.0090; 0.0105 g/mL) and readings were taken on a spectrophotometer at 490 mm absorbance.
The ammoniacal nitrogen content as part of the total nitrogen (NH3-N%) was determined using 15 g of fresh silage. This sample was transferred to a blender along with 100 mL of 15% potassium chloride solution and processed for 5 min, then filtered and 10 mL was collected. The material was placed in a digester tube containing 250 mg of calcined magnesium oxide and then distilled to determine nitrogen using the Kjeldahl method and expressed as a percentage of the total nitrogen in the silage [11].
Silage losses in the form of gases (GL) and effluents (EL) and dry matter recovery were quantified by weight difference, according to methodologies proposed by [12]. GL were obtained using the equation below. This equation is based on weighing the silos at closing and opening to measure the mass of forage stored.
GL = [(PSf − PSa)]/[(MFf × MSf)] × 100, where:
GL = gas loss during storage (% of initial DM); PSf = silo weight at ensiling;
PSa = silo weight at opening;
MFf = forage mass at ensiling; MSf = forage DM content at ensiling. Effluent losses:
EL = (Pab − Pen)/(MVfe) × 1000, where:
EL= Effluent production (kg/t green mass);
Pab = Weight of the set (silo + sand + cloth + screen) at opening (kg); Pen = Weight of the set (silo + sand + cloth + screen) at ensiling (kg); MVfe = Green mass of ensiled forage (kg).
Dry matter recovery (DMR) was estimated using the equation below:
DMR = (MFab × MSab)/(MFfe × MSfe) × 100, where:
DMR = dry matter recovery index; MFab= forage mass at opening; MSab = DM content at opening;
MFfe = forage mass at closing; Msfe = forage DM content at closing.
The ASrobic stability test was evaluated by monitoring the internal temperature of the silage exposed to air. Around 500 g of silage samples were placed without compaction in experimental PVC silos without lids and kept in a closed environment at a controlled temperature (25 °C).
The silage temperatures were obtained using encapsulated temperature sensors (operating temperature range −55 to 125 °C, precision ±0.5 °C) connected to a specific ATmega2560 microcontroller (Atmega2560–Arduino®, Mega 2560, Italy) programmed to acquire the temperature every minute for 120 h. The sensors were placed 5 cm deep in the silo, in the center of the silage mass, and stability was considered to be broken when the internal temperature of the silage reached 2 °C above the ambient temperature (AT) [13].
The laboratory analyses were carried out at the Animal Products Laboratory (LAPOA) and the Bromatology and Animal Nutrition Laboratory, both belonging to UFMA/CCCh. The by-product samples were divided into two parts, one for chemical composition analysis, where they were pre-dried for 72 h in a forced ventilation oven at 65 °C. These samples were then ground into 1 mm particles in a knife mill with sieves and analyzed for concentrations of dry matter (DM), organic matter (OM) using method 942.05, ether extract (EE) using method 920.29, and crude protein (CP) using method 981.10 according to [14]. The content of neutral detergent fiber (NDF) and acid detergent fiber (ADF) in the samples was determined following the methodology described by [15]. The concentration of NDF was corrected for ash and protein [15,16].
Lignin was determined according to [17]. The hemicellulose content (HEM) was calculated by subtracting the NDFp from the ADFp, and cellulose (CEL) by subtracting the ADFp from the lignin. Total carbohydrates (TC) was calculated using the equation: TC = 100 − (%CP +%MM +%EE), according to [18]. The concentration of non-fibrous carbohydrates (NFC) was obtained from the equation NFC = 100 − (%CP +%NDFcp + EE + MM), as proposed by [19] and according to [20].
The in vitro dry matter digestibility (IVDMD) was determined according to the methodology proposed by [21] and modified by [22]. Rumen fluid was collected from cattle and strained through four layers of cotton cloth to remove feed particles. The samples were incubated with the mixture of rumen fluid and buffer solution in a water bath and kept at 39°C. Gas production at 0, 3, 6, 9, 12, 24, 48, 72, and 96 h was recorded and used to determine IVDMD. The total digestible nutrient content (TDN) was calculated using the following equation: TDN = CPd + NFCd + NDFcpd + (EEd × 2.25); where CPd, NFCd, NDFcpd, and EEd correspond to digestible crude protein, digestible non-fibrous carbohydrates, neutral detergent fiber corrected for ash and digestible protein, and digestible ether extract, respectively, with ether extract multiplied by 2.25 because this fraction contains approximately twice as much energy as the others [23].

2.8. Statistical Analysis

The first experiment used a randomized block design with four treatments and four replications of RBD (Yij = μ + τi + βj + ϵij).
Where:
Yij is the response of treatment i in block j;
μ is the overall mean;
τi is the effect of treatment i;
βj is the effect of block j;
ϵij is the experimental error.
The means were subjected to analysis of variance and compared using the Tukey test at 5% probability using the PROC MIXED procedure of the Statistical Analysis System 9.1 (SAS Institute, Cary, NC, USA) to evaluate the agronomic and production data.
In the second experiment, the silages were subjected to a 4 × 2 factorial arrangement, with three treatments with different MRP hydration intervals, divided into exclusively sorghum silage and complete feed silage with a concentrate mixture.

3. Results

3.1. Evaluation of Agronomic Characteristics

There were differences (p < 0.05) for all the variables in the morphological and agronomic evaluation of forage sorghum, except for the number of dead leaves. MRP had an effect (p < 0.05) on the inflorescence length variables (number of leaves, plant stem diameter, and plant height up to inflorescence insertion), with superior results in the treatments that used the MRP (0, 5, and 10 days) compared to the control treatment. MRP had an effect (p < 0.05) on the diameter of the inflorescence, with a higher average in the treatment that used hydration at 5-day intervals compared to the other treatments. The results found that plant stalk diameters were higher (p < 0.05) in the treatments that received the longest hydration intervals (5 and 10 days) (Table 5).
Table 6 shows an effect (p < 0.05) on the weight of dead leaves/plant and production of dead leaves, with higher results for the treatments that used the MRP (0, 5, and 10 days). The WPW, TBP, and TBLLR variables were higher when MRP hydration intervals were used every 5 days and lower in their absence (control). There was an effect (p < 0.05) on the LVW values, with higher results for the treatments that used longer MRP hydration intervals (5 and 10 days), while for the LSLR ratio, the highest average values were observed only in the 5-day treatment and the lowest values were observed in the control (Table 6).
There were differences (p < 0.05) for all grain agronomic evaluation variables, with the weight of the panicle with grain showing the highest averages in the 5-day treatment group, and the lowest in the control. For panicle yield, the highest average was found in the 0-day group and the lowest in the control. For grain yield, the highest average was observed in the 5-day group and the lowest in the control (Table 7).
Regarding the characteristics of the sorghum grains at maturity, as seen in Table 8, there was no difference according to the visual analysis, with the grains showing a semi-hard texture, a light brown color, and a score of 1 for the number of burnt grains for all the treatments (Table 8). In terms of the health of the stalks and leaves, there was no difference between the treatments evaluated, with the stalks showing good health and the leaves showing good resistance to the criteria used (Table 8).

3.2. Qualitative Characteristics of Silage with and without the Concentrate Mixture

There was an interaction effect (p < 0.05) between the number of days the MRP was hydrated and the use of the concentrate mixture at the time of ensiling on the WSC content (p < 0.0001) of the silages. There was a difference in WSC in sorghum silage (SS), with the highest average being observed in the 10-day treatment group and the lowest in the 0-day and 5-day groups, which did not differ from each other. However, there was no difference (p > 0.05) between the MRP hydration periods and the use of the concentrate mixture at the time of ensiling, with an overall average of 5.68% in DM. Regarding the inclusion of the concentrate mixture at the time of ensiling, there was a difference (p < 0.05), with the highest averages being observed with sorghum silage and the lowest with complete feed silage (Table 9).
There was an isolated effect of MRP on BC, with the highest averages being observed in the control, 0-, and 5-day treatments, which did not differ from each other, and the lowest in the 10 d treatment. For the isolated effect of the concentrate mixture, there was a difference in BC (p < 0.05) and NH3-N (p < 0.05), with the highest average being found in the TMR treatment and the lowest in the SS treatment (Table 9).
There was an interaction effect (p < 0.05) between the days of hydration of the MRP and the use of the concentrate mixture at the time of ensiling for the GL and DMR contents of the silages. There was a difference (p < 0.05) for GL in the SS, with the highest average being observed in the 0-day treatment group and the lowest in the control, 5-, and 10-day groups, which did not differ from each other; however, there was no difference (p > 0.05) between the periods of hydration of the MRP for the TMR, with an overall average of 11.974% in the DM (Table 10). There was a difference (p < 0.05) for DMR in sorghum silage, with the highest averages being found in the control, 5-, and 10-day treatments, which did not differ from each other, and the lowest in the 0-day treatment. However, there was no difference (p > 0.05) between MRP hydration periods for TMR, with an overall average of 879.54 g/kg−1. Regarding the inclusion of the concentrate mixture at the time of ensiling, there was a difference (p < 0.05), with the highest averages being observed in SS and the lowest with TMR for GL. The opposite was observed for DMR, with the highest averages being found in TMR and the lowest in SS (Table 10).
There was no isolated effect of MRP for the variables of effluent losses (p = 0.6362), gas losses (p = 0.2583), and DMR (p = 0.3296) during the fermentation process, with overall averages of 4.92 kg/ton of MN, 16.01%, and 834.36 g/kg−1, respectively. For the isolated effect of TMR, there was a difference for EL (p < 0.0001), with the highest average for SS and the lowest for TMR (Table 10). However, there was no effect (p < 0.0001) of TMR at the time of ensiling on silage DMR, with an overall average of 834.38 g/kg−1. Regarding the inclusion of the concentrate mixture at the time of ensiling, there was a difference (p < 0.05), with the highest averages being observed with sorghum silage and the lowest with complete feed silage for GL (Table 10).
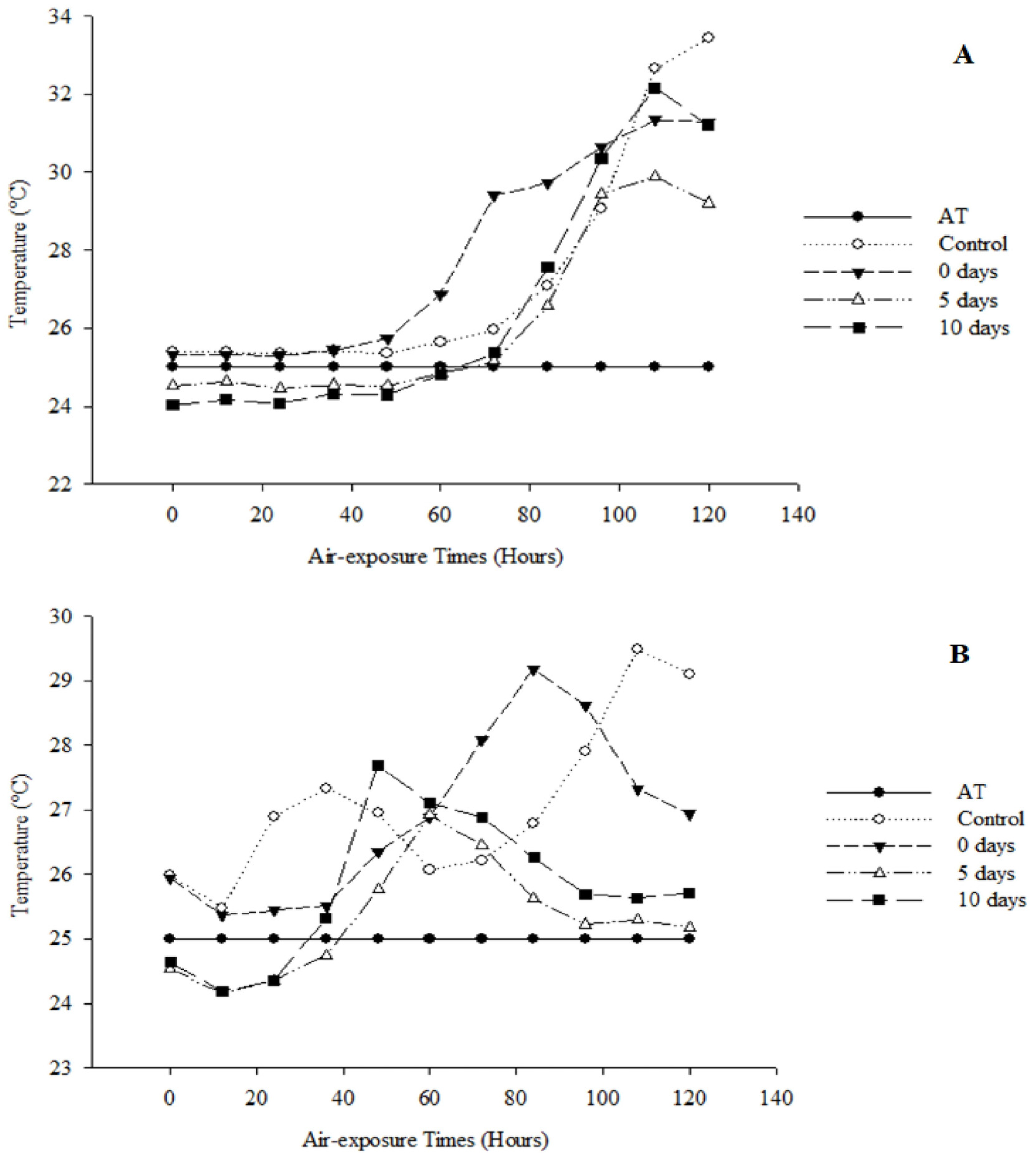
It was observed that the ASrobic stability time (AS) of sorghum silage and complete feed differed depending on the hydration interval of the MRP. Thus, sorghum silage without a concentrated mixture had a low AS time, with the control treatment remaining stable for 20 h. The longest AS times were observed in the treatments with a hydration interval of 0 and 5 days, remaining stable for 60 h; however, the treatment hydrated every 10 days showed a drop in AS at 40 h of exposure to air (Figure 3A).
The silages in the form of complete feed remained more stable during the 120 h AS test when compared to the sorghum silages without added concentrate, with the control treatment remaining stable for 65 h. The treatments with 0, 5, and 10 days of MRP hydration remained stable for 85 h of exposure to air (Figure 3B).
Regarding the bromatological composition variables, there was an interaction effect (p < 0.05) only for EE, expressed in g/kg of DM. There was a difference (p < 0.05) for EE in the TMR, with the highest average being observed in the control treatment and the lowest in the 0, 5-, and 10-day treatments, which did not differ from each other. However, there was no difference (p > 0.05) between the MRP hydration periods for the SS, with an overall average of 56.78 g/kg in DM. Regarding the inclusion of the concentrate mixture at the time of ensiling, there was a difference (p < 0.05), with the highest averages being observed for SS and the lowest with TMR for EE (Table 11). There was no isolated effect (p > 0.05) of MRP on the bromatological composition variables of the silages, with averages of 334.87, 55.26, 104.54, 528.11, and 243.59 g/kg for DM, MM, PB, NDF, and FDA, respectively. For the isolated effect of TMR, there were differences in DM (p < 0.0001), CP (p < 0.0001), and FDA (p < 0.0001), with the highest averages for DM and CP being observed in the silages with the concentrate mixture. As for the FDA of the silages, the highest average was found for SS and the highest for TMR. However, there was no effect of the concentrate mixture at the time of ensiling on the MM and NDF of the silages, with overall averages of 54.01 and 528.81 g/kg DM (Table 11).
There was an isolated effect (p < 0.05) due to the addition of the concentrate mixture at the time of ensiling for in vitro Dry Matter Digestibility (IVDMD) and Total Digestible Nutrients (TDN), expressed in g/kg DM, with the highest averages being observed in TMR (732.03 and 737.35 g/kg, respectively). However, there was no effect (p > 0.05) based on hydration periods for SS (666.49 and 678.46 g/kg, respectively) and TMR (731.98 and 737.30 g/kg, respectively).

4. Discussion

4.1. Evaluation of Agronomic Characteristics

The results of the agronomic evaluations can be associated with the water and nutrient retention capacity of the MRP, which makes these available gradually in the soil, thus reducing leaching losses. In Ref. [24], which investigates the use of MRP and irrigation levels, the authors note that maximum plant height contributes to an increase in fresh mass and productive efficiency.
MRP also acts on the physical condition of the soil, creating a favorable environment for plant development. Therefore, it is possible that growth and development were increased when the MRP was used, which increased the efficiency of fertilizer and water use.
According to [25], the permanence of moisture in the soil contributed to the plant's use of water, reducing its water stress during the off-season. This was observed in this study, given that the use of MRP helped to preserve soil moisture, as well as reduce crop evapotranspiration, which ensured the growth and development of forage sorghum.
Results similar to those of the present study were observed by [26], which evaluated irrigation rates for forage sorghum and emphasized the efficiency of the use of the retainer in the soil at the time of variation in thermal amplitudes (Table 4).
These results highlight the importance of using MRP for the crop cycle during the off-season due to the reduction in water stress and evapotranspiration of the forage plant, as some of the events that can be observed during plant acclimatization are a reduction in cell expansion, the limitation of photosynthesis, resulting in a reduction in biomass production, and the accumulation of senescent leaves in an attempt to survive [27]. This differs from the results observed by [28], who found no influence of MRP on plant growth, only on survival.
In forage sorghum cultivation, the panicle is the main component for delimiting the plant's harvest point, especially when it is grown for silage production, due to its contribution to increasing the plant's dry matter content. Furthermore, the panicle has a higher crude protein content, giving it greater nutritional value compared to other plant components, such as leaves and stalks [29].
Regarding grain yield (kg/ha), the unhydrated treatment group showed the lowest grain yield when compared to the hydrated treatments, showing the importance of water availability in the soil for grain production. This differs from the results of [30], who tested the use of MRP in different doses in powdered form (not hydrated) and determined that there was no significant effect on the growth of the ASrial part. In this way, it can be determined that the method of application of MRP also influences the development of the panicle.
Forage sorghum is considered precocious and most hybrids have a silage point of mealy to hard. In addition, the constituents of the plant can vary depending on the crop, which influences the stage of development.
The BRS Ponta Negra cultivar is medium-sized and has a light brown grain color, characteristics that are relevant to forage production [31,32]. In addition, studies with different sorghum cultivars to assess grain hardness have concluded that this variable is a determining factor in estimating the plant's dry matter content at the time of ensiling.
Thus, the results obtained may be due to the genetic characteristics of forage sorghum cv. BRS Ponta Negra, which confers high resistance to diseases such as anthracnose (Colletotrichum graminicola), rust (Puccinia purpúrea), and cercosporiosis (Cercospora fusimaculans) [27]. Furthermore, susceptibility to diseases will depend on the race of the pathogen, the severity of the planting site, and the resistance of the hybrid. Therefore, we can conclude that resistance to attack on the stalk and leaves has been established, giving higher quality production as it meets one of the criteria for quality silage.

4.2. Qualitative Characteristics of Silage with and without the Concentrate Mixture

The pH is highly dependent on the concentration and type of organic acids that are produced during fermentation. Lactic acid, for example, is one of the main factors responsible for reducing pH [33]. In this study, the pH values of the silages were very close on the scale of 3.82 to 3.91, which indicates good fermentation as they were between 3.7 and 4.2 according to the recommendations proposed by [34,35]. When assessing fermentation in forage sorghum silage, pH values below 4.2 were also observed. However, pH alone should not be considered as a criterion for fermentation quality, since its inhibitory effect on bacteria depends on the speed with which the pH decline occurs and the humidity of the medium.
Thus, assessing pH is extremely important for determining the quality of silage, as values above the recommended range indicate lower lactic acid production and favor an environment for the growth of clostridia and fungi [33,36].
Regarding the teDMR of buffering capacity, the silages did not differ from each other; however, the silages with added concentrates had higher averages than the sorghum-only silage (Table 7), which can be explained by the presence of urea in the complete feed silages. As mentioned by [37], the increase in pH in materials subjected to ammonization can be attributed to the fact that ammonia is a base with a high buffering capacity, which therefore prevents the production of butyric acid from causing a sharp drop in pH.
However, the BC values were low and tolerable, which contributed to good pH stabilization in all the silages. The forage to be ensiled must have a low buffer capacity (BC) to minimize losses during the fermentation process [38].
For the NH3-N variable, the silages showed the highest averages in the control treatments and with MRP hydrated every 10 days; however, the values shown are in the acceptable range of less than 10%, which is in line with [33], who states that well-fermented silages should provide NH3-N levels below 100 g/kg of total nitrogen.
Regarding the WSC parameter, with values ranging from 5.24 to 13.65, the sorghum silage treatments had higher averages than the TMR. Water-soluble carbohydrates (mainly sucrose, glucose, and fructose) are the main substrates for microbial growth during silage fermentation [3].
The WSC values of sorghum silage were higher when compared to the TMR, as the addition of concentrated ingredients increases the DM content, promoting good fermentation since sorghum has high soluble carbohydrate values. This is in line with [34], who claim that WSC content influences the quality of fermentation, as these are the main sources of the substrates that microorganisms use. Microorganisms convert them into acids and thus preserve the silage. It is therefore assumed that the WSC content is reduced after fermentation of a complete feed silage.
GL and EL were higher in the pure sorghum silage treatments compared to the total feed silages (Table 8), a fact that can be explained by the greater activity of gas-producing microorganisms such as enterobacteria, Clostridium, and yeasts [39].
The addition of urea to complete feed silage resulted in lower losses, since ammonia has antimicrobial action, acting to inhibit the development of yeasts and molds, which consequently reduces the production of ethanol, reducing losses in DM and WSC, as well as stimulating lactic fermentation, which is essential for conserving fodder as it allows the pH to stabilize within the acceptable range [24].
The DMR rate reflects how much can be recovered from the ensiled material in the form of silage. As a result of the good fermentation pattern, losses were low in all silages, with the highest dry matter recovery being observed in total feed silages. These results show that the addition of concentrated ingredients allows for good fermentation, lower losses, and greater dry matter recovery.
In addition to the fermentation problem, high humidity greatly increases EL, which carries nutrients to the bottom of the silo, making them unavailable. To solve the fermentation and EL problems, it is necessary to use silage additives so that these problems are solved and there is adequate fermentation and a reduction in losses.
Sorghum silages without the addition of concentrates had a shorter AS stability time when compared to complete feed silages, which can be explained by the lower dry matter content in sorghum silages, an effect that may be attributed to an increase in heat associated with the dry matter content of the silages evaluated, as there is a greater need for heat to change temperatures with lower dry matter content [34].
According to [24], the increase in temperature can be explained by the action of opportunistic microorganisms that start their metabolic activities by producing and consuming soluble carbohydrates. The excess of soluble carbohydrates present in sorghum can result in alcoholic fermentation, allowing a pH range that promotes the development of yeasts, implying an increase in fermentation losses and low ASrobic stability after opening the silo, mainly because the lactic acid produced and the residual soluble carbohydrates are used as substrates by undesirable microorganisms that deteriorate the silage [24].
Buffering ingredients slow down the reduction in pH and prevent the rapid acidification of silage, thus hindering the proliferation of yeasts, which need an acidic environment to become predominant in silage [34].
The DM values of the sorghum silages in the study were lower than 30%, except the treatment hydrated every 5 days, which stood out, reaching a DM value of 30%, which is in line with the information that sorghum has high humidity. Some authors have described that even at the ideal cutting age, the DM values mostly do not reach 30% [40,41]. DM content is considered to be the most important factor in the fermentation process and is directly associated with the stage of the plant at harvest [33].
According to [33], the high DM content hinders compaction, making it difficult to expel air from the forage mass, which slows down the fermentation process due to the growth of lactic acid bacteria being reduced and acidification occurring more slowly due to the smaller amount of acid produced.
On the other hand, low DM content can put conservation at risk, as it can favor the occurrence of secondary fermentations, resulting in greater DM losses [42]. According to [40], sorghum produces silage with good fermentation characteristics.
The CP content increased significantly in TMR silages due to the high CP content of the concentrated ingredients. Similar behavior was studied by [43] when using concentrated foods in corn ensiling.
The level of humidity can affect the fermentation pattern and the fractionation of nutrients, which implies that proteolysis in the TMR was reduced due to the addition of absorbent ingredients that reduce the humidity of the medium and consequently reduce the action of undesirable microorganisms responsible for breaking down the protein. This is in line with [44,45], which state that the occurrence of proteolysis in high-PB forages (e.g., legumes and temperate grasses) is undesirable and leads to poorer N use efficiency.
According to [46], the variable NDF is an important source of nutrients for ruminants, as it stimulates rumination and favors rumen health. According to the author, FDA levels should not be high as it is made up of the indigestible portion of lignin, partially digestible cellulose, and hemicellulose, which is more digestible. However, the results studied in this experiment corroborate those of [27], who evaluated sorghum hybrids for silage and determined similar NDF values to the present study.
The EE values showed an interaction, with a higher average in the control treatment, without the addition of concentrates and without the use of MRP. This can be explained by the water stress generated in the plant, leading it to activate physiological mechanisms that reduce the production of photoassimilates, which causes sorghum plants to consume their carbohydrate reserves (increase in soluble sugars), an effect that is in line with [27], which states that one of the main responses to drought in plants involves maintaining osmotic balance. To compensate for the loss of turgor pressure, plant cells use osmotic adjustment, increasing the accumulation of compatible solutes [27].
The results obtained for TND and IVDMD (Table 11) can be explained by the digestion potentials of the cell wall and plant constituents (Table 6), which in turn are related to the phenological state of the plant at the time of harvest. In this way, the significant improvements in TND and IVDMD of silages with concentrate mixtures can be associated with the increase in NFC content, which is characterized by greater digestibility in the rumen environment.

5. Conclusions

The use of MRP when growing grasses for silage establishes a solid basis for sustainable and efficient practices in the feeding of farm animals, providing an increase in productivity with environmental sustainability in agriculture. Thus, according to the data obtained in this study with the use of MRP in planting and the concentrated mixture in forage sorghum silage, a hydration interval of every 5 days is recommended to optimize agronomic performance and silage quality. However, further research is needed using other tropical grasses with other hydration intervals and intensities.

Author Contributions

Conceptualization, D.d.J.F., C.d.M.C.N. and A.d.M.Z.; methodology, D.d.J.F. and C.d.M.C.N.; software, R.C.R.; validation, D.d.J.F., A.d.M.Z., H.N.P., M.d.O.M.P. and E.M.S.; formal analysis, G.R.A., F.C.d.S.d.S., F.S.C., D.M.P. and F.C.d.S.d.S.; investigation, D.d.J.F., C.d.M.C.N., A.d.M.Z., F.N.d.S.S., D.M.P., F.C.d.S.d.S. and G.R.A.; resources, D.d.J.F. and A.d.M.Z.; data curation, D.d.J.F., C.d.M.C.N. and A.d.M.Z.; writing—original draft preparation, D.d.J.F., C.d.M.C.N., A.d.M.Z., D.M.P. and F.N.d.S.S.; writing—review and editing, A.d.M.Z., D.d.J.F., H.N.P., M.d.O.M.P., E.M.S., D.M.P. and R.C.R.; visualization, A.d.M.Z., E.M.S., H.N.P., M.d.O.M.P., R.C.R., F.N.d.S.S., D.M.P. and G.R.A.; supervision, D.d.J.F.; project administration, D.d.J.F. and A.d.M.Z.; funding acquisition, D.d.J.F. and A.d.M.Z. All authors have read and agreed to the published version of the manuscript.

Funding

This research was funded by the Coordination for the Improvement of Higher Education Personnel (CAPES-Brazil—Finance Code 001) and National Council for Scientific and Technological Development (CNPq-Brazil) for the fellowship grant; and by the Research and Scientific and Technological Development of Maranhão (FAPEMA-Brazil).

Data Availability Statement

The original contributions presented in the study are included in the article, further inquiries can be directed to the corresponding author.

Acknowledgments

Research and Scientific and Technological Development of Maranhão (FAPEMA-Brazil).

Conflicts of Interest

The authors declare no conflicts of interest.

References

  1. Yusriani, Y.; Usrina, N.; Haiqal, M.; Hayanti, S.Y.; Qomariyah, N.; Bakar, B.A.; Nathania, N.M.; Sabri, M. Potential and Utilization of Sorghum in Dry Land as Animal Feed. In Proceedings of the IOP Conference Series: Earth and Environmental Science; IOP Publishing: Bristol, UK, 2024; Volume 1297, p. 012023. [Google Scholar]
  2. Abdullahi, A.; Hussain, B.; Karadere, C.; Samancı, E.; Avcı, M.; Baş, T.; Allahverdiyev, M.; Türeli, S.; Bağcı, F.; Sabir, A. Water retention polymers to cope with drought driven by climate change for a sustainable viticulture. Int. J. Agric. Nat. Sci. 2024, 17, 223–233. [Google Scholar]
  3. Wang, S.; Zhang, G.; Zhao, J.; Dong, Z.; Li, J.; Shao, T. Fermentation Quality, Aerobic Stability and in Vitro Gas Production Kinetics and Digestibility in Total Mixed Ration Silage Treated with Lactic Acid Bacteria Inoculants and Antimicrobial Additives. Ital. J. Anim. Sci. 2023, 22, 430–441. [Google Scholar] [CrossRef]
  4. Dos S. Sá, W.C.C.; Santos, E.M.; de Oliveira, J.S.; de Araújo, G.G.L.; Perazzo, A.F.; Pereira, D.M.; Santos, F.N.d.S.; Macêdo, A.J.d.S.; Cruz, G.F.d.L.; Corrêa, Y.R. Qualitative Evaluation of Total Mixed Ration Silage Containing Forage Cactus and Guinea Grass as a Nutritional Alternative for Feedlot-Finished Sheep. New Zealand J. Agric. Res. 2023, 1–17. [Google Scholar] [CrossRef]
  5. Alvares, C.A.; Stape, J.L.; Sentelhas, P.C.; Gonçalves, J.L.d.M.; Sparovek, G. Köppen’s Climate Classification Map for Brazil. Meteorol. Z. 2013, 22, 711–728. [Google Scholar] [CrossRef] [PubMed]
  6. National Research Council; Board on Agriculture and Natural Resources; Subcommittee on Dairy Cattle Nutrition; Committee on Animal Nutrition. Nutrient Requirements of Dairy Cattle: 2001; National Academies Press: Washington, DC, USA, 2001; ISBN 0309069971. [Google Scholar]
  7. Bolsen, K.K.; Lin, C.; Brent, B.E.; Feyerherm, A.M.; Urban, J.E.; Aimutis, W.R. Effect of Silage Additives on the Microbial Succession and Fermentation Process of Alfalfa and Corn Silages. J. Dairy Sci. 1992, 75, 3066–3083. [Google Scholar] [CrossRef]
  8. Playne, M.J.; McDonald, P. The Buffering Constituents of Herbage and of Silage. J. Sci. Food Agric. 1966, 17, 264–268. [Google Scholar] [CrossRef]
  9. DuBois, M.; Gilles, K.A.; Hamilton, J.K.; Rebers, P.A.; Smith, F. Colorimetric Method for Determination of Sugars and Related Substances. Anal. Chem. 1956, 28, 350–356. [Google Scholar] [CrossRef]
  10. Corsato, C.E.; Scarpare Filho, J.A.; Sales, E.C.J.d. Teores de Carboidratos Em Órgãos Lenhosos Do Caquizeiro Em Clima Tropical. Rev. Bras. Frutic. 2008, 30, 414–418. [Google Scholar] [CrossRef]
  11. De Souza, G.B.; Nogueira, A.R.d.A.; Rassini, J.B. Determinação de Matéria Seca e Umidade Em Solos e Plantas Com Forno de Microondas Doméstico; Embrapa: São Carlos, Brazil, 2002. [Google Scholar]
  12. Jobim, C.C.; Nussio, L.G.; Reis, R.A.; Schmidt, P. Avanços Metodológicos Na Avaliação Da Qualidade Da Forragem Conservada. Rev. Bras. Zootec. 2007, 36, 101–119. [Google Scholar] [CrossRef]
  13. Kung, L., Jr.; Ranjit, N.K. The Effect of Lactobacillus Buchneri and Other Additives on the Fermentation and Aerobic Stability of Barley Silage. J. Dairy Sci. 2001, 84, 1149–1155. [Google Scholar] [CrossRef]
  14. AOAC. Official Methods of Analysis of AOAC International, 20th ed.; Latimer, G.W., Jr., Ed.; AOAC Int.: Gaithersburg, MD, USA, 2016; ISBN 0935584870. [Google Scholar]
  15. Mertens, D.R. Gravimetric Determination of Amylase-Treated Neutral Detergent Fiber in Feeds with Refluxing in Beakers or Crucibles: Collaborative Study. J. AOAC Int. 2002, 85, 1217–1240. [Google Scholar] [CrossRef] [PubMed]
  16. Licitra, G.; Hernandez, T.M.; Van Soest, P.J. Standardization of Procedures for Nitrogen Fractionation of Ruminant Feeds. Anim. Feed. Sci. Technol. 1996, 57, 347–358. [Google Scholar] [CrossRef]
  17. Van Soest, P.J.; Robertson, J.B.; Lewis, B.A. Symposium: Carbohydrate Methodology, Metabolism, and Nutritional Implications in Dairy Cattle. J. Dairy. Sci. 1991, 74, 3583–3597. [Google Scholar] [CrossRef] [PubMed]
  18. Sniffen, C.J.; O’connor, J.D.; Van Soest, P.J.; Fox, D.G.; Russell, J.B. A Net Carbohydrate and Protein System for Evaluating Cattle Diets: II. Carbohydrate and Protein Availability. J. Anim. Sci. 1992, 70, 3562–3577. [Google Scholar] [CrossRef] [PubMed]
  19. Detmann, E.; Souza, M.A.; Valadares Filho, S.C.; Queiroz, A.C.; Berchielli, T.T.; Saliba, E.O.S.; Cabral, L.S.; Pina, D.S.; Ladeira, M.M.; Azevedo, J.A.G. Métodos Para Análise de Alimentos-INCT-Ciência Animal Suprema; INCT-CA: Belo Horizonte, Brazil, 2012; p. 214. [Google Scholar]
  20. Hall, M.B. Calculation of Non-Structural Carbohydrate Content of Feeds That Contain Non-Protein Nitrogen; University of Florida: Gainesville, FL, USA, 2000; pp. A25–A32. [Google Scholar]
  21. Tilley, J.M.A.; Terry, D.R. A Two-stage Technique for the in Vitro Digestion of Forage Crops. Grass Forage Sci. 1963, 18, 104–111. [Google Scholar] [CrossRef]
  22. Kh, M. Estimation of the Energetic Feed Value Obtained from Chemical Analysis and in Vitro Gas Production Using Rumen Fluid. Anim. Res. Dev. 1988, 28, 7–55. [Google Scholar]
  23. Weiss, W.P. Energy Prediction Equations for Ruminant Feeds. J. Dairy Sci. 1999, 82, 2144–2162. [Google Scholar]
  24. Santos, A.P.M.d.; Santos, E.M.; Oliveira, J.S.d.; Ribeiro, O.L.; Perazzo, A.F.; Martins Araújo Pinho, R.; Macêdo, A.J.d.S.; Pereira, G.A. Effects of Urea Addition on the Fermentation of Sorghum (Sorghum Bicolor) Silage. Afr. J. Range Forage Sci. 2018, 35, 55–62. [Google Scholar] [CrossRef]
  25. Marques, P.A.A.; Bastos, R.O. Uso de Diferentes Doses de Hidrogel Para Produção de Mudas de Pimentão. Rev. Bras. Tecnol. Apl. Nas Ciências Agrárias 2011, 3, 53–64. [Google Scholar]
  26. Tavazoh, M.; Habibi, D.; Golzardi, F.; Ilkaee, M.N.; Paknejad, F. Evaluation of Yield, Water Productivity and Drought Tolerance of Forage Sorghum [Sorghum Bicolor (L.) Moench] Cultivars under Different Irrigation Methods and Regimes. Cereal Res. 2022, 12, 115–133. [Google Scholar]
  27. Perazzo, A.F.; Santos, E.M.; Pinho, R.M.A.; Campos, F.S.; Ramos, J.P.d.F.; Aquino, M.M.d.; Silva, T.C.d.; Bezerra, H.F.C. Características Agronômicas e Eficiência Do Uso Da Chuva Em Cultivares de Sorgo No Semiárido. Ciência Rural 2013, 43, 1771–1776. [Google Scholar] [CrossRef]
  28. Painkra, B.; Thakur, A.K.; Kumar, M.; Chandraker, T.; Singh, D.P. Effect of Mulching and Hydrogel in Relation to Different Growth Characters, Yield and Economics of Finger Millet [Eleusine coracana (L.) Gaertn] under Rainfed Conditions. Pharma Innov. J. 2022, 11, 2008–2013. [Google Scholar]
  29. Neumann, M.; Restle, J.; Alves Filho, D.C.; Brondani, I.L.; Pellegrini, L.G.d.; Freitas, A.K.D. Avaliação Do Valor Nutritivo Da Planta e Da Silagem de Diferentes Híbridos de Sorgo (Sorghum bicolor, L. Moench). Rev. Bras. Zootec. 2002, 31, 293–301. [Google Scholar] [CrossRef]
  30. Conte e Castro, A.M.; Maia, G.M.; Souza, J.A.d.; Manfio, F.L.A. Crescimento Inicial de Cafeeiro Com Uso de Polímero Hidrorretentor e Diferentes Intervalos de Rega. Coffee Sci. 2014, 9, 465–471. [Google Scholar]
  31. Lucena, N.T.; Santos, E.M.; Perazzo, A.F.; de Oliveira, J.S.; Macêdo, A.J.D.S.; Pereira, D.M.; Cruz, G.F.D.L.; Pereira, G.A.; Ramos, R.C.D.S.; Nogueira, M.D.S. Agronomic Features and Evaluation of Forage Sorghum Silage as a Function of Nitrogen Fertilisation in Humid and Mesothermal Climate. New Zealand J. Agric. Res. 2021, 66, 1–15. [Google Scholar] [CrossRef]
  32. Da Silva, T.C.; da Silva, L.D.; Santos, E.M.; Oliveira, J.S.; Perazzo, A.F. Importance of the Fermentation to Produce High-Quality Silage. In Fermentation Processes; InTech: London, UK, 2017; pp. 1–20. [Google Scholar] [CrossRef]
  33. Kung, L., Jr.; Shaver, R.D.; Grant, R.J.; Schmidt, R.J. Silage Review: Interpretation of Chemical, Microbial, and Organoleptic Components of Silages. J. Dairy Sci. 2018, 101, 4020–4033. [Google Scholar] [CrossRef] [PubMed]
  34. McDonald, P.; Henderson, A.R.; Heron, S.J.E. The Biochemistry of Silage; Chalcombe Publications: Marlow, UK, 1991; ISBN 0948617225. [Google Scholar]
  35. Machado, F.S.; Rodríguez, N.M.; Gonçalves, L.C.; Rodrigues, J.A.S.; Ribas, M.N.; Pôssas, F.P.; Guimarães, R., Jr.; Jayme, D.G.; Pereira, L.G.R. Consumo e Digestibilidade Aparente de Silagens de Sorgo Em Diferentes Estádios de Maturação. Arq. Bras. Med. Vet. Zootec. 2011, 63, 1470–1478. [Google Scholar] [CrossRef]
  36. Tabacco, E.; Piano, S.; Cavallarin, L.; Bernardes, T.F.; Borreani, G. Clostridia Spore Formation during Aerobic Deterioration of Maize and Sorghum Silages as Influenced by Lactobacillus Buchneri and Lactobacillus Plantarum Inoculants. J. Appl. Microbiol. 2009, 107, 1632–1641. [Google Scholar] [CrossRef] [PubMed]
  37. de Almeida Carvalho-Estrada, P.; Fernandes, J.; da Silva, E.B.; Tizioto, P.; de Fátima Paziani, S.; Duarte, A.P.; Coutinho, L.L.; Verdi, M.C.Q.; Nussio, L.G. Effects of Hybrid, Kernel Maturity, and Storage Period on the Bacterial Community in High-Moisture and Rehydrated Corn Grain Silages. Syst. Appl. Microbiol. 2020, 43, 126131. [Google Scholar] [CrossRef]
  38. Andrade, V.C., Jr.; Pereira, R.C.; Dornas, M.F.S.; Ribeiro, K.G.; Valadares, N.R.; Santos, A.A.; Castro, B. Produção de Silagem, Composição Bromatológica e Capacidade Fermentativa de Ramas de Batata-Doce Emurchecidas. Hortic. Bras. 2014, 32, 91–97. [Google Scholar] [CrossRef][Green Version]
  39. Muck, R.E.; Nadeau, E.M.G.; McAllister, T.A.; Contreras-Govea, F.E.; Santos, M.C.; Kung, L., Jr. Silage Review: Recent Advances and Future Uses of Silage Additives. J. Dairy Sci. 2018, 101, 3980–4000. [Google Scholar] [CrossRef] [PubMed]
  40. Perazzo, A.F.; Carvalho, G.G.P.; Santos, E.M.; Bezerra, H.F.C.; Silva, T.C.; Pereira, G.A.; Ramos, R.C.S.; Rodrigues, J.A.S. Agronomic Evaluation of Sorghum Hybrids for Silage Production Cultivated in Semiarid Conditions. Front. Plant Sci. 2017, 8, 1088. [Google Scholar] [CrossRef] [PubMed]
  41. de Pinho Costa, K.A.; da Silva, A.G.; da Costa Severiano, E.; Simon, G.A.; Cruvinel, W.S.; da Silva, V.R.; da Silva, J.T. Grain Sorghum Intercropping with Brachiaria Brizantha Cultivars in Two Sowing Systems as a Double Crop. Afr. J. Agric. Res. 2015, 10, 3759–3766. [Google Scholar]
  42. Lucena, N.T.; Santos, E.M.; Oliveira, J.S.; Perazzo, A.F.; Cruz, G.F.L.; Pereira, D.M.; Pereira, G.A.; Macêdo, A.J.S.; Ramos, R.C.S.; Nogueira, M.S. Agronomic Traits and Chemical Composition of Forage Sorghum Plants Fertilized with Poultry Litter and Fermentative Profile of Silages. Chil. J. Agric. Res. 2021, 81, 575–584. [Google Scholar] [CrossRef]
  43. Sá, C.; Zanine, A.; Ferreira, D.; Parente, H.; Parente, M.; Santos, E.M.; Lima, A.G.; Santos, F.N.; Pereira, D.; Sousa, F.C.d. Corn Silage as a Total Diet with By-Products of the Babassu Agroindustry in the Feed of Confined Ruminants. Agronomy 2023, 13, 417. [Google Scholar] [CrossRef]
  44. Huhtanen, P.; Rinne, M.; Nousiainen, J. Effects of Silage Soluble Nitrogen Components on Metabolizable Protein Concentration: A Meta-Analysis of Dairy Cow Production Experiments. J. Dairy Sci. 2008, 91, 1150–1158. [Google Scholar] [CrossRef] [PubMed]
  45. Hymes-Fecht, U.C.; Broderick, G.A.; Muck, R.E.; Grabber, J.H. Replacing Alfalfa or Red Clover Silage with Birdsfoot Trefoil Silage in Total Mixed Rations Increases Production of Lactating Dairy Cows1. J. Dairy Sci. 2013, 96, 460–469. [Google Scholar] [CrossRef]
  46. Neumann, M.; Leão, G.F.M.; Coelho, M.G.; Figueira, D.N.; Spada, C.A.; Perussolo, L.F. Aspectos Produtivos, Nutricionais e Bioeconômicos de Híbridos de Milho Para Produção de Silagem. Arch. Zootec. 2017, 66, 51–57. [Google Scholar] [CrossRef]
Figure 1. Weekly and monthly rainfall data (mm) for 2021, during the experimental period.
Figure 1. Weekly and monthly rainfall data (mm) for 2021, during the experimental period.
Agronomy 14 01653 g001
Figure 2. Temperature data (°C) for 2021, during the experimental period.
Figure 2. Temperature data (°C) for 2021, during the experimental period.
Agronomy 14 01653 g002
Figure 3. Average values of the aerobic stability time of silages without (A) and with the concentrated mixture (B), along with air exposure times.
Figure 3. Average values of the aerobic stability time of silages without (A) and with the concentrated mixture (B), along with air exposure times.
Agronomy 14 01653 g003
Table 1. Chemical characteristics of the soil analysis.
Table 1. Chemical characteristics of the soil analysis.
pHPK+H+ + Al+3Al+3Ca+2Mg+2SBCECVMO
H20g/dm3cmolc/dm3.%g/kg
5.00.0816.594.030.200.740.251.065.0928.40.63
pH: potential hydrogen; P: phosphorus; K+: potassium; H+ + Al+3: potential acidity; Al+3: aluminum; Ca+2: calcium; Mg+2: magnesium; V%: base saturation; CEC: cation exchange capacity; MO: organic matter; SB: sum of bases.
Table 2. Moisture retention polymer datasheet.
Table 2. Moisture retention polymer datasheet.
PropertyDescription
Product NameMoisture-Retaining Polymer (Hidroplan-EB®, São Paulo, Brazil)
Chemical CompositionSuperabsorbent polymer (SAP) based on polyacrylamide [-CH2 = CH(CONH2)-]n
Physical FormGranules or powder
ColorWhite or slightly yellowish
pHNeutral to slightly alkaline (6.0 to 8.0)
Absorption Capacity300 to 400 times its weight in water
ApplicationsAgriculture, horticulture, landscaping, reforestation
Usage InstructionsMix with soil or substrate in the quantity recommended by the manufacturer
RecommendationsStore in a dry and ventilated place, avoid prolonged exposure to sunlight
PrecautionsKeep out of reach of children and animals, avoid inhaling the powder
Table 3. Percentage composition of ingredients in dairy cow diets.
Table 3. Percentage composition of ingredients in dairy cow diets.
Ingredients (%)TMR
Corn grain19.5
Soybean meal19.0
Urea0.5
Mineral salt1.0
Sorghum silage60.0
TMR: Total Mixed Rations.
Table 4. Chemical composition of ingredients and dairy cow diets.
Table 4. Chemical composition of ingredients and dairy cow diets.
Variables (%)SorghumTMRGround CornSoybean Meal
Dry matter15.6538.508.908.86
Mineral matter3.705.8014.006.48
Crude protein6.1215.178.2248.79
Neutral detergent fiber53.8944.8020.9814.78
Acid detergent fiber28.6320.1516.008.71
Ether extract11.583.205.349.40
TMR: Total Mixed Rations.
Table 5. Morphological and agronomic evaluation of forage sorghum using soil moisture retainers.
Table 5. Morphological and agronomic evaluation of forage sorghum using soil moisture retainers.
VariablesContro l0 Days5 Days10 DaysSEMp-Value
Inflorescence length (cm)24.66 b26.55 a27.26 a27.16 a1.819<0.0001
Inflorescence diameter (mm)58.60 c68.69 b77.57 a69.25 b4.880<0.0045
Number of live leaves6.37 b6.62 ab7.50 a7.75 a0.532<0.0021
Number of dead leaves3.123.112.753.001.374<0.1887
Plant stalk diameter (mm)16.40 b17.42 ba19.34 a19.45 a0.617<0.0071
Plant height to inflorescence Insertion (cm)1.62 b1.91 a2.04 a2.03 a0.736<0.0001
Plant height (cm)1.97 b2.04 ba2.26 a2.11b a0.845<0.0001
Control: sorghum; 0 days: sorghum + hydrated polymer on the day of planting; 5 days: sorghum + hydrated polymer every 5 days; 10 days: sorghum + hydrated polymer every 10 days. Averages followed by equal letters on the same line do not differ by the Tukey test at 5% probability (p < 0.05).
Table 6. Evaluation of forage sorghum biomass production using soil moisture retainers.
Table 6. Evaluation of forage sorghum biomass production using soil moisture retainers.
VariablesControl0 Days5 Days10 DaysSEMp-Value
WPW (kg)0.58 c0.68 b0.80 a0.68 b0.018<0.0001
LVW (g)85.37 b90.75 b97.50 a95.87 a1.096<0.0042
DVW (g)24.87 b21.62 a21.00 a21.05 a0.368<0.0098
LLP (kg/ha)2842.98 c3021.97 ba3246.78 a3192.63 ba36.566<0.0053
DLP (kg/ha)828.27 b720.11 a699.32 a700.96 a12.281<0.0015
TBP (kg/ha)19,513.8 c22,644.9 b26,673.3 a22,650.6 b586.87<0.0001
LSLR3.43 c4.19 b4.64 a4.55 ba0.110<0.0001
TBLLR6.86 c7.49 b8.227.01 b0.122<0.0001
Control: sorghum; 0 days: sorghum + hydrated polymer on the day of planting; 5 days: sorghum + hydrated polymer every 5 days; 10 days: sorghum + hydrated polymer every 10 days. Whole plant weight (WPW), live leaf weight (LVW), dead leaf weight (DVW), live leaf production (LLP), dead leaf production (DLP), total biomass production (TBP), live and senescent leaf ratio (LSLR), total biomass and live leaf ratio (TBLLR). Means followed by equal letters on the same line do not differ by the Tukey test at 5% probability (p < 0.05).
Table 7. Evaluation of sorghum grain yield using soil moisture retainers.
Table 7. Evaluation of sorghum grain yield using soil moisture retainers.
Variables (kg/ha)Control0 Days5 Days10 DaysSEMp-Value
Weight of the panicle with grains922.41 c1223.15 b1774.15 a1473.14 ba72.474<0.0098
Panicle production25.90 c104.07 a102.33 b49.35 cb7.811<0.0023
Grain production896.52 c1119.08 d1671.82 a1422.67 b68.002<0.0001
Control: sorghum; 0 days: sorghum + hydrated polymer on the day of planting; 5 days: sorghum + hydrated polymer every 5 days; 10 days: sorghum + hydrated polymer every 10 days. Averages followed by equal letters on the same line do not differ by the Tukey test at 5% probability (p < 0.05).
Table 8. Characteristics of sorghum grains using soil moisture retainers.
Table 8. Characteristics of sorghum grains using soil moisture retainers.
VariablesControl0 Days5 Days10 Days
Grain characteristics
Grain hardnessSemi-hardSemi-hardSemi-hardSemi-hard
Grain colorLight brownLight brownLight brownLight brown
N° of burnt grains *1111
Sorghum stalk and leaf health
Health of sorghum stalk and leaves2222
Leaf attack health3333
Control: sorghum; 0 days: sorghum + hydrated polymer on the day of planting; 5 days: sorghum + hydrated polymer every 5 days; 10 days: sorghum + hydrated polymer every 10 days. * Note 1 = no burnt grains; Note 2 = 1 to 25% burnt grains; Note 3 = 51 to 75% burnt grains; Note 4 = 76 to 100% burnt grains.
Table 9. Fermentation characteristics of forage sorghum silage with and without the concentrate mixture.
Table 9. Fermentation characteristics of forage sorghum silage with and without the concentrate mixture.
VariablesPHBCWSCNH3-N
No Concentrated Mixture
Control3.830.1010.18 Ba0.12
0 days3.820.099.55 bcA0.07
5 days3.870.098.17 Ca0.07
10 days3.890.0913.65 Aa0.06
With concentrated mixture
Control3.830.125.38 aB1.71
0 days3.850.126.24 aB1.03
5 days3.890.125.84 Ab1.31
10 days3.910.095.27 Ab1.19
Isolated effect of moisture-retaining polymer
Control3.830.11 a7.780.92
0 days3.830.10 a7.890.55
5 days3.880.10 ba7.000.69
10 days3.900.09 b9.460.63
SEM0.01990.00380.27730.1185
Isolated effect with and without the addition of the concentrate mixture at the time of Ensiling
With concentrated mixture3.870.11 a5.681.31 a
No concentrated mixture3.850.09 b10.390.08 b
SEM0.01400.00270.19610.0838
p-value
MRP0.46100.0027<0.00010.1892
With and without a concentrated mixture0.4062<0.0001<0.0001<0.0001
MRP × with and without a concentrated mixture0.97580.0759<0.00010.3073
SEM = standard error of the mean; BC: buffer capacity, WSC: water-soluble carbohydrate, NH3-N: ammoniacal N. Averages followed by the same letters in the column do not differ according to Tukey’s test at the 5% probability level. MRP: moisture-retaining polymer; TMR: Total Mixed Ration.
Table 10. Losses during the ensiling process and silage dry matter recovery.
Table 10. Losses during the ensiling process and silage dry matter recovery.
VariablesEL (kg/ton)GL (%DM)DMS (g/kg−1)
No Concentrated Mixture
Control11.6817.97 bA808.62 aB
0 days8.4224.85 aA742.97 bB
5 days8.74718.87 bA802.52 abB
10 days5.8718.50 bA809.12 aB
With concentrated mixture
Control0.9410.732 aB896.75 aA
0 days1.59210.217 aB896.22 aA
5 days0.6212.87 aB868.45 aA
10 days1.53214.08 aB856.75 aA
Isolated effect of moisture-retaining polymer
Control6.3114.35849.52
0 days5.0017.53819.60
5 days4.6815.87835.40
10 days3.7016.29832.93
SEM1.4171.09361.113
Isolated effect with and without the addition of the concentrate mixture at the time of Ensiling
With concentrated mixture1.17 b11.97877.96
No concentrated mixture8.67 a20.05790.81
SEM1.00230.77320.7874
p-value
MRP0.63620.25830.3296
With and without a concentrated mixture<0.0001<0.0001<0.0001
MRP × with and without a concentrated mixture0.46480.01660.0162
SEM = standard error of the mean; EL: effluent losses; GL: gas losses; DMS: dry matter recovery. Averages followed by the same letters in the column do not differ according to the Tukey test at the 5% probability level. MRP: moisture-retaining polymer; TMR: Total Mixed Ration.
Table 11. Bromatological composition of pure sorghum silage and complete feed silage.
Table 11. Bromatological composition of pure sorghum silage and complete feed silage.
VariablesDMMMCPEENDFADFTDNIVDMD
No Concentrated Mixture
Control263.5543.9583.17116.42 aA606.02277.97683.82672.45
0 days260.7536.6081.8284.20 bA495.12290.10675.32663.00
5 days303.0597.3565.5773.30 bA580.52289.15676.00663.75
10 days272.1732.0765.7391.87 bA546.00285.25678.72666.77
With concentrated mixture
Control391.4056.37179.5066.52 aB542.40197.95730.82734.80
0 days381.9053.75108.1749.40 aB568.50201.95737.02731.67
5 days406.7055.15164.2454.70 aB558.27202.42736.72731.30
10 days399.5056.85169.1256.52 aB528.07203.92735.62730.15
Isolated effect of moisture-retaining polymer
Control327.4755.17131.3391.47574.21237.96711.82703.62
0 days321.3245.1795.0066.80531.81246.02706.17697.33
5 days354.8776.2595.5664.00469.4245.78706.36697.52
10 days335.8344.4696.2874.2537.03244.58707.17698.46
SEM1.09841.67091.28970.34294.53230.92930.65040.7239
Isolated effect with and without the addition of the concentrate mixture at the time of ensiling
With concentrated mixture394.87a55.5314,161 a56.78499.3120.156 b737.30 a731.98 a
No concentrated mixture274.88 b52.4967.48 b91.45556.91285.61 a678.46 b666.49 b
SEM0.76651.18150.91190.24253.20480.65710.45920.5119
p-value
MRP0.17560.50240.1574<0.00010.44860.91710.61910.7621
With and without a concentrated mixture<0.00010.8575<0.0001<0.00010.2176<0.0001<0.0001<0.0001
MRP × with and without a concentrated mixture0.84470.48840.22390.03420.67840.98680.80650.1933
SEM = standard error of the mean; Dry Matter (DM); Mineral Matter (MM); Crude Protein (CP); Ethereal Extract (EE); Neutral Detergent Fiber (NDF); Acid Detergent Fiber (ADF); total digestible nutrients (TDN); in vitro dry matter digestibility (IVDMD). Averages followed by the same letters in the column do not differ according to Tukey’s test at the 5% probability level. MRP: Moisture-Retaining Polymer; TMR: Total Mixed Ration.
Disclaimer/Publisher’s Note: The statements, opinions and data contained in all publications are solely those of the individual author(s) and contributor(s) and not of MDPI and/or the editor(s). MDPI and/or the editor(s) disclaim responsibility for any injury to people or property resulting from any ideas, methods, instructions or products referred to in the content.

Share and Cite

MDPI and ACS Style

Ferreira, D.d.J.; Costa Neta, C.d.M.; Zanine, A.d.M.; Santos, F.N.d.S.; Pereira, D.M.; Campos, F.S.; Parente, H.N.; Parente, M.d.O.M.; Rodrigues, R.C.; Santos, E.M.; et al. Sustainable Production of Forage Sorghum for Grain and Silage Production with Moisture-Retaining Polymers That Mitigate Water Stress. Agronomy 2024, 14, 1653. https://doi.org/10.3390/agronomy14081653

AMA Style

Ferreira DdJ, Costa Neta CdM, Zanine AdM, Santos FNdS, Pereira DM, Campos FS, Parente HN, Parente MdOM, Rodrigues RC, Santos EM, et al. Sustainable Production of Forage Sorghum for Grain and Silage Production with Moisture-Retaining Polymers That Mitigate Water Stress. Agronomy. 2024; 14(8):1653. https://doi.org/10.3390/agronomy14081653

Chicago/Turabian Style

Ferreira, Daniele de Jesus, Clotilde de Morais Costa Neta, Anderson de Moura Zanine, Francisco Naysson de Sousa Santos, Danillo Marte Pereira, Fleming Sena Campos, Henrique Nunes Parente, Michelle de Oliveira Maia Parente, Rosane Claudia Rodrigues, Edson Mauro Santos, and et al. 2024. "Sustainable Production of Forage Sorghum for Grain and Silage Production with Moisture-Retaining Polymers That Mitigate Water Stress" Agronomy 14, no. 8: 1653. https://doi.org/10.3390/agronomy14081653

APA Style

Ferreira, D. d. J., Costa Neta, C. d. M., Zanine, A. d. M., Santos, F. N. d. S., Pereira, D. M., Campos, F. S., Parente, H. N., Parente, M. d. O. M., Rodrigues, R. C., Santos, E. M., de Sousa, F. C. d. S., & Alves, G. R. (2024). Sustainable Production of Forage Sorghum for Grain and Silage Production with Moisture-Retaining Polymers That Mitigate Water Stress. Agronomy, 14(8), 1653. https://doi.org/10.3390/agronomy14081653

Note that from the first issue of 2016, this journal uses article numbers instead of page numbers. See further details here.

Article Metrics

Back to TopTop