Reduction in Chemical Fertilizer Rates by Applying Bio-Organic Fertilizer for Optimization Yield and Quality of Hemerocallis citrina Baroni
Abstract
1. Introduction
2. Materials and Methods
2.1. Site Description
2.2. Plant Materials and Experimental Design
2.3. Plants Observation, Sampling and Measurement
2.4. Basic Procedure of Improved Radar Chart Method
2.4.1. Establishing the Comprehensive Evaluation Index Matrix
2.4.2. Normalization of Evaluation Index
2.4.3. Construction of the Evaluation Function and Comprehensive Assessment
2.5. Statistical Analysis
3. Results
3.1. Plant Growth Characteristics
3.2. Leaf Chlorophyll Content (SPAD Value)
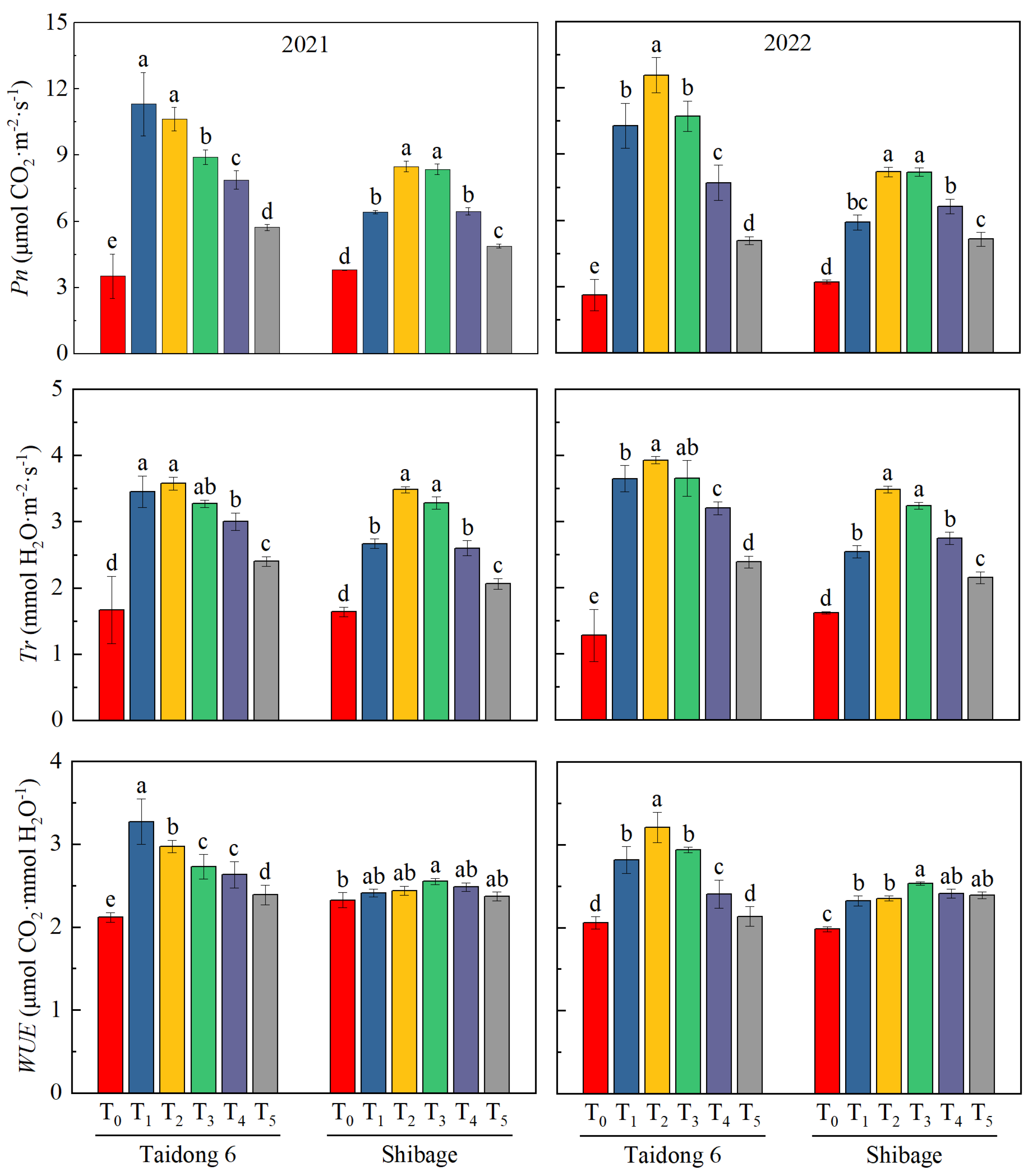
3.3. Leaf Photosynthetic Parameters
3.4. Yield Performance and Correlation Analysis
3.5. Quality Analysis
3.6. Overall Evaluation of H. citrina Yield and Quality by Radar Chart
4. Discussion
5. Conclusions
Author Contributions
Funding
Data Availability Statement
Conflicts of Interest
References
- Xie, Y.; Chen, T.; Ren, H. Rhizome weight and number of sectioning per rhizome determine plantlet growth and propagation rate of Hemerocallis citrina Baroni in cutting propagation. Agronomy 2022, 11, 2777. [Google Scholar] [CrossRef]
- Li, S.; Ji, F.; Hou, F.; Shi, Q.; Xing, G.; Chen, H.; Weng, Y.; Kang, X. Morphological, palynological and molecular assessment of Hemerocallis core collection. Sci. Hortic. 2021, 285, 110181. [Google Scholar] [CrossRef]
- Li, Z.; Tan, F.; Zhao, Y.; Zhang, D.; Hong, J.; Wu, S. Screening and evaluation of superior germplasm based on yield and quality characteristics of Hemerocallis citrina. J. Trop. Subtrop. Bot. 2024, 32, 82–92. (In Chinese) [Google Scholar]
- Geng, Y.; Cao, G.; Wang, L.; Wang, S. Effects of equal chemical fertilizer substitutions with organic manure on yield, dry matter, and nitrogen uptake of spring maize and soil nitrogen distribution. PLoS ONE 2019, 14, e0219512. [Google Scholar] [CrossRef]
- FAOSTAT. Faostat Database Collections (Rome: Food and Agriculture Organization of the United Nations). Available online: https://www.Fao.Org/faostat/en/#data/rfn (accessed on 12 October 2020).
- Huang, C.; Zhang, K.; Guo, W.; Huang, H.; Gou, Z.; Yang, L.; Chen, Y.; Oh, K.; Fang, C.; Luo, L. The effects of partial substitution of fertilizer using different organic materials on soil nutrient condition, aggregate stability and enzyme activity in a tea plantation. Plants 2023, 12, 3791. [Google Scholar] [CrossRef]
- Shi, C.H.; Wang, X.Q.; Jiang, S.; Zhang, L.Q.; Luo, J. Revealing the role of the rhizosphere microbiota in reproductive growth for fruit productivity when inorganic fertilizer is partially replaced by organic fertilizer in pear orchard fields. Microb. Biotechnol. 2023, 16, 1373–1392. [Google Scholar] [CrossRef] [PubMed]
- Sun, B.; Zhang, L.; Yang, L.; Zhang, F.; Norse, D.; Zhu, Z. Agricultural non-point source pollution in China: Causes and mitigation measures. Ambio 2012, 41, 370–379. [Google Scholar] [CrossRef]
- Han, Z.; Leng, Y.; Sun, Z.; Li, Z.; Xu, P.; Wu, S.; Liu, S.; Li, S.; Wang, J.; Zou, J. Substitution of organic and bio-organic fertilizers for mineral fertilizers to suppress nitrous oxide emissions from intensive vegetable fields. J. Environ. Manag. 2024, 349, 119390. [Google Scholar] [CrossRef]
- Song, Z.; Duan, J.; Liang, Z.; Jia, M.; Li, Y.; Cao, D. Effects of different nitrogen application rates on growth, photosynthetic characteristics and yield of daylily (Hemerocallis citrina Baroni) at bolting stage. North. Hortic. 2023, 13, 8–14. (In Chinese) [Google Scholar]
- Xie, M.; Huo, Y.; Zhang, Z.; Xia, H.; Zhang, X.; Tian, S.; Zheng, X. Production history and present situation of daylily. J. Shanxi Datong Univ. Sci. 2024, 40, 12–16. (In Chinese) [Google Scholar]
- Ye, L.; Zhao, X.; Bao, E.; Li, J.; Zou, Z.; Cao, K. Bio-organic fertilizer with reduced rates of chemical fertilization improves soil fertility and enhances tomato yield and quality. Sci. Rep. 2020, 10, 177. [Google Scholar] [CrossRef]
- Song, H.; Wang, J.; Zhang, K.; Zhang, M.; Hui, R.; Sui, T.; Yang, L.; Du, W.; Dong, Z. A 4-year field measurement of N2O emissions from a maize-wheat rotation system as influenced by partial organic substitution for synthetic fertilizer. J. Environ. Manag. 2020, 263, 110384. [Google Scholar] [CrossRef]
- Qi, Y.; Jiang, F.; Zhou, R.; Wu, Y.; Hou, X.; Li, J.; Lin, W.; Wu, Z. Effects of reduced nitrogen with bio-organic fertilizer on soil properties, yield and quality of non-heading Chinese cabbage. Agronomy 2021, 11, 2196. [Google Scholar] [CrossRef]
- Yao, R.; Bai, R.; Yu, Q.; Bao, Y.; Yang, W. The effect of nitrogen reduction and applying bio-organic fertilisers on soil nutrients and apple fruit quality and yield. Agronomy 2024, 14, 345. [Google Scholar] [CrossRef]
- Liu, H.; Xiong, W.; Zhang, R.; Hang, X.; Wang, D.; Li, R.; Shen, Q. Continuous application of different organic additives can suppress tomato disease by inducing the healthy rhizospheric microbiota through alterations to the bulk soil microflora. Plant Soil 2017, 423, 229–240. [Google Scholar] [CrossRef]
- Guo, L.; Wu, G.; Li, Y.; Li, C.; Liu, W.; Meng, J.; Liu, H.; Yu, X.; Jiang, G. Effects of cattle manure compost combined with chemical fertilizer on topsoil organic matter, bulk density and earthworm activity in a wheat–maize rotation system in eastern China. Soil Tillage Res. 2016, 156, 140–147. [Google Scholar] [CrossRef]
- Qiu, F.; Liu, W.; Chen, L.; Wang, Y.; Ma, Y.; Lyu, Q.; Yi, S.; Xie, R.; Zheng, Y. Bacillus subtilis biofertilizer application reduces chemical fertilization and improves fruit quality in fertigated Tarocco blood orange groves. Sci. Hortic. 2021, 218, 110004. [Google Scholar] [CrossRef]
- Shi, Y.; Niu, X.; Chen, B.; Pu, S.; Ma, H.; Li, P.; Feng, G.; Ma, X. Chemical fertilizer reduction combined with organic fertilizer affects the soil microbial community and diversity and yield of cotton. Front. Microbiol. 2023, 14, 1295722. [Google Scholar] [CrossRef] [PubMed]
- Qing, Z.; Liu, J.; Yi, X.; Liu, X.; Hu, G.; Lao, J.; He, W.; Yang, Z.; Zou, X.; Sun, M.; et al. The chromosome-level Hemerocallis citrina Borani genome provides new insights into the rutin biosynthesis and the lack of colchicine. Hortic. Res. 2021, 8, 89. [Google Scholar] [CrossRef] [PubMed]
- Sedmak, J.J.; Grossberg, S.E. A rapid, sensitive, and versatile assay for protein using Coomassie brilliant blue G250. Anal. Biochem. 1977, 79, 544–552. [Google Scholar] [CrossRef]
- Fan, H.M.; Li, T.; Sun, X.; Sun, X.Z.; Zheng, C.S. Effects of humic acid derived from sediments on the postharvest vase life extension in cut chrysanthemum flowers. Postharvest Biol. Technol. 2015, 101, 82–87. [Google Scholar] [CrossRef]
- Wang, M.; Lv, J.; Zhou, Z. Determination vitamma C in fruits and vegetables by spectrophometric of phosphomolybdic heterpolyacids. Food Sci. 2003, 24, 129–131. (In Chinese) [Google Scholar]
- Guo, Y.; Li, Y.; Zhang, S.; Wu, X.; Jiang, L.; Zhao, Q.; Xue, W.; Huo, S. The effect of total flavonoids of epimedium on granulosa cell development in laying hens. Poult. Sci. 2020, 99, 4598–4606. [Google Scholar] [CrossRef]
- GB/T 12456—2021; National Health Commission, State Administration for Market Regulation. National Standard for Food Safety–Determination of Total Acids in Foods. China Standards Press: Beijing, China, 2021; pp. 3–4. (In Chinese)
- Wang, Y.; Su, J.; Liu, L.; Liu, Z.; Sun, G. Waste cooking oil based capsules for sustainable self-healing asphalt pavement: Encapsulation, characterization and fatigue-healing performance. Constr. Build. Mater. 2024, 425, 136032. [Google Scholar] [CrossRef]
- Chang, S.; Geng, Z.; Yang, Q.; Shu, W.; Li, J.; Li, Q.; Zhang, B.; Zhang, D. Application of improved radar chart analysis method in soybean variety selection and breeding. Soybean Sci. 2020, 39, 862–868. (In Chinese) [Google Scholar]
- Huang, Y.; Jiang, C.; Liu, C.; Liu, H.; Yang, Q.; Wang, H.; Zeng, W.; Ouyang, J.; Xu, K.; Li, Q. Overall evaluation of resistance capability of different rice varieties to Sogatella furcifera (Hemiptera: Delphacidae) using radar charts. Euphytica 2019, 215, 58. [Google Scholar] [CrossRef]
- de Souza, R.; Beneduzi, A.; Ambrosini, A.; da Costa, P.B.; Meyer, J.; Vargas, L.K.; Schoenfeld, R.; Passaglia, L.M.P. The effect of plant growth-promoting rhizobacteria on the growth of rice (Oryza sativa L.) cropped in southern Brazilian fields. Plant Soil 2013, 366, 585–603. [Google Scholar] [CrossRef]
- Tittonell, P.; Vanlauwe, B.; Corbeels, M.; Giller, K.E. Yield gaps, nutrient use efficiencies and response to fertilisers by maize across heterogeneous smallholder farms of western Kenya. Plant Soil 2008, 313, 19–37. [Google Scholar] [CrossRef]
- Zhai, C.; Cheng, Y.; Qiu, L.; Wang, X.; Ge, L. Effects of combined application of bio-organic fertilizer with reduced chemical fertilizer on growth, yield and quality of Brassica campestris ssp. chinensis var. rosularis. Chin. Agric. Sci. Bull. 2024, 40, 35–43. (In Chinese) [Google Scholar]
- Rose, M.T.; Phuong, T.L.; Nhan, D.K.; Cong, P.T.; Hien, N.T.; Kennedy, I.R. Up to 52% N fertilizer replaced by biofertilizer in lowland rice via farmer participatory research. Agron. Sustain. Dev. 2014, 34, 857–868. [Google Scholar] [CrossRef]
- Liu, W.; Cui, S.; Wu, L.; Qi, W.; Chen, J.; Ye, Z.; Ma, J.; Liu, D. Effects of bio-organic fertilizer on soil fertility, yield, and quality of tea. J. Soil Sci. Plant Nutr. 2023, 23, 5109–5121. [Google Scholar] [CrossRef]
- Li, Z.; Jiao, Y.; Yin, J.; Li, D.; Wang, B.; Zhang, K.; Zheng, X.; Hong, Y.; Zhang, H.; Xie, C.; et al. Productivity and quality of banana in response to chemical fertilizer reduction with bio-organic fertilizer: Insight into soil properties and microbial ecology. Agric. Ecosyst. Environ. 2021, 322, 107659. [Google Scholar] [CrossRef]
- Xiao, X.; Li, J.; Lyu, J.; Feng, Z.; Zhang, G.; Yang, H.; Gao, C.; Jin, L.; Yu, J. Chemical fertilizer reduction combined with bio-organic fertilizers increases cauliflower yield via regulation of soil biochemical properties and bacterial communities in northwest China. Front. Microbiol. 2022, 13, 922149. [Google Scholar] [CrossRef] [PubMed]
- Anisuzzaman, M.; Rafii, M.Y.; Jaafar, N.M.; Izan Ramlee, S.; Ikbal, M.F.; Haque, M.A. Effect of organic and inorganic fertilizer on the growth and yield components of traditional and improved rice (Oryza sativa L.) genotypes in Malaysia. Agronomy 2021, 11, 1830. [Google Scholar] [CrossRef]
- Zahedyan, A.; Aboutalebi Jahromi, A.; Zakerin, A.; Abdossi, V.; Mohammadi Torkashvand, A. Nitroxin bio-fertilizer improves growth parameters, physiological and biochemical attributes of cantaloupe (Cucumis melo L.) under water stress conditions. J. Saudi Soc. Agric. Sci. 2022, 21, 8–20. [Google Scholar] [CrossRef]
- Deng, Z.; Qu, L.; Wu, Y.; Zhang, J.; Wang, T. Current progress and prospect of crop quality research. Sci. Sin. Vitae 2021, 51, 1405–1414. (In Chinese) [Google Scholar] [CrossRef]
- Drava, G.; Iobbi, V.; Govaerts, R.; Minganti, V.; Copetta, A.; Ruffoni, B.; Bisio, A. Trace elements in edible flowers from Italy: Further insights into health benefits and risks to consumers. Molecules 2020, 25, 2891. [Google Scholar] [CrossRef] [PubMed]
- Zheng, P.; Zhang, M.; Wang, Z.; Wang, T.; Tang, L.; Ma, E.; Liu, J.; Shi, F. Comprehensive evaluation of the fruit quality of the main cultivars of pear (Pyrus spp.) in North China. Erwerbs-Obstbau 2021, 64, 219–227. [Google Scholar] [CrossRef]
- Jin, N.; Jin, L.; Wang, S.; Li, J.; Liu, F.; Liu, Z.; Luo, S.; Wu, Y.; Lyu, J.; Yu, J. Reduced chemical fertilizer combined with bio-organic fertilizer affects the soil microbial community and yield and quality of lettuce. Front. Microbiol. 2022, 13, 863325. [Google Scholar] [CrossRef]
- Liu, X.; Zhang, Y.; Jiang, Z.; Yue, X.; Liang, J.; Yang, Q.; Li, J.; Li, N. Micro-moistening irrigation combined with bio-organic fertilizer: An adaptive irrigation and fertilization strategy to improve soil environment, edible Rose yield, and nutritional quality. Ind. Crop. Prod. 2023, 196, 116487. [Google Scholar] [CrossRef]
- Yang, Y.; Syed, S.; Mao, S.; Li, Q.; Ge, F.; Lian, B.; Lu, C. Bioorganic–mineral fertilizer can remediate chemical fertilizer-oversupplied soil: Purslane planting as an example. J. Soil Sci. Plant Nutr. 2020, 20, 892–900. [Google Scholar] [CrossRef]
- Gao, C.; El-Sawah, A.M.; Ali, D.F.I.; Alhaj Hamoud, Y.; Shaghaleh, H.; Sheteiwy, M.S. The integration of bio and organic fertilizers improve plant growth, grain yield, quality and metabolism of hybrid maize (Zea mays L.). Agronomy 2020, 10, 319. [Google Scholar] [CrossRef]
- An, R.; Jiang, S.; Li, H.; Qin, X.; Hu, X.; Chen, T.; Xie, C.; Xu, Y.; Dong, C.; Shen, Q. Effects of reduced chemical fertilizer with organic fertilizer application on growth, yield, quality and fertilizer utilization rate in Litchi. Soils 2021, 53, 1174–1184. (In Chinese) [Google Scholar]
- Francisco, J.G.r.-M.; Beatriz, R.-S.; Agustı’n, P.; Jalel, M.; Francisco, R.T.; Manuel, T. The plant-growth-promoting rhizobacteria Bacillus pumilus and Bacillus licheniformis produce high amounts of physiologically active gibberellins. Physiol. Plant. 2001, 111, 206–211. [Google Scholar]
- Wu, L.; Chen, J.; Wu, H.; Qin, X.; Wang, J.; Wu, Y.; Khan, M.U.; Lin, S.; Xiao, Z.; Luo, X.; et al. Insights into the regulation of rhizosphere bacterial communities by application of bio-organic fertilizer in Pseudostellaria heterophylla monoculture regime. Front. Microbiol. 2016, 7, 1788. [Google Scholar] [CrossRef]
- Xin, X.; Sun, Z.; Xiao, J.; Bai, W.; Zhang, Z.; Yan, H. Efficient utilization mechanism of soil moisture and nutrients with ridge film furrow seeding technology of sloping farmlands in semi-arid and rain-fed areas. Agriculture 2023, 13, 1940. [Google Scholar] [CrossRef]
- Wang, Y. The problem and measures for improvement on the synthetically quantitative appraisal method of radar chart. Stat. Educ. 2007, 1, 18–20. (In Chinese) [Google Scholar]





| Treatment | Basal Dressing | Side-Dressing at Seedling Stage | Side-Dressing at Bolting Stage |
|---|---|---|---|
| T0 | 0 | 0 | 0 |
| T1 | CF450 | CF375 | CF375 |
| T2 | CF450 + BOF1200 | CF375 + BOF750 | CF375 |
| T3 | CF360 + BOF1200 | CF300 + BOF750 | CF300 |
| T4 | CF270 + BOF1200 | CF225 + BOF750 | CF225 |
| T5 | CF180 + BOF1200 | CF150 + BOF750 | CF150 |
| Cultivar | Treatment | PH (cm) | PW (cm) | LL (cm) | LW (cm) | SL (cm) | SD (cm) | FBL (cm) | FBD (cm) |
|---|---|---|---|---|---|---|---|---|---|
| 2021 | |||||||||
| Taidong 6 | T0 | 45.7 e | 45.9 d | 33.6 e | 1.03 e | 35.4 d | 0.36 d | 9.49 a | 1.01 c |
| T1 | 54.2 b | 53.2 a | 47.0 a | 1.17 b | 44.9 a | 0.46 a | 9.63 a | 1.05 bc | |
| T2 | 57.5 a | 53.3 a | 43.9 b | 1.22 a | 43.9 a | 0.43 b | 9.59 a | 1.10 a | |
| T3 | 53.8 b | 50.3 b | 41.2 c | 1.16 b | 41.7 b | 0.40 c | 9.24 b | 1.09 ab | |
| T4 | 51.7 c | 49.5 b | 38.9 d | 1.12 c | 38.9 c | 0.40 c | 9.19 b | 1.09 ab | |
| T5 | 49.5 d | 48.6 c | 38.1 d | 1.08 d | 38.3 c | 0.38 cd | 9.00 c | 1.08 ab | |
| Shibage | T0 | 72.8 d | 62.8 d | 46.1 d | 1.32 d | 61.8 d | 0.46 d | 9.78 d | 0.76 c |
| T1 | 84.9 a | 75.9 b | 52.9 b | 1.46 b | 70.7 a | 0.51 c | 10.40 ab | 0.87 b | |
| T2 | 83.2 ab | 80.8 a | 57.4 a | 1.51 a | 69.3 a | 0.59 a | 10.43 ab | 0.95 a | |
| T3 | 81.1 b | 75.6 b | 54.2 b | 1.50 ab | 67.3 b | 0.56 ab | 10.58 a | 0.93 a | |
| T4 | 78.2 c | 70.8 c | 52.5 bc | 1.42 c | 66.2 bc | 0.53 bc | 10.27 bc | 0.88 b | |
| T5 | 76.6 c | 68.4 c | 50.5 c | 1.41 c | 65.3 c | 0.51 c | 10.13 c | 0.86 b | |
| 2022 | |||||||||
| Taidong 6 | T0 | 52.6 e | 52.4 d | 43.9 e | 1.17 d | 43.1 e | 0.42 d | 7.94 d | 0.76 d |
| T1 | 62.5 bc | 62.6 b | 55.5 cd | 1.25 c | 53.3 b | 0.53 a | 8.22 c | 0.85 c | |
| T2 | 67.1 a | 68.5 a | 58.7 b | 1.30 b | 56.5 a | 0.54 a | 8.44 abc | 0.90 ab | |
| T3 | 62.7 b | 67.0 a | 62.2 a | 1.36 a | 51.8 bc | 0.50 b | 8.57 ab | 0.90 a | |
| T4 | 61.2 c | 63.3 b | 57.6 bc | 1.25 c | 51.1 c | 0.48 c | 8.67 a | 0.87 bc | |
| T5 | 58.2 d | 58.6 c | 53.2 d | 1.22 c | 48.2 d | 0.47 c | 8.39 bc | 0.86 c | |
| Shibage | T0 | 85.3 d | 66.7 d | 47.3 d | 1.29 d | 83.7 e | 0.53 e | 8.49 d | 0.75 d |
| T1 | 106.3 a | 77.1 b | 67.0 a | 1.44 a | 99.1 a | 0.61 ab | 9.26 ab | 0.79 c | |
| T2 | 105.4 a | 80.3 a | 68.8 a | 1.43 a | 98.7 a | 0.63 a | 9.22 ab | 0.83 ab | |
| T3 | 97.8 b | 77.3 b | 62.6 b | 1.41 ab | 94.7 b | 0.59 c | 9.06 bc | 0.85 a | |
| T4 | 94.0 c | 73.7 c | 58.6 c | 1.37 bc | 91.0 c | 0.60 bc | 9.34 a | 0.82 ab | |
| T5 | 93.5 c | 72.3 c | 55.8 c | 1.35 c | 88.1 d | 0.56 d | 8.92 c | 0.81 bc | |
| Cultivar | Treatment | SN (Per Cave−1) | FBN (Per Scape−1) | FBW (g) | Y (g·m−2) |
|---|---|---|---|---|---|
| 2021 | |||||
| Taidong 6 | T0 | 0.8 c | 8.0 e | 2.60 c | 182.5 e |
| T1 | 2.0 b | 12.8 b | 2.87 a | 773.5 b | |
| T2 | 2.8 a | 11.7 c | 2.84 ab | 987.3 a | |
| T3 | 2.0 b | 14.7 a | 2.91 a | 896.3 a | |
| T4 | 1.8 b | 11.3 c | 2.87 a | 625.3 c | |
| T5 | 1.5 bc | 10.0 d | 2.75 b | 434.2 d | |
| Shibage | T0 | 1.8 b | 9.0 c | 2.69 d | 466.4 d |
| T1 | 3.2 a | 12.2 b | 2.95 b | 1194.5 abc | |
| T2 | 3.0 a | 13.8 a | 2.94 b | 1281.0 ab | |
| T3 | 3.2 a | 13.2 ab | 3.01 a | 1316.5 a | |
| T4 | 2.8 ab | 12.7 ab | 2.85 c | 1074.1 bc | |
| T5 | 2.7 ab | 12.3 ab | 2.84 c | 977.8 c | |
| 2022 | |||||
| Taidong 6 | T0 | 1.7 e | 8.7 d | 2.23 e | 341.9 e |
| T1 | 4.1 c | 14.8 a | 2.33 cd | 1483.1 b | |
| T2 | 5.3 a | 13.2 b | 2.39 bc | 1749.2 a | |
| T3 | 5.2 ab | 14.3 ab | 2.39 ab | 1868.1 a | |
| T4 | 4.6 bc | 10.8 c | 2.45 a | 1284.8 c | |
| T5 | 3.0 d | 10.0 cd | 2.31 d | 714.3 d | |
| Shibage | T0 | 1.4 d | 10.9 c | 2.62 c | 409.0 d |
| T1 | 3.6 ab | 13.8 ab | 2.97 b | 1553.4 b | |
| T2 | 4.2 a | 13.2 b | 2.97 b | 1732.5 a | |
| T3 | 4.0 a | 14.4 ab | 2.98 b | 1804.4 a | |
| T4 | 3.0 bc | 15.4 a | 3.11 a | 1503.0 b | |
| T5 | 2.6 c | 13.9 ab | 2.98 b | 1130.9 c | |
| Cultivar | Treatment | VC (mg·g−1) | TF (mg·g−1) | TA (mg·g−1) | SS (mg·g−1) | SP (mg·g−1) |
|---|---|---|---|---|---|---|
| 2021 | ||||||
| Taidong 6 | T0 | 1.285 d | 0.611 d | 1.08 b | 18.54 e | 0.498 e |
| T1 | 1.434 b | 0.640 d | 1.318 a | 22.79 d | 0.537 cd | |
| T2 | 1.554 a | 0.717 c | 1.028 bc | 26.03 b | 0.561 b | |
| T3 | 1.456 b | 0.856 a | 0.970 c | 27.27 a | 0.588 a | |
| T4 | 1.362 c | 0.766 b | 0.764 d | 24.02 c | 0.532 d | |
| T5 | 1.335 cd | 0.689 c | 0.822 d | 24.04 c | 0.547 c | |
| Shibage | T0 | 0.919 d | 2.720 d | 1.131 c | 31.06 d | 0.329 c |
| T1 | 1.005 c | 3.137 bc | 1.421 a | 36.94 bc | 0.379 b | |
| T2 | 1.210 b | 3.635 a | 1.274 b | 39.39 b | 0.387 b | |
| T3 | 1.361 a | 3.674 a | 1.163 c | 44.35 a | 0.410 a | |
| T4 | 1.346 a | 3.334 b | 1.099 c | 42.15 a | 0.387 b | |
| T5 | 1.262 b | 3.062 c | 0.96 d | 34.49 c | 0.338 c | |
| 2022 | ||||||
| Taidong 6 | T0 | 1.286 d | 0.336 d | 1.792 a | 19.11 c | 0.277 c |
| T1 | 1.387 c | 0.367 d | 1.564 b | 21.93 c | 0.536 ab | |
| T2 | 1.795 a | 0.628 ab | 1.479 b | 38.67 a | 0.570 ab | |
| T3 | 1.617 b | 0.556 bc | 1.365 c | 41.92 a | 0.607 a | |
| T4 | 1.365 cd | 0.681 a | 1.337 c | 40.59 a | 0.505 b | |
| T5 | 1.354 cd | 0.529 c | 1.308 c | 28.30 b | 0.353 c | |
| Shibage | T0 | 1.070 d | 2.893 d | 1.479 a | 57.19 d | 0.239 c |
| T1 | 1.492 b | 3.860 b | 1.337 b | 63.55 c | 0.458 b | |
| T2 | 1.594 a | 3.857 b | 1.308 b | 67.56 bc | 0.593 a | |
| T3 | 1.668 a | 3.888 b | 1.252 b | 68.89 b | 0.642 a | |
| T4 | 1.243 c | 4.246 a | 1.308 b | 76.15 a | 0.431 b | |
| T5 | 1.321 c | 3.465 c | 1.28 b | 66.52 bc | 0.314 c | |
| Cultivar | Treatment | Si | Li | Vi1 | Vi2 | Yi | Rank |
|---|---|---|---|---|---|---|---|
| 2021 | |||||||
| Taidong 6 | T0 | 0.568 | 4.350 | 0.181 | 0.377 | 0.261 | 6 |
| T1 | 1.002 | 4.956 | 0.319 | 0.513 | 0.405 | 3 | |
| T2 | 1.080 | 4.860 | 0.344 | 0.575 | 0.445 | 1 | |
| T3 | 1.083 | 5.048 | 0.345 | 0.534 | 0.429 | 2 | |
| T4 | 0.813 | 4.504 | 0.259 | 0.504 | 0.361 | 4 | |
| T5 | 0.725 | 4.423 | 0.231 | 0.465 | 0.328 | 5 | |
| Shibage | T0 | 0.792 | 3.859 | 0.252 | 0.669 | 0.411 | 6 |
| T1 | 1.344 | 4.529 | 0.428 | 0.824 | 0.594 | 4 | |
| T2 | 1.480 | 4.751 | 0.471 | 0.824 | 0.623 | 2 | |
| T3 | 1.562 | 4.794 | 0.497 | 0.854 | 0.652 | 1 | |
| T4 | 1.344 | 4.500 | 0.428 | 0.834 | 0.597 | 3 | |
| T5 | 1.146 | 4.282 | 0.365 | 0.785 | 0.535 | 5 | |
| 2022 | |||||||
| Taidong 6 | T0 | 0.620 | 4.403 | 0.197 | 0.402 | 0.282 | 6 |
| T1 | 1.316 | 5.484 | 0.419 | 0.550 | 0.480 | 4 | |
| T2 | 1.691 | 5.818 | 0.538 | 0.628 | 0.581 | 2 | |
| T3 | 1.708 | 5.857 | 0.544 | 0.626 | 0.583 | 1 | |
| T4 | 1.285 | 4.875 | 0.409 | 0.679 | 0.527 | 3 | |
| T5 | 0.833 | 4.192 | 0.265 | 0.596 | 0.397 | 5 | |
| Shibage | T0 | 0.969 | 4.583 | 0.309 | 0.580 | 0.423 | 6 |
| T1 | 1.951 | 5.180 | 0.621 | 0.914 | 0.753 | 3 | |
| T2 | 2.210 | 5.453 | 0.703 | 0.934 | 0.810 | 2 | |
| T3 | 2.318 | 5.651 | 0.738 | 0.912 | 0.820 | 1 | |
| T4 | 1.980 | 5.504 | 0.630 | 0.821 | 0.720 | 4 | |
| T5 | 1.539 | 4.955 | 0.490 | 0.788 | 0.621 | 5 | |
Disclaimer/Publisher’s Note: The statements, opinions and data contained in all publications are solely those of the individual author(s) and contributor(s) and not of MDPI and/or the editor(s). MDPI and/or the editor(s) disclaim responsibility for any injury to people or property resulting from any ideas, methods, instructions or products referred to in the content. |
© 2024 by the authors. Licensee MDPI, Basel, Switzerland. This article is an open access article distributed under the terms and conditions of the Creative Commons Attribution (CC BY) license (https://creativecommons.org/licenses/by/4.0/).
Share and Cite
Wu, S.; Li, Z.; Yang, Y.; Sun, J.; Lian, D.; Lai, Z.; Hong, J. Reduction in Chemical Fertilizer Rates by Applying Bio-Organic Fertilizer for Optimization Yield and Quality of Hemerocallis citrina Baroni. Agronomy 2024, 14, 1627. https://doi.org/10.3390/agronomy14081627
Wu S, Li Z, Yang Y, Sun J, Lian D, Lai Z, Hong J. Reduction in Chemical Fertilizer Rates by Applying Bio-Organic Fertilizer for Optimization Yield and Quality of Hemerocallis citrina Baroni. Agronomy. 2024; 14(8):1627. https://doi.org/10.3390/agronomy14081627
Chicago/Turabian StyleWu, Songhai, Zhou Li, Yanfei Yang, Jin Sun, Dongmei Lian, Zhengfeng Lai, and Jianji Hong. 2024. "Reduction in Chemical Fertilizer Rates by Applying Bio-Organic Fertilizer for Optimization Yield and Quality of Hemerocallis citrina Baroni" Agronomy 14, no. 8: 1627. https://doi.org/10.3390/agronomy14081627
APA StyleWu, S., Li, Z., Yang, Y., Sun, J., Lian, D., Lai, Z., & Hong, J. (2024). Reduction in Chemical Fertilizer Rates by Applying Bio-Organic Fertilizer for Optimization Yield and Quality of Hemerocallis citrina Baroni. Agronomy, 14(8), 1627. https://doi.org/10.3390/agronomy14081627
