The Use of Low-Cost Drone and Multi-Trait Analysis to Identify High Nitrogen Use Lines for Wheat Improvement
Abstract
1. Introduction
2. Material and Methods
2.1. Experimental Site and Design
2.2. Sampling and N-Related Measurements
2.3. Drone Phenotyping and Image Processing
2.4. Automated Phenotypic Analysis
2.5. Advanced Statistical Analysis
3. Results
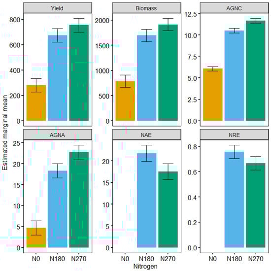
3.1. The Identification of N-Efficient Wheat Varieties
3.2. Drone Phenotyping to Dynamically Analyze Target Morphological Traits
3.3. Drone Phenotyping to Dynamically Analyze Target Spectral Traits
3.4. Comparison of High-NUE Lines Identified by Drone- and Lab-Based Approaches
4. Discussion
4.1. The Application of Drone-Derived Static and Dynamic Traits for NUE Assessment
4.2. The Potential Use of the Drone-Based Selection for NUE-Focused Breeding
4.3. Limitations of the Drone-Derived NUE Cluster Protocol
4.4. Future Work for NUE-Related Phenotyping
5. Conclusions
Supplementary Materials
Author Contributions
Funding
Data Availability Statement
Conflicts of Interest
Abbreviations
References
- Curtis, T.; Halford, N.G. Food Security: The Challenge of Increasing Wheat Yield and the Importance of Not Compromising Food Safety. Ann. Appl. Biol. 2014, 164, 354–372. [Google Scholar] [CrossRef]
- Bhardwaj, A.K.; Rajwar, D.; Yadav, R.K.; Chaudhari, S.K.; Sharma, D.K. Nitrogen Availability and Use Efficiency in Wheat Crop as Influenced by the Organic-Input Quality under Major Integrated Nutrient Management Systems. Front. Plant Sci. 2021, 12, 634448. [Google Scholar] [CrossRef]
- Nguyen, G.N.; Kant, S. Improving Nitrogen Use Efficiency in Plants: Effective Phenotyping in Conjunction with Agronomic and Genetic Approaches. Funct. Plant Biol. 2018, 45, 606–619. [Google Scholar] [CrossRef]
- Sharma, L.K.; Bali, S.K. A Review of Methods to Improve Nitrogen Use Efficiency in Agriculture. Sustainability 2017, 10, 51. [Google Scholar] [CrossRef]
- Sylvester-Bradley, R.; Kindred, D.R. Analysing Nitrogen Responses of Cereals to Prioritize Routes to the Improvement of Nitrogen Use Efficiency. J. Exp. Bot. 2009, 60, 1939–1951. [Google Scholar] [CrossRef]
- Govindasamy, P.; Muthusamy, S.K.; Bagavathiannan, M.; Mowrer, J.; Jagannadham, P.T.K.; Maity, A.; Halli, H.M.; Sujayananad, G.K.; Vadivel, R.; Das, T.K.; et al. Nitrogen Use Efficiency—A Key to Enhance Crop Productivity under a Changing Climate. Front. Plant Sci. 2023, 14, 1121073. [Google Scholar] [CrossRef]
- Raun, W.R.; Johnson, G.V. Improving Nitrogen Use Efficiency for Cereal Production. Agron. J. 1999, 91, 357–363. [Google Scholar] [CrossRef]
- Chen, Z.; Wang, H.; Liu, X.; Lu, D.; Zhou, J. The Fates of 15N-Labeled Fertilizer in a Wheat-Soil System as Influenced by Fertilization Practice in a Loamy Soil. Sci. Rep. 2016, 6, 34754. [Google Scholar] [CrossRef]
- Hawkesford, M.J. Reducing the Reliance on Nitrogen Fertilizer for Wheat Production. J. Cereal Sci. 2014, 59, 276–283. [Google Scholar] [CrossRef]
- Monostori, I.; Szira, F.; Tondelli, A.; Gierczik, K.; Cattivelli, L.; Galiba, G.; Vágújfalvi, A. Genome-Wide Association Study and Genetic Diversity Analysis on Nitrogen Use Efficiency in a Central European Winter Wheat (Triticum aestivum L.). PLoS ONE 2017, 2, e0189265. [Google Scholar] [CrossRef]
- Barraclough, P.B.; Howarth, J.R.; Jones, J.; Lopez-Bellido, R.; Parmar, S.; Shepherd, C.E.; Hawkesford, M.J. Nitrogen Efficiency of Wheat: Genotypic and Environmental Variation and Prospects for Improvement. Eur. J. Agron. 2010, 33, 1–11. [Google Scholar] [CrossRef]
- Peron-Danaher, R.; Russell, B.; Cotrozzi, L.; Couture, J.J.; Mohammadi, M. Incorporating Multi-Scale, Spectrally Detected Nitrogen Concentrations into Assessing Nitrogen Use Efficiency for Winter Wheat Breeding Populations. Remote Sens. 2021, 13, 3991. [Google Scholar] [CrossRef]
- Kamiji, Y.; Pang, J.; Milroy, S.P.; Palta, J.A. Shoot Biomass in Wheat Is the Driver for Nitrogen Uptake under Low Nitrogen Supply, but Not under High Nitrogen Supply. Field Crops Res. 2014, 165, 92–98. [Google Scholar] [CrossRef]
- Mann, C.C. Crop Scientists Seek a New Revolution. Science 1999, 283, 310–316. [Google Scholar] [CrossRef]
- Voss-Fels, K.P.; Stahl, A.; Wittkop, B.; Lichthardt, C.; Nagler, S.; Rose, T.; Chen, T.W.; Zetzsche, H.; Seddig, S.; Majid Baig, M.; et al. Breeding Improves Wheat Productivity under Contrasting Agrochemical Input Levels. Nat. Plants 2019, 5, 706–714. [Google Scholar] [CrossRef]
- Zhu, Y.; Sun, G.; Ding, G.; Zhou, J.; Wen, M.; Jin, S.; Zhao, Q.; Colmer, J.; Ding, Y.; Ober, E.S.; et al. Large-Scale Field Phenotyping Using Backpack LiDAR and CropQuant-3D to Measure Structural Variation in Wheat. Plant Physiol. 2021, 187, 716–738. [Google Scholar] [CrossRef]
- Sarker, U.K.; Romij Uddin, M.; Salahuddin Kaysar, M.; Alamgir Hossain, M.; Somaddar, U.; Saha, G. Exploring Relationship among Nitrogen Fertilizer, Yield and Nitrogen Use Efficiency in Modern Wheat Varieties under Subtropical Condition. Saudi J. Biol. Sci. 2023, 30, 103602. [Google Scholar] [CrossRef]
- Fuertes-Mendizábal, T.; González-Murua, C.; González-Moro, M.B.; Estavillo, J.M. Late Nitrogen Fertilization Affects Nitrogen Remobilization in Wheat. J. Plant Nutr. Soil Sci. 2012, 175, 115–124. [Google Scholar] [CrossRef]
- Kjeldahl, J. Neue Methode Zur Bestimmung Des Stickstoffs in Organischen Körpern. Z. Anal. Chem. 1883, 22, 366–382. [Google Scholar] [CrossRef]
- Dumas, J.B.A. Procedes de l’analyse Organic. Ann. Chem. Phys. 1831, 247, 198–213. [Google Scholar]
- Ding, G.; Shen, L.; Dai, J.; Jackson, R.; Liu, S.; Ali, M.; Sun, L.; Wen, M.; Xiao, J.; Deakin, G.; et al. The Dissection of Nitrogen Response Traits Using Drone Phenotyping and Dynamic Phenotypic Analysis to Explore N Responsiveness and Associated Genetic Loci in Wheat. Plant Phenomics 2023, 5, 0128. [Google Scholar] [CrossRef]
- Adak, A.; Murray, S.C.; Washburn, J.D. Deciphering Temporal Growth Patterns in Maize: Integrative Modeling of Phenotype Dynamics and Underlying Genomic Variations. New Phytol. 2024, 242, 121–136. [Google Scholar] [CrossRef]
- Jackson, R.; Buntjer, J.B.; Bentley, A.R.; Lage, J.; Byrne, E.; Burt, C.; Jack, P.; Berry, S.; Flatman, E.; Poupard, B.; et al. Phenomic and Genomic Prediction of Yield on Multiple Locations in Winter Wheat. Front. Genet. 2023, 14, 1164935. [Google Scholar] [CrossRef]
- Fradgley, N.S.; Bentley, A.R.; Swarbreck, S.M. Defining the Physiological Determinants of Low Nitrogen Requirement in Wheat. Biochem. Soc. Trans. 2021, 49, 609. [Google Scholar] [CrossRef]
- Sun, G.; Lu, H.; Zhao, Y.; Zhou, J.; Jackson, R.; Wang, Y.; Xu, L.-X.; Wang, A.; Colmer, J.; Ober, E.; et al. AirMeasurer: Open-Source Software to Quantify Static and Dynamic Traits Derived from Multiseason Aerial Phenotyping to Empower Genetic Mapping Studies in Rice. New Phytol. 2022, 236, 1584–1604. [Google Scholar] [CrossRef]
- Gano, B.; Bhadra, S.; Vilbig, J.M.; Ahmed, N.; Sagan, V.; Shakoor, N. Drone-Based Imaging Sensors, Techniques, and Applications in Plant Phenotyping for Crop Breeding: A Comprehensive Review. Plant Phenome J. 2024, 7, e20100. [Google Scholar] [CrossRef]
- Jiang, Z.; Tu, H.; Bai, B.; Yang, C.; Zhao, B.; Guo, Z.; Liu, Q.; Zhao, H.; Yang, W.; Xiong, L.; et al. Combining UAV-RGB High-Throughput Field Phenotyping and Genome-Wide Association Study to Reveal Genetic Variation of Rice Germplasms in Dynamic Response to Drought Stress. New Phytol. 2021, 232, 440–455. [Google Scholar] [CrossRef]
- Atkinson, J.A.; Jackson, R.J.; Bentley, A.R.; Ober, E.; Wells, D.M. Field Phenotyping for the Future. In Annual Plant Reviews Online; Wiley: Hoboken, NJ, USA, 2018; pp. 719–736. [Google Scholar]
- Yang, M.; Hassan, M.A.; Xu, K.; Zheng, C.; Rasheed, A.; Zhang, Y.; Jin, X.; Xia, X.; Xiao, Y.; He, Z. Assessment of Water and Nitrogen Use Efficiencies Through UAV-Based Multispectral Phenotyping in Winter Wheat. Front. Plant Sci. 2020, 11, 927. [Google Scholar] [CrossRef]
- Dhanya, V.G.; Subeesh, A.; Kushwaha, N.L.; Vishwakarma, D.K.; Nagesh Kumar, T.; Ritika, G.; Singh, A.N. Deep Learning Based Computer Vision Approaches for Smart Agricultural Applications. Artif. Intell. Agric. 2022, 6, 211–229. [Google Scholar] [CrossRef]
- Yang, G.; Liu, J.; Zhao, C.; Li, Z.Z.; Huang, Y.; Yu, H.; Xu, B.; Yang, X.; Zhu, D.; Zhang, X.; et al. Unmanned Aerial Vehicle Remote Sensing for Field-Based Crop Phenotyping: Current Status and Perspectives. Front. Plant Sci. 2017, 8, 1111. [Google Scholar] [CrossRef] [PubMed]
- Liu, J.; Zhu, Y.; Tao, X.; Chen, X.; Li, X. Rapid Prediction of Winter Wheat Yield and Nitrogen Use Efficiency Using Consumer-Grade Unmanned Aerial Vehicles Multispectral Imagery. Front. Plant Sci. 2022, 13, 1032170. [Google Scholar] [CrossRef]
- Wang, J.; Li, X.; Guo, T.; Dzievit, M.J.; Yu, X.; Liu, P.; Price, K.P.; Yu, J. Genetic Dissection of Seasonal Vegetation Index Dynamics in Maize through Aerial Based High-Throughput Phenotyping. Plant Genome 2021, 14, e20155. [Google Scholar] [CrossRef]
- Anderson, S.L. R/UAStools::Plotshpcreate: Create Multi-Polygon Shapefiles for Extraction of Research Plot Scale Agriculture Remote Sensing Data. Front. Plant Sci. 2020, 11, 511768. [Google Scholar] [CrossRef]
- Matias, F.I.; Caraza-Harter, M.V.; Endelman, J.B. FIELDimageR: An R Package to Analyze Orthomosaic Images from Agricultural Field Trials. Plant Phenome J. 2020, 3, e20005. [Google Scholar] [CrossRef]
- Gitelson, A.A.; Stark, R.; Grits, U.; Rundquist, D.; Kaufman, Y.; Derry, D. Vegetation and Soil Lines in Visible Spectral Space: A Concept and Technique for Remote Estimation of Vegetation Fraction. Int. J. Remote Sens. 2002, 23, 2537–2562. [Google Scholar] [CrossRef]
- Sulik, J.J.; Long, D.S. Spectral Considerations for Modeling Yield of Canola. Remote Sens. Environ. 2016, 184, 161–174. [Google Scholar] [CrossRef]
- Watanabe, K.; Guo, W.; Arai, K.; Takanashi, H.; Kajiya-Kanegae, H.; Kobayashi, M.; Yano, K.; Tokunaga, T.; Fujiwara, T.; Tsutsumi, N.; et al. High-Throughput Phenotyping of Sorghum Plant Height Using an Unmanned Aerial Vehicle and Its Application to Genomic Prediction Modeling. Front. Plant Sci. 2017, 8, 421. [Google Scholar] [CrossRef]
- Hodge, V.J.; Austin, J. A Survey of Outlier Detection Methodologies. Artif. Intell. Rev. 2004, 22, 85–126. [Google Scholar] [CrossRef]
- Zhang, W.; Qi, J.; Wan, P.; Wang, H.; Xie, D.; Wang, X.; Yan, G. An Easy-to-Use Airborne LiDAR Data Filtering Method Based on Cloth Simulation. Remote Sens. 2016, 8, 501. [Google Scholar] [CrossRef]
- Irvin, B.J.; Ventura, S.J.; Slater, B.K. Fuzzy and Isodata Classification of Landform Elements from Digital Terrain Data in Pleasant Valley, Wisconsin. Geoderma 1997, 77, 137–154. [Google Scholar] [CrossRef]
- Singh, T.R.; Roy, S.; Singh, O.I.; Sinam, T.; Singh, K.M. A New Local Adaptive Thresholding Technique in Binarization. Int. J. Comput. Sci. Issues 2012, 271–277. [Google Scholar]
- R Core Team. R: A Language and Environment for Statistical Computing; R Foundation for Statistical Computing: Vienna, Austria, 2021; Available online: https://www.R-project.org/ (accessed on 10 August 2021).
- Maechler, M.; Rousseeuw, P.; Struyf, A.; Hubert, M.; Hornik, K. Cluster: Cluster Analysis Basics and Extensions. R Package Version 2.1.6. 2023. Available online: https://CRAN.R-project.org/package=cluster (accessed on 2 May 2024).
- Lenth, R.V. Emmeans: Estimated Marginal Means, Aka Least-Squares Means. R Package Version 1.7.5. 2022. Available online: https://CRAN.R-project.org/package=emmeans (accessed on 22 June 2022).
- Lammerts van Bueren, E.T.; Struik, P.C. Diverse Concepts of Breeding for Nitrogen Use Efficiency. A Review. Agron. Sustain. Dev. 2017, 37, 50. [Google Scholar] [CrossRef]
- Balasundram, S.K.; Shamshiri, R.R.; Sridhara, S.; Rizan, N. The Role of Digital Agriculture in Mitigating Climate Change and Ensuring Food Security: An Overview. Sustainability 2023, 15, 5325. [Google Scholar] [CrossRef]
- Jeon, D.; Kang, Y.; Lee, S.; Choi, S.; Sung, Y.; Lee, T.H.; Kim, C. Digitalizing Breeding in Plants: A New Trend of next-Generation Breeding Based on Genomic Prediction. Front. Plant Sci. 2023, 14, 1092584. [Google Scholar] [CrossRef]
- Reynolds, M.; Chapman, S.; Crespo-Herrera, L.; Molero, G.; Mondal, S.; Pequeno, D.N.L.; Pinto, F.; Pinera-Chavez, F.J.; Poland, J.; Rivera-Amado, C.; et al. Breeder Friendly Phenotyping. Plant Sci. 2020, 295, 110396. [Google Scholar] [CrossRef]
- Anas, M.; Liao, F.; Verma, K.K.; Sarwar, M.A.; Mahmood, A.; Chen, Z.L.; Li, Q.; Zeng, X.P.; Liu, Y.; Li, Y.R. Fate of Nitrogen in Agriculture and Environment: Agronomic, Eco-Physiological and Molecular Approaches to Improve Nitrogen Use Efficiency. Biol. Res. 2020, 53, 47. [Google Scholar] [CrossRef]







| Phenotype | Abbreviation | Timing | Calculation |
|---|---|---|---|
| Above-ground biomass at anthesis | AGBa | Anthesis | |
| Above-ground N content at anthesis | ANCa | Anthesis | |
| Vegetative organ nitrogen accumulation at anthesis | VONAa | Anthesis | |
| Spike number | SN | Harvest | |
| Grain number per spike | GN | Harvest | |
| Thousand grain weight | TWG | Harvest | |
| Grain yield | GY | Harvest | |
| Vegetative organ biomass | VOB | Harvest | |
| Above ground biomass | AGB | Harvest | |
| Grain N content | GNC | Harvest | |
| Vegetative organ N content | VONC | Harvest | |
| Above-ground N content | ANC | Harvest | |
| Grain nitrogen accumulation | GNC | Harvest | |
| Vegetative organ nitrogen accumulation | VONC | Harvest | |
| Above-ground nitrogen accumulation | AGNA | Harvest | |
| N translocation amount | NTA | Harvest | |
| N translocation efficiency | NTE | Harvest | |
| Contribution rate of N translocation amount to grain | CNTA | Harvest | |
| Nitrogen agronomic use efficiency | NAE | Harvest | |
| Nitrogen recovery efficiency | NRE | Harvest | |
| Canopy cover | CC | Harvest | |
| Canopy height | CH | Harvest | |
| Normalized Differential Yellowness Index | NDYI | Harvest | |
| Visible Atmospherically Resistant Index | VARI | Harvest |
Disclaimer/Publisher’s Note: The statements, opinions and data contained in all publications are solely those of the individual author(s) and contributor(s) and not of MDPI and/or the editor(s). MDPI and/or the editor(s) disclaim responsibility for any injury to people or property resulting from any ideas, methods, instructions or products referred to in the content. |
© 2024 by the authors. Licensee MDPI, Basel, Switzerland. This article is an open access article distributed under the terms and conditions of the Creative Commons Attribution (CC BY) license (https://creativecommons.org/licenses/by/4.0/).
Share and Cite
Shen, L.; Deakin, G.; Ding, G.; Ali, M.; Dai, J.; Wen, Z.; Pinheiro, F.; Zhou, J.; Jackson, R. The Use of Low-Cost Drone and Multi-Trait Analysis to Identify High Nitrogen Use Lines for Wheat Improvement. Agronomy 2024, 14, 1612. https://doi.org/10.3390/agronomy14081612
Shen L, Deakin G, Ding G, Ali M, Dai J, Wen Z, Pinheiro F, Zhou J, Jackson R. The Use of Low-Cost Drone and Multi-Trait Analysis to Identify High Nitrogen Use Lines for Wheat Improvement. Agronomy. 2024; 14(8):1612. https://doi.org/10.3390/agronomy14081612
Chicago/Turabian StyleShen, Liyan, Greg Deakin, Guohui Ding, Mujahid Ali, Jie Dai, Zhenjie Wen, Felipe Pinheiro, Ji Zhou, and Robert Jackson. 2024. "The Use of Low-Cost Drone and Multi-Trait Analysis to Identify High Nitrogen Use Lines for Wheat Improvement" Agronomy 14, no. 8: 1612. https://doi.org/10.3390/agronomy14081612
APA StyleShen, L., Deakin, G., Ding, G., Ali, M., Dai, J., Wen, Z., Pinheiro, F., Zhou, J., & Jackson, R. (2024). The Use of Low-Cost Drone and Multi-Trait Analysis to Identify High Nitrogen Use Lines for Wheat Improvement. Agronomy, 14(8), 1612. https://doi.org/10.3390/agronomy14081612

