Managing Residue Return Increases Soil Organic Carbon, Total Nitrogen in the Soil Aggregate, and the Grain Yield of Winter Wheat
Abstract
1. Introduction
2. Materials and Methods
2.1. Site Description
2.2. Experimental Design
2.3. Sampling and Measurement
2.4. Statistical Analysis
3. Results
3.1. Soil Bulk Density and Porosity
3.2. Soil Aggregate Size Distribution
3.2.1. Soil Aggregate Particle Size
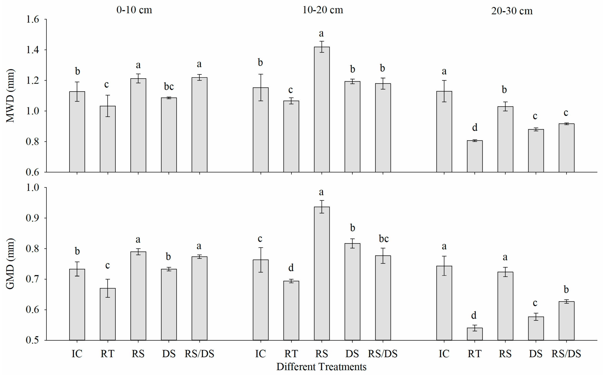
3.2.2. MWD and GMD
3.3. Root Length Density
3.4. SOC and TN Storage in Aggregate
3.4.1. SOC Storage
3.4.2. TN Storage in Aggregate
3.5. Changes of SOC Storage
3.6. Evolution of Soil N Storage
3.7. Grain Yield
4. Discussion
5. Conclusions
Author Contributions
Funding
Data Availability Statement
Conflicts of Interest
References
- Chen, X.P.; Cui, Z.L.; Fan, M.S.; Vitousek, P.; Zhao, M.; Ma, W.Q.; Wang, Z.L.; Zhang, W.J.; Yan, X.Y.; Yang, J.C.; et al. Producing more grain with lower environmental costs. Nature 2014, 514, 486–489. [Google Scholar] [CrossRef] [PubMed]
- Jin, L.B.; Cui, H.Y.; Li, B.; Zhang, J.W.; Dong, S.T.; Liu, P. Effects of integrated agronomic management practices on yield and nitrogen efficiency of summer maize in North China. Field Crops Res. 2012, 134, 30–35. [Google Scholar] [CrossRef]
- Xu, Z.Y.; Xue, Y.H.; Zhang, J.; Sun, R.H.; Shi, Z.L.; He, T.Y.; Wang, J.C. Research hotspots and frontiers of comprehensive utilization of straw on bibliometric analysis. Ecol. Environ. Sci. 2021, 30, 1310–1320. [Google Scholar]
- Zhang, F.S.; Chen, X.P.; Vitousek, P. Chinese agriculture: An experiment for the world. Nature 2013, 497, 22–35. [Google Scholar] [CrossRef] [PubMed]
- Liu, M.; Liu, J.; Chen, X.F.; Jiang, C.Y.; Wu, M.; Li, Z.P. Shifts in bacterial and fungal diversity in a paddy soil faced with phosphorus surplus. Biol. Fertil. Soils 2018, 54, 259–267. [Google Scholar] [CrossRef]
- Ma, D.; Chen, L.; Qu, H.; Wang, Y.; Misselbrook, T.; Jiang, R. Impacts of plastic film mulching on crop yields, soil water, nitrate, and organic carbon in Northwestern China: A meta-analysis. Agric. Water Manag. 2018, 202, 166–173. [Google Scholar] [CrossRef]
- Zhang, P.; Wei, T.; Jia, Z.K.; Han, Q.F.; Ren, X.L. Soil aggregate and crop yield changes with different rates of straw incorporation in Semi-arid areas of northwest China. Geoderma 2014, 230–231, 41–49. [Google Scholar] [CrossRef]
- Wei, T.; Zhang, P.; Wang, K.; Ding, R.X.; Yang, B.P.; Nie, J.F.; Jia, Z.K.; Han, Q.F. Effects of wheat straw incorporation on the availability of soil nutrients and enzyme activities in semiarid areas. PLoS ONE 2015, 10, e0120994. [Google Scholar] [CrossRef] [PubMed]
- Wang, J.; Ghimire, R.; Fu, X.; Sainju, U.M.; Liu, W. Straw mulching increases precipitation storage rather than water use efficiency and dryland winter wheat yield. Agric. Water Manag. 2018, 206, 95–101. [Google Scholar] [CrossRef]
- Wang, S.C.; Zhao, Y.W.; Wang, J.Z.; Zhu, P.; Cui, X.; Han, X.Z.; Xu, M.G.; Lu, C.A. The efficiency of long—Term straw return to sequester organic carbon in Northeast China’s cropland. J. Integr. Agric. 2018, 17, 436–448. [Google Scholar] [CrossRef]
- Wang, M.; Pendall, E.; Fang, C.; Li, B.; Nie, M. A global perspective on agroecosystem nitrogen cycles after returning crop residue. Agric. Ecosyst. Environ. 2018, 266, 49–54. [Google Scholar] [CrossRef]
- Zhang, Q.; Wang, S.; Zhang, Y.; Li, H.; Liu, P.; Wang, R.; Wang, X.; Li, J. Effects of subsoiling rotational patterns with residue return systems on soil properties, water use and maize yield on the semiarid Loess Plateau. Soil Tillage Res. 2021, 214, 105186. [Google Scholar] [CrossRef]
- Zuber, S.M.; Behnke, G.D.; Nafziger, E.D.; Villamil, M.B. Multivariate assessment of soil quality indicators for crop rotation and tillage in Illinois. Soil Tillage Res. 2017, 174, 147–155. [Google Scholar] [CrossRef]
- Pang, D.W.; Chen, J.; Tang, Y.H.; Yin, Y.P.; Yang, D.Q.; Cui, Z.Y.; Zheng, M.J.; Li, Y.; Wang, Z.L. Effect of returning methods of maize straw and N treatments on soil physicochemical property and yield of winter wheat. Acta Agron. Sin. 2016, 42, 1689–1699. [Google Scholar] [CrossRef]
- Congreves, K.A.; Hooker, D.C.; Hayes, A.; Verhallen, E.A.; Van Eerd, L.L. Interaction of long-term nitrogen fertilizer application, crop rotation, and tillage system on soil carbon and nitrogen dynamics. Plant Soil 2017, 410, 113–127. [Google Scholar] [CrossRef]
- Guan, D.H.; Mahdi, M.; Zhang, Y.S.; Duan, L.S.; Tan, W.M.; Zhang, M.C.; Li, Z.H. Tillage practices affect biomass and grain yield through regulating root growth, root-bleeding sap and nutrients uptake in summer maize. Field Crops Res. 2014, 157, 89–97. [Google Scholar] [CrossRef]
- Shi, Y.; Yu, Z.W.; Man, J.G.; Ma, S.Y.; Gao, Z.Q.; Zhang, Y.L. Tillage practice affect dry matter accumulation and grain yield in winter wheat in the North China Plain. Soil Tillage Res. 2016, 160, 73–81. [Google Scholar] [CrossRef]
- Du, H.H. The Effects of Different Tillage and Fertilization Measures on Soil Nutrient Properties and Wheat Yield in the Weibei arid Plateau. Ph.D. Thesis, Northwest A&F University, Xianyang, China, 2019. [Google Scholar]
- Han, X.J.; Ren, Z.J.; Li, S.J.; Tian, P.P.; Lu, S.H.; Ma, G.; Wang, L.F.; Ma, D.Y.; Zhao, Y.N.; Wang, C.Y. Effects of Different Nitrogen Application Rates on Carbon and Nitrogen Content of Soil Aggregates and Wheat Yield. Sci. Agric. Sin. 2024, 57, 1766–1778. [Google Scholar]
- Kahle, P.; Möller, J.; Baum, C.; Gurgel, A. Tillage-induced changes in the distribution of soil organic matter and the soil aggregate stability under a former short rotation coppice. Soil Tillage Res. 2013, 133, 49–53. [Google Scholar] [CrossRef]
- Yu, Y.; Zhang, C.R.; Yang, Y.L.; Xu, X.; Lv, F.Z.; Zheng, T.T.; Xie, H.T.; Bao, X.L. Effects of long-term no-tillage and different stover mulching amounts on soil carbon and nitrogen contents and enzyme activities of carbon and nitrogen cycle in Mollisols. Chin. J. Appl. Ecol. 2024, 35, 695–704. [Google Scholar]
- Zhu, L.Q.; Hu, N.J.; Yang, M.F.; Zhan, X.H.; Zhang, Z.W. Effects of different tillage and straw return on soil organic carbon in a rice–wheat rotation system. PLoS ONE 2014, 9, e88900. [Google Scholar] [CrossRef]
- Li, Y.; Li, Z.; Cui, S.; Sindhu, J.; Zhang, Q.P. Residue retention and minimum tillage improve physical environment of the soil in croplands: A global meta-analysis. Soil Tillage Res. 2019, 194, 104292. [Google Scholar] [CrossRef]
- He, Y.T.; Zhang, W.J.; Xu, M.G.; Tong, X.G.; Sun, F.X.; Wang, J.Z.; Huang, S.M.; Zhu, P.; He, X.H. Long-term combined chemical and manure fertilizations increase soil organic carbon and total nitrogen in aggregate fractions at three typical cropland soils in China. Sci. Total Environ. 2015, 532, 635–644. [Google Scholar] [CrossRef] [PubMed]
- Zandstra, H.G. Automated determination of phosphorus in sodium bicarbonate extracts. Can. J. Soil Sci. 1968, 48, 219–220. [Google Scholar] [CrossRef]
- Nelson, D.W.; Sommers, L.E. Total carbon, organic carbon, and organic matter. In Methods of Soil Analysis, Part 2. Agronomy, 2nd ed.; Page, A.L., Ed.; American Society of Agronomy, Inc.: Madison, WI, USA, 1996; pp. 961–1010. [Google Scholar]
- Zhang, P.; Chen, X.L.; Wei, T.; Yang, Z.; Jia, Z.K.; Yang, B.P.; Han, Q.F.; Ren, X.L. Effects of straw incorporation on the soil nutrient contents, enzyme activities, and crop yield in a semiarid region of China. Soil Tillage Res. 2016, 160, 65–72. [Google Scholar] [CrossRef]
- Wang, Z.H.; Miao, Y.F.; Li, S.X. Wheat responses to ammonium and nitrate N applied at different sown and input times. Field Crops Res. 2016, 119, 10–20. [Google Scholar] [CrossRef]
- Dai, X.L.; Xiao, L.L.; Jia, D.Y.; Kong, H.B.; Wang, Y.C.; Li, C.X.; Zhang, Y.L.; He, M.R. Increased plant density of winter wheat can enhance nitrogen–uptake from deep soil. Plant Soil 2014, 384, 141–152. [Google Scholar] [CrossRef]
- Tian, S.Z. Responses of Soil Organic Carbon Pool, Greenhouse Gas Emission and Carbon Footprint to a Long-Term Tillage and Residue Management System. Ph.D. Thesis, Shandong Agricultural University, Tai’an, China, 2014. [Google Scholar]
- Hou, X.Q.; Li, R.; Jia, Z.K.; Han, Q.F.; Yang, B.P. Effects of rotational tillage practices on soil properties, winter wheat yields and water-use efficiency in semi-arid areas of north-west China. Field Crops Res. 2012, 129, 7–13. [Google Scholar] [CrossRef]
- Saha, S.; Nair, P.K.R.; Nair, V.D.; Kumar, B.M. Carbon storage in relation to soil size fractions under tropical tree-based land-use systems. Plant Soil 2010, 328, 433–446. [Google Scholar] [CrossRef]
- Li, H.Y.; Meng, Z.L.; Pang, D.W.; Chen, J.; Hou, Y.K.; Cui, H.X.; Jin, M.; Wang, Z.L.; Li, Y. Effect of annual straw return model on soil carbon sequestration and crop yields in winter wheat-summer maize rotation farmland. Acta Agron. Sin. 2019, 45, 893–903. [Google Scholar] [CrossRef]
- Wang, Q.Y.; Chen, J.; Yang, Y.Z.; Chai, R.S.; Ye, X.X.; Gao, H.J.; Ma, D.H.; Zhang, J.B.; Zhou, Y.P. Effect mechanism of long-term straw returning on shrinkage characteristic in typical Shajiang black soil. Trans. ASAE 2019, 35, 119–124. [Google Scholar]
- Zhang, P.; Wei, T.; Li, Y.L.; Wang, K.; Jia, Z.K.; Han, Q.F.; Ren, X.L. Effects of straw incorporation on the stratification of the soil organic C, total N and C: N ratio in a semiarid region of China. Soil Tillage Res. 2015, 153, 28–35. [Google Scholar] [CrossRef]
- Zhang, S.X.; Li, Q.; Zhang, X.P.; Wei, K.; Chen, L.J.; Liang, W.J. Effects of conservation tillage on soil aggregation and aggregate binding agents in black soil of Northeast China. Soil Tillage Res. 2012, 124, 196–202. [Google Scholar] [CrossRef]
- Kou, T.J.; Zhu, P.; Huang, S.; Peng, X.X.; Song, Z.W.; Deng, A.X.; Gao, H.J.; Peng, C.; Zhang, W.J. Effects of long-term cropping regimes on soil carbon sequestration and aggregate composition in rainfed farmland of Northest China. Soil Tillage Res. 2012, 118, 132–138. [Google Scholar] [CrossRef]
- Causarano, H.J.; Franzluebbers, A.J.; Shaw, J.N.; Reeves, W.D.; Randy, R.L.; Wood, C.W. Soil organic carbon fractions and aggregation in the southern piedmont and coastal plain. Soil Sci. Soc. Am. J. 2008, 72, 221–230. [Google Scholar] [CrossRef]
- Zhao, Y.H.; Yin, H.K.; Hu, X.C.; Xie, W.Y.; Liu, Z.P.; Zhou, H.P.; Yang, Z.X. Effects of long-term straw returning on soil organic carbon and nitrogen components and maize yield in brown soil farmland. Agric. Res. Arid Areas 2024, 42, 80–88. [Google Scholar] [CrossRef]
- Ashagrie, Y.; Zech, W.; Guggenberger, G. Transformation of a Podocarpus falcatus dominated natural forest into a monoculture Eucalyptus globulus plantation at Munesa, Ethiopia: Soil organic C, N and S dynamics in primary particle and aggregate-size fractions. Agric. Ecosyst. Environ. 2005, 106, 89–98. [Google Scholar] [CrossRef]
- Curaqueo, G.; Barea, J.M.; Acevedo, E.A.; Rubio, R.; Cornejo, P.; Borie, F. Effects of different tillage system on arbuscular mycorrhizal fungal propagules and physical properties in a Mediterranean agroecosystem in central Chile. Soil Tillage Res. 2011, 113, 11–18. [Google Scholar] [CrossRef]
- Mu, X.Y.; Zhao, Y.L.; Liu, K.; Ji, B.Y.; Guo, H.B.; Xue, Z.W.; Li, C.H. Responses of soil properties, root growth and crop yield to tillage and crop residue management in a wheat–maize cropping system on the North China Plain. Eur. J. Agron. 2016, 78, 32–43. [Google Scholar] [CrossRef]
- Benjamin, J.G.; Nielsen, D.C. Water deficit effects on root distribution of soybean: Field pea and chickpea. Field Crops Res. 2006, 97, 248–253. [Google Scholar] [CrossRef]
- Bengough, A.G.; McKenzie, B.M.; Hallett, P.D.; Valentine, T.A. Root elongation water stress, and mechanical impedance: A review of limiting stresses and beneficial root tip traits. J. Exp. Bot. 2011, 62, 59–68. [Google Scholar] [CrossRef] [PubMed]
- Roberto, A. A quantitative review of the effects of residue removing on soil organic carbon in croplands. Soil Tillage Res. 2024, 240, 106098. [Google Scholar] [CrossRef]
- Li, S.Y.; Gu, X.; Zhuang, J.; An, T.T.; Pei, J.B.; Xie, H.T.; Li, H.; Fu, S.F.; Wang, J.K. Distribution and storage of crop residue carbon in aggregates and its contribution to organic carbon of soil with low fertility. Soil Tillage Res. 2016, 155, 199–206. [Google Scholar] [CrossRef]
- Xu, M.; Lou, Y.; Sun, X.; Wang, W.; Baniyamuddin, M.; Zhao, K. Soil organic carbon active fractions as early indicators for total carbon change under straw incorporation. Biol. Fert. Soils. 2011, 47, 745–752. [Google Scholar] [CrossRef]
- Tong, C.L.; Xiao, H.A.; Tang, G.Y.; Wang, H.Q.; Huang, T.P.; Xia, H.A.; Keith, S.J.; Li, Y.; Liu, S.L.; Wu, J.S. Long-term fertilizer effects on organic carbon and total nitrogen and coupling relationships of C and N in paddy soils in subtropical China. Soil Tillage Res. 2009, 106, 8–14. [Google Scholar] [CrossRef]
- Yu, G.; Fang, H.; Gao, L.; Zhang, W. Soil organic carbon budget and fertility variation of black soils in Northeast China. Ecol. Res. 2006, 21, 855–867. [Google Scholar] [CrossRef]
- Zhang, S.M.; Duan, Z.Q.; Gu, K.J.; Zhang, C.H.; Zhang, H.G. Effects of reduced nitrogen fertilization on wheat yield, nutrient uptake and soil physicochemical properties under rice straw returning. Soil 2023, 55, 537–543. [Google Scholar] [CrossRef]
- Liu, D.Y. Physiological and Ecological Mechanism of Stable and High Yield of Broadcasted Rice in Paddy Field with High Standing-Stubbles under No-Tillage Condition. Ph.D. Thesis, Sichuan Agricultural University, Chengdu, China, 2009. [Google Scholar]
- Wang, X.H.; Yang, H.S.; Liu, J.; Wu, J.S.; Chen, W.P.; Wu, J.; Zhu, L.Q.; Bian, X.M. Effects of ditch-buried straw return on soil organic carbon and rice yields in a rice-wheat rotation system. Catena 2015, 127, 56–63. [Google Scholar] [CrossRef]
- Mele, P.M.; Crowley, D.E. Application of self-organizing maps for assessing soil biological quality. Agric. Ecosyst. Environ. 2008, 126, 139–152. [Google Scholar] [CrossRef]







| Depths (cm) | SBD (g cm−3) | Porosity (%) | Aggregate Particle Size (%) | SOC/TN Storage (t ha−1) | ||
|---|---|---|---|---|---|---|
| >0.25 mm | <0.25 mm | >0.25 mm | <0.25 mm | |||
| 0–10 | 1.32 | 49.91 | 77.34 | 22.66 | 7.47/1.03 | 3.21/0.50 |
| 10–20 | 1.38 | 47.71 | 64.82 | 35.18 | 5.98/0.89 | 3.02/0.49 |
| 20–30 | 1.42 | 46.07 | 62.48 | 37.52 | 5.00/0.84 | 1.73/0.15 |
| Tillage | Operation Procedure |
|---|---|
| RT | Remove the corn straw out of the farmland, apply base fertilizer, then rotate it by rotary cultivator (model: IGQN-200K-QY, manufacturer: YTO Group Corporation, from Luoyang city, Henan Province, China) twice with a depth of 10–12 cm, seed with common seeder after forming the border check |
| RS | All the maize straw returned to the plot, apply base fertilizer, then rotate it with a rotary cultivator (model: IGQN-200K-QY, manufacturer: YTO Group Corporation, from Luoyang city, Henan Province, China) twice with a depth of 10–12 cm, seed with common seeder after forming the border check |
| DS | After crushing corn stalks and returning them to the field, apply base fertilizer, then deeply plow the soil to a 25 cm depth with a turnover plough (model: ILFQ330; manufacturer: Runlian S&T development Co., Ltd., from Ji’ning city, Shandong Province, China), and perform rotary tillage twice with a rotary cultivator (model: IGQN-200K-QY; manufacturer: YTO Group Corporation, from Luoyang city, Henan Province, China) with a depth of 10–12 cm, seed with common seeder after forming the border check |
| RS/DS | RS refers to the above in the first two seasons → DS refers to the above in the third season → RS refers to the above in the last two seasons |
| Soil Depth (cm) | Treats | Total SOC (t ha−1) | C Distribution in Aggregate (t ha−1) | ||||||
|---|---|---|---|---|---|---|---|---|---|
| >5 mm | 5–2 mm | 2–1 mm | 1–0.5 mm | 0.5–0.25 mm | <0.25 mm | >0.25 mm | |||
| 0–10 | IC | 7.47 c | 0.67 bc | 1.39 a | 1.51 b | 2.57 a | 1.32 b | 3.21 ab | 7.47 b |
| RT | 9.25 b | 0.51 c | 0.72 b | 1.32 b | 2.05 b | 1.11 c | 3.54 a | 5.71 c | |
| RS | 11.12 a | 0.85 ab | 1.40 a | 1.92 a | 2.38 ab | 1.39 b | 3.18 ab | 7.94 ab | |
| DS | 11.25 a | 0.65 bc | 1.44 a | 1.89 a | 2.74 a | 1.28 b | 3.24 ab | 8.00 ab | |
| RS/DS | 11.14 a | 0.93 a | 1.30 a | 1.97 a | 2.50 a | 1.70 a | 2.73 b | 8.41 a | |
| 10–20 | IC | 5.98 c | 0.52 cd | 1.02 c | 1.33 c | 2.12 a | 1.00 ab | 3.02 ab | 5.98 c |
| RT | 8.58 b | 0.43 d | 0.59 d | 1.23 c | 1.84 c | 1.12 a | 3.36 a | 5.22 d | |
| RS | 8.42 b | 0.87 a | 1.69 a | 1.62 b | 1.87 bc | 0.86 b | 1.51 c | 6.91 ab | |
| DS | 9.99 a | 0.67 b | 1.30 b | 2.15 a | 2.24 a | 0.85 b | 2.79 b | 7.20 a | |
| RS/DS | 9.74 a | 0.63 bc | 1.01 c | 1.64 b | 2.09 ab | 1.11 a | 3.25 ab | 6.49 bc | |
| 20–30 | IC | 5.00 d | 0.42 a | 0.96 b | 0.94 c | 1.81 ab | 0.87 c | 1.73 a | 5.00 cd |
| RT | 6.38 c | 0.22 b | 0.51 d | 0.88 c | 1.62 ab | 1.48 b | 1.67 a | 4.71 d | |
| RS | 6.60 bc | 0.25 b | 1.15 a | 1.23 b | 1.56 b | 1.06 c | 1.35 a | 5.25 c | |
| DS | 6.93 ab | 0.42 a | 0.60 c | 1.62 a | 1.84 a | 1.84 a | 0.60 b | 6.33 a | |
| RS/DS | 7.07 a | 0.37 a | 0.62 c | 1.76 a | 1.71 ab | 1.46 b | 1.15 ab | 5.92 b | |
| Soil Depth (cm) | Treats | TN (t ha−1) | N Distribution in Aggregate (t ha−1) | ||||||
|---|---|---|---|---|---|---|---|---|---|
| >5 mm | 5–2 mm | 2–1 mm | 1–0.5 mm | 0. 5–0.25 mm | <0.25 mm | >0.25 mm | |||
| 0–10 | IC | 1.53 b | 0.10 b | 0.19 a | 0.20 c | 0.34 b | 0.20 b | 0.50 a | 1.03 b |
| RT | 1.28 c | 0.08 b | 0.10 b | 0.18 c | 0.27 c | 0.18 b | 0.47 a | 0.81 c | |
| RS | 1.61 ab | 0.13 a | 0.20 a | 0.32 a | 0.39 ab | 0.25 a | 0.33 b | 1.28 a | |
| DS | 1.64 a | 0.09 b | 0.19 a | 0.27 b | 0.45 a | 0.21 b | 0.44 a | 1.21 a | |
| RS/DS | 1.65 a | 0.14 a | 0.20 a | 0.31 ab | 0.37 b | 0.24 a | 0.40 ab | 1.25 a | |
| 10–20 | IC | 1.38 c | 0.08 c | 0.15 c | 0.20 c | 0.30 bc | 0.16 ab | 0.49 ab | 0.89 b |
| RT | 1.23 d | 0.07 c | 0.10 d | 0.19 c | 0.29 c | 0.19 a | 0.39 b | 0.85 b | |
| RS | 1.48 bc | 0.12 a | 0.22 a | 0.24 b | 0.29 c | 0.16 ab | 0.44 ab | 1.03 a | |
| DS | 1.59 ab | 0.10 bc | 0.20 a | 0.31 a | 0.35 a | 0.14 b | 0.49 a | 1.09 a | |
| RS/DS | 1.62 a | 0.11 ab | 0.16 b | 0.27 b | 0.34 ab | 0.19 a | 0.55 a | 1.07 a | |
| 20–30 | IC | 0.99 b | 0.07 a | 0.15 b | 0.17 c | 0.30 a | 0.15 c | 0.15 c | 0.84 b |
| RT | 0.91 c | 0.03 d | 0.08 c | 0.14 d | 0.24 b | 0.21 b | 0.20 bc | 0.71 c | |
| RS | 1.03 b | 0.04 c | 0.17 a | 0.20 b | 0.23 b | 0.15 c | 0.23 b | 0.79 b | |
| DS | 1.29 a | 0.06 ab | 0.08 c | 0.22 b | 0.27 ab | 0.30 a | 0.37 a | 0.93 a | |
| RS/DS | 1.28 a | 0.05 bc | 0.09 c | 0.28 a | 0.29 a | 0.22 b | 0.35 a | 0.93 a | |
| Treats | Grain Yield (t ha−1) | ||||
|---|---|---|---|---|---|
| 2016–2017 | 2017–2018 | 2018–2019 | 2019–2020 | 2020–2021 | |
| RT | 7.52 b | 7.66 b | 7.27 c | 7.17 c | 7.04 c |
| RS | 8.48 a | 8.65 a | 8.04 b | 7.95 b | 7.89 b |
| DS | 8.19 a | 8.65 a | 8.88 a | 9.05 a | 9.25 a |
| RS/DS | 7.97 ab | 8.13 ab | 8.98 a | 8.99 a | 9.20 a |
| p-value | p (Y) | p (T) | p (Y × T) | ||
| 0.0001 | 0.0001 | 0.0001 | |||
Disclaimer/Publisher’s Note: The statements, opinions and data contained in all publications are solely those of the individual author(s) and contributor(s) and not of MDPI and/or the editor(s). MDPI and/or the editor(s) disclaim responsibility for any injury to people or property resulting from any ideas, methods, instructions or products referred to in the content. |
© 2024 by the authors. Licensee MDPI, Basel, Switzerland. This article is an open access article distributed under the terms and conditions of the Creative Commons Attribution (CC BY) license (https://creativecommons.org/licenses/by/4.0/).
Share and Cite
Tang, Y.; Cui, X.; Xu, H.; Peng, D.; Liang, B. Managing Residue Return Increases Soil Organic Carbon, Total Nitrogen in the Soil Aggregate, and the Grain Yield of Winter Wheat. Agronomy 2024, 14, 1584. https://doi.org/10.3390/agronomy14071584
Tang Y, Cui X, Xu H, Peng D, Liang B. Managing Residue Return Increases Soil Organic Carbon, Total Nitrogen in the Soil Aggregate, and the Grain Yield of Winter Wheat. Agronomy. 2024; 14(7):1584. https://doi.org/10.3390/agronomy14071584
Chicago/Turabian StyleTang, Yuhai, Xiangju Cui, Haicheng Xu, Dianliang Peng, and Bin Liang. 2024. "Managing Residue Return Increases Soil Organic Carbon, Total Nitrogen in the Soil Aggregate, and the Grain Yield of Winter Wheat" Agronomy 14, no. 7: 1584. https://doi.org/10.3390/agronomy14071584
APA StyleTang, Y., Cui, X., Xu, H., Peng, D., & Liang, B. (2024). Managing Residue Return Increases Soil Organic Carbon, Total Nitrogen in the Soil Aggregate, and the Grain Yield of Winter Wheat. Agronomy, 14(7), 1584. https://doi.org/10.3390/agronomy14071584
