Biochar Co-Compost: A Promising Soil Amendment to Restrain Greenhouse Gases and Improve Rice Productivity and Soil Fertility
Abstract
1. Introduction
2. Materials and Methods
2.1. Experimental Details
2.2. Preparation of Biochar and Biochar Co-Compost
2.3. Soil Incubation Experiment, Gases’ Sampling, and Analysis
2.4. Determination of Soil Properties, Genes, Abundance, and Microbial Activities
2.5. Pot Experiment
2.6. Statistical Analysis
3. Results
3.1. Effect of BC, Compost, and BCC on Soil pH and Nitrogen Dynamics
3.2. Effect of BC, Compost, and BCC on Fluxes of GHG Emissions
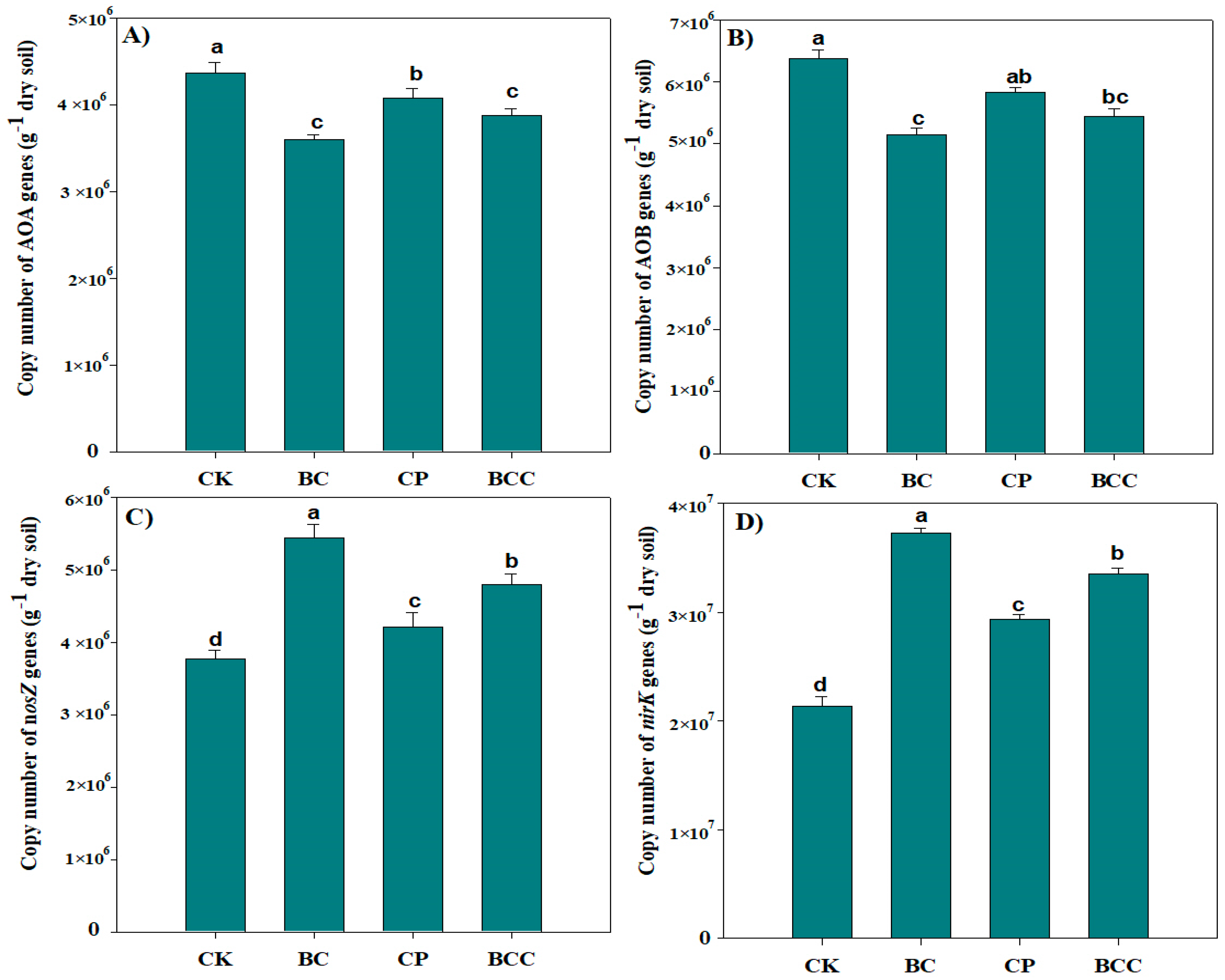
3.3. Effect of BC, Compost, and BCC on Soil Nutrients, Gene Abundance, and Microbial Activities
3.4. Rice Growth and Yield Characteristics
4. Discussion
5. Conclusions
Author Contributions
Funding
Data Availability Statement
Conflicts of Interest
References
- Crippa, M.; Solazzo, E.; Guizzardi, D.; Monforti-Ferrario, F.; Tubiello, F.N.; Leip, A. Food systems are responsible for a third of global anthropogenic GHG emissions. Nat. Food 2021, 2, 198–209. [Google Scholar] [CrossRef] [PubMed]
- IPCC. Climate Change 2014: Synthesis Report. In Contribution of Working Groups I, II and III to the Fifth Assessment Report of the Intergovernmental Panel on Climate Change; Core Writing Team, Pachauri, R.K., Meyer, L.A., Eds.; IPCC: Geneva, Switzerland, 2014; Volume 2. [Google Scholar]
- Tian, H.; Lu, C.; Ciais, P.; Michalak, A.M.; Canadell, J.G.; Saikawa, E.; Huntzinger, D.N.; Gurney, K.R.; Sitch, S.; Zhang, B. The terrestrial biosphere as a net source of greenhouse gases to the atmosphere. Nature 2016, 531, 225–228. [Google Scholar] [CrossRef] [PubMed]
- Yeboah, S.; Lamptey, S.; Cai, L.; Song, M. Short-term effects of biochar amendment on greenhouse gas emissions from rainfed agricultural soils of the semi–arid loess plateau region. Agron 2018, 8, 74. [Google Scholar] [CrossRef]
- Li, L.; Zhang, Y.; Zhou, T.; Wang, K.; Wang, C.; Wang, T.; Yuan, L.; An, K.; Zhou, C.; Lu, G. Mitigation of China’s carbon neutrality to global warming. Nat. Commun. 2022, 13, 5315. [Google Scholar] [CrossRef] [PubMed]
- Wu, M.; Su, Q.; Song, Z.; Jiang, H.; Li, Y.; Wei, X.; Cui, J.; Yang, M.; Wu, Z. Effects of Water–Nitrogen Interaction Coupled with Straw Addition on Rice Paddy Field Grain Yield and Greenhouse Gas Emissions. Int. J. Plant Prod. 2022, 16, 275–285. [Google Scholar] [CrossRef]
- Wang, H.; Yang, T.; Chen, J.; Bell, S.M.; Wu, S.; Jiang, Y.; Sun, Y.; Zeng, Y.; Zeng, Y.; Pan, X.; et al. Effects of free-air temperature increase on grain yield and greenhouse gas emissions in a double rice cropping system. Field Crops Res. 2022, 281, 108489. [Google Scholar] [CrossRef]
- Ashiq, W.; Nadeem, M.; Ali, W.; Zaeem, M.; Wu, J.; Galagedara, L.; Cheema, M. Biochar amendment mitigates greenhouse gases emission and global warming potential in dairy manure-based silage corn in boreal climate. Environ. Pollut. 2020, 265, 114869. [Google Scholar] [CrossRef] [PubMed]
- Liang, H.; Xu, J.; Hou, H.; Qi, Z.; Yang, S.; Li, Y.; Hu, K. Modeling CH4 and N2O emissions for continuous and noncontinuous flooding rice systems. Agric. Syst. 2022, 203, 103528. [Google Scholar] [CrossRef]
- Sanderman, J.; Hengl, T.; Fiske, G.J. Soil carbon debt of 12,000years of human land use. Proc. Natl. Acad. Sci. USA 2017, 114, 9575–9580. [Google Scholar] [CrossRef]
- Lal, R. Restoring soil quality to mitigate soil degradation. Sustainability 2015, 7, 5875–5895. [Google Scholar] [CrossRef]
- Minasny, B.; Malone, B.P.; McBratney, A.B.; Angers, D.A.; Arrouays, D.; Chambers, A.; Chaplot, V.; Chen, Z.S.; Cheng, K.; Das, B.S.; et al. Soil carbon 4 per mille. Geoderma 2017, 292, 59–86. [Google Scholar] [CrossRef]
- Lehmann, J.; Cowie, A.; Masiello, C.A.; Kammann, C.; Woolf, D.; Amonette, J.E. Biochar in Climate Change Mitigation. Nat. Geosci. 2021, 14, 883–892. [Google Scholar] [CrossRef]
- Roe, S.; Streck, C.; Beach, R.; Busch, J.; Chapman, M.; Daioglou, V. Land-based Measures to Mitigate Climate Change: Potential and Feasibility by Country. Glob. Change Biol. 2021, 27, 6025–6058. [Google Scholar] [CrossRef]
- Zhang, X.; Zhang, P.; Yuan, X.; Li, Y.; Han, L. Effect of Pyrolysis Temperature and Correlation Analysis on the Yield and Physicochemical Properties of Crop Residue Biochar. Bioresour. Technol. 2020, 296, 122318. [Google Scholar] [CrossRef]
- Joseph, S.; Cowie, A.L.; Van Zwieten, L.; Bolan, N.; Budai, A.; Buss, W. How Biochar Works, and when it Doesn’t: A Review of Mechanisms Controlling Soil and Plant Responses to Biochar. Glob. Change Biol. Bioenergy 2021, 13, 1731–1764. [Google Scholar] [CrossRef]
- He, Y.; Zhou, X.; Jiang, L.; Li, M.; Du, Z.; Zhou, G. Effects of Biochar Application on Soil Greenhouse Gas Fluxes: A Meta-Analysis. Glob. Change Biol. Bioenergy 2017, 9, 743–755. [Google Scholar] [CrossRef]
- Aamer, M.; Shaaban, M.; Hassan, M.U.; Guoqin, H.; Ying, L.; Ying, T.H.; Rasul, F.; Qiaoying, M.; Zhuanling, L.; Rasheed, A.; et al. Biochar mitigates the N2O emissions from acidic soil by increasing the nosZ and nirK gene abundance and soil pH. J. Environ. Manag. 2010, 255, 109891. [Google Scholar] [CrossRef]
- Zhang, A.; Bian, R.; Pan, G.; Cui, L.; Hussain, Q.; Li, L.; Zheng, J.; Zhang, X.; Han, X.; Yu, X. Effects of biochar amendment on soil quality, crop yield and greenhouse gas emission in a Chinese rice paddy: A field study of 2 consecutive rice growing cycles. Field Crops Res. 2012, 127, 153–160. [Google Scholar] [CrossRef]
- Walters, R.D.; White, J.G. Biochar in situ decreased bulk density and improved soil-water relations and indicators in Southeastern US Coastal Plain Ultisols. Soil Sci. 2018, 183, 99–111. [Google Scholar] [CrossRef]
- Blanco-Canqui, H. Does biochar application alleviate soil compaction? Review and data synthesis. Geoderma 2021, 404, 115317. [Google Scholar] [CrossRef]
- Pan, S.-Y.; Dong, C.-D.; Su, J.-F.; Wang, P.-Y.; Chen, C.-W.; Chang, J.-S.; Kim, H.; Huang, C.-P.; Hung, C.-M. The role of biochar in regulating the carbon, phosphorus, and nitrogen cycles exemplified by soil systems. Sustainability 2021, 13, 5612. [Google Scholar] [CrossRef]
- Javeed, H.M.R.; Ali, M.; Ahmed, I.; Wang, X.; Al-Ashkar, I.; Qamar, R.; Ibrahim, A.; Habib-Ur-Rahman, M.; Ditta, A.; Sabagh, A.E. Biochar enriched with buffalo slurry improved soil nitrogen and carbon dynamics, nutrient uptake, and growth attributes of wheat by reducing leaching losses of nutrients. Land 2021, 10, 1392. [Google Scholar] [CrossRef]
- Šimanský, V.; Horák, J.; Bordoloi, S. Improving the soil physical properties and relationships between soil properties in arable soils of contrasting texture enhancement using biochar substrates: Case study in Slovakia. Geoderma Reg. 2022, 28, e00443. [Google Scholar] [CrossRef]
- Cornelissen, G.; Rutherford, D.W.; Arp, H.P.; D€orsch, P.; Kelly, C.N.; Rostad, C.E. Sorption of pure N 2 O to biochar’s and other organic and inorganic materials under anhydrous conditions. Environ. Sci. Technol. 2013, 47, 7704–7712. [Google Scholar] [CrossRef]
- Wang, J.; Pan, X.; Liu, Y.; Zhang, X.; Xiong, Z. Effects of biochar amendment in two soils on greenhouse gas emissions and crop production. Plant Soil 2021, 360, 287–298. [Google Scholar] [CrossRef]
- Stavkova, J.; Maroušek, J. Novel sorbent shows promising financial results on P recovery from sludge water. Chemosphere 2021, 276, 130097. [Google Scholar] [CrossRef] [PubMed]
- Bai, S.H.; Reverchon, F.; Xu, C.Y.; Xu, Z.; Blumfield, T.J.; Zhao, H.; Van Zwieten, L.; Wallace, H.M. Wood Biochar Increases Nitrogen Retention in Field Settings Mainly through Abiotic Processes. Soil Biol. Biochem. 2015, 90, 232–240. [Google Scholar] [CrossRef]
- Van Zwieten, L.; Kimber, S.; Morris, S.; Downie, A.; Berger, E.; Rust, J.; Scheer, C. Influence of biochars on flux of N2O and CO2 from Ferrosol. Soil Res. 2010, 48, 555–568. [Google Scholar] [CrossRef]
- Li, W.; Xie, H.; Ren, Z.; Li, T.; Wen, X.; Han, J.; Liao, Y. Response of N2O emissions to N fertilizer reduction combined with biochar application in a rain-fed winter wheat ecosystem. Agric. Ecosys. Environ. 2022, 333, 107968. [Google Scholar] [CrossRef]
- Harrison, B.P.; Moo, Z.; Perez-Agredano, E.; Gao, S.; Zhang, X.; Ryals, R. Biochar-composting substantially reduces methane and air pollutant emissions from dairy manure. Environ. Res. Lett. 2024, 19, 014081. [Google Scholar] [CrossRef]
- Wang, Y.; Villamil, M.B.; Davidson, P.C.; Akdeniz, N. A quantitative understanding of the role of co-composted biochar in plant growth using meta-analysis. Sci. Total Environ. 2019, 685, 741–752. [Google Scholar] [CrossRef] [PubMed]
- Yuan, Y.; Chen, H.; Yuan, W.; Williams, D.; Walker, J.T.; Shi, W. Is biochar-manure co-compost a better solution for soil health improvement and N2O emissions mitigation? Soil biol. Biochem. 2017, 113, 14–25. [Google Scholar] [CrossRef] [PubMed]
- Pandit, N.R.; Schmidt, H.P.; Mulder, J.; Hale, S.E.; Husson, O.; Cornelissen, G. Nutrient effect of various composting methods with and without biochar on soil fertility and maize growth. Arch. Agron. Soil Sci. 2020, 66, 250–265. [Google Scholar] [CrossRef]
- Archanjo, B.S.; Mendoza, M.E.; Albu, M.; Mitchell, D.R.G.; Hagemann, N.; Mayrhofer, C.; Mai, T.L.A.; Weng, Z.; Kappler, A.; Behrens, S.; et al. Nanoscale analyses of the surface structure and composition of biochars extracted from field trials or after co-composting using advanced analytical electron microscopy. Geoderma 2017, 294, 70–79. [Google Scholar] [CrossRef]
- Harrison, B.P.; Gao, S.; Gonzales, M.; Thao, T.; Bischak, E.; Ghezzehei, T.A.; Berhe, A.A.; Diaz, G.; Ryals, R.A. Dairy manure co-composting with wood biochar plays a critical role in meeting global methane goals. Environ. Sci. Technol. 2022, 56, 10987–10996. [Google Scholar] [CrossRef] [PubMed]
- Bo, X.; Zhang, Z.; Wang, J.; Guo, S.; Li, Z.; Lin, H.; Huang, Y.; Han, Z.; Kuzyakov, Y.; Zou, J. Benefits and limitations of biochar for climate-smart agriculture: A review and case study from China. Biochar 2023, 5, 77. [Google Scholar] [CrossRef]
- Lehmann, J.; Abiven, S.; Kleber, M. Persistence of biochar in soil Johannes. Biochar Environ. Manag. Sci. Technol. 2014, 2, 233–280. [Google Scholar]
- Qi, L.; Niu, H.D.; Zhou, P.; Jia, R.J.; Gao, M. Effects of biochar on the net greenhouse gas emissions under continuous flooding and water-saving irrigation conditions in paddy soils. Sustainability 2018, 10, 1403. [Google Scholar] [CrossRef]
- Yang, X.; Sun, Q.; Yuan, J.; Fu, S.; Lan, Y.; Jiang, X.; Meng, J.; Han, X.; Chen, W. Successive corn stover and biochar applications mitigate N2O emissions by altering soil physicochemical properties and N-cycling-related enzyme activities: A five-year field study in Northeast China. Agric. Ecosys. Environ. 2022, 340, 108183. [Google Scholar] [CrossRef]
- Zhou, J.; Zhang, S.; Lv, J.; Tang, C.; Zhang, H.; Fang, Y.; Tavakkoli, E.; Ge, T.; Luo, Y.; Cai, Y.; et al. Maize straw increases while its biochar decreases native organic carbon mineralization in a subtropical forest soil. Sci. Total Environ. 2024, 939, 173606. [Google Scholar] [CrossRef]
- Steiner, C.; Sánchez- Monedero, M.A.; Kammann, C. Biochar as an additive to compost and growing media. In Biochar for Environmental Management; Routledge: Abingdon, UK, 2015; pp. 749–768. [Google Scholar]
- Sanchez-Monedero, M.A.; Cayuela, M.L.; Roig, A.; Jindo, K.; Mondini, C.; Bolan, N. Role of biochar as an additive in organic waste composting. Bioresour. Technol. 2018, 247, 1155–1164. [Google Scholar] [CrossRef] [PubMed]
- Dume, B.; Berecha, G.; Tulu, S. Characterization of biochar produced at different temperatures and its effect on acidic nitosol of Jimma, Southwest Ethiopia. Intern. J. Soil Sci. 2015, 10, 63. [Google Scholar] [CrossRef]
- Haider, F.U.; Farooq, M.; Naveed, M.; Cheema, S.A.; Ain, N.U.; Salim, M.A.; Liqun, C.; Mustafa, A. Influence of biochar and microorganism co-application on stabilization of cadmium (Cd) and improved maize growth in Cd-contaminated soil. Front. Plant Sci. 2022, 13, 983830. [Google Scholar] [CrossRef] [PubMed]
- Deng, B.L.; Li, Z.Z.; Zhang, L.; Ma, Y.C.; Li, Z.; Zhang, W.Y.; Guo, X.M.; Niu, D.K.; Siemann, E. Increases in soil CO2 and N2O emissions with warming depend on plant species in restored alpine meadows of Wugong Mountain, China. J. Soils Sediments 2016, 16, 777–784. [Google Scholar] [CrossRef]
- Olsen, S.; Sommers, L.; Page, A. Methods of soil analysis: Part 2 chemical and microbiological properties of phosphorus. In ASA Monograph 9; Wiley: New York, NY, USA, 1982; pp. 403–430. [Google Scholar]
- Helmke, P.A.; Sparks, D.L. Lithium, sodium, potassium, rubidium, and cesium. In Methods of Soil Analysis: Part 3 Book Series No. 5. Soil Science Society of America; Madison, Ed.; Wiley: New York, NY, USA, 1996; pp. 551–573. [Google Scholar]
- Bao, S.D. Soil Agricultural Chemical Analysis; China Agricultural Press: Beijing, China, 2000; pp. 265–267. [Google Scholar]
- Bhaduri, D.; Saha, A.; Desai, D.; Meena, H.N. Restoration of carbon and microbial activity in salt-induced soil by application of peanut shell biochar during short-term incubation study. Chemosphere 2016, 148, 86–98. [Google Scholar] [CrossRef] [PubMed]
- Jorge-Mardomingo, I.; Soler-Rovira, P.; Casermeiro, M.Á.; de la Cruz, M.T.; Polo, A. Seasonal changes in microbial activity in a semiarid soil after application of a high dose of different organic amendments. Geoderma 2013, 206, 40–48. [Google Scholar] [CrossRef]
- Tu, C.; Guan, F.; Sun, Y.H.; Guo, P.P.; Liu, Y.; Li, L.Z.; Scheckel, K.G.; Luo, Y.M. 2018a. Stabilizing effects on a Cd polluted coastal wetland soil using calcium polysulphide. Geoderma 2018, 332, 190–197. [Google Scholar] [CrossRef]
- Feng, Z.; Sheng, Y.; Cai, F.; Wang, W.; Zhu, L. Separated pathways for biochar to affect soil N2O emission under different moisture contents. Sci. Total Environ. 2018, 645, 887–894. [Google Scholar] [CrossRef] [PubMed]
- Yuan, J.H.; Xu, R.K. The amelioration effect of low temperature biochar generated from nine crop residues on an acidic Ultisol. Soil Use Manag. 2011, 27, 110–115. [Google Scholar] [CrossRef]
- Wu, H.; Hu, J.; Shaaban, M.; Xu, P.; Zhao, J.; Hu, R. The effect of dolomite amendment on soil organic carbon mineralization is determined by the dolomite size. Ecol. Process. 2021, 10, 8. [Google Scholar] [CrossRef]
- Shaaban, M.; Wu, L.; Peng, Q.A.; Van Zwieten, L.; Chhajro, M.A.; Wu, Y.; Lin, S.; Ahmed, M.M.; Khalid, M.S.; Abid, M.; et al. Influence of ameliorating soil acidity with dolomite on the priming of soil C content and CO2 emission. Environ. Sci. Poll. Res. 2017, 24, 9241–9250. [Google Scholar] [CrossRef] [PubMed]
- Dai, Z.M.; Zhang, X.J.; Tang, C.; Muhammad, N.; Wu, J.J.; Brookes, P.C.; Xu, J.M. Potential role of biochar’s in decreasing soil acidification; critical review. Sci. Tot. Environ. 2017, 581, 601–611. [Google Scholar] [CrossRef] [PubMed]
- Gao, S.; DeLuca, T.H. Rangeland application of biochar and rotational grazing interact to influence soil and plant nutrient dynamics. Geoderma 2022, 408, 115572. [Google Scholar] [CrossRef]
- Cooper, J.; Greenberg, I.; Ludwig, B.; Hippich, L.; Fischer, D.; Glaser, B.; Kaiser, M. Effect of biochar and compost on soil properties and organic matter in aggregate size fractions under field conditions. Agric. Ecosyst. Environ. 2020, 295, 106882. [Google Scholar] [CrossRef]
- Majumder, S.; Neogi, S.; Dutta, T.; Powel, M.A.; Banik, P. The impact of biochar on soil carbon sequestration: Meta- analytical approach to evaluating environmental and economic advantages. J. Environ. Manag. 2019, 250, 109466. [Google Scholar] [CrossRef]
- Yang, C.; Lu, S. Straw and straw biochar differently affect phosphorus availability, enzyme activity and microbial functional genes in an Ultisol. Sci. Total Environ. 2022, 805, 150325. [Google Scholar] [CrossRef]
- Gross, C.D.; Bork, E.W.; Carlyle, C.N.; Chang, S.X. Biochar and its manure- based feedstock have divergent effects on soil organic carbon and greenhouse gas emissions in crop lands. Sci. Total Environ. 2022, 806, 151337. [Google Scholar] [CrossRef]
- Iovieno, P.; Morra, L.; Leone, A.; Pagano, L.; Alfani, A. Effect of organic and mineral fertilizers on soil respiration and enzyme activities of two Mediterranean horticultural soils. Biol. Fertil. Soils 2009, 45, 555–561. [Google Scholar] [CrossRef]
- Liao, C.-S.; Xie, Z.-H.; Jien, S.-H. Decomposition and Nutrient Releasing of Biochar Compound Materials in Soil with Different Textures. Processes 2021, 9, 1521. [Google Scholar] [CrossRef]
- Ferry, Y.; Herman, M.; Tarigan, E.B.; Pranowo, D. Improvements of soil quality and cocoa productivity with agricultural waste biochar. IOP Conf. Ser. Earth Environ. Sci. 2022, 974, 012045. [Google Scholar]
- Shakoor, A.; Arif, M.S.; Shahzad, S.M.; Farooq, T.H.; Ashraf, F.; Altaf, M.M.; Ahmed, W.; Tufail, M.A.; Ashraf, M. Does biochar accelerate the mitigation of greenhouse gaseous emissions from agricultural soil?—A global meta-analysis. Environ. Res. 2021, 202, 111789. [Google Scholar] [CrossRef] [PubMed]
- Kästner, M.; Miltner, A.; Thiele-Bruhn, S.; Liang, C. Microbial Necromass in soils— Linking microbes to soil pro cesses and carbon turnover. Front. Environ. Sci. 2021, 9, 597. [Google Scholar] [CrossRef]
- Lalande, R.; Gagnon, B.; Royer, I. Impact of natural or industrial liming materials on soil properties and microbial activity. Can. J. Soil Sci. 2009, 89, 209–222. [Google Scholar] [CrossRef]
- Steudler, P.; Jones, R.; Castro, M.; Melillo, J.; Lewis, D. Microbial controls of methane oxidation in temperate forest and agricultural soils. Nato ASI Series Gob. Environ. Change 1996, 39, 69–84. [Google Scholar]
- Zhang, S.; Fang, Y.; Luo, Y.; Li, Y.; Ge, T.; Wang, Y.; Wang, H.; Yu, B.; Song, X.; Chen, J. Linking soil carbon availability, microbial community composition and enzyme activities to organic carbon mineralization of a bamboo forest soil amended with pyrogenic and fresh organic matter. Sci. Total Environ. 2021, 801, 149717. [Google Scholar] [CrossRef] [PubMed]
- Sadasivam, B.Y.; Reddy, K.R. Adsorption and transport of methane in landfill cover soil amended with waste-wood biochar’s. J. Environ. Manag. 2015, 158, 11–23. [Google Scholar] [CrossRef]
- Chen, D.; Wang, C.; Shen, J.L.; Li, Y.; Wu, J.S. Response of CH4 emissions to straw and biochar applications in double-rice cropping systems: Insights from observations and modeling. Environ. Pollut. 2018, 235, 95–103. [Google Scholar] [CrossRef]
- Feng, Y.; Xu, Y.; Yu, Y.; Xie, Z.; Lin, X. Mechanisms of biochar decreasing methane emission from Chinese paddy soils. Soil Biol. Biochem. 2011, 46, 80–88. [Google Scholar] [CrossRef]
- Liu, Y.; Tang, H.; Muhammad, A.; Huang, G. Emission mechanism and reduction countermeasures of agricultural greenhouse gases—A review. Greenh. Gases Sci. Technol. 2019, 9, 160–174. [Google Scholar] [CrossRef]
- Wang, H.; Yi, H.; Zhang, X.; Su, W.; Li, X.; Zhang, Y.; Gao, X. Biochar Mitigates Greenhouse Gas Emissions from an Acidic Tea Soil. Pol. J. Environ. Stud. 2020, 29, 323–330. [Google Scholar] [CrossRef]
- Ntacyabukura, T.; Uwiringiyimana, E.; Zhou, M.; Zhang, B.; Zhu, B.; Harerimana, B.; Nambajimana, J.D.; Nsabimana, G.; Nsengumuremyi, P. Effect of Biochar and Straw Application on Nitrous Oxide and Methane Emissions from Eutric Regosols with Different pH in Sichuan Basin: A Mesocosm Study. Atmosphere 2021, 12, 729. [Google Scholar] [CrossRef]
- Aamer, M.; Bilal Chattha, M.; Mahmood, A.; Naqve, M.; Hassan, M.U.; Shaaban, M.; Rasul, F.; Batool, M.; Rasheed, A.; Tang, H. Rice residue-based biochar mitigates N2O emission from acid red soil. Agron 2021, 11, 2462. [Google Scholar] [CrossRef]
- Wu, D.; Senbayram, M.; Zang, H.; Ugurlar, F.; Aydemir, S.; Brüggemann, N.; Kuzyakov, Y.; Bol, R.; Blagodatskaya, E. Effect of biochar origin and soil pH on greenhouse gas emissions from sandy and clay soils. Appl. Soil Ecol. 2018, 129, 121–127. [Google Scholar] [CrossRef]
- Lan, Z.M.; Chen, C.R.; Rashti, M.R.; Yang, H.; Zhang, D.K. Stoichiometric ratio of dissolved organic carbon to nitrate regulates nitrous oxide emission from the biochar-amended soils. Sci. Total Environ. 2017, 576, 559–571. [Google Scholar] [CrossRef] [PubMed]
- Bakken, L.R.; Bergaust, L.; Liu, B.B.; Frostegard, A. Regulation of denitrification at the cellular level: A clue to the understanding of N2O emissions from soils. Philos. Trans. R. Soc. B Biol. Sci. 2012, 367, 1226–1234. [Google Scholar] [CrossRef] [PubMed]
- Obia, A.; Cornelissen, G.; Mulder, J.; Dorsch, P. Effect of soil pH increase by biochar on NO, N2O and N2 production during denitrification in acid soils. PLoS ONE 2015, 10, e0138781. [Google Scholar] [CrossRef]
- Song, Y.; Zhang, X.; Ma, B.; Chang, S.X.; Gong, J. Biochar addition affected the dynamics of ammonia oxidizers and nitrification in microcosms of a coastal alkaline soil. Biol. Ferti. Soils. 2014, 50, 321–332. [Google Scholar] [CrossRef]
- Ye, L.; Zhang, T. Ammonia-oxidizing bacteria dominates over ammonia-oxidizing archaea in a saline nitrification reactor under low DO and high nitrogen loading. Biotechnol. Bioeng. 2011, 108, 2544–2552. [Google Scholar] [CrossRef] [PubMed]
- Shi, Y.; Liu, X.; Zhang, Q. Effects of combined biochar and organic fertilizer on nitrous oxide fluxes and the related nitrifier and denitrifier communities in a saline-alkali soil. Sci. Total Environ. 2019, 686, 199–211. [Google Scholar] [CrossRef]
- Wu, Z.; Zhang, Q.; Zhang, X.; Duan, P.; Yan, X.; Xiong, Z. Biochar-enriched soil mitigated N2O and NO emissions similarly as fresh biochar for wheat production. Sci. Total Environ. 2020, 701, 134943. [Google Scholar] [CrossRef]
- Wei, X.M.; Hu, Y.J.; Peng, P.Q.; Zhu, Z.K.; Atere, C.T.; O’Donnell, A.G.; Wu, J.S.; Ge, T. Effect of P stoichiometry on the abundance of nitrogen-cycle genes in phosphorus-limited paddy soil. Biol. Fertil. Soils 2017, 53, 767–776. [Google Scholar] [CrossRef]
- Lashari, M.S.; Liu, Y.; Li, L.; Pan, W.; Fu, J.; Pan, G.; Zheng, J.; Zheng, J.; Zhang, X.; Yu, X. Effects of amendment of biochar- manure compost in conjunction with pyroligneous solution on soil quality and wheat yield of a salt- stressed cropland from Central China great plain. Field Crops Res. 2013, 144, 113–118. [Google Scholar] [CrossRef]
- Qayyum, M.F.; Liaquat, F.; Rehman, R.A.; Gul, M.; ul Hye, M.Z.; Rizwan, M.; ur Rehaman, M.Z. Effects of co- composting of farm manure and biochar on plant growth and carbon mineralization in an alkaline soil. Environ. Sci. Pollut. Res. 2017, 24, 26060–26068. [Google Scholar] [CrossRef]
- Antonangelo, J.A.; Sun, X.; Zhang, H. The roles of co- composted biochar (COMBI) in improving soil quality, crop productivity, and toxic metal amelioration. J. Environ. Manag. 2021, 277, 111443. [Google Scholar] [CrossRef] [PubMed]
- Pandit, N.R.; Mulder, J.; Hale, S.E.; Martinsen, V.; Schmidt, H.P.; Cornelissen, G. Biochar Improves Maize Growth by Alleviation of Nutrient Stress in a Moderately Acidic Low-Input Nepalese Soil. Sci. Total Environ. 2018, 625, 1380–1389. [Google Scholar] [CrossRef] [PubMed]
- Ghorbani, M.; Neugschwandtner, R.W.; Konvalina, P.; Asadi, H.; Kopecký, M.; Amirahmadi, E. 2023. Comparative effects of biochar and compost applications on water holding capacity and crop yield of rice under evaporation stress: A two-years field study. Paddy Water Environ. 2023, 21, 47–58. [Google Scholar] [CrossRef]
- Zhang, Q.; Zhang, X.; Duan, P.; Jiang, X.; Shen, H.; Yan, X. The Effect of Long-Term Biochar Amendment on N2O Emissions: Experiments with N15-O18 Isotopes Combined with Specific Inhibition Approaches. Sci. Total Environ. 2021, 769, 144533. [Google Scholar] [CrossRef] [PubMed]
- Xia, H.; Riaz, M.; Liu, B.; Li, Y.; El-Desouki, Z.; Jiang, C. Over two years study: Peanut biochar promoted potassium availability by mediating the relationship between bacterial community and soil properties. Appl. Soil Ecol. 2022, 176, 104485. [Google Scholar] [CrossRef]
- Lei, L.S.; Gu, J.; Wang, X.J.; Song, Z.L.; Yu, J.; Wang, J.; Dai, X.X.; Zhao, W.Y. Effects of phosphogypsum and medical stone on nitrogen transformation, nitrogen functional genes, and bacterial community during aerobic composting. Sci. Total Environ. 2021, 753, 141746. [Google Scholar] [CrossRef]
- Xue, S.D.; Zhou, L.N.; Zhong, M.Z.; Awasthi, M.K.; Mao, H. Bacterial agents affected bacterial community structure to mitigate greenhouse gas emissions during sewage sludge composting. Bioresour. Technol. 2021, 337, 125397. [Google Scholar] [CrossRef]
- Fierer, N.; Bradford, M.A.; Jackson, R.B. Toward an ecological classification of soil bacteria. Ecology 2007, 88, 1354–1364. [Google Scholar] [CrossRef] [PubMed]
- Zhang, L.; Jing, Y.; Xiang, Y.; Zhang, R.; Lu, H. Responses of soil microbial community structure changes and activities to biochar addition: A meta-analysis. Sci. Total Environ. 2018, 643, 926–935. [Google Scholar] [CrossRef] [PubMed]
- Pokharel, P.; Ma, Z.; Chang, S.X. Biochar increases soil microbial biomass with changes in extra-and intracellular enzyme activities: A global meta-analysis. Biochar 2020, 2, 65–79. [Google Scholar] [CrossRef]






| Treatments | Time | ||||||||
|---|---|---|---|---|---|---|---|---|---|
| Day 0 | Day 1 | Day 10 | Day 20 | Day 30 | Day 45 | Day 60 | Day 75 | Day 90 | |
| Soil pH | |||||||||
| Control | 5.381b | 5.403c | 5.443d | 5.433d | 5.387c | 5.328d | 5.373c | 5.318d | 5.303d |
| BC | 5.393ab | 5.497ab | 6.012a | 6.240a | 6.503a | 6.219a | 6.120a | 5.993a | 5.860a |
| CP | 5.393ab | 5.443bc | 5.762c | 5.880c | 6.132b | 5.920c | 5.880b | 5.650c | 5.400c |
| BCC | 5.400a | 5.480a | 5.924b | 6.00b | 6.410a | 6.060b | 5.902b | 5.737b | 5.618b |
| NH4+-N | |||||||||
| Control | 23.283a | 25.330a | 28.667a | 27.260a | 31.200a | 35.700a | 33.567a | 32.967a | 29.434a |
| BC | 23.233a | 24.200a | 25.742c | 24.767b | 25.860c | 29.033c | 27.833c | 26.870c | 25.000b |
| CP | 23.267a | 24.713a | 27.700ab | 26.707a | 28.267b | 34.270a | 32.168a | 30.700b | 28.600a |
| BCC | 23.387a | 24.337a | 26.200bc | 25.693ab | 27.328bc | 31.300b | 30.200b | 28.169c | 25.467b |
| NO3−-N (mg kg−1) | |||||||||
| Control | 32.230a | 33.067c | 35.037bc | 35.233c | 40.167c | 42.730c | 38.667b | 34.833c | 35.167a |
| BC | 32.230a | 34.633b | 37.033b | 37.680ab | 43.200b | 46.067ab | 40.667ab | 35.700b | 35.700a |
| CP | 32.430a | 33.400bc | 35.200c | 35.967bc | 41.034bc | 44.833bc | 38.932b | 35.367b | 35.367a |
| BCC | 33.230a | 35.967a | 39.333a | 38.977a | 46.367a | 47.967a | 42.067a | 36.500a | 36.500a |
| Treatments | Soil pH | Available Phosphorus (mg kg−1) | Available Potassium (mg kg−1) | Total Nitrogen (g kg−1) | Soil Organic Carbon (mg kg−1) | Soil Microbial Biomass Carbon (mg kg−1) | Urease Activity (mg NH4+-N g−1 day−1) | Catalase (1 µmol H2O2 g−1 day−1) |
|---|---|---|---|---|---|---|---|---|
| Control | 5.390d | 12.830d | 59.607d | 0.660c | 12.493c | 297.322c | 0.343c | 9.900c |
| BC | 5.820a | 20.473b | 78.632b | 0.790b | 19.230a | 385.000b | 0.474b | 15.530ab |
| CP | 5.557c | 17.177c | 70.600c | 0.827b | 14.892b | 312.394c | 0.437b | 13.568b |
| BCC | 5.702b | 23.267a | 86.000a | 1.040a | 17.307a | 412.667a | 0.550a | 17.730a |
| Treatments | RL (cm) | RFW (g) | RDW (g) | PH (cm) | TPP | PL (cm) | KPP | TKW (g) | KY/Pot (g) | BY/Pot (g) | HI (%) | AK (%) | SK (%) |
|---|---|---|---|---|---|---|---|---|---|---|---|---|---|
| Control | 44.367c ± 0.50 | 8.033c ± 0.07 | 4.030c ± 0.045 | 63b ± 0.71 | 7.00a ± 0.47 | 10.640d ± 0.067 | 56.667c ± 0.98 | 2.130d ± 0.163 | 20.300b ± 0.47 | 47.300b ± 0.90 | 42.907c ± 0.26 | 9.000a ± 0.47 | 12.666a ± 0.27 |
| BC | 52.400b ± 0.43 | 10.400a ± 0.33 | 4.970b ± 0.063 | 74a ± 2.06 | 7.33a ± 0.27 | 12.540b ± 0.167 | 70.000ab ± 1.24 | 2.783b ± 0.222 | 27.410a ± 0.30 | 58.733a ± 0.39 | 46.669ab ± 0.80 | 5.669b ± 0.28 | 10.000bc ± 0.47 |
| CP | 47.433bc ± 1.23 | 9.053bc ± 0.25 | 4.590b ± 0.075 | 65b ± 0.72 | 7.33a ± 0.27 | 11.367c ± 0.098 | 63.000bc ± 1.25 | 2.456c ± 0.042 | 22.233b ± 0.16 | 50.900b ± 0.29 | 43.691bc ± 0.69 | 7.668a ± 0.27 | 10.670ab ± 0.55 |
| BCC | 58.267a ± 1.23 | 12.230a ± 0.47 | 5.440a ± 0.123 | 75a ± 1.68 | 8.67a ± 0.54 | 14.447a ± 0.162 | 75.668a ± 1.65 | 3.138a ± 0.017 | 29.967a ± 0.64 | 62.240a ± 1.43 | 48.158a ± 0.18 | 4.667b ± 0.27 | 8.333c ± 0.27 |
Disclaimer/Publisher’s Note: The statements, opinions and data contained in all publications are solely those of the individual author(s) and contributor(s) and not of MDPI and/or the editor(s). MDPI and/or the editor(s) disclaim responsibility for any injury to people or property resulting from any ideas, methods, instructions or products referred to in the content. |
© 2024 by the authors. Licensee MDPI, Basel, Switzerland. This article is an open access article distributed under the terms and conditions of the Creative Commons Attribution (CC BY) license (https://creativecommons.org/licenses/by/4.0/).
Share and Cite
Umair Hassan, M.; Huang, G.; Munir, R.; Khan, T.A.; Noor, M.A. Biochar Co-Compost: A Promising Soil Amendment to Restrain Greenhouse Gases and Improve Rice Productivity and Soil Fertility. Agronomy 2024, 14, 1583. https://doi.org/10.3390/agronomy14071583
Umair Hassan M, Huang G, Munir R, Khan TA, Noor MA. Biochar Co-Compost: A Promising Soil Amendment to Restrain Greenhouse Gases and Improve Rice Productivity and Soil Fertility. Agronomy. 2024; 14(7):1583. https://doi.org/10.3390/agronomy14071583
Chicago/Turabian StyleUmair Hassan, Muhammad, Guoqin Huang, Rizwan Munir, Tahir Abbas Khan, and Mehmood Ali Noor. 2024. "Biochar Co-Compost: A Promising Soil Amendment to Restrain Greenhouse Gases and Improve Rice Productivity and Soil Fertility" Agronomy 14, no. 7: 1583. https://doi.org/10.3390/agronomy14071583
APA StyleUmair Hassan, M., Huang, G., Munir, R., Khan, T. A., & Noor, M. A. (2024). Biochar Co-Compost: A Promising Soil Amendment to Restrain Greenhouse Gases and Improve Rice Productivity and Soil Fertility. Agronomy, 14(7), 1583. https://doi.org/10.3390/agronomy14071583

