Submergence Stress Reduces the Ability of Rice to Regulate Recovery after Disaster
Abstract
1. Introduction
2. Materials and Methods
2.1. Experimental Site
2.2. Experimental Design
2.3. Experimental Materials
2.4. Measurement Items and Methods
2.5. Statistical Analysis
3. Results
3.1. Tiller Number
3.2. Plant Height
3.3. Leaf Area Index
3.4. Dry Matter
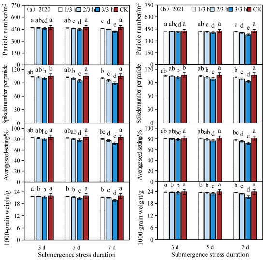
3.5. Yield
4. Discussion
4.1. Analysis of Rice Yield Reduction
4.2. Paddy Flood Submergence Prevention and Control Measures
4.3. Limitations and Prospects
5. Conclusions
Author Contributions
Funding
Data Availability Statement
Conflicts of Interest
References
- Khalil, M.I.; Hassan, M.M.; Samanta, S.C.; Chowdhury, A.K.; Hassan, M.Z.; Ahmed, N.U.; Somaddar, U.; Ghosal, S.; Robin, A.H.K.; Nath, U.K. Unraveling the genetic enigma of rice submergence tolerance: Shedding light on the role of ethylene response factor-encoding gene SUB1A-1. Plant Physiol. Biochem. 2024, 206, 108224. [Google Scholar] [CrossRef] [PubMed]
- Kundzewicz, Z.; Su, B.; Wang, Y.; Xia, J.; Huang, J.; Jiang, T. Flood risk and its reduction in China. Adv. Water Resour. 2019, 130, 37–45. [Google Scholar] [CrossRef]
- Zhang, Y.H. Preliminary study on flood disaster in China. J. High. Commun. (Nat. Sci. Ed.) 2000, 13, 44–46. [Google Scholar]
- Juraimi, A.S.; Saiful, A.H.; Begum, M.; Anuar, A.R.; Azmi, M. Influence of Flooding Intensity and Duration on Rice Growth and Yield. Pertanika J. Trop. Agric. Ence 2009, 32, 195–208. [Google Scholar]
- Middelobe, A.L.; Markager, S. Depth limits and minimum light requirements of freshwater macrophytes. Freshwater Biol. 1997, 137, 553–568. [Google Scholar] [CrossRef]
- Jackson, M.B. Ethylene-promoted elongation: An adaptation to submergence stress. Ann. Bot. 2008, 101, 229–248. [Google Scholar] [CrossRef] [PubMed]
- Hirano, T.; Koshimura, N. Growth and distribution of photo assimilates in floating rice under submergence. Jpn. J. Trop. Agric. 1995, 39, 177–183. [Google Scholar]
- Naoyoshi, K.; Osamu, I.; Jun-Ichi, S. Relationship between shoot elongation and dry matter weight during submergence in Oryza sativa L. and O. glaberrima Steud. rice cultivars. Plant Prod. Sci. 2008, 11, 316–323. [Google Scholar]
- Ito, O.; Ella, E.; Kawano, N. Physiological basis of submergence tolerance in rainfed lowland rice ecosystem. Field Crop Res. 1999, 64, 75–90. [Google Scholar] [CrossRef]
- Jackson, M.B. Ethylene and responses of plants to soil submergence and submergence. Annu. Rev. Plant Physiol. 1985, 36, 145–174. [Google Scholar] [CrossRef]
- Meng, Y.; Yu, S.E.; Yu, Y.M.; Jiang, L.X. Flooding depth and duration concomitantly influence the growth traits and yield of rice. Irrig. Drain. 2022, 71, 94–107. [Google Scholar] [CrossRef]
- Wang, B.; Zhou, Y.J.; Xu, Y.Z.; Chen, G.; Hu, Q.F.; Wu, W.G.; Huo, X.M. Effects of different flooding time on growth dynamics and yield of mid-season rice at tillering stage. China Rice 2014, 20, 68–72. [Google Scholar]
- Engelaar, W.M.H.G.; Matsumaru, T.; Yoneyama, T. Combined effects of soil submergence and compaction on rice (Oryza sativa L.) growth, soil aeration, soil N transformations and 15N discrimination. Biol. Fertil. Soils 2000, 32, 484–493. [Google Scholar] [CrossRef]
- Yoko, H.; Keisuke, N.; Motoyuki, A. Rice growth adapting to deepwater. Curr. Opin. Plant Biol. 2011, 14, 100–105. [Google Scholar]
- Shao, C.X.; Pan, X.B.; Li, J.W.; Wei, P.; Zhang, X.T.; Hu, Q.; Ren, J.H. Effects of flood duration at different growth stages on growth, development and yield composition of rice. Trans. Chin. Soc. Agric. Eng. 2019, 35, 133–141. [Google Scholar]
- Yan, B.; Dai, Q.j.; Liu, X.Z. Accumulation of superoxide radical in corn leaves during waterlogging. Acta Bot. Sin. 1995, 7, 738–744. [Google Scholar]
- Li, J.C.; Chang, J.; Wei, F.Z. Relationship between waterlogging physiology and production in winter wheat. Plant Physiolofy Commun. 1997, 33, 304–312. [Google Scholar]
- Ding, J.F.; Liang, P.; Wu, P.; Zhu, M.; Li, C.Y.; Zhu, X.K.; Guo, W.S. Identifying the critical stage near anthesis for waterlogging on wheat yield and its components in the Yangtze River Basin, China. Agronomy 2020, 10, 130. [Google Scholar] [CrossRef]
- Collaku, A.; Harrison, S.A. Losses in wheat due to waterlogging. Crop Sci. 2002, 42, 444–450. [Google Scholar] [CrossRef]
- Basu, S.; Kumari, S.; Kumar, G. Sub1 QTL confers submergence tolerance in rice through nitro-oxidative regulation and phytohormonal signaling. Plant Physiol. Biochem. 2024, 211, 108682. [Google Scholar] [CrossRef]
- Yoshida, S. Physiological aspect of grain yield. Ann. Rev. Plant Physiol. 1972, 23, 437–464. [Google Scholar] [CrossRef]
- Ren, Z. Effects of Submergence Stress at Different Growth Stages on Rice Growth, Yield and Quality and Its Physiological Mechanism. Master’s Thesis, Yangzhou University, Yangzhou, China, 2022. [Google Scholar]
- Sudhanshu, S.; Mackill, D.J.; Ismail, A.M. Physiological basis of tolerance to complete submergence in rice involves genetic factors in addition to the SUB1 gene. AoB Plants 2014, 6, 428–429. [Google Scholar]
- Zhang, Y.J. Different Responses of Cotton to Submergence Stress at Different Growth Stages and Its Physiological Mechanism. Ph.D. Thesis, Shandong University, Jinan, China, 2017. [Google Scholar]
- Jiang, M.; Xuan, S.L.; Muneer, M.A.; Sun, B.; Shi, C.L.; Liu, F.S.; Wu, R.Y.; Glade, T.; Murty, T.S. Response of dry matter partition and yield components to waterlogging and sunlight shortage in different growth stages of wheat. Nat. Hazards 2022, 110, 1133–1152. [Google Scholar] [CrossRef]
- Ji, J.H.; Huo, Z.G.; Tang, L.S.; Du, Y.D.; Hu, F. Effects of flooding during early rice filling stage on physical and chemical properties of flag leaves, yield and quality. China Rice Sci. 2016, 30, 181–192. [Google Scholar]
- Emerick, K.; Ronald, P.C. Sub1 rice: Engineering rice for climate change. Cold Spring Harb. Perspect. Biol. 2019, 11, a034637. [Google Scholar] [CrossRef] [PubMed]
- Bhaduri, D.; Chakraborty, K.; Nayak, A.K.; Shahid, M.; Srivastava, A.K. Alteration in plant spacing improves submergence tolerance in Sub1 and non-Sub1 rice by better light interception and effective carbohydrate utilisation under stress. Funct. Plant Biol. 2020, 47, 891–903. [Google Scholar] [CrossRef] [PubMed]
- Islam, M.S.; Rashid, M.M.; Mondal, M.K.; Nath, S.C.; Karim, M.R. Effect of planting density on the performance of hybrid rice (Oryza sativa L.) under waterlogged condition. Agriculturists 2013, 11, 109–113. [Google Scholar] [CrossRef]
- Singh, S.K.; Singh, V.N.; Singh, D.P. Effect of nursery nutrient management on yield and economics of Swarna and Swarna-Sub 1 in submergence prone ecosystem of eastern Uttar Pradesh. AkiNik Publ. 2018, 7, 3517–3521. [Google Scholar]
- Kumar, A.; Nayak, A.K.; Hanjagi, P.S.; Kumari, K.; Vijayakumar, S.; Mohanty, S.; Tripathi, R.; Panneerselvam, P. Submergence stress in rice: Adaptive mechanisms, coping strategies and future research needs. Environ. Exp. Bot. 2021, 186, 104448. [Google Scholar] [CrossRef]
- Tong, S.; Kjær, J.E.; Peralta, L.L.; Pellegrini, E.; Song, Z.; Pedersen, O.; Herzog, M. Responses of key root traits in the genus Oryza to soil flooding mimicked by stagnant, deoxygenated nutrient solution. Exp. Bot. 2023, 74, 2112–2126. [Google Scholar] [CrossRef]
- Yuan, L.B.; Chen, M.X.; Wang, L.N.; Sasidharan, R.; Voesenek, L.A.; Xiao, S. Multistress resilience in plants recovering from submergence. Plant Biotechnol. 2023, 21, 466–481. [Google Scholar] [CrossRef] [PubMed]









| Fertilizer Time | Varieties and Amounts (g/Pot) | ||
|---|---|---|---|
| Urea (N: 46%) | Phosphorus Pentoxide | Potassium Chloride | |
| Base fertilizer (9 May 2020; 16 May 2021) | 8.52 | 8.28 | 6.14 |
| Tillering fertilizer (25 May 2020; 1 June 2021) | 3.79 | 0 | 0 |
| Spike fertilizer (31 July 2020; 7 August 2021) | 6.63 | 0 | 6.14 |
Disclaimer/Publisher’s Note: The statements, opinions and data contained in all publications are solely those of the individual author(s) and contributor(s) and not of MDPI and/or the editor(s). MDPI and/or the editor(s) disclaim responsibility for any injury to people or property resulting from any ideas, methods, instructions or products referred to in the content. |
© 2024 by the authors. Licensee MDPI, Basel, Switzerland. This article is an open access article distributed under the terms and conditions of the Creative Commons Attribution (CC BY) license (https://creativecommons.org/licenses/by/4.0/).
Share and Cite
Yu, Y.; Meng, Y.; Chen, P.; Cao, K. Submergence Stress Reduces the Ability of Rice to Regulate Recovery after Disaster. Agronomy 2024, 14, 1319. https://doi.org/10.3390/agronomy14061319
Yu Y, Meng Y, Chen P, Cao K. Submergence Stress Reduces the Ability of Rice to Regulate Recovery after Disaster. Agronomy. 2024; 14(6):1319. https://doi.org/10.3390/agronomy14061319
Chicago/Turabian StyleYu, Yanmei, Yan Meng, Peng Chen, and Kaihua Cao. 2024. "Submergence Stress Reduces the Ability of Rice to Regulate Recovery after Disaster" Agronomy 14, no. 6: 1319. https://doi.org/10.3390/agronomy14061319
APA StyleYu, Y., Meng, Y., Chen, P., & Cao, K. (2024). Submergence Stress Reduces the Ability of Rice to Regulate Recovery after Disaster. Agronomy, 14(6), 1319. https://doi.org/10.3390/agronomy14061319

