Effects of Interseeding Cover Crops into Corn and Soybean on Biomass Production, Grain Yields and Ecosystem Services: A Review
Abstract
1. Introduction
2. Materials and Methods
3. Interseeded Cover Crop Biomass Production
3.1. Average Cover Crop Biomass Production
3.2. Cover Crop Species and Mixtures
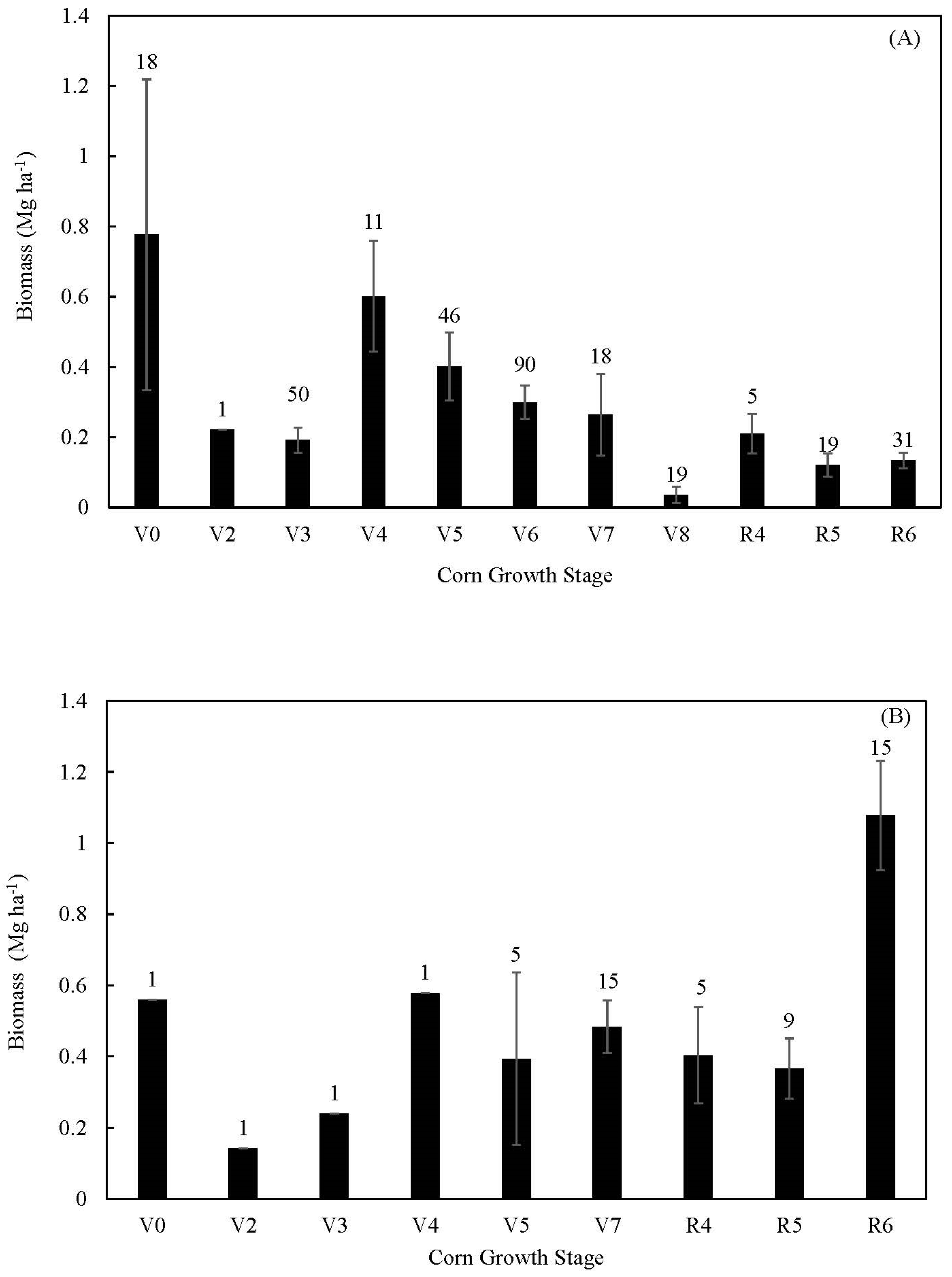
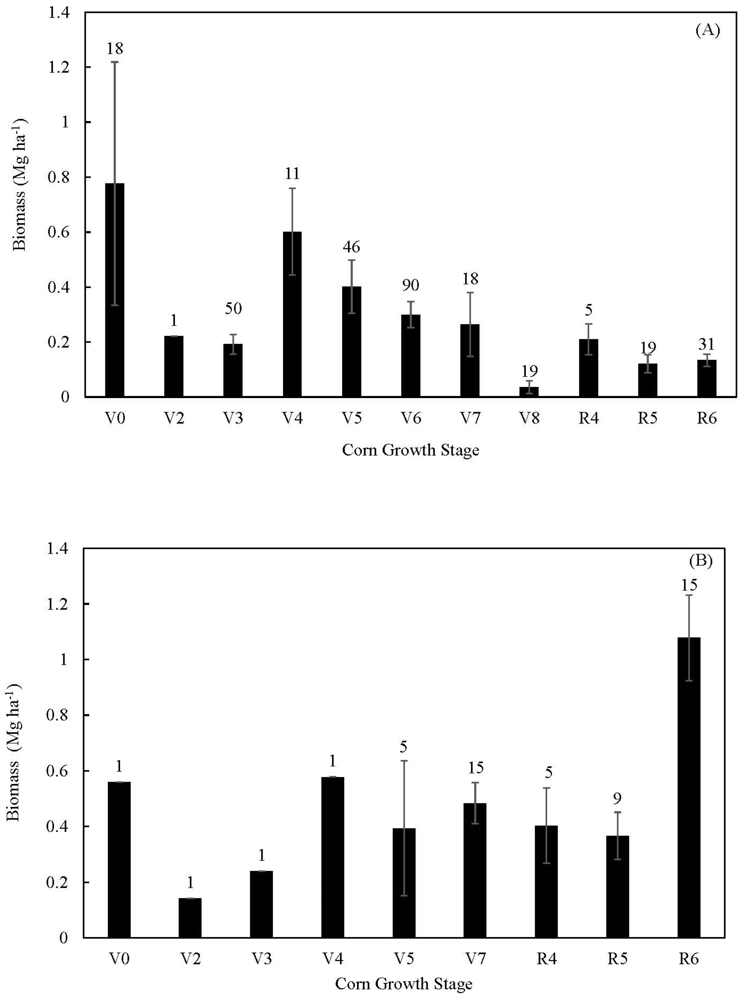
3.3. Crop Stage When Interseeded
3.4. Cover Crop Seeding Method
3.5. Tillage Practice
3.6. Cover Crop Seeding Rate
3.7. Corn or Soybean Row Spacing and Seeding Rate
3.8. Irrigation
3.9. Average Annual Precipitation and Temperature
3.10. Pre- vs. Postharvest Planting
4. Effect of Interseeded Cover Crop on Main Crop Yield
4.1. General Effect on Grain Yield
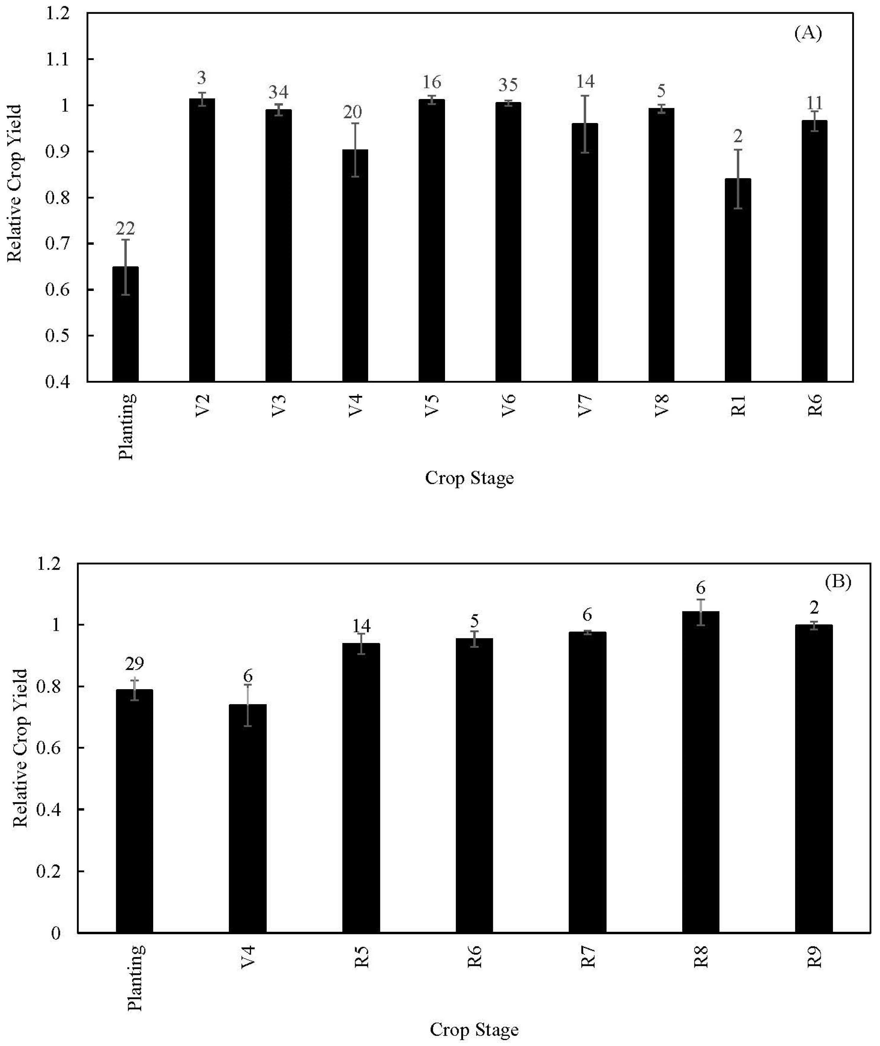
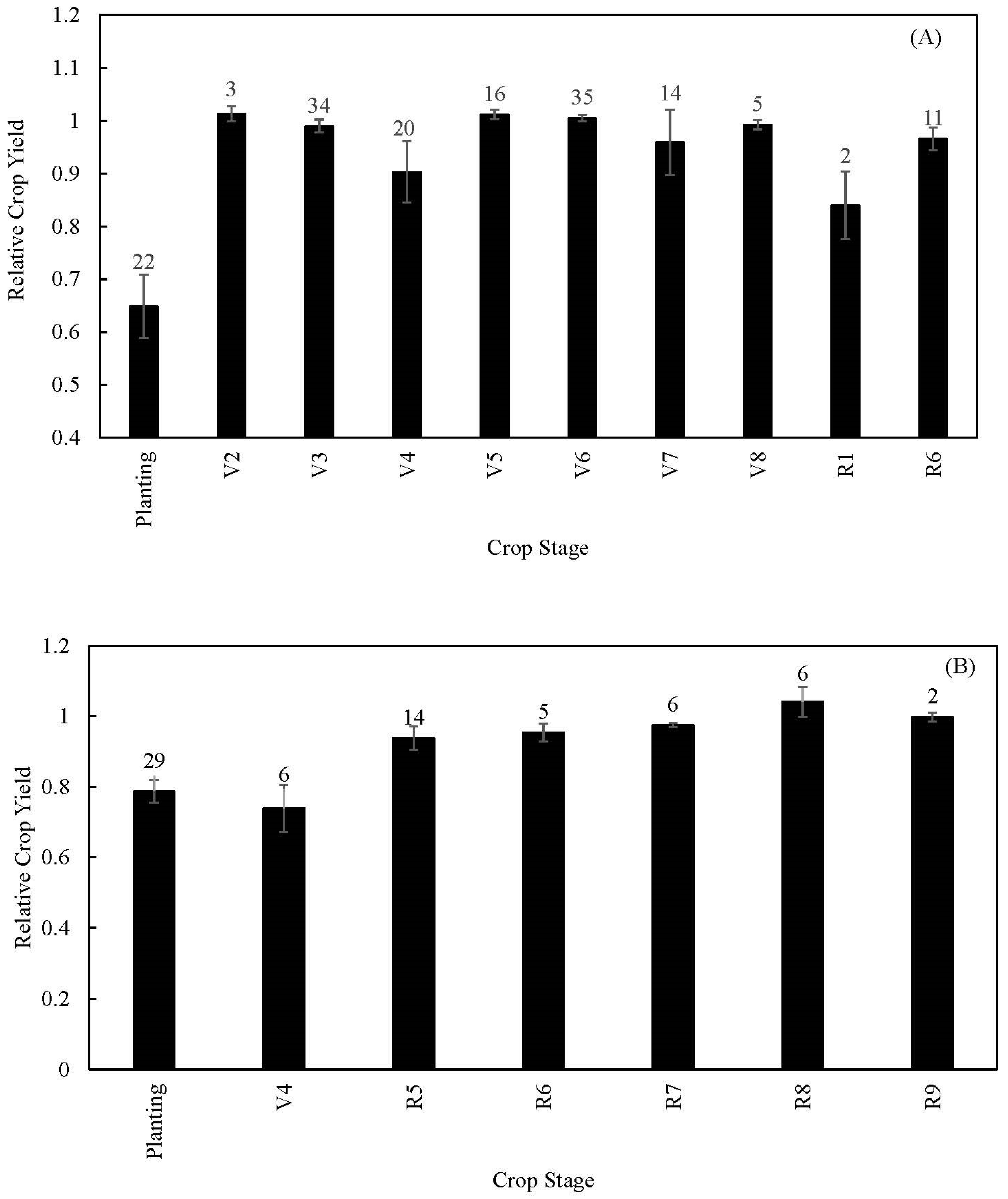
4.2. Crop Growth Stage When Interseeded
4.3. Interseeded Cover Crop Species
4.4. Average Annual Precipitation and Temperature
4.5. Corn and Soybean Row Spacing and Seeding Rate
4.6. Following-Year Grain Yields
5. Weed Control from Interseeded Cover Crops
5.1. Weed Biomass Reduction from Interseeded Cover Crop
5.2. Cover Crop Planting Date Effect on Weed Biomass
5.3. Cover Crop Species Effect on Weed Biomass
5.4. Grain Yield Compared to Weedy Control
6. Soil Properties
6.1. Soil Chemical Properties
6.2. Soil Physical Properties
6.3. Soil Biological Properties
7. Summary and Conclusions
Funding
Data Availability Statement
Conflicts of Interest
References
- Uchino, H.; Iwama, K.; Jitsuyama, Y.; Yudate, T.; Nakamura, S.; Gopal, J. Interseeding a cover crop as a weed management tool is more compatible with soybean than with maize in organic farming systems. Plant Prod. Sci. 2015, 18, 187–196. [Google Scholar] [CrossRef]
- Van Eerd, L.L.; Chahal, I.; Peng, Y.; Awrey, J.C. Influence of cover crops at the four spheres: A review of ecosystem services, potential barriers, and future directions for North America. Sci. Total Environ. 2023, 858, 159990. [Google Scholar] [CrossRef] [PubMed]
- National Agricultural Statistics Service. United States Department of Agriculture. Available online: https://www.nass.usda.gov/ (accessed on 15 February 2024).
- Ketterings, Q.M.; Swink, S.N.; Duiker, S.W.; Czymmek, K.J.; Beegle, D.B.; Cox, W.J. Integrating cover crops for nitrogen management in corn systems on northeastern US dairies. Agron. J. 2015, 107, 1365–1376. [Google Scholar] [CrossRef]
- Belfry, K.D.; Van Eerd, L.L. Establishment and impact of cover crops intersown into corn. Crop Sci. 2016, 56, 1245–1256. [Google Scholar] [CrossRef]
- Snapp, S.S.; Swinton, S.M.; Labarta, R.; Mutch, D.; Black, J.R.; Leep, R.; Nyiraneza, J.; O’Neil, K. Evaluating cover crops for benefits, costs and performance within cropping system niches. Agron. J. 2005, 97, 322–332. [Google Scholar] [CrossRef]
- Toom, M.; Talgre, L.; Mäe, A.; Tamm, S.; Narits, L.; Edesi, L.; Haljak, M.; Lauringson, E. Selecting winter cover crop species for northern climatic conditions. Bio. Agric. Hort. 2019, 35, 263–274. [Google Scholar] [CrossRef]
- Fisher, K.A.; Momen, B.; Kratochvil, R.J. Is broadcasting seed an effective winter cover crop planting method? Agron. J. 2011, 103, 472–478. [Google Scholar] [CrossRef]
- Brooker, A.P.; Renner, K.A.; Basso, B. Interseeding cover crops in corn: Establishment, biomass, and competitiveness in on-farm trials. Agron. J. 2020, 112, 3733–3743. [Google Scholar] [CrossRef]
- Exner, D.N.; Cruse, R.M. Interseeded forage legume potential as winter ground cover, nitrogen source, and competitor. J. Prod. Agric. 1993, 6, 226–231. [Google Scholar] [CrossRef]
- Baributsa, D.N.; Foster, E.F.; Thelen, K.D.; Kravchenko, A.N.; Mutch, D.R.; Ngouajio, M. Corn and cover crop response to corn density in an interseeding system. Agron. J. 2008, 100, 981–987. [Google Scholar] [CrossRef]
- Lemessa, F.; Wakjira, M. Cover crops as a means of ecological weed management in agroecosystems. J. Crop Sci. Biotech. 2015, 18, 123–135. [Google Scholar] [CrossRef]
- Black, K.L.; Wells, S.; Johnson, G.A.; Lazarus, W.F.; Kraus, A. Interseeding Wide-Row Corn with Forage Cover Crops: Investigating System Potential for Expanded Economic Opportunities in Corn Production Systems. Agronomy 2023, 13, 307. [Google Scholar] [CrossRef]
- Wallace, J.M.; Isbell, S.; Hoover, R.; Barbercheck, M.; Kaye, J.; Curran, W.S. Drill and broadcast establishment methods influence interseeded cover crop performance in organic corn. Renew. Agric. Food Sys. 2021, 36, 77–85. [Google Scholar] [CrossRef]
- Peterson, C.M.; Mirsky, S.B.; VanGessel, M.J.; Davis, B.W.; Ackroyd, V.J.; Tully, K.L. Evaluation of interseeding cover crop mixtures in Mid-Atlantic double-crop soybean. Agron. J. 2021, 113, 3935–3951. [Google Scholar] [CrossRef]
- St. Aime, R.; Bridges, W.C., Jr.; Narayanan, S. Interseeded cover crops did not reduce silage corn performance in the sandy loam soils of South Carolina. Agrosys. Geosci. Environ. 2023, 6, e20364. [Google Scholar] [CrossRef]
- Sustainable Agriculture Research and Education. Managing Cover Crops Profitably; Clark, A., Ed.; SARE Outreach: College Park, MD, USA, 2013. [Google Scholar]
- Sharma, P.; Singh, A.; Kahlon, C.S.; Brar, A.S.; Grover, K.K.; Dia, M.; Steiner, R.L. The role of cover crops towards sustainable soil health and agriculture—A review paper. Am. J. Plant Sci. 2018, 9, 1935–1951. [Google Scholar] [CrossRef]
- Newton, P.; Civita, N.; Frankel-Goldwater, L.; Bartel, K.; Johns, C. What is regenerative agriculture? A review of scholar and practitioner definitions based on processes and outcomes. Front. Sustain. Food Sys. 2020, 4, 194. [Google Scholar] [CrossRef]
- Aronsson, H.; Hansen, E.M.; Thomsen, I.K.; Liu, J.; Øgaard, A.F.; Känkänen, H.; Ulén, B.J.J.O. The ability of cover crops to reduce nitrogen and phosphorus losses from arable land in southern Scandinavia and Finland. J. Soil Water Cons. 2016, 71, 41–55. [Google Scholar] [CrossRef]
- Liu, J.; Macrae, M.L.; Elliott, J.A.; Baulch, H.M.; Wilson, H.F.; Kleinman, P.J. Impacts of cover crops and crop residues on phosphorus losses in cold climates: A review. J. Environ. Qual. 2019, 48, 850–868. [Google Scholar] [CrossRef]
- Kaur, H.; Nelson, K.A.; Singh, G.; Kaur, G.; Davis, M.P. Spring applied phosphorus loss with cover crops in no-till terraced field. J. Environ. Manag. 2024, 355, 120431. [Google Scholar] [CrossRef]
- Koefender, J.; Schoffel, A.; Manfio, C.E.; Golle, D.P. Biomass and nutrient cycling by winter cover crops. Rev. Ceres 2016, 63, 816–821. [Google Scholar] [CrossRef]
- Thapa, R.; Mirsky, S.B.; Tully, K.L. Cover crops reduce nitrate leaching in agroecosystems: A global meta-analysis. J. Environ. Qual. 2018, 47, 1400–1411. [Google Scholar] [CrossRef] [PubMed]
- Blanco-Canqui, H.; Ruis, S.J. Cover crop impacts on soil physical properties: A review. Soil Sci. Soc. Am. J. 2020, 84, 1527–1576. [Google Scholar] [CrossRef]
- Abdin, O.; Coulman, B.E.; Cloutier, D.; Faris, M.A.; Zhou, X.; Smith, D.L. Yield and yield components of corn interseeded with cover crops. Agron. J. 1998, 90, 63–68. [Google Scholar] [CrossRef]
- Abdin, O.A.; Zhou, X.M.; Cloutier, D.; Coulman, D.C.; Faris, M.A.; Smith, D.L. Cover crops and interrow tillage for weed control in short season maize (Zea mays). Eur. J. Agron. 2000, 12, 93–102. [Google Scholar] [CrossRef]
- Adler, R.L.; Singh, G.; Nelson, K.A.; Weirich, J.; Motavalli, P.P.; Miles, R.J. Cover crop impact on crop production and nutrient loss in a no-till terrace topography. J. Soil Water Cons. 2020, 75, 153–165. [Google Scholar] [CrossRef]
- Alonso-Ayuso, M.; Gabriel, J.L.; Pancorbo, J.L.; Quemada, M. Interseeding cover crops into maize: Characterization of species performance under Mediterranean conditions. Field Crops Res. 2020, 249, 107762. [Google Scholar] [CrossRef]
- Antosh, E.; Liebig, M.A.; Archer, D.W.; Luciano, R. Cover crop interseeding effects on aboveground biomass and corn grain yield in western North Dakota. Crop Forage Turfgrass Manag. 2022, 8, e20148. [Google Scholar] [CrossRef]
- Barker, J.B.; Heeren, D.M.; Koehler-Cole, K.; Shapiro, C.A.; Blanco-Canqui, H.; Elmore, R.W.; Proctor, C.A.; Irmak, S.; Francis, C.A.; Shaver, T.M.; et al. Cover crops have negligible impact on soil water in Nebraska maize–soybean rotation. Agron. J. 2018, 110, 1718–1730. [Google Scholar] [CrossRef]
- Bastidas, A.M. Cover Crop Introduction into Corn (Zea mays L.)-Soybean (Glycine max L.) Cropping Systems. Ph.D. Thesis, The University of Nebraska-Lincoln, Lincoln, NE, USA, 2018. [Google Scholar]
- Berti, M.; Samarappuli, D.; Johnson, B.L.; Gesch, R.W. Integrating winter camelina into maize and soybean cropping systems. Ind. Crops Prod. 2017, 107, 595–601. [Google Scholar] [CrossRef]
- Bich, A.D.; Reese, C.L.; Kennedy, A.C.; Clay, D.E.; Clay, S.A. Corn yield is not reduced by mid-season establishment of cover crops in northern Great Plains environments. Crop Manag. 2014, 13, 1–8. [Google Scholar] [CrossRef]
- Bishop, L.; Nelson, K.A. Field pennycress seeding date and corn herbicide management effects on corn, pennycress, and soybean production. Agron. J. 2019, 111, 257–263. [Google Scholar] [CrossRef]
- Blanco-Canqui, H.; Sindelar, M.; Wortmann, C.S.; Kreikemeier, G. Aerial interseeded cover crop and corn residue harvest: Soil and crop impacts. Agron. J. 2017, 109, 1344–1351. [Google Scholar] [CrossRef]
- Brockmueller, B.; Tautges, N.E.; Vereecke, L.; Silva, E.M. Spring-seeded winter rye living mulches enhance crop biodiversity and promote reduced tillage organic soybeans. Front. Sustain. Food Syst. 2023, 6, 926606. [Google Scholar] [CrossRef]
- Brooker, A.P.; Renner, K.A.; Sprague, C.L. Interseeding cover crops in corn. Agron. J. 2020, 112, 139–147. [Google Scholar] [CrossRef]
- Carabajal-Capitán, S.; Kniss, A.R.; Jabbour, R. Seed predation of interseeded cover crops and resulting impacts on ground beetles. Environ. Entomol. 2021, 50, 832–841. [Google Scholar] [CrossRef] [PubMed]
- Caswell, K.; Wallace, J.M.; Curran, W.S.; Mirsky, S.B.; Ryan, M.R. Cover crop species and cultivars for drill-interseeding in Mid-Atlantic corn and soybean. Agron. J. 2019, 111, 1060–1067. [Google Scholar] [CrossRef]
- Chen, S.; Wyse, D.L.; Johnson, G.A.; Porter, P.M.; Stetina, S.R.; Miller, D.R.; Betts, K.J.; Klossner, L.D.; Haar, M.J. Effect of cover crops alfalfa, red clover, and perennial ryegrass on soybean cyst nematode population and soybean and corn yields in Minnesota. Crop Sci. 2006, 46, 1890–1897. [Google Scholar] [CrossRef]
- Chikoye, D.; Udensi, U.E.; Ogunyemi, S. Integrated Management of cogongrass [Imperata cylindrica (L.) Rauesch.] in corn using tillage, glyphosate, row spacing, cultivar, and cover cropping. Agron. J. 2005, 97, 1164–1171. [Google Scholar] [CrossRef]
- Curran, W.S.; Hoover, R.J.; Mirsky, S.B.; Roth, G.W.; Ryan, M.R.; Ackroyd, V.J.; Wallace, J.M.; Dempsey, M.A.; Pelzer, C.J. Evaluation of cover crops drill interseeded into corn across the Mid-Atlantic region. Agron. J. 2018, 110, 435–443. [Google Scholar] [CrossRef]
- Curtright, A.J.; Renner, K.A.; Tiemann, L.K. Availability of dissolved organic carbon drives differences in microbial nitrogen-cycling processes between two sites with cover crops interseeded into corn. Soil Sci. Soc. Am. J. 2024, 88, 56–70. [Google Scholar] [CrossRef]
- Donaldson, A.R. Weeds with a Purpose: Interseeding Cover Crops into Sweet Corn in Western Oregon. Master’s Thesis, Oregon State University, Corvallis, OR, USA, 2019. [Google Scholar]
- Fakhari, R.; Khanzade, H.; Mammadova, R.; Tobeh, A.; Moharramnezhad, S. Effects of interseeding cover crops and split nitrogen application on weed suppression in forage maize. Albanian J. Agric. Sci. 2015, 14, 278. [Google Scholar]
- Francis, H. Nitrogen Benefits when Interseeding Red Clover into Corn. Ph.D. Thesis, University of Wisconsin-Madison, Madison, WI, USA, 2020. [Google Scholar]
- Franzen, D.; Wick, A.; Bu, H.; Ritchison, D.; Mullins, B.; Chatterjee, A. Interseeded cover crops did not cause corn yield loss in eastern North Dakota. Agrosyst. Geosci. Environ. 2023, 6, e20441. [Google Scholar] [CrossRef]
- Goettl, B.; Anderson, B.; DeSutter, T.; Franzer, D.; Wick, A. Interseeded cover crops in wide-row corn: An opportunity for northern cropping systems. Crop Forage Turfgrass Manag. 2024, 10, e20268. [Google Scholar] [CrossRef]
- Hines, S.; Packham, J.; Loomis, G.; Thomas, J.; Adjesiwor, A. Impacts of interseeding cover crop into silage corn grown on wide row spacings. J. NACAA 2023, 16. [Google Scholar]
- Hively, W.D.; Cox, W.J. Interseeding cover crops into soybean and subsequent corn yields. Agron. J. 2001, 93, 308–313. [Google Scholar] [CrossRef]
- Isbell, S.A.; Alonso-Ayuso, M.; Bell, T.H.; Bradley, B.; Rowles, T.; Kaye, J.P. Nitrogen services provided by interseeded cover crops in organic corn systems. Agron. J. 2022, 114, 2458–2472. [Google Scholar] [CrossRef]
- Johnson, T.J.; Kaspar, T.C.; Kohler, K.A.; Corak, S.J.; Logsdon, S.D. Oat and rye overseeded into soybean as fall cover crops in the upper Midwest. J. Soil Water Cons. 1998, 53, 276–279. [Google Scholar]
- Johnson, K.L.; Kandel, H.J.; Samarappuli, D.P.; Berti, M.T. Interseeding camelina and rye in soybean with varying maturity provides soil cover without affecting soybean yield. Agronomy 2021, 11, 353. [Google Scholar] [CrossRef]
- Jones, M.E.; Harwood, R.R.; Dehne, N.C.; Smeenk, J.; Parker, E. Enhancing soil nitrogen mineralization and corn yield with overseeded cover crops. J. Soil Water Cons. 1998, 53, 245–249. [Google Scholar]
- Kandel, H.J.; Samarappuli, D.P.; Johnson, K.L.; Berti, M.T. Soybean relative maturity, not row spacing, affected interseeded cover crops biomass. Agriculture 2021, 11, 441. [Google Scholar] [CrossRef]
- Kaspar, T.C.; Radke, J.K.; Laflen, J.M. Small grain cover crops and wheel traffic effects on infiltration, runoff, and erosion. J. Soil Water Cons. 2001, 56, 160–164. [Google Scholar]
- Kaspar, T.C.; Parkin, T.B.; Jaynes, D.B.; Cambardella, C.A.; Meek, D.W.; Jung, Y.S. Examining changes in soil organic carbon with oat and rye cover crops using terrain covariates. Soil Sci. Soc. Am. J. 2006, 70, 1168–1177. [Google Scholar] [CrossRef]
- Koehler-Cole, K.; Elmore, R.W. Seeding rates and productivity of broadcast interseeded cover crops. Agronomy 2020, 10, 1723. [Google Scholar] [CrossRef]
- Koehler-Cole, K.; Elmore, R.W.; Blanco-Canqui, H.; Francis, C.A.; Shapiro, C.A.; Proctor, C.A.; Ruis, S.J.; Irmak, S.; Heeren, D.M. Cover crop planting practices determine their performance in the US Corn Belt. Agron. J. 2023, 115, 526–543. [Google Scholar] [CrossRef]
- Koehler-Cole, K.; Elmore, R.W.; Blanco-Canqui, H.; Francis, C.A.; Shapiro, C.A.; Proctor, C.A.; Ruis, S.J.; Irmak, S.; Heeren, D.M.; Ferguson, R.B. Cover crop productivity and subsequent soybean yield in the western Corn Belt. Agron. J. 2020, 112, 2649–2663. [Google Scholar] [CrossRef]
- Liu, R.M.; Wells, S.; Garcia, A.G. Cover crop potential of winter oilseed crops in the Northern U.S. Corn Belt. Arch. Agron. Soil Sci. 2019, 65, 1845–1859. [Google Scholar] [CrossRef]
- Marcos, F.M.; Acharya, J.; Parvej, M.R.; Robertson, A.E.; Licht, M.A. Cereal rye cover crop seeding method, seeding rate, and termination timing effects corn development and seedling disease. Agron. J. 2023, 115, 1356–1372. [Google Scholar] [CrossRef]
- Mohammed, Y.A.; Patel, S.; Matthees, H.L.; Lenssen, A.W.; Johnson, B.L.; Wells, M.S.; Forcella, F.; Berti, M.T.; Gesch, R.W. Soil nitrogen in response to interseeded cover crops in maize–soybean production systems. Agronomy 2020, 10, 1439. [Google Scholar] [CrossRef]
- Mohammed, Y.A.; Matthees, H.L.; Gesch, R.W.; Patel, S.; Forcella, F.; Aasand, K.; Steffl, N.; Johnson, B.L.; Wells, S.M.; Lenssen, A.W. Establishing winter annual cover crops by interseeding into maize and soybean. Agron. J. 2020, 112, 719–732. [Google Scholar] [CrossRef]
- Moore, V.M.; Mirsky, S.B. Cover crop biomass production across establishment methods in mid-Atlantic corn. Agron. J. 2020, 112, 4765–4774. [Google Scholar] [CrossRef]
- Nelson, K.A.; Belknap, R.A.; Brake, D.; Singh, G. Overseed timing of ryegrass and cereal rye in soybean affects rotational crops in upstate Missouri. Crop Forage Turfgrass Manag. 2022, 8, e20184. [Google Scholar] [CrossRef]
- Nelson, K.A.; Smeda, R.J.; Smoot, R.L. Spring-interseeded winter rye seeding rates influence weed control and organic soybean yield. Int. J. Agron. 2011, 2011, 571973. [Google Scholar] [CrossRef]
- Nguyen, L.T.; Ortner, K.A.; Tiemann, L.K.; Renner, K.A.; Kravchenko, A.N. Soil properties after one year of interseeded cover cropping in topographically diverse agricultural landscape. Agric. Ecosyst. Environ. 2022, 326, 107803. [Google Scholar] [CrossRef]
- Noland, R.L.; Wells, M.S.; Sheaffer, C.C.; Baker, J.M.; Martinson, K.L.; Coulter, J.A. Establishment and function of cover crops interseeded into corn. Crop Sci. 2018, 58, 863–873. [Google Scholar] [CrossRef]
- Nunes, M.R.; van Es, H.M.; Schindelbeck, R.; Ristow, A.J.; Ryan, M. No-till and cropping system diversification improve soil health and crop yield. Geoderma 2018, 328, 30–43. [Google Scholar] [CrossRef]
- Peterson, A.T.; Berti, M.T.; Samarappuli, D. Intersowing cover crops into standing soybean in the US Upper Midwest. Agronomy 2019, 9, 264. [Google Scholar] [CrossRef]
- Rabin, K.C.; Johnson, G.A.; Strock, J.S.; Jordan, N.R.; Garcia y Garcia, A. Tillage and cover crop mixtures interseeded in maize–soybean in the upper Midwest. Agron. J. 2023, 115, 1188–1201. [Google Scholar]
- Reinbott, T.M.; Conley, S.P.; Blevins, D.G. No-tillage corn and grain sorghum response to cover crop and nitrogen fertilization. Agron. J. 2004, 96, 1158–1163. [Google Scholar] [CrossRef]
- Ruis, S.J.; Blanco-Canqui, H.; Elmore, R.W.; Proctor, C.; Koehler-Cole, K.; Ferguson, R.B.; Francis, C.B.; Shapiro, C.A. Impacts of cover crop planting dates on soils after four years. Agron. J. 2020, 112, 1649–1665. [Google Scholar] [CrossRef]
- Rusch, H.L.; Coulter, J.A.; Grossman, J.M.; Johnson, G.A.; Porter, P.M.; Garcia y Garcia, A. Towards sustainable maize production in the US upper Midwest with interseeded cover crops. PLoS ONE 2020, 15, e0231032. [Google Scholar] [CrossRef] [PubMed]
- Schmitt, M.B.; Berti, M.; Samarappuli, D.; Ransom, J.K. Factors affecting the establishment and growth of cover crops intersown into maize (Zea mays L.). Agronomy 2021, 11, 712. [Google Scholar] [CrossRef]
- Sedghi, N.; Fox, R.J.; Sherman, L.; Gaudlip, C.; Weil, R.R. Aerial interseeding and planting green to enhance nitrogen capture and cover crop biomass carbon. J. Soil Water Cons. 2023, 78, 282–298. [Google Scholar] [CrossRef]
- Stanton, V.L.; Haramoto, E.R. Biomass potential of drill interseeded cover crops in corn in Kentucky. Agron. J. 2021, 113, 1238–1247. [Google Scholar] [CrossRef]
- Thelen, K.D.; Mutch, D.R.; Martin, T.E. Utility of interseeded winter cereal rye in organic soybean production systems. Agron. J. 2004, 96, 281–284. [Google Scholar] [CrossRef]
- Thompson, N.M.; Armstrong, S.D.; Roth, R.T.; Ruffatti, M.D.; Reeling, C.J. Short-run net returns to a cereal rye cover crop mix in a midwest corn–soybean rotation. Agron. J. 2020, 112, 1068–1083. [Google Scholar] [CrossRef]
- Uchino, H.; Iwama, K.; Jitsuyama, Y.; Yudate, T.; Nakamura, S. Yield losses of soybean and maize by competition with interseeded cover crops and weeds in organic-based cropping systems. Field Crops Res. 2009, 113, 342–351. [Google Scholar] [CrossRef]
- Uchino, H.; Iwama, K.; Jitsuyama, Y.; Ichiyama, K.; Sugiura, E.R.I.; Yudate, T.; Makamura, S.; Gopal, J.A.I. Effect of interseeding cover crops and fertilization on weed suppression under an organic and rotational cropping system: 1. Stability of weed suppression over years and main crops of potato, maize and soybean. Field Crop. Res. 2012, 127, 9–16. [Google Scholar] [CrossRef]
- Wallace, J.M.; Curran, W.S.; Mirsky, S.B.; Ryan, M.R. Tolerance of interseeded annual ryegrass and red clover cover crops to residual herbicides in mid-Atlantic corn cropping systems. Weed Technol. 2017, 31, 641–650. [Google Scholar] [CrossRef]
- Wilson, M.L.; Allan, D.L.; Baker, J.M.; Pagliari, P.H. Comparing methods for overseeding winter rye into standing soybean. Agrosystems Geosci. Environ. 2019, 2, 1–7. [Google Scholar] [CrossRef]
- Youngerman, C.Z.; DiTommaso, A.; Curran, W.S.; Mirsky, S.B.; Ryan, M.R. Corn density effect on interseeded cover crops, weeds, and grain yield. Agron. J. 2018, 110, 2478–2487. [Google Scholar] [CrossRef]
- Rohatgi, A. Web Plot Digitizer. 12 March 2024. Available online: https://apps.automeris.io/wpd/ (accessed on 12 March 2024).
- US Climate Data. 11 March 2024. Available online: https://www.usclimatedata.com/ (accessed on 12 March 2024).
- Worldclimate.com. World Climate. 11 March 2024. Available online: http://www.worldclimate.com/ (accessed on 12 March 2024).
- Bonferroni, C.E. Teoria Statistica delle Classi e Calcolo delle Probabilità; Pubblicazioni del R Istituto Superiore di Scienze Economiche e Commerciali di Firenze; Seeber: Florence, Italy, 1936. [Google Scholar]
- SAS Institute Inc. SAS/STAT 13.1 User’s Guide Chapter 26 The Anova Procedure; SAS Institute Inc.: Cary, NC, USA, 2013. [Google Scholar]
- Ruis, S.J.; Blanco-Canqui, H.; Creech, C.F.; Koehler-Cole, K.; Elmore, R.W.; Francis, C.A. Cover crop biomass production in temperate agroecozones. Agron J. 2019, 111, 1535–1551. [Google Scholar] [CrossRef]
- Calderon, F.J.; Nielsen, D.; Acosta-Martinez, V.; Vigil, M.F.; Drew, L.Y.O.N. Cover crop and irrigation effects on soil microbial communities and enzymes in semiarid agroecosystems of the Central Great Plains of North America. Pedosphere 2016, 26, 192–205. [Google Scholar] [CrossRef]
- Nielsen, D.C.; Lyon, D.J.; Hergert, G.W.; Higgins, R.K.; Holman, J.D. Cover crop biomass production and water use in the Central Great Plains. Agron. J. 2015, 107, 2047–2058. [Google Scholar] [CrossRef]
- Soltani, N.; Nurse, R.E.; Jhala, A.J.; Sikkema, P.H. The critical weed-free period in glyphosate-resistant soybean in Ontario is similar to previous estimates using glyphosate-susceptible soybean. Can. J. Plant Sci. 2019, 99, 437–443. [Google Scholar] [CrossRef]
- Tursun, N.; Datta, A.; Sakinmaz, M.S.; Kantarci, Z.; Knezevic, S.Z.; Chauhan, B.S. The critical period for weed control in three corn (Zea mays L.) types. Crop Protect. 2016, 90, 59–65. [Google Scholar] [CrossRef]
- Knezevic, S.Z.; Pavlovic, P.; Osipitan, O.A.; Barnes, E.R.; Beiermann, C.; Oliveira, M.C.; Lawrence, N.; Scott, J.E.; Jhala, A. Critical time for weed removal in glyphosate-resistant soybean as influenced by preemergence herbicides. Weed Technol. 2019, 33, 393–399. [Google Scholar] [CrossRef]
- Mennan, H.; Jabran, K.; Zandstra, B.H.; Pala, F. Non-chemical weed management in vegetables by using cover crops: A review. Agronomy 2020, 10, 257. [Google Scholar] [CrossRef]
- Osipitan, O.A.; Dille, J.A.; Assefa, Y.; Knezevic, S.Z. Cover crop for early season weed suppression in crops: Systematic review and meta-analysis. Agron. J. 2018, 110, 2211–2221. [Google Scholar] [CrossRef]
- McClelland, S.C.; Paustian, K.; Schipanski, M.E. Management of cover crops in temperate climates influences soil organic carbon stocks: A meta-analysis. Ecol. Appl. 2021, 31, e02278. [Google Scholar] [CrossRef]
- DuPont, S.T.; Ferris, H.; Van Horn, M. Effects of cover crop quality and quantity on nematode-based soil food webs and nutrient cycling. Appl. Soil Ecol. 2009, 41, 157–167. [Google Scholar] [CrossRef]
- Krstić, Đ.; Vujić, S.; Jaćimović, G.; D’Ottavio, P.; Radanović, Z.; Erić, P.; Ćupina, B. The effect of cover crops on soil water balance in rain-fed conditions. Atmosphere 2018, 9, 492. [Google Scholar] [CrossRef]
- Fageria, N.K. Role of soil organic matter in maintaining sustainability of cropping systems. Commun. Soil Sci. Plant Anal. 2012, 43, 2063–2113. [Google Scholar] [CrossRef]
- Adhikari, K.; Hartemink, A.E. Linking soils to ecosystem services—A global review. Geoderma 2016, 262, 101–111. [Google Scholar] [CrossRef]
- Yang, X.M.; Reynolds, W.D.; Drury, C.F.; Reeb, M.D. Cover crop effects on soil temperature in a clay loam soil in southwestern Ontario. Can. J. Soil Sci. 2021, 101, 761–770. [Google Scholar] [CrossRef]
- Decaëns, T.; Jiménez, J.J.; Gioia, C.; Measey, G.J.; Lavelle, P. The values of soil animals for conservation biology. Eur. J. Soil Biol. 2006, 42, S23–S38. [Google Scholar] [CrossRef]
- Karaca, A.; Cetin, S.C.; Turgay, O.C.; Kizilkaya, R. Soil enzymes as indication of soil quality. In Soil Enzymology; Soil Biology; Shukla, G., Varma, A., Eds.; Springer: Berlin/Heidelberg, Germany, 2011; Volume 22, pp. 119–148. [Google Scholar]












| Paper | Location | Cover Crop Species | Crop Stage | Planting Technique | Tillage Practice | Average Annual Precipitation | Average Annual Temperature | Crop Row Spacing | Crop Seeding Rate | Crop |
|---|---|---|---|---|---|---|---|---|---|---|
| Abdin et al., 1998 [26] and Abdin et al., 2000 [27] | L’Assomption and MacDonald, QC, Canada | Cereal rye, hairy vetch, red clover, white clover, subterranean clover, yellow sweet clover, black medic, Persian clover, strawberry clover, crimson clover, alfalfa, berseem clover and mixtures | NA | Broadcast | MP | 808 | 5.3 | 76 | 80,000 | Corn |
| Adler et al., 2020 [28] | Leonard, MO, USA | Wheat + radish + turnip mixture | R6 | Broadcast | NT | 990.6 | 10.3 | 38 | 444,600 | Soybean |
| Alonso-Ayuso et al., 2020 [29] | Aranjuaz, Spain | Annual ryegrass, barrel medic, yellow sweet clover and common vetch | V4 and V5 | Drill | NA | 334 | 15.1 | 76 | 80,000 | Corn |
| Antosh et al., 2022 [30] | Mandan, ND, USA | Cereal rye + triticale + turnip + cowpea mixture | V4, V6 and V8 | Drill | NT | 455.9 | 5.8 | 76 | 59,280 | Corn |
| Baributsa et al., 2008 [11] | Hickory Corners, MI, USA | Chickling vetch and red clover | V5–V7 | Broadcast | CP | 1003 | 10.1 | 76 | 37,500–75,000 | Corn |
| Barker et al., 2018 [31] | Concord, Brule, Clay Center and Meade, NE, USA | Cereal rye and cereal rye + black oats + winter pea + hairy vetch + balansa clover + radish + forage collard mix | NA | Broadcast | NT | 693, 508, 731 and 748 | 8.7, 10.1, 10.3 and 9.9 | 76 | NA | Corn and soybean |
| Batildas 2019 [32] | Clay Center and Lincoln, NE, USA | Cereal rye, radish, hairy vetch and cereal rye + radish + hairy vetch mixture | Planting, V8, R5, R8 | Broadcast | NT | 731 and 734 | 10.3 and 10.8 | 76 | 84,000 and 67,000 | Corn |
| Belfry and Van Eard, 2016 [5] | Cedar Springs, Chatham-Southwest, Doyles, Erie Beach, Erieau, Leonard, Lighthouse Cove, Raglan and Van Horne, ON, Canada | Alfalfa, radish, cereal rye, crimson clover, red clover, hairy vetch, oat, pea, soybean and mixtures | V4–V12 | Broadcast | CT and NA | 963 | 9.7 | 76 | 84,000 | Corn |
| Berti et al., 2017 [33] | Fargo and Prosper, ND and Morris, MN, USA | Winter camelina | Planting–silking in corn and planting-R2 in soybean | Broadcast and drill | NA | 571, 572, 673 | 5.7, 5.7, 5.7 | 61 and 76 in corn and 31 and 61 in soybean | 86,450 in corn and 432,250 in soybean | Corn and soybean |
| Bich et al., 2014 [34] | Andover, Aurora and Trail City, SD, USA | Clover + lentil + winter wheat mixture | V3–V6 | Broadcast and drill | NT and CT | 601, 616 and 414 | 6.4, 6.2 and 7.4 | 76 | 71,630, 79,040 and 61,570 | Corn |
| Bishop and Nelson, 2018 [35] | Novelty, MO, USA | Pennycress | V4–V6 and R5-R6 | Broadcast | NT | 990 | 10.3 | 76 | 74,100 | Corn |
| Black et al., 2023 [13] | Cherry Grove, Goodhue and Faribault, MN, USA | Annual ryegrass + red clover + crimson clover + bayou kale + radish + turnip mixture | V3–V4 | Broadcast | RT | 863, 863, 828 | 6.4, 6.4, 6.7 | 76, 152 | 90,000 | Corn |
| Blanco-Canqui et al., 2017 [36] | Bellwood, NE, USA | Cereal rye | NA | Broadcast | ST | 756 | 9.3 | NA | NA | Corn |
| Brockmueller et al., 2022 [37] | Arlington and East Troy, WI, USA | Cereal rye | Planting | Drill | CT | 869 | 8.8 | 76 | 531,265 | Soybean |
| Brooker et al., 2020 [9] | East Lansing and Richville, MI, USA | Annual ryegrass, crimson clover and radish | V2, V3, V4, V5, V6 and V7 | Broadcast | CP | 784 | 8.4 | 76 | 79,000 | Corn |
| Brooker et al., 2020 [38] | Clayton, Hart, Hickory Corners, Hillman and Springport, MI, USA | Annual ryegrass, crimson clover, oilseed radish | V3 and V6 | Broadcast | NT and CT | 925, 929, 1003, 762 and 833 | 8.9, 7.6, 10.1, 6.1 and 9 | 76 | 79,100, 70,395, 69,160, 71,630, 69,160, 79,100 and 83,980 | Corn |
| Carabajal–Capitan et al., 2021 [39] | Lingle, WY, USA | Turnip, pea, winter wheat and mixtures | V6 | Broadcast | CT | 355 | 8.4 | 76 | 84,000 | Corn |
| Caswell et al., 2019 [40] | Beltsville, MD, Rock Springs, PA and Aurora, NY, USA | Crimson clover, ladino clover, red clover, yellow sweet clover, hairy vetch and Kentucky bluegrass | V5–V8 in corn and V3 to R1 in soybean | Drill | NT | 1191, 1103 and 992 | 9.94, 13.61 and 9.0 | 76 | 69,000 and 79,000 in corn and 432,000 in soybean | Corn and soybean |
| Chen et al., 2006 [41] | Lamberton, Waseca and Rosemount, MN, USA | Alfalfa, red clover, annual ryegrass | Planting and 2 weeks after planting | Broadcast | ST | 709, 908 and 886 | 6.8, 7.1 and 6.8 | 76 | 432,000 | Soybean |
| Chikoye et al., 2006 [42] | Ibadin, Nigeria | Velvet bean | NA | Sown | NT | 1467 | 25.9 | 50 and 76 | 53,000 and 80,000 | Corn |
| Curran et al., 2018 [43] | Many sites in NY, PA and MD, USA | Annual ryegrass, red clover + crimson clover+ hairy vetch mixture and annual ryegrass + red clover + crimson clover+ hairy vetch mixture | V3–V7 | Drill | NT and CT | 992–1191 | 9–13.61 | 76 | 69,000–87,000 | Corn |
| Curtright et al., 2023 [44] | East Lansing and Richville, MI, USA | Annual ryegrass, crimson clover, radish and annual ryegrass + crimson clover + radish mixture | V3 and V6 | Broadcast | NA | 805 and 845 | 8.9 and 8.7 | 76 | NA | Corn |
| Donaldson 2019 [45] | Linn County, OR, USA | Oats, winter and spring wheat and cereal rye | V5–V6 | Drill | CT | 1219 | 12.3 | 76 | NA | Corn |
| Fakhari et al., 2015 [46] | Ardabil, Iran | Cereal rye, berseem clover and hairy vetch | Planting | Broadcast | CT | 80.7 | 10.1 | 76 | NA | Corn |
| Francis, 2020 [47] | Arlington, WI, USA | Red clover | V4–V5 | Drill | NT | 869 | 8.8 | 76 | NA | Corn |
| Franzen et al., 2020 [48] | Rutland and Gardener, ND, USA | Cereal rye + radish + winter camelina mixture | V6–V8 | Broadcast | NT and CT | 561 and 519 | 5.8 and 5.5 | NA | NA | Corn |
| Goettl et al., 2024 [49] | Leonard and Rutland, ND, USA | Flax + faba bean + oats + winter pea + crimson clover + buckwheat + phacelia + forage radish, cereal rye + red clover + alfalfa, and sorghum + millet + cereal rye + red clover + alfalfa | V4, V5 | Drill | NT | 579 and 561 | 6.1 and 5.5 | 152 | 34,000 and 32,000 | Corn |
| Hines et al., 2023 [50] | Kimberly, ID, USA | Red clover + yellow sweet clover + crimson clover + annual ryegrass + radish and red clover + annual ryegrass + Italian ryegrass + radish + rapeseed + turnip | V5 | Broadcast and broadcast + incorporated | CT | 281 | 8.6 | 76, 118, 152 | 38,500 | Corn |
| Hively and Cox, 2001 [51] | Fayette, NY, USA | White clover, red clover, barrel medic, alfalfa, ryegrass and red fescue | NA | Broadcast | CT | 1093 | 9.3 | 76 | 500,000 | Soybean |
| Isbell et al., 2022 [52] | Pennsylvania Furnace, PA, USA | Annual ryegrass | V5–V6 | Drill | CP | 1006 | 10.1 | 76 | 81,150 | Corn |
| Johnson et al., 1998 [53] | Ames, IA, USA | Oats, cereal rye and oat + cereal rye mixture | NA | Broadcast | NT | 909 | 9.80 | 76 | NA | Soybean |
| Johnson et al., 2021 [54] | Fargo, ND, USA | Winter camelina and cereal rye | R7 | Broadcast | NT | 571 | 5.7 | 30.5 | 469,300 | Soybean |
| Jones et al., 1998 [55] | Hickory Corners, MI, USA | Annual ryegrass + red clover mixture | V6 | Broadcast | CT | 1003 | 10.1 | 76 | NA | Corn |
| Kandel et al., 2021 [56] | Fargo and Casselton, ND, USA | Cereal rye and winter camelina | R6 | Broadcast | NT | 571 | 5.7 | 30.5 and 61 | 469,300 | Soybean |
| Kaspar et al., 2001 [57] | Ames, IA, USA | Cereal rye and oat | NA | Broadcast | CT | 909 | 9.8 | 76 | NA | Soybean |
| Kaspar et al., 2006 [58] | Ames, IA, USA | Cereal rye, oat and cereal rye + oat mixture | NA | Broadcast | NA | 909 | 9.8 | 76 | 387,000 | Soybean |
| Koehler-Cole and Elmore 2020 [59] | Clay Center and Meade, NE, USA | Cereal rye and hairy vetch | NA | Broadcast | NT | 731 and 738 | 10.3 and 9.9 | 76 | 84,000 and 65,000 in corn and 372,000 and 435,000 in Soybean | Corn and soybean |
| Koehler-Cole et al., 2023 [60] | Concord, Clay Center and Meade, NE, USA | cereal rye, hairy vetch + winter pea mix, cereal rye + hairy vetch + winter pea + radish mixture and cereal rye + black oat + forage collard + radish + hairy vetch + winter pea + clover mixture | R5.5 in corn and R6 and 7 in soybean | Broadcast | NT | 731, 693 and 748 | 8.7, 10.3 and 9.9 | 76 | NA | Corn and soybean |
| Koehler-Cole et al., 2020 [61] | Concord, Clay Center and Meade, NE, USA | Cereal rye and cereal rye + radish + hairy vetch + winter pea mixture | R5.5 | Broadcast | NT | 731, 693 and 748 | 8.7, 10.3 and 9.9 | 76 | NA | Corn |
| Liu et al., 2019 [62] | Lamberton, MN, USA | Cereal rye, pennycress and winter camelina | NA | Broadcast and incorporated | RT | 708 | 6.9 | 76 | 86,484 and 373,116 | Corn and soybean |
| Marcos et al., 2023 [63] | Ames, Crawfordville and Sutherland, IA, USA | Cereal rye | R6 | Broadcast | CT | 909, 950 and 881 | 9.8, 10.3 and 8.11 | 76 | NA | Soybean |
| Mohammed et al., 2020a [64] and Mohammed et al., 2020b [65] | Ames, IA, Prosper, ND and Morris and Rosemount, MN, USA | Pennycress, cereal rye and winter camelina | R4, R5 and R6 | Broadcast | CT | 909, 572, 673 and 886 | 9.8, 5.7, 5.7 and 6.8 | 76 | 79,000, 82,000 and 89,000 in corn and 445,000, 460,000, 430,000 and 376,000 in soybean | Corn and soybean |
| Moore and Mirsky, 2020 [66] | Beltsville, MD, USA | Cereal rye, annual ryegrass, red clover + crimson clover + hairy vetch mixture and annual ryegrass + red clover + crimson clover + hairy vetch mixture | V4–V6 and R6 | Drill and broadcast | NT | 1191 | 13.6 | 76 | 69,000 | Corn |
| Nelson et al., 2022 [67] | Novelty, MO, USA | Cereal rye and annual ryegrass | R6, R6.5, R7 and R8 | Broadcast | NT | 990.6 | 10.3 | 76 | 419,000 | Soybean |
| Nelson et al., 2011 [68] | Novelty, MO, USA | Cereal rye | Planting | Broadcast | CT | 990.6 | 10.3 | 19 and 76 | 346,000, 494,000 and 741,000 | Soybean |
| Nguyen et al., 2022 [69] | Hickory Corners, MI, USA | Oats + winter pea + radish mixture and annual ryegrass + rapeseed + crimson clover mixture | V5–V6 | Broadcast | CT | 1003 | 10.1 | 76 | 69,000 | Corn |
| Noland et al., 2018 [70] | Lamberton and Waseca, MN, USA | Hairy vetch, pennycress, red clover, cereal rye and oat + pea + radish mixture | V7 | Broadcast and drill | NT | 709 and 908 | 6.8 and 7.1 | 76 | 86,500 | Corn |
| Nunes et al., 2018 [71] | Aurora, NY, USA | Annual ryegrass + red clover + crimson clover + hairy vetch mixture | NA | Drill | NT and MP | 916 | 8.9 | NA | NA | Corn |
| Peterson et al., 2019 [72] | Fargo and Prosper, ND, USA | Winter camelina, winter pea, radish, cereal rye and winter camelina + winter pea + radish + cereal rye mixture | R4 and R6 | Broadcast | CT | 571 | 5.7 | 76 | 505,000 | Soybean |
| Peterson et al., 2021 [15] | Beltsville and Glendale, MD, USA | Cereal rye, cereal rye + hairy vetch mixture, cereal rye + pea mixture, cereal rye + red clover mixture, and cereal rye + crimson clover mixture | R5 | Drill | NT | 1191 and 1132 | 13.61 and 12 | 76 | 434,450 | Soybean |
| Rabin et al., 2023 [73] | Lamberton and Waseca, MN, USA | Annual ryegrass, annual ryegrass + crimson clover mixture and annual ryegrass + crimson clover + radish mixture | R5–R6 in corn and R7–R8 in soybean | Broadcast | NT, ST and CT | 709 and 908 | 6.8 and 7.1 | 76 | 89,000 in corn and 371,000 in soybean | Corn and soybean |
| Reinbott et al., 2004 [74] | Columbia, MO, USA | Oat, hairy vetch, pea, oat + hairy vetch mixture, and oat + pea mixture | R7 | Broadcast | NT | 1082 | 12.5 | 76 | NA | Soybean |
| Ruis et al., 2020 [75] | Concord, Clay Center and Mead, NE, USA | Cereal rye and cereal rye + radish + hairy vetch + winter pea mixture | R5.5 | Broadcast | NT | 731, 693 and 748 | 8.7, 10.3 and 9.9 | 76 | NA | Corn and soybean |
| Rusch et al., 2020 [76] | Grand Rapids, Lamberton and Waseca, MN, USA | Annual ryegrass, annual ryegrass + crimson clover mixture, annual ryegrass + crimson clover + radish mixture, cereal rye, cereal rye + crimson clover mixture and cereal rye + crimson clover+ radish mixture | V6 and R5 | Broadcast | ST | 734, 709 and 908 | 4.6, 6.9 and 7.1 | 76 | 86,000 | Corn |
| Schmidt et al., 2021 [77] | Casselton, Hickson and Prosper, ND, USA | Cereal rye, winter camelina and oilseed radish | V7 and R4 | Drill and broadcast | CT | 593, 571 and571 | 5.3, 5.6 and 5.7 | 76 | NA | Corn and soybean |
| Sedghi et al., 2023 [78] | Talbot and Kent County, MD, USA | Cereal rye + clover + brassica mixture | NA | Broadcast | NT, RT and CT | 1105–1120 | 13.6–14.1 | NA | NA | Corn and soybean |
| St. Aime et al., 2023 [16] | Pendleton, SC, USA | Buckwheat, pigeon pea, white clover and buckwheat + pigeon pea + white clover mixture | V4, V7 and V10 | Broadcast | CT | 1220 | 16.2 | 76 | 80,000 | Corn |
| Stanton and Haramoto, 2021 [79] | Princeton, KY, USA | Orchard grass and annual ryegrass | V5 | Drill | NT | 1296 | 14.7 | 76 | 74,000 | Corn |
| Thelen et al., 2004 [80] | Hickory Corners, MI, USA | Cereal rye | Planting and V4 | Drill | CT | 1003 | 10.1 | 19 and 76 | 446,000, 889,200 and 1,333,800 | Soybean |
| Thompson et al., 2020 [81] | Lexington, IL, USA | Cereal rye + radish mixture | NA | Broadcast | NT | 998 | 10.6 | NA | NA | Corn and soybean |
| Uchino et al., 2009 [82], 2012 [83] and 2015 [1] | Sapporo, Hokkaido, Japan | Cereal rye and hairy vetch | 2 week before planting, planting and 2 weeks after planting | Seed Tape | CT | 1229 | 6.2 | 6- | 74,000 in corn and 83,333 and 100,000 in soybean | Corn and soybean |
| Wallace et al., 2017 [84] | Aurora, NY, Beltsville and Landisville, MD and Pennsylvania Furnace, PA, USA | Annual ryegrass and red clover | V5 | Drill | NT | 917, 1191, 1091 and 1006 | 9.1, 13.6, 11.5 and 10.1 | 76 | 69,000–87,000 | Corn |
| Wallace et al., 2021 [14] | Lancaster, Mifflin and Union County, PA, USA | Annual ryegrass + orchard grass + forage radish mixture | V5–V7 | Broadcast and drill | RT and MP | 1087, 1051 and 1005 | 11.5, 10.8 and 10.1 | 76 | 65,000–81,250 | Corn |
| Wilson et al., 2019 [85] | Rosemount, MN, USA | Cereal rye | NA | Broadcast | CT | 886 | 6.8 | 76 | NA | Soybean |
| Youngerman et al., 2018 [86] | Aurora, NY, Beltsville, MD and Pennsylvania Furnace, PA, USA | Cereal rye + annual ryegrass + hairy vetch + red clover mixture | V5 | Drill | MO | 917, 1191 and 1006 | 9.1, 13.6 and 10.5 | 76 | 37,100, 74,100 and 111,200 | Corn |
| Study | Location | Cover Crop Species | Crop | Cover Crop Duration | Tillage | Crop Planting Stage | Soil Depth | Major Findings |
|---|---|---|---|---|---|---|---|---|
| Alonso-Ayuso et al., 2020 [29] | Aranjuaz, Spain | Annual ryegrass, barrel medic, yellow sweet clover and common vetch | Corn | 1 | CT | V4 and V5 | 0–40 | No effect in 2018 site year. Inorganic N concentration higher in control (21.3 kg N ha−1) and common vetch (14.3 kg N ha−1) than in barrel medic (7.1 kg N ha−1), yellow sweet clover (7.5 kg N ha−1) and annual ryegrass (3.1 kg N ha−1) in the other year. |
| Adler et al., 2020 [28] | Leonard, MO, USA | Wheat + radish + turnip mixture | Soybean | 2 | NT | R6 | 0–15 | No effect on pH, CEC, Ca, Mg, K, Na, P, PMN and SOC. |
| Belfry and Van Eard, 2016 [5] | Van Horne, ON, Canada | Alfalfa, radish and alfalfa + hairy vetch + oat + radish mixture | Corn | 1 | CT | V4–V6 and V10–V12 | 0–60 | No effect on NH4. In the fall, radish (15.4 mg kg−1) cover crop had lower NO3 than mixture (10.6 mg kg−1). In the following spring, NO3 was less in alfalfa (6.05 mg kg−1) than radish (8.36 mg kg−1) and no cover crop (9.45 mg kg−1). |
| Blanco-Canqui et al., 2017 [36] | Bellwood, NE, USA | Cereal rye | Corn | 3 | ST | NA | 0–10 | No effect on soil pH, NO3, K, P and SOC. |
| Curtright et al., 2023 [44] | East Lansing, MI, USA | Annual ryegrass, crimson clover, radish and annual ryegrass + crimson clover + radish mixture | Corn | 1 and 2 | NA | V3 and V6 | 0–10 | No effect on microbial biomass C, dissolved organic C, NO3, NH4 and dissolved organic N, but greater microbial biomass N under annual ryegrass + crimson clover + radish mixture (34.3 mg microbial biomass N kg−1 soil), radish (33.6 mg microbial biomass N kg−1 soil) and control (33.5 mg microbial biomass N kg−1 soil) than crimson clover (29.4 mg microbial biomass N kg−1 soil) cover crop. |
| Curtright et al., 2023 [44] | Richville, MI, USA | Annual ryegrass, crimson clover, radish and annual ryegrass + crimson clover + radish mixture | Corn | 1 and 2 | NA | V3 and V6 | 0–10 | No effect on microbial biomass C, dissolved organic C, NO3, NH4 and dissolved organic N, but greater microbial biomass N under annual ryegrass + crimson clover + radish mixture (34.3 mg microbial biomass N kg−1 soil), radish (33.6 mg microbial biomass N kg−1 soil) and control (33.5 mg microbial biomass N kg−1 soil) than crimson clover (29.4 mg microbial biomass N kg−1 soil) cover crop. |
| Donaldson, 2019 [45] | Linn County, OR, USA | Oats, cereal rye, winter wheat | Sweet corn | 1 | CT | V5–V8 | 0–60 | In 2017 no effect of cover crop on NO3 in 0–30 cm depth. In 2018 NO3 content was less under winter wheat (2.9 ppm) cover crop than control (4.8 ppm). No differences in residual NO3 at 30–60 cm depth. |
| Francis, 2020 [47] | Arlington, WI, USA | Red clover | Corn | 1 | NT | V4–V5 | 0–60 | No differences in soil NO3, NH4 and available N in fall or mid-summer sampling. In one of three years NO3 and available N were higher with no cover crop (4.5 mg kg−1 NO3 and 9.0 mg kg−1 available N) than in cover crop (2.2 mg kg−1 NO3 and 7.7 mg kg−1 available N) plots in spring. |
| Hively and Cox, 2001 [51] | New York, USA | White clover, red clover, barrel medic, alfalfa, ryegrass, red fescue | Soybean | 1 | MP | Last cultivation | 0–30 | In 1996 at planting and 1997 at V5 stage there was no difference in soil NO3. In 1996 NO3 was less in rye (11 mg kg−1) planted after harvest than white (18 mg kg−1) and red clover (18 mg kg−1), but no differences between preharvest planted cover crops and control. In 1997 NO3 was higher in red clover (7 mg kg−1) and rye after harvest (7 mg kg−1) than white clover (4 mg kg−1) at planting but no difference in any cover crop species from the control. |
| Isbell et al., 2022 [52] | Rock Springs, PA, USA | Annual ryegrass | Corn | 1 | CP | V5–V6 | Measured at 5 times in 0–10 cm depth and in following spring at 0–80 cm depth | No difference in 0–10 cm soil inorganic N under corn grain, but there was less inorganic N under annual ryegrass than control at one of five sampling dates under corn silage. Annual ryegrass (2.4 mg N kg−1 soil) reduced inorganic N compared to control (5.3 mg N kg−1 soil) in 40–80 cm depth under grain and in 0–80 cm depth under silage (4.6 mg N kg−1 soil in control and 1.9 mg N kg−1 soil under annual ryegrass). Soil CO2 burst was higher under annual ryegrass (247 mg C kg−1 soil) than no cover crop (214 mg C kg−1) soil the following June, but no difference in December sampling or at either date under grain. |
| Jones et al., 1998 [55] | Hickory Corners, MI, USA | Annual ryegrass + red clover mixture | Corn | 1 | CT | V6 | 0–30 | No difference in NO3 in June 1994, but higher NO3 under cover crop (10.6 mg kg−1) than no cover crop (7.6 mg kg−1) in June 1995. |
| Kaspar et al., 2006 [58] | Ames, IA, USA | Cereal rye, oat and cereal rye + oat mixture | Corn-soybean | 4–6 | NT and CT | NA | 0–5 | No effect of cover crop on soil organic carbon when planting cover crop every other year only following soybean. |
| Koehler-Cole et al., 2020 [61] | Concord, NE, USA | Cereal rye and cereal rye + hairy vetch + winter pea + radish mixture | Corn | 1–3 | NT | NA | 0–20 | Cover crops did not affect soil NO3 in 2016, but NO3 was less under both cover crop treatments (2 mg kg−1 with cover crops and 4 mg kg−1 with no cover crop) in 2017 and rye cover crop treatment in 2018 (2 mg kg−1 with cereal rye cover crop and 4 mg kg−1 with no cover crop and mixture). |
| Koehler-Cole et al., 2020 [61] | Clay Center, NE, USA | Cereal rye and cereal rye + hairy vetch + winter pea + radish mixture | Corn | 1–3 | NT | NA | 0–20 | Less NO3 under both cover crop treatments in 2016 (2 mg kg−1 with cover crops and 4 mg kg−1 with no cover crop) and 2017 (9 mg kg−1 with mixture, 11 mg kg−1 with cereal rye 19 mg kg−1 with no cover crop) and rye cover crop treatment in 2018 (9 mg kg−1 under cereal rye and 13 mg kg−1 under mixture and no cover crop). |
| Koehler-Cole et al., 2020 [61] | Mead, NE, USA | Cereal rye and cereal rye + hairy vetch + winter pea + radish mixture | Corn | 1–3 | NT | NA | 0–20 | No effect on soil NO3 in 2017 and 2018 but lower NO3 under rye cover crop (1 mg kg−1) than control (5 mg kg−1) treatment in 2016. |
| Koehler-Cole et al., 2023 [60] | Concord, NE, USA | Cereal rye, hairy vetch + winter pea mixture, cereal rye + hairy vetch + winter pea + radish mixture and cereal rye + black oat + forage collard + radish + hairy vetch + winter pea + clover mixture | Corn-soybean and continuous corn | 4 | NT | NA | 0–20 | No effect of cover crop on soil NO3 and organic C under continuous corn or corn-soybean rotation. In corn-soybean rotation P was higher in hairy vetch + winter pea mixture (40 mg kg−1) and cereal rye + black oat, forage collard + radish + hairy vetch + winter pea + clover mixture (40 mg kg−1) than the other treatments (29 mg kg−1 in cereal rye + hairy vetch + winter pea + radish mixture and cereal rye and 31 mg kg−1 in control) and K was higher in the hairy vetch + winter pea mixture (313 mg kg−1) than the cereal rye + hairy vetch + winter pea + radish mixture (260 mg kg−1), cereal rye (263 mg kg−1) and control (271 mg kg−1) treatment. In continuous corn K and P were less under rye (23 mg kg−1 P and 258 mg kg−1 K) and winter pea + hairy vetch mixture (27 mg kg−1 P and 261 mg kg−1 K) than control (33 mg kg−1 P and 297 mg kg−1 K) and other two cover crop treatments (35 mg kg−1 P and 297 mg kg−1 K under cereal rye + hairy vetch + winter pea + radish mixture and 35 mg kg−1 P and 300 mg kg−1 K under cereal rye + black oat + forage collard + radish + hairy vetch + winter pea + clover mixture). |
| Koehler-Cole et al., 2023 [60] | Clay Center, NE, USA | Cereal rye, hairy vetch + winter pea mixture, cereal rye + hairy vetch + winter pea + radish mixture and cereal rye + black oat + forage collard + radish + hairy vetch + winter pea + clover mixture | Corn-soybean and continuous corn | 4 | NT | NA | 0–20 | No effect of cover crop on soil P and organic C under continuous corn or corn-soybean rotations. In corn-soybean rotation and continuous corn NO3 was higher in the hairy vetch + winter pea mixture (12 mg kg−1) and control (11 mg kg−1) than the other three treatments (8 mg kg−1 under cereal rye and 9 mg kg−1 under cereal rye + hairy vetch + winter pea + radish mixture and cereal rye + black oat + forage collard + radish + hairy vetch + winter pea + clover mixtures). Under corn-soybean rotation K concentration was the same across treatments, but in continuous corn cereal rye + black oat + forage collard + radish + hairy vetch + winter pea + clover mixture (302 mg kg−1) and hairy vetch + winter pea mixture (302 mg kg−1) had lower K than the control (334 mg kg−1). |
| Koehler-Cole et al., 2023 [60] | Mead, NE, USA | Cereal rye, hairy vetch + winter pea mixture, cereal rye + hairy vetch + winter pea + radish mixture and cereal rye + black oat + forage collard + radish + hairy vetch + winter pea + clover mixture | Corn-soybean and continuous corn | 4 | NT | NA | 0–20 | No effect of cover crop on soil P and organic C under continuous corn or corn-soybean rotation. In corn-soybean rotation NO3 was higher in control (5 mg kg−1), hairy vetch + winter pea mixture (6 mg kg−1) and cereal rye + black oat + forage collard + radish + hairy vetch + winter pea + clover mixture (5 mg kg−1) than the cereal rye cover crop (2 mg kg−1). In continuous corn NO3 concentration was lower under cereal rye cover crop (3 mg kg−1) than the winter pea + hairy vetch mixture (5 mg kg−1). Under corn-soybean rotation K concentration was the same across treatments, but in continuous corn cereal rye (402 mg kg−1) increased K compared to control (366 mg kg−1). |
| Liu et al., 2019 [62] | Lamberton, MN, USA | Winter camelina, pennycress and cereal rye | Corn and soybean | 1 and 2 | RT | NA | 0–30 | In one of two springs all three cover crop species reduced NO3 in corn (20.4 kg ha−1 under control, 3.7 kg ha−1 under cereal rye, 9.8 kg ha−1 under winter camelina and 9.6 kg ha−1 under pennycress) and winter camelina (6.9 kg ha−1) and cereal rye (3.9 kg ha−1) cover crops reduced soil NO3 compared to control (22.4 kg ha−1) under soybean. No effect on soil NO3 in the fall. Soil N mineralization was higher under cereal rye cover crop than control under corn and under cereal rye and winter camelina cover crop than control under soybean. |
| Mohammed et al., 2020b [64] | Ames, IA, USA | Pennycress, winter camelina and cereal rye | Corn and soybean | 1 and 2 | CT | R4–R6 in corn and R6–R8 in soybean | 0–60 | No effect of any cover crop on soil NO3 and NH4. |
| Mohammed et al., 2020 [64] | Prosper, ND, USA | Pennycress, winter camelina and cereal rye | Corn and soybean | 1 and 2 | CT | R4–R6 in corn and R6–R8 in soybean | 0–60 | No effect of cover crops on soil NH4. Cereal rye (6.8 mg kg−1) and pennycress (7.0 mg kg−1) cover crops reduced spring soil NO3 compared to control (14.4 mg kg−1) and winter camelina (12.0 mg kg−1) when interseeded into corn and fall and spring NO3 when interseeded into soybean (10.7 mg kg−1 under no cover crop, 5.4 mg kg−1 under pennycress, 4.5 mg kg−1 under cereal rye and 7.4 mg kg−1 under winter camelina). |
| Mohammed et al., 2020 [64] | Rosemount, MN, USA | Pennycress, winter camelina and cereal rye | Soybean | 1 and 2 | CT | R4–R6 in corn and R6–R8 in soybean | 0–60 | No effect of cover crops on soil NH4. In fall cereal rye (2.4 mg kg−1) had lower NO3 in 15–60 cm depth than winter camelina (3.7 mg kg−1) but no differences occurred in 0–15 cm depth. In spring sampling cereal rye (0.9 mg kg−1) had lower NO3 than control (2.7 mg kg−1), winter camelina (4.1 mg kg−1) and pennycress (3.1 mg kg−1) cover crop in 0–15 cm depth but no differences in 15–60 cm depth. |
| Mohammed et al., 2020 [64] | Morris, MN, USA | Pennycress, winter camelina and cereal rye | Corn and soybean | 1 and 2 | CT | R4–R6 in corn and R6–R8 in soybean | 0–60 | No effect of cover crop on NH4 and NO3 in corn. Lower NO3 in fall under cereal rye camelina (1.9 mg kg−1), pennycress camelina (2.6 mg kg−1) and winter camelina (2.7 mg kg−1) cover crop than no cover crop (4 mg kg−1). |
| Nguyen et al., 2022 [69] | Hickory Corners, MI, USA | Oats + winter pea + radish mixture and annual ryegrass + rapeseed + crimson clover mixture | Corn | 1 | CT | V5–V6 | 0–10 | No effect of cover crop on soil CO2 burst, microbial biomass C and NH4 concentration. Higher potentially mineralizable N under both cover crop mixtures (0.19 mg N kg−1 soil day−1 under oats + winter pea + radish mixture and 0.18 mg N kg−1 soil day−1 under annual ryegrass + rapeseed + crimson clover mixture) than control (0.14 mg N kg−1 soil day−1). Lower NO3 under annual ryegrass + rapeseed + crimson clover mixture than control and oat + winter pea + radish mixture. |
| Noland et al., 2018 [70] | Lamberton, MN, USA | Hairy vetch, cereal rye, red clover, pennycress and oat + pea + radish mixture | Corn | 1 | NA | V7 | 0–30 | Lower NO3 under cereal rye (9.7 kg N ha−1) and pennycress (20.1 kg N ha−1) than red clover (28.8 kg N ha−1) cover crop and control (28.7 kg N ha−1). |
| Noland et al., 2018 [70] | Waseca, MN, USA | Hairy vetch, cereal rye, red clover, pennycress and oat + pea + radish mixture | Corn | 1 | NA | V7 | 0–30 | Lower NO3 under pennycress (14.1 kg N ha−1), cereal rye (8.8 kg N ha−1), hairy vetch (11.2 kg N ha−1) and red clover (12.4 kg N ha−1) than oat + pea + radish mixture (31.7 kg N ha−1) and control (27.6 kg N ha−1). |
| Nunes et al., 2018 [71] | Aurora, NY, USA | Annual ryegrass + red clover + crimson clover + hairy vetch mixture | Corn | 4 | NT and MP | NA | 0–15 | No effect on soil active C, total N, P, K, Mg and Mn. Cover crop increased soil organic matter (28.8 g kg−1 with cover crop and 27.4 g kg−1 with no cover crop), CO2 burst (0.625 mg CO2 g−1 soil with cover crop and 0.48 mg CO2 g−1 soil with no cover crop), iron (0.602 mg kg−1 with cover crop and 0.528 mg kg−1) with no cover crop and zinc (1.53 mg kg−1 with cover crop and 0.88 mg kg−1 with no cover crop) concentration. |
| Peterson et al., 2019 [72] | Prosper, ND, USA | Winter camelina, winter pea, radish, cereal rye and winter camelina + radish + winter pea + cereal rye mixture | Soybean | 1 | CT | R4 and R6 | 0–60 | In 2016 winter pea (20.2 kg ha−1) cover crop when planted at R4 stage, and winter pea (23.72 kg ha−1), cereal rye (21.52 kg ha−1) and winter pea + cereal rye + radish + winter pea mixture (21.82 kg ha−1) planted at R6 stage reduced fall soil NO3 compared to control (61.72 kg ha−1). No effect of cover crops on NO3 in fall and spring of 2017, spring 2018 and post wheat harvest NO3 in both years. |
| Peterson et al., 2019 [72] | Fargo, ND, USA | Winter camelina, winter pea, radish, cereal rye and winter camelina + radish + winter pea + cereal rye mixture | Soybean | 1 | CT | R4 and R6 | 0–60 | No effect on fall, spring or postharvest soil NO3 |
| Ruis et al., 2020 [75] | Concord, NE, USA | Cereal rye and cereal rye + winter pea + hairy vetch + radish mixture | Corn and corn-soybean | 4 | NT | NA | 0–20 | No effect of cover crops on soil organic C and total N. No effect on particulate organic matter under corn-soybean, but preharvest cover crop (19.7 g kg−1) increased particulate organic matter under continuous corn compared to control (16.5 g kg−1). |
| Ruis et al., 2020 [75] | Mead, NE, USA | Cereal rye and cereal rye + winter pea + hairy vetch + radish mixture | Corn and corn-soybean | 4 | NT | NA | 0–20 | No effect of cover crop on soil total organic C, total N and particulate organic matter. |
| Ruis et al., 2020 [75] | Clay Center, NE, USA | Cereal rye and cereal rye + winter pea + hairy vetch + radish mixture | Corn and corn-soybean | 4 | NT | NA | 0–20 | No effect of cover crop on soil organic C, total N and particulate organic matter. |
| Sedghi et al., 2023 [78] | Ralbot and Kent County, MD, USA | Cereal rye + clover + brassica mixture | Corn-soybean | 1 | NT, VT and CP | NA | 0–30 | Cover crops reduced NH4 (11.1 mg N kg−1 soil with no cover crop and 9.6 mg N kg−1 soil with cover crop) but did not affect soil NO3 and organic matter the following spring. |
| Wallace et al., 2021 [84] | Lancaster County, PA, USA | Annual ryegrass + orchard grass + radish mixture | Corn | 1 | MP | V5–V7 | 0–20 | No effect on soil inorganic N in fall, but postharvest planted cereal rye (3.3 mg N kg−1) had lower inorganic N soil than drill-interseeded treatment (4.9 mg N kg−1 soil). |
| Wallace et al., 2021 [84] | Mifflin County, PA, USA | Annual ryegrass + orchard grass + radish mixture | Corn | 1 | MP and D | V5–V7 | 0–20 | No effect of cover crop on soil inorganic N in fall and following spring. |
| Wallace et al., 2021 [84] | Union County, PA, USA | Annual ryegrass + orchard grass + radish mixture | Corn | 1 | MP | V5–V7 | 0–20 | No effect of cover crop on fall inorganic N but drill-interseeded (12.8 mg N kg−1 soil) cover crops had higher spring inorganic N than no cover crop (8.8 mg N kg−1 soil). |
| Study | Location | Cover Crop Species | Crop | Cover Crop Duration | Tillage | Crop Planting Stage | Soil Depth | Effect on Soil Property |
|---|---|---|---|---|---|---|---|---|
| Adler et al., 2020 [28] | Leonard, MO, USA | Wheat + radish + turnip mixture | Soybean | 2 | NT | R6 | 0–15 | No effect on WSA |
| Batildas, 2019 [32] | Clay Center, NE, USA | Radish + cereal rye + hairy vetch mixture | Corn | 1 | NT | Planting, V8 and R5 | 0–120 | Averaged across dates at 30 cm depth water content was less under no cover crop (0.31 cm3 cm−3) than when cover crop was seeded at V8 stage (0.35 cm3 cm−3). No difference in water content at other depths. Across dates soil temperature was less at 12 cm depth when cover crop was planted at planting (21.1 °C) compared to no cover crop (21.2 °C) and V8 (21.3 °C) and R5 (21.2 °C) growth stages. |
| Batildas, 2019 [32] | Lincoln, NE, USA | Radish + cereal rye + hairy vetch mixture | Corn | 1 | NT | Planting, V8 and R5 | 0–120 | Across dates at 15 cm depth planting cover crop at planting (0.36 cm3 cm−3), V8 (0.36 cm3 cm−3) and R5 (0.35 cm3 cm−3) stages reduced water content compared to control (0.38 cm3 cm3). At 30 cm depth water content was less when cover crop was planted at V8 (0.35 cm3 cm−3) and R5 (0.36 cm3 cm−3) stage than at main crop planting (0.37 cm3 cm−3) or no cover crop (0.37 cm3 cm−3) treatments. At 45 cm depth water content was less when cover crop was planted at corn planting (0.33 cm3 cm−3) than V8 (0.35 cm3 cm−3) and R5 (0.36 cm3 cm−3) stages. Across dates planting cover crop at corn planting (21.4 °C) reduced soil temperature at 12 cm depth compared to no cover crop (22.1 °C) and cover crop planted at V8 (22.1 °C) and R5 (22.1 °C) growth stages. |
| Blanco-Canqui et al., 2017 [36] | Bellwood, NE, USA | Cereal rye | Corn | 3 | ST | NA | 0–10 | No effect of cover crop on WSA, DAS, water content and bulk density when sampled each spring |
| Goettl et al., 2024 [49] | Leonard and Rutland, ND, USA | Flax + faba bean + oats + winter pea + crimson clover + buckwheat + phacelia + forage radish, cereal rye + red clover + alfalfa and sorghum + millet + cereal rye + red clover + alfalfa. | Corn | 1 | NT | V4, V5 | 5–15 | No effect of cover crop on soil water content between July and crop harvest |
| Kaspar et al., 2001 [57] | Ames, IA, USA | Cereal rye and oat | Corn-soybean | 1, 2 and 3 | NT and CT | NA | 0–7.6 | In year 3 cereal rye cover crop (13 g m−2 s−1) had higher infiltration rate than control (10.9 g m−2 s−1), but oat (11.8 g m−2 s−1) cover crop was not different from either. Cereal rye cover crop (0.317 cm3 cm−3) had higher soil water content than control (0.293 cm3 cm−3) and oat (0.287 cm3 cm−3) at planting. No differences in infiltration and water content after year 1 and 2 and bulk density between treatments. |
| Kaspar et al., 2006 [58] | Ames, IA, USA | Cereal rye, oat and cereal rye + oat mix | Corn-soybean | 4–6 | NT and CT | NA | 0–5 | No effect of cover crop on bulk density when planting cover crop every year only following soybean. |
| Mohammed et al., 2020 [64] | Ames, IA, USA | Pennycress, winter camelina and cereal rye | Corn and soybean | 1 and 2 | CT | R4–R6 in corn and R6–R8 in soybean | 0–60 | No effect of any cover crop on soil water content. |
| Mohammed et al., 2020 [64] | Prosper, ND, USA | Pennycress, winter camelina and cereal rye | Corn and soybean | 1 and 2 | CT | R4–R6 in corn and R6–R8 in soybean | 0–60 | No effect of any cover crop on soil water content. |
| Mohammed et al., 2020 [64] | Rosemount, MN, USA | Pennycress, winter camelina and cereal rye | Soybean | 1 and 2 | CT | R4–R6 in corn and R6–R8 in soybean | 0–60 | No effect of any cover crop on soil water content. |
| Mohammed et al., 2020 [64] | Morris, MN, USA | Pennycress, winter camelina and cereal rye | Corn and soybean | 1 and 2 | CT | R4–R6 in corn and R6–R8 in soybean | 0–60 | No effect of any cover crop on soil water content. |
| Nguyen et al., 2022 [69] | Hickory Corners, MI, USA | Oats + winter pea + radish mixture and annual ryegrass + rapeseed + crimson clover mixture | Corn | 1 | CT | V5–V6 | 0–10 | No effect of cover crop on soil water content or <0.25 mm aggregates. Less >2 mm, but more 0.25–2 mm aggregates under annual ryegrass + rapeseed + crimson clover mixture (31.6% > 2 mmm and 62.6% between 0.25 and 2 mm) than control (41.5% > 2 mm and 53.2% between 0.25 and 2 mm). |
| Nunes et al., 2018 [71] | Aurora, NY, USA | Annual ryegrass + red clover + crimson clover + hairy vetch mixture | Corn | 4 | NT and MP | NA | 0–15 | Cover crop (0.260 cm3 cm−3) increased available water compared to control (0.252 cm3 cm−3) but did not affect WSA, penetration resistance and infiltration. |
| Ruis et al., 2020 [75] | Concord, NE, USA | Cereal rye and cereal rye + winter pea + hairy vetch + radish mixture | Corn and corn-soybean | 4 | NT | 0–20 | No effect of cover crop on bulk density, wet aggregate stability and sorptivity, but cover crop mixture (1.11 MPa) reduced cone index compared to cereal rye (1.24 MPa) and control (1.29 MPa) under continuous corn. In corn-soybean, cover crops did not affect wet aggregate stability and bulk density, but the cover crop mixture (1.07 MPa) reduced cone index compared to control (1.18 MPa) and cereal rye cover crop (1.21 MPa). | |
| Ruis et al., 2020 [75] | Mead, NE, USA | Cereal rye and cereal rye + winter pea + hairy vetch + radish mixture | Corn and corn-soybean | 4 | NT | 0–20 | No effect of cover crop on bulk density, sorptivity, cone index and wet aggregate stability in both cropping systems. | |
| Ruis et al., 2020 [75] | Clay Center, NE, USA | Cereal rye and cereal rye + winter pea + hairy vetch + radish mixture | Corn and corn-soybean | 4 | NT | 0–20 | No effect of cover crop on bulk density, sorptivity and wet aggregate stability. In continuous corn cone index was less under cereal rye (2.01 MPa) and no cover crop (2.64 MPa) than the cover crop mixture (3.80 MPa), and bulk density was less under cover crop mixture (1.12 g cm−3) than no cover crop (1.20 g cm−3). Under corn-soybean rotation cover crop mixture (4.14 MPa) had higher penetration resistance than no cover crop (2.8 MPa). | |
| Rusch et al., 2020 [76] | Lamberton, MN, USA | Cereal rye | Corn | 1 | CT | R5 | 0–30 | No effect of cover crop on soil water content the following spring. |
| Rusch et al., 2020 [76] | Grand Rapids, MN, USA | Cereal rye | Corn | 1 | CT | R5 | 0–30 | No effect of cover crop on soil water content the following spring. |
| Rusch et al., 2020 [76] | Waseca, MN, USA | Cereal rye | Corn | 1 | CT | R5 | 0–30 | No effect of cover crop on soil water content the following spring. |
| Sedghi et al., 2023 [78] | Ralbot and Kent County, MD, USA | Cereal Rye + Clover +Brassica | Corn-soybean | 1 | NT, RT and CT | NA | 0–30 | Cover crops did not affect soil water content. |
| St. Aime et al., 2023 [16] | Pendleton, SC, USA | Buckwheat, pigeon pea, white clover and buckwheat + pigeon pea + white clover mixture | Corn | 1 | CT | V4–V10 | 0–20 | Water content was generally not affected by cover crops when measured in the fall. |
| Study | Location | Cover Crop Species | Crop | Cover Crop Duration | Tillage | Crop Planting Stage | Soil Depth | Effects |
|---|---|---|---|---|---|---|---|---|
| Bich et al., 2014 [34] | Aurora, SD, USA | Winter wheat + lentil + crimson clover mixture | Corn | 1 | CT | V3–V5 | 0–15 | No effect of cover crop on soil microbial biomass, fungi and bacteria concentration. |
| Bich et al., 2014 [34] | Andover, SD, USA | Winter wheat + lentil + crimson clover mixture | Corn | 1 | NT | V3–V5 | 0–15 | No effect of cover crop on soil microbial biomass, fungi and bacteria concentration. |
| Bich et al., 2014 [34] | Trail City, SD, USA | Winter wheat + lentil + crimson clover mixture | Corn | 1 | NT | V3–V5 | 0–15 | No effect of cover crop on soil microbial biomass, fungi and bacteria concentration. |
| Curtright et al., 2023 [44] | East Lansing, MI, USA | Annual ryegrass, crimson clover, radish and annual ryegrass + crimson clover + radish mixture | Corn | 1 and 2 | NA | V3 and V6 | 0–10 | No effect of cover crop on soil β-glucosidase, N-acetyl-glycosaminidase, peptidase and phosphatase concentration. |
| Curtright et al., 2023 [44] | Richville, MI, USA | Annual ryegrass, crimson clover, radish and annual ryegrass + crimson clover + radish mixture | Corn | 1 and 2 | NA | V3 and V6 | 0–10 | No effect of cover crop on soil β-glucosidase, N-acetyl-glucosaminidase, peptidase and phosphatase. |
| Isbell et al., 2022 [52] | Rock Springs, PA, USA | Annual ryegrass | Corn | 1 | CP | V5–V6 | 0–10 | In June there was more PLFA biomass under cover crop than no cover crop treatment. Under corn grain with high N PLFA biomass was 60.7 nmol PLFA g−1 soil with no cover crop and 75.1 nmol PLFA g−1 soil with interseeded cover crop. Under corn silage PLFA biomass was 58.7 nmol PLFA g−1 soil with no cover crop and 70.8 nmol PLFA g−1 soil with interseeded cover crop. Also, there were some differences in the abundance of different soil microbial groups in both December and June sampling. |
Disclaimer/Publisher’s Note: The statements, opinions and data contained in all publications are solely those of the individual author(s) and contributor(s) and not of MDPI and/or the editor(s). MDPI and/or the editor(s) disclaim responsibility for any injury to people or property resulting from any ideas, methods, instructions or products referred to in the content. |
© 2024 by the author. Licensee MDPI, Basel, Switzerland. This article is an open access article distributed under the terms and conditions of the Creative Commons Attribution (CC BY) license (https://creativecommons.org/licenses/by/4.0/).
Share and Cite
Klopp, H.W. Effects of Interseeding Cover Crops into Corn and Soybean on Biomass Production, Grain Yields and Ecosystem Services: A Review. Agronomy 2024, 14, 1229. https://doi.org/10.3390/agronomy14061229
Klopp HW. Effects of Interseeding Cover Crops into Corn and Soybean on Biomass Production, Grain Yields and Ecosystem Services: A Review. Agronomy. 2024; 14(6):1229. https://doi.org/10.3390/agronomy14061229
Chicago/Turabian StyleKlopp, Hans W. 2024. "Effects of Interseeding Cover Crops into Corn and Soybean on Biomass Production, Grain Yields and Ecosystem Services: A Review" Agronomy 14, no. 6: 1229. https://doi.org/10.3390/agronomy14061229
APA StyleKlopp, H. W. (2024). Effects of Interseeding Cover Crops into Corn and Soybean on Biomass Production, Grain Yields and Ecosystem Services: A Review. Agronomy, 14(6), 1229. https://doi.org/10.3390/agronomy14061229

