Subsoiling Combine with Layered Nitrogen Application Optimizes Root Distribution and Improve Grain Yield and N Efficiency of Summer Maize
Abstract
1. Introduction
2. Material and Methods
2.1. Site Description
2.2. Experimental Design
2.3. Sampling and Measurement
2.3.1. Soil Bulk Density
2.3.2. Soil Total N Content
2.3.3. Dry Weight and Total N Content
2.3.4. Root Bleeding Sap
2.3.5. Root Morphological and Dry Weight
2.3.6. Grain Yield and Ear Characteristics
2.3.7. Statistical Analysis
3. Results
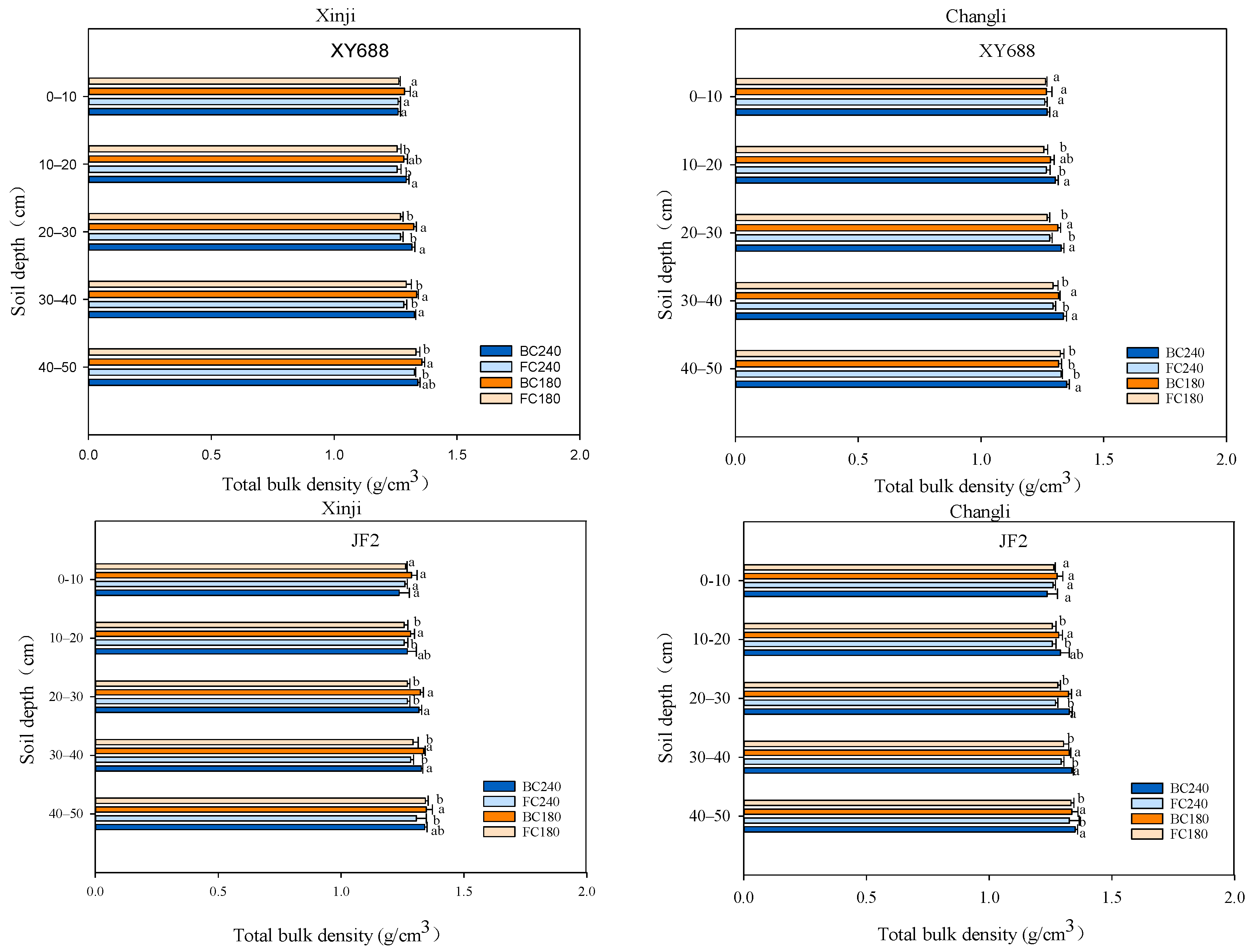
3.1. Soil Bulk Density
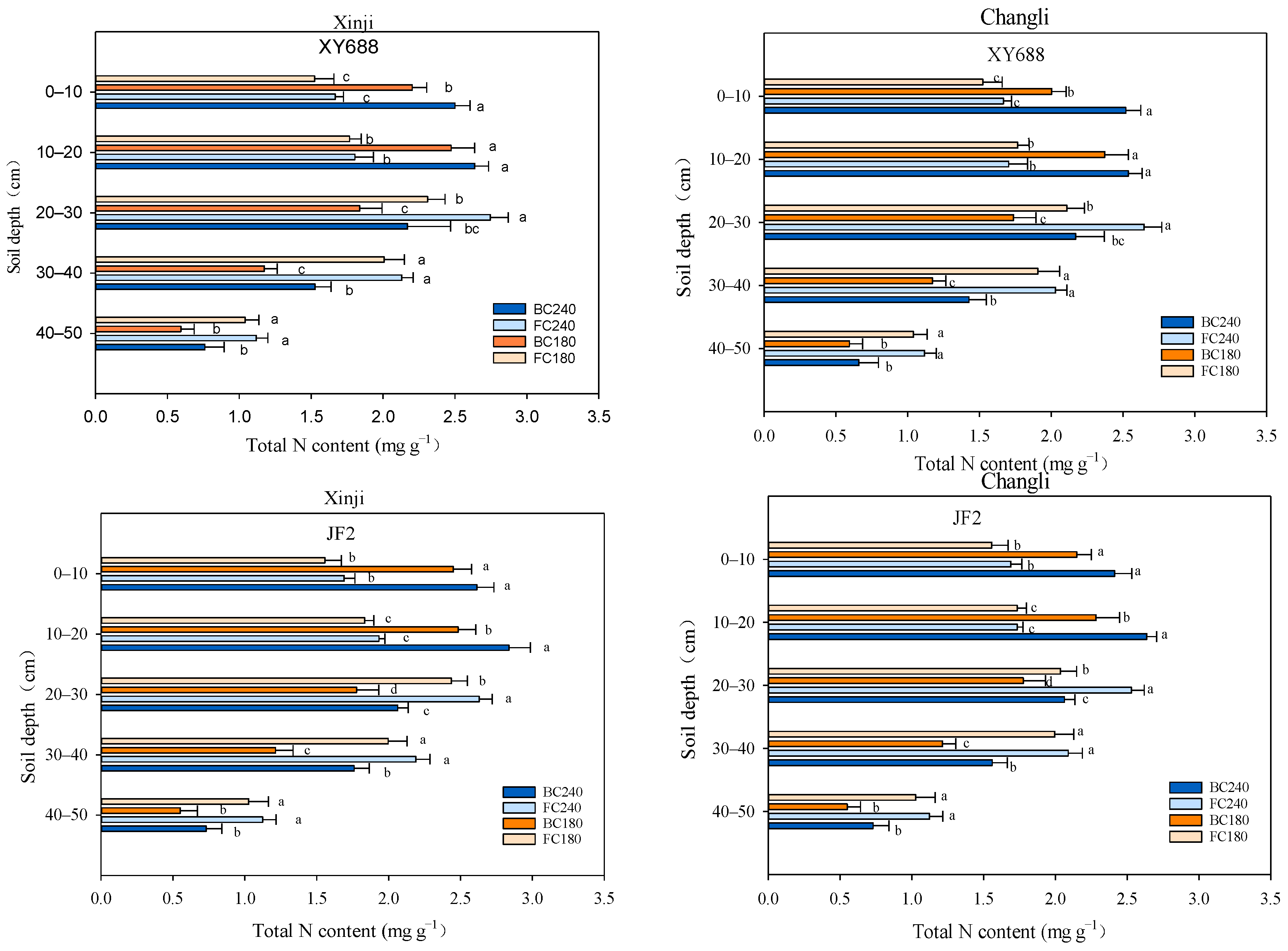
3.2. Soil Total N Content
3.3. Root Morphology
3.4. Root Length Spatial Distribution
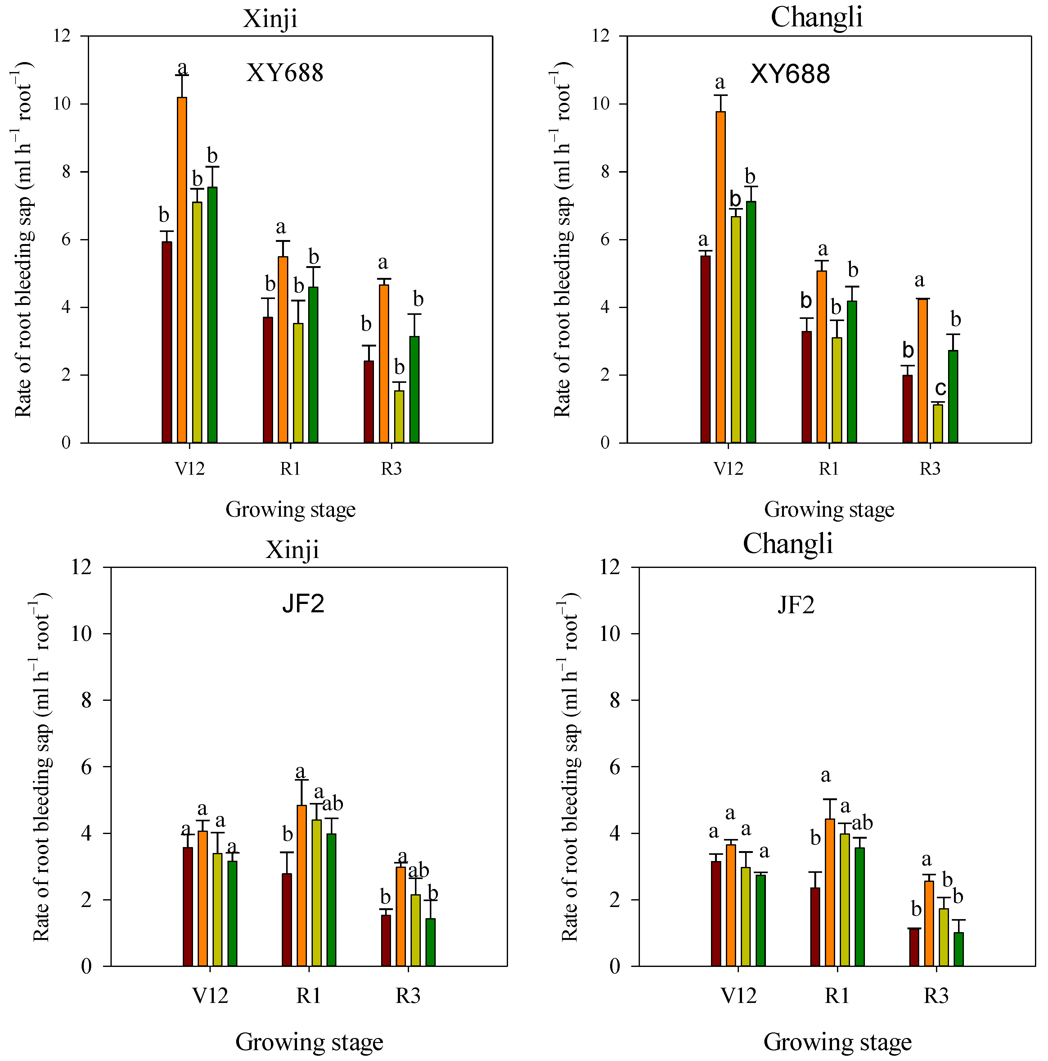
3.5. Root Bleeding Sap
3.6. Shoot Dry Matter Accumulation
3.7. Characteristics of the Maize Ear
3.8. Grain Yield
3.9. N Efficiency
3.10. Correlation Analysis
4. Discussion
4.1. Soil Physical and Chemical Properties and Maize Root Traits
4.2. Dry Matter Accumulation, N Absorption and Utilization, and Grain Yield
5. Conclusions
Author Contributions
Funding
Data Availability Statement
Conflicts of Interest
References
- China Agricultural Yearbook; China Agric. Publ. House: Beijing, China, 2016; (In Chinese with English abstract).
- Wang, H.; Zhang, L.; Dawes, W.R.; Liu, C. Improving water use efficiency of irrigated crops in the North China Plain measurements and modeling. Agric. Water Manag. 2001, 48, 151–167. [Google Scholar] [CrossRef]
- Gathala, M.K.; Timsina, J.; Islam, M.S.; Rahman, M.M.; Hossain, M.I.; ArRashid, M.H.; Ghosh, A.K.; Krupnik, T.J.; Tiwari, T.P.; McDonald, A. Conservation agriculture based tillage and crop establishment options can maintain farmers’ yields and increase profits in South Asia’s rice-maize systems: Evidence from Bangladesh. Field Crops Res. 2015, 172, 85–98. [Google Scholar] [CrossRef]
- Wu, P.; Liu, F.; Li, H.; Cai, T.; Zhang, P.; Jia, Z. Suitable fertilizer application depth can increase nitrogen use efficiency and maize yield by reducing gaseous nitrogen losses. Science of The Total Environment 2021, 781, 146787. [Google Scholar] [CrossRef]
- Liu, Z.; Gao, J.; Gao, F.; Liu, P.; Zhao, B.; Zhang, J. Late harvest improves yield and nitrogen utilization efficiency of summer maize. Field Crops Res. 2019, 232, 88–94. [Google Scholar] [CrossRef]
- Li, G.H.; Cheng, G.G.; Lu, W.P.; Lu, D.L. Differences of yield and nitrogen use efficiency under different applications of slow release fertilizer in spring maize. J. Integr. Agric. 2021, 20, 554–564. [Google Scholar] [CrossRef]
- York, L.M.; Nord, E.A.; Lynch, J.P. Integration of root phenes for soil resource acquisition. Front Plant Sci. 2013, 4, 5493–5505. [Google Scholar] [CrossRef]
- York, L.M.; Lynch, J.P. Intensive field phenotyping of maize (Zea mays L.) root crowns identifies phenes and phene integration associated with plant growth and N acquisition. J. Exp. Bot. 2015, 66, 5493–5503. [Google Scholar] [CrossRef]
- Postma, J.A.; Dathe, A.; Lynch, J.P. The optimal lateral root branching density for maize depends on nitrogen and phosphorus availability. Plant Physiol. 2014, 166, 590–602. [Google Scholar] [CrossRef]
- Mi, G.H.; Chen, F.J.; Chun, L.; Guo, Y.F.; Tian, Q.Y.; Zhang, F.S. Biological characteristics of nitrogen efficient maize genotypes. Plant Nutr. Fertil. Sci. 2007, 13, 155–159. [Google Scholar]
- Wang, Q.J.; Lu, C.Y.; Li, H.W.; He, J.; Sarker, K.K.; Rasaily, R.G.; Liang, Z.H.; Qiao, X.D.; Li, H.; Mchugh, A.D.J. The effects of no-tillage with subsoiling on soil properties and maize yield: 12-year experiment on alkaline soils of Northeast China. Soil Till Res. 2014, 137, 43–49. [Google Scholar] [CrossRef]
- Hochholdinger, F.; Park, W.J.; Sauer, M.; Woll, K. From weeds to crops: Genetic analysis of root development in cereals. Trends Plant Sci. 2004, 9, 42–48. [Google Scholar] [CrossRef]
- Lynch, J.P. Steep, cheap and deep: An ideotype to optimize water and N acquisition by maize root systems. Ann. Bot. 2013, 112, 347–357. [Google Scholar] [CrossRef]
- Guo, H.C.; York, L.M. Maize with fewer nodal roots allocates mass to more lateral and deep roots that improve N uptake and shoot growth. J. Exp. Bot. 2019, 70, 5299–5309. [Google Scholar] [CrossRef]
- Postma, J.A.; Lynch, J.P. Root cortical aerenchyma enhances the growth of maize on soils with suboptimal availability of nitrogen, phosphorus, and potassium. Plant Physiol. 2011, 156, 1190–1201. [Google Scholar] [CrossRef]
- Saengwilai, P.; Tian, X.L.; Lynch, J.P. Low crown root number enhances nitrogen acquisition from low-nitrogen soils in maize. Plant Physiol. 2014, 166, 581–589. [Google Scholar] [CrossRef]
- Saengwilai, P.; Nord, E.A.; Chimungu, J.G.; Brown, K.M.; Lynch, J.P. Root cortical aerenchyma enhances N acquisition from low-N soils in maize. Plant Physiol. 2014, 166, 726–735. [Google Scholar] [CrossRef]
- Yin, B.Z.; Zhao, H.H.; Wang, Y.D.; Zhao, J.; Pan, Z.H.; Zhen, W.C. Effects of optimized subsoiling tillage on field water conservation and summer maize (Zea mays L.) yield in the North China Plain. Agric. Water Manag. 2021, 247, 106732. [Google Scholar] [CrossRef]
- Wang, D.Y.; Ye, C.; Xu, C.M.; Wang, Z.M.; Chen, S.; Chu, G.; Zhang, X.F. Soil N distribution and plant N utilization in direct-seeded rice in response to deep placement of basal fertilizer-N. Rice Sci. 2019, 26, 404–415. [Google Scholar]
- Zhu, C.; Ou, Y.; Diao, Y.; Yu, J.; Luo, X.; Zheng, J.; Li, X. Effects of mechanized deep placement of N fertilizer rate and type on rice yield and N use efficiency in Chuanxi Plain. China J. Integr. Agric. 2021, 20, 581–592. [Google Scholar] [CrossRef]
- Zhao, C.; Huang, H.; Qian, Z.; Jiang, H.; Liu, G.; Xu, K.; Hu, Y.; Dai, Q.; Huo, Z. Effect of side deep placement of N on yield and N use efficiency of single season late japonica rice. J. Integr. Agric. 2021, 20, 1487–1502. [Google Scholar] [CrossRef]
- Wu, P.; Chen, G.Z.; Liu, F.; Cai, T.; Zhang, P.; Jia, Z.K. How does deep-band fertilizer placement reduce N2O emissions and increase maize yields? Agric. Ecosyst. Environ. 2021, 332, 107672. [Google Scholar]
- Cheng, Y.; Wang, H.Q.; Liu, P.; Dong, S.T.; Zhang, J.W.; Zhao, B.; Ren, B.Z. N placement at sowing affects root growth, grain yield formation, N use efficiency in maize. Plant Soil. 2020, 457, 355–373. [Google Scholar] [CrossRef]
- Mazid, M.A.M.; Gaihre, Y.K.; Hunter, G.; Singh, U.; Hossain, S.A. Fertilizer deep placement increases rice production: Evidence from farmers’ fields in Southern Bangladesh. Agron. J. 2016, 108, 805–812. [Google Scholar] [CrossRef]
- Wu, M.; Li, G.L.; Li, W.T.; Liu, J.; Liu, M.; Jiang, C.Y.; Li, Z.P. N fertilizer deep placement for increased grain yield and N recovery efficiency in rice grown in subtropical China. Front Plant Sci. 2017, 8, 1227. [Google Scholar] [CrossRef]
- Wu, P.; Liu, F.; Chen, G.Z.; Wang, J.Y.; Cai, T.; Zhang, P.; Jia, Z.K. Can deep fertilizer application enhance maize productivity by delaying leaf senescence and decreasing nitrate residue levels? Field Crops Res. 2022, 277, 108417. [Google Scholar] [CrossRef]
- Li, X.; Wang, R.; Zhou, B.; Wang, X.; Wang, J.; Zhao, M.; Li, C. Characterization of Root Morphology and Anatomical Structure of Spring Maize under Varying N Application Rates and Their Effects on Yield. Agronomy 2022, 12, 2671. [Google Scholar] [CrossRef]
- Tania, G.C.; Kathleen, M.B.; Jonathan, P.L. Reduced root cortical burden improves growth and grain yield under low phosphorus availability in maize. Plant Cell Environ. 2018, 41, 1579–1592. [Google Scholar]
- Blake, G.R.; Hartge, K.H. Bulk density. In Methods of Soil Analysis. Part 1. Physical and Mineralogical Methods, 2nd ed.; Klute, A., Ed.; Soil Science Society of America: Madison, WI, USA, 1986; pp. 363–375. [Google Scholar]
- Mon, J.; Bronson, K.F.; Hunsaker, D.J.; Thorp, K.R.; White, J.W.; French, A.N. Interactive effects of N fertilization and irrigation on grain yield canopy temperature, and N use efficiency in overhead sprinkler-irrigated durum wheat. Field Crops Res. 2016, 191, 54–65. [Google Scholar] [CrossRef]
- Wang, X.B.; Zhou, B.Y.; Sun, X.F.; Yure, Y.; Ma, W.; Zhao, M. Soil tillage management affects maize grain yield by regulating spatial distribution coordination of roots, soil moisture and N status. PLoS ONE 2015, 10, e0129231. [Google Scholar] [CrossRef]
- Guo, X.Y.; Wang, H.; Yu, Q.; Ahmad, N.; Li, J.; Wang, R.; Wang, X.L. Subsoiling and plowing rotation increase soil C and N storage and crop yield on a semiarid Loess Plateau. Soil Till. Res. 2022, 221, 105413. [Google Scholar] [CrossRef]
- Li, L.; Li, Q.; Lin, Z.; Zhang, Z.; Tian, H.; Ashraf, U.; Alhaj, H.Y.; Duan, M.Y.; Tang, X.R.; Pan, S.G. Effects of N deep placement coupled with straw incorporation on grain quality and root traits from paddy fields. Crop Sci. 2021, 61, 3675–3686. [Google Scholar] [CrossRef]
- Liu, Y.; Sui, Y.W.; Gu, D.; Wen, X.Y.; Chen, Y.; Li, C.J.; Liao, Y.C. Effects of conservation tillage on grain filling and hormonal changes in wheat under simulated rainfall conditions. Field Crops Res. 2013, 144, 43–45. [Google Scholar] [CrossRef]
- Zhai, L.C.; Xu, P.; Zhang, Z.B.; Li, S.K.; Xie, R.Z.; Zhai, L.F.; Wei, B.H. Effects of deep vertical rotary tillage on dry matter accumulation and grain yield of summer maize in the Huang-Huai-Hai Plain of China. Soil Till. Res. 2017, 170, 167–174. [Google Scholar] [CrossRef]
- King, J.; Gay, A.; Sylvester, B.R.; Bingham, I.; Foulkes, J.; Gregory, P.; Robinson, D. Modelling cereal root systems for water and N capture: Towards an economic optimum. Ann. Bot. 2003, 91, 383–390. [Google Scholar] [CrossRef]
- Dunbabin, V.; Diggle, A.; Rengel, Z. Is there an optimal root architecture for nitrate capture in leaching environments? Plant Cell Environ. 2003, 26, 835–844. [Google Scholar] [CrossRef]
- Niedziński, T.; Rutkowska, B.; Łabętowicz, J.; Szulc, W. Effect of deep placement fertilization on the distribution of biomass, nutrients, and root system development in potato plants. Plants 2023, 12, 1880. [Google Scholar] [CrossRef]
- Zheng, B.C.; Zhang, X.N.; Chen, P.; Du, Q.; Zhou, Y.; Yang, H.; Wang, X.C.; Yang, F.; Yong, T.W.; Yang, W.Y. Improving maize’s N uptake and N use efficiency by strengthening roots’ absorption capacity when intercropped with legumes. Peer J. 2021, 9, e11658. [Google Scholar] [CrossRef]
- Shi, Y.; Yu, Z.W.; Man, J.G.; Ma, S.Y.; Gao, Z.Q.; Zhang, Y.L. Tillage practices affect dry matter accumulation and grain yield in winter wheat in the North China Plain. Soil Till. Res. 2016, 160, 73–81. [Google Scholar] [CrossRef]
- Shen, Y.; Zhang, T.T.; Cui, J.C.; Chen, S.Y.; Han, H.F.; Ning, T.Y. Subsoiling increases aggregate-associated organic carbon, dry matter, and maize yield on the North China Plain. Peer J. 2021, 9, e11099. [Google Scholar] [CrossRef]
- Ke, J.; He, R.C.; Hou, P.F.; Ding, C.; Ding, Y.F.; Wang, S.H.; Liu, Z.H.; Tang, S.; Ding, C.Q.; Chen, L.; et al. Combined controlled-released N fertilizers and deep placement effects of N leaching, rice yield and N recovery in machine transplanted rice. Agric. Ecosyst. Environ. 2018, 265, 402–412. [Google Scholar] [CrossRef]
- Zhang, S.G.; Shen, T.L.; Yang, Y.C.; Li, Y.C.; Wan, Y.S.; Zhang, M.; Tang, Y.F.; Allen, S.C. Controlled-release urea reduced N leaching and improved N use efficiency and yield of direct-seeded rice. J. Environ. Manag. 2018, 220, 191–197. [Google Scholar] [CrossRef]
- Huda, A.; Gaihre, Y.K.; Islam, M.R.; Singh, U.; Sanabria, J.; Satter, M.A.; Afroz, A.; Jahiruddin, M. Floodwater ammonium, nitrogen use efficiency and rice yields with fertilizer deep placement and alternate wetting and drying under triple rice cropping systems. Nutr. Cycl. Agroecosyst. 2016, 104, 53–66. [Google Scholar] [CrossRef]
- Islam, S.M.M.; Gaihre, Y.K.; Biswas, J.C.; Jahan, M.S.; Singh, U.; Adhikary, S.K.; Satter, M.A.; Saleque, M.A. Different nitrogen rates and methods of application for dry season rice cultivation with alternate wetting and drying irrigation: Fate of nitrogen and grain yield. Agric. Water Manag. 2018, 196, 144–153. [Google Scholar] [CrossRef]
- Xia, H.; Riaz, M.; Zhang, M.Y.; Liu, B.; Li, Y.X.; El-Desouki, Z.; Jiang, C. Biochar-N fertilizer interaction increases N utilization efficiency by modifying soil C/N component under N fertilizer deep placement modes. Chemosphere 2022, 286, 131594. [Google Scholar] [CrossRef]
- Wu, H.L.; Wang, L.M.; Liu, X.P.; Li, Q.; Lu, C.G.; Dong, W.X. Layered-strip fertilization improves N use efficiency by enhancing absorption and suppressing loss of Urea Nitrogen. Agronomy 2023, 13, 2428. [Google Scholar] [CrossRef]








| Cultivars | Treatment | Tillage Practices | Fertilization Method | Urea N (kg/hm2) | Slow Release Urea N (kg/hm2) | P2O5 (kg/hm2) | K2O (kg/hm2) |
|---|---|---|---|---|---|---|---|
| XY688 | BC240 | No-tillage | Surface | 168 | 72 | 75 | 90 |
| FC240 | subsoiling | Layered | 168 | 72 | 75 | 90 | |
| BC180 | No-tillage | Surface | 126 | 54 | 75 | 90 | |
| FC180 | subsoiling | Layered | 126 | 54 | 75 | 90 | |
| JF-2 | BC240 | No-tillage | Surface | 168 | 72 | 75 | 90 |
| FC240 | subsoiling | Layered | 168 | 72 | 75 | 90 | |
| BC180 | No-tillage | Surface | 126 | 54 | 75 | 90 | |
| FC180 | subsoiling | Layered | 126 | 54 | 75 | 90 |
| Site | Cultivar | Treatment | Number of Aerial Roots (plant) | Number of Crown Roots (plant) | Total Number of Root (plant) | Root Length (cm/plant) | Specific Root Length (cm/g) | Root Surface Area (cm2/plant) | Specific Root Surface Area (cm2/g) |
|---|---|---|---|---|---|---|---|---|---|
| Xinji | XY688 | BC240 | 23.6 b | 31.0 ab | 54.6 ab | 10,810.6 c | 435.25 c | 4357.0 a | 175.4 b |
| FC240 | 26.3 a | 36.0 a | 60.6 a | 11,166.3 c | 481.31 c | 4317.4 a | 186.1 ab | ||
| BC180 | 21.0 c | 28.0 b | 49.0 c | 12,981.3 b | 558.98 b | 4308.4 a | 185.5 ab | ||
| FC180 | 24.0 ab | 29.0 b | 53.0 ab | 13,861.9 a | 605.06 a | 4389.9 a | 191.6 a | ||
| JF2 | BC240 | 25.0 b | 36.6 b | 61.6 c | 9981.6 c | 439.54 c | 4075.6 a | 179.5 ab | |
| FC240 | 35.0 a | 33.0 c | 68.0 ab | 10,981.5 b | 483.48 b | 4017.9 a | 176.9 b | ||
| BC180 | 31.3 a | 43.0 a | 74.3 a | 11,671.2 a | 521.35 a | 4133.8 a | 184.6 a | ||
| FC180 | 25.3 b | 39.3 ab | 64.6 bc | 11,833.1 a | 533.74 a | 4103.3 a | 185.1 a | ||
| Changli | XY688 | BC240 | 14.2 b | 40.1 ab | 54.6 b | 5892.4 c | 424.4 b | 1823.9 c | 123.7 bc |
| FC240 | 14.1 b | 43.2 a | 57.2 ab | 6093.1 c | 494.6 b | 2523.9 b | 173.2 b | ||
| BC180 | 16.3 b | 34.3 a | 50.4 ab | 12,954.8 b | 1008.9 a | 2810.4 b | 218.9 a | ||
| FC180 | 17.3 a | 43.2 a | 60.2 a | 15,842.0 a | 1083.6 a | 3378.9 a | 231.1 a | ||
| JF2 | BC240 | 14.4 b | 32.5 b | 46.6 b | 7221.4 b | 301.0 b | 926.3 bc | 108.5 b | |
| FC240 | 16.2 b | 34.4 b | 50.2 b | 7633.9 b | 321.0 b | 1016.4 b | 119.8 b | ||
| BC180 | 25.3 a | 33.7 a | 57.2 ab | 7067.2 a | 566.2 a | 994.5 b | 130.4 a | ||
| FC180 | 24.2 a | 34.5 b | 68.1 a | 8335.7 ab | 623.9 a | 2043.3 a | 152.9 a |
| Site | Cultivars | Treatment | Pre-Silking Shoot DMA (g plant−1) | Post-Silking Shoot DMA (g plant−1) | Maturity Shoot DMA (g plant−1) | Grain DMA (g plant−1) | HI |
|---|---|---|---|---|---|---|---|
| Xinji | XY688 | BC240 | 143.3 c | 186.2 b | 329.5 a | 173.2 b | 0.51 a |
| FC240 | 146.4 c | 200.2 a | 346.5 b | 180.6 ab | 0.52 a | ||
| BC180 | 153.3 b | 210.3 a | 363.6 a | 186.4 ab | 0.51 a | ||
| FC180 | 151.8 a | 208.1 a | 359.9 a | 184.5 a | 0.51 a | ||
| JF2 | BC240 | 128.0 c | 177.5 bc | 305.6 b | 163.7 a | 0.52 a | |
| FC240 | 147.3 a | 181.1 b | 328.3 ab | 173.0 b | 0.53 a | ||
| BC180 | 135.4 b | 186.3 b | 321.6 a | 168.0 ab | 0.52 a | ||
| FC180 | 136.1 b | 195.6 a | 341.6 a | 171.1 a | 0.53 a | ||
| Changli | XY688 | BC240 | 139.5 b | 145.3 c | 284.7 b | 149.0 c | 0.52 b |
| FC240 | 147.7 a | 198.2 a | 355.8 a | 201.7 a | 0.56 a | ||
| BC180 | 138.7 b | 186.6 b | 325.3 b | 181.9 c | 0.56 a | ||
| FC180 | 153.0 a | 182.0 b | 335.0 a | 190.3 ab | 0.57 a | ||
| JF2 | BC240 | 129.0 bc | 140.3 c | 269.4 b | 132.5 c | 0.49 b | |
| FC240 | 142.0 a | 173.4 a | 315.4 a | 172.9 a | 0.55 a | ||
| BC180 | 124.5 bc | 161.5 b | 286.0 b | 152.6 c | 0.53 a | ||
| FC180 | 135.4 ab | 158.2 b | 293.6 a | 158.5 b | 0.54 a |
| Site | Cultivars | Treatment | Ear Length (cm) | Length of Bare Top (cm) | Perimeter (cm) | Row Number | Kernels per Row | Effective Panicle Number (104 Ear ha−1) | Kernels per Ear | 1000-Grain Weights (g) |
|---|---|---|---|---|---|---|---|---|---|---|
| Xinji | XY688 | BC240 | 20.8 ab | 1.1 a | 15.9 ab | 15.7 a | 33.7 c | 5.71 a | 529.1 b | 356.2 b |
| FC240 | 20.7 ab | 0.7 b | 15.9 ab | 15.4 a | 34.2 ab | 5.17 b | 526.7 a | 362.2 a | ||
| BC180 | 16.9 b | 0.7 b | 15.4 b | 15.6 a | 34.2 ab | 5.76 a | 533.5 b | 367.7 a | ||
| FC180 | 22.0 a | 0.9 ab | 16.4 a | 15.7 a | 36.2 a | 5.19 b | 549.5 ab | 368.4 a | ||
| JF2 | BC240 | 17.4 b | 0.7 a | 15.7 a | 14.5 ab | 30.4 b | 5.58 a | 440.8 b | 357.4 ab | |
| FC240 | 16.3 b | 0.6 ab | 15.7 a | 14.5 b | 31.1 b | 5.69 a | 449.5 b | 356.3 ab | ||
| BC180 | 20.5 a | 0.4 b | 15.6 a | 14.6 ab | 34.0 a | 5.34 b | 496.4 b | 362.0 a | ||
| FC180 | 16.6 b | 0.5 ab | 15.7 a | 15.3 a | 33.3 a | 5.32 b | 509.5 a | 361.1 a | ||
| Changli | XY688 | BC240 | 18.7 | 1.8 a | 15.9 ab | 15.1 ab | 29.9 b | 5.14 b | 451.3 bc | 364.2 a |
| FC240 | 20.0 | 1.6 ab | 15.9 ab | 16.5 a | 29.2 b | 5.21 ab | 481.8 b | 372.1 a | ||
| BC180 | 21.9 | 1.4 b | 15.4 b | 16.3 a | 30.7 b | 5.33 a | 500.4 a | 363.9 a | ||
| FC180 | 18.7 | 1.6 a | 16.4 a | 15.1 ab | 31.8 a | 5.25 ab | 512.0 a | 362.3 a | ||
| JF2 | BC240 | 20.0 | 1.6 a | 15.7 a | 16.5 a | 23.0 b | 5.08 b | 379.5 c | 362.1 a | |
| FC240 | 21.9 | 1.4 ab | 15.7 a | 16.3 a | 28.2 a | 5.24 a | 459.7 b | 372.1 a | ||
| BC180 | 18.7 | 1.5 a | 15.6 a | 15.1 ab | 29.6 a | 5.11 ab | 476.6 b | 374.8 a | ||
| FC180 | 20.0 | 1.6 a | 15.7 a | 16.5 a | 29.7 a | 5.24 a | 490.1 a | 366.1 a |
| Site | Cultivars | Treatment | Plant N Contents (g plant−1) | Grain N Contents (g plant−1) | NupE (kgkg−1) | NUE (kgkg−1) | PFPN (kgkg−1) | NHI (%) |
|---|---|---|---|---|---|---|---|---|
| Xinji | XY688 | BC240 | 4.08 a | 2.26 b | 0.92 b | 49.54 a | 45.37 c | 55.39 b |
| FC240 | 4.25 a | 2.53 a | 0.92 b | 54.43 a | 49.81 c | 59.53 b | ||
| BC180 | 3.63 b | 2.23 b | 1.16 a | 50.30 a | 58.41 b | 61.43 ab | ||
| FC180 | 4.11 a | 2.62 a | 1.19 a | 53.86 a | 63.94 a | 63.75 a | ||
| JF2 | BC240 | 3.67 b | 2.02 a | 0.76 c | 45.71 c | 34.68 c | 54.50 ab | |
| FC240 | 3.83 a | 2.28 a | 0.91 b | 47.33 bc | 42.96 b | 59.53 a | ||
| BC180 | 3.32 c | 1.82 b | 0.92 b | 50.26 ab | 46.48 b | 59.82 a | ||
| FC180 | 3.59 b | 2.13 a | 1.06 a | 50.93 a | 54.11 a | 59.33 a | ||
| Changli | XY688 | BC240 | 3.85 b | 2.69 b | 0.87 b | 47.20 b | 32.91 c | 69.80 b |
| FC240 | 4.25 a | 3.13 a | 0.84 b | 49.60 ab | 38.88 c | 73.57 a | ||
| BC180 | 3.63 b | 2.62 b | 0.92 a | 50.09 ab | 48.72 ab | 72.27 a | ||
| FC180 | 4.11 a | 3.16 a | 0.95 a | 52.16 a | 51.04 a | 76.79 a | ||
| JF2 | BC240 | 3.26 b | 2.15 c | 0.76 bc | 46.11 bc | 29.35 c | 65.9 b | |
| FC240 | 3.83 a | 2.81 a | 0.80 b | 47.76 ab | 37.41 b | 73.33 a | ||
| BC180 | 3.12 b | 2.24 c | 0.87 b | 47.67 ab | 47.58 a | 71.72 a | ||
| FC180 | 3.59 ab | 2.53 b | 0.91 a | 50.68 a | 48.47 a | 70.50 a |
Disclaimer/Publisher’s Note: The statements, opinions and data contained in all publications are solely those of the individual author(s) and contributor(s) and not of MDPI and/or the editor(s). MDPI and/or the editor(s) disclaim responsibility for any injury to people or property resulting from any ideas, methods, instructions or products referred to in the content. |
© 2024 by the authors. Licensee MDPI, Basel, Switzerland. This article is an open access article distributed under the terms and conditions of the Creative Commons Attribution (CC BY) license (https://creativecommons.org/licenses/by/4.0/).
Share and Cite
Li, X.; Wang, R.; Lou, F.; Ji, P.; Wang, J.; Dong, W.; Tao, P.; Zhang, Y. Subsoiling Combine with Layered Nitrogen Application Optimizes Root Distribution and Improve Grain Yield and N Efficiency of Summer Maize. Agronomy 2024, 14, 1228. https://doi.org/10.3390/agronomy14061228
Li X, Wang R, Lou F, Ji P, Wang J, Dong W, Tao P, Zhang Y. Subsoiling Combine with Layered Nitrogen Application Optimizes Root Distribution and Improve Grain Yield and N Efficiency of Summer Maize. Agronomy. 2024; 14(6):1228. https://doi.org/10.3390/agronomy14061228
Chicago/Turabian StyleLi, Xiangling, Rui Wang, Fei Lou, Pengtao Ji, Jian Wang, Weixin Dong, Peijun Tao, and Yuechen Zhang. 2024. "Subsoiling Combine with Layered Nitrogen Application Optimizes Root Distribution and Improve Grain Yield and N Efficiency of Summer Maize" Agronomy 14, no. 6: 1228. https://doi.org/10.3390/agronomy14061228
APA StyleLi, X., Wang, R., Lou, F., Ji, P., Wang, J., Dong, W., Tao, P., & Zhang, Y. (2024). Subsoiling Combine with Layered Nitrogen Application Optimizes Root Distribution and Improve Grain Yield and N Efficiency of Summer Maize. Agronomy, 14(6), 1228. https://doi.org/10.3390/agronomy14061228

