Next Article in Journal
Camelina Intercropping with Pulses a Sustainable Approach for Land Competition between Food and Non-Food Crops
Previous Article in Journal
Comparative Gene Expression following 2,4-D Treatment in Two Red Clover (Trifolium pratense L.) Populations with Differential Tolerance to the Herbicide
 
 
Font Type:
Arial Georgia Verdana
Font Size:
Aa Aa Aa
Line Spacing:
Column Width:
Background:
Article

Development of Tetramycin-Loaded Core–Shell Beads with Hot-/Wet-Responsive Release Properties for Control of Bacterial Wilt Disease

1
School of Biological and Chemical Engineering, Zhejiang University of Science and Technology, Hangzhou 310023, China
2
Guizhou Academy of Tobacco Science, Guiyang 550001, China
*
Authors to whom correspondence should be addressed.
Agronomy 2024, 14(6), 1199; https://doi.org/10.3390/agronomy14061199
Submission received: 8 April 2024 / Revised: 16 May 2024 / Accepted: 28 May 2024 / Published: 1 June 2024
(This article belongs to the Section Pest and Disease Management)

Abstract

Plant bacterial wilt is caused by Ralstonia solanacearum, a soilborne pathogen that infects plant conduits, leading to wilt disease. It is extremely difficult to cure plants infected with Ralstonia solanacearum; however, bactericide-loaded beads with hot-/wet-responsive properties may be able to release a biocide in line with the increase in the hot-/wet-associated activity of Ralstonia solanacearum, effectively killing the pathogenic cells and providing high levels of plant protection. A biopesticide, Tetramycin, was embedded in corn kernel powder (CKP)-based cores. An oil-phase mixture was sprayed onto the core surface to form a hot-/wet-responsive intermediate shell (IMS). Subsequently, a layer of ethyl cellulose (EC) and hydroxypropyl methyl cellulose (HPMC) was coated onto the IMS to create a single wet-responsive outer shell (OTS). The ratios of the components in the cores, including the corn kernel powder (CKP), xanthan gum (XG), and Tetramycin, were optimized, as well as those of the IMS, including pentaerythrityl tetrastearate (PETS), pentaerythrityl tetraoleate (PETO), polyethylene glycol stearate (PEG400MS), and polyethylene glycol monooleate (PEG400MO), and those of the outer shell (OTS), including ethyl cellulose (EC) and hydroxypropyl methyl cellulose (HPMC). A texture performance analysis, differential scanning calorimetry (DSC) analysis, thermogravimetric analysis (TGA), temperature and humidity response performance tests, scanning electron microscope (SEM) observations, and a field effectiveness test were conducted to characterize the Tetramycin-loaded beads. The results indicated that the optimal formula for the bead cores comprised a mass ratio of CKP/Tetramycin solution/XG = 13.5:23:2. The preferred mass ratio for IMS was PETS/PETO/PEG400MO = 10:30:10, and the formula for the applicable OTS consisted of a mass ratio of EC/HPMC = 5:1. In soil with a temperature of 30–35 °C and humidity of 30%, the release period of the Tetramycin-loaded beads, with a cumulative release rate of over 95%, could last up to 35 days. Furthermore, the Tetramycin-loaded beads exhibited a gradual and multi-cyclic release process under alternating hot/wet and dry/cold environments. The relative preventive efficacy of 54.74% on tobacco was revealed at a field-testing scale. A significant reduction in the abundance of Ralstonia solanacearum was also observed under treatment with the Tetramycin-loaded beads. The early fungal community structure exhibited higher consistency compared to the control. However, in the later stage, the diversity differences between the soil layers were restored. In conclusion, Tetramycin-loaded beads that could effectively respond to temperature and humidity fluctuations were developed, resulting in enhanced disease prevention efficacy and offering broad prospects for the prevention and control of Ralstonia solanacearum in agricultural settings.

1. Introduction

Bacterial wilt disease is a soilborne bacterial disease caused by Ralstonia solanacearum, with a wide geographic distribution and a broad range of plant hosts, leading to severe economic losses worldwide throughout the year. Studies have shown that Ralstonia solanacearum typically initiates an infection through wounds on plant roots, and, following invasion, it produces significant amounts of extracellular polysaccharides (EPSs) to obstruct the conduits, ultimately resulting in the characteristic symptom of wilting in half of the host’s leaf [1,2,3,4]. After the host plant’s death, the bacteria return to the soil environment through saprophytism and then seek contact with new hosts to spread the infection [5]. In the early stages of the infection, the plants do not exhibit obvious disease symptoms; when the symptoms of leaf wilting are observed, the disease is difficult to reverse. The indiscriminate prophylactic use of agricultural antibiotics typically results in reduced disease prevention efficiency, the wastage of antibacterial agents, environmental pollution, and increased labor costs associated with pesticide application, posing significant challenges to precise agricultural antibiotic application. Furthermore, outbreaks of Ralstonia solanacearum are often accompanied by high temperatures and heavy rains, which dilute the agricultural antibiotic and reduce its concentration. Excessive agricultural antibiotic usage can cause serious damage to the soil environment, making it challenging to prevent and control bacterial wilt disease [6,7,8].
In recent years, there has been rapid growth in the demand for environmentally friendly control methods, leading to an increasing preference for relatively gentle and less harmful natural agricultural antibiotics [9]. Tetramycin is a broad-spectrum antibiotic produced through fermentation metabolism by Streptomyces ahygroscopicus subsp. Wuzhouensis. It consists of four main components, Tetramycin A, Tetramycin B, albonoursin, and anisomycin, making it a novel type of natural agricultural antibiotic [10,11]. Among them, Tetramycin A and Tetramycin B are macrolide Tetramycin antibiotics, which have significant inhibitory effects on bacterial diseases [12,13,14]. These substances are commonly used to prevent fungal and bacterial diseases; they can be rapidly decomposed into non-toxic compounds after use, aligning with today’s green control principles [15]. Ma et al. utilized a hydrogel encapsulation loaded with Tetramycin for the control of plant bacterial wilt disease, and the experimental results demonstrated that Tetramycin could effectively control its occurrence [16]. In this study, temperature-sensitive carriers that could respond to temperature changes were prepared by taking advantage of the fact that pentaerythritol tetrastearate (PETS), pentaerythritol tetraoleate (PETO), and polyethylene glycol monooleate easter (PEG400MO) have different melting points and can be mixed in arbitrary ratios to construct intermediate shells (IMSs). Furthermore, PEG400MO is a surfactant that can provide IMSs with certain hydrophilic properties, making the IMS a dual temperature-/humidity-responsive layer. Lastly, a mixture of water-soluble hydroxypropyl methyl cellulose (HPMC) and alcohol-soluble ethyl cellulose (EC) was coated on the outermost surface to create humidity-responsive outer shells (OTSs). The OTS creates a robust and thermally resilient outer layer that is selectively permeable to water and water-soluble Tetramycin, while effectively preventing the leakage of PETS and PETO from the IMS. Consequently, the OTS offers superior reinforcement to ensure the stability of the IMS structure, mitigating both the adhesion of the IMS layers among te = he beads at elevated temperatures and the loss of the IMS due to softening under hot conditions. As a result, the release rate of Tetramycin is responsive to the environmental temperature and humidity, enabling the extension of the duration of its efficacy, increasing antibiotic utilization, and reducing the amount of antibiotics applied in agricultural production. This responsive type of release exhibits the potential to counterbalance the increase in Ralstonia solanacearum activity associated with hot and wet conditions, efficiently eliminating pathogenic cells and reducing the incidence of bacterial wilt of plants, providing a high level of plant protection and ensuring the development of agricultural production. The research details are introduced in the following.

2. Materials and Methods

2.1. Materials and Instruments

The corn kernel powder (CKP) used was a feed-grade product from Henan Qikang Water Treatment Material Co. (Henan, China). The Tetramycin used was an industrial-grade product from Liaoning Wkioc Bioengineering Co., Ltd. (Liaoning, China). The Tetramycin A standard was obtained from Shanghai Chenwei Bio-Technology Co., Ltd. (Shanghai, China). Pentaerythritol tetrastearate (PETS), pentaerythritol tetraoleate (PETO), and polyethylene glycol monooleate ester (PEG400MO) were obtained as industrial-grade products from Jiangxi Zhilian New Material Co. (Ji’an, China), Guangzhou Fufei Chemical Technology Co. (Guangzhou, China), and Jiangsu Hai’an Petrochemical Plant (Nantong, China), respectively. Quaternary ammonium chitosan (QACS), sodium polyacrylate (SPA), sodium carboxymethyl cellulose (SCC), xanthan gum (XG), sodium alginate (SA), ethyl cellulose (EC, AR), hydroxypropyl methyl cellulose (HPMC, AR), and ethanol were purchased (98%, AR) from Sinopharm Chemical Reagent Co. (Shanghai, China). Beet Red Pigment was obtained as a feed-grade product from Zhejiang Yinuo Biotechnology Co. (Ningbo, China). Both the automatic bead-making machine AW-91 and the bead-polishing machine BY-300 were obtained from Wenling Aoli Chinese Medicine Machinery Co. (Wenzhou, China). The SG9626ST electric spray gun was obtained from Ningbo Huipu Hardware Tools Co. (Ningbo, China). The high-performance liquid chromatography (HPLC) equipment (Waters e2695 with Waters 2489 UV detector and HPLC column: SunfireTM C18 (250 × 4.6 mm, 5 µm)) was from the Waters Corporation (Milford, MA, USA). The scanning electron microscope (SEM) SU1510 used for the analysis was from Hitachi (Mito-shi, Japan). The differential scanning calorimeters (DSC) 204F and thermogravimetric analyzers (TGA) STA 449 F3 were from Netzsch (Selb, Germany). The texture analyzer TA-XT plus was from Stable Micro Systems (Surrey, UK). The UV spectrophotometer UV-5500 was from Shanghai Yuananalytical Instrument Co. (Shanghai, China). The tobacco seedlings of the Yunyan85 cultivar, which is sensitive to Ralstonia solanacearum, were provided by the Guizhou Academy of Tobacco Science.

2.2. Preparation of Tetramycin Core–Shell Sustained- and Controlled-Release Particles

2.2.1. Preparation of Tetramycin-Loaded Beads

CKP was employed as a carrier for the agricultural antibiotic Tetramycin due to its high sorption capacity. The yield rates and sensory properties were compared when QACS, SPA, SCC, XG, and SA were utilized as binders. With a constant ratio of CKP to Tetramycin aqueous solution, the binder quantities were established as detailed in Table 1. Since both CKP and the binders were dry powders, they were initially mixed thoroughly, followed by the addition of the Tetramycin aqueous solution and further mixing to ensure complete absorption by the CKP. Subsequently, the mixture was poured into an automatic bead-making machine for the production of spherical Tetramycin-loaded beads.

2.2.2. Construction of Intermediate shell (IMS) with Fat-Based Thermal-/Humidity-Responsive Mixtures

Specific amounts of PETS, PETO, PEG400MS, and PEG400MO were combined in the formulations shown in Table 2 to obtain fat-based thermal-/humidity-responsive mixtures. Before being sprayed on the surfaces of the Tetramycin-loaded core beads, the thermal-/humidity-responsive mixtures were prepared by mixing the components according to the formulations in Table 2; then, the fat-based mixtures were thoroughly heated and melted at 80 °C. Lastly, the fat-based mixtures were transferred into a SG9626ST electric spray gun (Ningbo, China), and they were sprayed onto the Tetramycin-loaded beads in a running BY-300 bead-polishing machine (Wenzhou, China). All proportions given in Table 2 are mass ratios.

2.2.3. Formulation Screening of EC/HPMC-Based Outer Shell (OTS)

A 10 g mixture of EC and HPMC was prepared with the EC/HPMC mass ratios shown in Table 3 and then dissolved in 100 mL 80% ethanol aqueous solution, resulting in an EC/HPMC mixing solution with a total mass concentration of 10% [17]. After obtaining a light-yellow frosted glass-like EC/HPMC mixing solution, the mixtures were coated on the surface of the IMS, which was produced as described in Section 2.2.2, via the spraying method described in Section 2.2.2, to construct the OTS. Some EC/HPMC membranes were also prepared for texture performance testing by air-drying the EC/HPMC mixing solution in glass Petri dishes.

2.3. Test Procedures for Sample Characterization

2.3.1. Establishment of Tetramycin A Standard Curve

A certain mass of the Tetramycin A standard was accurately weighed to prepare a Tetramycin A stock solution at a concentration of 5 mg/L. Then, a series of standard solutions at concentrations of 0.05, 0.1, 0.5, 1, and 5 mg/L were prepared by diluting the Tetramycin A stock solution with the running phase of HPLC. The running phase for the detection of Tetramycin A in HPLC was a methanol/aqueous formic acid solution with a mass fraction of 1% = 15:85 (v/v). The flow rate was 0.4 mL/min, the UV detection wavelength was 292 nm, and the column temperature was 35 °C. The areas of the absorbance peaks were taken as the vertical coordinates and the mass concentration of Tetramycin A as the horizontal coordinate to produce the standard curve [18].

2.3.2. DSC Analysis

Approximately 20.0~30.0 mg of IMS material was analyzed on a differential scanning calorimeter (Netzsch DSC 204 F, Selb, Germany). The equilibrium and sample gases were nitrogen, the heating rate was 10 °C/min, the starting temperature was −30 °C, and the termination temperature was 90 °C, which was used to investigate the decomposition temperature.

2.3.3. TGA Analysis

Tests were carried out on a thermogravimetric analyzer to analyze the thermal stability of the samples. Approximately 5.0–10.0 mg of each sample was studied, nitrogen was used as the equilibrium gas and sample gas, the heating rate was 20 °C/min, the starting temperature was 50 °C, and the termination temperature was 500 °C.

2.3.4. Texture Performance Analysis

The TA-XT plus texture (Surrey, UK) analyzer was used to determine the mass structure of the Tetramycin-loaded core and membrane of the OTS. The P2 probe was selected for the determination of the Tetramycin-loaded core, with a descending speed of 2.0 mm/s before the test, a testing speed of 1.0 mm/s, a return speed of 2.0 mm/s after the test, a testing distance of 20.0 mm, and a trigger force of 5 g, and each test was repeated three times. The P36R probe was applied for the determination of the OTS membrane with the same running settings as for the Tetramycin-loaded core test, and each test was again repeated 3 times.

2.3.5. HPLC Analysis

A certain mass of sample beads was chopped in a centrifuge tube, and a methanol/phosphate buffer solution in a volume ratio of 3:7 was subsequently added. Ultrasonic treatment was applied for 30 min to dissolve the sample; then, centrifugation was performed at 4000 rpm for 15 min to collect the supernatant for the detection of the mass concentration of Tetracycline A to determine the amount of Tetramycin loaded in the beads. The HPLC conditions were set as shown in Section 2.3.1.

2.3.6. SEM Analysis

SEM was utilized to observe the changes in the morphological characteristics of the IMS and OTS before and after water soaking. The water-soaked and un-soaked sample beads were snap-frozen in liquid nitrogen, and then the IMS and OTS layers were peeled off and removed. The samples were fixed to the carrier with conductive adhesive tape, and they were blown well against the samples with an ear syringe; then, the surfaces of the samples were sprayed with gold (10 nm) [19]. The morphological characteristics of the samples before and after soaking in water were observed with a scanning electron microscope at suitable magnification levels.

2.3.7. Characterization of Tetramycin Release under Stable Soil Conditions

Accurately weighed dry soil samples of 100 g (from experimental field located at 27.009° N, 109.204° E in Guizhou, China) were each added to a ziplock bag. The soil bags were divided into two categories, i.e., those with 10% and 30% water content, by adding certain amounts of tap water. The Tetramycin-loaded beads were buried in the bagged soil and placed in a constant-temperature incubator at 20 °C, 25 °C, 30 °C, and 35 °C. The beads were taken out for testing on days 1, 3, 5, 7, 14, 21, and 35, with each test repeated three times. The mean value from the three replicates was taken to plot the release curve. The initial Tetramycin content in the beads, recorded on day 0, served as the input for the following calculations:
R e l e a s e   r a t e ( % ) = T e t r a m y c i n   c o n t e n t   i n   m i c r o b e a d s   o n   d a y   n T e t r a m y c i n   c o n t e n t   i n   m i c r o b e a d s   o n   d a y   0 × 100 %

2.3.8. Analysis of Tetramycin Release under Simulated Field Soil Conditions

The four soil samples, each with a weight of 1000 g (same source of soil as in Section 2.3.6), were accurately weighed, and two soil samples were mixed with 100 g of water each to simulate 10% water-containing soil. Additionally, 300 g of water were added to the other two soil samples to form 30% water-containing soil. Then, a total of 200 Tetramycin-loaded beads were placed (40 beads for each treatment shown in Figure 1). Next, the two soil groups, with 10% and 30% moisture content, were placed under temperatures of 35 °C and 20 °C, respectively, to simulate four different soil conditions: hot/wet (35 °C, 30%), hot/dry (35 °C, 10%), cold/wet (20 °C, 30%), and cold/dry (20 °C, 10%). As shown in Figure 1, the Tetramycin-loaded beads were first placed in hot/wet soil (30%, 35 °C) for 12 h; then, the beads were transferred to cold/dry soil (20 °C, 10%) (Figure 1a), hot/dry soil (35 °C, 10%) (Figure 1b), and cold/wet soil (20 °C, 30%) (Figure 1c) for 3 days to form three sets of 12 h–3-day cycles simulating field soil conditions. The above tests were performed in a dark environment in a constant-temperature incubator. In addition, some Tetramycin-loaded beads were placed in air environments at 20 °C and 35 °C as control groups (Figure 1d,e, respectively). The Tetramycin-loaded beads were sampled and tested to determine the amounts of residual Tetramycin in them. All groups consisted of three replicates, and the mean of three sets of data was taken to calculate the release rate and plot the release curve, following the same method as in Section 2.3.6.

2.3.9. Disease-Preventive Effect of Tetramycin-Loaded Beads on Bacterial Wilt

The preventive effect of the Tetramycin-loaded beads on the bacterial wilt of tobacco was evaluated at the field level, located at 27.009° N, 109.204° E, with an altitude of 850 m, over two years, namely, 2022 and 2023. The experimental plots were heavily diseased areas with severe bacterial wilt from the previous years, and they did not require additional inoculation with Ralstonia solanacearum to result in disease; the subsequent results also confirmed this. Tobacco seedlings of Yunyan85 without agricultural antibiotic application served as the untreated controls, while tobacco seedlings with Tetramycin-loaded bead application constituted the experimental group. In the field ridge, a vertical pit approximately 25 cm deep was dug, and three beads (theoretical applied amount of Tetramycin: 1.152 g) were placed at the bottom of the pit; they were covered with soil, and then the tobacco seedlings were placed on top. There was a total of 2 treatments, each with 3 replicates and 60 tobacco seedlings per replicate, resulting in a total of 180 tobacco plants per treatment. The disease incidence of the tobacco plants in all treatments was assessed at 10, 13, and 15 weeks after the application of the Tetramycin-loaded beads in each group. The disease index statistics were calculated according to the National Standard of the People’s Republic of China (Grade and Investigation Method of Tobacco Diseases and Insect Pests-GB/T 23222-2008) on bacterial wilt disease severity classification (see Appendix A for details) [20], and both the disease index and relative efficacy were calculated.
D i s e a s e   i n d e x = ( n u m b e r   o f   p l a n t s   o f   e a c h   d i s e a s e   l e v e l   ×   n u m b e r   o f   d i s e a s e   l e v e l s h i g h e s t   d i s e a s e   l e v e l × t o t a l   n u m b e r   o f   p l a n t s ) × 100 %
R e l a t i v e   d e f e n s e   e f f i c i e n c y ( % ) = c o n t r o l   d i s e a s e   i n d e x     t r e a t m e n t   d i s e a s e   i n d e x c o n t r o l   d i s e a s e   i n d e x × 100 %

2.3.10. Soil Sampling and Analysis

After calculating the disease indices, soil samples were collected from three tobacco plants with similar growth and development from each of the control and experimental groups. Soil samples were collected within a radius of 5 cm around the roots of tobacco plants at depths of 10, 20, and 30 cm from the respective plots and dried at 50 °C, with leaves and large particles removed. Subsequently, the soil samples were sieved through a 200-mesh sieve and stored at −80 °C.

2.3.11. DNA Extraction and Library Construction

The samples were subjected to the high-throughput sequencing of bacteria and fungi using the MGISEQ-2000 sequencing platform (MGI Tech, Wuhan, China), with microbial DNA extracted from the samples using an MGIEasy Microbiome DNA extraction kit (MGI Tech, Wuhan, China). Using 30 ng of DNA, the V3–V4 region of the bacterial 16s rRNA was amplified using the primers 338F (5′-ACTCCTACGGGAGGCAGCAG-3′) and 806R (5′-GGACTACHVGGGTWTCTAAT-3′), the ITS1 region of fungi was amplified using the primers ITS1F (5′-CTTGGTCATTTAGAGGAAGTAA-3′) and ITS2R (5′-GCTGCGTTCTTCATCGATGC-3′), and the PCR products were purified and used to construct the library [21]. The database used was Release19 20230720. The fragment range and concentration of the library were detected using an Agilent 2100 Bioanalyzer (Agilent Technologies Ltd., Santa Clara, CA, USA).

2.3.12. Quality Control of Raw Sequencing Data

The raw sequencing data underwent several processing steps. Initially, cutadapt v2.6 [22] software was employed to eliminate primer and junction contamination, thereby extracting fragments of the target region. Subsequently, low-quality data were filtered using a window approach, with a window length of 30 bp. If the average quality within the window fell below 20, the sequence’s end was truncated from the window, and reads with a final length of less than 75% of the original were discarded. Reads containing N bases and those exhibiting low complexity (defined as 10 consecutive ATCGs) were also removed to yield the final clean data.

2.3.13. Tag Connection, OTU Clustering, and Species Annotation

The clean reads were then assembled into tags utilizing their overlapping relationships with the assistance of FLASH v1.2.11 [23] software. These tags were further clustered into operational taxonomic units (OTUs) at 97% similarity using USEARCH v7.0.1090 [24], resulting in representative sequences for each OTU. The abundance of OTUs in each sample was determined by comparing all tags to the representative OTU sequences via the USEARCH global method. Subsequently, the representative OTU sequences underwent species annotation using the RDP classifier v2.2, with the confidence threshold set at 0.6. The default parameters were used, unless otherwise specified (See “Microbial Amplicon Analysis Process” in the Supplementary Materials). The sequencing step was performed by Wuhan BGI Technology Co., Ltd. (Wuhan, China).

2.3.14. Species Composition, Alpha Diversity, and Beta Diversity Analysis

Core-Pan OTUs display the OTUs that are common and unique across all samples using a petal plot, which effectively highlights the similarities and differences in OTU composition between different groups. Using the BGI microbial amplicon analysis platform (MGI Tech, Wuhan, China), OTU samples with 97% similarity were analyzed and visualized using a Flower plot in R v3.1.1 software. Species classification of OTUs was carried out by comparison with the database and histograms of crop species abundance for each sample at the phylum, class, order, family, genus, and species levels, respectively. The abundance threshold was set at 0.5%, meaning that species with an average abundance of less than 0.5% in any group were merged with unannotated species and labeled as “others.” The species composition was then represented by histograms on the BGI microbial amplicon analysis platform.
Using mothur v.1.31.2 [25] software, alpha diversity indices, including Chao1, Ace, Simpson, and Shannon, were calculated for bacterial and fungal communities within the soil samples. Using the known relative proportions of various OTUs in the sequenced data, we calculated the expected values for each alpha diversity index. This was carried out by extracting a subset of n tags (where n is less than the total number of sequenced reads) and plotting those values against their corresponding alpha indices. The subsets of n were selected from a geometric series smaller than the total number of sequences, with a minimum increment of 500 tags for this project. The dilution curve was then plotted using Origin 8.5 software (OriginLab Co., Northampton, MA, USA). For genus complexity analysis, a distance matrix generated by QIIME v1.80 [26] software was employed to assess beta diversity between the samples. Subsequently, principal coordinate analysis (PCoA) was performed using R v4.0.5 software using the “ggplot2” package with the Bray–Curtis distance.
The graphs were plotted using Origin 8.5 software, and IBM SPSS Statistics 26.0 (SPSS Inc., Chicago, IL, USA) software was used to conduct an ANOVA and analyze the least significant difference (LSD) method at the p < 0.05 level. All data for each treatment are represented as the means of three replicates, and the results are expressed as the mean ± standard error (Mean ± SE).

3. Results

3.1. Results of Tetramycin-Loaded Core Bead Formulation Screening

Based on the information provided in Table 1, the Tetramycin-loaded core bead materials from various formulations were poured into the automatic bead-making machine. The weights of the beads produced by the machine in one minute, as well as the quality and integrity of the beads, were recorded and evaluated. Additionally, the Tetramycin-loaded core beads were subjected to texture analysis using a texture analyzer.
As indicated in Table 4 and Figure 2, compared to the other experimental groups, the A3 samples’ particle morphology was superior, exhibiting higher integrity and faster preparation efficiency. Supporting this, the textural data provided in Table 5 reveal that the A3 particles possessed strong springiness and cohesiveness, as well as mean hardness. Consequently, the beads formed were of better quality and less prone to breakage, aligning with the experimental findings presented in Table 4 and Figure 2. Therefore, A3 was chosen as the Tetramycin core formulation.

3.2. Results of ISM Formulation Screening

The softening point of PETS is 63.8 °C, while the softening point of PEG400MS is 34.1 °C. PETO and PEG400MO exist in liquid form at room temperature (25 °C). Therefore, it is possible to adjust the ratio of PETS, PETO, and PEG400 to produce a temperature response mechanism.
Table 6 presents the softening points and DSC absorption peaks of the oil-phase samples with varying ratios, while Figure 3 and Figure 4 illustrate the thermal behavior of the oil-phase samples during the DSC and TGA analyses, respectively. It can be observed that the softening point gradually decreased with the increase in the amount of PEG400MS added, and the DSC absorption peaks also progressively shifted towards lower temperatures due to the increased quantity of PEG400MS with a low melting point (Figure 3a). The effect of adding PEG400MO was consistent with that of PEG400MS (Figure 3b). The melting point of PETS was observed to be 51.42 °C. With the addition of PEG400, there was a clear downward trend in the melting point. The DSC plots of the sample groups M1-1~M1-6 all exhibited two heat absorption peaks, which could be attributed to the shock-cooling treatment (direct transfer from 60 °C to 0 °C ice/water bath) that the samples underwent. During this process, the low melting point of unsaturated PEG400MS inhibits the crystallization behavior of PETS, potentially leading to the formation of partially crystallized amorphous solids with a lower softening point [27]. Consequently, formulations M1-4 and M2-1 were initially chosen for the composition of the IMS. The TGA results, as shown in Figure 4, indicate that the components, including PETS, PETO, PEG400MS, and PEG400MO, as well as formulations M1-4 and M2-1, were thermally stable within the temperature range corresponding to the DSC results.
After 15 days of immersion in water, the bead pellets containing PEG400MS exhibited dissolution cracking, with particularly severe cracking observed at 30 and 35 °C (Figure 5a). This phenomenon may be attributed to the fact that both PEG400MS and PEG400MO are effective amphiphilic compounds, and the moderate addition of these compounds can provide a certain humidity response to the temperature-sensitive material shells. PEG400MS, being a long-chain fatty acid, possesses various hydrophilic groups, such as aldehyde (-CHO) and carboxyl (-COOH), which offer superior hydrophilicity compared to PEG400MO, which has hydrophobic oleic acid chains. This increased hydrophilicity may have enabled moisture to easily penetrate the Tetramycin-loaded core beads, leading to core dissolution and the observed dissolution cracking [28,29]. On the other hand, because PEG400MS is a long-chain fatty acid with a more rigid molecular structure, it may render the shell layer more brittle and prone to cracking when used in IMSs. In contrast, PEG400MO is softer and can better encapsulate the bead’s core, preventing cracking due to water absorption and swelling. Figure 6 shows the beads after soaking in water, highlighting the differences in their conditions.
At the same time, in the oil-phase materials M2-1 to M2-6, the addition of one percent Beet Red allowed for the observation that as the addition of PEG400MO increased, the dissolution amount of Beet Red also increased. It could be seen that PEG400MO, as an amphiphilic compound, aided in the humidity response function of the IMS (Figure 7) Therefore, M2-1 was deemed more suitable for IMS formulations.

3.3. Results of EC/HPMC OTS Formulation Screening

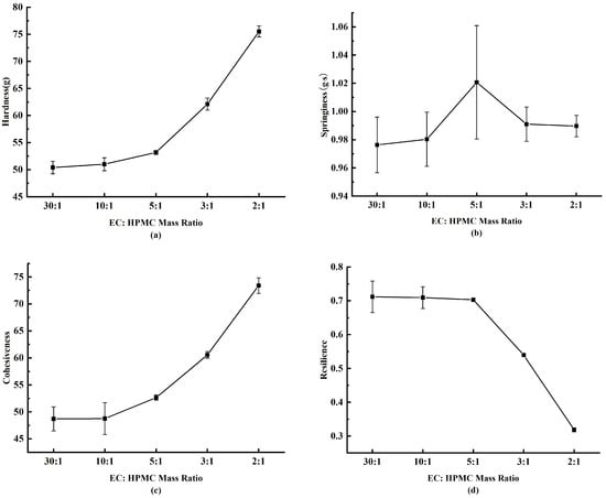
Figure 8 displays the morphologies of the EC/HPMC shells with various ratios before water soaking (a) and after water soaking (b) at 35 °C for 30 days. In this figure, numbers 1–5 correspond to EH1–EH5, respectively, while numbers 6–10 correspond to EH1–EH5, respectively, after water soaking. After 30 days, samples with a higher content of EC were observed to curl, have a rough texture, be harder to the touch, and be prone to breaking when squeezed (pre-soaking samples: 4, 5; post-soaking samples: 9, 10), especially samples 4 and 5, which had not been soaked in water. Conversely, samples with a lower percentage of EC were smoother and tougher in texture and less likely to fold (pre-soaking samples: 1, 2, 3; post-soaking samples: 6, 7, 8). However, too little EC resulted in a thin shell texture and a lack of springiness. An EC-to-HPMC ratio of 5:1 (m/m) was found to be appropriate.
The texture parameters of the EC/HPMC OTS are shown in Figure 9 and are consistent with the observations in Figure 8. The primary function of the EC/HPMC OTS is to encapsulate the beads while also providing a certain humidity response. During the manufacturing process, it is necessary to use an electrostatic spray gun for coating; hence, overly high cohesiveness can cause production difficulties. Good springiness and resilience, along with moderate hardness, can ensure that the bead does not dissolve or break due to water absorption. Meanwhile, the water solubility of HPMC allows the shell to swell upon contact with water, thereby enlarging the pores. Adding too much HPMC can lead to the excessively quick release of agricultural antibiotics [30]. Therefore, the formula selected for the outer EC/HPMC material was EC/HPMC at a mass ratio of 5:1, due to its excellent hardness, resilience, and springiness.

3.4. Tetramycin A Standard Curve

A strong linear relationship was observed between the mass concentration of Tetramycin A and the chromatographic peak area (Figure 10). Utilizing the established standard curve, the mass of Tetramycin could be accurately determined in subsequent experiments using either the chromatographic peak area or absorbance.

3.5. Use of SEM to Observe Microstructure of Each Layer of Tetramycin-Loaded Core–Shell Bead

Figure 11 depicts the surface microstructure of the OTS before and after immersion in water. Before soaking, the OTS had a relatively smooth surface, with larger membrane blocks and fewer pores (Figure 11a). After immersion, the surface became uneven, with cracks and more pores (Figure 11b), which facilitated the release of agricultural antibiotics. This structure enhanced the efficiency of slow-release and controlled-release particles while also providing certain humidity responsiveness, without affecting the release of agricultural antibiotics at relevant temperatures.
The surface characteristics and behaviors of the material under different conditions can be observed in Figure 12. The IMS surface appeared to be quite smooth and exhibited strong compatibility, indicating good miscibility among PETS, PETO, and PEG400MO, suggesting that they are mutually soluble (Figure 12a). After soaking the IMS in water for 24 h, the surface remained relatively smooth but showed some small pores. This may be attributed to the hygroscopic nature of PEG400, which facilitates the ingress of a small amount of water into the thermosensitive material, thereby leading to the release of the agricultural antibiotics with the water (Figure 12b). As the temperature of the IMS approaches the melting point of the thermosensitive material (35 °C), the surface begins to dissolve, presenting a stepped appearance (Figure 12c). When the external environment has a high temperature and humidity (35 °C in water), the unevenness of the IMS surface increases, with several small holes appearing. In this condition, water penetrates the core, dissolving the agricultural antibiotics and forming a pressure gradient. This pressure gradient facilitates the release of the agricultural antibiotics through the outer shell.
From Figure 12, it evident that the temperature-sensitive material shell exhibited temperature responsiveness. Under the conditions of an elevated temperature and humidity, the bead remained intact, without cracking, enabling the controlled release of the agricultural antibiotics. This led to a gradual diffusion process for the agricultural antibiotics.
Figure 13 displays the cross-sectional and structural diagrams of the final preparation of the Tetramycin-loaded beads, revealing a three-layer structure under 35× SEM. Shell 1 is the IMS, and Shell 2 is the OTS.

3.6. Characterization of Release of Agricultural Antibiotic Tetramycin

Due to the water solubility of Tetramycin, when it is exposed to an open environment at room temperature, a portion of it evaporates and is released. It reached a release rate of 34.20% at 35 days (Figure 14). This indicates that the release of the agricultural antibiotic in Figure 14a was not solely due to evaporation, and, comparatively, the overall release rate under low-humidity conditions was lower than that under high-humidity conditions. Specifically, the high-temperature and high-humidity environment (30% moisture, 35 °C) exhibited the fastest release, with a release rate of 96.24% at 35 days. In contrast, the low-temperature and low-humidity environment (10% moisture, 20 °C) showed the slowest release, with a release rate of 57.19% at 35 days. This trend aligns with the desired temperature and humidity response for this study.
Although the high-humidity groups demonstrated faster release at high temperatures and slower release at low temperatures, there was no significant difference in the 35-day release rates (94.54% vs. 96.24%). This may be attributed to the damage to the OTS when exposed to moisture, leading to increased porosity, which hinders the effective slow release of the agricultural antibiotic Tetramycin.
The experiments mentioned above demonstrate that Tetramycin-loaded core–shell beads exhibit certain temperature and humidity response capabilities, fulfilling the criteria for the management of bacterial wilt disease in agricultural settings. The release of the agricultural antibiotic begins with a rapid and steep increase; it then shifts to a more gradual release rate over time. This phenomenon can be attributed to the dissolution of HPMC within the OTS, which creates several holes in the shell. High temperatures cause the IMS to melt, allowing moisture to penetrate the core of the agricultural antibiotic, thereby dissolving it. Consequently, the internal pressure increases, and the agricultural antibiotic gradually diffuses outward, influenced by both the concentration and the pressure gradients. In the early stages of this process, the agricultural antibiotic’s concentration in the surrounding soil is low, whereas it is high within the Tetramycin core, leading to immediate release. However, as the core’s agricultural antibiotic dissolves, its concentration within the core decreases gradually, diminishing the release force. Consequently, the release process transitions to a phase of reduced agricultural antibiotic release [31,32].
The relationship between the release rates of the beads under various temperature and humidity conditions can be accurately modeled using a first-order kinetic equation. The key kinetic parameters, including the maximum release rate (No), kinetic rate (k), correlation coefficient (R2), and standard deviation (Se) of the release mechanism, are summarized in Table 7. Notably, the correlation coefficients (R2) for all controls analyzed were exceptionally high, ranging from 0.9738 to 0.9981, indicating the excellent fit of each equation to the release data. Additionally, the standard deviations (Se) were relatively low, ranging from 0.0233 to 0.0492, which further confirms the goodness of fit. Regarding the maximum release rate (No) of the agricultural antibiotic, it was significantly higher under high-humidity than low-humidity environments. The kinetic rate (k) showed a similar trend, suggesting that the release of the agricultural antibiotic is influenced by both the temperature and humidity [33,34].

3.7. Analysis of Simulated Field Release Experiments

The release rate of the Tetramycin-loaded beads varies in different environmental conditions, influenced by their temperature and humidity responsiveness (Figure 15). Groups a and b showed variations in their stepwise slow release; in particular, Group a demonstrated a pronounced “stepwise” pattern due to its exposure to alternating high-temperature/high-humidity (hot/wet) and low-temperature/low-humidity (cold/dry) conditions, achieving a release rate of 96.43% over 21 days. This demonstrates the Tetramycin-loaded beads’ ability to adjust their release rates in response to environmental changes, effectively preventing the premature release of the agricultural antibiotic in unexpected hot/wet conditions and thus prolonging its efficacy. In contrast, group c did not show a stepwise release pattern, likely due to the quicker release rate in both hot/wet and high-temperature/low-humidity (hot/dry) conditions, resulting in a parabolic release curve. Control groups d and e exhibited lower slow release rates of 30.27% and 30.86% at 21 days, respectively, consistent with the observations in Figure 14b and likely attributable to the evaporation of the agricultural antibiotic when exposed to air.

3.8. Disease-Preventive Effectiveness Regarding Tobacco Bacterial Wilt

In examining Figure 16a, it is evident that, at 10 weeks post-treatment, the disease onset rates for both the untreated control and the treated control groups were comparable (5.97% vs. 5.35% in 2022 and 6.17% vs. 5.60% in 2023, respectively). This observation could be linked to the climatic conditions prevailing towards the end of May and the onset of June, which had not yet escalated to the high temperatures that typically facilitate the widespread occurrence of bacterial wilt disease. As a result, the temperature-sensitive beads had not yet commenced the significant release of the agricultural antibiotic. Therefore, the variance in the disease index between the two cohorts was not markedly pronounced.
However, by 13 weeks, the disease incidence in the untreated control had slightly exceeded that of the experimental group (7.37% vs. 5.85% in 2022 and 6.43% vs. 4.97% in 2023). During this period, the experimental group gradually started to release the agricultural antibiotic as the temperature rose, leading to a gradual improvement in the disease incidence. The preventive effect amounted to approximately 20% in both years (Figure 16b). By 15 weeks, amidst the climatic peak of July, characterized by the optimal conditions for bacterial wilt disease proliferation—namely, elevated temperatures and humidity levels, compounded by substantial rainfall—the untreated control led to a significant increase in disease outbreaks. Conversely, the Tetramycin-loaded beads within the experimental group were activated by the specific temperature and humidity thresholds, initiating the incremental release of the agricultural antibiotic. Consequently, the disease prevalence in the untreated control was markedly more pronounced than in the processed control (41.21% vs. 22.54% in 2022 and 43.97% vs. 19.90% in 2023), with a relative preventive efficacy of 43.37% in 2022 and 54.74% in 2023. As evidenced in Figure 17 and Figure 18, the untreated control demonstrated a larger number of wilted tobacco plants and a higher incidence of bacterial wilt disease. In contrast, the experimental group maintained a comparatively healthier state, evidenced by the reduction in diseased plants and visibly healthier foliage. These experiments underscore the beads’ positive and substantial effects in mitigating disease within an agronomic context.

3.9. Structural Flora Analysis of Soil Bacterial and Fungal Communities

3.9.1. Soil Sample Species Distribution

Figure 19 shows that, at the phylum level, the dominant bacterial communities in the soil across different depths for both the untreated control and the experimental group were primarily Pseudomonas, accounting for 32.61% to 48.26% of the total. At the class level, these communities were mainly distributed within the order Alphaproteobacteria, with proportions ranging from 21.49% to 32.30%. Further classification revealed that, at the order level, the bacteria were predominantly found in Hyphomicrobiales (6.93% to 10.63%) and Sphingomonadales (5.08% to 11.11%). At the family level, the most prevalent bacterial groups belonged to the family Sphingomonadaceae (4.80% to 10.76%). Finally, at the genus level, the predominant bacterial groups in the soil were identified as Sphingomonas, with proportions ranging from 4.47% to 10.50%.
In the soil samples analyzed, Ralstonia solanacearum, a member of the genus Ralstonia within the Ralstoniaceae family, demonstrated variable abundance based on the treatment conditions. The genus-level comparison revealed the lower relative abundance of Ralstonia in the soil of the processed control (0.47%) compared to the untreated control (1.07%). Similarly, at the species level, the abundance of Ralstonia solanacearum was reduced in the processed control (0.32%) relative to the untreated control (0.91%) (Figure 19). These findings indicate that Tetramycin effectively suppressed the growth of Ralstonia solanacearum, thereby diminishing its presence in the soil. Such a reduction is beneficial in enhancing the resistance of tobacco seedlings to Ralstonia solanacearum infestation, potentially leading to a decrease in the incidence of wilting and mortality attributable to this pathogen in tobacco plants.
As indicated in Figure 20, at the phylum level, the predominant soil flora at different depths in the untreated control and experimental group mainly belonged to Ascomycota (29.02~54.07%). At the class level, the flora primarily consisted of Sordariomycetes (19.11~43.68%). When classified by order, the primary components of the flora were Mortierellales (5.97~40.92%) and Trechisporales (1.28~44.40%). Moving to the family level, the dominant families were Mortierellaceae (5.98~40.92%) and Hydnodontaceae (1.16~44.10%). Finally, at the genus level, the prominent genera included Trechispora (0.21~15.19%) and Chaetomium (1.00~12.93%). There were no significant shifts in the major fungal classes between the treatment and control groups. However, the fungal community structure showed higher consistency in the early stages at soil layers of different depths in the treatment group compared to the control, indicating that the Tetramycin controlled-release pellet treatment had a certain effect on the soil fungal community structure. The diversity differences between the different soil layers in the treatment group were restored in the later period (13 weeks), suggesting that the impact of the pharmaceutical treatment began to diminish towards the end of the production season.

3.9.2. Analysis of Soil Bacterial and Fungal Diversity

The dilution curves are depicted in Figure 21, and it can be seen that the curves for both bacteria and fungi tended to level off. This indicates that the sequencing depth used in the current study was adequate to accurately represent the microbial composition of the soil in the tobacco plant. Specific data can be found in Table 8 and Table 9. The Chao1 and Shannon indices were used to characterize the α-diversity of the bacterial and fungal communities (Figure 21). In the 10 cm and 20 cm soil samples, the Chao1 index of the controlled experimental group was generally lower than that of the uncontrolled experimental group, and the Shannon index also decreased, while there was little change in the soil at a 30 cm depth. The consistency of the early bacterial and fungal community structures was higher than that of the control, indicating that the Tetramycin controlled-release pellet treatment had a certain effect on the soil bacterial and fungal community structures. In the later period (106 days), the differences in fungal diversity between different depths in the treatment group were restored, indicating that the impact of the pharmaceutical treatment began to diminish towards the end of the production season. This is consistent with our earlier expectations regarding the use of bio-based fungicides, natural biomass carrier materials, and environmental optimization, as well as completely biodegradable PETS and other chemical raw materials.
By clustering tags with a similarity of 97%, representative OTU sequences were obtained to identify the number of shared and unique OTUs among the samples using a Venn diagram. For bacterial samples, a total of 47,321 OTUs were obtained, with 900 OTUs shared among the samples, and the top ten OTUs were identified as 2, 4, 22, 21, 41, 43, 98, 28, 50, and 34, as shown in Figure 22a. For fungal samples, a total of 7580 OTUs were obtained, with 54 OTUs shared between the treatment and blank groups, and the top ten OTUs were identified as 1, 7, 9, 4, 24, 51, 19, 25, 55, and 33, as shown in Figure 22b. Tetramycin caused a decrease in the proportion of unique species at depths of 10 cm and 20 cm.
Principal coordinate analysis (PCoA) was employed to assess the differences between two sample groups. As depicted in Figure 23a, PCoA1 accounted for 23.11% of the variance in soil sample bacteria, while PCoA2 contributed 14.39%. The bacterial flora in the untreated control group showed considerable differences between the initial (10 weeks) and later stages (13, 15 weeks). In contrast, the experimental group displayed minimal changes in bacterial flora over the test period, with similar bacterial structures at various depths. This consistency may be attributed to Tetramycin’s strong bactericidal properties, which inhibited the growth of certain bacteria, thus making the bacterial structure of the experimental group resemble that of the untreated control at the initial stage (10 weeks). For fungi, the principal component axes PCoA1 and PCoA2 of the beta diversity analysis results explained 28.52% and 12.41% of the variation, respectively. There were slight differences between the uncontrolled and controlled sample groups, while the differences within the same group were relatively small. The fungal structure was more uniform at all depths in the experimental group compared to the untreated control, whereas in the untreated control the fungal structure was relatively uniform at 20 cm and 30 cm depths, with some differences between the 10 cm depth.

4. Discussion

4.1. Greenness of Raw Material for Preparation of Tetramycin-Loaded Core–Shell Beads

CKP, utilized in pharmaceutical formulations, is a byproduct of agricultural processing. Corn cobs primarily contain cellulose (35–55%), hemicellulose (25–35%), and lignin (20–30%) and are abundant in carbohydrates [35]. Owing to its high density (160–210 kg/m3) and porous structure, CKP can retain sufficient water, enabling high percentages of agricultural antibiotic loading. Furthermore, it can be transformed into soil organic matter by soil microorganisms, making it a high-quality carrier for Tetramycin [36]. Additionally, it enables the utilization of agricultural waste. PETO and PETS are oil-phase materials synthesized from pentaerythrityl esters, stearic acid, and oleic acid. PETS is susceptible to hydrolysis and fracture due to the vulnerability of its ester groups to water molecule attacks, resulting in structural damage, and it exhibits rapid biodegradation characteristics [37]. Stearic acid and oleic acid are widely found in plants and animals, serving as natural raw materials with a minimal environmental impact. PEG400MO, a polyethylene glycol polymer with a relative molecular mass of 400, is commonly used in the preparation of degradable compositions [38,39]. Cellulose, one of the most abundant renewable resources in nature, is utilized in various fields through its derivatives. The outer shell materials EC and HPMC are cellulose ethers derived from natural cellulose through chemical modification; they exhibit a degree of biodegradability due to the biodegradable cellulose in their main chains [40,41,42]. Their stable chemical properties, film-forming abilities, and attributes such as non-toxicity and biodegradability make them suitable for the production of biodegradable membranes and packaging materials and in other agricultural applications [43,44].
Tetramycin, a compound produced through the fermentation metabolism of Streptomyces ahygroscopicus subsp. Wuzhouensis, serves as a green biogenic pesticide [45]. Notably, Tetracycline A and B, as types of macrolide tetracycline antibiotics, demonstrate a significant inhibitory effect on bacterial diseases, making them vital agricultural antibiotics. However, prolonged and extensive use of Tetramycin may lead to resistance in pathogenic bacteria, diminishing its effectiveness. Additionally, Tetramycin’s non-targeted action can harm beneficial microorganisms alongside pathogens. Consequently, the continuous, large-scale application of Tetramycin is unsustainable [46,47]. Research has thus been directed towards enhancing Tetramycin’s utilization by formulating it into slow-release granules responsive to warm and moist conditions. This approach aims to reduce its application rate, leveraging its potent bactericidal properties more efficiently while minimizing damage to the ecosystem.

4.2. Temperature and Humidity Responsiveness of Enclosure

PETS, PETO, and PEG400 can be mixed in any proportion, and temperature-sensitive shells that are responsive to temperature changes are formulated by leveraging the differences in the melting points among the three substances. The primary mechanism involves the formation of new compounds through interactions among the components, resulting in a melting point that falls between those of the individual raw materials. By adjusting the ratios, a formula with a softening point of 30–35 °C can be achieved. When the temperature reaches this range, the oil-phase material undergoes a phase transition from a “gel-like crystal state” to a liquid crystal state, enhancing its permeability and facilitating the release of agricultural antibiotics [48]. Additionally, the inclusion of hydrophilic PEG400MO imparts humidity responsiveness to IMSs. This characteristic aids in the transport of water through IMSs. As a result, water reaches the interior of the Tetramycin core, facilitating the release of water-soluble agricultural antibiotics.
The outer shell, composed of cellulose, is a cross-linked reticular membrane created by blending water-soluble HPMC with alcohol-soluble EC. Upon exposure to water, this membrane swells, leading to the breakdown of the multidimensional spatial mesh structure. This structure is formed by -OH groups on the cellulose ether molecular chain through esterification or etherification cross-linking [49]. Simultaneously, a portion of the HPMC dissolves, resulting in the formation of pores on the surface of the cellulose membrane. Water can penetrate the OTS through these pores.
The experimental results corroborate the theoretical conjecture presented above, demonstrating that the agricultural antibiotic exhibited responsive release when exposed to conditions of sustained mild temperatures (35 °C) coupled with high humidity (30%).

4.3. Temperature- and Humidity-Responsive Slow-Release Pellets Can Meet Agricultural Needs in Warmer Regions

The optimal conditions for the growth of Ralstonia solanacearum typically fall within a temperature range of 30–35 °C, coupled with high humidity [50,51]. Therefore, particles that are responsive to temperature and humidity, especially within the range of 33–35 °C, should effectively cater to the requirements in tobacco agricultural production. Additionally, experimental evidence has substantiated the effectiveness of Tetramycin against tobacco Ralstonia solanacearum [16,52]. According to the aforementioned experimental results, the relative preventive effect reached 54.74% at 106 days after transplanting, significantly reducing the damage caused by Ralstonia solanacearum in tobacco production. Consequently, core–shell particles show potential as biopesticide control agents for bacterial wilt disease in Guizhou province of China.
However, the experiments had some deficiencies; for instance, when calculating the disease index, the temperature and humidity should also be measured concurrently. This would better illustrate the impact of the temperature and humidity on the development of Ralstonia solanacearum [53]. Although this has been supported by numerous articles, and we observed similar results in our experiments, incorporating these measurements would enhance the validity of our findings. Furthermore, since Tetramycin is a broad-spectrum antibiotic, it can also target other diseases, such as wheat erythroplasmosis, powdery mildew, poplar ulcer, and bacterial hornblotch. By adjusting the response temperature of the IMS, control of these additional diseases can be achieved. As a result, these particles can cater to a wider range of agricultural needs in warmer climates, demonstrating promising prospects for practical application.

5. Conclusions

Through the selection of Tetramycin-loaded beads and the IMS and OTS materials, and by conducting agricultural antibiotic release experiments and field trials, we successfully prepared Tetramycin-loaded core–shell beads. These particles demonstrated the ability to achieve the intelligent temperature- and humidity-controlled release of an aqueous agricultural antibiotic, aligning with the conditions required to control bacterial wilt disease in tobacco. Field trials also confirmed that the Tetramycin-loaded beads could reduce the occurrence of bacterial wilt disease within a specific time frame, effectively decreasing the quantity of agricultural antibiotics needed and the frequency of application. This approach is beneficial in minimizing the environmental impact associated with excessive agricultural antibiotic use. Additionally, a single agricultural antibiotic application can maintain effectiveness for approximately 30 days, reducing the need for frequent manual applications and the labor costs. This innovation meets the demands of agricultural production and can be applied in a wide range of settings.

Supplementary Materials

The following supporting information can be downloaded at: https://www.mdpi.com/article/10.3390/agronomy14061199/s1, Information on the microbial amplified fragment analysis process can be found at the following URL: https://www.yuque.com/yangyulan-ayaeq/oupzan/qwo8c0ymxmrtguhy (accessed on 7 April 2024) with title “Microbial Amplicon Analysis Process” (References [25,26,54,55,56,57,58,59,60] are cited in the supplementary materials, where references [25,26] are cited in the text.); Information on the microbiome structure of the soil bacteria and fungi has been uploaded to NCBI under the accession number PRJNA1096932 (https://www.ncbi.nlm.nih.gov/bioproject/PRJNA1096932, accessed on 7 April 2024) with title “Data on bacterial and fungal community structure in soil samples treated with tetramycin slow-release beads and negative control”.

Author Contributions

Conceptualization, Y.L., X.C. and S.L.; methodology, J.G., G.L., X.D. and J.Z.; formal analysis, Y.L. and X.C.; investigation, Y.L. and X.C.; resources, X.C.; writing—original draft preparation, J.G.; writing—review and editing, J.G.; supervision, Y.L., X.C. and S.L.; project administration, Y.L. and X.C.; funding acquisition, Y.L. and X.C. All authors have read and agreed to the published version of the manuscript.

Funding

This research was funded by A Science and Technology Project, grant number 2021XM11.

Data Availability Statement

The microbial genome sequencing raw reads have been deposited in the NCBI Sequence Read Archive under accession number PRJNA1096932 (https://www.ncbi.nlm.nih.gov/bioproject/PRJNA1096932, accessed on 7 April 2024).

Acknowledgments

The authors would like to thank Shunli Kou for the support with the SEM, Shiwang Liu for the support with the mass spectrometer, Yuanfeng Wu for the support with the HPLC, Yinbang Zhu for the support with the DSC, and Zhenzhen Wang for the support with the TGA.

Conflicts of Interest

The authors declare no conflicts of interest.

Appendix A

Table A1. Disease severity classification (hierarchical plant-based surveys).
Table A1. Disease severity classification (hierarchical plant-based surveys).
Level of IllnessGrading Criteria
Level 0The whole plant is free of disease.
Level 1Less than one half of the leaves on the diseased side are withered.
Level 3One half to two thirds of the leaves on the diseased side are withered.
Level 5More than two thirds of the leaves on the diseased side are withered.
Level 7All of the leaves on the diseased plant are withered.
Level 9The diseased plant has essentially died.

References

  1. Peeters, N.; Guidot, A.; Vailleau, F.; Valls, M. Ralstonia solanacearum, a widespread bacterial plant pathogen in the post-genomic era. Mol. Plant Pathol. 2013, 14, 651–662. [Google Scholar] [CrossRef]
  2. Hamilton, C.D.; Zaricor, B.; Dye, C.J.; Dresserl, E.; Michaels, R.; Allen, C. Ralstonia solanacearum pandemic lineage strain UW551 overcomes inhibitory xylem chemistry to break tomato bacterial wilt resistance. Mol. Plant Pathol. 2024, 25, e13395. [Google Scholar] [CrossRef]
  3. Lopes, C.A.; Rossato, M. History and Status of Selected Hosts of the Ralstonia solanacearum Species Complex Causing Bacterial Wilt in Brazil. Front. Microbiol. 2018, 9, 1228. [Google Scholar] [CrossRef]
  4. Wang, J.; Peng, Y.; Xie, S.; Yu, X.; Bian, C.; Wu, H.; Wang, Y.; Ding, T. Biocontrol and molecular characterization of Bacillus velezensis D against tobacco bacterial wilt. Phytopathol. Res. 2023, 5, 50. [Google Scholar] [CrossRef]
  5. Genin, S. Molecular traits controlling host range and adaptation to plants in Ralstonia solanacearum. New Phytol. 2010, 187, 920–928. [Google Scholar] [CrossRef]
  6. She, S.; Niu, J.; Zhang, C.; Xiao, Y.; Chen, W.; Dai, L.; Liu, X.; Yin, H. Significant relationship between soil bacterial community structure and incidence of bacterial wilt disease under continuous cropping system. Arch. Microbiol. 2017, 199, 267–275. [Google Scholar] [CrossRef]
  7. Furusawa, A.; Uehara, T.; Ikeda, K.; Sakai, H.; Tateishi, Y.; Sakai, M.; Nakaho, K. Ralstonia solanacearum colonization of tomato roots infected by Meloidogyne incognita. J. Phytopathol. 2019, 167, 338–343. [Google Scholar] [CrossRef]
  8. Shi, X.; Zhan, H.; Zeng, Y.; Zhang, X.; Wu, B.; Liu, L. A Case of Hemophagocytic Lymphohistiocytosis Secondary to Ralstonia Solanacearum Infection. Clin. Lab. 2019, 65, 6. [Google Scholar] [CrossRef]
  9. Borlinghaus, J.; Albrecht, F.; Gruhlke, M.C.H.; Nwachukwu, I.D.; Slusarenko, A.J. Allicin: Chemistry and Biological Properties. Molecules 2014, 19, 12591–12618. [Google Scholar] [CrossRef]
  10. Zhang, C.; Li, W.; Long, Y.; Su, Y.; Zhang, Q. Co-Application of Tetramycin and Matrine Improves Resistance of Kiwifruit against Soft Rot Disease and Enhances Its Quality and Amino Acids. Antibiotics 2022, 11, 671. [Google Scholar] [CrossRef]
  11. Li, W.; Long, Y.; Yin, X.; Wang, W.; Zhang, R.; Mo, F.; Zhang, Z.; Chen, T.; Chen, J.; Wang, B.; et al. Antifungal activity and mechanism of Tetramycin against Alternaria alternata, the soft rot causing fungi in kiwifruit. Pestic. Biochem. Physiol. 2023, 192, 105409. [Google Scholar] [CrossRef]
  12. Kamoun, S.; Furzer, O.; Jones, J.D.; Judelson, H.S.; Ali, G.S.; Dalio, R.J.; Roy, S.G.; Schena, L.; Zambounis, A.; Panabières, F.; et al. The Top 10 oomycete pathogens in molecular plant pathology. Mol. Plant Pathol. 2015, 16, 413–434. [Google Scholar] [CrossRef]
  13. Belakhov, V.V.; Chistyakova, T.B.; Musayev, E.E.; Smirnov, I.A.; Kolodyaznaya, V.A. Synthesis and Antifungal Activity of N-Benzyl Derivatives of Tetramycin B. Russ. J. Gen. Chem. 2021, 91, 1028–1038. [Google Scholar] [CrossRef]
  14. He, Y.; Ding, Y.; Wu, Q.; Chen, M.; Zhao, S.; Zhang, J.; Wei, X.; Zhang, Y.; Bai, J.; Mo, S. Identification of the Potential Biological Preservative Tetramycin A-Producing Strain and Enhancing Its Production. Front. Microbiol. 2019, 10, 2925. [Google Scholar] [CrossRef]
  15. Belakhov, V.V. Ecological Aspects of Application of Tetraene Macrolide Antibiotic Tetramycin in Agriculture and Food Industry (A Review). Russ. J. Gen. Chem. 2022, 91, 2858–2880. [Google Scholar] [CrossRef]
  16. Ma, X.; Xiang, S.; Xie, H.; He, L.; Sun, X.; Zhang, Y.; Huang, J. Fabrication of pH-Sensitive Tetramycin Releasing Gel and Its Antibacterial Bioactivity against Ralstonia solanacearum. Molecules 2019, 24, 3606. [Google Scholar] [CrossRef]
  17. Campos, C.A.; Gerschenson, L.N.; Flores, S.K. Development of edible films and coatings with antimicrobial activity. Food Bioprocess Technol. 2011, 4, 849–875. [Google Scholar] [CrossRef]
  18. Yang, L.; Jiang, F.; Chen, H.; Gong, D. A Method for the Determination of Tetramycin Residues in Soil Using High Performance Liquid Chromatography. CN109142589B, 1 March 2022. [Google Scholar]
  19. Wang, S.; Yu, J.; Zhu, Q.; Yu, J.; Jin, F. Granular structure and allomorph position in C-type Chinese yam starch granule revealed by SEM, 13C CP/MAS NMR and XRD. Food Hydrocoll. 2009, 23, 426–433. [Google Scholar] [CrossRef]
  20. GB/T 23222-2008; Grade and Investigation Method of Tobacco Diseases and Insect Pests. State Tobacco Monopoly Administration of China. 2008. Available online: https://www.nssi.org.cn/nssi/front/73184050.html (accessed on 1 June 2009).
  21. Wu, Y.; Feng, K.; Li, S.; Wang, Z.; Zhang, Z.; Deng, Y. In-silico evaluation and improvement on 16S/18S/ITS primers for amplicon high-throughput sequencing. Microbiol. China 2020, 47, 2897–2912. [Google Scholar] [CrossRef]
  22. Martin, M. Cutadapt removes adapter sequences from high-throughput sequencing reads. EMBnet J. 2011, 17, 10–12. [Google Scholar] [CrossRef]
  23. Magoc, T.; Salzberg, S. FLASH: Fast length adjustment of short reads to improve genome assemblies. Bioinformatics 2011, 27, 2957–2963. [Google Scholar] [CrossRef]
  24. Edgar, R.C. UPARSE: Highly accurate OTU sequences from microbial amplicon reads. Nat. Methods 2013, 10, 996–998. [Google Scholar] [CrossRef]
  25. Schloss, P.D.; Westcott, S.L.; Ryabin, T.; Hall, J.R.; Hartmann, M.; Hollister, E.B.; Lesniewski, R.A.; Oakley, B.B.; Parks, D.H.; Robinson, C.J.; et al. Introducing mothur: Open-source, platform-independent, community-supported software for describing and comparing microbial communities. Appl. Environ. Microbiol. 2009, 75, 7537–7541. [Google Scholar] [CrossRef]
  26. Caporaso, J.G.; Kuczynski, J.; Stombaugh, J.; Bittinger, K.; Bushman, F.D.; Costello, E.K.; Fierer, N.; Peña, A.G.; Goodrich, J.K.; Gordon, J.I.; et al. QIIME allows analysis of high-throughput community sequencing data. Nat. Methods 2010, 7, 335. [Google Scholar] [CrossRef]
  27. Mu, B.; Li, M. Fabrication and thermal properties of tetradecanol/graphene aerogel form-stable composite phase change materials. Sci. Rep. 2018, 8, 8878. [Google Scholar] [CrossRef]
  28. Semmeq, A.; Galdo, S.D.; Chiarini, M.; Daidone, I.; Casieri, C. Macromolecular vs molecular crowding in aqueous solutions: A comparative study of PEG400 and ethylene glycol. J. Mol. Liq. 2024, 394, 123713. [Google Scholar] [CrossRef]
  29. Eze, F.N.; Jansakul, C.; Srichana, T. Insights into the formulation properties, biocompatibility, and permeability of poorly water-soluble methoxyflavones with PEG400 and propylene glycol. Acta Pharm. 2023, 73, 385–404. [Google Scholar] [CrossRef]
  30. Chaiwarit, T.; Kantrong, N.; Sommano, S.R.; Rachtanapun, P.; Junmahasathien, T.; Kumpugdee-Vollrath, M.; Jantrawut, P. Extraction of Tropical Fruit Peels and Development of HPMC Film Containing the Extracts as an Active Antibacterial Packaging Material. Molecules 2021, 26, 2265. [Google Scholar] [CrossRef]
  31. Duan, L.L. Nutrient Release Mechanism and Evaluation Methods of Slow and Controlled Release Fertilisers. Ph.D. Thesis, Shandong Agricultural University, Tai’an, China, 2010. [Google Scholar]
  32. Salari-Bardsiri, N.; Hejazi-Mehrizi, M.; Behrouz, R.; Naghavi, H.; Fekri, M. Release kinetics and bioavailability of nutrients from a slow-release iron fertilizer coated with cellulose derived from waste palm branches and pistachio shells. Arab. J. Geosci. 2023, 16, 120. [Google Scholar] [CrossRef]
  33. Boonying, P.; Sottiudom, S.; Nontasorn, P.; Lahhasurayotin, K.; Kangwansupamonkon, W. Novel coating films containing micronutrients for controlled-release urea fertilizer: Release mechanisms and kinetics study. Polym. Bull. 2022, 80, 9627–9649. [Google Scholar] [CrossRef]
  34. Wang, X.; Zhou, J.; Duan, J.; Zhai, J. Kinetics of nitrogen release from coated controlled release fertilisers. J. Northwest Agric. For. Univ. 2003, 31, 35+38–42. [Google Scholar] [CrossRef]
  35. Li, W.; Yang, Y.; Achal, V. Biochemical composite material using corncob powder as a carrier material for ureolytic bacteria in soil cadmium immobilization. Sci. Total Environ. 2022, 802, 149802. [Google Scholar] [CrossRef]
  36. Laopaiboon, L.; Laopaiboon, P. Ethanol production from sweet sorghum juice in repeated-batch fermentation by Saccharomyces cerevisiae immobilized on corncob. World J. Microbiol. Biotechnol. 2012, 28, 559–566. [Google Scholar] [CrossRef]
  37. Van der Waal, G.; Kenbeek, D. Testing application and future development of envrivementally friendly ester base fluids. J. Syn. Lubr. 1993, 10, 67. [Google Scholar] [CrossRef]
  38. Bakhtiary, N.; Bagheri, H.; Salehnia, M. Design of biocompatible polylactic acid–polyethylene glycol combination for manufacturing biodegradable staplers. J. Appl. Polym. Sci. 2023, 141, e54800. [Google Scholar] [CrossRef]
  39. Cai, C.; Chen, Z.; Ye, S.; Zhang, R.; Pan, X.; Yang, R.; Li, J. Synthesis and characterization of biodegradable and photocrosslinkable multi-block poly(ether-ester): Molecular-weight and component of the polyethylene glycol segment dependence. J. Appl. Polym. Sci. 2023, 140, e54693. [Google Scholar] [CrossRef]
  40. Zhou, Y.; Hu, Y.; Tan, Z.; Zhou, T. Cellulose extraction from rice straw waste for biodegradable ethyl cellulose films preparation using green chemical technology. J. Clean. Prod. 2024, 439, 140839. [Google Scholar] [CrossRef]
  41. Husain, A.; Adewunmi, A.A.; Gbadamosi, A.; Al-Harthi, A.M.; Patil, S.; Kamal, M.S. Demulsification of asphaltene stabilized crude oil emulsions by biodegradable ethylcellulose polymers with varying viscosities. Sci. Rep. 2023, 13, 1090. [Google Scholar] [CrossRef]
  42. Das, R.; Ghorai, S.; Pal, S. Corrigendum to “Flocculation characteristics of polyacrylamide grafted hydroxypropyl methyl cellulose: An efficient biodegradable flocculant” [Chem. Eng. J. 229 (2013) 144–152]. Chem. Eng. J. 2022, 427, 130833. [Google Scholar] [CrossRef]
  43. Hadi, A.; Nawab, A.; Alam, F.; Zehra, K. Sustainable alginate/aloe vera composite biodegradable films reinforced with carboxymethyl cellulose and hydroxypropyl methylcellulose. Polym. Compos. 2022, 43, 3471–3480. [Google Scholar] [CrossRef]
  44. Zhu, R.; Fu, X.; Jin, S.; Ma, R.; He, Z.; Zhang, D.; Long, Z. Water and oil-resistant paper materials based on sodium alginate/hydroxypropyl methylcellulose/polyvinyl butyral/nano-silica with biodegradable and high barrier properties. Int. J. Biol. Macromol. 2022, 225, 162–171. [Google Scholar] [CrossRef]
  45. Vero, S.; Garmendia, G.; Allori, E.; Sanz, J.M.; Gonda, M.; Alconada, T.; Cavello, I.; Dib, J.R.; Diaz, M.A.; Nally, C.; et al. Microbial Biopesticides: Diversity, Scope, and Mechanisms Involved in Plant Disease Control. Diversity 2023, 15, 457. [Google Scholar] [CrossRef]
  46. Rware, H.; Monica, K.K.; Idah, M.; Fernadis, M.; Davis, I.; Buke, W.; Solveig, D.; Daniel, K.; Duncan, C.; Morten, B.; et al. Examining antibiotic use in Kenya: Farmers’ knowledge and practices in addressing antibiotic resistance. CABI Agric. Biosci. 2024, 5, 21. [Google Scholar] [CrossRef]
  47. Miller, S.A.; Ferreira, J.P.; LeJeune, J.T. Antimicrobial Use and Resistance in Plant Agriculture: A One Health Perspective. Agriculture 2022, 12, 289. [Google Scholar] [CrossRef]
  48. Tamer, Y.B. Development of citric acid crosslinked biodegradable chitosan/hydroxyethyl cellulose/organo-modified nanoclay composite films as sustainable food packaging materials. Polym. -Plast. Technol. Mater. 2023, 62, 1138–1156. [Google Scholar] [CrossRef]
  49. Bai, C. Preparation of Functional Lipid Micro- and Nano-Capsules and Evaluation of Their Properties. Ph.D., Theis, Nanchang University, Nanchang, China, 2014. [Google Scholar]
  50. Wu, H.; Shao, Z. Progress in cross-linking modification of water-soluble cellulose ethers. Cellul. Sci. Technol. 2022, 30, 64–71. [Google Scholar] [CrossRef]
  51. Wang, H.; Guo, H.; Cai, L.; Cai, L.; Guo, Y.; Ding, W. Effect of temperature on phenotype characterization of Ralstonia solanacearum from tobacco. Can. J. Plant Pathol. 2020, 42, 164–181. [Google Scholar] [CrossRef]
  52. Kong, F. Integrated control of Ralstonia solanacearum in tobacco. Tob. Sci. Technol. 2003, 4, 42–43+48. Available online: https://kns-cnki-net.ez.zust.edu.cn/kcms2/article/abstract?v=8dkf_uZKVx1nzR0XQXWYNs8040ATF5yIf8Tldh0tAPq5Tmfmyf2xuRCiMDrfeMeG6x5xkAxVUCNKuxyox_LSe99Pqu7V3p7yIyotgbw_4ATcEvGMnRuJIVUlSbn9KeQ1tZtLczVgBz0=&uniplatform=NZKPT&language=CHS (accessed on 7 April 2024).
  53. Bekal, S.; Becker, J.O. Population dynamics of the sting nematode in California turf grass. Plant Dis. 2000, 84, 1081–1084. [Google Scholar] [CrossRef]
  54. He, W.; Zhao, S.; Liu, X.; Dong, S.; Lv, J.; Liu, D.; Wang, J.; Meng, Z. ReSeqTools: An integrated toolkit for large large-scale next next-generation sequencing based resequencing analysis. Genet Mol Res. 2013, 12, 6275–6283. [Google Scholar] [CrossRef]
  55. Edgar, R.C.; Haas, B.J.; Clemente, J.C.; Quince, C.; Knight, R. UCHIME improves sensitivity and speed of chimera detection. Bioinformatics. 2011, 27, 2194–2200. [Google Scholar] [CrossRef]
  56. Wang, Q.; Garrity, G.M.; Tiedje, J.M.; Cole, J.R. Naive Bayesian classifier for rapid assignment of rRNA sequences into the new bacterial taxonomy. Appl Environ Microbiol. 2007, 73, 5261–5267. [Google Scholar] [CrossRef]
  57. Lozupone, C.; Knight, R. UniFrac: A new phylogenetic method for comparing microbial communities. Appl Environ Microbiol. 2005, 71, 8228–8235. [Google Scholar] [CrossRef]
  58. Lozupone, C.; Lladser, M.E.; Knights, D.; Stombaugh, J.; Knight, R. UniFrac: An effective distance metric for microbial community comparison. ISME J. 2011, 5, 169–172. [Google Scholar] [CrossRef]
  59. Lozupone, C.A.; Hamady, M.; Kelley, S.T.; Knight, R. Quantitative and qualitative beta diversity measures lead to different insights into factors that structure microbial communities. Appl Environ Microbiol. 2007, 73, 1576–1585. [Google Scholar] [CrossRef]
  60. Douglas, G.M.; Maffei, V.J.; Zaneveld, J.; Yurgel, S.; Brown, J.R.; Taylor, C.; Huttenhower, C.; Langille, M.G.I. PICRUSt2: An improved and extensible approach for metagenome inference. bioRxiv 2019. [Google Scholar] [CrossRef]
Figure 1. The simulation of field soil conditions to test the release properties of the Tetramycin-loaded beads. (a) The simulated field soil conditions involved cycling between hot/wet soil (35 °C, 30%) for 12 h and cold/dry soil (20 °C, 10%) for 3 days. (b) The simulated field soil conditions involved cycling between hot/wet soil (35 °C, 30%) for 12 h and hot/dry soil (35 °C, 10%) for 3 days. (c) The simulated field soil conditions involved cycling between hot/wet soil (35 °C, 30%) for 12 h and cold/wet soil (20 °C, 35%) for 3 days. (d) The Tetramycin-loaded beads were placed in air at 20 °C. (e) The Tetramycin-loaded beads were placed in air at 35 °C.
Figure 1. The simulation of field soil conditions to test the release properties of the Tetramycin-loaded beads. (a) The simulated field soil conditions involved cycling between hot/wet soil (35 °C, 30%) for 12 h and cold/dry soil (20 °C, 10%) for 3 days. (b) The simulated field soil conditions involved cycling between hot/wet soil (35 °C, 30%) for 12 h and hot/dry soil (35 °C, 10%) for 3 days. (c) The simulated field soil conditions involved cycling between hot/wet soil (35 °C, 30%) for 12 h and cold/wet soil (20 °C, 35%) for 3 days. (d) The Tetramycin-loaded beads were placed in air at 20 °C. (e) The Tetramycin-loaded beads were placed in air at 35 °C.
Agronomy 14 01199 g001
Figure 2. The one-minute yield and integrity of different formulations of Tetramycin cores. (A1A5) refer to beads prepared based on formulations (A1A5), respectively, in Table 1.
Figure 2. The one-minute yield and integrity of different formulations of Tetramycin cores. (A1A5) refer to beads prepared based on formulations (A1A5), respectively, in Table 1.
Agronomy 14 01199 g002
Figure 3. The DSC analysis of IMSs with different ratios of fat materials. PETS, PETO, PEG400MS, and PEG400MO represent the pure components of PETS, PETO, PEG400MS, and PEG400MO, respectively, while samples M1-1 to M2-6 represent different ratios in the IMS. (a): test group of PEG400MS, (b) test group of PEG400MO.
Figure 3. The DSC analysis of IMSs with different ratios of fat materials. PETS, PETO, PEG400MS, and PEG400MO represent the pure components of PETS, PETO, PEG400MS, and PEG400MO, respectively, while samples M1-1 to M2-6 represent different ratios in the IMS. (a): test group of PEG400MS, (b) test group of PEG400MO.
Agronomy 14 01199 g003
Figure 4. The TGA analysis of IMSs with different ratios of fat materials. (PETS, PETO, PEG400MS, and PEG400MO represent the pure components of PETS, PETO, PEG400MS, and PEG400MO, and samples MI-1~M2-6 represent different ratios of fat shells.).
Figure 4. The TGA analysis of IMSs with different ratios of fat materials. (PETS, PETO, PEG400MS, and PEG400MO represent the pure components of PETS, PETO, PEG400MS, and PEG400MO, and samples MI-1~M2-6 represent different ratios of fat shells.).
Agronomy 14 01199 g004
Figure 5. The conditions after soaking M1-4 (a) and M2-1 (b) at different temperatures (20, 25, 30, 35 °C) for 15 days.
Figure 5. The conditions after soaking M1-4 (a) and M2-1 (b) at different temperatures (20, 25, 30, 35 °C) for 15 days.
Agronomy 14 01199 g005
Figure 6. The appearance of beads M1-4 (a) and M2-1 (b) after soaking in water.
Figure 6. The appearance of beads M1-4 (a) and M2-1 (b) after soaking in water.
Agronomy 14 01199 g006
Figure 7. M2-1~M2-6 IMS materials with Beet Red pigment added and soaked in water for 48 h at 35 °C.
Figure 7. M2-1~M2-6 IMS materials with Beet Red pigment added and soaked in water for 48 h at 35 °C.
Agronomy 14 01199 g007
Figure 8. The morphologies of the outer EC/HPMC shells with different ratios (EH1–EH5 arranged from left to right) after 30 days at 35 °C without immersion (a) and after immersion (b).
Figure 8. The morphologies of the outer EC/HPMC shells with different ratios (EH1–EH5 arranged from left to right) after 30 days at 35 °C without immersion (a) and after immersion (b).
Agronomy 14 01199 g008
Figure 9. The effect of the amount of HPMC added on the hardness, resilience, springiness, and cohesiveness of the EC/HPMC OTS. (ad) represent the differences in hardness, springiness, cohesiveness, and resilience of different OTS formulations, respectively (The points in the graph are the mean values; error bars represent standard deviations).
Figure 9. The effect of the amount of HPMC added on the hardness, resilience, springiness, and cohesiveness of the EC/HPMC OTS. (ad) represent the differences in hardness, springiness, cohesiveness, and resilience of different OTS formulations, respectively (The points in the graph are the mean values; error bars represent standard deviations).
Agronomy 14 01199 g009
Figure 10. The standard curve of the mass concentrations for Tetramycin A.
Figure 10. The standard curve of the mass concentrations for Tetramycin A.
Agronomy 14 01199 g010
Figure 11. The scanning electron microscope images of the OTS before soaking (a) and after soaking (b). The OTS exhibits the dissolution of the HPMC after immersion in water, allowing pores to appear in the shell layer, at which point the agricultural antibiotic’s release is accelerated.
Figure 11. The scanning electron microscope images of the OTS before soaking (a) and after soaking (b). The OTS exhibits the dissolution of the HPMC after immersion in water, allowing pores to appear in the shell layer, at which point the agricultural antibiotic’s release is accelerated.
Agronomy 14 01199 g011
Figure 12. The scanning electron microscopy images of the temperature-sensitive material carriers at various temperature and humidity levels: (a) 20 °C without water immersion; (b) 20 °C with water immersion; (c) 35 °C without water immersion; (d) 35 °C with water immersion). The IMS will cause some degree of damage to the shell layer when it encounters either high temperatures or high humidity, and the damage is most severe when both high temperature and high humidity (35 °C 30%) are present, during which the drug is released at the fastest rate.
Figure 12. The scanning electron microscopy images of the temperature-sensitive material carriers at various temperature and humidity levels: (a) 20 °C without water immersion; (b) 20 °C with water immersion; (c) 35 °C without water immersion; (d) 35 °C with water immersion). The IMS will cause some degree of damage to the shell layer when it encounters either high temperatures or high humidity, and the damage is most severe when both high temperature and high humidity (35 °C 30%) are present, during which the drug is released at the fastest rate.
Agronomy 14 01199 g012
Figure 13. A sectional view of the finished Tetramycin controlled-release tablet (a), a structural schematic (b), and an SEM image of the cross-section of a bead at 35× magnification (c). Shell 1 is the IMS; shell 2 is the OTS.
Figure 13. A sectional view of the finished Tetramycin controlled-release tablet (a), a structural schematic (b), and an SEM image of the cross-section of a bead at 35× magnification (c). Shell 1 is the IMS; shell 2 is the OTS.
Agronomy 14 01199 g013
Figure 14. The release curves of pellets from tablets under different temperature and humidity conditions (a) and the open storage release curves of pellets at room temperature (b). The points in the graph are the mean values; the error bars represent the standard deviations.
Figure 14. The release curves of pellets from tablets under different temperature and humidity conditions (a) and the open storage release curves of pellets at room temperature (b). The points in the graph are the mean values; the error bars represent the standard deviations.
Agronomy 14 01199 g014
Figure 15. The release curves of the Tetramycin-loaded beads under simulated field soil conditions. (a) The release performance of the Tetramycin-loaded beads under soil conditions simulating the cycle of hot/wet conditions (35 °C, 30%) for 12 h and cold/dry conditions (20 °C, 10%) for 3 days. (b) The release performance of the Tetramycin-loaded beads under soil conditions simulating the cycle of hot/wet conditions (35 °C, 30%) for 12 h and hot/dry conditions (35 °C, 10%) for 3 days. (c) The release performance of the Tetramycin-loaded beads under soil conditions simulating the cycle of hot/wet conditions (35 °C, 30%) for 12 h and cold/wet conditions (20 °C, 35%) for 3 days. (d) The release performance of the Tetramycin-loaded beads in air at 20 °C. (e) The release performance of the Tetramycin-loaded beads in air at 35 °C. The points in the graph are the mean values; the error bars represent the standard deviations.
Figure 15. The release curves of the Tetramycin-loaded beads under simulated field soil conditions. (a) The release performance of the Tetramycin-loaded beads under soil conditions simulating the cycle of hot/wet conditions (35 °C, 30%) for 12 h and cold/dry conditions (20 °C, 10%) for 3 days. (b) The release performance of the Tetramycin-loaded beads under soil conditions simulating the cycle of hot/wet conditions (35 °C, 30%) for 12 h and hot/dry conditions (35 °C, 10%) for 3 days. (c) The release performance of the Tetramycin-loaded beads under soil conditions simulating the cycle of hot/wet conditions (35 °C, 30%) for 12 h and cold/wet conditions (20 °C, 35%) for 3 days. (d) The release performance of the Tetramycin-loaded beads in air at 20 °C. (e) The release performance of the Tetramycin-loaded beads in air at 35 °C. The points in the graph are the mean values; the error bars represent the standard deviations.
Agronomy 14 01199 g015
Figure 16. The disease index (a) and control efficacy (b) for tobacco bacterial wilt in the untreated control and experimental group. Data are expressed as the mean ± standard deviation, based on three parallel experiments. Letters “a” and “b” indicate significant differences at the level of p < 0.05.
Figure 16. The disease index (a) and control efficacy (b) for tobacco bacterial wilt in the untreated control and experimental group. Data are expressed as the mean ± standard deviation, based on three parallel experiments. Letters “a” and “b” indicate significant differences at the level of p < 0.05.
Agronomy 14 01199 g016
Figure 17. The wilting of tobacco plants in the untreated control (a) and experimental groups (b), 15 weeks post-transplantation, during the field experiment in 2022.
Figure 17. The wilting of tobacco plants in the untreated control (a) and experimental groups (b), 15 weeks post-transplantation, during the field experiment in 2022.
Agronomy 14 01199 g017
Figure 18. The wilting of tobacco plants in the untreated control (a,c,e) and experimental groups (b,d,f), 15 weeks post-transplantation, during the field experiment in 2023.
Figure 18. The wilting of tobacco plants in the untreated control (a,c,e) and experimental groups (b,d,f), 15 weeks post-transplantation, during the field experiment in 2023.
Agronomy 14 01199 g018
Figure 19. The genus-level (a) and species-level (b) distribution frequency of soil bacteria. CK represents the untreated control; Tmn represents the group with Tetramycin pellets; 1, 2, and 3 refer to plants analyzed 10, 13, and 15 weeks after transplantation, respectively; and 10, 20, and 30 refer to the depth of the surface in the soil samples.
Figure 19. The genus-level (a) and species-level (b) distribution frequency of soil bacteria. CK represents the untreated control; Tmn represents the group with Tetramycin pellets; 1, 2, and 3 refer to plants analyzed 10, 13, and 15 weeks after transplantation, respectively; and 10, 20, and 30 refer to the depth of the surface in the soil samples.
Agronomy 14 01199 g019
Figure 20. The genus-level (a) and species-level (b) distribution frequency of soil fungi. CK represents the untreated control; Tmn represents the group with Tetramycin pellets; 1, 2, and 3 refer to plants analyzed 10, 13, and 15 weeks after transplantation, respectively; and 10, 20, and 30 refer to the depth of the surface in the soil samples.
Figure 20. The genus-level (a) and species-level (b) distribution frequency of soil fungi. CK represents the untreated control; Tmn represents the group with Tetramycin pellets; 1, 2, and 3 refer to plants analyzed 10, 13, and 15 weeks after transplantation, respectively; and 10, 20, and 30 refer to the depth of the surface in the soil samples.
Agronomy 14 01199 g020
Figure 21. The bacterial (a) and fungal (b) dilution curves. CK represents the untreated control; Tmn represents the group with Tetramycin pellets; 1, 2, and 3 refer to plants analyzed 10, 13, and 15 weeks after transplantation, respectively; and 10, 20, and 30 refer to the depth of the surface in the soil samples.
Figure 21. The bacterial (a) and fungal (b) dilution curves. CK represents the untreated control; Tmn represents the group with Tetramycin pellets; 1, 2, and 3 refer to plants analyzed 10, 13, and 15 weeks after transplantation, respectively; and 10, 20, and 30 refer to the depth of the surface in the soil samples.
Agronomy 14 01199 g021
Figure 22. The bacterial (a) and fungal (b) OTU flower plot. CK represents the untreated control; Tmn represents the group with Tetramycin pellets; 1, 2, and 3 refer to plants analyzed 10, 13, and 15 weeks after transplantation, respectively; and 10, 20, and 30 refer to the depth of the surface in the soil samples.
Figure 22. The bacterial (a) and fungal (b) OTU flower plot. CK represents the untreated control; Tmn represents the group with Tetramycin pellets; 1, 2, and 3 refer to plants analyzed 10, 13, and 15 weeks after transplantation, respectively; and 10, 20, and 30 refer to the depth of the surface in the soil samples.
Agronomy 14 01199 g022
Figure 23. The principal coordinate analysis (PCoA) plot for the analysis of differences in the microbial community structure among various bacterial (a) and fungal (b) samples. CK represents the untreated control; Tmn represents the group with Tetramycin pellets; 1, 2, and 3 refer to plants analyzed 10, 13, and 15 weeks after transplantation, respectively; and 10, 20, and 30 refer to the depth of the surface in the soil samples.
Figure 23. The principal coordinate analysis (PCoA) plot for the analysis of differences in the microbial community structure among various bacterial (a) and fungal (b) samples. CK represents the untreated control; Tmn represents the group with Tetramycin pellets; 1, 2, and 3 refer to plants analyzed 10, 13, and 15 weeks after transplantation, respectively; and 10, 20, and 30 refer to the depth of the surface in the soil samples.
Agronomy 14 01199 g023
Table 1. The formulas used for the screening of the Tetramycin-loaded core materials.
Table 1. The formulas used for the screening of the Tetramycin-loaded core materials.
Sample NameCKP (g)Tetramycin Solution (g)QACS (g)SPA (g)SCC (g)XG (g)SA (g)
A11352302020000
A2135230001500
A3135230000200
A4135230010000
A5135230000020
Table 2. The formulations of the oil-phase materials for IMS construction.
Table 2. The formulations of the oil-phase materials for IMS construction.
Sample NameM1M2
PETS: PETO: PEG400MSPETS: PETO: PEG400MO
110:20:1010:30:10
210:20:510:30:5
310:20:210:30:2
410:20:110:30:1
510:20:0.510:30:0.5
610:20:010:30:0
Table 3. Formulations of organic cellulose materials with different ratios.
Table 3. Formulations of organic cellulose materials with different ratios.
Sample NameEC/HPMC
EH130:1
EH210:1
EH35:1
EH43:1
EH52:1
Table 4. The one-minute yields and sensory evaluations of the different formulations of Tetramycin-loaded core beads.
Table 4. The one-minute yields and sensory evaluations of the different formulations of Tetramycin-loaded core beads.
Sample NameYield Rate (g/min)Sensory Evaluation
A126.62 ± 7.93 bcExtrusion difficulties
A240.53 ± 5.63 bPoorly formed and broken beads
A360.70 ± 3.26 aGood ball formation, partially sticking to the knife
A456.54 ± 4.68 aSticky knife, fluffy balls
A523.93 ± 13.01 cExtrusion difficulties
Note: Data are expressed as the mean ± standard deviation, based on three parallel experiments. Different letters indicate significant differences at the p < 0.05 level.
Table 5. The differential analysis of the texture parameters for the different formulations of Tetramycin cores.
Table 5. The differential analysis of the texture parameters for the different formulations of Tetramycin cores.
Sample NameHardness/gSpringiness/g·sCohesiveness
A1267.198 ± 16.819 c0.986 ± 0.037 a0.493 ± 0.048 a
A2394.755 ± 30.142 a0.047 ± 0.003 c0.049 ± 0.001 c
A3361.108 ± 10.692 ab1.008 ± 0.111 a0.460 ± 0.069 a
A4284.864 ± 10.533 c0.569 ± 0.131 b0.081 ± 0.038 c
A5335.023 ± 22.560 b1.008 ± 0.014 a0.281 ± 0.141 b
Note: Data are expressed as the mean ± standard deviation, based on three parallel experiments. Different letters indicate significant differences at the p < 0.05 level.
Table 6. The softening point determination results for the IMS formulations.
Table 6. The softening point determination results for the IMS formulations.
Sample NameSoftening Point (°C)Endothermic Peak in DSC (°C)
M1-130.722.76, 52.90
M1-231.224.12, 54.16
M1-331.829.87, 50.84
M1-432.731.36, 53.96
M1-53531.72, 54.04
M1-644.131.76, 54.43
M2-132.834.48
M2-235.440.22
M2-337.241.16
M2-438.242.19
M2-539.242.51
M2-640.243.87
Table 7. The first-order kinetic parameters for pellet release from tablets under different temperature and humidity conditions.
Table 7. The first-order kinetic parameters for pellet release from tablets under different temperature and humidity conditions.
TemperatureHumidityFirst-Order Kinetic Equation
N t = N o ( 1 e k t )
N o kR2Se
20 °C10%57.54740.18900.97380.0286
25 °C10%60.56470.22630.98470.0247
30 °C10%64.69380.25210.98840.0233
35 °C10%69.93710.25810.98130.0300
20 °C30%92.31970.44970.99640.0251
25 °C30%91.96580.61340.99600.0383
30 °C30%92.93480.75480.99590.0492
35 °C30%94.04670.74080.99810.0331
Table 8. The bacterial alpha diversity index. CK represents the untreated control; Tmn represents the group with Tetramycin pellets; 1, 2, and 3 refer to plants analyzed 10, 13, and 15 weeks after transplantation, respectively; and 10, 20, and 30 refer to the depth of the surface in the soil samples.
Table 8. The bacterial alpha diversity index. CK represents the untreated control; Tmn represents the group with Tetramycin pellets; 1, 2, and 3 refer to plants analyzed 10, 13, and 15 weeks after transplantation, respectively; and 10, 20, and 30 refer to the depth of the surface in the soil samples.
SampleObserved SpeciesAceChao1SimpsonShannon
CK1_102763.7123621.29723580.84970.01286.1713
CK1_202463.7122942.51913006.23840.0115.9662
CK1_302417.882804.90272893.10830.00676.2299
CK2_102542.8163294.50593300.98960.00926.187
CK2_202544.3363310.52873341.76690.00926.1429
CK2_302667.8083563.77183551.82970.01126.1489
CK3_102464.2723207.86173203.06280.00776.1848
CK3_202647.2323527.35723599.64250.00756.2866
CK3_302665.2243423.04273440.27480.00846.2219
Tmn1_102567.8563093.50293083.6450.00936.2234
Tmn1_202720.963218.56093242.39790.00926.3055
Tmn1_302915.8483766.8183755.9490.00966.3297
Tmn2_102593.1123125.23543107.4170.00536.3349
Tmn2_202672.9443434.65143423.72680.00986.2173
Tmn2_302893.9523675.14493695.79140.00736.3792
Tmn3_102360.7762902.12182939.5170.00636.1272
Tmn3_202399.6163165.28023169.93770.01116.031
Tmn3_302967.3123913.7643922.31210.00676.4255
Table 9. The fungal alpha diversity index. CK represents the untreated control; Tmn represents the group with Tetramycin pellets; 1, 2, and 3 refer to plants analyzed 10, 13, and 15 weeks after transplantation, respectively; and 10, 20, and 30 refer to the depth of the surface in the soil samples.
Table 9. The fungal alpha diversity index. CK represents the untreated control; Tmn represents the group with Tetramycin pellets; 1, 2, and 3 refer to plants analyzed 10, 13, and 15 weeks after transplantation, respectively; and 10, 20, and 30 refer to the depth of the surface in the soil samples.
SampleObserved SpeciesAceChao1SimpsonShannon
CK1_10494.464547.0814559.20.06963.9899
CK1_20317.616401.1169380.02710.13323.4313
CK1_30236.792358.993313.51810.11383.2619
CK2_10512.832593.1301626.12830.05553.8966
CK2_20402.824446.5156455.93710.06913.8964
CK2_30499.512545.7893545.4550.06563.8415
CK3_10485.64525.9435581.11520.07163.7714
CK3_20515.368569.9406592.96540.16683.2776
CK3_30435489.98509.66690.05093.9571
Tmn1_10313.576410.5002386.96170.0873.6752
Tmn1_20315.6431.0576392.65840.08653.5485
Tmn1_30482.744512.074532.01790.14033.426
Tmn2_10283.832318.0625316.95360.05953.8156
Tmn2_20517.64542.4739557.49650.08873.5871
Tmn2_30433.72464.968473.00450.09123.4933
Tmn3_10286.944329.1536345.81290.04753.9384
Tmn3_20505.424546.213560.92770.07773.518
Tmn3_30534.704573.8141593.26240.1273.4667
Disclaimer/Publisher’s Note: The statements, opinions and data contained in all publications are solely those of the individual author(s) and contributor(s) and not of MDPI and/or the editor(s). MDPI and/or the editor(s) disclaim responsibility for any injury to people or property resulting from any ideas, methods, instructions or products referred to in the content.

Share and Cite

MDPI and ACS Style

Gao, J.; Lin, G.; Deng, X.; Zou, J.; Liu, Y.; Chen, X.; Liu, S. Development of Tetramycin-Loaded Core–Shell Beads with Hot-/Wet-Responsive Release Properties for Control of Bacterial Wilt Disease. Agronomy 2024, 14, 1199. https://doi.org/10.3390/agronomy14061199

AMA Style

Gao J, Lin G, Deng X, Zou J, Liu Y, Chen X, Liu S. Development of Tetramycin-Loaded Core–Shell Beads with Hot-/Wet-Responsive Release Properties for Control of Bacterial Wilt Disease. Agronomy. 2024; 14(6):1199. https://doi.org/10.3390/agronomy14061199

Chicago/Turabian Style

Gao, Juntao, Guan Lin, Xinmin Deng, Junxian Zou, Yong Liu, Xingjiang Chen, and Shiwang Liu. 2024. "Development of Tetramycin-Loaded Core–Shell Beads with Hot-/Wet-Responsive Release Properties for Control of Bacterial Wilt Disease" Agronomy 14, no. 6: 1199. https://doi.org/10.3390/agronomy14061199

APA Style

Gao, J., Lin, G., Deng, X., Zou, J., Liu, Y., Chen, X., & Liu, S. (2024). Development of Tetramycin-Loaded Core–Shell Beads with Hot-/Wet-Responsive Release Properties for Control of Bacterial Wilt Disease. Agronomy, 14(6), 1199. https://doi.org/10.3390/agronomy14061199

Note that from the first issue of 2016, this journal uses article numbers instead of page numbers. See further details here.

Article Metrics

Back to TopTop