You are currently viewing a new version of our website. To view the old version click .
Agronomy
  • Article
  • Open Access

31 May 2024

Comparative Study of Vermicomposting: Apple Pomace Alone and in Combination with Wheat Straw and Manure

,
,
,
,
,
and
1
Institute of Veterinary Medicine of Serbia, 11000 Belgrade, Serbia
2
Institute of Meat Hygiene and Technology, 11000 Belgrade, Serbia
3
Faculty of Agronomy, University of Kragujevac, 32000 Čačak, Serbia
4
Faculty of Agricultural Sciences and Food, University of Ss. Cyril and Methodius, 1000 Skopje, North Macedonia
This article belongs to the Section Agricultural Biosystem and Biological Engineering

Abstract

Considering the sporadic number of scientific studies on vermicomposting apple pomace waste, this research conducts a comparative analysis of vermicomposting processes using Eisenia fetida, focusing on apple pomace both independently and in combination with wheat straw and/or manure (experiment 1: 60% apple pomace and 40% cattle manure; experiment 2: 60% wheat straw and 40% cattle manure; experiment 3: 80% apple pomace, 10% wheat straw, and 10% cattle manure; and experiment 4: 100% apple pomace). After a 240-day substrate transformation period, all four variations of vermicompost produced demonstrated favorable sensory properties, along with high microbiological and physicochemical quality. Throughout the vermicomposting process, the pH of all vermicomposting mixtures changed, converging towards approximately neutral values by the process’s conclusion. There was an increase in dry matter content, as well as total N, P, K, Ca, and Mg, along with organic matter. Notably, the levels of heavy metals (Zn, Cu, Cd, and Pb) in both the vermicomposting materials and resulting vermicomposts remained significantly below the maximum permissible levels stipulated by Republic of Serbia and European Union legislation, which is directly linked to the ecological origin of the raw materials used. The microbiological quality of the final vermicomposts was deemed satisfactory. Over time, there was a decrease in the counts of aerobic mesophilic bacteria as well as Escherichia coli. The counts of sulfite-reducing clostridia in all substrates remained below 102 CFU/g, while Salmonella spp. and Listeria monocytogenes were not detected in either the composting materials or the resulting composts. The vermiculture of apple pulp exhibited advantageous characteristics, notably a shortened vermicomposting period (150 days) compared to other agricultural waste. This reduction in processing time contributes an additional layer of advantage to the overall quality and efficiency of the resulting vermicompost.

1. Introduction

The increasing levels of industrialization, urbanization, and the intensive use of agrochemicals have resulted in significant pollution of the environment, climate change, and ecological imbalances [1,2]. This has led to a surge in solid waste production, becoming a pressing global issue with substantial environmental and human implications [3,4]. The World Bank reported an annual production of municipal solid waste amounting to 1.3 billion tons in 2012, with recent data showing a global increase to 2.0 billion tons annually [3]. Projections suggest a continued rise, with estimates reaching 2.59 billion tons by 2030 [2,5]. Additionally, it is estimated that approximately one-third (33%) of the waste is not managed in an environmentally responsible manner following regulations and guidelines [6]. Global waste production is heavily concentrated in high-income developed countries such as Western Europe, the United States, Canada, Japan, Australia, and New Zealand. While projections suggest a decrease in waste generation in these countries, Asian and African nations are expected to see a substantial increase in municipal waste production over the next 15–20 years due to population growth and migrations [2]. The total amount of municipal waste in Europe in 2022 was 225 million tons, which is approximately 502 kg per person. About 48% of this waste was recycled, while 23% ended up in landfills. Precise data on agricultural waste in Europe are not readily available, but it is known that this sector generates significant amounts of waste that are increasingly being used for composting, vermicomposting, and other forms of treatment [7]. In Serbia, the total amount of municipal waste generated annually is approximately 2.59 million tons [7]. The country is also facing significant challenges with agricultural waste, as the agricultural sector generates around 770,000 tons of waste each year, with a large portion ending up in landfills [8]. Given these figures, it is crucial to make informed decisions about treating biodegradable waste to address global environmental challenges, especially considering the environment’s limited capacity to mitigate human activities.
Vermicomposting is a natural mesophilic process in which organic waste undergoes biochemical decomposition through the collaborative metabolic activities of earthworms and microorganisms [9]. During this process, earthworms and the endosymbiotic microorganisms in their gut secrete hydrolytic digestive enzymes, leading to the decomposition and mineralization of the organic matter in biomass waste into monomeric units, releasing nutrients and energy [10,11].
In the process of vermicomposting, the earthworm species Eisenia fetida, “ecological engineers” plays a pivotal role [12]. Beyond breaking down organic matter into nutrient-rich components crucial for plant growth [13], they enhance soil conditions. By improving aeration and creating optimal environments for beneficial microorganisms, Eisenia fetida simultaneously enhances soil structure [14] and increases its water retention capacity [15]. Moreover, their activity contributes to waste volume reduction, resulting in a material that is more compact and enriched with nutrients [9].
Vermicompost, as an organic product, enhances the physicochemical properties of soils [16,17,18], contributing to their biological properties [16,19,20]. Generally, vermicompost is used to improve soil fertility, enhance soil structure (by increasing roughness and water retention), boost soil microbiological activity, and activate unavailable nutrients [21,22,23]. The nutrition of plants grown on soils treated with vermicompost is directly related to the activity of microorganisms; so, for successful plant production, it is necessary to provide conditions for the optimal stimulation of microbial processes. Microorganisms have a key role in the mineralization of organic compounds and the mobilization of difficult-to-dissolve inorganic compounds, thus providing plants with assimilates, and in this way, they directly participate in the quality and quantity of production [23,24]. They also act as a significant agent in alleviating abiotic and biotic stresses, including those arising from drought, unfavorable soil composition, diseases, or insect damage [25]. Additionally, vermicompost has demonstrated the ability to reduce and inhibit the growth of various pathogenic bacteria, including fecal coliforms, Salmonella spp., Escherichia coli, and Shigella spp. [26,27,28]; molds; and nematodes [29,30].
Apple (Malus domestica Borkh.) is widely cultivated in temperate regions, with global production reaching 93 million tons in 2021, including 513,238 tons from Serbia [31]. While the majority of apples are consumed fresh, 25–30% are processed into products like juice [32]. During processing, apple pomace, comprising 25% of the fruit’s weight, is generated as waste, characterized by its high moisture and sugar content [32,33]. Unfortunately, this pomace is often discarded, despite its potential as a valuable raw material for vermicomposting. However, there remains a lack of comprehensive scientific studies on vermicomposting apple pomace waste.
In the preparation of this study, a detailed analysis of the existing literature was conducted through the identification and analysis of scientific papers, technical reports from international organizations, and other relevant sources, accessing scientific databases such as Web of Science, Scopus, PubMed, EBSCO, and CAB Abstracts. While there is significant literature addressing the use of apple pomace as a raw material for the direct extraction of bioactive compounds and the production of high-value products such as enzymes, organic acids, and biofuels, among others, a lack of research focusing on the possibility of vermicomposting this waste was noticed. On the other hand, this research arises from the need to utilize agricultural waste, which is present in an extremely rural area, in a sustainable manner, adding value that can be sold to users throughout the region engaged in organic production. At this juncture, there is a noticeable absence of scientific studies addressing the vermicomposting of apple pomace waste in real-world conditions, using realistic quantities of waste material. Recognizing this gap in existing research, the current study was undertaken to assess the viability of vermicomposting apple pomace, both independently and in conjunction with wheat straw and manure. Through a comprehensive analysis of various parameters in the resulting vermicomposts, including those derived from apple pomace, wheat straw, and manure, we aim to discern any differences in terms of safety and quality.

2. Materials and Methods

2.1. Experimental Site and Components of Vermicomposting with Eisenia fetida

The experiment was conducted on an organic farm in Surdulica, the Republic of Serbia, located at the following geographical coordinates: longitude 42°42′ E, latitude 22°10′ N. It lasted for 240 days, starting in February. During the vermicomposting process, the ambient air temperature ranged from 18 °C to 30 °C, as measured by a thermometer placed outdoors on the organic farm.
All the waste materials used in the experiment, including wheat straw, cattle manure, and apple pomace, were sourced from a protected ecological area at the edge of Vlasina Lake in the Surdulica municipality area, situated over 1200 m above sea level. The cattle manure used as a substrate had previously matured for a minimum of six months in piles at the individual producers’ locations under non-ventilated conditions. The wheat straw from the previous year’s harvest, stored in piles, was manually cut into pieces, approximately 10–15 cm in size, before being incorporated. Apple pomace, the solid residue remaining after juice extraction, was sourced from a local juice factory. The factory acquires indigenous apple varieties from the local population, which are cultivated without the use of chemicals for its production needs.
The earthworms (Eisenia fetida) utilized were bred on the same farm.

2.2. Experiment Design

Four concrete vermicomposting basins, each with the internal dimensions of 3.0 × 1.4 × 0.4 m, were utilized to process the organic waste (Figure 1).
Figure 1. Appearance of vermicomposting basins ready to be filled with substrate.
The waste was distributed in the following volume proportions by weight for each experiment: (a) experiment 1 (E1): 60% apple pomace and 40% cattle manure; (b) experiment 2 (E2): 60% wheat straw and 40% cattle manure; (c) experiment 3 (E3): 80% apple pomace, 10% wheat straw, and 10% cattle manure; and (d) experiment 4 (E4): 100% apple pomace. The organic waste material was thoroughly mixed and moistened. Five days after setup, 500 g/m2 of Eisenia fetida worms was introduced to each vermicomposting basin. Throughout the vermicomposting process, consistent attention was given to the additional aeration, moistening, and feeding of the worms. Moistening was carried out using a hose with a sprayer until the material felt adequately moist when squeezed by hand. The water used was sourced from a natural spring. The objective was to maintain the ideal moisture level, preventing excess moisture or drying out, which could disrupt or halt the processes. Additional aeration was facilitated by manually and mechanically mixing the vermicompost material with a fork to enhance air circulation. This step was crucial in providing sufficient oxygen and other gases for the activity of the microorganisms involved in the vermicomposting process.
Throughout the vermicomposting process, additional aeration, moistening, and feeding of the worms were performed (Figure 2). Sampling for chemical and microbiological analysis in triplicate was conducted 0, 60, 150, and 240 days into the experiment.
Figure 2. Filling and mixing organic waste in vermicomposting basins.

2.3. Physicochemical Analysis

The analysis of the monitored parameters was conducted by national standards (SRPS) and complied with international standards. The physicochemical analyses included the following: (a) the pH measurement of the composting substrates using potentiometry (SRPS ISO, 2007) [34]; (b) the determination of moisture, dry matter, and organic matter through gravimetry, and minerals using the standard method (SRPS ISO, 2013) [35]; (c) the analysis of total nitrogen content (N) performed by dry combustion using an elemental CNS analyzer Vario EL III [36]; (d) the assessment of available phosphorus (P) and potassium (K) through the AL method according to the Egner–Riehm (DL) method, where K was determined by flame emission photometry and P by a spectrophotometer after color development with ammonium molybdate and stannous chloride; (e) the determination of organic carbon (C) content after dry combustion on the elemental CNS analyzer, Vario model EL III (SRPS ISO, 2005) [37]; (f) the assessment of calcium (Ca) and magnesium (Mg) content using the Induced Coupled Plasma technique on the ICP AES Thermo iCAP 6300 duo; and (g) the determination of heavy metal content (zinc—Zn, copper—Cu, cadmium—Cd, and lead—Pb) by atomic absorption spectrometry (SRPS ISO, 2004) [38].

2.4. Microbiological Analysis

For microbiological analyses, 20 g of crushed material was transferred to a sterile stomacher bag and homogenized (2 min) with 180 mL of sterile Buffered Peptone Water (HiMedia, Mumbai Maharashtra, India). After that, a series of dilutions was prepared for further tests. The analyses included the following: (a) Total Viable Cell Count (TVC): determined by the plating technique with Plate Count Agar (HiMedia, Mumbai Maharashtra, India) after incubation at 30 °C for 72 h (SRPS ISO, 2014) [39]; (b) Escherichia coli enumeration: performed by seeding the dilutions of the tested samples on Tryptone Bile X-Glucuronide Medium (Merck KGaA, Darmstadt, Germany) and incubating at 44 °C for 18 to 24 h (SRPS ISO, 2008) [40]; (c) sulfite-reducing Clostridia presence: Determined by heating 1 mL of the appropriate dilution (80 °C, 10 min) to eliminate non-sporogenic bacteria. Subsequently, Iron Sulfite Agar (HiMedia, Mumbai Maharashtra, India) was used for anaerobic incubation at 37 °C for 24 h (SRPS ISO, 2011) [41]. (d) Salmonella spp. presence was tested according to SRPS ISO 6579-1:2017 [42]. A 25 g sample was placed directly into the 225 mL primary enrichment of Buffered Peptone Water (Oxoid, Hampshire, UK) and incubated at 37 °C for 18 h. The samples were selectively enriched using Rappaport Vasiliadis Soy (Oxoid, Hampshire, UK) and Muller–Kauffmann tetrathionate broth with novobiocin (Oxoid, Hampshire, UK). After incubation (41.5 °C for 24 h and 37 °C for 24 h, respectively), 0.1 mL of the sample was transferred to the surface of selective substrates, Xylose Lysine Deoxycholate Agar, and Brilliant Green Agar (Oxoid, Hampshire, UK). Characteristic salmonella colonies were identified after 24 h at 37 °C. (e) The determination of Listeria monocytogenes was performed by standard methods (SRPS ISO, 2017) [43]. Firstly, 10 g of vermicompost was diluted (1:10) with Fraser half-selective supplement (Biolife, Monza MI, Italy). After incubation (30 °C for 24 h), 0.1 mL of the enriched sample was transferred to 10 mL of Fraser broth (Biolife, Monza MI, Italy) and incubated again (37 °C for 24 h). Suspensions were streaked onto Oxford Agar (Oxoid, Hampshire, UK) and incubated at 30 °C overnight. After the purification of typical colonies on Tryptone Soya Yeast Extract Agar plates (Biolife, Monza MI, Italy), confirmatory methods for L. monocytogenes (Gram affiliation, catalase, and oxidase reactions, hemolytic activity, and CAMP tests on sheep blood agar) were performed.

2.5. Sensory Evaluation

After the 240-day vermicomposting process, a five-member evaluation panel conducted a thorough assessment of the vermicompost using a quantitative descriptive test (SRPS ISO, 2018) [44]. The evaluation encompassed key organoleptic properties, including color, smell, consistency, and appearance. Among the evaluators, two were seasoned vermicompost producers, while the remaining three were from academic backgrounds. The organoleptic properties were systematically evaluated on an interval scale ranging from 1 to 5, where higher ratings indicated superior sensory qualities. The presence of Eisenia fetida was assessed descriptively at the end of the experiment in each experimental group.

2.6. Statistical Analysis

The obtained results were statistically processed using the software package SPSS 20. To determine the statistically significant differences of the obtained results ANOVA test, post hoc Tukey’s test (p = 0.05) was made.

3. Results

Analyzing the results of the physical–chemical and microbiological parameters across various combinations of organic agricultural and manufacturing waste, as well as their mixtures, throughout the vermicomposting period provides valuable insights into the progression and nature of the vermicomposting process. Simultaneously, it unveils the quality of the resulting vermicompost.

3.1. Changes in pH, Moisture, Dry Matter, Organic Matter, and Minerals

The results of the physicochemical analyses for pH, dry matter, moisture, organic matter, and minerals are presented in Table 1.
Table 1. Main physicochemical properties of different combinations of substrates during vermicomposting.
The initial pH values of vermicomposting mixtures (at day 0) varied, ranging from nearly neutral (7.70—E2) to slightly acidic to acidic values (5.41, 5.91, and 4.73, for the respective experimental groups—E1, E3, and E4). The quantity of added apple pomace in the experimental vermicomposting mixtures directly influenced the initial pH values, with E4 (100% apple pomace) displaying the lowest pH values (4.73).
The moisture content in all the experimental treatments decreased during the vermicomposting process. The initial moisture content was highest in the experiment with apple pomace, E4 (approximately 42%), while in the other experiments, the values were slightly lower, specifically: E1: 39.07% ± 0.06, E2: 38.57% ± 0.67, and E3: 39.37% ± 0.25.

3.2. Changes in N, P, K, Ca, and Mg Levels during Vermicomposting

The contents of macroelements (N, P, K, Ca, and Mg) are presented in Table 2.
Table 2. Contents of macroelements (N, P, K, Ca, and Mg) of different combinations of substrates during vermicomposting.
After 240 days of composting, the highest (p < 0.05) levels of N and Ca were found in E1 (2.83% ± 0.02 and 5.38% ± 0.03, respectively). The content of P was similar in E2, E3, and E4 (0.96% ± 0.03, 1.07%, and 0.98% ± 0.03, respectively), while the content of Mg was highest (p < 0.05) in E3 (1.86% ± 0.02). K concentrations were similar in all the experiments.

3.3. Changes in the Levels of Heavy Metals during Vermicomposting

The contents of heavy metals (Zn, Cu, Cd, and Pb) are presented in Table 3.
Table 3. Contents of heavy metals (Zn, Cu, Cd, and Pb) of different combinations of substrates during vermicomposting.
With each of our experiments in the vermicomposting process, the concentrations of the heavy metals consistently increased. For instance, the initial zinc (Zn) concentrations at the beginning of the experiments were 74.58 ± 0.42 mg/kg (E1), 70.23 ± 0.15 mg/kg (E2), 83.48 ± 0.48 mg/kg (E3), and 80.03 ± 0.06 mg/kg (E4), and by the end of the trials, they reached values of 112.22 ± 1.49 mg/kg (E1), 99.60 ± 0.26 mg/kg (E2), 102.05 ± 0.22 mg/kg (E3), and 92.17 ± 0.08 mg/kg (E4). Similarly, the other analyzed metals such as copper (Cu), cadmium (Cd), and lead (Pb) also showed a consistent increase in concentrations over time.

3.4. Microbial Quality of the Resulting Vermicomposts

The results of the microbial analysis of the different substrate combinations during the vermicomposting process are given in Table 4.
Table 4. Microbial quality of different combinations of substrates during vermicomposting.
Although a significant reduction in the number of aerobic mesophilic bacteria was recorded during the vermicomposting process (p < 0.05), it is important to note that their count remained substantial at the end of the experiment (104–105 CFU/g).

3.5. Sensory Evaluation of the Resulting Vermicomposts

During the conducted vermicomposting process, the organoleptic properties of the utilized organic substrates gradually evolved across all the experimental groups. In the initial stages, the substrates with a higher content of straw (E1−E3) exhibited a slower degree of decomposition, while the apple pomace (E4) demonstrated a faster degradation. However, after 150 days of the process, the substrate transformation processes progressed well, resulting in a significant homogenization of vermicompost material in all the combinations. The vermicompost material in E4 underwent a complete transformation, becoming homogeneous, loose, moist, and dark brown to light black, with a substantial presence of worms. At the beginning of the experiment, the apple pulp had an intense sour odor, which diminished over time. The final product was either odorless or had a very faint scent.
At the end of the vermicomposting process (240 days), an intensive transformation of the organic materials was observed in all the experimental groups, resulting in vermicomposts that were significantly more homogeneous than in the earlier stages of decomposition (Table 5; Figure 3).
Table 5. Sensory evaluation of the different combinations of the substrates at the end of the composting process.
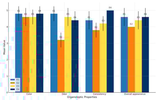
Figure 3. Organoleptic properties of the sample vermicomposts E1, E2, E3, and E4 (240th day) with mean values and standard deviations.
The vermicomposts E1 and E4 (4.6 ± 0.55, both) exhibited the best overall appearance with the highest level of homogeneity (4.4 ± 0.55 and 5 ± 0.00, respectively), indicative of a high degree of transformation of the organic substrate. The consistency of the vermicompost E1 was loose, dark brown, with a pleasant, earthy aroma. The vermicompost variant E2, after 240 days of biological decomposition, was mostly homogeneous, dark brown, with occasional remnants of undecomposed, black-stained straw. The scent of the undecomposed straw had a faint note of decay but was not unpleasant. The vermicompost variant E3 contained a high level of decomposed organic material, with apple pulp completely broken down, while the remnants of insufficiently transformed black straw were rarely visible. The color of the vermicompost was intensely black, and the aroma was intensely earthy. The vermicompost variant E4 was completely transformed, dark brown to black, with a very slight hint of sour odor, homogeneous, loose, and slightly moist in structure. A significant presence of worms was noticeable throughout the mass of the vermicompost, with the smallest quantity observed in E2 and the largest in the variants E1 and E3.
The results of the earthworm presence in different experimental groups were as follows: In experiment 1 (E1), which contained 60% apple pomace and 40% cattle manure, a significant number of earthworms were observed. In experiment 2 (E2), comprising 60% wheat straw and 40% cattle manure, earthworms were noticeable but in fewer numbers compared to E1 and E3. Experiment 3 (E3), with 80% apple pomace, 10% wheat straw, and 10% cattle manure, showed a high presence of earthworms, particularly in substantial numbers. Experiment 4 (E4), utilizing 100% apple pomace, also had a significant number of earthworms, both in depth and near the surface. Importantly, the determination of earthworm presence was conducted using a semi-quantitative approach, employing descriptions such as few, moderate, and many to describe their density.

4. Discussion

The lowest initial pH value was determined in apple pulp (4.73) and closely aligns with the literature data, which ranges from 4.2 [45] to 3.4 [46]. Minor deviations from these reported values may be attributed to varietal differences in the apples and their ripening stage during processing, which impact the concentration of the sugars and natural acids present in the fruit residues [47].
Over time, the pH values increased, trending towards neutrality, reaching approximately that level from 60 days of vermicomposting onwards, until the completion of the process and the achievement of the stable, mature vermicompost (Figure 4). The neutral pH of the vermicompost is consistent with some earlier findings [48,49], and these values are crucial for enhancing nutrient availability in the soil and fostering optimal conditions for plant growth [50]. This observed trend not only underscores the efficacy of the vermicomposting process in yielding a well-balanced and mature organic amendment but also highlights the earthworms’ remarkable ability to adapt to their habitat. By adjusting the substrate pH to an optimal level, they ensure the survival of their population.
Figure 4. Change in pH during vermicomposting.
During the dynamic process of vermicomposting, influenced by the presence of added earthworms and microorganisms, there is a breakdown of organic matter with the release of various compounds, including CO2, low and medium organic acids, as well as the production of NH3, and the mineralization of P and N into nitrites/nitrates and orthophosphates [51].
In contrast to other studies reporting a moisture content in apple pomace ranging from 70% to 85% [52,53,54], our values were lower, possibly attributed to the differences in the method of juice extraction and obtaining this by-product. It is crucial to highlight that our results diverge from other similar studies, suggesting the existence of unique factors influencing the moisture content in our experimental setup. These factors include the characteristics of the substrates used and their combinations, as well as the local weather conditions during the vermicomposting process [55]. The outdoor conditions under which the experiments were conducted were regularly monitored, and the moisture level was manually adjusted through additional watering to ensure optimal conditions for earthworm activity. To verify the adequacy of the external conditions, we periodically turned the vermicompost mixtures to observe the population and vitality/activity of the added earthworms.
The moisture content in all the end products was below 40%, meeting a crucial requirement for producing a stable product suitable for use as a soil conditioner which is in accordance with the requirements of the national regulations for the quality of plant enhancers [56]. The slightly higher moisture content in the experiment with apple pomace (E4) positively influenced the assimilation rate by the microorganisms, consequently leading to a higher and faster waste degradation rate by the earthworms. This product exhibited desirable sensory properties as early as 150 days into the vermicomposting process.
During the vermicomposting process, earthworms and microorganisms synergistically contribute to the degradation and transformation of organic matter in substrates, resulting in the reduction and stabilization of the final product of vermicomposting. Typical chemical changes during the bio-oxidation of organic matter involve the processes of partial mineralization and humification [57,58]. As demonstrated in Table 1, the organic matter content in all our vermicomposts is significantly lower (p < 0.05) compared to the initial raw materials, indicating that the earthworms expedited the decomposition of the organic matter [59]. For instance, the combination of the substrates in the E1 experiment (apple pomace, 60%, and cattle manure, 40%) exhibited the highest initial available content of organic matter (77.16% ± 0.76), with the degradation processes being the most intense from day 150 to 240 of vermicomposting (from 74.19% ± 1.04 to 58.44% ± 0.52). In contrast to other treatments, the E4 trial experienced a significant decrease (p < 0.05) in organic matter already by day 150 of vermicomposting (from 61.83% ± 0.57 to 48.93% ± 0.83).
The reduction in organic matter during vermicomposting was consistently followed by a significant increase (p < 0.05) in mineral content [57,58]. The observed rise in mineral content across all the experiments during vermicomposting aligns with the documented increase in individually examined macroelements (see Table 2).
It appears challenging and difficult to directly compare some of our obtained results regarding physicochemical properties, particularly the content of organic matter, minerals, crude protein, and crude fiber. This difficulty arises from the variations in the raw materials [59,60] and vermicomposting conditions employed by other researchers in their studies [61].
In all the composting substrates, the levels of N and Mg increased (p < 0.05) during composting, which was in agreement with the results of Hsu and Lo [62], and Wang et al. [63]. The determined N content in some studies was between 0.9% and 1.5% and up to 2.49–3.17% [64,65]. The results of our investigation showed values between 1.97% ± 0.02 (E4) and 2.83% ± 0.02 (E1). During vermicomposting, the content of Mg uniformly increased, and the highest content of Mg at the end of composting was in E3 (1.86% ± 0.02) and in E2 (1.78% ± 0.03), while trial E4 contained 1.64% ± 0.03, and the lowest level of Mg was determined in E1 (1.44% ± 0.06). During the vermicomposting of the organic material, there was a significant increase in Ca, P, and K content compared to the initial substrates (p < 0.05). The content of P in different groups of our vermicomposts ranged from 0.97% ± 0.03 (E2) to 1.33% ± 0.03 (E1). The content of Ca varied in the range from 3.89% ± 0.02 (E4) to 5.38% ± 0.03 (E1). The obtained Ca values in this study were higher than those reported by [66] (less than 2.5%) or Karapantzou et al. [67] (less than 1.86%), possibly as a result of the Ca levels in the initial substrates or the duration of the composting process. The content of K increased during vermicomposting, reaching values at the end of the process of 0.69% ± 0.47−0.97% ± 0.02. Some earlier studies [65] reported K values ranging between 0.54% and 1.72%, or less than 1% [66,68], which is in agreement with our results.
Earthworms play a crucial role in enhancing soil fertility by increasing phosphorus, potassium, and nitrogen levels. This is primarily attributed to the direct action of the earthworm gut enzymes or indirectly through the stimulation of the gut microflora present in the gut [69]. According to Parthasarathi and Ranganathan [70], microbial communities present in the gut of earthworms secrete enzymes, such as phosphatases, glycosidases, proteases, and ureases which are responsible for enhanced N, P, and K contents in vermicomposts. Very frequently, the newly formed organic matter also includes the decomposed tissues of the earthworms [67,71]. According to the literature data, both increases and decreases in element concentrations have been observed in vermicomposting products depending on the types of waste used for vermicomposting [72]. Simultaneously, the reduction in moisture content has been identified as a contributing expected factor to the observed variations in the macroelement content.
The concentrations of the heavy metals in all the experiments, both during the vermicomposting process and in the final vermicomposts, were found to be significantly below the maximum permissible levels set by both the European legislation [73] and Serbian national regulations [56]. This outcome was expected given the use of agricultural and industrial waste from an ecologically clean region in the experiment. This is crucial for further application of vermicompost in agricultural production as a safe soil conditioner that will not have negative consequences in terms of soil and plant contamination with heavy metals.
Some studies have reported a reduction in heavy metal contents after vermicomposting [74], possibly due to the bioaccumulation of heavy metals by earthworm tissues. Conversely, other studies have observed a higher total content, potentially attributed to the decreased volume of vermicompost [75,76,77,78,79]. We believe this might be the reason for the observed increase in the heavy metals in our experiment.
It is also very important to note that in these concentrations in which the elements Zn and Cu were determined, they can be classified as microelements, too. In the concentrations that are presented in this investigation, Zn and Cu could have a very important role in improving soil fertility, as well as in improving numerous physiological–biochemical processes in plants [23]. It is crucial to highlight that earthworms produce extracellular polymeric protein substances, effectively sequestering heavy metals and thereby reducing their availability and biotoxicity to microbes [72]. This process creates a conducive environment for microbes to synthesize enzymes that catalyze the breakdown of organic matter [12].
Given the susceptibility of heavy metals to bioaccumulation and the associated risks to human health upon entering the food chain [80,81], coupled with their induction of toxic effects on soil organisms, leading to consequential changes in quantitative and qualitative composition, diversity, and distribution [82,83], monitoring their content and presence in vermicomposts becomes a necessary undertaking.
The observed dynamics of reduction may result from competition among the present microorganisms due to limited nutrient availability, the influence of environmental factors [67,84], and the complex relationship with the present earthworms [61]. Nevertheless, the sustained count of these bacteria on the 240th day of vermicomposting suggests the potential continuation of microbial processes in transforming the used substrates. This not only indicates the need for further research to gain a more comprehensive understanding of the dynamics of microbial processes during vermicomposting but also emphasizes the importance of characterizing the aerobic bacteria present.
In the substrates used for vermicomposting, at the beginning of the experiment, the presence of Escherichia coli was recorded in the range of 2.8 × 103 ± 0.95 to 2.2 × 105 ± 0.79, which is expected given that organic waste, such as cow dung or manure, represents the main source of coliform bacteria [85]. During the vermicomposting process, a significant reduction (p < 0.05) in the number of Escherichia coli was observed. In none of the treatments at the final stage of the composting process (240 days) was this microorganism detected, and it was absent after 150 days in E4. Salmonella spp. and Listeria monocytogenes were not found in any composting substrate, indicating the high microbiological quality of the composting materials used. The obtained results are in line with the research of other authors [26,86,87] and have demonstrated the ability of vermicomposting systems to effectively inactivate pathogens such as total coliforms, Salmonella spp., and Escherichia coli.
The utilization of the vermicomposting process for the biological deactivation of pathogens found in diverse organic wastes, attributed to the collaborative efforts of earthworms and endosymbiotic microbes, has been extensively documented by Karimi et al. [88], Soobhany [85], and Kaur [9]. The reduction in pathogen numbers during vermicomposting is undeniably influenced by various factors, including the enzymes in the worm gut, the secretion of coelomic fluid (possessing antibacterial properties), and the competition among different groups of microorganisms [86].
The number of sulfate-reducing clostridia (except in treatments E1 and E2 at the beginning of the experiment) was below 102 CFU/g in all the treatments (Table 4). The reduction and elimination of these bacteria, as described by other researchers [67], are partly the result of the indirect activities of the earthworms. In other words, changes in the physical conditions of the substrate during the vermicomposting process, through the continuous aeration facilitated by earthworms, directly impact these anaerobic bacteria [28]. On the other hand, in the guts of earthworms, in addition to the presence of aerobic bacteria, the presence of anaerobic bacteria, including species such as Bacillus and Clostridium, has been proven [61]. The presence of anaerobic bacteria from the Clostridiaceae family, such as Clostridium butyricum, Clostridium beijerinckii, and Clostridium paraputrificum, known as nitrogen fixers and cellulose digesters [67,89,90], further confirms the diversity of the beneficial microorganisms in the vermicomposting process. Therefore, it is essential to continue research in this field to better understand the exact dynamics and mechanisms of vermicomposting’s impact on microorganisms.
Upon the completion of the vermicomposting process, all experimental variants were determined to be hygienically safe. In other words, the microbiological quality of the resulting vermicompost met the standards outlined by the national regulations, a crucial aspect for their subsequent use in agricultural production [66].
According to Anandyawati et al. [91], organoleptic properties, including texture, aroma, and color, are used to determine the level of maturity of vermicompost. Excellent vermicompost is considered to be odorless, dark in color (dark brown to black), with a loose and homogeneous texture, where the original components are no longer recognizable [92,93]. The dark coloration of vermicompost, according to López and Sainz [94], results from the absorption of heat during the decomposition process of organic materials. Based on these observations, our produced vermicomposts in the experimental groups E1 and E4 underwent complete “maturation” with extensive degradative changes in the used organic substrates during the studied period. This process was more intensive and thorough in the experiment with apple pulp (E4), where the maturation of the vermicompost was evident even after 150 days of vermicomposting. Already from that period, the scent of the vermicompost became faint, as described by other authors [95].
These results suggest that apple pomace is a more favorable substrate for earthworms compared to straw. Straw seems to act as a bulking agent, crucial for maintaining adequate air levels within the material [96,97].

5. Conclusions

To contribute to environmental preservation and implement sustainable agricultural practices, vermicomposting stands out as a key solution for mitigating ecological issues and conserving non-renewable energy sources, while simultaneously providing a valuable soil conditioner. This study aimed to assess the feasibility of vermicomposting apple waste, both independently and in combination with wheat straw and/or manure, addressing challenges in organic waste management.
The vermicompost from apple pulp (E4) was the first to undergo a complete transformation of organic matter within 150 days of vermicomposting compared to the other agricultural waste, which presents an advantage over the other experimental groups. More intensive vermicomposting processes resulted in a final product with a neutral pH (7.12), despite the initial pH being the lowest among the compost mixtures (4.73). Similar changes were observed in moisture content: the initial moisture content was the highest compared to the other vermicompost mixtures (around 42%), decreasing by nearly 10% after 150 days (33.07% ± 0.85), meeting the crucial requirement for producing a stable product suitable for use as a soil conditioner. In the same period, a significant reduction (p < 0.05) in organic matter was observed (from 61.83% ± 0.57 to 48.93% ± 0.83). The other experimental groups (E1, E2, and E3) only experienced significant transformation of organic matter after 240 days of vermicomposting. At that point, experiment 3 (apple pomace, 80% + cattle manure, 10% + wheat straw, 10%) exhibited the best properties among all the groups. The levels of macroelements (N, P, K, Ca, and Mg) in all the experimental groups exhibited a similar increasing trend, as did the concentrations of heavy metals. What is significant is the fact that all the determined heavy metal values in the final products were significantly below the maximum allowable levels of the European and national regulations, posing no health risk but rather being a result of the reduction in the total volume of the formed vermicompost. The microbiological quality of all finished vermicomposts was high, and the products were safe. The experiment with 100% apple pulp (E4) was already safe after 150 days, while the other experimental groups achieved this status after 240 days of testing. Salmonella spp. and Listeria monocytogenes were not found in any composting substrate, indicating the high microbiological quality of the materials used for composting. The number of sulfate-reducing Clostridia was below 102 CFU/g in all the treatments from day 60 onwards, while the apple pulp itself had a concentration of <10 CFU/g.
Apple pomace has proven to be an exceptionally suitable raw material for vermicomposting, as it transforms into a high-quality end-product more rapidly compared to other examined types of agricultural waste. A shorter vermicomposting period can reduce costs and accelerate the production process, offering additional economic benefits for producers.
Definitely, waste products from rural areas, in combination with refined vermicomposting methodology, can become an integral part of organic agriculture, playing a key role in improving sustainable waste management practices, as well as promoting the growth of organic farming, especially in rural environments.

Author Contributions

Methodology, L.M. and M.T.S.; Formal analysis, J.M.K., D.A.Đ. and V.Đ.; Investigation, S.M.V.M., B.I.K. and M.T.S.; Data curation, S.M.V.M., J.M.K., D.A.Đ., L.M., V.Đ., B.I.K. and M.T.S.; Writing—original draft, S.M.V.M., D.A.Đ. and B.I.K.; Funding acquisition, J.M.K. All authors have read and agreed to the published version of the manuscript.

Funding

This work was supported by the Ministry of Education, Science and Technological Development of the Republic of Serbia, according to the provisions of the Contract on research funding in Scientific Research Organizations (No. 451-03-66/2024-03/200030 and No. 451-03-66/2024-03/200050).

Data Availability Statement

Data is contained within the article.

Conflicts of Interest

The authors declare no conflict of interest.

References

  1. Lim, S.L.; Wu, T.Y. Characterization of matured vermicompost derived from valorization of palm oil mill by product. J. Agric. Food Chem. 2016, 64, 1761–1769. [Google Scholar] [CrossRef] [PubMed]
  2. Silpa, K.; Yao, L.; Bhada-Tata, P.; Van Woerden, F. What a Waste 2.0: A Global Snapshot of Solid Waste Management to 2050; Urban Development Series; World Bank: Washington, DC, USA, 2018. [Google Scholar] [CrossRef]
  3. Hoornweg, D.; Bhada-Tata, P. What a Waste: A Global Review of Solid Waste Management; Urban Development Series; Knowledge Papers No. 15; World Bank: Washington, DC, USA, 2012; Available online: http://openknowledge.worldbank.org/handle/10986/17388 (accessed on 1 March 2012).
  4. Al-Suhaibani, N.; Selim, M.; Alderfasi, A.; El-Hendawy, S.; Selim, M. Comparative performance of integrated nutrient management between composted agricultural wastes, chemical fertilizers, and biofertilizers in improving soil quantitative and qualitative properties and crop yields under arid conditions. Agronomy 2020, 10, 1503. [Google Scholar] [CrossRef]
  5. Abdollahi Saadatlu, I.; Barzinpour, F.; Yaghoubi, S. A sustainable model for municipal solid waste system considering global warming potential impact: A case study. Comput. Ind. Eng. 2022, 169, 108127. [Google Scholar] [CrossRef]
  6. Eghbali, H.; Arkat, J.; Tavakkoli-Moghaddam, R. Sustainable supply chain network design for municipal solid waste management: A case study. J. Clean. Prod. 2022, 381, 135211. [Google Scholar] [CrossRef]
  7. Eurostat. Municipal Waste Statistics. 2024. Available online: https://ec.europa.eu/eurostat/statistics-explained/index.php?title=Municipal_waste_statistics (accessed on 8 February 2024).
  8. European Environment Agency (EEA). Municipal Waste Generation and Population, Serbia. 2024. Available online: https://www.eea.europa.eu/en (accessed on 1 April 2024).
  9. Kaur, T. Vermicomposting: An Effective Option for Recycling Organic Wastes. Organic Agriculture; IntechOpen: London, UK, 2020. [Google Scholar] [CrossRef]
  10. Paul, J.A.; Karmegam, N.; Thilagavathy, D. Municipal solid waste (MSW) vermicomposting with an epigeic earthworm Perionyx ceylanensis Mich. Bioresour. Technol. 2011, 102, 6769–6773. [Google Scholar] [CrossRef] [PubMed]
  11. Negi, R.; Suthar, S. Vermistabilization of paper mill wastewater sludge using Eisenia fetida. Bioresour. Technol. 2013, 128, 193–198. [Google Scholar] [CrossRef] [PubMed]
  12. Chekwube, E.M.; Erasmus, M. Mediators of biomass transformation—A focus on the enzyme composition of the vermicomposting process. Environ. Chall. 2023, 12, 100732. [Google Scholar] [CrossRef]
  13. Edwards, C.A.; Subler, S. Human pathogen reduction during vermicomposting. In Vermiculture Technology; Edwards, C.A., Arancon, N.Q., Sherman, R., Eds.; CRC Press: Boca Raton, FL, USA; Taylor and Francis Group: Abingdon, UK, 2011; pp. 249–261. [Google Scholar]
  14. Ahmed, N.; Al-Mutairi, K.A. Earthworms Effect on Microbial Population and Soil Fertility as Well as Their Interaction with Agriculture Practices. Sustainability 2022, 14, 7803. [Google Scholar] [CrossRef]
  15. Zhi, W.; Li, L.; Dong, W.; Brown, W.; Kaye, J.; Steefel, C.; Williams, K.H. Distinct Source Water Chemistry Shapes Contrasting Concentration-Discharge Patterns. Water Resour. Res. 2019, 55, 4233–4251. [Google Scholar] [CrossRef]
  16. Enebe, M.C.; Erasmus, M. Vermicomposting technology—A perspective on vermicompost production technologies, limitations and prospects. J. Environ. Manag. 2023, 345, 118585. [Google Scholar] [CrossRef]
  17. Demir, Z. Effects of Vermicompost on Soil Physicochemical Properties and Lettuce (Lactuca sativa Var. Crispa) Yield in Greenhouse under Different Soil Water Regimes. Commun. Soil Sci. Plant Anal. 2019, 50, 2151–2168. [Google Scholar] [CrossRef]
  18. Zziwa, A.; Jjagwe, J.; Kizito, S.; Kabenge, I.; Komakech, A.J.; Kayondo, H. Nutrient Recovery from Pineapple Waste through Controlled Batch and Continuous Vermicomposting Systems. J. Environ. Manag. 2021, 279, 117814. [Google Scholar] [CrossRef]
  19. Santana, N.A.; Jacques, R.J.S.; Antoniolli, Z.I.; Martínez-Cordeiro, H.; Domínguez, J. Changes in the chemical and biological characteristics of grape marc vermicompost during a two-year production period. Appl. Soil Ecol. 2020, 154, 103587. [Google Scholar] [CrossRef]
  20. Domínguez, J.; Aira, M.; Kolbe, A.R.; Gómez-Brandón, M.; Pérez-Losada, M. Changes in the composition and function of bacterial communities during vermicomposting may explain beneficial properties of vermicompost. Sci. Rep. 2019, 9, 9657. [Google Scholar] [CrossRef] [PubMed]
  21. Sharma, K.; Garg, V.K. Management of food and vegetable processing waste spiked with buffalo waste using earthworms (Eisenia fetida). Environ. Sci. Pollut. Res. 2017, 24, 7829–7836. [Google Scholar] [CrossRef] [PubMed]
  22. Nejatzadeh, F. Data on growth and production of (Aloe vera L.) treated by different levels of vermicompost and nitrogen fertilizer. Data Brief 2019, 22, 709–715. [Google Scholar] [CrossRef] [PubMed]
  23. Stojanova, M. Plant Nutrition; Academic Press: Skopje, North Macedonia, 2018; ISBN 978-608-231-237-8. [Google Scholar]
  24. Stojanova, M. Grapevine Nutrition; Academic Thought: Skopje, North Macedonia, 2023; ISBN 978-608-5019-06-9. [Google Scholar]
  25. Rehman, S.; De Castro, F.; Aprile, A.; Benedetti, M.; Fanizzi, F.P. Vermicompost: Enhancing Plant Growth and Combating Abiotic and Biotic Stress. Agronomy 2023, 13, 1134. [Google Scholar] [CrossRef]
  26. Monroy, F.; Aira, M.; Domínguez, J. Reduction of total coliform numbers during vermicomposting is caused by short-term direct effects of earthworms on microorganisms and depends on the dose of application of pig slurry. Sci. Total Environ. 2009, 407, 5411–5416. [Google Scholar] [CrossRef] [PubMed]
  27. Hénault-Ethier, L.; Martin, J.V.; Gélinas, Y. Persistence of Escherichia coli in batch and continuous vermicomposting systems. Waste Manag. 2016, 56, 88–99. [Google Scholar] [CrossRef]
  28. Aira, M.; Gómez-Brandón, M.; González-Porto, P.; Domínguez, J. Selective reduction of the pathogenic load of cow manure in an industrial-scale continuous-feeding vermireactor. Bioresour. Technol. 2011, 102, 9633–9637. [Google Scholar] [CrossRef]
  29. Mu, J.; Li, X.; Jiao, J.; Ji, G.; Wu, J.; Hu, F.; Li, H. Biocontrol potential of vermicompost through antifungal volatiles produced by indigenous bacteria. Biol. Control 2017, 112, 49–54. [Google Scholar] [CrossRef]
  30. Xiao, Z.; Liu, M.; Jiang, L.; Chen, X.; Griffiths, B.S.; Li, H.; Hu, F. Vermicompost increases defense against root-knot nematode (Meloidogyne incognita) in tomato plants. Appl. Soil Ecol. 2016, 105, 177–186. [Google Scholar] [CrossRef]
  31. Magazin, N.; Milić, B.; Keserović, Z. Production and assortment of apple in Serbia. Plant Dr. 2022, 50, 411–426. [Google Scholar] [CrossRef]
  32. Lyu, F.; Luiz, S.F.; Azeredo, D.R.P.; Cruz, A.G.; Ajlouni, S.; Ranadheera, C.S. Apple Pomace as a Functional and Healthy Ingredient in Food Products: A Review. Processes 2020, 8, 319. [Google Scholar] [CrossRef]
  33. Shalini, R.; Gupta, D.K. Utilization of Pomace from Apple Processing Industries: A Review. J. Food Sci. Technol. 2010, 47, 365–371. [Google Scholar] [CrossRef] [PubMed]
  34. SRPS ISO 10390:2007; Soil Quality—Determination of pH. Institute for Standardization of Serbia: Belgrade, Serbia, 2007.
  35. SRPS ISO 5984:2013; Animal Feeding Stuffs—Determination of Crude Ash. Institute for Standardization of Serbia: Belgrade, Serbia, 2013.
  36. Nelson, D.W.; Sommers, L.E. Total carbon, organic carbon, and organic matter. In Methods of Soil Analysis—Part 3. Chemical Methods; Sparks, D.L., Ed.; SSSA: Madison, WI, USA, 1996; pp. 961–1010. [Google Scholar]
  37. SRPS ISO 10694:2005; Soil Quality—Determination of Organic and Total Carbon after Dry Combustion (Elementary Analysis). Institute for Standardization of Serbia: Belgrade, Serbia, 2005.
  38. SRPS ISO 11047:2004; Soil Quality—Determination of Cadmium, Chromium, Cobalt, Copper, Lead, Manganese, Nickel and Zinc—Flame and Electrothermal Atomic Absorption Spectrometric Methods. Institute for Standardization of Serbia: Belgrade, Serbia, 2004.
  39. SRPS EN ISO 4833-1:2014/A1:2022; Microbiology of the Food Chain—Horizontal Method for the Enumeration of Microorganisms—Part 1: Colony Count at 30 °C by the Pour Plate Technique—Amendment 1: Clarification of Scope. Institute for Standardization of Serbia: Belgrade, Serbia, 2022.
  40. SRPS ISO 16649-2:2008; Microbiology of Food and Animal Feeding Stuffs—Horizontal Method for the Enumeration of Beta-Glucuronidase-Positive Escherichia coli Colony-Count Technique at 44 Degrees C Using 5-Bromo-4-Chloro-3-Indolyl Beta-D-Glucuronide. Institute for Standardization of Serbia: Belgrade, Serbia, 2008.
  41. SRPS ISO 15213:2011; Microbiology of Food and Animal Feeding Stuffs—Horizontal Method for the Enumeration of Sulfite-Reducing Bacteria Growing under Anaerobic Conditions. Institute for Standardization of Serbia: Belgrade, Serbia, 2011.
  42. SRPS EN ISO 6579-1:2017; Microbiology of the Food Chain—Horizontal Method for the Detection, Enumeration and Serotyping of Salmonella—Part 1: Detection of Salmonella spp. Institute for Standardization of Serbia: Belgrade, Serbia, 2017.
  43. SRPS ISO 11290-1: 2017; Horizontal Method for the Detection and Enumeration of Listeria Monocytogenes and of Listeria spp.—Part 1: Detection Method. Institute for Standardization of Serbia: Belgrade, Serbia, 2017.
  44. SRPS ISO 6658:2018; Sensory Analysis—Methodology—General Guidance. Institute for Standardization of Serbia: Belgrade, Serbia, 2018.
  45. Vendruscolo, F.; Albuquerque, P.M.; Streit, F. Apple Pomace: A Versatile Substrate for Biotechnological Applications. Crit. Rev. Biotech. 2008, 28, 1–12. [Google Scholar] [CrossRef]
  46. Pirmohammadi, R.; Rouzbehan, Y.; Rezayazdi, K.; Zahedifar, M. Chemical composition, digestibility and in situ degradability of dried and ensiled apple pomace and maize silage. Small Rumin. Res. 2006, 66, 150–155. [Google Scholar] [CrossRef]
  47. Mignard, P.; Beguería, S.; Giménez, R.; Font Forcada, C.; Reig, G.; Moreno, M.Á. Effect of Genetics and Climate on Apple Sugars and Organic Acids Profiles. Agronomy 2022, 12, 827. [Google Scholar] [CrossRef]
  48. Filipović, A.; Mandić, A.; Hadziabulic, A.; Johanis, H.; Stipanovic, A.; Brekalo, H. Characterization and Evaluation of Vermicomposting Materials. Ekológia 2023, 42, 101–107. [Google Scholar] [CrossRef]
  49. Lee, L.H.; Wu, T.Y.; Shak, K.P.Y.; Lim, S.L.; Ng, K.Y.; Nguyen, M.N.; Teoh, W.H. Sustainable approach to biotransform industrial sludge into organic fertilizer via vermicomposting: A mini-review. J. Chem. Technol. Biotechnol. 2018, 93, 925–935. [Google Scholar] [CrossRef]
  50. Oyege, I.; Balaji Bhaskar, M.S. Effects of Vermicompost on Soil and Plant Health and Promoting Sustainable Agriculture. Soil Syst. 2023, 7, 101. [Google Scholar] [CrossRef]
  51. Vyas, P.; Sharma, S.; Gupta, J. Vermicomposting with microbial amendment: Implications for bioremediation of industrial and agricultural waste. BioTechnologia 2022, 103, 203–215. [Google Scholar] [CrossRef] [PubMed]
  52. Kalinowska, M.; Gołebiewska, E.; Zawadzka, M.; Choińska, R.; Koronkiewicz, K.; Piasecka-Jóźwiak, K.; Bujak, M. Sustainable extraction of bioactive compound from apple pomace through lactic acid bacteria (LAB) fermentation. Sci. Rep. 2023, 13, 19310. [Google Scholar] [CrossRef]
  53. Jung, J.; Cavender, G.; Zhao, Y. Impingement drying for preparing dried apple pomace flour and its fortification in bakery and meat products. J. Food Sci. Technol. 2015, 52, 5568–5578. [Google Scholar] [CrossRef] [PubMed]
  54. Kara, C.; Doymaz, I. Effective moisture dif fusivity determin ation and math-ematical modelling of drying curves of apple pomace. Heat Mass Transf. 2015, 51, 983–989. [Google Scholar] [CrossRef]
  55. Singh, J.; Singh, S.; Vig, A.P.; Kaur, A. Environmental Influence of Soil toward Effective Vermicomposting. Earthworms—The Ecological Engineers of Soil; InTech: London, UK, 2018. [Google Scholar] [CrossRef]
  56. Rulebook on the Conditions for Classification and Determination of the Quality of Plant Nutrition Products, Deviations in the Content of Nutrients, and the Minimum and Maximum Values of Permitted Deviations in the Content of Nutrients, and on the Content of Declaration and the Method of Marking Plant Nutrition Products “Official Gazette of the Republic of Serbia”. No. 30 from 31 March 2017, No. 31 from 27 April 2018. (In Serbian). Available online: https://www.esiweb.org/ (accessed on 22 May 2024).
  57. Pizzanelli, S.; Calucci, L.; Forte, C.; Borsacchi, S. Studies of Organic Matter in Composting, Vermicomposting, and Anaerobic Digestion by 13C Solid-State NMR Spectroscopy. Appl. Sci. 2023, 13, 2900. [Google Scholar] [CrossRef]
  58. Khatua, C.; Sengupta, S.; Krishna Balla, V.; Kundu, B.; Chakraborti, A.; Tripathi, S. Dynamics of organic matter decomposition during vermicomposting of banana stem waste using Eisenia fetida. Waste Manag. 2018, 79, 287–295. [Google Scholar] [CrossRef] [PubMed]
  59. Atiyeh, R.M.; Arancon, N.Q.; Edwards, C.A.; Metzger, J.D. The influence of earthworm-processed pig manure on the growth and productivity of marigolds. Bioresour. Technol. 2002, 81, 103–108. [Google Scholar] [CrossRef]
  60. Gajalakshmi, S.; Abbasi, S.A. Solid Waste Management by Composting: State of the Art. Environ. Sci. Technol. 2008, 38, 311–400. [Google Scholar] [CrossRef]
  61. Pathma, J.; Sakthivel, N. Microbial diversity of vermicompost bacteria that exhibit useful agricultural traits and waste management potential. Springerplus 2012, 4, 26. [Google Scholar] [CrossRef]
  62. Hsu, J.H.; Lo, S.L. Effect of composting on characterization and leaching of cooper, manganese and zinc from swinw manure. Environ. Pollut. 2001, 114, 119–127. [Google Scholar] [CrossRef] [PubMed]
  63. Wang, Y.; Schuchardt, F.; Sheng, F.; Zhang, R.; Cao, Z. Assessment of maturity of vineyard pruning compost by Fourier Transform Infrared Spectroscopy, biological and chemical analyses. Landbauforsch. Völkenrode 2004, 54, 163–169. [Google Scholar]
  64. Chaudhuri, P.S.; Pal, T.K.; Bhattacharjee, G.; Dey, S.K. Chemical changes during vermicomposting (Perionyx excavatus) of Kitchen waste. Trop. Ecol. 2000, 41, 107–110. [Google Scholar]
  65. Waseem, M.A.; Giraddi, R.S.; Math, K.K. Assessment of nutrients and micro flora in vermicompost enriched with various organics. J. Exp. Zool. India 2013, 16, 697–703. [Google Scholar]
  66. Ramnarain, Y.I.; Ansari, A.A.; Ori, L. Vermicomposting of different organic materials using the epigeic earthworm Eisenia foetida. Int. J. Recycl. Org. Waste Agric. 2019, 8, 23–36. [Google Scholar] [CrossRef]
  67. Karapantzou, I.; Mitropoulou, G.; Prapa, I.; Papanikolaou, D.; Charovas, V.; Kourkoutas, Y. Physicochemical Changes and Microbiome Associations during Vermicomposting of Winery Waste. Sustainability 2023, 15, 7484. [Google Scholar] [CrossRef]
  68. Nath, G.; Singh, K.; Sing, D. Chemical analysis of vermicomposts/vermiwash of different combinations of animal, agro and kitchen wastes. Aust. J. Basic Appl. Sci. 2009, 3, 3671–3676. [Google Scholar]
  69. Khwairakpam, M.; Bhargava, R. Vermitechnology for sewage sludge recycling. J. Hazard. Mater. 2009, 161, 948–954. [Google Scholar] [CrossRef] [PubMed]
  70. Parthasarathi, K.; Ranganathan, L. Chemical characterization of mono and polycultured soil wormcasts by tropical earthworms. Environ. Ecol. 2000, 18, 742–746. [Google Scholar]
  71. Nsiah-Gyambibi, R.; Essandoh, H.M.; Asiedu, N.Y.; Fei-Baffoe, B. Valorization of fecal sludge stabilization via vermicomposting in microcosm enriched substrates using organic soils for vermicompost production. Heliyon 2021, 7, e06422. [Google Scholar] [CrossRef]
  72. Khan, M.B.; Cui, X.; Jilani, G.; Lazzat, U.; Zehra, A.; Hamid, Y.; Hussain, B.; Tang, L.; Yang, X.; He, Z. Eisenia fetida and biochar synergistically alleviate the heavy metals content during valorization of biosolids via enhancing vermicompost quality. Sci. Total Environ. 2019, 684, 597–609. [Google Scholar] [CrossRef] [PubMed]
  73. Regulation (EU) 2019/1009 of the European Parliament and of the Council of 5 June 2019 Laying Down Rules on the Making Available on the Market of EU Fertilising Products and Amending Regulations (EC) No 1069/2009 and (EC) No 1107/2009 and Repealing Regulation (EC) No 2003/2003 (Text with EEA Relevance). Available online: https://eur-lex.europa.eu/eli/reg/2019/1009/oj (accessed on 22 May 2024).
  74. Suthar, S.; Sajwan, P.; Kumar, K. Vermiremediation of heavy metals in wastewater sludge from paper and pulp industry using earthworm Eisenia fetida. Ecotoxicol. Environ. Saf. 2014, 109, 177–184. [Google Scholar] [CrossRef]
  75. Yadav, A.; Garg, V.K. Feasibility of nutrient recovery from industrial sludge by vermicomposting technology. J. Hazard. Mater. 2009, 168, 262–268. [Google Scholar] [CrossRef] [PubMed]
  76. Sangwan, P.; Kaushik, C.P.; Garg, V.K. Vermicomposting of sugar industry waste (press-mud) mixed with cow dung employing an epigeic earthworm Eisenia fetida. Waste Manag. Res. 2010, 28, 71–75. [Google Scholar] [CrossRef] [PubMed]
  77. Prakash, M.; Karmegam, N. Vermistabilisation of pressmud using Perionyx ceylanensis Mich. Bioresour. Technol. 2010, 101, 8464–8468. [Google Scholar] [CrossRef] [PubMed]
  78. Suthar, S. Pilot-scale vermireactors for sewage sludge stabilization and metal remediation process: Comparison with small-scale vermireactors. Ecol. Eng. 2010, 36, 703–712. [Google Scholar] [CrossRef]
  79. Singh, K.A.; Vig, A.P.; Rup, P.J. Role of Eisenie foetida in rapid recycling of nutrients from bio sludge of beverage industry. Ecotoxicol. Environ. Saf. 2010, 73, 430–435. [Google Scholar] [CrossRef] [PubMed]
  80. Usman, B.; Ahmad, A.; Jibrin, N.A.; Gaya, E.A.; Jibrin, M. Bioaccumulation and Human Health Risk of Heavy Metals from Pesticides in Some Crops Grown in Plateau State, Nigeria. Biol. Life Sci. Forum. 2021, 4, 12. [Google Scholar] [CrossRef]
  81. Vanisree, C.R.; Singh Sankhla, M.; Singh, P.; Jadhav, E.B.; Kumar Verma, R.; Kant Awasthi, K.; Awasthi, G.; Nagar, V. Heavy Metal Contamination of Food Crops: Transportation via Food Chain, Human Consumption, Toxicity and Management Strategies. Environmental Impact and Remediation of Heavy Metals; IntechOpen: London, UK, 2022. [Google Scholar] [CrossRef]
  82. Đukić, D.; Jemcev, V.T.; Mandić, L. The factors that regulate the composition of communities soil microorganisms. In Sanitary Microbiology of Soil; Faculty of Agronomy, Čačak: Čačak, Serbia, 2011; pp. 235–238. [Google Scholar]
  83. Alengebawy, A.; Abdelkhalek, S.T.; Qureshi, S.R.; Wang, M.Q. Heavy Metals and Pesticides Toxicity in Agricultural Soil and Plants: Ecological Risks and Human Health Implications. Toxics 2021, 9, 42. [Google Scholar] [CrossRef]
  84. Gómez-Brandón, M.; Martínez-Cordeiro, H.; Domínguez, J. Changes in the nutrient dynamics and microbiological properties of grape Marc in a continuous-feeding vermicomposting system. Waste Manag. 2021, 135, 1–10. [Google Scholar] [CrossRef]
  85. Soobhany, N. Preliminary evaluation of pathogenic bacteria loading on organic Municipal Solid Waste compost and vermicompost. J. Environ. Manag. 2018, 206, 763–767. [Google Scholar] [CrossRef] [PubMed]
  86. Hait, S.; Tare, V. Optimizing vermistabilization of waste activated sludge using vermicompost as bulking material. Waste Manag. 2011, 31, 502–511. [Google Scholar] [CrossRef] [PubMed]
  87. Swati, A.; Hait, S.A. Comprehensive Review of the Fate of Pathogens during Vermicomposting of Organic Wastes. J. Environ. Qual. 2017, 47, 16–29. [Google Scholar] [CrossRef] [PubMed]
  88. Karimi, H.; Mokhtari, M.; Salehi, F. Changes in microbial pathogen dynamics during vermicomposting mixture of cow manure–organic solid waste and cow manure–sewage sludge. Int. J. Recycl. Org. Waste Agric. 2017, 6, 57–61. [Google Scholar] [CrossRef]
  89. Du, Y.; Zou, W.; Zhang, K.; Ye, G.; Yang, J. Advances and applications of clostridium co-culture systems in biotechnology. Front. Microbiol. 2020, 11, 2842. [Google Scholar] [CrossRef] [PubMed]
  90. Harindintwali, J.D.; Wang, F.; Yang, W.; Zhou, J.; Muhoza, B.; Mugabowindekwe, M.; Yu, X. Harnessing the power of cellulolytic nitrogen-fixing bacteria for biovalorization of lignocellulosic biomass. Ind. Crops Prod. 2022, 186, 115235. [Google Scholar] [CrossRef]
  91. Anandyawati, A.; Muktamar, Z.; Prameswari, W.; Amrullah, A.H.K.; Anggoro, A. Comparison of the quality of animal manure compost conventional methods with vermicompost animal manure from Lumbricus rubellus. Intl. J. Agric. Technol. 2023, 19, 1435–1446. Available online: http://www.ijat-aatsea.com (accessed on 2 August 2023).
  92. Domínguez, J.J.; Edwards, C.A. Biology and ecology of earthworms species used for vermicomposting. In Vermiculture Technology: Earthworms, Organic Waste and Environmental Management; Edwards, C.A., Arancon, N.Q., Sherman, R.L., Eds.; CRC Press: Boca Raton, FL, USA, 2011; pp. 27–40. [Google Scholar]
  93. Riwandi, D.; Muktamar, Z.; Hasanudin, A.; Allsari, V. The quality of vermicompost from various sources composted with earthworm Perionyx excavates. In IOP Conference Series: Earth and Environmental Science, Proceedings of the 2nd International Conference on Organic Agriculture in the Tropics (ORGATROP), Virtually, 28–29 October 2021; IOP Publishing Ltd.: Bristol, UK, 2022; Volume 1005, p. 012006. [Google Scholar] [CrossRef]
  94. López, E.; Sainz, J. Gestión de Residuos Orgánicos de Uso Agrícola. Santiago de Compostela; Servizo de Publicación e Intercambio Científico: Galicia, Spain, 2011. [Google Scholar]
  95. Castillo-González, E.; Giraldi-Díaz, M.R.; De Medina-Salas, L.; Sánchez-Castillo, M.P. Pre-Composting and Vermicomposting of Pineapple (Ananas Comosus) and Vegetable Waste. Appl. Sci. 2019, 9, 3564. [Google Scholar] [CrossRef]
  96. Hanc, A.; Chadimova, Z. Nutrient recovery from apple pomace waste by vermicomposting technology. Bioresour. Technol. 2014, 168, 240–244. [Google Scholar] [CrossRef]
  97. Garg, V.K.; Suthar, S.; Yadav, A. Management of food industry waste employing vermicomposting technology. Bioresour. Technol. 2012, 126, 437–443. [Google Scholar] [CrossRef]
Disclaimer/Publisher’s Note: The statements, opinions and data contained in all publications are solely those of the individual author(s) and contributor(s) and not of MDPI and/or the editor(s). MDPI and/or the editor(s) disclaim responsibility for any injury to people or property resulting from any ideas, methods, instructions or products referred to in the content.

Article Metrics

Citations

Article Access Statistics

Multiple requests from the same IP address are counted as one view.